Патент на изобретение №2156252
|
||||||||||||||||||||||||||
(54) ТРИАЗОЛОПИРИДАЗИНЫ, СПОСОБ ИХ ПОЛУЧЕНИЯ, ФАРМАЦЕВТИЧЕСКИЕ КОМПОЗИЦИИ НА ИХ ОСНОВЕ И СПОСОБ ЛЕЧЕНИЯ
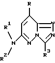
(57) Реферат: Описывается новое триазолопиридазиновое соединение формулы (I), в которой R1 является водородом или низшей алкильной группой, R2 является C2-C6-алкильной или C2-C6-циклоалкильной группой; Х является атомом кислорода, Y является (i) группой формулы ![]() в которой R3 и R4 являются водородом или низшей алкильной группой; R5 и R6 – каждый независимо означает атом водорода или низшую алкильную группу; т и п независимо представляют целое число от 0 до 4, или его физиологически приемлемая соль присоединения соединения формулы (I) обладают превосходным противоастматическим, противоаллергическим действием, а также превосходной ингибирующей активностью в отношении фактора активации тромбоцитов и зозинофильного хемотаксиса. 4 c. и 8 з.п. ф-лы, 2 табл.
Изобретение относится к новым производным триазолпиридазина, проявляющим превосходное противоаллергическое, противовоспалительное действие, а также ингибирующее воздействие на фактор активации тромбоцитов (PAF), эозинофильный хемотаксис и др., их получению и применению. ПРЕДШЕСТВУЮЩИЙ УРОВЕНЬ ТЕХНИКИ. Многие соединения, имеющие структуру триазолопиридазина, общепринято синтезируют в виде лекарств для множества заболеваний. Так например, в патенте США N 3915968 представлено соединение формулы: ![]() в которой R и R3 независимо являются атомом водорода или низшим алкилом, по крайней мере один из R и R3 является низшим алкилом; R и R2 образуют вместе со смежным атомом азота азотсодержащую гетероциклическую группу, например пирропидин, пиперидин, пиперазин и морфолин, или его соль. В патенте США N 4136182 представлено соединение формулы: ![]() в которой R является атомом водорода, фенилом или низшим алкилкарбониламино; R1 является морфолино или пиперидино; R2 является атомом водорода или низшим алкилом, по крайней мере один из R или R2 является группой, не содержащей атом водорода; когда R является фенилом, тогда R1 является морфолино и R2 является низшим алкилом, или его соль. В EP 248413 представлено соединение формулы: ![]() или его соль, которые являются пригодными в качестве бронхолитических средств для смягчения бронхоспазмов. В EP 562439 представлено соединение формулы: ![]() в которой R1 является атомом водорода, необязательно замещенной низшей алкильной группой или атомом галогена; R2 и R3 независимо являются атомом водорода или необязательно замещенной низшей алкильной группой или могут образовывать вместе с соседней -C = C- 5-7-членное кольцо; X является атомом кислорода или S(O)p1 где p представляет целое число от 0 до 2; Y является группой формулы: ![]() в которой R4 и R5 независимо являются атомом водорода или необязательно замещенной низшей алкильной группой или двухвалентной группой, полученной из 3-7-членного гомоцикла или гетероцикла, которая необязательно является замещенной; R6 и R7 независимо являются атомом водорода, необязательно замещенной низшей алкильной группой, необязательно замещенной циклоалкильной группой или необязательно замещенной арильной группой, или могут образовывать вместе с соседним атомом азота азотсодержащую гетероциклическую группу, которая необязательно является замещенной; m является целым числом от 0 до 4 и n – целое число от 0 до 4, или его соль; и в качестве примера синтетического продукта соединение формулы: ![]() которые описаны как соединения, проявляющие противоастматическое, противовоспалительное и противоаллергическое действие, а также ингибирующее действие на фактор активации тромбоцитов. РАСКРЫТИЕ ИЗОБРЕТЕНИЯ. Существует большая потребность в создании нового соединения, которое является более удовлетворительным с точки зрения эффективности действия, длительности воздействия и безвредности, чем общепринятые противоастматические, противоаллергические средства и т.д. Путем проведения различных обширных исследований настоящие изобретатели получили сначала новое соединение [1,2,4]триазоло-[1,5-b]пиридазин формулы: ![]() в которой R1 является атомом водорода, атомом галогена или необязательно замещенной низшей алкильной группой; R2 является необязательно замещенной полиуглеродной алкильной группой или необязательно замещенной циклоалкильной группой; X является атомом кислорода или S(O)p, где p представляет целое число от 0 до 2; Y является: (i) группой формулы: ![]() в которой R3 и R4 независимо являются атомом водорода или необязательно замещенной низшей алкильной группой или (ii) необязательно замещенной циклоалкиленовой группой или необязательно замещенной циклоалкилиденовой группой; R5 и R6 независимо являются атомом водорода или необязательно замешенной низшей алкильной группой, или необязательно замещенной циклоалкильной группой, или вместе со смежным атомом азота могут образовывать азотсодержащую гетероциклическую группу; m и n независимо являются целым числом от 0 до 4, или его соль, характерная особенность химической структуры которых состоит в том, что [1,2,4]триазоло[1,5-b]пиридазин не имеет заместителя в 8-положении и полиуглеродной алкильной группы в 7-положении, при этом было найдено, что это соединение, вследствие своей уникальной химической структуры, неожиданно проявляет превосходное противоаллергическое, противовоспалительное действие, а “также ингибирующее воздействие на фактор активации тромбоцитов и эозинофильной хемотаксис при превосходном длительном действии и безвредности, а также, что оно хорошо служит как противоастматическое средство, потому что подавляет бронхоспазм и дилатацию, и как профилактическое/лечебное средство для аллергических ринитов и атопических дерматитов вследствие ингибирующего воздействия на эозинофильный хемотаксис. На основе этих обнаружений изобретатели провели дополнительные исследования и создали настоящее изобретение. Соответственно настоящее изобретение относится к: (1) соединению [I] или его соли, (2) соединению, которое описано выше в (1), где R1 является атомом водорода или C1-6-алкильной группой, (3) соединению, которое описано выше в (1), где полиуглеродная алкильная группа является низшей алкильной группой, имеющей 2 или большее число атомов углерода, (4) соединению, которое описано выше в (3), где низшая алкильная группа, имеющая 2 или большее число атомов углерода, является разветвленной C3-6-алкильной группой, (5) соединению, которое описано выше в (1), где Y является группой формулы: ![]() в которой R3a и R4a независимо являются атомом водорода или C1-6-алкильной группой, (6) соединению, которое описано выше в (1), где R5 и R6 независимо являются атомом водорода или C1-6-алкильной группой, (7) соединению, которое описано выше в (1), R1 является атомом водорода; R2 является C2-6-алкильной группой; X является атомом кислорода; Y является группой формулы: ![]() в которой R3b и R4b независимо являются C1-4-алкильной группой; R5 и R6 независимо являются атомом водорода или C1-6-алкильной группой; m и n независимо являются 1 или 2, (8) соединению, которое описано выше в (7), где R2 является разветвленной C3-6-алкильной группой, (9) соединению которое описано выше в (8), где R5 и R6 являются атомом водорода; m и n равны 1, (10) соединению, которое описано выше в (8), где C3-6-алкильная группа является изопропильной группой, (11) соединению, которое описано выше в (8), где C3-6-алкильная группа является трет-бутильной группой, (12) соединению, которое описано выше в (1), и является 6- (2,2-диметил-3-сульфамоил-1-пропокси)-7-этил[1,2,4]-триазоло[1,5-b] пиридазином или его солью, (13) соединению, которое описано выше в (1), и является 6- (2,2-диметил-3-сульфамоил-1-пропокси)-7-н-пропил[1,2,4] – триазоло[1,5-b] пиридазином или его солью, (14) соединению, которое описано выше в (1), и является 6-(2,2-диметил-3-сульфамоил-1-пропокси)-7-изопропил[1,2,4] -триазоло [1,5-b]пиридазином или его солью, (15) соединению, которое описано выше в (1), и является 6- (2,2-диэтил-3-сульфамоил-1-пропокси)-7-изопропил[1,2,4] – триазоло[1,5-b]пиридазином или его солью, (16) соединению, которое описано выше в (1), и является 6-(2,2-диметил-3-сульфамоил-1-пропокси)-7-изобутил[1,2,4] -триазоло [1,5-b]пиридазином или его солью, (17) соединению, которое описано выше в (1), и является 6- (2,2-диметил-3-сульфамоил-1-пропокси)-7-трет-бутил[1,2,4] – триазоло[1,5-b]пиридазином или его солью, (18) соединению, которое описано выше в (1), и является 6-(2,2-диэтил-3-сульфамоил-1-пропокси)-7-трет-бутил[1,2,4] -триазол [1,5-b]пиридазином или его солью, (19) способу получения соединения, которое описано выше в (1), включающему взаимодействие соединения формулы: ![]() или его соли с соединением формулы: ![]() или его солью, где Z1 и Z2 являются отщепляемой группой, в реакции взаимного обмена; другие символы являются такими, как они описаны выше в (1), (20) соединению формулы: ![]() в которой W является отщепляемой группой; другие символы являются такими как они описаны выше в (1), или его соли, (21) композиции, которая включает соединение, описанное выше в (1), (22) лекарственному препарату, который включает соединение описанное выше в (1), (23) композиции для ингибирования фактора активации тромбоцитов, которая включает соединение, описанное выше в (1), (24) композиции для ингибирования эозинофильного хемотаксиса, которая включает соединение, описанное выше в (1), (25) противоастматической композиции, которая включает соединение, описанное выше в (1), (26) противоаллергической композиции, которая включает соединение, описанное выше в (1), (27) композиции для предотвращения или лечения аллергического ринита, которая включает соединение, описанное выше в (1), и (28) композиции для предотвращения или лечения атопического дерматита, которая включает соединение, описанное выше в (1). В том случае, если соединение [I] или его соль содержит в своей молекулярной структуре асимметрический атом углерода, тогда в область настоящего изобретения включены оптические изомеры и рацемические смеси. Термин “низший алкил”, использованный в настоящем описании, означает, например, линейную или разветвленную C1-6-алкильную группу. Примеры упомянутой “C1-6-алкильной группы” включают метил, этил, пропил, изопропил, бутил, изобутил, трет-бутил, пентил и гексил. Термин “циклоалкильная группа”, использованный в настоящем описании, означает, например, C3-6-циклоалкильную группу. Примеры упомянутой “C3-6-циклоалкильной группы” включают циклопропил, циклобутил, циклопентил и циклогексил. Термин “полиуглеродная алкильная группа”, использованный в настоящем изобретении, означает, например, алкильную группу, имеющую два или большее число атомов углерода. Предпочтительные примеры многоуглеродной алкильной группы включают линейные или разветвленные C2-6-алкильные группы (например, этил, пропил, изопропил, бутил, изобутил, трет-бутил, пентил, гексил), предпочтительно разветвленную алкильную группу (например, изопропил, изобутил, трет-бутил). Примеры заместителей, которые необязательно имеют упомянутый “низший алкил”, “циклоалкильная группа” и “полиуглеродная алкильная группа”, включают гидроксильные группы, аминогруппы, карбоксильные группы, нитрогруппы, моно- или ди-низшие алкиламиногруппы (например, моно- или ди-C1-6-алкиламиногруппы, например метиламино, этиламино, пропиламино, диметиламино и диэтиламино), низшие алкоксигруппы (нпример, C1-6-алкоксигруппы, такие как метокси, этокси, пропокси и гексилокси), низшие алкилкарбонилоксигруппы, (например, C1-6-алкилкарбонилоксигруппы, такие как ацетокси и этилкарбонилокси) и атомы галогена (например фтор, хлор, бром, иод), при этом количество заместителей составляет от 1 до 4. Термин “атом галогена”, использованный в настоящем изобретении, означает, например, фтор, хлор, бром, иод. Термин “циклоалкиленовая группа”, использованный в настоящем изобретении, означает, например, двухвалентную группу, полученную удалением двух атомов водорода, связанных с двумя различными атомами углерода 3-7-членного циклоалкана. Термин “циклоалкилиденовая группа”, использованный в настоящем описании, означает, например, двухвалентную группу, полученную путем удаления двух атомов водорода, связанных с одним атомом углерода 3-7-членного циклоалкана, Более конкретно, примеры циклоалкилиденовых групп включают следующие: предпочтительно следующие:![]() Термин “азотсодержащая гетероциклическая группа”, использованный в настоящем изобретении, означает, например, группу, полученную путем удаления атома водорода, связанного с атомом азота 3-13-членной азотсодержащей гетероциклической группы, которая содержит один атом азота помимо атомов углерода и которая может содержать от 1 до 3 гетероатомов, выбранных из атомов, содержащих атомы азота, атомы кислорода или атомы серы. Более конкретно, примеры азотсодержащих гетероциклических групп включают 3-9-членные азотсодержащие гетероциклические группы, например, такие как: ![]() Примером заместителя, который необязательно имеет упомянутая “циклоалкиленовая группа”, “циклоалкилиденовая группа”, и “азотсодержащая гетероциклическая группа”, могут служить низшие алкильные группы (например, C1-6-алкильные группы, такие как метил, этил, пропил, изопропил, бутил, изобутил, трет-бутил, пентил, гексил), аминогруппы, моно- или ди-низшие алкиламиногруппы (например, моно- или ди-C1-6-алкиламиногруппы, такие как метиламино, этиламино, диметиламино и диэтиламино), гидроксильные группы, карбоксильные группы, нитрогруппы, низшие алкоксильные группы (например, C1-6-алкоксильные группы, такие как метокси, этокси и пропокси) и атомы галогена (например, фтор, хлор, бром, иод), при этом количество заместителей составляет от 1 до 3. В вышеупомянутых формулах R1 представляет атом водорода, атом галогена или необязательно замещенную низшую алкильную группу. В качестве “атома галогена”, “необязательно замещенной низшей алкильной группы” R1 используют такие, которые упомянуты выше для “атома галогена” и “необязательно замещенной низшей алкильной группы”. Предпочтительные примеры R1 включают атом водорода, C1-6-алкил (например, метил, этил, пропил, изопропил), обычно в основном используют атом водорода. В вышеупомянутых формулах R2 представляет необязательно замещенную полиуглеродную алкильную группу или необязательно замещенную циклоалкильную группу. В качестве “необязательно замещенной полиуглеродной группы”, “необязательно замещенной циклоалкильной группы” R2 используют такие, которые упомянуты выше для “необязательно замещенной полиуглеродной алкильной группы”, “необязательно замещенной циклоалкильной группы”. Предпочтительные примеры R2 включают разветвленные C3-6-алкильные группы (например, изопропил, изобутил, трет-бутил), главным образом обычно используют изопропильную группу, трет-бутильную группу, наиболее предпочтительно, изопропильную группу. В вышеупомянутых формулах X представляет атом кислорода или S(O)p, где p представляет целое число от 0 до 2. Предпочтительные примеры X включают атом кислорода, S, обычно в основном используют атом кислорода. В вышеупомянутых формулах Y представляет (I) группу формулы: ![]() в которой R3 и R4 независимо представляют атом водорода или необязательно замещенную низшую алкильную группу или (II) необязательно замещенную циклоалкиленовую группу или необязательно замещенную циклоалкилиденовую группу. В качестве “необязательно замещенного низшего алкила” R3 и R4 “необязательно замещенной циклоалкиленовой группы” или “необязательно замещенной циклоалкилиденовой группы” Y используют такие, которые упомянуты выше для “необязательно замещенного низшего алкила” “необязательно замещенной циклоалкиленовой группы” или “необязательно замещенной циклоалкилиденовой группы”. II предпочтительные примеры Y включают группы формулы: ![]() в которой R3a и R4a независимо представляют атом водорода или C1-6-алкильную группу, такую как метил, этил, пропил или изопропил. Более предпочтительно обычно используют группу формулы: ![]() в которой R3b и R4b независимо представляют C1-4-алкильную группу, такую как метил или этил. Предпочтение для Y отдают также циклоалкиленовым группам, или циклоалкилиденовым группам; более предпочтительные примеры циклоалкилиденовых групп включают следующие: ![]() наиболее предпочтительные примеры циклоалкилиденовых групп включают следующие: ![]() В вышеупомянутых формулах R5 и R6 независимо представляют атом водорода, необязательно замещенную низшую алкильную группу или необязательно замещенную циклоалкильную группу, или вместе со смежным атомом азота могут образовывать азотсодержащее гетероциклическое кольцо, которое необязательно является замещенным. В качестве упомянутой “необязательно замещенной низшей алкильной группы”, “необязательно замещенной циклоалкильной группы” R5 и R6, “азотсодержащего гетероциклического кольца, которое необязательно является замещенным” и которое могут образовывать R5 и R6 вместе со смежным атомом азота, используют такие, которые упомянуты выше для “необязательно замещенной низшей алкильной группы”, “необязательно замещенной циклоалкильной группы”, “азотсодержащего гетероциклического кольца, которое необязательно является замещенным”. Предпочтительные примеры R5 и R6 включают атомы водорода и C1-6-алкильные группы (например, метил, этил, пропил, изопропил), главным образом, обычно используют атомы водорода. В вышеприведенных формулах m представляет целое число от 0 до 4. Предпочтительно m является целым числом от 1 до 4, обычно m равно 1 или 2. В вышеприведенных формулах n представляет целое число от 0 до 4. Предпочтительно n является целым числом от 1 до 4, обычно n равно 1 или 2. Наиболее предпочтительно, чтобы m и n были равны 1. Предпочтительными примерами соединения [1] или его соли являются следующие: соединение, где R1 является атомом водорода; R2 является C2-6-алкильной группой; X является атомом кислорода; Y является группой формулы: ![]() в которой R3b и R4b независимо являются C1-4-алкильной группой; R5 и R6 являются атомом водорода или C1-6-алкильной группой; m и n независимо равны 1 или 2 или его соль. Предпочтительными практическими примерами соединения [1] или его соли являются следующие: 6-(2,2-диметил-3-сульфамоил-1-пропокси)-7-этил[1,2,4]триазол [1,5-b]пиридазин или его соль, 6-(2,2-диметил-3-сульфамоил-1-пропокси)-7-н-пропил[1,2,4] триазоло [1,5-b]пиридазин или его соль, 6-(2,2-диметил-3-сульфамоил-1-пропокси)-7-изопропил[1,2,4] триазоло[1,5-b]пиридазин или его соль, 6-(2,2-диэтил-3-сульфамоил-1-пропокси)-7-изопропил[1,2,4] триазоло[1,5-b]пиридазин или его соль, 6-(2,2-диметил-3-сульфамоил-1-пропокси)-7-изобутил[1,2,4] триазоло[1,5-b]пиридазин или его соль, 6-(2,2-диметил-3-сульфамоил-1-пропокси)-7-трет-бутил[1,2,4] триазоло[1,5-b]пиридазин или его соль, 6-(2,2-диэтил-3-сульфамоил-1-пропокси)-7-трет-бутил[1,2,4] триазоло[1,5-b]пиридазин или его соль. Соль соединения [1] настоящего изобретения может быть представлена солями неорганических кислот (например, хлористоводородной, фосфорной, бромистоводородной, серной кислоты) и солями органических кислот (например, уксусной, муравьиной, пропионовой, фумаровой, малеиновой, янтарной, винной, лимонной, яблочной, щавелевой, бензойной, метансульфоновой, бензолсульфоновой кислоты, предпочтительно физиологически приемлемыми кислыми солями присоединения. В случае, если соединение [I] настоящего изобретения имеет в заместителе кислотную группу, например, -COOH, она может образовывать соль с неорганическим основанием (например щелочного или щелочноземельного металла, такого как натрий, калий, кальций или магний, или аммиака) или с органическим основанием (например, три-C1-3-алкиламином, таким как триэтиламин). Способы получения соединения [I] настоящего изобретения или его солей описаны ниже. Соединение (I) настоящего изобретения или его соль можно синтезировать способом A, в котором соединены формулы: ![]() или его соль взаимодействует с соединениями формулы: ![]() где символы имеют те же самые значения, которые определены выше, или его солью. Примеры отщепляемых групп Z1 включают атомы галогена, (например, хлора, брома, иода). C6-10-арилосульфонилоксигруппы, (например, бензолсульфонилокси, p-толуолсульфонилокси) и C1-4-алкилсульфонилоксигруппы (например, метансульфонилокси). Группа Z2, которая при реакции с Z1 отщепляет молекулу, может быть представлена атомом водорода или щелочным металлом, таким как натрий и калий, когда X является атомом кислорода или атомом серы, или щелочным металлом, например натрием или калием, когда X представляет -SO- или -SO2. В этой реакции соединение (III] или его соль обычно используют в количестве от 1 до 5 молей, предпочтительно от 1 до 2 молей на моль соединения [II] или его соли. Реакцию конденсации предпочтительно осуществляют в присутствии основания. В качестве примера основание может быть представлено гидридами щелочного металла, например гидридом натрия или гидридом калия; алкоксидами щелочного металла, например метоксидом натрия и этоксидом натрия; гидроксидами щелочного металла, например гидроксидом натрия и гидроксидом калия; и карбонатами, например карбонатом натрия и карбонатом калия. Эту реакцию можно также осуществлять в инертном растворителе, примером которого могут служить спирты, например метанол и этанол; простые эфиры, например диоксан и тетрагидрофуран; ароматические углеводороды, например, бензол, толуол и ксилол; нитрилы, например, ацетонитрил; амиды, например, диметилформамид и диметилацетамид; и сульфоксиды, например, диметилсульфоксид. Температура реакции находится обычно в диапазоне от 10 до 200oC, предпочтительно от 50 до 100oC. Время протекания реакции составляет обычно от 30 минут до 24 часов, предпочтительно от 1 до 6 часов. Соединение [I] настоящего изобретения или его соль можно также синтезировать способом (B), в котором соединение формулы: ![]() в которой символы имеют те же самые значения, которые определены выше, или его соль взаимодействует с соединением формулы: ![]() где символы имеют те же самые значения, которые определены выше, или его солью. В этой реакции соединение [V] или его соль используют обычно при содержании от 1 до 5 молей, предпочтительно от 1 до 2 молей на моль соединения (IV) или его соли. Эту реакцию конденсации предпочтительно осуществляют в присутствии основания. Примером основания могут служить гидриды щелочного металла, например гидрид натрия и гидрид калия; алкоксиды щелочного металла, например метилат натрия и этилат натрия; гидроксиды щелочного металла, например гидроксид натрия и гидроксид калия; и карбонаты, например карбонат натрия и карбонат калия. Эту реакцию можно также осуществлять в инертном растворителе, примером которого являются спирты, например метанол и этанол; простые эфиры, например диоксан и тетрагидрофуран; ароматические углеводороды, например бензол, толуол и ксилол; нитрилы, например ацетонитрил; амиды, например диметилформамид и диметилацетамид; и сульфоксиды, например диметилсульфоксид. Температура реакции находится обычно в диапазоне от 10 до 200oC, предпочтительно от 50 до 150oC. Время реакции составляет обычно от 30 минут до 24 часов, предпочтительно от 1 до 10 часов. Соединение [I] настоящего изобретения или его соль может быть также синтезировано способом (C), в котором соединение формулы: ![]() в котором W представляет отщепляемую группу; другие символы имеют то же самое значение, которое определено выше, или его соль взаимодействует с соединением формулы [VII]: ![]() в которой символы имеют то же самое значение, которое определено выше, или его солью. Примеры отщепляемых групп W включают атомы галогена (например, хлор, бром, иод), C6-10-арилсульфонилоксигруппы (например, бензолсульфонилокси, p-толуолсульфонилокси) и C1-4– алкилсульфонилоксигруппы (например, метансульфонилокси), предпочтительно атомы галогена, (например, хлор, бром, иод). В этой реакции соединение [VII] или его соль используют обычно в количестве от 1 до 5 молей, предпочтительно от 1 до 2 молей на моль соединения [VI] или его соли. Эту реакцию можно осуществлять в инертном растворителе, примером которого могут служить спирты, например метанол и этанол; простые эфиры, например, диоксан и тетрагидрофуран; ароматические углеводороды, например бензол, толуол и ксилол; нитрилы, например ацетонитрил; амиды, например диметилформамид и диметилацетамид; и сульфоксиды, например диметилсульфоксид. Температура реакции находится обычно в диапазоне от -20 до 100oC. предпочтительно от -10 до 50oC. Время реакции составляет обычно от 30 минут до 5 часов, предпочтительно от 1 до 3 часов. Когда соединение [I] получают в свободной форме, его можно превратить известным способом в соль. Когда соединение [I] получают в виде соли, его можно превратить в свободную форму или другую соль. Соединение [I] или его соль, полученные таким образом, можно выделить и очистить известными способами, например экстрацией растворителем, регулированием pH, перераспределением, высаливанием, кристаллизацией, перекристаллизацией и хроматографией. Когда получают соединение [I] или его соль в “смеси оптических изомеров, ее можно разделить на d- и L-конфигурации обычными способами оптического разрешения. В дальнейшем описаны способы получения исходных соединений [II], [III], [IV] , [V] , [VI] и [VII] или их солей, которые могут быть использованы для получения соединения [I] или его соли. Соли этих соединений включают соли неорганических кислот (например, хлористоводородной, фосфорной, бромистоводородной, серной кислоты) и соли органических кислот (например, уксусной, муравьиной, пропионовой, фумаровой, малеиновой, янтарной, винной, лимонной, яблочной, щавелевой, бензойной, метансульфоновой, бензолсульфоновой кислоты). В случае, если эти соединения в заместителе имеют кислотную группу, например -COOH, она может образовывать соль с неорганическим основанием (например, щелочного или щелочноземельного металла, такого как натрий, калий, кальций или магний, или аммиака) или органическим основанием (например три-C1-3-алкиламином, таким как триэтиламин). Исходное соединение [II] или его соль можно синтезировать, например, способом, описанным в источнике “Journal of Organic Chemistry”, vol.39, p. 2143 (1974) или модификацией этого способа. Исходное соединение [III] или его соль или соединение (V) или его соль можно синтезировать, например, способами, описанными в Chemische Berichte, Vol. 91, p 2130 (1958), Jourmal of Organic Chemistry, Vol. 52, p.2162 (1987) и EP 381132/1990, или их модификациями Исходное соединение (IV) или его соль можно синтезировать, например, способом, описанным в EP 381132/1990 или его модификацией. Исходное соединение (VI) или его соль можно синтезировать, например, путем (1) взаимодействия соединения [II] или его соли с соединением формулы: Z2X-(CH2)m-Y-(CH2)n– SO2W, (VIII) где символы имеют то же самое значение, которое определено выше, или (2) взаимодействия соединения (IV) или его соли с соединением формулы: Z1-(CH2)m-Y-(CH2)n– SO2W, (IX) в которой символы имеют то же самое значение, которое определено выше. В описанной выше реакции (1) соединение [VIII] используют обычно в количестве от 1 до 5 молей, предпочтительно от 1 до 2 молей, на моль соединения [II] или его соли. Эту реакцию можно осуществлять тем же самым способом, что и вышеописанную реакцию соединения [II] или его соли и соединения [III] или его соли. В вышеописанной реакции (2) соединение [IX] используют обычно в количестве от 1 до 5 молей, предпочтительно от 1 до 2 молей на моль соединения [IV] или его соли. Эту реакцию можно осуществлять тем же самым способом, что и вышеописанную реакцию соединения [IV] или его соли и соединения [V] или его соли. Исходное соединение [VII] или его соль и исходные соединения [VIII] и [IX] можно обычно синтезировать известными способами или их модификациями. Хотя соли, которые могут быть образованы посредством вышеописанных исходных соединений, не являются предметом для ограничения пока осуществляют цель настоящего изобретения, примеры солей включают те же самые соли, которые описаны выше и которые могут быть образованы с помощью соединения [I]. Несмотря на то, что эти исходные соединения или их соли, полученные таким образом, можно выделить и очистить известными способами, такими как экстракция растворителем, регулирование pH, перераспределение, высаливание, кристаллизация, перекристаллизация и хроматография, их можно использовать в качестве исходных материалов для следующего процесса в форме реакционной смеси без очистки. Когда исходное соединение, использованное в каждой из реакций синтеза вышеописанных желательных соединений, имеет в качестве заместителей аминогруппу, карбоксильную группу или гидроксильную группу, эти заместители могут иметь защитную группу, которую обычно используют в химии пептидов и т. д. ; желательное соединение может быть получено путем удаления защитной группы после завершения реакции. Защитные группы для амино включают, например, формильную, C1-6-алкилкарбонильную группу (например, ацетильную, этилкарбонильную), фенилкарбонильную группу, C1-6-алкилоксикарбонильные группы (например, метоксикарбонильную, этоксикарбонильную), фенилоксикарбонильную группу, C7-10-аралкилкарбонильную группу (например, бензилкарбонильную), тритильную группу, фталоильную группу и N,N-диметиламинометиленовую группу, которые необязательно являются замещенными. Примеры заместителей, которые необязательно имеют эти группы, включают атомы галогена (например, фтор, хлор, бром, иод), C1-6-алкилкарбонильные группы (например, метилкарбонильные, этилкарбонильные, бутилкарбонильные) и нитрогруппы, при этом количество заместителей составляет от 1 до 3. Примеры защитных групп для карбоксильной группы включают C1-6-алкильные группы (например, метильную, этильную, н-пропильную, изопропильную, н-бутильную, трет-бутильную), фенильную, тритильную и силильную, которые необязательно замещены. Примеры заместителей, которые необязательно имеют эти группы, включают атомы галогена, (например, фтор, хлор, бром, иод), формильную, C1-6– алкилкарбонильные группы (например, ацетильную, этилкарбонильную, бутилкарбонильную) и нитрогруппы, при этом количество заместителей составляет от 1 до 3. Примеры защитных групп для гидроксильной группы включают C1-6-алкильные группы (например, метильную, этильную, н-пропильную, изопропильную, н-бутильную, трет-бутильную), фенильную, C7-10-аралкильные группы, (например, бензильную), формильную, C1-6-алкилкарбонильные группы (например, ацетильную, этилкарбонильную), фенилоксикарбонильную, бензоильную, C7-10-аралкилкарбонильные группы (например, бензилкарбонильную), пиранильную, фуранильную и силильную, которые необязательно являются замещенными. Примеры заместителей, которые необязательно имеют эти группы, включают атомы галогена (например, фтор, хлор, бром, иод), C1-6-алкильные группы (например, метильную, этильную, н-пропильную), фенильную, C7-10– аралкильные группы (например, бензильную) и нитрогруппы, при этом количество заместителей составляет от 1 до 4. Защитные группы могут быть удалены обычно известными способами или их модификациями, включающими обработку кислотами, основаниями, восстановителями, ультрафиолетовыми лучами, гидразином, фенилгидразином, натрий-N-метилдитиокарбаматом, тетрабутиламмоний-фторидом, ацетатом палладия и т.д. Соединение [I] или его соль настоящего изобретения можно безопасно использовать в качестве противоастматического средства для млекопитающих (например, людей, мышей, собак, кроликов, быков), потому что они проявляют превосходное противоаллергическое, противовоспалительное действие, а также ингибирующее воздействие на фактор активации тромбоцитов и эозинофильный хемотаксис при низкой токсичности (острая токсичность LD50>2 кг/кг). Соединение (I) или его соль ингибируют эозинофильный хемотаксис и локальную эозинофильную инфильтрацию при аллергических и воспалительных реакциях. Поэтому оно является пригодным в качестве лечебного средства для заболеваний, связанных с эозинофильной инфильтрацией. Более конкретно, его можно использовать для лечения или предотвращения эозинофильных заболеваний у вышеупомянутых млекопитающих, включающих аллергические заболевания, например, крапивницу, атонический дерматит, аллергический ринит и гипертензивный пневмонит; кожных заболеваний таких как экзема, герпетический дерматит и псориаз; и респираторных заболеваний, таких как эозинофильная пневмония (синдром РИЕ). Способ введения лекарственного средства может быть пероральным или непероральным. Препарат настоящего изобретения может содержать в качестве фармацевтических компонентов иные активные ингредиенты, чем соединение [I] или его соль (например, противоастматические, противоаллергические, противовоспалительные, противомикробные и противогрибковые средства). Примеры таких фармацевтических компонентов включают противоастматические средства (например, теофилин, прокатерол, кетотифен, терфенадин, азеластин, сератродаст), противоаллергические средства (кетотифен, терфенадин, азелатин, эпинастин), противовоспалительные средства (например, натрийдиклофенак, изопрофен, индометацин), противомикробные средства (например, цефиксим, цефдинир, офлоксацин, тозуфлоксацин), противогрибковые средства (например, флуконазол, итраконазол). Эти компоненты не являются предметом для ограничения до тех пор, пока осуществляют цель этого изобретения, и могут быть использованы при смешивании в соответствующем состоянии. Пригодные лекарственные формы включают таблетки (включая таблетки, покрытые сахаром и таблетки, покрытые пленкой), пилюли, капсулы (включая микрокапсулы), гранулы, порошки, сиропы, эмульсии, суспензии, препараты для инъекций, лекарственные формы для ингаляции и мази. Эти препараты получают посредством общепринятых способов (например, способов, описанных в источнике Pharmacopoeia of Japan). Содержание соединения [1] или его соли с лекарственных препаратах настоящего изобретения меняется в зависимости от формы препарата и обычно оно составляет от 0.01 до 100 вес. %, предпочтительно от 0.1 до 50 вес.%, более предпочтительно от 0.5 до 20 вес.% относительно общего веса лекарственного препарата. Более конкретно, таблетки можно получить путем гранулирования фармацевтического препарата в том виде как он есть или в однородной смеси с наполнителями, связующими, дезинтеграторами и другими соответствующими добавками с помощью подходящего способа, затем добавления смазок и т.п., и путем формования смеси прессованием или путем прямого формования прессованием фармацевтического препарата в том виде как он есть или в однородной смеси с наполнителями, связующими, дезинтеграторами и другими подходящими добавками или путем формования прессованием предварительно полученных гранул в том виде как они есть или в однородной смеси с подходящими добавками Эти таблетки могут включать, когда необходимо, красители, нейтрализующие средства и т.д. и могут быть покрыты соответствующими покрытиями. Препараты для инъекций могут быть получены путем растворения, супендирования или эмульгирования данного количества фармацевтического препарата в водном растворителе, таком как вода, предназначенном для инъекций, физиологическом солевом растворе или растворе Рингера или неводном растворителе, таком как растительное масло, и разбавления до данного количества, или переноса данного количества фармацевтического препарата в ампулу для инъекций и герметизации ампулы. Пригодные носители для пероральных препаратов включают вещества, которые обычно используют при получении фармацевтических препаратов, например такие, как крахмал, маннит, кристаллическую целлюлозу и натрийкарбоксиметилцеллюлозу. Пригодные носители для препаратов для инъекций включают дистиллированную воду, физиологический солевой раствор, растворы глюкозы и растворы для внутривенного вливания. Когда необходимо, могут быть добавлены также другие добавки, обычно применяемые в производстве фармацевтической продукции. В зависимости от возраста больного, массы тела, симптомов, способа введения лекарственного средства, частоты введения и других факторов, суточная доза этих препаратов составляет обычно от 0.1 до 100 мг/кг, предпочтительно от 1 до 50 мг/кг и более предпочтительно от 1 до 10 мг/кг в пересчете на суточную дозу активного ингредиента (соединения [I] или его соли), которую вводят в виде одной или двух порций в день каждому астматику. НАИЛУЧШИЙ ВАРИАНТ ОСУЩЕСТВЛЕНИЯ ИЗОБРЕТЕНИЯ Настоящее изобретение в дальнейшем будет описано более подробно посредством последующих рабочих примеров, ссылочных примеров, подготовительных примеров и экспериментальных примеров, которые не следует рассматривать как ограничивающие изобретение. В приведенных ниже рабочих примерах фракцию, содержащую желательный продукт, обнаруживали посредством исследований, проведенных с помощью TLC (тонкослойной хроматографии). TLC проводили на пластине Мерка 60F254 с применением ультрафиолетового детектора. ССЫЛОЧНЫЙ ПРИМЕР 1. ПОЛУЧЕНИЕ 3,6-ДИХЛОР-4-ЭТИЛПИРИДАЗИНА. К суспензии, состоящей из 22.5 г 3,6-дихлорпиридазина, 12.7 г нитрата серебра и 16.3 г пропионовой кислоты в 250 мл воды, добавили раствор 49,3 г серной кислоты в 250 мл воды при 50oC, затем в течение 20 минут при 60oC добавили 93 г пероксодисульфата аммония в 200 мл воды. Реакционную смесь нагрели в течение 30 минут при температуре от 70 до 75oC. После охлаждения с помощью 25% раствора гидроксида аммония установили pH реакционной смеси равным 7 и экстрагировали этиловым эфиром. Экстракт промыли водой, сушили (MgSO4) и под пониженным давлением отогнали растворитель. Остаток очистили силикагельной колоночной хроматографией, получив при этом 13.5 г названного соединения. ЯМР (CDCl3) : 1.32 (3H, t, J=7 Hz), 2.78 (2H, g, J=7 Hz), 7.39 (1H, s).
ССЫЛОЧНЫЙ ПРИМЕР 2.
ПОЛУЧЕНИЕ 3,6-ДИХЛОР-4-H-ПРОПИЛПИРИДАЗИНА.
Для получения 12.7 г названного соединения, используя 16.6 г 3.6-дихлорпиридазина и 14.4 г н-масляной кислоты, осуществили ту же самую реакцию, что и в ссылочном примере 2.
ЯМР (CDCl3) : 1.10 (3H, t, J = 7 Hz), 1.5-1.9 (2H, m), 2.72 (2Ht, J = 7 Hz), 7.37 (1H, s).
ССЫЛОЧНЫЙ ПРИМЕР 3.
ПОЛУЧЕНИЕ 3.6-ДИХЛОР-4-ИЗОБУТИЛПИРИДАЗИНА.
Для получения 15.0 г названного соединения, используя 22.3 г 3.6-дихлорпиридазина и 19.9 г изовалериановой кислоты, осуществили ту же самую реакцию, что и в ссылочном примере 1.
ЯМР (CDCl3) : 1.06 (6H, d, J=7 Hz), 1.8-2.2 (1H, m), 2.60 (2H d, J=7 Hz), 7.38 (1H, s).
ССЫЛОЧНЫЙ ПРИМЕР 4.
ПОЛУЧЕНИЕ 3,6-ДИХЛОР-4-H-ГЕКСИЛПИРИДАЗИНА.
Для получения 14.4 г названного соединения, используя 11.7 г 3.6-дихлор-пиридазина и 23 г н-гептановой кислоты, осуществили ту же самую реакцию, что и в ссылочном примере 1.
ЯМР (CDCl3) : 0.84-9.97 (3H, m), 1.22-1-48 (8H, m); 1,57- 1.76 (2H, m), 7.37 (1H, s).
ССЫЛОЧНЫЙ ПРИМЕР 5.
ПОЛУЧЕНИЕ 4-ЦИКЛОПЕНТИЛ-3,6-ДИХЛОРПИРИДАЗИНА.
Для получения 28.7 г названного соединения, используя 22.4 г 3.6-дихлор-пиридазина и 25.1 г циклопентанкарбоновой кислоты, осуществили ту же самую реакцию, что и в ссылочном примере 1.
ЯМР (CDCl3) : 1.4-2.3 (8H, m), 3.30 (1H, m), 7.38 (1H. s)ССЫЛОЧНЫЙ ПРИМЕР 6. ПОЛУЧЕНИЕ 3-АМИНО-6-ХЛОР-6-ЭТИЛПИРИДАЗИНА. Смесь, состоящую из 13.5 г 3.6-дихлор-4-этилпиридазина в 150 мл 25% раствора гидроксида аммония и 10 мл этанола, нагрели в герметизированной пробирке в течение 22 часов при температуре от 130 до 140oC. После охлаждения растворитель отогнали. К остатку добавили воду и полученные кристаллы собрали фильтрацией и gромыли водой и этиловым эфиром, обеспечив при этом 6.96г названного соединения. ЯМР (d6DMSO) : 1.16 (3H, t, J=7 Hz), 2.54 (2H, g, J=7 Hz), 6.48 (2H, s), 6.73 (1H, s).
ССЫЛОЧНЫЙ ПРИМЕР 7.
ПОЛУЧЕНИЕ 3-АМИНО-6-ХЛОР-5-H-ПРОПИЛПИРИДАЗИНА.
Для получения 6.8г названного соединения, используя 12.7 г 3.6-дихлор-5-н-пропилпиридазина, 150 мл 25% раствора хлорида аммония и 5 мл этанола, осуществили ту же самую реакцию, что и в ссылочном примере 6.
ЯМР (CDCl3) : 1.00 (3H, t, J=7 Hz), 1.57-1.76 (2H, m), 2.59 (2H, t, J=7 Hz), 4.80 (2H, br, s), 6.60 (1H, s).
ССЫЛОЧНЫЙ ПРИМЕР 8.
ПОЛУЧЕНИЕ 3-АМИНО-6-ХЛОР-5-изо-ПРОПИЛПИРИДАЗИНА.
Для получения 11.1г названного соединения, используя 21.7 г 3.6-дихлор-4-изопропилпиридазина, 170 мл 25% раствора гидроксида аммония и 10 мл этанола, осуществили ту же самую реакцию, что и в ссылочном примере 6.
Температура плавления: 164-165oC.
ЯМР (CDCl3) : 1.26 (6H, d, J=7 Hz), 3.16 (1H, m), 4.89 (2H, br, s), 6.65 (1H, s).
ССЫЛОЧНЫЙ ПРИМЕР 9.
ПОЛУЧЕНИЕ 3-АМИНО-6-ХЛОР-5-ИЗОБУТИЛПИРИДАЗИНА.
Для получения 7.3 г названного соединения, используя 15.0 г 3.6-дихлор-4-изобутилпиридазина, 180 мл 25% раствора гидроксида аммония и 5 мл этанола, осуществили ту же самую реакцию, что и в ссылочном примере 6.
Температура плавления: 122-123oC.
ЯМР (CDCl3) : 0.96 (6H, d, J=7 Hz), 1.8-2-2(1H, m), 2.48 (2H, d, J=7 Hz), 4.88 (2H, br, s), 6.38 (1H, s).
ССЫЛОЧНЫЙ ПРИМЕР 10.
ПОЛУЧЕНИЕ 3-АМИНО-5-ТРЕТ-БУТИЛ-6-ХЛОРПИРИДАЗИНА.
Для получения 20.8 г названного cоединения, используя 31.1 г 4 -трет-бутил-3.6-дихлорпиридазина, 150 мл 25% раствора гидроксида аммония и 15 мл этанола, осуществили ту же самую реакцию, что и в ссылочном примере 6.
Температура плавления: 185-188oC.
ЯМР (CDCl3) : 1.44 (9H, s), 4.88 (2H, br, s), 6.74 (1H, s).
ССЫЛОЧНЫЙ ПРИМЕР 11.
ПОЛУЧЕНИЕ 3-АМИНО-6-ХЛОР-5-H-ГЕКСИЛПИРИДАЗИНА.
Для получения 6.2г названного соединения, используя 14.4 г 3.6-дихлор-4-н-гексилпиридазина, 150 мл 25% раствора гидроксида аммония и 150 мл этанола осуществили ту же самую реакцию, что и в ссылочном примере 6.
Температура плавления: 97-98oC.
ЯМР (CDCl3) : 0.84-1.02 (3H, m), 1.20-1.48 (8H, m), 1.54-1.71 (2H, m), 4.97 (2H, br, s), 6.62 (1H, s).
ССЫЛОЧНЫЙ ПРИМЕР 12.
ПОЛУЧЕНИЕ 3-АМИНО-6-ХЛОР-5-ЦИКЛОПЕНТИЛПИРИДАЗИНА.
Для получения 15.5 г названного соединения, используя 28.7 г 4-цикло-пентил-3.6-дихлор-пиридазина, 210 мл 25% раствора гидроксида аммония и 70 мл этанола, осуществили ту же самую реакцию, что и в ссылочном примере 6.
ЯМР (CDCl3) : 1.4-2.3 (8H, m), 3.20 (1H, m), 4.84 (2H, br, s), 6.65 (1H, s).
ССЫЛОЧНЫЙ ПРИМЕР 13.
ПОЛУЧЕНИЕ ОКСИМА H-(6-ХЛОР-5-ЭТИЛПИРИДАЗИН-3-ИЛ)ФОРМАМИДА.
К суспензии 4.6 г 3-амино-6-хлор-5-этилпиридазина в 58 мл толуола добавили 6.2 мл диметилформамиддиметилацеталя и реакционную смесь нагрели в колбе с обратным холодильником в течение 2 часов. Под пониженным давлением отогнали растворитель. Остаток очистили силикагельной колоночной хроматографией и с помощью этилацетата-метанола (при их соотношении 10:1) осуществили элюирование. Фракции, содержащие целевое соединение, объединили и концентрировали. Остаток растворили в метаноле (40 мл), к раствору добавили 1.8 г гидроксиламингидрохлорида и перемешали при комнатной температуре в течение 2 часов. Полученные кристаллы собрали фильтрацией и промыли небольшим количеством метанола, получив при этом 4.40 г названного соединения.
Температура плавления: 175-178oC.
Элементарный анализ C7H9N4OCl:Вычислено (%): C, 41.91; H, 4.52; N, 27.93. Найдено (%): С, 41.73; H, 4.65; N, 27.69. ССЫЛОЧНЫЙ ПРИМЕР 14. ПОЛУЧЕНИЕ ОКСИМА N-(6-ХЛОР-5-H-ПРОПИЛПИРИДАЗИН-3-ИЛ)ФОРМАМИДА. Для получения 4,7 г названного соединения, используя 6.8 г 3-амино-6-хлор-5-н-пропилпиридазина, осуществили ту же самую реакцию, что и в ссылочном примере 13. ЯМР (d6-DMSO) : 0.95 (3H, t, J=7 Hz), 1.5-1.8 (2H, m), 2.57 (2H, t, J=7 Hz), 7.36 (1H, s), 7.91 (1H, d, j=10 Hz), 9.65 (1H, d, J= 10 Hz), 10,40 (1H, s).
ССЫЛОЧНЫЙ ПРИМЕР 15.
ПОЛУЧЕНИЕ ОКСИМА N-6(ХЛОР-5-ИЗОПРОПИЛПИРИДАЗИН-3-ИЛ)ФОРМАМИДА.
Для получения 10,6 г названного соединения, используя 8.6 г 3-амино-6-хлор-5-изопропилпиридазина, осуществили ту же самую реакцию, что и в ссылочном примере 13.
Температура плавления: 170-171oC.
Элементарный анализ C8H11N4OCl:Вычислено (%) C, 44.76; H, 5.17; N, 26.10. Найдено (%): C, 44.62; H, 5.02; N, 26.01. ССЫЛОЧНЫЙ ПРИМЕР 16. ПОЛУЧЕНИЕ ОКСИМА N-(6-ХЛОР-5-ИЗОБУТИЛПИРИДАЗИН-3-ИЛ)ФОРМАМИДА. Для получения 4,9 г названного соединения, используя 7.0 г 3-амино-6-хлор-5-изобутилпиридазина, осуществили ту же самую реакцию, что и в ссылочном примере 13. Температура плавления: 155-158oC. Элементарный анализ C9H13N4OCl H2O:Вычислено (%): C, 43.82; H, 6.13; N, 22.71. Найдено (%): C, 43.23; H, 6.21; N, 23.00. ССЫЛОЧНЫЙ ПРИМЕР 17. ПОЛУЧЕНИЕ ОКСИМА N-(5-ТРЕТ-БУТИЛ-6-ХЛОРПИРИДАЗИН-3-ИЛ)ФОРМАМИДА. Для получения 12,0 г названного соединения, используя 11.1 г 3-амино-5-трет-бутил-6-хлорпиридазина, осуществили ту же самую реакцию, что и в ссылочном примере 13. Температура плавления: 221-224oC. Элементарный анализ C9H13N4OCl: Вычислено (%): C, 47.27; H, 5.73; N, 24.50. Найдено (%): C, 47.10; H, 5.48; N; 24.68. ССЫЛОЧНЫЙ ПРИМЕР 18. ПОЛУЧЕНИЕ ОКСИМА N-(6-ХЛОР-5-H-ГЕКСИЛПИРИДАЗИН-3-ИЛ)ФОРМАМИДА. Для получения 5,7г названного соединения, используя 6.0 г 3-амино-6-хлор-5-н-гексилпиридазина, осуществили ту же самую реакцию, что и в ссылочном примере 13. Температура плавления: 131-133oC. Элементарный анализ C11H17N4OCl: Вычислено (%): C, 51.46; H, 6.67; N, 21.82. Найдено (%): C, 51.15; H, 6.87; N, 21.59. ССЫЛОЧНЫЙ ПРИМЕР 19. ПОЛУЧЕНИЕ ОКСИМА N-(6-ХЛОР-5-ЦИКЛОПЕНТИЛПИРИДАЗИН-3-ИЛ)ФОРМАМИДА. Для получения 8.05 г названного соединения, используя 8.9 г 3-амино-6-хлор-5-циклопентилпиридазина, осуществили ту же самую реакцию, что и в ссылочном примере 13. Температура плавления: 207-208oC. Элементарный анализ C10H13N4OCl: Вычислено (%): C, 49.90; H, 5.44; N, 23.28. Найдено (%): C, 49.85; H, 5.60; N, 23.31. ССЫЛОЧНЫЙ ПРИМЕР 20. ПОЛУЧЕНИЕ 6-ХЛОР-7-ЭТИЛ-[1,2,4]ТРИАЗОЛО[1,5-b]ПИРИДАЗИНА. В масляной бане в течение 1 часа при температуре 110-115oC нагрели смесь, состоящую из 4,02 г оксима N-(6-хлор-5-этилпиридазин- 3-ил)формамида и 25 г полифосфорной кислоты. После охлаждения реакционную смесь влили в смесь воды со льдом и экстрагировали дихлорметаном. Экстракт промыли водой и сушили (MgSO4) и затем под пониженным давлением отогнали растворитель. К остатку добавили гексан и полученные кристаллы собрали фильтрацией, получив при этом 2,33 г названного соединения. Температура плавления: 84-85oC. Элементарный анализ C7H7ClN4: Вычислено (%): C, 46.04; H, 3.86; N, 30.68. Найдено (%): C, 46.00; H, 3.76; N, 30.59. ССЫЛОЧНЫЙ ПРИМЕР 21. ПОЛУЧЕНИЕ ОКСИМА 6-ХЛОР-7-H-ПРОПИЛ[1,2,4]ТРИАЗОЛО[1,5-b]ПИРИДАЗИНА. Для получения 3,1 г названного соединения, используя 4,7 г оксима N-(6-хлор-5-н-пропилпиридазин-3-ил)формамида и 23 г полифосфорной кислоты, осуществили ту же самую реакцию, что и в ссылочном примере 20. Температура плавления: 61-62oC. Элементарный анализ C8H9ClN4: Вычислено (%): C, 48.87; H, 4.61; N, 28.49. Найдено (%): C, 48,87; H, 4,55; N, 28.55. ССЫЛОЧНЫЙ ПРИМЕР 22. ПОЛУЧЕНИЕ 6-ХЛОР-7-ИЗОПРОПИЛ[1,2,4]ТРИАЗОЛО[1,5-b]ПИРИДАЗИНА Для получения 12,7 г названного соединения, используя 20,04 г оксима N-(6-хлор-5-изопропилпиридазин-3- ил)формамида и 97 г полифосфорной кислоты, осуществили ту же самую реакцию, что и в ссылочном примере 20. Температура плавления: 53-54oC. Элементарный анализ C8H9ClN4: Вычислено (%): C, 48.87; H, 4.61; N, 28.49. Найдено (%): C, 48.85; H, 4.55; N, 28.48. ССЫЛОЧНЫЙ ПРИМЕР 23. ПОЛУЧЕНИЕ 6-ХЛОР-7-ИЗОБУТИЛ[1,2,4]ТРИАЗОЛО[1,5-b]ПИРИДАЗИНА. Для получения 2,2 г названного соединения, используя 4,6 г оксима N-(6-хлор-5-изобутилпиридазин-3-ил)формамида и 22 г полифосфорной кислоты, осуществили ту же самую реакцию, что и в ссылочном примере 20. Температура плавления: 60-62oC. Элементарный анализ C9H11ClN4: Вычислено (%): C, 51.31; H, 5.26; N, 26.60. Найдено (%): C, 51.33; H, 5.05; N, 26.71. ССЫЛОЧНЫЙ ПРИМЕР 24. ПОЛУЧЕНИЕ 7-ТРЕТ-БУТИЛ-6-ХЛОР[1,2,4]ТРИАЗОЛО[1,5-b]ПИРИДАЗИНА. Для получения 5,13 г названного соединения, используя 8.0 г оксима N-(5-трет-бутил-6-хлорпиридазин-3-ил)формамида и 38 г полифосфорной кислоты, осуществили ту же самую реакцию, что и в ссылочном примере 20. Температура плавления: 110-112oC. Элементарный анализ C9H11ClN4: Вычислено(%): C, 51.31; H, 5.26; N, 26.60. Найдено(%): C, 51.15; H, 5.15; N, 26.66. ССЫЛОЧНЫЙ ПРИМЕР 25. ПОЛУЧЕНИЕ 6-ХЛОР-7-H-ГЕКСИН[1,2,4]ТРИАЗОЛО[1,5-b]ПИРИДАЗИНА. Для получения 2.2 г названного соединения, используя 5.5 г оксима N-(6-хлор-5-н-гексилпиридазин-3-ил)формамида и 22 г полифосфорной кислоты, осуществили ту же самую реакцию, что и в ссылочном примере 20. Температура плавления: 52-53oC. Элементарный анализ C11H15ClN4: Вычислено(%): C, 55.35; H, 6.33; N, 23.47. Найдено (%): C, 55.25; H, 6.12; N, 23.52. ССЫЛОЧНЫЙ ПРИМЕР 26. ПОЛУЧЕНИЕ 6-ХЛОР-7-ЦИКЛОПЕНТИЛ[1,2,4]ТРИАЗОЛО[1,5-b]ПИРИДАЗИНА. Для получения 5,51 г названного соединения, используя 7.76 г оксима N-(6-хлор-5-циклопентилпиридазин-3-ил)формамида и 40 г полифосфорной кислоты, осуществили ту же самую реакцию, что и в ссылочном примере 20. Температура плавления: 57-59oC. Элементарный анализ C10H11ClN4: Вычислено(%): C, 53.94; H, 4.98; N, 25.16. Найдено(%): C, 53.88; H, 4.97; N, 25.07. ССЫЛОЧНЫЙ ПРИМЕР 27. ПОЛУЧЕНИЕ ОКСИМА N-(6-ХЛОР-5-ИЗОПРОПИЛПИРИДАЗИН-3-ИЛ)АЦЕТАМИДА В 40 мл толуола суспендировали 3.44 г 3-амино-6-хлор-5- изопропилпиридазина; добавили 4.44 г диметилацетамиддиметилацеталя, затем в течение 2-х часов осуществили нагревание в колбе с обратным холодильником. После этого смесь концентрировали под пониженным давлением, полученный остаток подвергли силикагельной колоночной хроматографии и элюировали этилацетатом. Желательную фракцию собрали и концентрировали, полученный остаток растворили в 25 мл метанола; добавили 1.37 г гидроксиламингидрохлорида, затем в течение 1 часа осуществили перемешивание при комнатной температуре. Образованные кристаллы собрали фильтрацией, выход названного соединения составил 3.42 г. Температура плавления: 175-178oC. Элементарный анализ C9H13N4OCl: Вычислено (%): C, 47.27; H, 5.73; N, 24.50. Найдено (%): C, 47.21; H, 5.81; N, 24.21. ССЫЛОЧНЫЙ ПРИМЕР 28. ПОЛУЧЕНИЕ 6-ХЛОР-7-ИЗОПРОПИЛ-2-МЕТИЛ[1,2,4,]ТРИАЗОЛО(1,5-b]ПИРИДАЗИНА. При комнатной температуре тщательно смешали 1.7 г оксима N-(6-хлор-5-изопропилпиридазин-3-ил)ацетамида и 10 г полифосфорной кислоты, после чего в масляной бане при 110-115oC в течение 1 часа произошла реакция. После этого реакционную смесь охладили, добавили смесь воды со льдом, затем осуществили экстракцию дихлорметаном. Экстракт промыли водой и сушили над сульфатом магния. После этого экстракт концентрировали под пониженным давлением, к остатку добавили гексан; полученные кристаллы собрали фильтрацией, выход названного соединения составил 1.06 г. Температура плавления: 58-60oC Элементарный анализ C9H11N4Cl: Вычислено (%): C, 51.31; H, 5.26; N, 26.60. Найдено (%): C, 51.24; H, 5.11; N, 26.53. ПРИМЕР 1. ПОЛУЧЕНИЕ 6-(2,2-ДИМЕТИЛ-3-СУЛЬФАМОИЛ-1-ПРОПОКСИ)-7-ЭТИЛ[1,2,4] ТРИАЗОЛО[1,5-b]ПИРИДАЗИНА К раствору 0.836 г 3-гидрокси-2,2-диметилпропан-1-сульфонамида в 25 мл тетрагидрофурана добавили 0.42 г 60% гидрида натрия в масле и смесь в течение 40 минут нагрели в колбе с обратным холодильником. После охлаждения к реакционной смеси добавили 0.913 г 6-хлор-7- этил[1,2,4]триазоло [1,5-b]пиридазина и смесь нагрели в колбе с обратным холодильником при перемешивании в течение 2 часов. После охлаждения реакционную смесь влили в воду, 1N хлористоводородной кислотой установили pH, равный 6, и экстрагировали этилацетатом-тетрагидрофураном (при их соотношении в смеси 1:1). Экстракт промыли насыщенным водным раствором хлорида натрия, сушили (MgSO4) и под пониженным давлением отогнали растворитель. Остаток очистили силикагельной колоночной хроматографией и затем осуществили элюирование дихлорметаном-этилацетатом-метанолом (при их соотношении 10:10:1. Собрали фракции, содержащие целевое соединение, и полученные кристаллы перекристаллизовали из смеси ацетона и воды, при этом получили 0.787 г названного соединения. Температура плавления: 222-224oC Элементарный анализ C12H19N6O3S: Вычислено (%): C, 45.99; H, 6.11; N 22.35. Найдено (%): C, 45.87; H, 6.14; N, 20.33. ПРИМЕР 2. ПОЛУЧЕНИЕ 6-(2,2-ДИМЕТИЛ-3-СУЛЬФАМОИЛ-1 -ПРОПОКСИ)-7-H- ПРОПИЛ[1,2,4] ТРИАЗОЛО[1,5-b]ПИРИДАЗИНА. Для получения 0.77 г названного соединения, используя 0.90 г 3-гидрокси-2,2-диметил-1-пропансульфонамида и 1.0 г 6-хлор-7-н- пропил[1,2,4]триазоло[1,5-b]пиридазина, осуществили ту же самую реакцию, что и в примере 1. Температура плавления: 196-198oC Элементарный анализ C13H21N5O3S H2O:Вычислено (%): C, 45.20; H, 6.70; N 20.27. Найдено (%): C, 45.68; H, 6.39; N, 20.55. ПРИМЕР 3. ПОЛУЧЕНИЕ 6-(2,2-ДИМЕТИЛ-3-СУЛЬФАМОИЛ-1-ПРОПОКСИ)-7-ИЗО- ПРОПИЛ[1,2,4] ТРИАЗОЛО[1,5-b]ПИРИДАЗИНА. К раствору 0.669 г 3-гидрокси-2,2-диметил-1-пропансульфонамида в 30 мл тетрагидрофурана добавили 0.336 г 60% гидрида натрия в масле и смесь в течение 1 часа нагрели в колбе с обратным холодильником. После охлаждения к реакционной смеси добавили 0.748 г 6-хлор-7-изопропил[1,2,4]триазоло[1,5-b] пиридазина и смесь нагрели при перемешивании в колбе с обратным холодильником в течение 4 часов. После охлаждения реакционную смесь влили в смесь воды, со льдом, IN хлористоводородной кислотой установили pH, равный 6, и экстрагировали этилацетатом-тетрагидрофураном (при их соотношении в смеси 1: 1). Экстракт промыли насыщенным водным раствором хлорида натрия, сушили (MgSO4) и под пониженным давлением отогнали растворитель. Остаток очистили силикагельной колоночной хроматографией и затем осуществили элюирование дихлорметаном- этилацетатом-метанолом (при их соотношении 10:10:1). Объединили фракции, содержащие целевое соединение, и полученные кристаллы перекристаллизовали из ацетона-воды, при этом получила 110 г названного соединения. Т. пл. 197-198oC. Элементарный анализ C13H21N5O3S: Вычислено (%): C, 47.69; H, 6.46; N, 21.39. Найдено (%): C, 47.84; H, 6.60; N, 21.33. ПРИМЕР 4. ПОЛУЧЕНИЕ 6-(2,2-ДИЭТИЛ-3-СУЛЬФАМОИЛ-1-ПРОПОКСИ)-7-ИЗОПРОПИЛ[1,2,4]ТРИАЗОЛО(1,5-b]ПИРИДАЗИНА. Для получения 0.967 г названного соединения, используя 0.586 г 3-гидрокси-2,2-диэтилпропан-1-сульфонамида и 0.561 г 6-хлор-7-н- изопропил[1.2.4] триазоло[1,5-b] пиридазина, осуществили ту же самую реакцию, что и в примере 1. Температура плавления: 190-192oC Элементарный анализ C15H22N5O3S: Вычислено (%): C, 50.68; H, 7.09; N, 19.70. Найдено (%): C, 50.90; H, 7.30; N, 19.42. ПРИМЕР 5. ПОЛУЧЕНИЕ 6-(2,2-ДИМЕТИЛ-3-СУЛЬФАМОИЛ-1-ПРОПОКСИ)-7-ИЗОБУТИЛ (1.2,4]ТРИАЗОЛО[1,5-b]ПИРИДАЗИНА. Для получения 0.63 г названного соединения, используя 0.84 г 3-гидрокси-2,2-диметилпропан-1-сульфонамида и 1.0 г 6-хлор-7- изобутил[1.2.4]триазоло[1,5-b]пиридазина, осуществили ту же самую реакцию, что и в примере 1. Температура плавления: 132-135oC Элементарный анализ C14H23N5O3S H2O:Вычислено (%): C, 46.78; H, 6.45; N, 19.98. Найдено (%): C, 46.91; H, 6.40; N, 19.79. ПРИМЕР 6. ПОЛУЧЕНИЕ 6-(2,2-ДИМЕТИЛ-3-СУЛЬФАМОИЛ-1-ПРОПОКСИ)-7-ТРЕТ- БУТИЛ[1,2,4]ТРИАЗОЛО[1,5-b]ПИРИДАЗИНА. Для получения 1.13 г названного соединения, используя 1.0 г 3-гидрокси-2,2-диметилпропан-1-сульфонамида и 1.2 г 7-трет-бутил-6- хлор-1.2,4]триазоло [1.5-b]пиридазина, осуществили ту же самую реакцию, что и в примере 1. Температура плавления: 168-170oC Элементарный анализ C14H23N5O3S: Вычислено (%): C, 49.25; H, 6.79; N, 20.51. Найдено (%): C, 49.12; H, 6.69; N, 20.81. ПРИМЕР 7. ПОЛУЧЕНИЕ 6-(2,2-ДИМЕТИЛ-3-СУЛЬФАМОИЛ-1-ПРОПОКСИ)-7-H- ГЕКСИЛ[1,2,4]ТРИАЗОЛО[1.5-b]ПИРИДАЗИНА. Для получения 1.5 г названного соединения, используя 0.74 г 3-гидрокси-2,2-диметилпропан-1-сульфонамида и 1,0 г 6-хлор-7-н-гексил[1,2,4]триазоло[1.5-b] пиридазина, осуществили ту же самую реакцию, что и в примере 1. Температура плавления: 150-151oC Элементарный анализ C16H27N5O3S: Вычислено (%): C, 52.01; H, 7.37; N, 18.95 Найдено (%): C, 52.00; H, 7.32; N, 19.15. ПРИМЕР 8. ПОЛУЧЕНИЕ 6-(2,2-ДИМЕТИЛ-3-СУЛЬФАМОИЛ-1-ПРОПОКСИ)-7-ЦИКЛОПЕНТИЛ [1,2,4] ТРИАЗОЛО[1,5-b]ПИРИДАЗИНА. Для получения 1.56 г названного соединения, используя 1.01 г 3-гидрокси-2.2-диметилпропан-1-сульфонамида и 1.27 г 6-хлор-7- циклопентил[1.2,4] триазоло[1,5-b] пиридазина, осуществили ту же самую реакцию, что и в примере 1. Температура плавления: 170-172oC Элементарный анализ C15H23N5O3S 0.5H2O;Вычислено (%): C, 49.71; H, 6.67; N, 19.32. Найдено (%): C, 49.65; H, 6.69; N 19.48. ПРИМЕР 9. ПОЛУЧЕНИЕ 7-ИЗОПРОПИЛ-6-(3-СУЛЬФАМОИЛ-1-ПРОПОКСИ)[1,2,4]ТРИАЗОЛО [1,5-b] ПИРИДАЗИНА. 168 мг 60% маслянистого гидрида натрия суспендировали в 25 мл тетрагидрофурана; добавили 279 мг 3-гидроксипропан-1-сульфонамида, после этого в течение 40 минут осуществили нагревание в колбе с обратным холодильником. Затем смесь охладили, добавили 394 мг 6-хлор-7-изопропил[1,2,4]триазоло[1,5-b] пиридазина, после этого в течение 20 часов при комнатной температуре осуществили перемешивание. Затем добавили смесь воды со льдом, 5N хлористоводородной кислотой установили pH смеси, равный 5. После этого раствор насытили хлоридом натрия и экстрагировали тетрагидрофураном; экстракт промыли насыщенным солевым раствором и сушили над сульфатом магния. Затем высушенный продукт концентрировали под пониженным давлением, полученные кристаллы промыли этиловым эфиром и перекристаллизовали из 95% этанола, получив при этом 414 мг названного соединения. Температура плавления: 190-191oC Элементарный анализ C11H17N5O3S: Вычислено (%): C, 44.14; H, 5.72; N, 23.39. Найдено (%): C, 44.12; H, 5.77; N, 22.92. ПРИМЕР 10. ПОЛУЧЕНИЕ 6-(2,2-ДИМЕТИЛ-3-СУЛЬФАМОИЛ-1-ПРОПОКСИ)-7-ИЗО-ПРОПИЛ- 2-МЕТИЛ[1,2,4]ТРИАЗОЛО[1,5-b]ПИРИДАЗИНА. В 30 мл тетрагидрофурана суспендировали 252 мг 60% маслянистого гидрида натрия; добавили 527 мг 3-гидрокси-2,2-диметилпропан-1- сульфонамида, затем в течение 1 часа осуществили нагревание в колбе с обратным холодильником. После этого смесь охладили, добавили 632 мг 6-хлор-7-изопропил-2-метил[1,2,4] триазоло[1,5-b]пиридазина, затем осуществили нагревание в колбе с обратным холодильником в течение 6 часов. После этого смесь охладили, добавили смесь воды со льдом, к смеси для доведения ее pH до 5 добавили 5N хлористоводородную кислоту. Затем раствор насытили хлоридом натрия и экстрагировали этилацетатом-тетрагидрофураном (при их соотношении 2:1); экстракт промыли насыщенным солевым раствором и сушили над сульфатом магния. После этого экстракт концентрировали под пониженным давлением, полученный остаток подвергли силикагельной колоночной хроматографии и элюировали дихлорметаном-этилацетатом-метанолом (при их соотношении 10:10:1). Собрали желательную фракцию; полученные кристаллы перекристаллизовали из 95% этанола, при этом получили 746 мг названного соединения. Температура плавления: 196-199oC Элементарный анализ C14H23N5O3S: Вычислено (%): C, 49.25; H, 6.79; N, 20.51. Найдено (%) C, 49.18; H, 6.76; N, 20.44. ПРИМЕР 11. ПОЛУЧЕНИЕ 6-(2,2-ДИЭТИЛ-3-СУЛЬФАМОИЛ-1-ПРОПОКСИ)-7-ТРЕТ-БУТИЛ [1,2,4] ТРИАЗОЛО[1.5-b]ПИРИДАЗИНА. В 30 мл тетрагидрофурана суспендировали 380 мг 60% маслянистого гидрида натрия; добавили 980 мг 3-гидрокси-2,2- диэтилпропан-1-сульфонамида, затем в течение 1 часа осуществили нагревание в колбе с обратным холодильником. После этого смесь охладили, добавили 1.0 г 7-трет-бутил-6-хлор[1,2,4]триазоло[1,5-b]пиридазина, затем осуществили нагревание в колбе с обратным холодильником в течение 3 часов. После этого смесь охладили, добавили смесь воды со льдом, затем 5N хлористоводородной кислотой установили pH смеси, равный 4. После этого раствор насытили хлоридом натрия и экстрагировали тетрагидрофураном; экстракт промыли насыщенным солевым раствором и сушили над сульфатом магния. Затем экстракт концентрировали под пониженным давлением, полученный остаток очистили силикагельной колоночной хроматографией и элюировали дихлорметаном-метанолом (при их соотношении 30:1). Желательную фракцию собрали, при этом получили 720 мг названного соединения. Температура плавления: 172-174oC Элементарный анализ C16H27N5O3S: Вычислено (%): C, 51.01; H, 7.37; N, 18.95. Найдено (%): C, 51.86; H, 7.31; N, 18.90. ЭКСПЕРИМЕНТАЛЬНЫЙ ПРИМЕР 1 Ниже показаны результаты фармакологических испытаний соединения [I] или его соли в соответствии с изобретением. ВОЗДЕЙСТВИЕ НА БРОНХОСТЕНОЗ У МОРСКИХ СВИНОК, ВЫЗВАННЫЙ ФАКТОРОМ АКТИВАЦИИ ТРОМБОЦИТОВ (PAF). Использовали морских свинок мужского пола Hartley (Хартлей) (масса тела около 500 г). Бронхостеноз у морских свинок, вызванный PAF (фактором активации тромбоцитов) (1 мк/кг, внутривенно) измерили в соответствии с методом Конзетта-Росслера. Неподвижную морскую свинку, находящуюся в положении лежа на спине, анастезировали уретаном (1,5 г/кг, внутривенно) с использованием трахеотомии, и трахею соединили с респиратором через канюлю. Боковое ответвление трахеальной канюли присоединили к бронходатчику (Модель 7020, Ugobasile). Избыточный объем выделяющегося воздуха зарегистрировали через бронходатчик на ректиграфе (Rechte – Hori- 8S, San-ei Sokki). После того как морская свинка получила галламин (1 мг/кг, внутривенно), ее обработали PAF (1 мкг/кг). За один час до обработки PAF ей перорально ввели лекарство, суспендированное в 5% растворе гуммиарабика, доза которого составила 3 мг/кг или 1 мг/кг. Результаты представлены в таблице 1. Из таблицы 1 следует, что желательное соединение [I] или его соль настоящего изобретения обладает большим ингибирующим воздействием, чем ингибирующее воздействие соединения, имеющего в 7-положении триазолопиридазиновой структуры метильную группу. ЭКСПЕРИМЕНТАЛЬНЫЙ ПРИМЕР 2. 1) Приготовление эозинофильной суспензии морских свинок. Морских свинок мужского пола Hartley (Хартлей) (масса тела около З00 г) внутрибрюшинно обрабатывали 2 мл лошадиной сыворотки (Whittaker Bioproducts) (Виттакер Биопродактс) раз в неделю в течение 8 последовательных недель. Через 48 часов после последней обработки в брюшинную полость влили 75 мл физиологического солевого раствора, лаваж собрали и подвергли центрифугированию при 400G (1500 оборотов в минуту) в течение 5 минут. Осадок после центрифугирования суспендировали в 5 мл суспензии Percoll (Перколла), имеющей неравномерную плотность (относительная плотность d= 1.07), градиенты нанесли на верхнюю поверхность суспензий Перколла (относительная плотность d= 1.112: 5 мл, d=1.095:10 мл, d=1.090:10 мл, d=1.085:7 мл) и подвергли центрифугированию (18oC) при 1000oC (2200 оборотов в минуту) в течение 30 минут. Собрали слой клеток, образованный в граничной зоне между d= 1.112 и d= 1.095. Собранный осадок клеток подвергли гипотонической обработке (суспендировали в воде в течение 30 секунд) для удаления примесей, загрязняющих эритроциты. Осадок три раза промыли раствором Ханкса (Hanks), содержащим 10 мМ Hepes (Доджин Кагаку) (Dojin Kagaku) (Hanks-Hepes) и суспендировали в Hanks-Hepes, содержащем 2% (вес./об.) сывороточного альбумина человека (Вако Пурэ Кэмикал) (Wako Pure Chemical) (Hanks – Hepes – HSA) при концентрации 5.56 106 клеток/мл. Эозинофильная чистота составила 92-96% и жизнеспособность эозинофилов была не менее 98%.
2) АНАЛИЗ ИНГИБИРОВАНИЯ ХЕМОТАКСИСА.
В чашку Петри, имеющую 24 ячейки, которая служила в качестве нижней камеры, перенесли 600 мкл LTB4 (конечная концентрация 10-8 М, Cascade Biochemical Ltd. (Каскад Биокэмикал Лтд) в растворе Hanks-Hepes-HSA, после чего осуществили инкубацию при 37oC в диоксидуглеродном инкубаторе в течение 30 минут. После того как верхнюю камеру соединили с чашкой Петри, содержащей 24 ячейки, в клеточный хемотаксис, (поликарбонатная мембрана, размер пор 3 мкм, толщина 10 мкм), который служил в качестве верхней камеры, отдельно добавили 200 мкл (5 106 клеток/мл) эозинофильной суспензии, предварительно инкубированной при 37oC в течение 15 минут в камере постоянной температуры. Через два часа протекания реакции в диоксидуглеродном инкубаторе клеточный хемотаксис удалили; к жидкости в нижней камере добавили 60 мкл 2% (вес./об) раствора EDTA (этилендиаминтетрауксусной кислоты) в физиологическом солевом растворе. После охлаждения смеси льдом с использованием счетчика форменных элементов крови (торговое название Coulter Counter) сосчитали клетки, мигрирующие в жидкость нижней камеры. В верхнюю и нижнюю камеры добавили испытуемое лекарство, растворенное в диметилформамиде до конечной концентрации 10-5 М.
Уравнение 1.
Скорость ингибирования хемотаксиса = ![]() Из таблицы 2 следует, что желательное соединение [I] настоящего изобретения или его соль имеет более сильнодействующую ингибирующую активность против эозинофильного хемотаксиса, чем ингибирующая активность соединения, имеющего в 7-положении триазолпиридазиновой структуры метильную группу. ПРИМЕР 1 ПОЛУЧЕНИЯ. (1) Соединение примера 3 – 10.0 мг (2) Лактоза – 60.0 мг (3) Кукурузный крахмал – 35.0 мг (4) Желатин – 3.0 мг (5) Стеарат магния – 2.0 мг Смесь, состоящую из 10.0 мг соединения, полученного в примере 3, 60 мг лактозы и 35.0 мг кукурузного крахмала, гранулировали сквозь сито с размером отверстий 1 мм, используя 0.03 мл 10% водного раствора желатина (содержащего 3.0 мг желатина), после этого ее сушили при 40oC и опять просеяли. Полученные гранулы смешали с 2.0 мг стеарата магния и затем подвергли прессованию. Полученные таблетки, имеющие сердцевину, покрыли сахарным покрытием, используя водную суспензию сахарозы, диоксид титана, тальк и гуммиарабик. Покрытые таблетки отполировали с помощью воска, при этом получили конечные таблетки с покрытием. ПРИМЕР 2 ПОЛУЧЕНИЯ (1) Соединение примера 3 – 10.0 мг (2) Лактоза – 70 мг (3) Кукурузный крахмал – 50 мг (4) Растворимый крахмал – 7,0 мг (5) Стеарат магния – 3.0 мг 10.0 мг соединения, полученного в примере 3 и 3.0 мг стеарата магния смешали и гранулировали, используя 0.07 мл водного раствора растворимого крахмала, (содержащего 7.0 мг растворимого крахмала). Полученные гранулы сушили и смешали с 70.0 мг лактозы и 50.0 мг кукурузного крахмала, после чего осуществили прессование и получили таблетки. ПРИМЕР 3 ПОЛУЧЕНИЯ (1) Соединение примера 3 – 5.0 мг (2) Хлорид натрия – 20.0 мг (3) Для получения общего количества, равного 2 мл, добавили дистиллированную воду. 5.0 мг соединения, полученного в примере 3, и 20.0 мг хлорида натрия растворили в дистиллированной воде и разбавили водой для получения общего количества равного 2 мл. Полученный раствор фильтровали и асептически поместили в 2 мл ампулы, которые стерилизовали и герметизировали, получив при этом раствор для инъекций. ПРОМЫШЛЕННАЯ ПРИМЕНИМОСТЬ. Обладая превосходной ингибирующей активностью в отношении фактора активации тромбоцитов и эозинофильного хемотаксиса, соединение [I] или его соль настоящего изобретения является пригодным в качестве профилактического/лекарственного средства против астмы, аллергического ринита, атопического дерматита и т.п. Формула изобретения
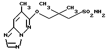
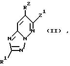
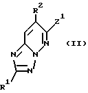
![]() где R1 является атомом водорода или низшей алкильной группой; R2 является С2-6-алкильной группой или С3-6-циклоалкильной группой; Х является атомом кислорода; Y является группой формулы ![]() где R3 и R4 – атом водорода или низшая алкильная группа; R5 и R6 – каждый независимо означает атом водорода или низшую алкильную группу; m и n независимо представляют целое число от 0 до 4, или его физиологически приемлемая кислая соль присоединения. 2. Соединение по п.1, где R2 является низшей алкильной группой, имеющей 2 – 6 атомов углерода. 3. Соединение по п.2, где низшая алкильная группа является разветвленной С3-6-алкильной группой. 4. Соединение по п. 1, где R1 является атомом водорода; R2 является С2-6-алкильной группой; Х является атомом кислорода; Y является группой формулы ![]() в которой R3b и R4b независимо являются С1-4-алкильной группой; R5 и R6 независимо являются атомом водорода или С1-6-алкильной группой; m и n независимо равны 1 или 2. 5. Соединение по п. 4, где R2 является разветвленной С3-6-алкильной группой. 6. Соединение по п.5, где R5 и R6 являются атомом водорода, m и n равны 1. 7. Соединение по п.5, где С3-6-алкильная группа является изопропильной группой. 8. Соединение по п.1, выбранное из группы, включающей 6-(2,2-диметил-3-сульфамоил-1-пропокси)-7-этил[1,2,4]-триазоло[1,5-а]пиридазин или его соль, 6-(2,2-диметил-3-сульфамоил-1-пропокси)-7-н-пропил-[1,2,4] триазоло[1,5-а]пиридазин или его соль, 6-(2,2-диметил-3-сульфамоил-1-пропокси)-7-изопропил-[1,2,4] триазоло[1,5-а]пиридазин или его соль, 6-(2,2-диметил-3-сульфамоил-1-пропокси)-7-изопропил-[1,2,4] триазоло[1,5-а]пиридазин или его соль, 6-(2,2-диметил-3-сульфамоил-1-пропокси)-7-трет-бутил-[1,2,4] триазоло[1,5-а]пиридазин или его соль, 6-(2,2-диэтил-3-сульфамоил-1-пропокси)-7-трет-бутил-[1,2,4] триазоло[1,5-а]пиридазин или его соль, 9. Способ получения соединения по п.1, который включает взаимодействие соединения формулы ![]() или его соли с соединением формулы ![]() или его солью, где Z1 и Z2 являются отщепляемой группой, в реакции взаимного обмена, другие символы имеют значения, указанные в п.1. 10. Фармацевтическая композиция для предотвращения или лечения атопического дерматита, отличающаяся тем, что она содержит 0,01 – 100 вес.% соединения по п.1. 11. Фармацевтическая композиция для ингибирования эозинофильного хемотаксиса, отличающаяся тем, что в качестве активного ингредиента содержит эффективное количество соединения по п.1 вместе с фармацевтически приемлемым носителем или разбавителем. 12. Способ лечения атопического дерматита у млекопитающих, отличающийся тем, что вводят млекопитающему эффективное количество соединения по п.1 вместе с фармацевтически приемлемым носителем или разбавителем. Приоритет по пунктам: 16.09.94 – по пп. 1 – 7, 9 при R1 -атом водорода или низшая алкильная группа; R2 – С2-6-алкильная группа; Х – атом кислорода; Y – группа формулы ![]() где R3 и R4 – атом водорода или низшая алкильная группа; R5 и R6 каждый независимо означает атом водорода или низшую алкильную группу; m и n независимо целое число от 0 до 4; 22.09.94 – по пп.1 – 7, 9- при R2 – С3-6-циклоалкильная группа; 22.09.1994 – по пп.8, 10 – 12. РИСУНКИ
MM4A Досрочное прекращение действия патента Российской Федерации на изобретение из-за неуплаты в установленный срок пошлины за поддержание патента в силе
Дата прекращения действия патента: 12.09.2001
Извещение опубликовано: 20.11.2004 БИ: 32/2004
|
||||||||||||||||||||||||||















предпочтительно следующие:













: 1.32 (3H, t, J=7 Hz), 2.78 (2H, g, J=7 Hz), 7.39 (1H, s).
ССЫЛОЧНЫЙ ПРИМЕР 2.
ПОЛУЧЕНИЕ 3,6-ДИХЛОР-4-H-ПРОПИЛПИРИДАЗИНА.
Для получения 12.7 г названного соединения, используя 16.6 г 3.6-дихлорпиридазина и 14.4 г н-масляной кислоты, осуществили ту же самую реакцию, что и в ссылочном примере 2.
ЯМР (CDCl3)
H2O:





