|
|
(21), (22) Заявка: 2004136233/09, 10.12.2004
(24) Дата начала отсчета срока действия патента:
10.12.2004
(46) Опубликовано: 27.07.2006
(56) Список документов, цитированных в отчете о поиске:
RU 2235392 C1, 27.08.2004. RU 2230337 С2, 10.06.2004. SU 1774503 A1, 07.11.1992. US 5568156 А, 22.10.1996. US 5124711 A, 23.06.1992. WO 92/21162 А, 26.11.1992. ЕР 0416264 А, 13.03.1991.
Адрес для переписки:
344038, г.Ростов-на-Дону, пр-т М. Нагибина, 24/50, Ростовский ВИРВ, НИО
|
(72) Автор(ы):
Землянский Сергей Владимирович (RU), Мищенко Евгений Николаевич (RU), Мищенко Сергей Евгеньевич (RU), Шацкий Виталий Валентинович (RU)
(73) Патентообладатель(и):
Ростовский военный институт ракетных войск им. Главного маршала артиллерии Неделина М.И. (RU)
|
(54) СПОСОБ ПОДАВЛЕНИЯ ПОМЕХ ПРИ ПРИЕМЕ ЭЛЕКТРОМАГНИТНОЙ ВОЛНЫ КРУГОВОЙ ПОЛЯРИЗАЦИИ БИОРТОГОНАЛЬНОЙ АНТЕННОЙ СИСТЕМОЙ
(57) Реферат:
Изобретение относится к антенной технике и может быть использовано в радиотехнических системах связи. Техническим результатом является повышение отношения сигнал/помеха при приеме за счет исключения эффекта взаимного влияния между вибраторами и подавления помех, в том числе и подобных по спектру полезному сигналу, в широком секторе углов. Способ основан на том, что осуществляют прием электромагнитной волны круговой поляризации с помощью двух ортогональных антенных систем, развернутых друг относительно друга на угол /4, преобразуют принятые сигналы, формируют четыре опорных сигнала, выравнивают во времени девять отсчетов опорных сигналов, находят четыре совокупности гипотетических реализаций помехового сигнала, оценивают достоверность каждой из четырех гипотез и выбирают наиболее достоверную из них, формируют четыре компенсирующих сигнала, соответствующих выбранной гипотезе, компенсируют помеховые сигналы, производят выравнивание по фазе откорректированных сигналов в каждой из пар и между парами, суммируют сигналы в каждой из пар и между парами, образуя выходной сигнал биортогональной антенной системы, при этом из четырех преобразованных сигналов с выходов элементов биортогональной антенной системы формируют четыре сигнала компенсации взаимного влияния элементов биортогональной антенной системы путем взвешенного суммирования преобразованных сигналов, после чего полученные четыре сигнала с компенсацией взаимного влияния элементов биортогональной антенной системы используют для формирования четырех опорных сигналов. 4 ил.
Изобретение относится к антенной технике и может быть использовано в радиотехнических системах связи при приеме волн круговой поляризации поля биортогональной антенной системой в условиях воздействия преднамеренных и непреднамеренных помех линейной поляризации, в том числе помех, подобных по спектру полезному сигналу.
Известны способы для борьбы с преднамеренными помехами, основанные на расширении спектра принимаемого сигнала, использовании антенн с узкими диаграммами направленности, разнесенном приеме и адаптивном приеме с исключением пораженных помехой элементов [1]. Достижимый положительный эффект определяется выигрышем от обработки сигналов при приеме и передаче, совместного использования кодов и схем разнесенного приема, а также методов адаптивного приема, при котором в направлении помехи обеспечивают максимальное снижение потока мощности при максимальном увеличении чувствительности в направлении прихода полезного сигнала. К недостаткам перечисленных способов относятся их низкая эффективность из-за того, что преднамеренные помехи в процессе работы могут изменять как структуру, так и уровень, и в каждой конкретной помеховой ситуации существует априорная неопределенность относительно периода следования, амплитуды помехи. Кроме того, большинство способов для своей реализации требует использования либо нескольких антенн, либо антенных решеток.
Известны способы разнесенного приема сигналов, обеспечивающие максимизацию отношения сигнал/шум + помеха: разнесенный прием с коммутацией ветвей разнесения, когерентное сложение сигналов с восстановлением несущей частоты или с использованием отдельного пилот-сигнала. Достоинством способов разнесенного приема сигналов является их более высокая помехоустойчивость. Кроме того, эти способы целесообразно использовать для ослабления влияния многолучевости [2, с.303-435]. К недостаткам указанных способов следует отнести возможность их работы только с полезными сигналами линейной поляризации.
Известен способ разнесенной передачи и приема двух ортогонально поляризованных волн [2, с.120-124], основанный на излучении двух ортогонально поляризованных волн близко расположенными антеннами, например вертикальными электрическим и магнитным диполями, на независимом приеме излученных электромагнитных колебаний и их последующей обработке. Так как излучаемая мощность распределена одинаково в двух различных плоскостях поляризации, то в системе с поляризационной селекцией по сравнению с системой, в которой осуществляется прием на пространственно разнесенные антенны, наблюдается среднее уменьшение мощности на 3 дБ, что является недостатком известного способа [2, с.121].
Известен способ поляризационной селекции помех при приеме электромагнитной волны круговой поляризации, описанный в [3] и реализованный в устройстве [4]. Способ разработан для повышения эффективности приема-передачи электромагнитных волн при работе на низких и средних углах места. Способ основан на независимом приеме компонент электромагнитной волны ортогональной парой вибраторов, образующей турникетную антенну, формировании опорного и разностного сигналов, задержке опережающего сигнала на /2 в соответствии с направлением вращения поляризационного эллипса полезного сигнала и формировании выходного сигнала в виде суммы опорного и разностного сигналов. Получаемое при реализации этого способа решение, несмотря на обеспечение коэффициента эллиптичности, близкого к единице, при низких и средних углах места, не является оптимальным, поскольку не учитываются помеховые сигналы, а вводимое ослабление сигналов в трактах излучателей для выравнивания амплитуд сигналов снижает помехоустойчивость приемной системы. Следует отметить, что поляризационные эффекты в атмосфере, приводящие к возникновению кросс-поляризационной составляющей, при реализации данного способа не учитываются. Между тем их влияние приводит к уменьшению амплитуды полезного сигнала и увеличению помех.
Известен способ подавления помех при приеме электромагнитной волны круговой поляризации биортогональной антенной системой, в том числе и помех, подобных по спектру полезному сигналу, реализованный в устройстве [5]. Он основан на независимом приеме биортогональной антенной системой ортогонально поляризованных компонент поля, представляющего собой сумму полей полезного сигнала и сигнала помехи, преобразовании указанных компонент, приеме помехового сигнала линейно поляризованной антенной, ортогональной апертуре биортогональной антенной системы, формировании опорного комплексно-взвешенного сигнала, компенсации помехового сигнала, выравнивании амплитуд и фаз сигналов, соответствующих ортогональным компонентам полезного сигнала, и образовании выходного сигнала биортогональной антенной системы на основе суммирования разностных сигналов. При реализации данного способа могут быть подавлены помехи, подобные по спектру полезному сигналу. Недостатком известного способа является ограниченность направлений прихода помехового сигнала, так как при его реализации эффективно подавляются помехи, направления прихода которых близки к нормали к раскрыву биортогональной антенной системы. Кроме того, флуктуации амплитуд помехи и полезного сигналов ухудшают возможность компенсации помехи.
Более близким по технической сущности к заявляемому способу является способ подавления помех при приеме электромагнитной волны круговой поляризации биортогональной антенной системой, предложенный в [6]. Он состоит в том, что осуществляют прием электромагнитной волны круговой поляризации с помощью двух ортогональных антенных систем, развернутых друг относительно друга на угол /4, формируют из преобразованных сигналов четыре опорных сигнала, которые попарно пропорциональны тангенциальным составляющим напряженности электромагнитного поля, выравнивают во времени девять отсчетов опорных сигналов в течение времени, равного 3Т/8, через промежутки времени, равные Т/8, где Т – период несущего колебания, формируют десять разностных сигналов i (i=1, 2,…, 10) путем вычитания выравненных во времени отсчетов опорных сигналов, находят четыре совокупности гипотетических реализаций помехового сигнала, предполагая, что тангенциальная составляющая напряженности поля помехового сигнала ориентирована для каждой совокупности гипотетических реализаций под углом =- /4, 0, /4 и /2 соответственно к тангенциальной составляющей электромагнитного поля опережающего опорного сигнала, оценивают достоверность каждой из четырех гипотез и выбирают наиболее достоверную из них путем формирования совокупности гипотетических разностных сигналов и получения невязок между гипотетическими и разностными сигналами i, формируют четыре компенсирующих сигнала, соответствующих выбранной гипотезе, компенсируют помеховые сигналы путем вычитания четырех компенсирующих сигналов из опорных сигналов, образуя четыре откорректированных сигнала, производят выравнивание по фазе откорректированных сигналов в каждой из пар, задерживая опережающий сигнал на четверть периода несущего колебания, и между парами, задерживая на восьмую часть периода несущего колебания сигнал второй ортогональной антенной системы, являющийся опережающим, суммируют сигналы в каждой из пар и между парами, образуя выходной сигнал биортогональной антенной системы.
Недостатком известного способа является то, что наличие эффекта взаимного влияния между вибраторами биортогональной антенной системы будет приводить к ошибкам при принятии решения о положении тангенциальной составляющей напряженности поля источника помехи, особенно при относительно слабой мощности источника помехи, когда эффект взаимного влияния будет наиболее заметен.
Предлагаемый способ направлен на устранение перечисленных недостатков известных способов и повышение отношения сигнал/помеха при приеме электромагнитной волны круговой поляризации за счет подавления помех, в том числе и подобных по спектру полезному сигналу в широком секторе углов.
Рассмотрим существо предлагаемого способа.
Как и в прототипе, осуществляют прием электромагнитной волны круговой поляризации с помощью двух ортогональных антенных систем, развернутых относительно друг друга на угол /4, и преобразование принятых сигналов. Однако в отличие от способа-прототипа перед формированием четырех опорных сигналов формируют четыре сигнала с компенсацией взаимного влияния элементов биортогональной антенной системы. Данная операция заключается в том, что в соответствии с матрицей нормированных взаимных сопротивлений вибраторов для формирования каждого из четырех сигналов с компенсацией взаимного влияния элементов биортогональной антенной системы осуществляют взвешенное суммирование преобразованных сигналов, причем комплексные весовые коэффициенты при комплексных амплитудах преобразованных сигналов являются элементами матрицы нормированных взаимных сопротивлений. Далее формируют из четырех сигналов с компенсацией взаимного влияния элементов биортогональной антенной системы четыре опорных сигнала, которые попарно пропорциональны тангенциальным составляющим напряженности электромагнитного поля. После этого, как и в способе-прототипе, выравнивают во времени девять отсчетов опорных сигналов в течение времени, равного 3T/8, через промежутки времени, равные T/8, где Т – период несущего колебания, формируют десять разностных сигналов i(i=1, 2,…, 10) путем вычитания выравненных во времени отсчетов опорных сигналов таким образом, что при отсутствии помех амплитуды разностных сигналов должны быть близки к нулю. Находят четыре совокупности гипотетических реализаций помехового сигнала, предполагая, что тангенциальная составляющая напряженности поля помехового сигнала ориентирована для каждой совокупности гипотетических реализаций под углом =- /4, 0, /4 и /2 соответственно к тангенциальной составляющей электромагнитного поля опережающего опорного сигнала, оценивают достоверность каждой из четырех гипотез и выбирают наиболее достоверную из них путем формирования совокупности гипотетических разностных сигналов и получения невязок между гипотетическими и разностными сигналами i, формируют четыре компенсирующих сигнала, соответствующих выбранной гипотезе. Компенсацию помеховых сигналов осуществляют путем вычитания четырех компенсирующих сигналов из опорных сигналов, образуя четыре откорректированных сигнала. После чего производят выравнивание по фазе откорректированных сигналов в каждой из пар, задерживая опережающий сигнал на четверть периода несущего колебания, и между парами, задерживая на восьмую часть периода несущего колебания сигнал второй ортогональной антенной системы, являющийся опережающим, суммируют сигналы в каждой из пар и между парами, образуя выходной сигнал биортогональной антенной системы.
Проведенный сравнительный анализ заявленного способа и прототипа показывает, что заявленный способ отличается тем, что изменена совокупность действий:
введено действие, связанное с формированием четырех сигналов с компенсацией взаимного влияния элементов биортогональной антенной системы, изменен порядок выполнения действий во времени: после преобразования сигналов с выходов элементов биортогональной антенной системы формируют четыре сигнала с компенсацией взаимного влияния элементов биортогональной антенной системы, а затем эти сигналы используют для формирования четырех опорных сигналов.
Структурная схема устройства, функционирующего по предлагаемому способу, представлена на фиг.1.
На фиг.2 показаны прямоугольная и сферическая системы координат и взаимное размещение в этих системах двух ортогональных антенных систем.
На фиг.3 приведены временные зависимости четырех опорных сигналов после выполнения операции компенсации взаимного влияния элементов биортогональной антенной системы и без ее выполнения.
На фиг.4 представлены зависимости вероятности ошибки при передаче символа в радиоканале при реализации обработки сигнала в соответствии с прототипом и с предлагаемым способом.
Рассмотрим предлагаемый способ подавления помех при приеме электромагнитной волны круговой поляризации биортогональной антенной системой, в том числе и помех, подобных по спектру полезному сигналу, полагая, что помехи имеют линейную поляризацию. С учетом структурной схемы устройства подавления помех, представленной на фиг.1, проведем теоретическое обоснование предлагаемого способа.
Как известно, среда и сама антенна в подавляющих случаях линейно взаимодействуют с сигналом и помехой. Любая антенна, являясь резонансной системой, осуществляет частотную селекцию полезного сигнала. При этом основная доля энергии полезного сигнала приходится на достаточно узкую полосу частот, составляющие которой близки к рабочей (резонансной) частоте антенны. Поэтому с целью упрощения выкладок, будем полагать, что помеха аддитивна и взаимодействие помехи и сигнала осуществляется на частоте сигнала и, следовательно, все преобразования будем рассматривать относительно комплексных амплитуд сигналов и помех.
Рассмотрим антенну, состоящую из двух ортогональных систем электрических вибраторов, развернутых друг относительно друга на угол 45°. Расстояние между центрами ортогональных систем электрических вибраторов известно.
Пусть каждый симметричный вибратор осуществляет независимый прием сигнала круговой поляризации, приходящего с направления ( , ). При этом направление вращения поляризационного эллипса полезного сигнала является заданным.
Выберем прямоугольную декартовую систему координат и связанную с ней сферическую систему координат так, как показано на фиг.2.
Обозначим сигналы, на входе каждого из четырех вибраторов u1, u2, u3 и u4 соответственно (здесь индекс 1, 2, 3 и 4 определяется номером симметричного вибратора на фиг.2).
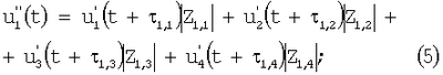
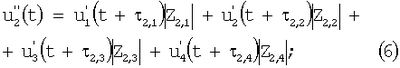
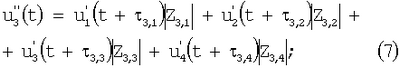
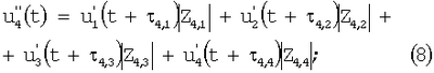
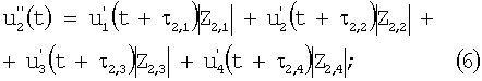
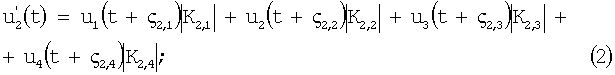
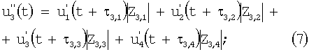
Эффект взаимного влияния вибраторов проявляется таким образом, что при возбуждении любого из четырех вибраторов биортогональной антенны в остальных трех вибраторах наводятся поверхностные токи, амплитуды и фазы которых определяются из обратной матрицы взаимных сопротивлений. В связи с этим на выходах симметричных вибраторов образуются сигналы




где – элементы матрицы К, которая является обратной по отношению к матрице Z нормированных взаимных сопротивлений; – частота полезного сигнала и сигнала помехи (следует заметить, что при несовпадении частот полезного сигнала и помехи для каждого из этих сигналов будет своя матрица взаимных сопротивлений). В результате суммарный сигнал будет являться суммой сигналов, описываемых выражениями (1)-(4) для полезного и помехового сигналов.
Матрица взаимных сопротивлений Z может быть найдена экспериментально или теоретически одним из известных методов, например методом наведенных ЭДС [7]. Для рассматриваемой антенны матрица взаимных сопротивлений представляет собой квадратную матрицу размерности 4×4, диагональные элементы которой соответствуют собственным сопротивлениям вибратора на частоте , а остальные элементы представляют собой взаимные сопротивления различных пар вибраторов на этой же частоте.
Для компенсации взаимного влияния необходимо выполнить обратное преобразование, описываемое выражениями




где  i,j=arg(Zi,j) (i,j=1,2,3,4) – фазовые задержки сигналов.
Следует отметить, что при несовпадении частот полезного и помехового сигналов преобразование (5)-(8) будет неточным, поскольку на частоте помехи матрица взаимных сопротивлений будет иной. Но, поскольку любая антенна выполняет функции частотной фильтрации, то в некоторой области частот данное преобразование с заданной точностью можно считать справедливым. При совпадении частот полезного сигнала и помехи сигналы , , и с компенсацией взаимного влияния элементов биортогональной системы будут совпадать с сигналами u1, u2, u3 и u4 на входе каждого из вибраторов биортогональной антенны.
Для заданного направления прихода полезного сигнала ( , ) и выбранного типа излучателей преобразуем сигналы , и , попарно в четыре опорных сигнала u 1, u 1 и u 2, u 2, которые при отсутствии взаимного влияния вибраторов пропорциональны тангенциальным составляющим напряженности электромагнитного поля.
Данное преобразование с учетом введенной системы координат для симметричных электрических вибраторов может быть представлено в виде [6]




Так как направление вращения поляризационного эллипса является заданным, то будем полагать, что при отсутствии помех сигнал u 1 отстает от сигнала u 1 на четверть периода несущего колебания, а сигналы u 2, u 2 отстают от соответствующих сигналов пары u 1, u 1 на восьмую часть периода несущего колебания. Такое допущение не нарушает общности рассуждений.
В момент времени t принимаемые при отсутствии помех сигналы описываются выражениями вида


где Т – период несущего колебания; u0(t) – зависимость полезного сигнала во времени.
Через интервал времени эти же сигналы примут вид


Для моментов времени и аналогичные зависимости буду иметь вид




соответственно.
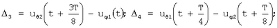
Анализ выражений (13)-(16) позволяет выделить девять пар сигналов, амплитуды которых будут при отсутствии влияния помеховых сигналов равны, т.е. могут быть записаны следующие выражения:



При наличии помеховых сигналов данные равенства нарушаются, так как на каждый из четырех опорных сигналов u 1, u 1 и u 2, u 2 помеховые сигналы воздействуют по-разному.
Пусть теперь на рабочей (или близкой к ней) частоте антенны действует помеховый сигнал n(t). Предположим, что данный сигнал является линейно поляризованным, и тангенциальная составляющая вектора напряженности ориентирована относительно тангенциальной составляющей опережающего опорного сигнала (применительно к рассматриваемому случаю относительно тангенциальной составляющей сигнала u 1) под углом 
Тогда в первый момент времени воздействие помехового сигнала на принимаемые сигналы, используемые в выражениях (17)-(19), можно описать с помощью выражений вида



В моменты времени и аналогичные выражения будут иметь следующий вид:






Найдем десять разностных сигналов i(i=1, 2,…, 10), получаемых вычитанием отсчетов двух сигналов с компенсацией взаимного влияния, амплитуды полезных сигналов которых при отсутствии помех равны





Из анализа выражений (20)-(28) следует, что полученные разностные сигналы не зависят от параметров полезного сигнала и определяются только параметрами помехи. Если предположить, что угол между тангенциальными составляющими напряженности электромагнитного поля помехи и опережающего опорного сигнала известен, то на основании выражений (20)-(28) может быть записана система из десяти линейных уравнений, в которых неизвестными будут четыре отсчета помехового сигнала: n(t), Получаемая система уравнений является переопределенной. При этом можно утверждать, что если параметр известен точно, то найденное решение должно будет удовлетворять всем уравнениям, даже в том случае, когда для определения n(t), использовалась только часть уравнений. Это позволяет использовать часть уравнений для решения системы, а часть – для проверки полученного решения.
Найдем решения системы уравнений для четырех гипотез: Выбор только данных углов обусловлен тем, что для произвольных значений часть из полученных уравнений становится линейно зависимой, в результате проверить получаемое решение не удается. На основании выражений (20)-(28) для получим (таблица 4 в [6]):




Пусть теперь , тогда аналогично (таблица 3 в [6]) можно определить n(t), 



Отсутствие составляющей шума для данной гипотезы нетрудно уяснить, если принять во внимание соотношение (28) комбинации сигнала и 14 шума. Как видно из этого соотношения, при эта составляющая шума исчезает, т.к. 
Для =0 аналогичные выражения будут иметь вид (таблица 2 в [6]):




Наконец, для найдем (таблица 1 в [6]):




В правой части выражений (29)-(40) стоят линейные комбинации разностных сигналов, получаемые на основе сохраняемых отсчетов опорных сигналов, в левой части – отсчеты помехового сигнала, соответствующие одной из четырех гипотез. Подставим найденные для каждой из гипотез параметры помехового сигнала в выражения (16)-(24), после чего найдем гипотетические разностные сигналы .
Если одна из гипотез верна, то ее гипотетические разностные сигналы совпадут с соответствующими разностными сигналами. Если угол близок к одному из четырех углов: , 0, и , то невязки между реальными разностными сигналами и соответствующими гипотетическими разностными сигналами будут меньше. Поэтому для вычисления невязок для каждой из гипотез в любой момент времени может использоваться формула вида

С учетом того, что случайные ошибки при определении амплитуд опорных сигналов могут приводить к ошибкам в определении невязок и, следовательно, к неправильному принятию решения при выборе гипотезы, результирующие невязки должны определяться после интегрирования за некоторый промежуток времени , т.е.

В результате сравнения невязок для каждой из четырех гипотез выбирается та, у которой величина – наименьшая. После выбора гипотезы получаем величину и зависимость n(t), которые позволяют на основании выражений (20)-(22) при заданном направлении , прихода полезного сигнала скомпенсировать воздействие помех.
Работа устройства, функционирующего по предложенному способу, может быть проиллюстрирована с помощью фиг.1. Смесь полезного сигнала и помехи принимается независимо плечами 1 и 2, 3 и 4 вибраторов, входящих соответственно в первую и вторую биортогональные антенные системы, взаимно развернутые на угол 45°. Выходные сигналы вибраторов и , и поступают в блок 5 формирования сигналов с компенсацией взаимного влияния элементов биортогональной антенной системы, в котором на основании известной матрицы взаимных сопротивлений в соответствии с выражениями (5)-(8) формируются сигналы и , и с компенсацией взаимного влияния элементов биортогональной антенной системы. В этом же блоке 5 производится и преобразование частоты принятых сигналов. Учитывая, что для этого преобразования может использоваться набор стандартных элементов, данное преобразование не рассматривается. Сигналы поступают на вход блока 6 формирования опорных сигналов, где в зависимости от заданного направления прихода , полезных сигналов осуществляется их преобразование в соответствии с выражениями (9)-(12) в четыре опорных сигнала u 1 и u 1, u 2 и u 2. Полученные сигналы поступают на вход блока 7 задержек, где осуществляется выравнивание во времени отсчетов опорных сигналов в течение времени через где Т – период несущего колебания (полезного сигнала). В результате на выходе блока 7 задержек формируется девять отсчетов опорных сигналов (см. выражения (17)-(19)). Из пар отсчетов сигналов, амплитуды которых равны при отсутствии помех, в соответствии с выражениями (20)-(28) в блоке 8 формирования разностных сигналов формируются десять разностных сигналов i(i=1, 2,…, 10), которые поступают на вход блоков 9-12 формирования оценок гипотез. В каждом блоке формирования оценки гипотезы осуществляется определение гипотетических отсчетов помехового сигнала n(t) (см. выражения (29)-(40)) и составляется десять гипотетических разностных сигналов . Гипотетические разностные сигналы поступают на входы соответствующих блоков 13-16 сравнения с гипотезой. В каждом блоке 13-16 сравнения с гипотезой осуществляется вычисление невязок между гипотетическими и реальными разностными сигналами на основании выражений (41), (42). Полученные четыре сигнала невязки с выходов блоков 13-16 сравнения с гипотезой поступают на соответствующие входы решающего блока 17. В решающем блоке 17 выбирается сигнал невязки с наименьшей амплитудой. На выходе решающего блока формируется параллельный код, однозначно определяющий выбранную гипотезу, т.е. значение в выражениях (20)-(28). Полученный код поступает на вход блока 18 формирования компенсирующих сигналов. С выходов блоков 9-12 формирования оценок гипотезы на второй вход блока 18 формирования компенсирующих сигналов поступают четыре сигнала, соответствующих значениям гипотетических отсчетов сигнала помехи n(t) для всех четырех гипотез. В блоке 18 формирования компенсирующих сигналов на основании параллельного кода, поступающего на первый вход, осуществляется выбор гипотетического отсчета сигнала помехи n(t), соответствующего выбранной в решающем блоке 17 гипотезе, и формируются четыре компенсирующих сигнала n(t)sin , n(t)cos , -n(t) и n(t) При этом тригонометрические множители при n(t) для выбранного значения представляют собой постоянные коэффициенты усиления, однозначно определяемые выбором гипотезы. Полученные компенсирующие сигналы поступают на первые четыре входа блока 19 компенсации помех. На вторые четыре входа блока 19 компенсации помех поступают четыре опорных сигнала с компенсацией взаимного влияния u 1 и u 1, u 2 и u 2. В данном блоке производится инвертирование компенсирующих сигналов, после чего осуществляется суммирование данных сигналов с соответствующими опорными сигналами. Формируемые в блоке 19 компенсации помех четыре откорректированных сигнала поступают на вход блока 20 синфазного суммирования, в котором в каждой паре четырех откорректированных сигналов осуществляется задержка опережающего сигнала на четверть периода несущего колебания полезного сигнала. После этого задерживаются на восьмую часть периода несущего колебания сигналы в опережающей паре. Затем все четыре получаемых сигнала суммируются, образуя выходной сигнал устройства.
Блок 5 формирования сигналов с компенсацией взаимного влияния элементов биортогональной антенны состоит из сумматоров, аттенюаторов или усилителей и линий задержки.
Блоки 6-20 могут быть реализованы аналогично прототипу [6].
Таким образом, устройство, реализующее предлагаемый способ, состоит из стандартных блоков, реализация которых описана в известной литературе.
На фиг.3 приведены временные зависимости четырех опорных сигналов для способа прототипа и предлагаемого способа при расстоянии между ортогональными антеннами системами, равным 0,55 рабочей длины антенны, при =202° и двухкратном превышении мощности сигнала помехи над мощностью полезного сигнала. Сдвиг фаз между полезным и помеховым сигналами был равен 60°. Кривые 1 соответствуют опорным сигналам прототипа, где операция компенсации взаимного влияния элементов биортогональной антенной системы не осуществлялась. Кривые 2 иллюстрируют временные зависимости опорных сигналов после выполнения операции компенсации взаимного влияния элементов биортогональной антенной системы и совпадают с временными зависимостями опорных сигналов, которые имели бы место в способе-прототипе при отсутствии эффекта взаимного влияния (например, при большем удалении ортогональных антенных систем). Видно, что отсутствие операции компенсации взаимного влияния элементов биортогональной антенны в способе-прототипе может приводить к заметным амплитудным и фазовым искажениям сигналов. Это в худшем случае может привести к ошибке при выборе гипотезы, а в лучшем – к искажению формы выходного сигнала, так как в процессе формирования компенсирующих сигналов эффект взаимного влияния не учитывается. В целом отсутствие операции компенсации взаимного влияния элементов биортогональной антенной системы в способе-прототипе будет приводить к возрастанию вероятности ошибки при передаче символа по сравнению с предлагаемым способом.
Для оценки эффективности предложенного способа были проведены численные исследования, в ходе которых оценивалась величина вероятности ошибки при передаче символа в канале связи за заданный интервал времени к максимальной ошибке, получаемой в случае отсутствия компенсации помех. Для вычисления данного показателя было использовано выражение вида [8]:

где r – коэффициент корреляции между выходным сигналом и зависимостью u0(t); h – отношение сигнал/помеха; F(x) – функция Крампа, рассмотренная в [9] и описываемая зависимостью

На фиг.4 приведены рассчитанные вероятности ошибки при передаче одиночного символа в радиоканале при реализации способа подавления помех, предложенного в [6], и при реализации предлагаемого способа (кривые 1 и 2 соответственно) в зависимости от мощности помехи.
Анализ полученных результатов позволяет сделать вывод о том, что использование компенсации взаимного влияния элементов биортогональной антенны позволяет заметно снизить вероятность ошибки. Поскольку на основании выражения (43) величина Рош монотонно зависит от отношения сигнал/помеха, то это означает, что добавление новой операции в способ-прототип позволяет получить выигрыш в отношении сигнал/помеха во всем диапазоне изменения мощности помехи при совпадении частот полезного и помехового сигналов. Следует также заметить, что величина выигрыша будет зависеть от расстояния между ортогональными парами вибраторов. Кроме того, полученный выигрыш будет уменьшаться при несовпадении частоты полезного и помехового сигналов.
Таким образом, введение нового действия и изменение порядка выполнения во времени и в разных сочетаниях известных действий, обеспечивающих реализацию предлагаемого способа, позволяет достичь повышения отношения сигнал/помеха + шум при приеме электромагнитной волны круговой поляризации биортогональной антенной системой за счет подавления помех, в том числе и подобных по спектру полезному сигналу, в широком секторе углов.
Источники информации
1. Ли У. Техника подвижных систем связи: Пер. с англ. – М.: Радио и связь, 1985. – С.357-373.
2. Связь с подвижными объектами в диапазоне СВЧ / Под ред. У.К.Джейса. Пер. с англ. Под ред. М.С.Ярлыкова и М.В.Чернякова. – М.: Связь, 1979. – 520 с.
3. Бабейко А.Л., Бовкун В.П., Брауде С.Я., Мень А.В., Сергиенко Ю.Ю. Интерферометр декаметрового диапазона радиоволн УРАН-1. – В кн.: Антенны. Под ред. А.П.Пистолькорса. – М.: Связь, 1979, вып.26, с.121-134.
7. Бахрах Л.Д., Кременецкий С.Д. Синтез излучающих систем (теория и методы расчета). – М.: Сов. Радио, 1974, 174 с.
8. Радиотехнические системы передачи информации: Учеб. пособие для вузов/ В.А.Борисов, В.В.Калмыков, Я.М.Ковальчук и др.; под ред. В.В.Калмыкова. – М.: Радио и связь, 1990, 304 с.
9. Теория передачи сигналов: Учебник для вузов / Зюко А.Г., Кловский Д.Д., Назаров М.В., Финк Л.М. – М.: Связь, 1980. – 288 с.
Формула изобретения
Способ подавления помех при приеме электромагнитной волны круговой поляризации биортогональной антенной системой, в том числе и помех, подобных по спектру полезному сигналу, основанный на том, что осуществляют прием электромагнитной волны круговой поляризации с помощью двух ортогональных антенных систем, развернутых относительно друг друга на угол /4, преобразуют принятые сигналы, формируют четыре опорных сигнала, которые попарно пропорциональны тангенциальным составляющим напряженности электромагнитного поля, выравнивают во времени девять отсчетов опорных сигналов в течение времени, равного 3Т/8, через промежутки времени, равные Т/8, где Т – период несущего колебания, формируют десять разностных сигналов i (i=1, 2,…, 10) путем вычитания выровненных во времени отсчетов опорных сигналов таким образом, что при отсутствии помех амплитуды разностных сигналов должны быть близки к нулю, находят четыре совокупности гипотетических реализации помехового сигнала, предполагая, что тангенциальная составляющая напряженности поля помехового сигнала ориентирована для каждой совокупности гипотетических реализаций под углом =- /4, 0, /4 и /2 соответственно к тангенциальной составляющей электромагнитного поля опережающего опорного сигнала, оценивают достоверность каждой из четырех гипотез и выбирают наиболее достоверную из них путем формирования совокупности гипотетических разностных сигналов i и получения невязок между гипотетическими i и разностными сигналами i, формируют четыре компенсирующих сигнала, соответствующих выбранной гипотезе, компенсируют помеховые сигналы путем вычитания четырех компенсирующих сигналов из опорных сигналов, образуя четыре откорректированных сигнала, производят выравнивание по фазе откорректированных сигналов в каждой из пар, задерживая опережающий сигнал на четверть периода несущего колебания, и между парами, задерживая на восьмую часть периода несущего колебания сигнал второй ортогональной антенной системы, являющийся опережающим, суммируют сигналы в каждой из пар и между парами, образуя выходной сигнал биортогональной антенной системы, отличающийся тем, что из четырех преобразованных сигналов с выходов элементов биортогональной антенной системы формируют четыре сигнала компенсации взаимного влияния элементов биортогональной антенной системы путем взвешенного суммирования преобразованных сигналов, причем комплексные весовые коэффициенты при комплексных амплитудах преобразованных сигналов являются элементами нормированной матрицы взаимных сопротивлений биортогональной антенной системы, после чего полученные четыре сигнала с компенсацией взаимного влияния элементов биортогональной антенной системы используют для формирования четырех опорных сигналов.
РИСУНКИ
MM4A – Досрочное прекращение действия патента СССР или патента Российской Федерации на изобретение из-за неуплаты в установленный срок пошлины за поддержание патента в силе
Дата прекращения действия патента: 11.12.2007
Извещение опубликовано: 27.07.2009 БИ: 21/2009
|
|