Патент на изобретение №2156130
|
||||||||||||||||||||||||||
(54) ГЕПАТОПРОТЕКТОР
(57) Реферат: Изобретение касается нового гепатопротекторного средства. В качестве такого средства предложены известные фосфорсодержащие производные цитизина общей формулы ![]() где n= 0; 1 при n=0 Х=S; O; R=CH3; C2H5; i-C3H7; C4H9; при n=1 Х=О; R= СН3; R’=i-C3H7; C6H5; .
Изобретение расширяет арсенал средств указанного назначения. 2 з.п. ф-лы, 4 табл.
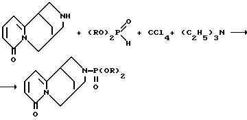
Изобретение относится к области химии, в частности к фосфорсодержащим производным цитизина, проявляющим гепатопротекторную активность, и может быть использовано в медицине. Известен гепатопротектор растительного происхождения “Легалон”, который характеризуется низкой гепатопротекторной активностью (Машковский М.Д. Лекарственные средства. М., Медицина, т. 2, 1993, с. 611). Известен гепатопротекторный препарат искусственного происхождения “Эссенциале” (Германия), который представляет собой сложный комплекс веществ и содержит в своем составе флаваноиды, фосфолипиды, никотинамид и различные витамины (Машковский М.Д. Лекарственные средства. М., Медицина, т. 2, 1993, с. 52). Недостатком указанного препарата является недостаточно высокая гепатопротекторная активность. Цитизин широко распространен в природе. Он найден во многих растениях и извлечение его из растительного сырья ионообменным методом является главным промышленным способом получения цитизина. В работах (Докл. АН Узб. ССР. 1978 г., N 9, стр. 39-42; Докл. АН Узб. ССР, 1977, N 7, стр. 40-43) описан синтез фосфорсодержащих N-[ -(диалкоксифосфинил)меркаптоэтил]цитизинов (2) и их иодметилатов (3).
Авторы показали, что все синтезированные соединения обладают необратимой ингибирующей активностью в случае ацетилхолинэстеразы и проявляют эффект избирательного торможения каталитической активности бутирилхолинэстеразы.
Сведения о других фосфорсодержащих производных цитизина нами в литературе не обнаружены.
Раскрытие изобретения.
В связи с тем, что исходный алкалоид цитизин проявляет значительную биологическую активность, можно предположить, что и другие его фосфорсодержащие производные будут интересны с этой точки зрения.
Целью заявляемого изобретения является получение новых фосфорсодержащих производных цитизина, в частности обладающих повышенной биологической активностью.
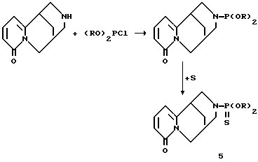
Поставленная цель достигается тем, что получены фосфорсодержащие производные цитизина общей формулы![]() где n – 0; 1 при n – 0 X – S; O R – CH3 (а): C2H5 (б); C3H7 (в); 1-C3H7 (г); C4H9 (д) при n – 1 X – O R’ – i-C3H7 (а); C6H5 (б); ![]() Синтез O, O-диалкил-N-цитизинилфосфатов (n – 0, X – O соединения 4а-д) осуществляли взаимодействием диалкилфосфитов с цитизином в условиях реакции Тодда-Атертона по следующей схеме: ![]() Синтез O,O-диалкил-N-цитизинилгиофосфатов (n – 0, X – S соединения 5а-д) осуществляли в две стадии. На первой стадии при взаимодействии цитизина с диалкилхлорфосфитом (синтез описан в работе Нифантьев Э.Б. “Химия фосфорорганических соединений, М.: Наука, 1983 – стр. 85) в среде бензола, в токе сухого аргона и в присутствии триэтиламина образуется промежуточный O,O-диалкил-N-цитизинилфосфит, который затем реагирует с эквимолярным количеством элементной серы с образованием O,O-диалкил-N-цитизинилтиофосфата. ![]() Диметил-(N-цитизинил)алкил(арил)фосфонаты (n – 1, X – O, R – CH3 соединения 6а-в) получены взаимодействием цитизина с альдегидами и диметилфосфитом в условиях реакции Кабачника-Филдса ![]() Варианты осуществления изобретения. Следующие примеры поясняют изобретение подробнее, не ограничивая его этим. Примеры: 1. Синтез O,O-диметил-N-цитизинилфосфата (4а). В колбу помещают смесь 2,86 г (0,026 моль) диметилфосфита и 15,5 мл (0,16 моль) четыреххлористого углерода в 100 мл бензола и при перемешивании прикапывают к ней смесь 5 г (0,026 моль) цитизина и 2,63 г (0,026 моль) тризтиламина в 230 мл сухого бензола с такой скоростью, чтобы температура раствора не превышала 20oC. После окончания прикапывания реакционную смесь перемешивают при комнатной температуре в течение 6 часов. Выпавшие кристаллы солянокислого триэтиламина отфильтровывают, растворитель отгоняют на вакуумном испарителе. Получают 5,64 г (выход 72,5% от теоретического) кристаллического вещества (перекристаллизация из бензола) с температурой плавления Tпл. 158-159oC. NK-спектр, , см-1: 1270 (P-O), 1050 (P-O-C), 830 (P-N-C), 1658 (N-CO).
Спектр ПМР, , м.д. 6,23 д (1H, CH , 3JHH 5,0 Гц), 7,23 д.д. (1H, CH , 3JHH 3,2 Гц), 6,12 д (1H, CH / ), 3,34 д (6H, CH3O, JCH3 р 13,2 Гц).
ЯМР 31P: p– 9,1 м.д.
Найдено, %: C 52,05; H 6,24; N 9,30; P 10,36.
C13H19N2O4PВычислено, %: C 52,36; H 6,37; N 9,40; P 10,40. По данным рентгеноструктурного анализа координация атома фосфора в молекуле O,O-диметил-N-цитизинилфосфата – искаженная тетраэдрическая, обычная для фосфатных группировок. Дигидропиридиновый цикл – плоский с точностью карбонильный атом кислорода отклоняется от этой плоскости незначительно (на ). Тетрагидропиридиновый цикл принимает конформацию кресла ( Сs8 2,7o) с выходом мостикового атома C из средней плоскости остальных на Пиперидиновый цикл имеет почти идеальную конформацию кресла ( Cs8 0,5o). Метильные группы CH3 имеют гош-ориентацию относительно связей P-O и P-O соответственно.
Аналогично получены другие соединения 4б-з этого ряда (таблица 1).
2. Синтез O,O-диметил-N-цитизинилтиофосфата (5а).
В колбу помещают 5 г (0,026 моль) цитизина и 2,83 г (0,026 моль) триэтиламина в 200 мл абсолютного бензола. При энергичном перемешивании в токе сухого аргона и при комнатной температуре прибавляют 3,33 г (0,026 моль) диметилхлорфосфита. Перемешивают 5 часов. Выпавший осадок гидрохлорида триэтиламина отфильтровывают, промывая порциями абсолютного бензола. Фильтрат и расчетное количество серы 0,83 г (0,026 моль) помещают в колбу и продолжают перемешивать при комнатной температуре еще 2 часа. Затем смесь отгоняют в роторном испарителе и остаток перекристаллизовывают из бензола. Получают 8,01 г (выход 97%) кристаллического вещества с Tпл. 164-165oC.
ИК-спектр, , см-1; 1030 (P-O-C), 1670 (N-CO), 820 (P-S).
Спектр ПМР, , м.д. 8,23 д (1H, CH , 3JHH 6,0 Гц); 7,16 д.д. (1H, CH , 3JHH 5,8 Гц);ЯМР 31P: p– 10,22 м.д.
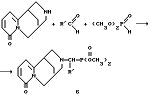
Найдено, %: C 49,91; H 6,13; N 8,87; P 9,69;C13H19N2O3SP Вычислено,%: C 49,68; H 6,05; N 8,91; P 9,87. Аналогично получены и соединения 5б-д этого ряда. Результаты приведены в таблице 1. 3. Синтез диметил-2-(N-цитизинил)-2-изобутилфосфоната (6а). Смесь 3,8 г (0,02 моль) цитизина, 1,24 г (0,02 моль) изомаслянного альдегида, 2,2 г (0,02 моль) диметилфосфита и каталитического количества 18-краун-6 в 100 мл бензола кипятят 3 часа с одновременной отгонкой образующейся в ходе реакции воды. После отгонки растворителя по окончании реакции остаток промывают гексаном и перекристаллизовывают из смеси бензол-эфир. Получают 5,52 г (выход 78,1%) кристаллического вещества с Tпл. 138oC. ИК-спектр, , см-1: 1220 (P-O), 1070 (P-O-C).
Спектр ПМР, м.д. 6,72 д (1H, CH , 3JHH 8,6 Гц); 7,10 д.д. (1H, CH , 3JHH 6,4 Гц); 6,51 д (1H, CH ), 3,31 д (6H, CH3O, JCH3 р 12,6 Гц); 0,50 д (3H, CH3-C), 0,87 д (3H, CH3-C).
Найдено, %: C 57,70; H 7,72; N 8,03; P 8,67;C17H27N2O4P Вычислено, %: C 57,56; H 7,58; N 7,90; P 8,52. Аналогично получены и соединения 6б-в этого ряда (табл. 1). Промышленная применимость. Биологическая активность заявляемых соединений. Проведенные фармакологические исследования показали, что синтезированные соединения проявляют гепатопротекторную и антиферментную активности. 1. Изучение гепатопротекторной активности. Острая токсичность соединения. Среднелетальную дозу LD50 определяли на мышах белых рандомбредных (320 голов по 18-20 грамм каждая). Препарат вводили однократно внутривенно в физиологическом растворе или перорально в крахмальной 1% взвеси. Период наблюдения – 14 дней. Ежедневно проверяли общее состояние животных, в течение периода наблюдения 3 раза животных взвешивали, проводили вскрытие павших животных и макроскопическое описание. Определение LD50 проводили методом пробит анализа. В результате проведенных экспериментов получили, что LD50 – 4300 мг/кг (3200-5800) при пероральном введении соединения и LD50 – 1800 мг/кг (1250-2550) при внутривенном введении. Приведена средняя арифметическая величина и доверительный полуинтервал при P – 95%. Гепатопротекторная активность при остром токсическом гепатите у крыс. По мнению фармакологов, наиболее эффективным гепатопротекторным препаратом в настоящее время является препарат “Эссенциале” (ФРГ), который и был использован в следующих экспериментах в качестве препарата сравнения. Этот препарат представляет собой сложный комплекс веществ и содержит в своем составе сумму флаваноидов, фосфолипидов, никотинамид и различные витамины. Изучение гепатопротекторной активности заявляемого препарата при остром токсическом гепатите проводили на 4 группах самцов белых рандомбредных крыс массой 120-150 грамм по 10 особей в каждой (см. табл. 2 и 3). Первая группа – животным вводили внутривенно 0,1 мл изотонического раствора хлорида натрия и через час внутрибрюшинно 0,4 мл вазелинового масла. Вторая группа – внутривенно 0,1 мл изотонического раствора хлористого натрия и через час внутрибрюшинно 0,4 мл 40% раствора гепатотропного яда – четыреххлористого углерода в вазелиновом масле. Третья группа – внутривенно 0,1 мл раствора “Эссенциале” (50 мг/кг) и через час внутрибрюшинно 0,4 мл 40% раствора CCl4 в вазелиновом масле. Четвертая группа – внутривенно 0,1 мл водного раствора заявляемого вещества (50 мг/кг) и затем, через час внутрибрюшинно 0,4 мл 40% раствор CCl4 в вазелиновом масле. Все инъекции повторяли один раз в сутки на протяжении четырех дней, после чего под эфирным наркозом животные были декапитированы. Гепатопротекторную активность заявляемого препарата и препарата сравнения при отравлении крыс четыреххлористым углеродом оценивали по изменению биохимических и гистологических показателей, характеризующих степень повреждения (разрушения) клеток при отравлении. Исследовали активность фермента аланинаминотрансферазы (АЛаТ) и уровень общего билирубина в крови, хемолюминисценцию эритроцитов и морфометрически объектную долю некрозов, внутридольковой инфильтрации, регенерирующих и дистрофированных клеток в срезах ткани печени. При изучении хемолюминисценции эритроциты, выделенные из крови, суспензировали в изотоническом растворе хлорида натрия (по 1 мл 10% взвеси эритроцитов в пробе) свечение стимулировали 0,1 мл 5% H2O2 и определяли средне-арифметические показатели интегральной площади под кривой хемолюминисценции. Приведенные данные показывают, что заявляемое вещество обладает гепатопротекторной активностью при отравлении крыс четыреххлористым углеродом, причем действует более активно, чем препарат “Эссенциале”, использованный в качестве препарата сравнения. Действие на выживаемость мышей при отравлении их гепатотропным ядом. Для изучения действия препарата на выживаемость мышей при отравлении гепатотропным ядом использовались мыши белые рандомбредные, самцы массой 18-20 грамм, три группы по 10 мышей в каждой. Первой группе животных внутрибрюшинно вводили 0,1 мл изотонического раствора хлорида натрия. Второй группе – внутривенно 0,1 мл раствора “Эссенциале” в дозе 50 мг/кг. Третьей группе – внутрибрюшинно 0,1 мл раствора заявляемого вещества в водном растворе (100 мг/кг). Через час после первого введения всем животным внутрибрюшинно ввели 0,1 мл 50% раствора четыреххлористого углерода в вазелиновом масле. Инъекции проводили однократно. Срок наблюдения 5 суток. Выживаемость через 5 суток составила (см табл. 4). Полученные результаты показывают, что предлагаемое соединение в большей степени, чем “Эссенциале”, защищает животных от гибели при отравлении их гепатотропным ядом. Таким образом, мы установили, что соединение обладает умеренной токсичностью и его гепатопротекторное действие в экспертименте на животных значительно превосходит действие препарата “Эссенциале”. 2. Хорошие результаты по выживаемости мышей при отравлении их гепатопротекторным ядом показало и еще одно из заявляемых фосфоросодержащих производных цитизина. Процент выживаемости для этого соединения в эксперименте, аналогичном вышеописанному, составил 80%. II. Изучение антиферментной активности. При исследовании антиферментной активности синтезированных соединений изучали их взаимодействие с ацетилхолинэстеразой (АХЭ) и бутирилхолинэстеразой (БуХЭ). Использовали АХЭ из эритроцитов крови человека с удельной активностью 1,2 Ед/мг и БуХЭ из сыворотки крови лошади с удельной активностью 9,6 Ед/мг. Активность АХЭ и БуХЭ определяли калориметрическим методом Эллмана при 25oC в 0,2М Na-фосфатном буфере, pH 7,5. В качестве субстрата использовали иодид ацетилтиохолина фирмы “Chemapol” (ЧСФР). Эффективность обратимых ингибиторов определяли по методу А.П. Бресткина и характеризовали величиной обобщенной ингибиторной константы которая при смешанном типе торможения связана с конкурентной (Ki) и бесконкурентной (Ki1) составляющими соотношением ![]() Активность цитохрома P450 определяли двумя методами: по скорости гидроксилирования 3,4-бенз/a/пирена, путем флуориметрического определения образующегося 4-гидроксибенз/a/пирена и по скорости диэтилирования 7-этоксикумарина путем флуориметрического определения образующегося 7-гидроксикумарина. Ингибирующее влияние исследуемых веществ на ЦТ P450 оценивали по величинам pJ50, представляющим собой обратный логарифм концентрации агента, вызывающей снижение активности на 50%. Установлено, что цитизинилфосфаты и цитизинилтиофосфаты являются ингибиторами АХЭ средней силы и весьма эффективными ингибиторами БуХЭ. Наибольшую избирательность по отношению к БуХЭ наблюдали для производных тиофосфата (pK1-6.7 и pK1-6.1 соответственно). Выявлены сильные ингибиторы цитохрома P450, имеющие перспективу для практического использования, среди них соединение с pJ50 – 5,55 и соединение с pJ50 – 5,70. Формула изобретения
![]() где n = 0; 1, при n = 0 X = S; O; R = CH3; C2H5; C3H7; i – C3H7; C4H9; при n = 1 Х = О; R = CH3; R’ = i – C3H7; C6H5; ![]() в качестве гепатопротектора. 2. Применение фосфорсодержащих производных цитизина по п.1 общей формулы ![]() где n = 0; 1, в качестве гепатопротектора. 3. Применение фосфорсодержащих производных цитизина по пп.1 и 2, где n = 1, в качестве лекарственного средства, обладающего гепатопротекторной активностью. РИСУНКИ
MM4A – Досрочное прекращение действия патента СССР или патента Российской Федерации на изобретение из-за неуплаты в установленный срок пошлины за поддержание патента в силе
Дата прекращения действия патента: 21.05.2006
Извещение опубликовано: 10.05.2007 БИ: 13/2007
|
||||||||||||||||||||||||||


.
Изобретение расширяет арсенал средств указанного назначения. 2 з.п. ф-лы, 4 табл.
-(диалкоксифосфинил)меркаптоэтил]цитизинов (2) и их иодметилатов (3).
Авторы показали, что все синтезированные соединения обладают необратимой ингибирующей активностью в случае ацетилхолинэстеразы и проявляют эффект избирательного торможения каталитической активности бутирилхолинэстеразы.
Сведения о других фосфорсодержащих производных цитизина нами в литературе не обнаружены.
Раскрытие изобретения.
В связи с тем, что исходный алкалоид цитизин проявляет значительную биологическую активность, можно предположить, что и другие его фосфорсодержащие производные будут интересны с этой точки зрения.
Целью заявляемого изобретения является получение новых фосфорсодержащих производных цитизина, в частности обладающих повышенной биологической активностью.
Поставленная цель достигается тем, что получены фосфорсодержащие производные цитизина общей формулы




, см-1: 1270 (P-O), 1050 (P-O-C), 830 (P-N-C), 1658 (N-CO).
Спектр ПМР,
, м.д. 6,23 д (1H, CH
, 3JHH 5,0 Гц), 7,23 д.д. (1H, CH
/ ), 3,34 д (6H, CH3O, JCH3 р 13,2 Гц).
ЯМР 31P:
карбонильный атом кислорода отклоняется от этой плоскости незначительно (на
). Тетрагидропиридиновый цикл принимает конформацию кресла (
Сs8 2,7o) с выходом мостикового атома C из средней плоскости остальных на
Пиперидиновый цикл имеет почти идеальную конформацию кресла (
которая при смешанном типе торможения связана с конкурентной (Ki) и бесконкурентной (Ki1) составляющими соотношением 


