Патент на изобретение №2279436
|
||||||||||||||||||||||||||
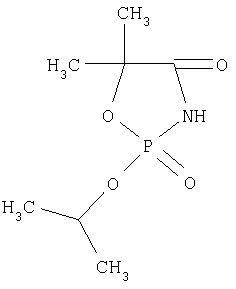
(54) СПОСОБ ПОЛУЧЕНИЯ 2-ОКСО-2-АЛКОКСИ-5,5-ДИМЕТИЛ-1,3-2-ОКСАЗАФОСФОЛИДИН-4-ИОНОВ
(57) Реферат:
Изобретение относится к химии фосфорорганичсских соединений, а именно к способу получения замещенных 1,3,2-оксазафосфолидин-4-онов, которые являются новыми по структуре фосфорсодержащими гетероциклическими соединениями. Описывается способ получения 2-оксо-2-алкокси-5,5-диметил-1,3,2-оксазафосфолидин-4-онов формулы где R=C2H5, C4H9, i-С3Н7, заключающийся во взаимодействии хлористого водорода с 2-оксо-2-алкокси-4-алкокси-5,5-диметил-1,3,2-оксазафосфол-3-инами при температуре 0-5°С в среде обезвоженного диэтилового эфира в течение 15-25 мин при эквимольном соотношении реагентов с получением соответствующих гидрохлоридов 2-оксо-2-алкокси-4-алкокси-5,5-диметил-1,3,2-оксазафосфол-3-инов и последующем их термолизе при температуре 73-95°С в течение 1-1,5 ч. Технический результат – предложены новые фосфорсодержащие гетероциклические соединения, которые могут служить исходными в получении биологически активных соединений для нужд медицины и сельского хозяйства.
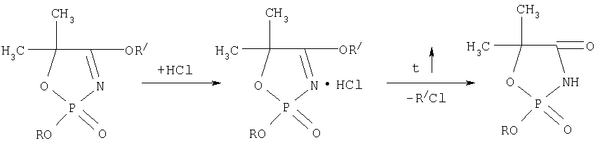
Изобретение относится к химии фосфорорганических соединений, а именно к новому способу получения замещенных 1,3,2-оксазафосфолидин-4-онов общей формулы где R=C2H5, C4H9, i-C3H7, которые являются новыми по структуре фосфорсодержащими гетероциклическими соединениями и могут служить исходными в получении биологически активных соединений для нужд медицины и сельского хозяйства. Известен метод взаимодействия амида Сообщалось о том, что разработан метод, заключающийся во взаимодействии изоцианатофосфита с этиловым эфиром бензоилмуравьиной кислоты. Выделили три структурных изомера, один из которых имел строение 1,3,2-оксазафосфолидин-4-она [И.В.Коновалова, Л.А.Бурнаева, Г.С.Темникова, А.Н.Пудовик, ЖОХ, 1976, Т.46, с.1444-1447]. Авторами в патентной и научной литературе веществ, подобных синтезированной структуре, не было найдено. Задачей предлагаемого изобретения является разработка нового метода синтеза 2-оксо-2-алкокси-5,5-диметил-1,3,2-оксазафосфолидин-4-онов. Техническим результатом является расширение арсенала химических соединений и получение новых 2-оксо-2-алкокси-5,5-диметил-1,3,2-оксазафосфолидин-4-онов с выходом не менее 90%. Поставленный технический результат достигается разработкой нового способа получения 2-оксо-2-алкокси-5,5-диметил-1,3,2-оксазафосфолидин-4-онов формулы где R=C2H5, C4H9, i-C3H7, заключающегося во взаимодействии хлористого водорода с 2-оксо-2-алкокси-4-алкокси-5,5-диметил-1,3,2-оксазафосфол-3-инами при температуре 0-5°С в среде обезвоженного диэтилового эфира в течение 15-25 мин при эквимольном соотношении реагентов с получением соответствующих гидрохлоридов 2-оксо-2-алкокси-4-алкокси-5,5-диметил-1,3,2-оксазафосфол-3-инов и последующем их термолизе при температуре 73-95°С в течение 1-1,5 ч. Химическая схема предложенного способа получения 2-оксо-2-алкокси-5,5-диметил-1,3,2-оксазафосфолидин-4-онов: где R/=С2Н5, С4Н9; R=C2H5, C4H9, i-С3Н7. При выборе растворителя для проведения реакции взаимодействия хлористого водорода с 2-оксо-2-алкокси-4-алкокси-5,5-диметил-1,3,2-оксазафосфол-3-инами нами были учтены следующие требования: создание гомогенной реакционной массы, поддержание необходимого температурного режима и инертность по отношению к реагирующим компонентам. Всем этим требованиям отвечает диэтиловый эфир, в нем хорошо растворимы 2-оксо-2-алкокси-4-алкокси-5,5-диметил-1,3,2-оксазафосфол-3-ины есть возможность понижения температуры до 0÷5°С, а также он абсолютно инертен по отношению к реагентам. Следует отметить, что образующиеся в ходе реакции гидрохлориды 2-оксо-2-алкокси-4-алкокси-5,5-диметил-1,3,2-оксазафосфол-3-инов не растворяются в диэтиловом эфире, что также обуславливает его применение в качестве растворителя. Реакция термолиза полученных гидрохлоридов проводится в отсутствии растворителя. На стадии гидрохлорирования следует поддерживать температуру 0÷5°С, данная температура способствует росту выхода целевого продукта. При термолизе гидрохлорида 2-оксо-2-этокси-4-этокси-5,5-диметил-1,3,2-оксазафосфол-3-ина температура составляет 73-75°С, для гидрохлорида 2-оксо-2-изопропокси-4-бутокси-5,5-диметил-1,3,2-оксазафосфол-3-ина 81-84°С и для гидрохлорида 2-оксо-2-бутокси-4-бутокси-5,5-диметил-1,3,2-оксазафосфол-3-ина температура термолиза составляет 90-95°C. Повышение температуры выше указанных может привести к разложению продукта, что оказывает существенное влияние на выход. 2-оксо-2-алкокси-4-алкокси-5,5-диметил-1,3,2-оксазафосфол-3-ин и хлористый водород берутся в эквимольном соотношении, так как избыток хлористого водорода может привести к образованию продуктов осмоления. Способ осуществлялся следующим образом. На первой стадии с целью синтеза гидрохлорида 2-оксо-2-алкокси-4-алкокси-5,5-диметил-1,3,2-оксазафосфол-3-ины растворяли в диэтиловом эфире. Гидрохлорирование проводили при температуре реакционной смеси 0÷5°С и эквимольном соотношении 2-оксо-2-алкокси-4-алкокси-5,5-диметил-1,3,2-оксазафосфолина и хлористого водорода. Синтез осуществляли в течение 15-25 мин. После чего отфильтровывали выпавший гидрохлорид. В вакууме водоструйного насоса из гидрохлоридов 2-оксо-2-алкокси-4-алкокси-5,5-диметил-1,3,2-оксазафосфол-3-инов удаляли остаток диэтилового эфира. Второй стадией являлась реакция термолиза гидрохлоридов 2-оксо-2-алкокси-4-алкокси-5,5-диметил-1,3,2-оксазафосфол-3-инов при температуре (73-95°С) в течение 1-1,5 ч. В результате чего образовывались соответствующий хлористый алкил и 2-оксо-2-алкокси-5,5-диметил-1,3,2-оксазафосфолидин-4-он с выходом не менее 90%. Идентификация синтезированных соединений проводилась методами ИК-, масс-спектроскопии. Для лучшего понимания сущности предложенного технического решения приводятся конкретные примеры синтезов. Пример 1. 2-оксо-2-этокси-5,5-диметил-1,3,2-оксазафосфолидин-4-он. В реактор, снабженный барботером и отводной трубкой, загружали 6.02 г (0.027 моля) 2-оксо-2-этокси-4-этокси-5,5-диметил-1,3,2-оксазафосфол-3-ина, растворенного в 15 г диэтилового эфира, и подавали 0,98 г (0.027 моля) хлористого водорода при температуре реакционной смеси 0÷5°С в течение 18 мин. После чего отфильтровывали выпавший гидрохлорид 2-оксо-2-этокси-4-этокси-5,5-диметил-1,3,2-оксазафосфол-3-ина. В вакууме водоструйного насоса из гидрохлорида удаляли остаток диэтилового эфира. Выход 95% (6.07 г), tпл=59-60°C. Термолиз синтезированного гидрохлорида 2-оксо-2-этокси-4-этокси-5,5-диметил-1,3,2-оксазафосфол-3-ина, взятого в количестве 6.07 г (0.02 моля), проводили при температуре 73-75°С в течение 1 ч. Выход 2-оксо-2-этокси-5,5-диметил-1,3,2-оксазафосфолидин-4-она 90% (3.47 г), tпл=90-92°С. ИК спектр, Пример 2. 2-оксо-2-изопропокси-5,5-диметил-1,3,2-оксазафосфолидин-4-он 8.12 г (0.03 моля) 2-оксо-2-изопропокси-4-бутокси-5,5-диметил-1,3,2-оксазафосфол-3-ина растворяли в 25 г диэтилового эфира и подавали 1.09 г. (0.3 моля) хлористого водорода при температуре реакционной смеси 2-5°С в течение 20 мин. После чего отфильтровывали выпавший гидрохлорид 2-оксо-2-изопропокси-4-бутокси-5,5-диметил-1,3,2-оксазафосфол-3-ина. В вакууме водоструйного насоса из гидрохлорида удаляли остаток диэтилового эфира. Выход 94% (8.43 г), tпл=61-63°C. Термолиз синтезированного гидрохлорида 2-оксо-2-изопропокси-4-бутокси-5,5-диметил-1,3,2-оксазафосфол-3-ина, взятого в количестве 8.2 г (0.03 моля), проводили при температуре 81-84°С в течение 1.5 ч. Выход 2-оксо-2-изопропокси-5,5-диметил-1,3,2-оксазафосфолидин-4-она 90% (5.89 г), tпл=93-95°С. ИК спектр, Пример 3. 2-оксо-2-бутокси-5,5-диметил-1,3,2-оксазафосфолидин-4-он. 7.50 г (0.027 моля) 2-оксо-2-бутокси-4-бутокси-5,5-диметил-1,3,2-оксазафосфол-3-ина растворяли в 25 г диэтилового эфир продували реакционную смесь 0.98 г. (0.027 моля) хлористым водородом при температуре 0÷5°С в течение 25 мин. После чего отфильтровывали выпавший гидрохлорид 2-оксо-2-бутокси-4-бутокси-5,5-диметил-1,3,2-оксазафосфол-3-ина. В вакууме водоструйного насоса из гидрохлорида удаляли остаток диэтилового эфира. Выход 94% (7.84 г), tпл=65-68°C. Термолиз синтезированного гидрохлорида 2-оксо-2-бутокси-4-бутокси-5,5-диметил-1,3,2-оксазафосфол-3-ина, взятого в количестве 7.25 г (0.026 моля), проводили при температуре 90-95°С в течение 1.5 ч. Выход 2-оксо-2-изопропокси-5,5-диметил-1,3,2-оксазафосфолидин-4-она 95% (6.89 г), tпл=103-105°С. ИК спектр, Разработанный способ позволяет расширить арсенал фосфорсодержащих соединений гетероциклического строения, а именно 2-оксо-2-алкокси-5,5-диметил-1,3,2-оксазафосфолидин-4-онов из гидрохлоридов 2-оксо-2-алкокси-4-алкокси-5,5-диметил-1,3,2-оксазафосфол-3-инов путем термического разложения. Достоинством данного метода является его простота технологии, а также возможность получать 2-оксо-2-алкокси-5,5-диметил-1,3,2-оксазафосфолидин-4-оны с выходом не менее 90%.
Формула изобретения
Способ получения 2-оксо-2-алкокси-5,5-диметил-1,3,2-оксазафосфолидин-4-онов формулы где R=С2Н3, С4Н9, i-С3Н7, заключающийся во взаимодействии хлористого водорода с 2-оксо-2-алкокси-4алкокси-5,5-диметил-1,3,2-оксазафосфол-3-инами при температуре 0-5°С в среде обезвоженного диэтилового эфира в течение 15-25 мин при эквимольном соотношении реагентов с получением соответствующих гидрохлоридов 2-оксо-2-алкокси-4-алкокси-5,5-диметил-1,3,2-оксазафосфол-3-инов и последующим их термолизе при температуре 73-95°С в течение 1-1,5 ч.
MM4A – Досрочное прекращение действия патента СССР или патента Российской Федерации на изобретение из-за неуплаты в установленный срок пошлины за поддержание патента в силе
Дата прекращения действия патента: 15.12.2006
Извещение опубликовано: 20.06.2008 БИ: 17/2008
|
||||||||||||||||||||||||||



-оксиизомасляной кислоты с треххлористым фосфором в среде диоксана и температуре 90-95°С. В результате был получен 2-хлор-5,5-диметил-1,3,2-оксазафосфолидин-4-он. Выход продукта составлял 35% [Р.К.Валетдинов, Е.В.Кузнецов, И.Е.Бекетова. ЖОХ, 1968, Т.38, с.581].

, см-1: 3440 (NHвал), 1664 (C=N), 1032 (P-O-C), 1630 (C=O), 1120 (C-O-C), 1344 [С(СН3)2]. Масс-спектр (70 эВ), m/z (1, %): 193 (2.9) [M]+, 178 (25.6) [M-CH3], 148 (56.8) [N-С2Н5O]+.

