|
|
(21), (22) Заявка: 2001134661/28, 18.12.2001
(24) Дата начала отсчета срока действия патента:
18.12.2001
(30) Конвенционный приоритет:
19.12.2000 (пп.1-14) US 09/741,593
(43) Дата публикации заявки: 10.09.2003
(46) Опубликовано: 10.07.2006
(56) Список документов, цитированных в отчете о поиске:
RU 215031 C1, 27.05.2000. SU 900823 A3, 23.01.1982. GB 2066475 А, 08.07.1981. US 5781436 А, 14.07.1998.
Адрес для переписки:
129010, Москва, ул. Б. Спасская, 25, стр.3, ООО “Юридическая фирма Городисский и Партнеры”, пат.пов. Ю.Д.Кузнецову, рег.№ 595
|
(72) Автор(ы):
ОМЕРАДЖИК Дзеват (US)
(73) Патентообладатель(и):
ШЛЮМБЕРГЕР ТЕКНОЛОДЖИ Б.В. (NL)
|
(54) УСТРОЙСТВО ДЛЯ ИЗМЕРЕНИЯ ЭЛЕКТРОМАГНИТНОГО СВОЙСТВА ЗЕМНОГО ПЛАСТА, ПЕРЕСЕЧЕННОГО СТВОЛОМ СКВАЖИНЫ, И СПОСОБ ИЗМЕРЕНИЯ ЭЛЕКТРОМАГНИТНОГО СВОЙСТВА ЗЕМНОГО ПЛАСТА, ПЕРЕСЕЧЕННОГО СТВОЛОМ СКВАЖИНЫ (ВАРИАНТЫ)
(57) Реферат:
Изобретение относится к области геофизики и может быть использовано при каротаже скважин. Заявлены способы и устройство для измерения электромагнитного свойства земного пласта посредством использования антенн передатчиков и/или приемников, которые по существу представляют собой зависящие от времени магнитные диполи, дипольные моменты которых ориентированы под углом к оси ствола скважины. Устройство компонуют с множеством антенн, имеющих наклонные или поперечно ориентированные магнитные дипольные моменты, с, по меньшей мере, одним датчиком тока, средством для пропускания переменного тока через одну или более антенн и средством для вычисления масштабирующего коэффициента из измерений сигнала, а также масштабирования переменного тока масштабирующим коэффициентом. Технический результат: повышение точности результатов каротажа. 3 н. и 11 з.п. ф-лы, 11 ил.
Изобретение относится к области электромагнитного каротажа скважины. Более конкретно, в изобретении рассматриваются способы и устройства для их воплощения, предназначенные для снижения и/или корректирования влияния ствола скважины на измерение полного удельного сопротивления пласта.
В области разведки и добычи углеводородов известны различные методы каротажа скважин. Такие методы обычно используют инструменты или “зонды”, оборудованные источниками, адаптированными для излучения энергии через ствол скважины, пересекающий подповерхностный пласт. Излучаемая энергия взаимодействует с окружающим пластом с тем, чтобы произвести сигналы, которые детектируются и измеряются посредством одного или более датчиков, расположенных на инструменте. Обрабатывая данные детектированного сигнала, получают профиль свойств пласта.
Электромагнитный (ЕМ, ЭМ) индукционный каротаж является хорошо известным методом. Для того чтобы измерять удельную электропроводность (или обратную ей величину, удельное сопротивление) земных пластов, окружающих ствол скважины, инструменты индукционного каротажа располагают в стволе скважины. Известные инструменты индукционного каротажа изготовляют с антеннами, которые способны функционировать в качестве источников и/или датчиков. Антенны устанавливают на несущей конструкции или на оправе и разносят друг от друга вдоль оси несущей конструкции. Эти антенны, вообще говоря, являются катушками цилиндрического соленоидального типа и состоят из одного или более витков изолированного проводящего провода, который намотан вокруг несущей конструкции. Патенты США №5157605 и 5905379 (оба переданные правопреемнику настоящего патентовладельца), например, описывают инструменты индукционного каротажа, оборудованные антеннами, расположенными вдоль элемента несущей конструкции. В процессе функционирования антенна-передатчик возбуждается переменным током, чтобы излучить ЭМ энергию через жидкотекучую среду ствола скважины (также упоминаемую здесь как буровой раствор) и в пласт. Сигналы, детектируемые на антенне-приемнике, обычно выражаются в виде комплексных чисел (комплексное напряжение) и отражают взаимодействие с буровым раствором и пластом.
Фиг.1 изображает известный каротажный инструмент 100, образующий часть системы каротажа скважин. Инструмент 100 выполнен с возможностью перемещения через ствол скважины и подключают к компьютеру 105, расположенному на поверхности, кабелем 110 проводной линии связи. Профиль удельного сопротивления пласта может быть определен в реальном масштабе времени, посылая данные сигналов на поверхность по мере их накопления, или же он может быть определен из режима записи посредством записи данных на подходящий носитель данных (не показан), размещенный внутри инструмента 100. Как известно в уровне техники, данные сигналов обычно передают из инструмента 100 в компьютер 105, расположенный на поверхности, с помощью электроники (не показана), размещенной в инструменте 100. Данные сигналов могут быть посланы в компьютер, расположенный на поверхности, по кабелю проводной линии связи или альтернативными средствами телеметрии. После получения компьютером 105, расположенным на поверхности, данные могут быть записаны, обработаны или просчитаны так, как требуется пользователю, с тем чтобы сформировать профиль пласта. Затем профиль может быть записан на подходящей выходной носитель записи. Альтернативно некоторая часть или вся обработка может быть выполнена в нисходящей части скважины, и данные могут быть записаны в верхней части скважины, в нисходящей части скважины или и там, и там.
Катушка, по которой проходит ток, может быть представлена в виде магнитного диполя, имеющего магнитный момент, пропорциональный току и площади, охватываемой катушкой. Направление и величина момента магнитного диполя могут быть представлены вектором, перпендикулярным к площади, охватываемой катушкой. В стандартных индукционных каротажных инструментах, а также в каротажных инструментах, основанных на распространении сигнала, антенны передатчиков и приемников устанавливают так, что их оси располагаются вдоль продольной оси инструмента. Следовательно, такие инструменты выполняют с антеннами, имеющими продольные магнитные диполи (LMD, ПМД). Когда такую антенну помещают в ствол скважины и запитывают, чтобы передать ЭМ энергию, ток течет вокруг антенны в стволе скважины, а также в окружающем пласте. При этом нет никакого течения тока в чистом виде вверх или вниз по стволу скважины.
Новый метод в области каротажа скважин заключается в использовании инструментов, включающих антенны, имеющие наклоненные или поперечные катушки, то есть в которых ось катушки не параллельна продольной оси несущей конструкции. Таким образом, такие инструменты изготавливают с антеннами, имеющими поперечную или наклоненную ориентацию магнитного диполя (TMD, ПНМД). Цель таких конфигураций ПНМД диполей состоит в том, чтобы обеспечить трехмерную оценку параметров продуктивного пласта, включая информацию относительно анизотропии удельного сопротивления в вертикальных скважинах и направленной чувствительности, которая может использоваться для навигации. Каротажные инструменты, оборудованные ПНМД диполями, описаны в патентах США №6147496, 4319191, 5757191 и 5508616.
Особенно причиняющим беспокойство свойством ПНМД диполей является чрезвычайно большое влияние ствола скважины, которое встречается в ситуациях с высоким контрастом удельной проводимости, то есть когда буровой раствор в стволе скважины является более проводящим, чем пласт. Когда ПНМД диполь помещают в центр ствола скважины, нет никакого тока в чистом виде вдоль оси ствола скважины. Когда он смещен от центра в направлении, параллельном направлению магнитного момента, симметрия ситуации гарантирует, что все еще нет никакого тока вдоль оси ствола скважины. Однако, когда ПНМД диполь смещен от центра в направлении, перпендикулярном к направлению магнитного момента, в стволе скважины индуцируются осевые токи. В ситуациях с высоким контрастом проводимости такие токи могут протекать на очень большие расстояния вдоль ствола скважины. Когда эти токи проходят ПНМД диполи приемников, они могут вызвать сигналы, которые во много раз больше тех, которые возникли бы в однородном пласте без ствола скважины.
Патент США №5041975 (переданный правопреемнику настоящего патентовладельца) описывает метод для обработки данных сигнала, полученных из каротажных измерений, предназначенный для того, чтобы корректировать влияние ствола скважины. Патент США №5058077 описывает метод обработки данных датчика, расположенного в нижней части скважины, разработанный для того, чтобы компенсировать влияние эксцентрического вращения на датчике в процессе бурения. Патент США №5781436 описывает метод для измерения удельной проводимости земных пластов путем выполнения подповерхностных ЭМ измерений на кратных частотах и с предварительно установленными амплитудами. Однако ни один из этих патентов не касается свойств или влияний ПНМД диполей в подповерхностных измерениях.
Таким образом, остается потребность в улучшенных способах и устройстве для снижения или устранения влияний ствола скважины, связанных с протеканием нежелательных осевых токов вдоль ствола скважины при использовании каротажных инструментов, выполненных с ПНМД диполями.
Изобретение обеспечивает устройство для измерения свойства земного пласта, пересеченного стволом скважины. Устройство содержит: удлиненную несущую конструкцию, имеющую продольную ось; множество антенн, расположенных на несущей конструкции так, что магнитные дипольные моменты антенн наклонены или перпендикулярны по отношению к продольной оси несущей конструкции. Антенны выполнены с возможностью передачи и/или приема электромагнитной энергии. Устройство также включает: средство для проведения переменного тока, по меньшей мере, через одну из множества антенн, чтобы передавать электромагнитную энергию; по меньшей мере, один датчик, выполненный с возможностью измерения значения электрического тока, когда, по меньшей мере, одна антенна из множества антенн передает электромагнитную энергию; средство для вычисления коэффициента из измеренного значения тока и средство для масштабирования переменного тока посредством коэффициента.
Изобретение обеспечивает способ измерения свойства земного пласта, пересеченного стволом скважины, при котором: последовательно пропускают переменный ток, по меньшей мере, через одну антенну из множества антенн, расположенных в стволе скважины для передачи электромагнитной энергии, причем антенны располагают так, что магнитные дипольные моменты антенн наклонены или перпендикулярны относительно оси ствола скважины; измеряют значение электрического тока, связанного с переданной энергией, с помощью, по меньшей мере, одного датчика, расположенного в стволе скважины; вычисляют коэффициент из измеренного значения тока; пропускают переменный ток, масштабированный коэффициентом, по меньшей мере, через одну антенну из множества антенн для передачи электромагнитной энергии; принимают напряжение, индуцированное переданной электромагнитной энергией, с помощью, по меньшей мере, одной антенны из множества антенн; и вычисляют свойство из принятого напряжения.
Изобретение обеспечивает способ для измерения свойства земного пласта, пересеченного стволом скважины, при котором располагают множество антенн в стволе скважины так, чтобы магнитные дипольные моменты антенн были наклонены или перпендикулярны относительно оси ствола скважины; располагают, по меньшей мере, один датчик тока в стволе скважины; вычисляют коэффициенты из промежутков, выбранных вдоль направления ствола скважины, между выбранными антеннами из множества антенн и заданными точками вдоль ствола скважины; избирательно пропускают переменные токи, избирательно масштабированные на коэффициенты, через выбранные антенны из множества антенн для передачи электромагнитной энергии; измеряют значения электрического тока, связанные с переданной энергией, с помощью, по меньшей мере, одного датчика; и вычисляют свойство из измеренных значений тока.
В дальнейшем изобретение поясняется описанием конкретных вариантов его воплощения со ссылками на сопровождающие чертежи, на которых:
фиг.1 изображает принципиальную схему каротажной системы, содержащей каротажный инструмент, расположенный в стволе скважины,
фиг.2 наглядно изображает вид сверху на скважину для случаев параллельного и перпендикулярного смещения от центра наклоненного или поперечного магнитного диполя в стволе скважины,
фиг.3а изображает рассчитанный график плотности электрического тока, параллельно смещенного от центра наклоненного или поперечного магнитного диполя в стволе скважины,
фиг.3б изображает рассчитанный график плотности электрического тока, перпендикулярно смещенного от центра наклоненного или поперечного магнитного диполя в стволе скважины,
фиг.4а изображает рассчитанный график продольной плотности электрического тока вдоль диаметра, перпендикулярного ориентации магнитного диполя фиг.3а, соответствующий различным разнесениям “источник – приемник”,
фиг.4б изображает рассчитанный график продольной плотности электрического тока вдоль диаметра, перпендикулярного ориентации магнитного диполя фиг.3б, соответствующий различным разнесениям “источник – приемник”,
фиг.5 изображает схематическую диаграмму конфигурации каротажного инструмента согласно изобретению,
фиг.6 изображает блок-схему программы способа согласно изобретению,
фиг.7 изображает схематическую диаграмму конфигурации каротажного инструмента согласно изобретению,
фиг.8 изображает блок-схему программы способа согласно изобретению,
фиг.9-10 изображают схематические диаграммы конфигураций каротажного инструмента согласно изобретению.
фиг.11 изображает блок-схему программы способа согласно изобретению.
ПНМД диполь может быть смещен от центра в стволе скважины в двух возможных ориентациях, которые мы назовем параллельным и перпендикулярным смещением от центра, как показано на фиг.2. Параллельное смещение от центра вызывает токи, симметрично текущие вверх и вниз по стволу скважины, и, следовательно, не генерируется никакого тока в чистом виде. Такое влияние ствола скважины оказывается не худшим, чем в типичном инструменте, оборудованном не наклоненными (осевыми) антеннами. Перпендикулярное смещение от центра вызывает большие осевые токи ствола скважины, которые могут вызвать сильную связь с поперечным приемником, расположенным на удаленном осевом расстоянии (не показано). Два таких смещения являются экстремумами возможных смещений. В общем случае, смещение от центра будет иметь место в направлении, которое составляет некоторый угол с дипольным моментом датчиков. В этом случае влияние ствола скважины находится между двумя экстремальными случаями.
Анализ показал, что в проводящем стволе скважины влияние перпендикулярного эксцентриситета оказывается, по меньшей мере, на два порядка величины выше, чем для параллельного эксцентриситета. Причина такого явления заключается в появлении мод ТМ0n нулевого порядка, соответствующих продольному (направленному по оси z) течению тока в стволе скважины. Фиг.3а и 3б соответственно описывают распределения токов из параллельно смещенных от центра ПНМД диполей и перпендикулярно смещенных от центра ПНМД диполей в стволе скважины диаметром 8 дюймов. Источники установлены в окрестности точки, отстоящей от центра на 2 дюйма. Удельное сопротивление бурового раствора составляет Rm=1 Ом·метр, а удельное сопротивление пласта составляет Rt=1000 Ом·метр. Изменение тока в направлении источника очень мало. Ток, обусловленный эксцентриситетом ПНМД диполя в перпендикулярном направлении, равен току, обусловленному эксцентриситетом ПНМД диполя в параллельном направлении, соответствующим моде TM1n первого порядка, плюс постоянный член, соответствующий моде ТМ0n нулевого порядка. Фиг.4а-4б изображают продольные плотности электрического тока вдоль диаметра, перпендикулярного к ориентации ПНМД диполя. Фиг.4а изображает плотность тока для параллельно смещенного от центра ПНМД диполя, а фиг.4б изображает плотность тока для перпендикулярно смещенного от центра ПНМД диполя. Поля были вычислены для промежутков между передатчиком и приемником, равных Z = 39, 54, 72 и 144 дюймам.
Моделирование показало, что мода ТМ1n имеет геометрическую зависимость вида 1/L3. Следовательно, взаимное балансирование ПНМД диполя эффективно устраняет такую моду и уменьшает влияние эксцентриситета ствола скважины для параллельных ПНМД диполей. С другой стороны, мода ТМ0n имеет более сложную зависимость вида ехр {-С (Rm/Rt)L}, где С – константа. Устранение этой моды влечет за собой более чем геометрические соотношения. Оно означает, что измерение тока (электрического поля), а также измерение напряжения (магнитного поля) оказывается важным для соответствующей оценки параметров пласта.
При описании методов изобретения используется следующая система обозначений:
– Ti – i-й передатчик,
– Rj – j-й приемник (Н-датчик, поток магнитного поля), соответствующее число витков равно Nj,
– ij – j-й датчик тока (Ez-датчик, z-составляющая электрического поля),
– rij – расстояние между i-м передатчиком и j-м приемником вдоль продольной несущей конструкции,
– lij – расстояние между i-м передатчиком и j-м датчиком тока вдоль несущей конструкции,
– Rt/Rm – контраст удельного сопротивления.
Конфигурация фокусировки 1: обратимся к фиг.5, на которой показан вариант воплощения изобретения. Конфигурация инструмента с ПНМД диполями включает: два передатчика T1, T2, три приемника R1, R2, R3 и два датчика тока i1, i2. Для ясности иллюстрации действительный элемент несущей конструкции не показан. Специалисту должно быть понятно, что для воплощения изобретения можно использовать практически любой каротажный инструмент, имеющий удлиненную несущую конструкцию (обозначенную пунктирной линией). Как известно в уровне техники, датчики тока могут состоять из тороидальных электродов или дисковых электродов. Патенты США №5235285 и 5339037 (оба переданные правопреемнику настоящего патентовладельца и включенные здесь ссылкой) описывают датчики, которые могут использоваться в настоящем изобретении. Антенны и датчики изобретения устанавливают на несущей конструкции с помощью подходящих средств и приводят в действие посредством электронных систем, хорошо известных в уровне техники, наподобие тех, что описаны в патентах №5235285 и 5339037.
Три приемника R1, R2, R3 взаимно сбалансированы с обоими передатчиками T1, T2, то есть

или

В выражениях (1) и (2) Ni являются числом витков, и они включают полярность антенн (то есть могут быть отрицательные числа).
Вариант воплощения изобретения представляет собой процесс, выполненный с конфигурацией инструмента фиг.5. В данном процессе переменный ток проходит через одну из антенн T1, T2, чтобы передать ЭМ энергию через ствол скважины в пласт. Хотя обычные электромагнитные скважинные зонды эксплуатируют на частотах в диапазоне приблизительно от 100 Гц до 5 МГц, методы настоящего изобретения не ограничены какой-либо конкретной частотой тока. Ток подается в антенну (-ы) генератором сигналов, установленным внутри инструмента, как это известно в уровне техники (не показано), или он может быть подан к инструменту по кабелю проводной линии, как показано на фиг.1.
Если для передачи ЭМ энергии активизируют передатчик T1, то передатчик Т2 выключают, и наоборот. При активизированном T1, ток, индуцированный вдоль ствола скважины, измеряют датчиками i1, i2. Ток, связанный с T1, выражается как

Затем активный передатчик T1 выключают, и переменный ток с теми же параметрами (то есть тот же самый комплексный ток) пропускают через другой передатчик T2, чтобы он излучал ЭМ энергию. Ток, индуцированный передатчиком T2, измеряют датчиками i1, i2. Этот ток выражается как

Масштабирующий коэффициент = -i(1)/i(2) вычисляют из уравнений (3) и (4). Переменный ток (комплексный ток) масштабируют на масштабирующий коэффициент и пропускают через передатчик Т2, тогда как передатчик T1 одновременно возбуждают переменным током, имеющим предыдущие не масштабированные параметры. Сигналы напряжений, индуцированные переданной энергией, детектируют и принимают на одном или всех трех приемниках R1, R2, R3. Затем, чтобы вычислить удельное сопротивление пласта, к принятым сигналам напряжений можно применять один из многих известных методов (например, модели, справочные таблицы, алгоритмы).
Масштабирование, выполненное в уравнениях (3) и (4), используют для того, чтобы исключить ток, соответствующий моде TM1n первого порядка. Тем самым гарантируется, что измерения тока не зависят от радиального расположения антенны. Следовательно, токи i(1) и i(2), соответствуют моде ТМ0n. В этом частном процессе не учитывают экспоненциальную зависимость моды тока нулевого порядка в виде ехр {-С (Rm/Rt)L}.
Фиг.6 изображает блок-схему, представляющую шаги вышеописанного процесса. На шаге 200 переменный ток последовательно пропускают, по меньшей мере, через две антенны из множества антенн, расположенных в стволе скважины, для передачи электромагнитной энергии, причем антенны располагают таким образом, чтобы магнитные дипольные моменты антенн были наклонены или перпендикулярны по отношению к оси ствола скважины. Значение электрического тока, связанное с переданной энергией, измеряют на шаге 205 с помощью, по меньшей мере, одного датчика, расположенного в стволе скважины. На шаге 210 из измеренного значения тока вычисляют коэффициент . На шаге 215 переменный ток, масштабированный на масштабирующий коэффициент , пропускают, по меньшей мере, через одну из антенн для передачи электромагнитной энергии. На шаге 220 напряжение, индуцированное переданной электромагнитной энергией (на шаге 215), принимают одной из антенн. Затем на шаге 225 свойство (удельное сопротивление) земного пласта вычисляют из принятого напряжения.
Конфигурация фокусировки 2: фиг.7 изображает другой вариант воплощения изобретения. Конфигурация инструмента с ПНМД диполями включает: два передатчика T1, Т2, три приемника R1, R2, R3 и три датчика тока i1, i2, i3. По сравнению с вариантом воплощения фиг.5 этот вариант воплощения имеет еще один датчик тока. Данный вариант воплощения может быть выполнен с использованием такого же процесса, который описан выше, доводя суммарный ток, измеренный тремя датчиками тока, до нуля. Третий датчик тока позволяет производить оценку моды нулевого порядка и приблизительную оценку контраста удельного сопротивления.
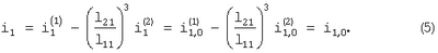
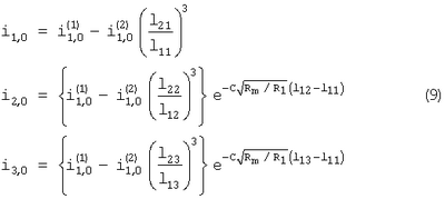
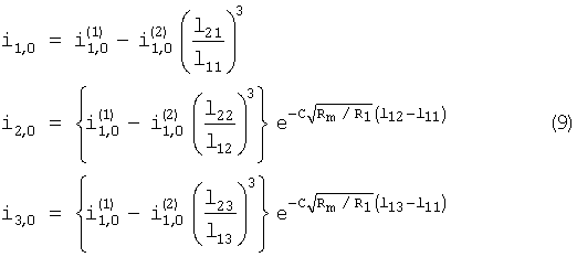
Другой вариант воплощения изобретения представляет собой процесс, выполненный с конфигурацией инструмента фиг.7. Если известно удельное сопротивление Rm бурового раствора (оно может быть определено из образца или другим известным способом), то можно получить первую оценку Rt. В этом процессе определяют расстояния между выбранными антеннами-передатчиками T1, T2 и выбранными датчиками токов i1, i2, i3 и для этих промежутков вычисляют несколько масштабирующих коэффициентов. Переменный ток, имеющий известные параметры, проходит через T1, в то время как переменный ток, масштабированный коэффициентом (l21/li11)3 одновременно проходит через передатчик T2 для передачи ЭМ энергии. Ток, индуцированный вдоль ствола скважины, измеряют первым датчиком i1. Ток, связанный с T1, T2, выражается как

Если передатчики располагаются достаточно далеко друг от друга, измеренный ток i1 имеет только моду нулевого порядка i1,0. Токи i1 (1) и i1 (2) соответствуют передатчикам, возбуждаемым не масштабированным током.
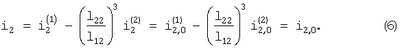
Далее переменный ток с известными параметрами снова проходит через передатчик T1, в то время как переменный ток, масштабированный коэффициентом (l22/l12)3, одновременно проходит через передатчик Т2. Ток, индуцированный вдоль ствола скважины, измеряют вторым датчиком i2. Этот ток, связанный с T1 и Т2, выражается как

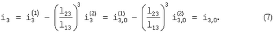
Далее переменный ток с известными параметрами снова проходит через передатчик T1, в то время как переменный ток, масштабированный коэффициентом (l22/l12)3, одновременно проходит через передатчик Т2. Ток, индуцированный вдоль ствола скважины, измеряют третьим датчиком i3. Этот ток, связанный с T1 и Т2, выражается как

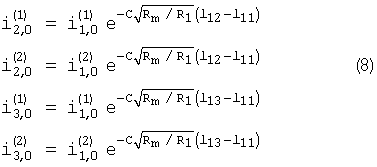
Предполагая зависимость тока моды нулевого порядка в виде ехр {-С (Rm/Rt)L}, можно записать следующие соотношения,

Подстановка выражения (8) в (6)-(7) дает следующую систему уравнений:

После исключения i1 (1) и i1 (2) можно записать выражение в терминах контраста Rm/Rt удельного сопротивления

Единственной неизвестной величиной в уравнении (10) является Rt, ее можно получить, используя стандартные методы решения нелинейных уравнений.
Фиг.8 изображает блок-схему, представляющую шаги вышеописанного процесса. На шаге 300 множество антенн располагают в стволе скважины таким образом, чтобы магнитные дипольные моменты антенн были наклонены или перпендикулярны по отношению к оси ствола скважины. На шаге 305, по меньшей мере, один датчик тока располагают в стволе скважины. На шаге 310 вычисляют коэффициенты в зависимости от разнесения вдоль направления ствола скважины между выбранными антеннами и заданными точками вдоль ствола скважины. На шаге 315 переменные токи, избирательно масштабированные коэффициентами, избирательно пропускают через выбранные антенны для передачи электромагнитной энергии. На шаге 320 значения электрического тока, связанные с переданной энергией, измеряют датчиком. Затем на шаге 325 из измеренных значений тока вычисляют свойство (удельное сопротивление) пласта.
Конфигурация фокусировки 3: обратимся к фиг.9, на которой изображен другой вариант воплощения изобретения. Конфигурация инструмента с ПНМД диполями включает: четыре передатчика T1, Т2, Т3, Т4, один приемник R1 и один датчик тока i1. Датчик тока и приемник расположены предпочтительно по существу на одинаковом расстоянии от передатчиков вдоль продольной оси несущей конструкции.
Другой вариант воплощения изобретения представляет собой процесс, выполненный с конфигурацией инструмента фиг.9. В данном процессе определяют расстояния между выбранными антеннами T1, Т2, Т3, Т4 и, исходя из этих промежутков, вычисляют несколько масштабирующих коэффициентов. Переменный ток, имеющий известные параметры, проходит через T1, в то время как переменный ток, масштабированный коэффициентом (r2/r1)3, одновременно проходит через передатчик Т2. Ток, индуцированный вдоль ствола скважины, детектируется и измеряется датчиком i1. Ток, связанный с T1 и Т2, выражается как

Если передатчики располагаются достаточно далеко друг от друга, то измеренный ток i1 имеет только моду нулевого порядка. Токи i(1) и i(2) соответствуют передатчикам, возбуждаемым не масштабированным током.
Далее переменный ток, имеющий известные параметры, проходит через передатчик Т3, в то время как переменный ток, масштабированный коэффициентом (r3/r4)3, одновременно проходит через передатчик Т4. Ток, индуцированный вдоль ствола скважины, измеряется датчиком i1. Ток, связанный с Т3 и Т4, выражается как

Снова если передатчики располагаются достаточно далеко друг от друга, то измеренные токи имеют только моду нулевого порядка. Токи i(3) и i(4) соответствуют передатчикам, возбуждаемым не масштабированным током.
Далее переменный ток, имеющий известные параметры, снова проходит через передатчик T1, в то время как переменный ток, масштабированный коэффициентом -(r2/r1)3, одновременно проходит через передатчик T2, переменный ток, масштабированный коэффициентом , проходит через Т3, и переменный ток, масштабированный коэффициентом (r4/r3)3, проходит через Т4. Масштабирующий коэффициент подбирают так, чтобы суммарный ток был равен нулю

Конфигурация фокусировки 4: фиг.10 изображает другой вариант воплощения изобретения. Конфигурация инструмента с ПНМД диполями включает: три передатчика T1, T2, Т3, один приемник R1 и один датчик тока i1. Датчик тока и приемник расположены предпочтительно по существу на одинаковом расстоянии от передатчиков вдоль продольной оси инструмента.
Другой процесс изобретения выполнен в виде варианта воплощения фиг.10. В таком процессе определяют расстояния между выбранными антеннами T1, Т2, Т3, и исходя из этих промежутков, вычисляют несколько масштабирующих коэффициентов. Переменный ток, имеющий известные параметры, проходит через T1, в то время как переменный ток, масштабированный коэффициентом (r2/r1)3, одновременно проходит через передатчик Т2. Ток, индуцированный вдоль ствола скважины, детектируется и измеряется датчиком i1. Ток, связанный с T1 и Т2, выражается как

Снова если передатчики располагаются достаточно далеко друг от друга, то измеренный ток имеет только моду нулевого порядка. Токи i1 (1) и i2 (2) соответствуют передатчикам, возбуждаемым не масштабированным током.
Далее переменный ток, имеющий известные параметры, проходит через Т2, в то время как переменный ток, масштабированный коэффициентом (r3/r2)3, одновременно проходит через передатчик Т3. Ток, индуцированный вдоль ствола скважины, детектируется и измеряется датчиком i1. Ток, связанный с Т2 и Т3, выражается как

Токи i1 (1) и i2 (2) соответствуют передатчикам, возбуждаемым токами с известными параметрами.
Далее переменный ток, имеющий известные параметры, снова проходит через передатчик T1, в то время как переменный ток, масштабированный коэффициентом -{ +(r2/r1)3}, одновременно проходит через передатчик Т2, и переменный ток, масштабированный коэффициентом (r3/r2)3, проходит через Т3. Масштабирующий коэффициент подбирается так, чтобы суммарный ток был равен нулю

Фиг.11 изображает блок-схему, представляющую шаги вышеописанного процесса изобретения согласно конфигурациям фокусировки 2-4. На шаге 400 множество антенн располагают в стволе скважины таким образом, чтобы магнитные дипольные моменты антенн были наклонены или перпендикулярны по отношению к оси ствола скважины. На шаге 405 в стволе скважины располагают, по меньшей мере, один датчик тока. На шаге 410 вычисляют коэффициенты в зависимости от разнесения вдоль направления ствола скважины между выбранными антеннами и заданными точками вдоль ствола скважины. На шаге 415 переменные токи, избирательно масштабированные масштабирующими коэффициентами, избирательно пропускают через выбранные антенны для передачи электромагнитной энергии. На шаге 420 из значения тока, измеренного датчиком тока, вычисляют, по меньшей мере, один коэффициент, причем значение тока связывают с передаваемой электромагнитной энергией. На шаге 425 переменный ток, масштабированный коэффициентом (на шаге 420), пропускают, по меньшей мере, через одну антенну для передачи электромагнитной энергии. На шаге 430 напряжения, индуцированные передаваемой электромагнитной энергией (на шаге 420 и 425), принимаются антенной. Затем на шаге 435 из принятых напряжений вычисляют свойство (удельное сопротивление) земного пласта.
Специалистам должно быть понятно, что к раскрытым вариантам воплощения можно сделать различные модификации и вариации, не отклоняясь от сущности настоящего изобретения и не выходя за его рамки. Например, шаги раскрытых методов могут быть выполнены с помощью электроники или посредством использования принципа суперпозиции.
Формула изобретения
1. Устройство для измерения электромагнитного свойства земного пласта, пересеченного стволом скважины, содержащее:
удлиненную несущую конструкцию, имеющую продольную ось,
множество антенн, расположенных на несущей конструкции так, что магнитные дипольные моменты антенн наклонены или перпендикулярны продольной оси несущей конструкции, причем антенны выполнены с возможностью передавать и/или принимать электромагнитную энергию,
средство для пропускания переменного тока, по меньшей мере, через одну из упомянутого множества антенн для передачи электромагнитной энергии, отличающееся тем, что содержит,
по меньшей мере, один датчик, выполненный с возможностью измерения значения электрического тока, когда, по меньшей мере, одна антенна из упомянутого множества антенн передает электромагнитную энергию,
средство для вычисления масштабирующего коэффициента из измеренного значения тока и
средство для масштабирования переменного тока масштабирующим коэффициентом.
2. Устройство по п.1, отличающееся тем, что упомянутое электромагнитное свойство является удельным сопротивлением.
3. Устройство по п.1, отличающееся тем, что переменный ток охватывает диапазон от 100 Гц до 5 МГц.
4. Устройство по п.1, отличающееся тем, что средство вычисления масштабирующего коэффициента является средством для вычисления масштабирующего коэффициента из заданного промежутка вдоль оси несущей конструкции между выбранной антенной из упомянутого множества антенн и упомянутым, по меньшей мере, одним датчиком.
5. Устройство по п.1, отличающееся тем, что содержит два датчика, причем каждый датчик выполнен с возможностью измерения значения электрического тока, когда, по меньшей мере, одна антенна из упомянутого множества антенн передает электромагнитную энергию.
6. Устройство по п.5, отличающееся тем, что средство вычисления масштабирующего коэффициента содержит средство для вычисления масштабирующего коэффициента из значений тока, измеренных на упомянутых двух датчиках.
7. Способ измерения электромагнитного свойства земного пласта, пересеченного стволом скважинами, при котором:
a) последовательно пропускают переменный ток через, по меньшей мере, две антенны из множества антенн, расположенных в стволе скважины, для передачи электромагнитной энергии, причем антенны расположены так, что магнитные дипольные моменты антенн наклонены или перпендикулярны оси ствола скважины, отличающийся тем, что
b) измеряют значение электрического тока, связанное с переданной энергией, с помощью, по меньшей мере, одного датчика, расположенного в стволе скважины;
c) вычисляют масштабирующий коэффициент из измеренного значения тока;
d) для передачи электромагнитной энергии пропускают переменный ток, масштабированный упомянутым масштабирующим коэффициентом, через, по меньшей мере, одну антенну из упомянутого множества антенн, при этом одновременно возбуждают, по меньшей мере, одну другую антенну из упомянутого множества антенн переменным током, имеющим предыдущие немасштабированные параметры;
e) принимают напряжение, индуцированное переданной на этапе (d) электромагнитной энергией, с помощью, по меньшей мере, одной антенны из упомянутого множества антенн; и
f) вычисляют упомянутое электромагнитное свойство из принятого напряжения.
8. Способ по п.7, отличающийся тем, что упомянутое электромагнитное свойство является удельным сопротивлением.
9. Способ по п.7, отличающийся тем, что этап (с) включает в себя вычисление масштабирующего коэффициента из заданного промежутка вдоль оси ствола скважины между выбранной антенной из упомянутого множества антенн и упомянутым, по меньшей мере, одним датчиком.
10. Способ по п.7, отличающийся тем, что этап (b) включает в себя измерение значений электрического тока, связанных с переданной энергией, с помощью двух датчиков, расположенных в стволе скважины.
11. Способ измерения электромагнитного свойства земного пласта, пересеченного стволом скважинами, при котором
a) располагают множество антенн в стволе скважины так, чтобы магнитные дипольные моменты антенн были наклонены или перпендикулярны оси ствола скважины,
b) располагают, по меньшей мере, один датчик тока в стволе скважины, отличающийся тем, что
c) вычисляют масштабирующие коэффициенты из промежутков вдоль направления ствола скважины между выбранными антеннами из упомянутого множества антенн и заранее заданными точками вдоль ствола скважины,
d) для передачи электромагнитной энергии пропускают переменные токи, масштабированные упомянутыми масштабирующими коэффициентами, через выбранные антенны из упомянутого множества антенн, при этом одновременно возбуждают другие антенны из упомянутого множества антенн переменными токами, имеющими предыдущие немасштабированные параметры;
e) измеряют значения электрического тока, связанные с переданной энергией, с помощью упомянутого, по меньшей мере, одного датчика и
f) вычисляют упомянутое электромагнитное свойство из измеренных значений тока.
12. Способ по п.11, отличающийся тем, что упомянутое электромагнитное свойство является удельным сопротивлением.
13. Способ по п.11, отличающийся тем, что промежутки по этапу (с) представляют собой расстояния между упомянутыми выбранными антеннами из упомянутого множества антенн и упомянутым, по меньшей мере, одним датчиком тока.
14. Способ по п.11, отличающийся тем, что вычисление по этапу (f) включает в себя значение удельного сопротивления флюида в стволе скважины.
РИСУНКИ
|
|