|
(21), (22) Заявка: 2004117354/03, 07.06.2004
(24) Дата начала отсчета срока действия патента:
07.06.2004
(43) Дата публикации заявки: 20.11.2005
(46) Опубликовано: 10.07.2006
(56) Список документов, цитированных в отчете о поиске:
КАЛИНИН А.Г. и др. Бурение наклонных скважин. – М.: Недра, 1990, с. 277-309. RU 2148695 С1, 10.05.2000. SU 1089224 А, 30.04.1984. RU 2197593 С1, 27.01.2003. RU 2164282 С1, 20.03.2001. RU 2145661 С1, 20.02.2000. RU 2099505 С1, 20.12.1997. RU 2067156 С1, 27.09.1996. RU 2069732 С1, 27.11.1996. US 5911275 A, 15.01.1999.
Адрес для переписки:
450006, г.Уфа, ул.Ленина, 86, НТО, Л.К.Шигаповой
|
(72) Автор(ы):
Рахматуллин Марат Раифович (RU), Шахмаев Зуфар Махмутович (RU), Овцын Игорь Олегович (RU), Рахматуллин Валерий Раифович (RU), Гибадуллин Наиль Закуанович (RU), Тайгин Евгений Викторович (RU)
(73) Патентообладатель(и):
Открытое акционерное общество “Акционерная нефтяная компания “Башнефть” (RU), Общество с ограниченной ответственностью Научно-производственное предприятие “Уфабурнефть” (RU)
|
(54) СПОСОБ СТРОИТЕЛЬСТВА МНОГОЗАБОЙНЫХ СКВАЖИН
(57) Реферат:
Изобретение относится бурению многозабойных скважин и может быть использовано для бурения и последующего освоения нового ствола скважины. Вскрывают окно в обсадной колонне первичного ствола скважины, для чего низ обсадной колонны первичного ствола скважины оборудуют шлицами и осуществляют посадку на шлицы извлекаемого посадочного узла, включающего внутренние шлицы сверху, наружные снизу и посадочную обсадную трубу, на верхнем конце муфты которой устанавливают вспомогательный клин. Заполняют интервал установки извлекаемого посадочного узла нетвердеющей вязкопластичной жидкостью со статическим напряжением сдвига, определяемым по математической зависимости. Осуществляют бурение нового дополнительного ствола до проектной глубины с использованием клина-отклонителя, который оборудуют шлицами в нижней части и посадочной площадкой, угол наклона которой равен углу наклона вспомогательного клина, и после бурения нового дополнительного ствола извлекают клин-отклонитель из скважины. На устье нового дополнительного ствола скважины спускают хвостовик с обсадными трубами. Осуществляют герметизацию устья нового дополнительного ствола скважины, для чего спускают туда узел для герметизации устья, включающий пакер-отсекатель со средоразделителем, содержащий клин, имеющий отверстия для прохода тампонажной смеси, и вспомогательный патрубок с манжетами в верхней части, осуществляют нагнетание тампонажной смеси в хвостовик и промывку скважины, после чего вспомогательный патрубок с манжетами в верхней части разбуривают долотом. После окончания освоения нового дополнительного ствола производят извлечение посадочного узла. Изобретение направлено на повышение надежности закрепления отклоняющего клина для вскрытия окна в колонне и на исключение оседания шлама в основной ствол в процессе бурения дополнительного ствола. 11 ил., 1 табл.
Изобретение относится к горной отрасли промышленности и предназначено для применения при работах по вскрытию окна в колонне и бурения до проектной глубины нового ствола, разобщения устья дополнительных новых стволов при строительстве многозабойных скважин.
Известны отклоняющие компоновки для вскрытия окна в колонне и бурения многозабойных скважин, позволяющие получать заранее задаваемые радиусы кривизны в зависимости от геометрической формы компоновки [1, 2]. Наибольшее распространение получили отклоняющие клинья с фиксацией корпуса в колонне с помощью плашек или устанавливаемых на цементный забой.
Многообразие конструкций закрепления клиновых устройств связано с отсутствием надежного закрепления отклоняющего инструмента для забуривания дополнительных стволов в обсаженных скважинах. Наиболее сложные аварии связаны с проворотами отклоняющего клина вокруг своей оси. Такие сложные аварии обычно ликвидировать не удается.
В многозабойных скважинах, сложенных неустойчивыми породами, дополнительные новые стволы обсаживаются хвостовиками. В процессе бурения нового ствола, цементажа и герметизации устья хвостовика имеется ряд технологических и технических нерешенных проблем:
– оседание шлама в первичный ствол в процессе бурения нового дополнительного ствола;
– непроизвольное цементирование отклоняющего клина в процессе крепления хвостовика;
– закрепление неустойчивых пород вскрытых окном в колонне первичного ствола с целью исключения обвала и осыпей пород при дальнейшей эксплуатации многозабойной скважины;
– расшатывание верхнего конца хвостовика в процессе эксплуатации и ремонта скважины.
Предлагаемое техническое решение направлено: на надежное закрепление отклоняющего клина для вскрытия окна в колонне и герметизации устья хвостовика в процессе строительства каждого нового дополнительного ствола многозабойной скважины, на исключение оседания шлама (пород и металлических стружек) в первичный ствол в процессе бурения нового дополнительного ствола применением вязкопластичных жидкостей.
Технический результат – возможность извлечения из первичного ствола многозабойной скважины отдельных узлов устройства и при необходимости работ в конкретном дополнительном стволе повторное использование извлеченных узлов из скважины, разобщения устья хвостовика в процессе строительства каждого нового дополнительного ствола многозабойной скважины.
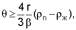
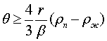
Технический результат достигается применением способа строительства многозабойных скважин, включающем вскрытие окна в обсадной колонне первичного ствола скважины и бурение нового дополнительного ствола до проектной глубины с использованием клина-отклонителя, спуск хвостовика с обсадными трубами на устье нового дополнительного ствола скважины и герметизацию устья нового дополнительного ствола скважины. Согласно изобретению низ обсадной колонны первичного ствола скважины оборудуют шлицами и осуществляют посадку извлекаемого посадочного узла на шлицы обсадной колонны первичного ствола скважины, при этом извлекаемый посадочный узел, включающий посадочную обсадную трубу, снабжают внутренними шлицами сверху и наружными снизу, а также вспомогательным клином, который устанавливают на верхнем конце муфты посадочной обсадной трубы, после чего интервал установки извлекаемого посадочного узла заполняют нетвердеющей вязкопластичной жидкостью со статистическим напряжением сдвига, удовлетворяющим условию

где – статическое напряжение сдвига вязкопластичной жидкости;
r – радиус шлама-породы, металлических стружек, оседающих в процессе бурения дополнительного нового ствола;
n, ж – соответственно плотности породы, металлических стружек и нетвердеющеи вязкопластичной жидкости;
=18-50 – коэффициент обтекания,
клин-отклонитель оборудуют шлицами в нижней части и посадочной площадкой, угол наклона которой равен углу наклона вспомогательного клина, и после бурения нового дополнительного ствола до проектной глубины извлекают клин-отклонитель из скважины, при герметизации устья нового дополнительного ствола скважины спускают узел для герметизации устья, включающий пакер-отсекатель со средоразделителем, содержащий клин, имеющий отверстия для прохода тампонажной смеси, и вспомогательный патрубок с манжетами в верхней части, осуществляют нагнетание тампонажной смеси в хвостовик и промывку скважины, после чего вспомогательный патрубок с манжетами в верхней части разбуривают долотом и после окончания освоения нового дополнительного ствола производят извлечение посадочного узла.
Коэффициент обтекания, зависящий от формы и размеров, рассмотрен в работе Мирзаджанзаде А.Х. «Вопросы гидродинамики вязкопластичных и вязких жидкостей в нефтедобыче», Баку, 1959 г., стр.58.
Частицы породы, оторванные от стенки скважины из известного пласта, под действием силы тяжести в нетвердеющем вязкопластичном растворе встречает сопротивление, величина которого выражается формулой:

где r – радиус оторванной от стенки скважины породы;
– коэффициент обтекания, зависящий от формы и размеров;
– динамический коэффициент вязкости, кгс·сек/см2 (Пуаз);
– скорость движения твердых частиц;
– статическое напряжение сдвига вязкопластичной жидкости.
В жидкостях падающая порода находится под действием двух противоположных сил. Сверху вниз действует сила тяжести породы f1, которая равна произведению его объема на его плотность – n:

где n – плотность породы.
Снизу вверх на породу действует сила выталкивания, которая по закону Архимеда равна массе вытесненной жидкости в объеме породы, с плотностью

где ж – плотность вязкопластичной жидкости;
тогда

Для обеспечения условия равновесия F1=F2 статическое напряжение сдвига должно быть

Увеличение плотности вязкопластичной жидкости приводит к снижению скорости осаждения твердых частиц обвалившейся со стенок скважины породы, однако скорость осаждения породы прекращается только с ростом статического напряжения сдвига вязкопластичной жидкости, т.е. когда =0.
Тогда критерием величины статического напряжения сдвига является формула

Плотность пород вскрываемой скважины всегда больше, чем плотность вязкопластичной жидкости. Прекращение движения твердых частиц в жидкости только за счет увеличения плотности вязкопластичной жидкости практически нецелесообразно. Пользуясь формулой 6, можно определить статическое напряжение сдвига нетвердеющего вязкопластичного тампонажного раствора применительно к конкретным скважинным условиям, чтобы скорость осаждения отваливающихся пород была равна нулю.
Величины статического напряжения сдвига, при которых прекращается осаждение твердых веществ (породы) в нетвердеющих вязкопластичных жидкостях.
| № п/п |
Плотность, г/см3 |
Диаметр твердых частиц, мм |
Величина статического напряжения сдвига вязкопластичной жидкости, при котором прекращается осаждение твердых частиц (породы), мг/см2 |
| Твердых частиц |
Вязкопластичной жидкости |
Лабораторные данные |
Расчетные данные по формуле 6 |
| 1 |
2,4 |
1,2 |
3,0 |
30 |
26,66 |
| 2. |
7,8 |
1,4 |
3,0 |
135 |
141,7 |
| 3 |
2,4 |
1,2 |
7,5 |
60 |
66,6 |
| 4 |
7,8 |
1,42 |
7,5 |
320 |
354 |
| 5 |
2,4 |
1,2 |
20 |
200 |
177 |
| 6 |
7,8 |
1,4 |
20 |
640 |
945 |
| 7 |
2,4 |
1,2 |
35 |
340 |
311 |
| 8 |
7,8 |
1,4 |
35 |
1200 |
1654 |
| 9 |
2,4 |
1,2 |
50 |
450 |
444 |
| 10 |
7,8 |
1,4 |
50 |
2500 |
2362 |
Реализация временного крепления скважин позволяет решить проблему разобщения пластов в различных горно-геологических условиях при креплении скважин, извлечь колонну обсадных труб после окончания работ по исследованию и эксплуатации скважин.
Выбор рецептуры нетвердеющих смесей для временного тампонирования скважин подробно описан в работе З.М.Шахмаева и В.Р.Рахматуллина «Технология заканчивания скважин» – Уфа, 1996, стр.140.
Были исследованы нетвердеющие тампонажные смеси, приготовленные на базе следующих минералов:
– бентонитовые и кальциевые глины;
– девонская нефть;
– дизельное топливо;
– поверхностно-активные вещества (НЧК, САБ-1 и др.);
– различные минеральные соли.
Например, временному креплению скважины, в разрезе которой имеются терригенные отложения, отвечают параметры нетвердеющего вязкопластичного тампонажного раствора состава (в граммах):
| глинопорошок |
350 |
| нефть |
150 |
| ПАВ |
200 |
| САБ-1 |
150 |
| вода |
431 |
| Плотность раствора |
1,28 г/см3 |
Скважинам, в разрезе которых имеются отложения с температурой до -9°С (вечная мерзлота), отвечают параметры нетвердеющих вязкопластичных тампонажных растворов состава (в граммах):
| глинопорошок |
500 |
| нефть |
250 |
| ПАВ |
100 |
| NaCl – хлористый натрий |
150 |
| вода |
356 |
| Плотность раствора |
1,36 г/см3 |
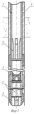
На фигурах показаны схемы последовательности установки извлекаемого посадочного узла:
фиг.1 – положение шлиц в первичном стволе многозабойной скважины;
фиг.2 – положение извлекаемого посадочного узла после посадки на шлицы в первичном стволе скважины;
фиг.3 – заключительное положение оборудования верха посадочного узла после посадки клина для забуривания окна в колонне первичного ствола многозабойной скважины.
1. Обсадная колонна.
2. Башмак.
3. Разделительная пробка.
4. Цемент.
5. Внутренние шлицы в первичном стволе.
6. Посадочная обсадная труба.
7. Наружные шлицы посадочной трубы.
8. Внутренние шлицы посадочной трубы.
9. Центратор.
10. Вспомогательный клин.
11. Клин-отклонитель для вскрытия окна в колонне первичного ствола.
12. Шлицы от клина-отклонителя для вскрытия окна в колонне первичного ствола.
13. Заполнение извлекаемого посадочного узла вязкопластичной жидкостью.
На фиг.4-6 – схема установки узла герметизации устья хвостовика.
14. Пакер отсекатель со средоразделителем.
15. Клин для закрепления неустойчивых пород, вскрытых окном в обсадной колонне первичного ствола.
16. Вспомогательный патрубок с манжетами в верхней части.
На фиг.7 показана компоновка низа обсадной колонны первичного ствола многозабойной скважины, оборудованного шлицам.
Шлицы в обсадной трубе 1 устанавливаются выше патрубка места установки “стоп-кольца” 17.
На фиг.8 показана компоновка извлекаемого посадочного узла.
Извлекаемый посадочный узел состоит из обсадной трубы 6, наружных 7 и внутренних 8 шлицов, центраторов 9, вспомогательного клина 10, навернутого на верхнем конце муфты обсадной трубы 6. Длина извлекаемого посадочного узла определяется от места установки шлица низа обсадной колонны первичного ствола до места вскрытия окна в колонне. Спускается на бурильных трубах, оканчивающейся левой резьбой. С помощью магнитного переводника, установленного в колонне бурильных труб, плоскость скоса вспомогательного клина обращается в направлении вскрытия окна в колонне первичного ствола скважины.
После посадки извлекаемого посадочного узла на шлицы обсадной колонны первичного ствола скважины интервал установки извлекаемого посадочного узла заполняется вязкопластичной жидкостью. Затем колонна бурильных труб вращением по часовой стрелке отсоединяется от извлекаемого посадочного узла. Для предотвращения прихвата извлекаемого посадочного узла за счет оседания шлама и металлических стружек в процессе бурения дополнительных новых стволов интервал установки извлекаемого посадочного узла заполняется вязкопластичной жидкостью, со статическим напряжением сдвига, удовлетворяющим следующему условию

где – статическое напряжение сдвига вязкопластичной жидкости;
r – радиус шлама породы, металлических стружек, оседающих в процессе бурения дополнительного нового ствола;
n, ж – соответственно плотности породы, металлических стружек и нетвердеющей вязкопластичной жидкости;
– коэффициент обтекания, зависящий от формы и размеров, по опытным данным Р.И.Шищенко =18-50.
Извлекаемый посадочный узел фиксируется с помощью шлицов в первичном стволе скважины и оставляется в колонне на расчетной глубине для вскрытия окна в колонне и бурения нового ствола до проектной глубины.
На фиг.9 показан клин-отклонитель для вскрытия окна в колонне.
Клин-отклонитель для вскрытия окна в колонне состоит из клина-отклонителя 11 с наклонным направлением, сечение полукруглое, наружного шлица на нижней части, а угол посадочной площадки его равен углу вспомогательного клина 10. Клин-отклонитель выполняется извлекаемым из скважины после вскрытия окна в колонне и достижения бурением проектной глубины нового дополнительного ствола в требуемом направлении. Клин-отклонитель поднимают из скважины применением ловильного инструмента (метчика).
На фиг.10-11 показан узел для герметизации устья хвостовика.
Узел для герметизации устья хвостовика состоит из ствола (обсадной трубы) с отверстиями 18, цилиндра-переходника 19, тарированных предохранительных винтов 20, поршня 21. Поршень с клином 22 удерживается в полости цилиндра-переходника с помощью тарированных предохранительных винтов 20. Клин 22 взаимодействует с внутренней поверхностью резиновых конусообразных манжет 14, на полумуфты 23 ввернуты клин 15 для разобщения неустойчивых пород вскрытых окном в обсадной колонны первичного ствола скважины и вспомогательный патрубок 16 с манжетами в верхней части.
Узел для герметизации устья соединяется в нижней части посредством ниппеля с хвостовиком. Хвостовик оборудуется башмаком, обратным клапаном и дополнительно седлом 24 и шаром 25, рассчитанным на определенное давление удержания последнего. Верхняя часть узла соединяется устройством для цементирования хвостовика с предварительным отсоединением бурильной колонны. Смонтированный таким образом узел для герметизации устья хвостовика вместе с обсадными трубами спускается в скважину и устанавливается с точной привязкой по радиоактивному каротажу на устье дополнительного нового ствола, а клин 15 для закрепления неустойчивых пород вскрытых окном в обсадной колонне первичного ствола устанавливается на расчетное место с помощью магнитного переводника, установленного в бурильной колонне.
Далее восстанавливается циркуляция бурового раствора. При посадке шара 25 на седло 24 фиксируется повышение давления в колонне, обеспечивается срабатывание пакерующего элемента при давлении 45-50 кгс/см2. При достижении в колонне давления 75-95 кгс/см2, гарантирующего срез винтов клина 22, в результате происходит движение клина 22 и восстановление циркуляции через пакер-отсекатель со средоразделителем. Шар 25 с седлом 24 падает на ловитель 26. Далее производится закачка тампонажной смеси и другие работы по утвержденной технологии предприятия-потребителя.
При нагнетании расчетного объема тампонажной смеси в хвостовик тампонажная смесь проходит через башмак хвостовика, отверстия в клине 22 пакерующего элемента (вход), средоразделитель пакерующего элемента и попадает в пространство между стенками вспомогательного патрубка 16 с манжетами в верхней части и бурильной колонны, затем в обсадную колонну первичного ствола многозабойной скважины. Затем, лишняя тампонажная смесь с помощью прямой или обратной промывки полностью вымывается из обсадной колонны первичного ствола многозабойной скважины.
После окончания затвердения тампонажной смеси вспомогательный патрубок с манжетами в верхней части разбуривается долотом.
Далее после окончания освоения дополнительного нового ствола многозабойной скважины извлекаемый посадочный узел извлекается из скважины и передается предприятию эксплуатирующую многозабойную скважину. Затем происходит повторение работ по подготовке к забуриванию нового дополнительного ствола, применением аналогичных узлов и технологии.
Устройство для строительства многозабойных скважин, состоящее из отдельных узлов обеспечивает:
– надежность закрепления отклоняющего клина для вскрытия окна в колонне и герметизации устья хвостовика в процессе строительства каждого нового дополнительного ствола многозабойной скважины, удобство в первичном и вторичном использовании отдельных узлов при вскрытии окна в колонне и ремонтных работах и увеличение технологических возможностей применения устройства;
– минимальную металлоемкость устройства, недефицитность используемых материалов;
– простота изготовления и удобства применения.
Формула изобретения
Способ строительства многозабойных скважин, включающий вскрытие окна в обсадной колонне первичного ствола скважины и бурение нового дополнительного ствола до проектной глубины с использованием клина-отклонителя, спуск хвостовика с обсадными трубами на устье нового дополнительного ствола скважины и герметизацию устья нового дополнительного ствола скважины, отличающийся тем, что низ обсадной колонны первичного ствола скважины оборудуют шлицами и осуществляют посадку извлекаемого посадочного узла на шлицы обсадной колонны первичного ствола скважины, при этом извлекаемый посадочный узел, включающий посадочную обсадную трубу, снабжают внутренними шлицами сверху и наружными снизу, а также вспомогательным клином, который устанавливают на верхнем конце муфты посадочной обсадной трубы, после чего интервал установки извлекаемого посадочного узла заполняют нетвердеющей вязко-пластичной жидкостью со статическим напряжением сдвига, удовлетворяющим условию
,
где -статическое напряжение сдвига вязкопластичной жидкости,
r – радиус шлама – породы, металлических стружек, оседающих в процессе бурения дополнительного нового ствола,
, – соответственно плотности шлама и вязкопластичной жидкости,
=18÷50 – коэффициент обтекания,
клин-отклонитель оборудуют шлицами в нижней части и посадочной площадкой, угол наклона которой равен углу наклона вспомогательного клина, и после бурения нового дополнительного ствола до проектной глубины извлекают клин-отклонитель из скважины, при герметизации устья нового дополнительного ствола скважины спускают узел для герметизации устья, включающий пакер-отсекатель со средоразделителем, содержащий клин, имеющий отверстия для прохода тампонажной смеси, и вспомогательный патрубок с манжетами в верхней части, осуществляют нагнетание тампонажной смеси в хвостовик и промывку скважины, после чего вспомогательный патрубок с манжетами в верхней части разбуривают долотом и после окончания освоения нового дополнительного ствола производят извлечение посадочного узла.
РИСУНКИ
|