|
|
(21), (22) Заявка: 2005109252/09, 31.03.2005
(24) Дата начала отсчета срока действия патента:
31.03.2005
(46) Опубликовано: 27.07.2006
(56) Список документов, цитированных в отчете о поиске:
WO 95/34103 A1, 14.12.1995. RU 2130674 C1, 20.05.1999. US 6157343 A, 05.12.2000. WO 00/10224 A1, 24.02.2000. ЕР 1065748 A1, 03.01.2001.
Адрес для переписки:
117393, Москва, ул.Профсоюзная, 78, оф.3323, СТАРФИЛД, пат.пов. В.Н.Рослову
|
(72) Автор(ы):
Гармонов Александр Васильевич (RU), Филатов Анатолий Геннадьевич (RU), Енин Сергей Владимирович (RU), Мин Джеон (KR)
(73) Патентообладатель(и):
САМСУНГ ЭЛЕКТРОНИКС Ко., Лтд. (KR)
|
(54) СПОСОБ И УСТРОЙСТВО ДЛЯ ОЦЕНКИ ФОРМЫ ДИАГРАММЫ НАПРАВЛЕННОСТИ И МОЩНОСТИ СИГНАЛА
(57) Реферат:
Изобретение относится к радиотехнике и может быть использовано в системах связи для формирования секторных диаграмм направленности. Достигаемый технический результат – измерение и оценка формы диаграммы направленности антенной решетки (АР) и мощности радиосигнала. Способ характеризуется тем, что осуществляют оценку абсолютной мощности излучения каждого элемента АР путем усреднения продетектированных отсчетов входного квадратурного сигнала, выполняют оценку дисперсии комплексной огибающей пилот-сигналов всех диаграмм направленности в данном элементе АР, путем усреднения продетектированных отсчетов комплексной огибающей пилот-сигнала с последующим вычитанием продетектированной усредненной оценки комплексной огибающей пилот-сигнала определяют относительную мощность сигнала заданной диаграммы направленности АР, определяют абсолютную излучаемую мощность сигнала для всех диаграмм направленности, определяют форму диаграммы направленности АР путем накопления и усреднения оценки комплексной огибающей пилот-сигнала в каждом элементе АР. Устройство содержит блок вычисления оценки комплексной огибающей и дисперсии пилот-сигнала заданной диаграммы направленности. 2 н.п. ф-лы, 4 ил.
Изобретение относится к области радиотехники, а более конкретно к использованию антенных решеток (АР) в системах связи с кодовым разделением каналов (CDMA) для формирования секторных диаграмм направленности (ДН), и может быть использовано для оценки формы диаграммы направленности и мощности сигнала, излучаемого по одной или нескольким из таких антенных решеток.
Известны способы и устройства контроля и управления АР, включающие этапы поочередной подачи входного радиосигнала в каждый антенный элемент, измерение данного радиосигнала, формирование корректирующих коэффициентов для каждого антенного элемента на основе вышеупомянутых измеренных радиосигналов и регулировку выходных сигналов вышеупомянутых антенных элементов. Эти способы и устройства широко описаны в технической литературе, например патенте США №5546090 [1], в патенте США №5412414 [2], в патенте США №5977930 [3], в патенте США №6133868 [4], в заявке ЕР 0938204 [5], в патенте США №5546090 [6], в патенте США №6157343 [7].
При этом основной функцией, которую выполняют указанные технические решения, является калибровка антенной решетки, предназначенная для того, чтобы формируемые диаграммы направленности имели форму, близкую к желаемой. При этом подразумевается, что в ходе измерения выполняется оценка относительных/абсолютных фазы, амплитуды и мощности радиосигналов в элементах антенной решетки, зная которые можно сделать оценку фактической диаграммы направленности антенной решетки. Наряду с оценкой диаграммы направленности антенной решетки измеренная мощность радиосигналов в каждом из элементов АР может быть использована для оценки работоспособности АР в целом.
Известен способ калибровки антенной решетки, описанный в международной заявке WO 9534103 “Antenna array calibration” [8]. Этот способ используется в мобильной системе радиосвязи, причем антенная решетка содержит несколько антенных секций, и включает этапы поочередной подачи входного сигнала в каждую антенную секцию, измерение сигнала, передаваемого каждой антенной секцией, формирование корректирующих коэффициентов для каждой антенной секции на основе вышеупомянутых измеренных сигналов, регулировку выходных сигналов вышеупомянутых антенных секций в соответствии с вышеупомянутыми корректирующими коэффициентами, причем выходной сигнал антенны регулируют путем добавления корректирующих коэффициентов цифровым способом. Корректирующие коэффициенты могут быть использованы для регулировки фаз и/или амплитуд сигналов антенных секций. Корректирующие коэффициенты могут быть применены к сигналам между диаграммообразующими приспособлениями и антенными секциями.
Недостатком такого способа является то, что он не оценивает форму диаграммы направленности антенной решетки и мощность радиосигнала, передаваемого по заданной диаграммой направленности, в том случае, когда антенной решеткой формируется несколько диаграмм направленности и разные радиосигналы передаются по каждой из них одновременно, что является характерным в системах связи CDMA.
Наиболее близким по физической сущности к предлагаемому способу является способ измерения относительных фаз и амплитуд взаимосвязанных генераторов, описанный в статье P.P.Maccarini, T.P.Dao, A.S.Nagra, A.Borgioli and R.A.York, “Measurement of the Phase and Amplitude Distributions of Coupled Oscillator Arrays”. Presented at IMS (International Microwave Symposium), June, 2000 [9].
Этот способ заключается в следующем:
– Оценивают комплексную огибающую пилот-сигналов всех диаграмм направленности в каждом элементе антенной решетки в течение заданного времени оценки огибающей,
– оценивают абсолютную мощность излучения каждого элемента антенной решетки,
– определяют форму диаграммы направленности антенной решетки.
Для реализации такого способа может быть использовано устройство, структурная схема которого приведена на фиг.1.
Устройство содержит N направленных ответвителей 1-1 – 1-N, коммутатор 2, формирователь 3 квадратурного сигнала. Вход каждого из направленных ответвителей 1-1 – 1-N является входом радиосигналов. Первый выход каждого направленного ответвителя 1-1 – 1-N является выходом радиосигналов, а второй выход используется для измерения амплитуды и фазы радиосигнала. Второй выход одного из направленных ответвителей, например (1-J)-го, является опорным для формирователя 3 квадратурного сигнала и соединен с его первым входом. Вторые выходы N-1 остальных направленных ответвителей 1-1 – 1-N соединены с соответствующими им входами коммутатора 6, дополнительный вход которого является управляющим. Выходы формирователя 3 квадратурного сигнала являются выходами синфазной и квадратурной составляющих входного сигнала и выходами устройства.
Работает устройство следующим образом.
N направленных ответвителей 1-1 – 1-N (в описанном примере N=5) передают часть поступающего входного радиосигнала на свой первый выход, а радиосигнал со второго выхода направленных ответвителей 1-1 – 1-N используется для измерений. Сигнал со второго выхода 1-J направленного ответвителя (в общем случае любого одного) является опорным, т.е. относительно него измеряют параметры остальных радиосигналов. Для измерения параметров используют демодуляцию радиосигналов в формирователе 3 квадратурного сигнала, выполненного в виде квадратурного демодулятора, на который эти сигналы поочередно поступают с коммутатора 2, переключаемого с помощью управляющего сигнала. В случае, если сигналы с первого выхода направленных ответвителей 1-1 – 1-N поступают на элементы антенной решетки, то, зная диаграмму направленности каждого элемента в отдельности, конфигурацию антенной решетки (линейная, циклическая и т.д.), а также относительные квадратурные сигналы, полученные с помощью данного устройства, можно рассчитать диаграмму направленности такой антенной решетки. На фиг.2 приведена форма рассчитанной на основании измерений и фактической диаграмм направленности антенной решетки, при этом наблюдается их хорошее соответствие.
Описанное устройство имеет несколько существенных недостатков. В частности, данное устройство не предназначено для случаев, когда с помощью антенной решетки формируется несколько диаграмм направленности, и разные радиосигналы передаются по каждой из них одновременно, что является характерным в системах связи CDMA. Кроме того, это устройство не дает возможности оценивать мощность радиосигнала, передаваемого по заданной диаграмме направленности.
Задачей, которую решает предполагаемое изобретение, является обеспечение измерения/оценки формы диаграммы направленности антенной решетки и мощности радиосигнала, передаваемого по заданной диаграмме направленности, когда упомянутых диаграмм направленности может быть несколько и разные сигналы передаются по ним одновременно, как, например, в системе связи CDMA с “умной” антенной, и расширение функциональных возможностей устройства реализации этого способа.
Технический результат достигается за счет оценки указанной мощности при условии отсутствия информации об относительной мощности интересующих сигналов на видеочастоте.
Для решения поставленной задачи в способ оценки формы диаграммы направленности и мощности сигнала, излучаемого в заданной диаграмме направленности, сформированной с помощью антенной решетки, заключающийся в том, что
– оценивают комплексную огибающую пилот-сигналов всех диаграмм направленности в каждом элементе антенной решетки в течение заданного времени оценки огибающей,
– определяют форму диаграммы направленности антенной решетки,
– оценивают абсолютную мощность излучения каждого элемента антенной решетки, согласно изобретению
– оценку абсолютной мощности излучения каждого элемента антенной решетки производят путем усреднения продетектированных отсчетов входного квадратурного сигнала,
– выполняют оценку дисперсии комплексной огибающей пилот-сигналов всех диаграмм направленности в данном элементе антенной решетки в течение времени оценки дисперсии, путем усреднения продетектированных отсчетов комплексной огибающей пилот-сигнала с последующим вычитанием продетектированной усредненной оценки комплексной огибающей пилот-сигнала,
– определяют относительную мощность сигнала заданной диаграммы направленности антенной решетки,
– определяют суммарную по всем антеннам и направлениям относительную мощность излучения сигнала заданной диаграммы направленности антенной решетки,
– используя оценки абсолютной мощности излучения каждого элемента антенной решетки и относительную мощность излучения сигнала заданной диаграммы направленности антенной решетки, определяют абсолютную излучаемую мощность сигнала для всех диаграмм направленности,
– причем форму диаграммы направленности антенной решетки определяют путем накопления и усреднения оценки комплексной огибающей пилот-сигнала в каждом элементе антенной решетки, используя конфигурацию антенной решетки и формы диаграмм направленности ее элементов.
Для решения этой же задачи в устройство оценки формы диаграммы направленности и мощности сигнала, излучаемого в заданной диаграмме направленности, сформированной с помощью антенной решетки, содержащее N направленных ответвителей, коммутатор, формирователь квадратурного сигнала, вход каждого из направленных ответвителей является входом радиосигналов, первый выход каждого направленного ответвителя является выходом сигналов, вторые выходы направленных ответвителей соединены с соответствующими им входами коммутатора, дополнительный вход которого является управляющим, выход коммутатора соединен со входом формирователя квадратурного сигнала,
согласно изобретению
в устройство дополнительно введен блок вычисления оценки комплексной огибающей и дисперсии пилот-сигнала заданной диаграммы направленности, состоящий из коррелятора пилот-сигнала, последовательно соединенных первого детектора огибающей, узла накопления и усреднения продетектированных отсчетов входного сигнала, второй вход которого является входом сигнала сброса, последовательно соединенных второго детектора огибающей, узла 9 накопления и усреднения продетектированных оценок комплексной огибающей пилот-сигнала, второй вход которого является входом сигнала сброса, вычитателя, последовательно соединенных узла накопления и усреднения оценок комплексной огибающей пилот-сигнала и узла расчета формы диаграммы направленности, а также третьего детектора огибающей и узла расчета мощности сигнала диаграммы направленности, причем первый и второй входы коррелятора пилот-сигнала, первый и второй входы первого детектора огибающей являются соответственно входами синфазной и квадратурной составляющих входного сигнала и входами блока вычисления оценок комплексной огибающей и дисперсии пилот-сигнала заданной диаграммы направленности и соединены с соответствующими выходами формирователя квадратурного сигнала, выходы синфазной и квадратурной составляющих оценок комплексной огибающей коррелятора пилот-сигнала соединены соответственно с первым и вторым входами второго детектора огибающей и первым и вторым входами узла накопления и усреднения оценок комплексной огибающей пилот-сигнала, второй вход которого является входом сигнала сброса, первый и второй выходы узла накопления и усреднения оценок комплексной огибающей пилот-сигнала соединены соответственно с первым и вторым входами третьего детектора огибающей, выход которого соединен со вторым входом вычитателя, и первым и вторым входами узла расчета формы диаграммы направленности, выход узла накопления и усреднения продетектированных отсчетов входного сигнала, на выходе которого сформирована оценка абсолютной мощности излучения каждого элемента антенной решетки, соединен с первым входом узла расчета мощности сигнала диаграммы направленности, выход вычитателя, на котором сформирована оценка дисперсии комплексной огибающей пилот-сигналов всех диаграмм направленности в данном элементе антенной решетки в течение времени оценки дисперсии, соединен со вторым входом узла расчета мощности сигнала диаграммы направленности, выход узла расчета формы диаграммы направленности соединен с третьим входом узла расчета мощности сигнала диаграммы направленности, выход которого является выходом оценок мощности сигнала и выходом блока 4 вычисления оценок комплексной огибающей и дисперсии пилот-сигнала заданной диаграммы направленности, а также выходом устройства.
Сопоставительный анализ способа и устройства оценки формы диаграммы направленности и мощности сигнала, излучаемого в заданной диаграмме направленности, сформированной с помощью антенной решетки, с прототипом показывает, что предлагаемое изобретение существенно отличается от известных решений, так как позволяет обеспечить измерение/оценку формы диаграммы направленнности и мощности излучаемого сигнала при условии отсутствия информации об относительной мощности интересующих сигналов на видеочастоте и расширить функциональные возможности устройства.
Сопоставительный анализ заявляемых решений с другими техническими решениями в данной области техники не позволил выявить признаки, заявленные в отличительных частях формул изобретений. Следовательно, заявляемые решения отвечают критериям “новизна”, “техническое решение задачи”, “существенные отличия”.
Графические материалы, используемые в материалах заявки:
Фиг.1 – структурная схема устройства прототипа.
Фиг.2 – формы диаграмм направленности антенной решетки, рассчитанной на основании измерений и фактической.
Фиг.3 – структурная схема предлагаемого устройства.
Фиг.4 – структурная схема блока вычисления оценок комплексной огибающей и дисперсии пилот-сигнала заданной диаграммы направленности.
Предлагаемый способ заключается в следующем:
– оценивают комплексную огибающую пилот-сигналов всех диаграмм направленности в каждом элементе антенной решетки в течение заданного времени оценки огибающей, накапливают ее и усредняют,
– определяют форму диаграммы направленности антенной решетки путем накопления и усреднения оценки комплексной огибающей пилот-сигнала в каждом элементе антенной решетки, используя конфигурацию антенной решетки и формы диаграмм направленности ее элементов,
– оценивают абсолютную мощность излучения каждого элемента антенной решетки путем усреднения продетектированных отсчетов входного квадратурного сигнала,
– выполняют оценку дисперсии комплексной огибающей пилот-сигналов всех диаграмм направленности в данном элементе антенной решетки в течение времени оценки дисперсии путем усреднения продетектированных отсчетов комплексной огибающей пилот-сигнала с последующим вычитанием продетектированной усредненной оценки комплексной огибающей пилот-сигнала,
– определяют относительную мощность сигнала заданной диаграммы направленности антенной решетки,
– определяют суммарную по всем антеннам и направлениям относительную мощность излучения сигнала заданной диаграммы направленности антенной решетки,
– используя оценки абсолютной мощности излучения каждого элемента антенной решетки и относительную мощность излучения сигнала заданной диаграммы направленности антенной решетки, определяют абсолютную излучаемую мощность сигнала для всех диаграмм направленности.
Когда с помощью антенной решетки (АР) формируется несколько диаграмм направленности и по каждой из них передается свой сигнал, то сигнал каждого элемента антенной решетки равен взвешенной сумме сигналов каждой диаграммы направленности (ДН). При этом весовые коэффициенты, в общем случае комплексные, представляют собой формирующие коэффициенты соответствующих диаграмм направленности, используемых в конкретном элементе антенной решетки.
В случае применения технология CDMA с известным пилот-сигналом сигнал каждой ДН включает пилот-сигнал и другие взаимно ортогональные на определенном интервале времени PGmax сигналы. Вместе с этим, сигналы разных ДН неортогональны, и, проходя через один и тот же элемент АР, создают помеху друг для друга. Таким образом, дисперсия процесса на выходе коррелятора пилот-сигнала определенной ДН будет зависеть только от суммарной мощности сигналов других ДН, в то время как сигналы своей ДН, в силу ортогональности, влиять не будут. Данный факт и лежит в основе предлагаемого способа оценки мощности сигнала, излучаемого определенной диаграммой направленности антенной решетки.
Структурная схема предлагаемого устройства представлена на фиг.3.
Устройство оценки формы диаграммы направленнности и мощности сигнала, излучаемого в заданной диаграмме направленности, сформированной с помощью антенной решетки, содержит N направленных ответвителей 1-1 – 1-N, коммутатор 2, формирователь 3 квадратурного сигнала, блок 4 вычисления оценок комплексной огибающей и дисперсии пилот-сигнала заданной диаграммы направленности. Причем вход каждого из направленных ответвителей 1-1 – 1-N является входом сигналов, первый выход каждого направленного ответвителя 1-1 – 1-N является выходом сигналов, вторые выходы направленных ответвителей 1-1 – 1-N соединены с соответствующими им входами коммутатора 2, дополнительный вход которого является управляющим, выход коммутатора 2 соединен с входом формирователя 3 квадратурного сигнала. Выходы синфазной и квадратурной составляющих входного сигнала формирователя 3 квадратурного сигнала соединены с соответствующими входами блока 4 вычисления оценок комплексной огибающей и дисперсии пилот-сигнала заданной диаграммы направленности, выход которого является выходом устройства.
Работает заявляемое устройство следующим образом.
N направленных ответвителей 1-1 – 1-N передают часть поступающего входного сигнала на свой первый выход, а сигналы со второго выхода направленных ответвителей 1-1 – 1-N поступают на коммутатор 2. С выхода коммутатора 2, переключаемого с помощью управляющего сигнала, эти сигналы поочередно поступают в формирователь 3 квадратурного сигнала, выполненного, например, в виде квадратурного демодулятора или квадратурного гетеродина. В случае, если сигналы с первого выхода направленных ответвителей 1-1 – 1-N поступают на элементы антенной решетки, то, зная диаграмму направленности каждого элемента в отдельности, конфигурацию антенной решетки (линейная, циклическая и т.д.), а также относительные квадратурные сигналы, полученные с помощью данного устройства, можно определить диаграмму направленности такой антенной решетки. Сформированный квадратурный сигнал с выхода формирователя 3 квадратурного сигнала поступает на соответствующие входы блока 4 вычисления оценок комплексной огибающей и дисперсии пилот-сигнала заданной диаграммы направленности.
На фиг.4 представлена структурная схема блока 4 вычисления оценок комплексной огибающей и дисперсии пилот-сигнала заданной диаграммы направленности, который используется для оценки формы диаграммы направленности и определения мощности сигналов диаграммы направленности.
Блок 4 вычисления оценок комплексной огибающей и дисперсии пилот-сигнала заданной диаграммы направленности состоит из коррелятора 5 пилот-сигнала, последовательно соединенных первого детектора 6 огибающей, узла 7 накопления и усреднения продетектированных отсчетов входного сигнала, второй вход которого является входом сигнала сброса, последовательно соединенных второго детектора 8 огибающей, узла 9 накопления и усреднения продетектированных оценок комплексной огибающей пилот-сигнала, второй вход которого является входом сигнала сброса, вычитателя 10, последовательно соединенных узла 13 накопления и усреднения оценок комплексной огибающей пилот-сигнала и узла 14 расчета формы диаграммы направленности, а также третьего детектора 12 огибающей и узла 11 расчета мощности сигнала диаграммы направленности, причем первый и второй входы коррелятора 5 пилот-сигнала, а также первый и второй входы первого детектора 6 огибающей, являются соответственно входами синфазной и квадратурной составляющих входного сигнала и входами блока 4 вычисления оценок комплексной огибающей и дисперсии пилот-сигнала заданной диаграммы направленности и соединены с соответствующими выходами формирователя 3 квадратурного сигнала. Выходы синфазной и квадратурной составляющих оценок комплексной огибающей коррелятора 5 пилот-сигнала соединены соответственно с первым и вторым входами второго детектора 8 огибающей и первым и вторым входами узла 13 накопления и усреднения оценок комплексной огибающей пилот-сигнала, другой вход которого является входом сигнала сброса. Первый и второй выходы узла 13 накопления и усреднения оценок комплексной огибающей пилот-сигнала соединены соответственно с первым и вторым входами третьего детектора 12 огибающей, выход которого соединен со вторым входом вычитателя 10, и первым и вторым входами узла 14 расчета формы диаграммы направленности. Выход узла 7 накопления и усреднения продетектированных отсчетов входного сигнала, на выходе которого сформирована оценка абсолютной мощности излучения каждого элемента антенной решетки, соединен с первым входом узла 11 расчета мощности сигнала диаграммы направленности. Выход вычитателя 10, на котором сформирована оценка дисперсии комплексной огибающей пилот-сигналов всех диаграмм направленности в данном элементе антенной решетки в течение времени оценки дисперсии, соединен со вторым входом узла 11 расчета мощности сигнала диаграммы направленности. Выход узла 12 расчета формы диаграммы направленности соединен с третьим входом узла 11 расчета мощности сигнала диаграммы направленности, выход которого является выходом оценок мощности сигнала и выходом блока 4 вычисления оценок комплексной огибающей и дисперсии пилот-сигнала заданной диаграммы направленности, а также выходом устройства.
Квадратурный сигнал с выхода формирователя 3 квадратурного сигнала поступает на соответствующие входы первого детектора 6 огибающей. Квадратурный сигнал в детекторе 6 огибающей детектируется и отсчеты входного сигнала поступают на вход узла 7 накопления и усреднения продетектированных отсчетов входного сигнала. На выходе узла 7 накопления и усреднения продетектированных отсчетов входного сигнала формируется оценка абсолютной мощности излучения каждого элемента антенной решетки, которая поступает на первый вход узла 11 расчета мощности сигнала диаграммы направленности. Одновременно квадратурный сигнал поступает на соответствующие входы коррелятора 5 пилот-сигнала. Флуктуационная составляющая, имеющая место на выходах коррелятора 5 пилот-сигнала, обусловлена наличием на его входах сигналов других диаграмм направленности, в то время как сигналы своей диаграммы направленности ортогональны и подавляются при выполнении операции свертки в корреляторе 5 пилот-сигнала. Синфазный и квадратурный выходные сигналы коррелятора 5 пилот-сигнала поступают на соответствующие входы узла 13 накопления и усреднения оценок комплексной огибающей пилот-сигнала, где формируются усредненные оценки комплексной огибающей пилот-сигнала к-ой диаграммы направленности в i-м элементе АР. Используя аналогичные оценки комплексной огибающей пилот-сигналов к-ой ДН во всех М антеннах, поступающие с узла 13 накопления и усреднения оценок комплексной огибающей пилот-сигнала на узел 14 расчета формы диаграммы направленности, а также на основании априорно известных ДН отдельных элементов АР и ее конфигурации, рассчитывают форму к-ой ДН .
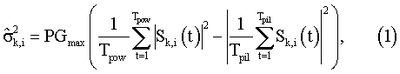
Оценки комплексной огибающей с выходов коррелятора 5 пилот-сигнала поступают также на соответствующие входы второго детектора 8 огибающей, где детектируются и через узел 9 накопления и усреднения продетектированных оценок комплексной огибающей поступают на первый вход вычитателя 10. На второй вход вычитателя 10 поступают продетектированные оценки комплексной огибающей с выхода узла 13 накопления и усреднения оценок комплексной огибающей. В вычитателе 10 рассчитывают дисперсию пилот-сигнала к-ой ДН в i-м элементе АР, численно равную мощности сигналов других секторов, в соответствие со следующей известной формулой (см. D.J.Hudson. “Statistics Lectures on elementary Statistics and probability”, Geneva, 1964 [10]):

где
Sk,i(t) – выходной сигнал коррелятора 1 пилот-сигнала к-й ДН в I-ом элементе АР,
– оценка дисперсии пилот-сигнала к-й ДН в 1-ом элементе АР на выходе блока 4;
PGmax – время накопления в корреляторе пилот-сигнала, равное интервалу ортогональности сигналов одной и той же диаграммы направленности;
Tpow – число накоплений при оценке дисперсии пилот-сигнала;
Тpil – число накоплений при оценке среднего значения пилот-сигнала.
Используя аналогичные оценки дисперсии пилот-сигналов всех диаграмм направленности, в узле 11 расчета мощности сигнала диаграммы направленности рассчитывают относительную мощность сигнала к-й ДН в i-м элементе антенной решетки 

Выражение (2) получается в ходе решения следующей системы уравнений

которая отражает тот факт, что дисперсия пилот-сигнала определенной диаграммы направленности в конкретном элементе антенной решетки зависит от мощности сигналов других диаграмм направленности.
Оценка общей мощности сигнала заданной диаграммы направленности, излучаемой со всех элементов, равна сумме соответствующих мощностей в каждом из них

В общем случае мощности при i=1, N могут быть и не равны друг другу, поскольку разные элементы антенной решетки могут иметь разные коэффициенты усиления, а также когда форма антенной решетки отлична от линейной.
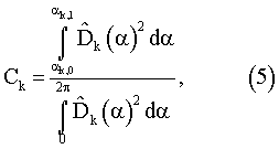
Если необходимо оценить мощность сигнала к-й ДН, излучаемого в пределах заданного углового сектора k,0 и k,1, результат выражения (4) следует умножить на следующий коэффициент:

где – интересующая диаграмма направленности АР (оцененная или известная).
Таким образом, используя вышеописанный алгоритм, могут быть оценены относительные мощности сигналов, передаваемых по различным диаграммам направленности. Затем, с использованием оценки абсолютной мощности излучения каждого элемента антенной решетки, рассчитывается оценка абсолютной мощности сигнала конкретной диаграммой направленности в соответствии с формулой (1).
Точность оценки данного алгоритма также определяется точностью оценки мощности излучаемой каждым элементом АР. В то же время имеет место влияние значений мощности пилот-сигнала, Tpil, Tpow и PGmax. В результате, например, при использовании 4-элементной линейной АР с 4-мя ДН и следующих допущениях:
оценка мощности сигнала каждого элемента АР идеальная;
мощность пилот-сигнала составляет 20% от общей мощности сигнала ДН;
Тpil=192;
Тpow=192;
PGmax=64 элемента ПСП;
искомая мощность оценивается с точностью 1 дБ с доверительной вероятностью 0.9.
Все блоки, входящие в состав предлагаемого устройства, известны и могут быть реализованы на базе микропроцессора, например TMS320VC5410-160.
Формула изобретения
1. Способ оценки формы диаграммы направленности и мощности сигнала, излучаемого в заданной диаграмме направленности, сформированной с помощью антенной решетки, заключающийся в том, что оценивают комплексную огибающую пилот-сигналов всех диаграмм направленности в каждом элементе антенной решетки в течение заданного времени оценки огибающей, оценивают абсолютную мощность излучения каждого элемента антенной решетки, определяют форму диаграммы направленности антенной решетки, отличающийся тем, что оценку абсолютной мощности излучения каждого элемента антенной решетки производят путем усреднения продетектированных отсчетов входного квадратурного сигнала, выполняют оценку дисперсии комплексной огибающей пилот-сигналов всех диаграмм направленности в данном элементе антенной решетки в течение времени оценки дисперсии, путем усреднения продетектированных отсчетов комплексной огибающей пилот-сигнала с последующим вычитанием продетектированной усредненной оценки комплексной огибающей пилот-сигнала определяют относительную мощность сигнала заданной диаграммы направленности антенной решетки, определяют суммарную по всем антеннам и направлениям относительную мощность излучения сигнала заданной диаграммы направленности антенной решетки, используя оценки абсолютной мощности излучения каждого элемента антенной решетки и относительную мощность излучения сигнала заданной диаграммы направленности антенной решетки, определяют абсолютную излучаемую мощность сигнала для всех диаграмм направленности, причем форму диаграммы направленности антенной решетки определяют путем накопления и усреднения оценки комплексной огибающей пилот-сигнала в каждом элементе антенной решетки, используя конфигурацию антенной решетки и формы диаграмм направленности ее элементов.
2. Устройство оценки формы диаграммы направленности и мощности сигнала, излучаемого в заданной диаграмме направленности, сформированной с помощью антенной решетки, содержащее N направленных ответвителей, коммутатор, формирователь квадратурного сигнала, вход каждого из направленных ответвителей является входом сигналов, первый выход каждого направленного ответвителя является выходом сигналов, вторые выходы направленных ответвителей соединены с соответствующими им входами коммутатора, дополнительный вход которого является управляющим, выход коммутатора соединен со входом формирователя квадратурного сигнала, отличающееся тем, что дополнительно введен блок вычисления оценки комплексной огибающей и дисперсии пилот-сигнала заданной диаграммы направленности, состоящей из коррелятора пилот-сигнала, последовательно соединенных первого детектора огибающей, узла накопления и усреднения продетектированных отсчетов входного сигнала, второй вход которого является входом сигнала сброса, последовательно соединенных второго детектора огибающей, узла накопления и усреднения продетектированных оценок комплексной огибающей пилот-сигнала, второй вход которого является входом сигнала сброса, вычитателя, последовательно соединенных узла накопления и усреднения оценок комплексной огибающей пилот-сигнала и узла расчета формы диаграммы направленности, а также третьего детектора огибающей и узла расчета мощности сигнала диаграммы направленности, причем первый и второй входы коррелятора пилот-сигнала, первый и второй входы первого детектора огибающей являются соответственно входами синфазной и квадратурной составляющих входного сигнала и входами блока вычисления оценок комплексной огибающей и дисперсии пилот-сигнала заданной диаграммы направленности и соединены с соответствующими выходами формирователя квадратурного сигнала, выходы синфазной и квадратурной составляющих оценок комплексной огибающей коррелятора пилот-сигнала соединены соответственно с первым и вторым входами второго детектора огибающей и первым и вторым входами узла накопления и усреднения оценок комплексной огибающей пилот-сигнала, другой вход которого является входом сигнала сброса, первый и второй выходы узла накопления и усреднения оценок комплексной огибающей пилот-сигнала соединены соответственно с первым и вторым входами третьего детектора огибающей, выход которого соединен со вторым входом вычитателя, и первым и вторым входами узла расчета формы диаграммы направленности, выход узла накопления и усреднения продетектированных отсчетов входного сигнала, на выходе которого сформирована оценка абсолютной мощности излучения каждого элемента антенной решетки, соединен с первым входом узла расчета мощности сигнала диаграммы направленности, выход вычитателя, на котором сформирована оценка дисперсии комплексной огибающей пилот-сигнала всех диаграмм направленности в данном элементе антенной решетки в течение времени оценки дисперсии, соединен со вторым входом узла расчета мощности сигнала диаграммы направленности, выход узла расчета формы диаграммы направленности соединен с третьим входом узла расчета мощности сигнала диаграммы направленности, выход которого является выходом оценок мощности сигнала и выходом блока вычисления оценок комплексной огибающей и дисперсии пилот-сигнала заданной диаграммы направленности, а также выходом устройства.
РИСУНКИ
|
|