Патент на изобретение №2279432
|
||||||||||||||||||||||||||||||||||||||||
(54) ПРОИЗВОДНЫЕ ПИРИДАЗИНОХИНОЛИНА
(57) Реферат:
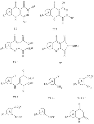
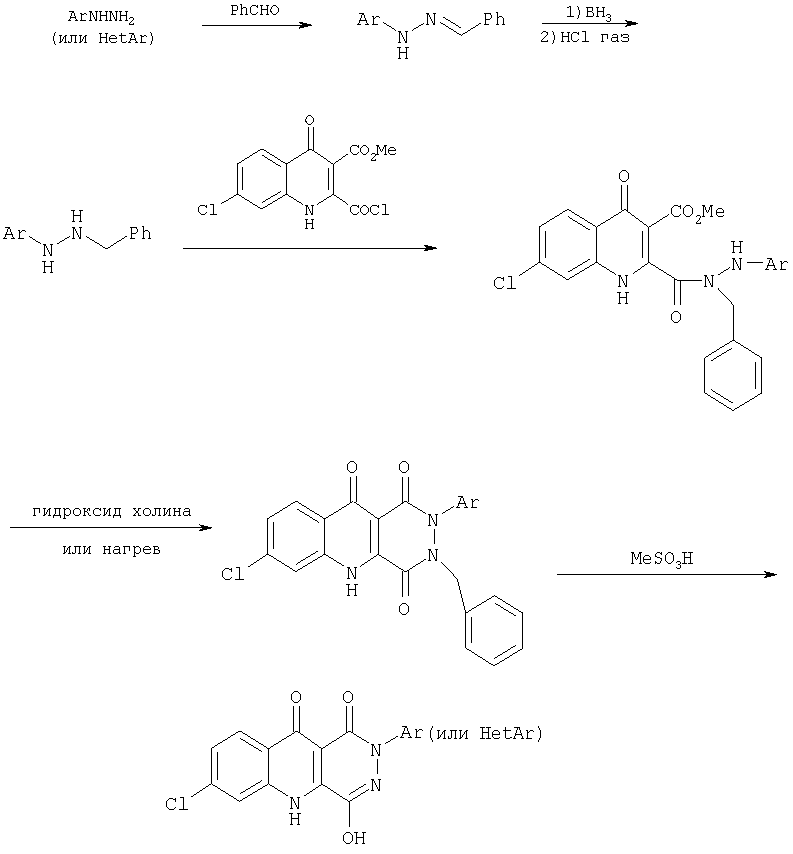
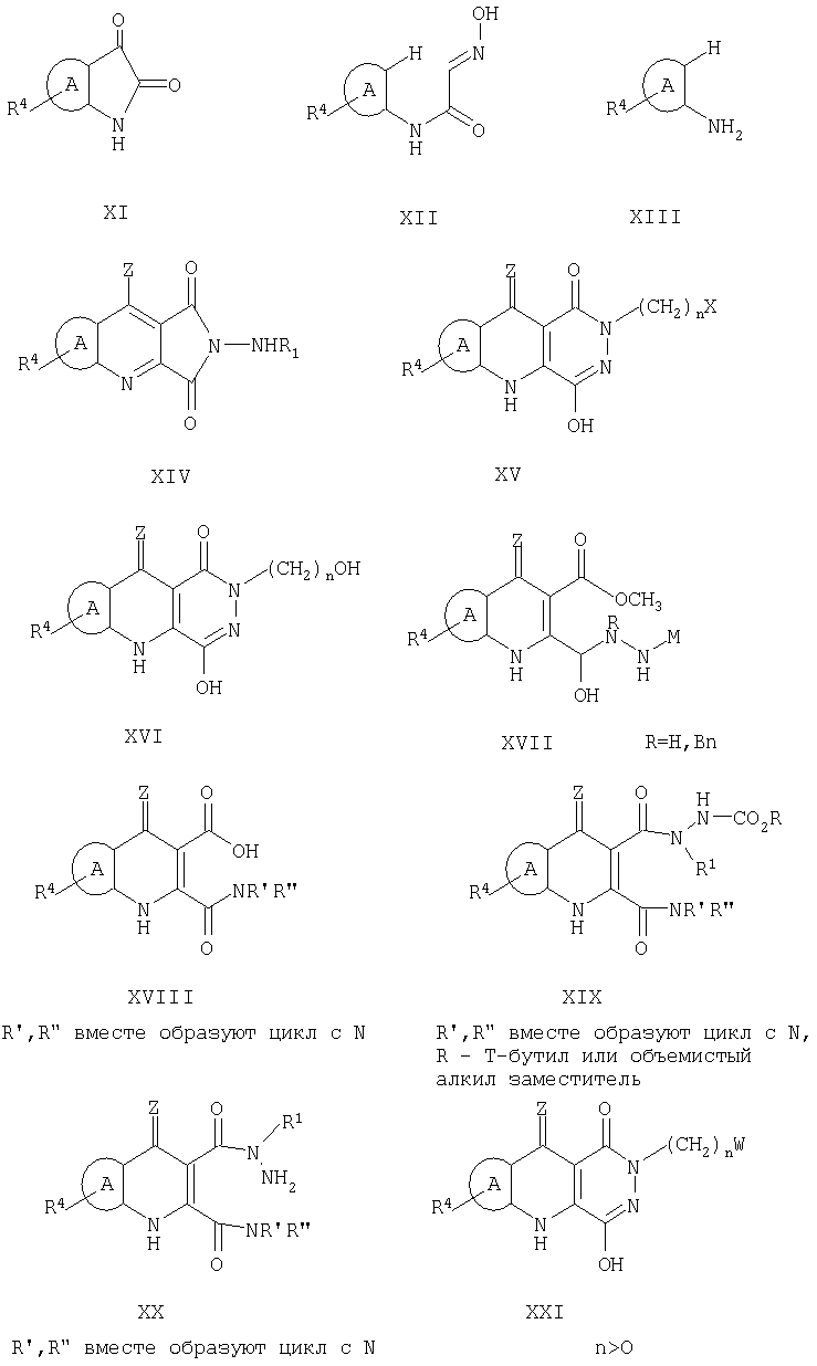
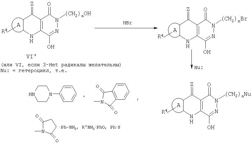
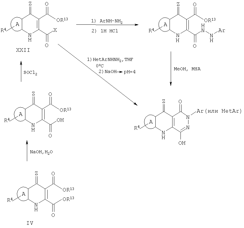
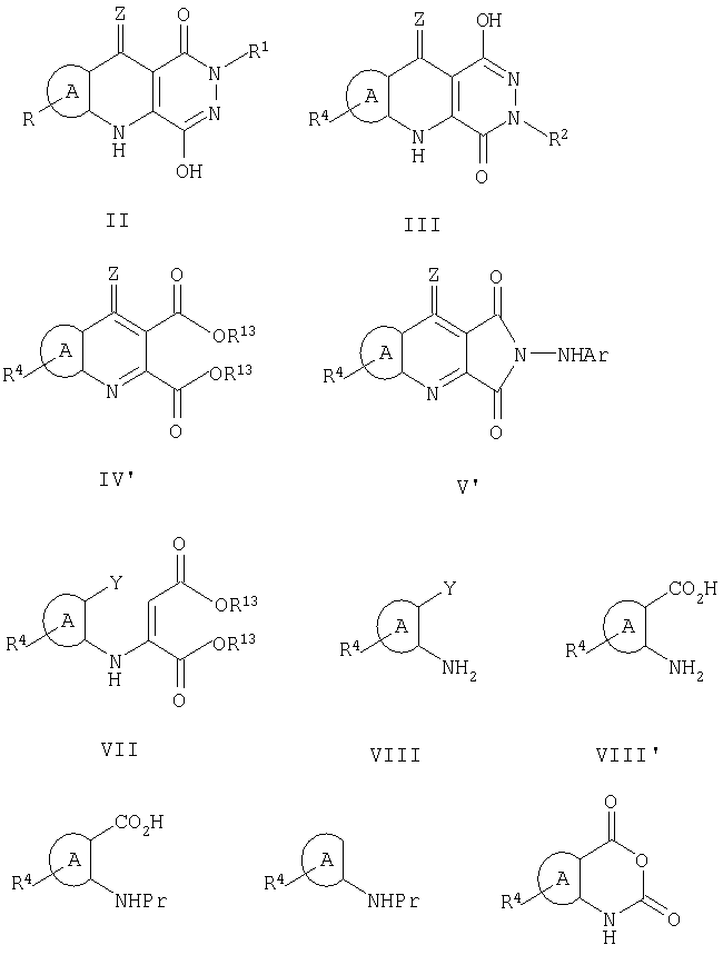
Настоящее изобретение относится к производным пиридазинохинолина формулы II или их таутомерам или их фармацевтически приемлемым солям: где: кольцо А является орто-конденсированным фенилом, монозамещенным R4, где R4 является галогеном; R1 представляет собой (CH2)nL, где n является целым числом, принимающим значение от 1 до 6, и где L выбран из незамещенного фенила или его бензопроиводного, или L выбран из фенила или его бензопроизводного, замещенного 1 или 2 группами, выбранными из галогена, CN, CF3, (С1-С4)алкила, или L выбран из ОН, OCOR’, SOmR’, где m принимает значения 0, 1 или 2, NR’R”, при условии, что NR’R” отличен от NH2, NR’COR”, или L выбран из гетероцикла или гетероарила; где в каждом указанном выше случае любая из групп R’ или R” независимо выбраны из водорода, (C1-С4)алкила, (С3-С6)циклоалкила, фенила, фенил(С1-С4)алкила, и где любая из групп R’ или R” является либо незамещенной, либо 1, 2 или 3 замещенной у атомов углерода фенилом, ОН, O-(С1-С4)алкилом, где в любом из вышеуказанных случаев гетероцикл выбран из пяти-, или шестичленного гетероциклического кольца, содержащего 1, 2 или 3 гетероатома, выбранных из О, N или S, или его конденсированного бензопроизводного, указанного гетероцикла, где атом углерода является дизамещенным с образованием С5-С7 спиро-группы, и указанного гетероцикла, где атом С замещен О с образованием карбонильной группы и где в любом из вышеуказанных случаев гетероарил выбран из тиофена, фурана, имидазола, триазола, тетразола, являющихся незамещенными. Соединения формулы II являются антагонистами к глицин рецептору и могут быть для получения фармацевтических средств, предназначенных для лечения или профилактики ишемической болезни. 4 з.п. ф-лы, 8 табл.
Данное изобретение относится к производным пиридазиндиона, используемых в лечении неврологических заболеваний, главным образом, у млекопитающих, таких как человек. Более конкретно, соединения используются при лечении припадков и/или других нейродегенеративных нарушений, таких как гипогликемия, корковый паралич, преходящее нарушение коркового мозгового кровообращения, перинатальная асфиксия, эпилепсия, психоз, хорея Хантингтона (Huntington), боковой амиотрофический склероз, болезнь Альцгеймера, болезнь Паркинсона, оливопонтоцеребеллярная атрофия, вызванная вирусом нейродегенерация, такая как приобретенный синдром иммунного дефицита и связанного с ним слабоумия, гипоксия, вызванная утоплением, травмой спинного мозга или головного мозга, и хроническая болезнь, для предупреждения лекарственных алкогольных синдромов отмены, и подавления толерантности и зависимости от наркотических анальгетиков. В частности, изобретение относится к новым производным пиридазиндиона, используемым при восстановлении неврологической дегенерации, такой, которая может быть вызвана ударом, и возникающей в результате ассоциативной функциональной недостаточности. Лечение с использованием соединения по изобретению может быть лечебным или терапевтическим при введении соединения после проявления ишемии для смягчения эффектов этого заболевания. Обработка может также быть профилактической или перспективной при введении соединения в предвидении возможности проявления ишемии, например, пациенту, который склонен к ишемии. Известно, что случаи ишемии могут стать пусковым механизмом очень сильного увеличения внеклеточных концентраций возбуждающих аминокислот глутамата и аспартата, которые могут, в свою очередь, вызвать длительное нейронное возбуждение, приводящее к массированному притоку кальция из внеклеточных участков к внутриклеточным участкам в невральных клетках головного мозга. Тем самым может быть создана кальциевая перегрузка, которая приводит к каскаду событий, ведущих к катаболизму клеток и в конечном счете выражающихся в смерти клеток. Предполагается, что N-метил-D-аспартат (NMDA) рецепторный комплекс играет существенную роль в потоке событий, приводящих к некрозу клеток, следующему за проявлением ишемии. Предложенные в данном изобретении соединения могут быть полезны при целом ряде нейродегенеративных нарушений, поскольку они действуют как антагонисты возбуждающих аминокислот. Они могут это делать косвенно, путем аллостерической модуляции места связывания глутамата, в частности, действуя как антагонисты стрихнин-нечувствительного глицин рецептора на NMDA рецепторном комплексе. Они могут также делать это непосредственно, путем связывания самого глутамат участка NMDA рецепторного комплекса. В ЕРО номер 0516297 А1 описаны некоторые пиридазиндионы. Кроме того, соединения (I) тиено[2′,3′:5,6]пиридо[2,3-d]пиридазин-5,8,9(4Н,6Н,7Н)-трион и (2) тиено[3′,2′:5,6]-пиридо[2,3-d]пиридазин-4,5,8(6Н,7Н,9Н)-трион известны, например из J. Heterocyclic Chem., 28, 205, (1991). Другие производные пиридазиндиона известны, например, из Beilstein’s Handbuch der Organischen Chemic; Goodard et al., Bull. Soc. Chim. Fr., 1588, (1972); и Reid et al., Chem. Bet., 85, 204, (1952). Соединения по настоящему изобретению относятся к новым 2-или 3-замещенным пиридазиндионам или их таутомерам, представленным соединениями, имеющими общую формулу II: где кольцо А является орто-конденсированным фенилом или пиридилом или образовано фенилом или пиридилом, моно- или дизамещенным R4, где R4 в каждом случае независимо выбран из группы, включающей галоген, (С1-С4)алкил, NO2, CN, (C1-С3)перфторалкил, ОН, OCF3, (С2-С4)алкенил, (С2-С4)алкинил, O-(С1-С4)алкил, NR’R”, SO2NR’R”, SOmR’, гетероцикл, NR’COR”, COR”, NR’СО2R”, CO2R’ и CONR’R”; R1 представляет (CH2)nL, где n является целым числом, принимающим значение от 1 до 6, и где: L выбран из незамещенного фенила или его бензопроизводного, или L выбран из фенила или его бензопроизводного, замещенного 1, 2, 3 или 4 группами, выбранными из ОН, галогена, NO2, CN, CF3, (С1-С4)алкила, О-(С1-С4)алкила, (С1-С6алкил)NR’R”, O-(С1-С6алкил)NR’R”, O-фенила, NH(C=O)R’, NR’R”, NR'(С1-С6алкил)NR’R”, NR'(С1-С6)алкилокси, NR'(С1-С6алкилгидрокси), C(=O)OR’, С(=О)NR’R”, SOmR’ (где m принимает значения 0, 1 или 2), SO2NR’R”, (С1-С6)алкилокси (С1-С6)алкилокси, гидрокси(С1-С6)алкилокси, арилокси(С1-С4)алкилокси (С1-С4)алкила, (С1-С6)алкилокси(С1-С6)алкиокси(С1-С6)алкилокси или гидрокси (С1-С6)алкилокси(С1-С6)алкилокси, O-(С2-С4)алкенила, О-(С2-С4)алкинила, О-(С1-С6алкил)фенила, (С1-С4)алкилCF3, окси(С1-С6)алкилокси, который образует циклическое кольцо, присоединенное к фенильному кольцу в орто-положении, (С1-С4)перфторалкила, О-(С1-С4)перфторалкила, (С1-С4алкил)окси(С1-С4алкил), О-(С1-С4алкил)COOR’, (С1-С4алкил)OR’, NR'(CH2)qCOOR’ (где q принимает значения 1, 2, 3 или 4), SOm(С1-С4алкил)окси(С1-С4алкил), SOm(С1-С4алкил)окси(С1-С4алкил)окси(С1-С4алкил), NR'(С1-С4алкил)окси(С1-С4алкил), NR'(С1-С4алкил)окси(С1-С4алкил)окси(С1-С4алкил) или тетразола, или L выбран из ОН, OR’, OCOR’, SOmR’, SOmNR’R”, галогена, CF3, NR’R”, при условии, что NR’R” отличен от NH2; COR’, NR’COR”, NR’CO2R”, (С3-С6)циклоалкила, NRCONR’R”, CO2R’ или CONRR’, или L выбран из гетероцикла или гетероарила; где в каждом указанном выше случае R’ и R” независимо выбраны из Н, (С1-С4)алкила, (С2-С4)алкенила, (С2-С4)алкинила, (С3-С6)циклоалкила, фенила, фенил(С1-С4)алкила, гетероцикла, гетероцикл(С1-С4)алкила, гетероарила или гетероарил(С1-С4)алкила, или где любая из групп R’ или R” является либо незамещенной либо замещена в положении 1, 2 или 3 атомов углерода галогеном, Н, (С1-С4)алкилом, (С3-С6) циклоалкилом, фенилом, NO2, CN, CF3, ОН, О-(С1-С4)алкилом или где любая из групп NR’R” образует кольцо N-алкил(С1-С3)оксиалкил(С2-С3); где в любом из вышеуказанных случаев гетроцикл выбран из пяти-, шести- или семичленного гетероциклического кольца, содержащего 1, 2 или 3 гетероатома, выбранных из О, N или S, или его арильного или гетероарильного бензопроизводного, любого гетероцикла, где атом углерода является дизамещенным с образованием С5-С7 спиро группы, и любого гетероцикла, где атом С или S замещен О с образованием соответственно карбонильной или сульфонильной группы; и где в любом из вышеуказанных случаев гетероарил выбран из пиридила, тиенила, фуранила, пиразола, имидазола, изоксазола, оксазола, тиазола, изотиазола, пиридазина, пиримидина, пиразина, триазола, оксадиазола, триазина, тетразола, являющихся незамещенными, или любой из вышеуказанных может быть моно- или дизамещенным оксо, гидрокси, алкокси, галогеном или циано и их фармацевтически приемлемым солям. Предпочтительными являются соединения формулы II, где R4 является галогеном. Еще одними предпочтительными соединениями являются соединения формулы II, где А представляет собой 7-хлорфенил или 7,9-дихлорфенил. Более конкретно предпочтительными являются следующие соединения: 7-хлор-4-гидрокси-2-(4-метокси-2-метилфенил)-1,2,5,10-тетрагидропиридазино[4,5-b]хинолин-1,10-дион или его N-метилглюкаминовая соль; 7-хлор-2-(4-хлор-2-метилфенил)-4-гидрокси-1,2,5,10-тетрагидропиридазин[4,5-b]хинолин-1,10-дион; 7-хлор-2-(2,4-диметилфенил)-4-гидрокси-1,2,5,10-тетрагидропиридазин[4,5-b]хинолин-1,10-дион; 7-хлор-2-(3,4-дигидроксифенил)-4-гидрокси-1,2,5,10-тетрагидропиридазин[4,5-b]хинолин-1,10-дион; 7-хлор-2-(3,4-диметоксифенил)-4-гидрокси-1,2,5,10-тетрагидропиридазин[4,5-b]хинолин-1,10-дион; 7-хлор-4-гидрокси-2-(2-метилтиоэтил)-1,2,5,10-тетрагидропиридазин[4,5-b]хинолин-1,10-дион; 7-хлор-4-гидрокси-2-(2-метил-2-гидроксипропионамидоэтил)-1,2,5,10-тетрагидропиридазин[4,5-b]хинолин-1,10-дион; 7-хлор-4-гидрокси-2-(фуран-2-илметил)-1,2,5,10-тетрагидропиридазин [4,5-b]хинолин-1,10-дион; и 7,9-дихлор-2-(2,4-диметилфенил)-4-гидрокси-1,2,5,10-тетрагидропиридазин[4,5-b]хинолин-1,10-дион; Кроме того, предпочтительными соединениями являются следующие: 7-хлор-4-гидрокси-2-фенил-1,2,5,10-тетрагидропиридазино[4,5-b]хинолин-1,10-дион; 7-хлор-4-гидрокси-2-(4-метоксифенил)-1,2,5,10-тетрагидропиридазино[4,5-b]хинолин-1,10-дион; 7-хлор-4-гидрокси-2-(4-гидроксифенил)-1,2,5,10-тетрагидропиридазино[4,5-b]хинолин-1,10-дион; 4-гидрокси-8-нитро-2-фенил-1,2,5,10-тетрагидропиридазино[4,5-b]хинолин-1,10-дион; 7-хлор-4-гидрокси-2-(4-хлорфенил)-1,2,5,10-тетрагидропиридазино[4,5-b]хинолин-1,10-дион; 7-хлор-4-гидрокси-2-(4-метилфенил)-1,2,5,10-тетрагидропиридазино[4,5-b]хинолин-1,10-дион; 7-хлор-4-гидрокси-2-(4-изопропилфенил)-1,2,5,10-тетрагидропиридазино[4,5-b]хинолин-1,10-дион; 7,9-дихлор-4-гидрокси-2-фенил-1,2,5,10-тетрагидропиридазино[4,5-b]хинолин-1,10-дион; 7-хлор-4-гидрокси-2-(1-нафтил)-1,2,5,10-тетрагидропиридазино[4,5-b]хинолин-1,10-дион; 7-хлор-2-(4-фторфенил)-4-гидрокси-1,2,5,10-тетрагидропиридазино[4,5-b]хинолин-1,10-дион; 2-(4-бромфенил)-7-хлор-4-гидрокси-1,2,5,10-тетрагидропиридазино[4,5-b]хинолин-1,10-дион; 7-хлор-4-гидрокси-2-(2-метоксифенил)-1,2,5,10-тетрагидропиридазино[4,5-b]хинолин-1,10-дион; 7-хлор-4-гидрокси-2-(2-гидроксифенил)-1,2,5,10-тетрагидропиридазино[4,5-b]хинолин-1,10-дион; 7-хлор-4-гидрокси-2-(3-метоксифенил)-1,2,5,10-тетрагидропиридазино[4,5-b]хинолин-1,10-дион; 7-хлор-4-гидрокси-2-(3-гидроксифенил)-1,2,5,10-тетрагидропиридазино[4,5-b]хинолин-1,10-дион; 7-хлор-4-гидрокси-2-(4-трифторметоксифенил)-1,2,5,10-тетрагидропиридазино[4,5-b]хинолин-1,10-дион; 7-хлор-2-(3-хлор-4-метоксифенил)-4-гидрокси-1,2,5,10-тетрагидропиридазино[4,5-b]хинолин-1,10-дион; и 7-хлор-4-гидрокси-2-(2-метоксипирид-5-ил)-1,2,5,10-тетрагидропиридазино[4,5-b]хинолин-1,10-дион; Предпочтительными являются также соединения: 2-(4-бензилоксифенил)-7-хлор-4-гидрокси-1,2,5,10-тетрагидропиридазино[4,5-b]хинолин-1,10-дион; 7-хлор-2-(2,4-дихлорфенил)-4-гидрокси-1,2,5,10-тетрагидропиридазино[4,5-b]хинолин-1,10-дион; 7-хлор-2-(3-хлор-4-гидроксифенил)-4-гидрокси-1,2,5,10-тетрагидропиридазино[4,5-b]хинолин-1,10-дион; 7-хлор-4-гидрокси-2-(4-гидрокси-2-метилфенил)-1,2,5,10-тетрагидропиридазино[4,5-b]хинолин-1,10-дион; 7-хлор-2-(4-хлор-2-метилфенил)-4-гидрокси-1,2,5,10-тетрагидропиридазино[4,5-b]хинолин-1,10-дион; 7,9-дихлор-2-(2,4-диметилфенил)-4-гидрокси-1,2,5,10-тетрагидропиридазино[4,5-b]хинолин-1,10-дион; 7-хлор-4-гидрокси-2-(2-метилфенил)-1,2,5,10-тетрагидропиридазино[4,5-b]хинолин-1,10-дион; 7-хлор-2-(3,4-диметилфенил)-4-гидрокси-1,2,5,10-тетрагидропиридазино[4,5-b]хинолин-1,10-дион; 7-хлор-2-(2,4-диметоксифенил)-4-гидрокси-1,2,5,10-тетрагидропиридазино[4,5-b]хинолин-1,10-дион; 7-хлор-2-(2,5-диметоксифенил)-4-гидрокси-1,2,5,10-тетрагидропиридазино[4,5-b]хинолин-1,10-дион; 7-хлор-2-(2,5-диметилфенил)-4-гидрокси-1,2,5,10-тетрагидропиридазино[4,5-b]хинолин-1,10-дион; 7-хлор-2-(3-хлорфенил)-4-гидрокси-1,2,5,10-тетрагидропиридазино[4,5-b]хинолин-1,10-дион; 7-хлор-4-гидрокси-2-(3-метилфенил)-1,2,5,10-тетрагидропиридазино[4,5-b]хинолин-1,10-дион; 7-хлор-4-гидрокси-2-(4-метилтиофенил)-1,2,5,10-тетрагидропиридазино[4,5-b]хинолин-1,10-дион; 7-хлор-2-(3-хлор-4-метилфенил)-4-гидрокси-1,2,5,10-тетрагидропиридазино[4,5-b]хинолин-1,10-дион; 7-хлор-2-(2,3-диметилфенил)-4-гидрокси-1,2,5,10-тетрагидропиридазино[4,5-b]хинолин-1,10-дион; 7-хлор-2-(4-этилфенил)-4-гидрокси-1,2,5,10-тетрагидропиридазино[4,5-b]хинолин-1,10-дион; 7-хлор-2-(4-фтор-2-метилфенил)-4-гидрокси-1,2,5,10-тетрагидропиридазино[4,5-b]хинолин-1,10-дион; 7-хлор-2-(3,5-диметоксифенил)-4-гидрокси-1,2,5,10-тетрагидропиридазино[4,5-b]хинолин-1,10-дион; 7-хлор-4-гидрокси-2-(4-иодфенил)-1,2,5,10-тетрагидропиридазино[4,5-b]хинолин-1,10-дион; 7-хлор-2-(4-бром-2-метоксифенил)-4-гидрокси-1,2,5,10-тетрагидропиридазино[4,5-b]хинолин-1,10-дион; 7-хлор-2-(3-фторфенил)-4-гидрокси-1,2,5,10-тетрагидропиридазино[4,5-b]хинолин-1,10-дион; 7-хлор-2-(2-фторфенил)-4-гидрокси-1,2,5,10-тетрагидропиридазино[4,5-b]хинолин-1,10-дион; 7-хлор-2-(3,5-дифторметилфенил)-4-гидрокси-1,2,5,10-тетрагидропиридазино[4,5-b]хинолин-1,10-дион; 7-хлор-2-(2,4-дифторфенил)-4-гидрокси-1,2,5,10-тетрагидропиридазино[4,5-b]хинолин-1,10-дион; 7-хлор-2-(2,5-дифторфенил)-4-гидрокси-1,2,5,10-тетрагидропиридазино[4,5-b]хинолин-1,10-дион; 7-хлор-4-гидрокси-2-(4-нитрофенил)-1,2,5,10-тетрагидропиридазино[4,5-b]хинолин-1,10-дион; 7-хлор-4-гидрокси-2-(4-трифторметилфенил)-1,2,5,10-тетрагидропиридазино[4,5-b]хинолин-1,10-дион; 7-хлор-4-гидрокси-2-(3-нитрофенил)-1,2,5,10-тетрагидропиридазино[4,5-b]хинолин-1,10-дион; 7-хлор-4-гидрокси-2-(4-метилсульфонилфенил)-1,2,5,10-тетрагидропиридазино[4,5-b]хинолин-1,10-дион; 7-хлор-4-гидрокси-2-(2,5-дигидроксифенил)-1,2,5,10-тетрагидропиридазино[4,5-b]хинолин-1,10-дион; 7-хлор-4-гидрокси-2-(4-карбоксифенил)-1,2,5,10-тетрагидропиридазино[4,5-b]хинолин-1,10-дион; 7-хлор-4-гидрокси-2-(4-гидроксифенил)-1,2,5,10-тетрагидропиридазино[4,5-b]хинолин-1,10-дион; 7-хлор-4-гидрокси-2-(4-карбамоилфенил)-1,2,5,10-тетрагидропиридазино[4,5-b]хинолин-1,10-дион; 7-хлор-4-гидрокси-2-(4-тетразол-5-илфенил)-1,2,5,10-тетрагидропиридазино[4,5-b]хинолин-1,10-дион; и 7-хлор-4-гидрокси-2-(4-N,N-диэтилкарбамоилфенил)-1,2,5,10-тетрагидропиридазино[4,5-b]хинолин-1,10-дион. Особенно предпочтительными являются следующие соединения: 7-хлор-2-(4-этоксифенил)-4-гидрокси-1,2,5,10-тетрагидропиридазино[4,5-b]хинолин-1,10-дион; 7-хлор-4-гидрокси-2-(2-изопропилфенил)-1,2,5,10-тетрагидропиридазино[4,5-b]хинолин-1,10-дион; и 7-хлор-4-гидрокси-2-(4-метоксикарбонилфенил)-1,2,5,10-тетрагидропиридазино[4,5-b]хинолин-1,10-дион. Настоящее изобретение относится также к фармацевтическим композициям, содержащим предпочтительное соединение формулы II, указанное выше, и фармацевтически приемлемый носитель. Далее, изобретение относится к способу лечения или профилактики ишемической болезни, включающему введение млекопитающему, при необходимости такого лечения, эффективного количества соединения согласно изобретению, как определено выше, или его фармацевтически приемлемой соли, или композиции, как определено выше. Фармацевтически эффективное количество соединения, как заявлено в формуле изобретения и раскрыто в настоящем изобретении, может вводиться сразу после ишемического приступа для предотвращения разрушения и/или отмирания клеток. Настоящее изобретение относится также к способу профилактики и/или лечения нарушения, вызванного возбуждающими аминокислотами, такими как L-глутамат. Изобретение также относится к способу предупреждения избыточного притока ионов кальция в центральных нейронах. Изобретение относится к способу предупреждения ишемического нейронного повреждения после транзиторной глобальной ишемии и к способу уменьшения размера инфаркта после локального ишемического инсульта. Пиридазиндионы формулы II могут быть получены способами, включающими способы, известные в химической технике для получения структурно аналогичных соединений. Например, способ получения соединения формулы II включает: ФОРМУЛЫ ФОРМУЛЫ (ПРОДОЛЖЕНИЕ) СХЕМЫ 1 и 2 СХЕМА 1 СХЕМЫ 3 и 4 СХЕМА 3 СХЕМА 4 СХЕМА 6 СХЕМА 7 (а) обработку соединения формулы V или XIV кислотой, выбранной из низших алкил(С1-С4)сульфоновой кислоты, в подходящем органическом растворителе, или (b) обработку соединения формулы IV’ алкиларил- или алкилгетероарилгидразином в среде полярного растворителя и слабой кислоты; или (c) обработку соединения формулы IV’, где y выбран из -ОН, -SH или NHR, где R обозначает (С1-С4)алкил, реагентом, выбранным из (i) R2NC(O)Cl; или (ii) RC(O)X или (iii) ROC(O)Cl; или (IV) HBr/NaCN/H2O или ROH; или (v) RNCO, или R’R’NC(O)Cl, или из другой электрофильной группы, перечисленной здесь, с образованием, в частности, соединения формулы XXI; или (d) обработку соединения формулы XV, где Х обозначает галоген, нуклеофильным реагентом, выбранным из гетероцикла или его бензо-, или гетероарилбензопроизводных; или (e) обработку соединения формулы XXII замещенным гидразином с образованием соединения формулы XVII в органическом растворителе в подходящих условиях; или (f) обработку соединения формулы XVIII связывающим реагентом, выбранным из диимида, и дизамещенным гидразином формулы R’-NHNHC(О)O-трет-бутил в органическом растворителе в присутствии соответствующей кислоты, или (g) последующую обработку соединения формулы II, как указано в п.2, где соединение содержит фенильное кольцо, замещенное метоксигруппой или группами, кислотой с получением фенильного заместителя или заместителей, или дальнейшую обработку соединения формулы II, где соединение не находится в форме соли, фармацевтически приемлемым основанием с получением фармацевтически приемлемой соли, или дальнейшую обработку соединения формулы II, где соединение содержит фенильное кольцо, замещенное цианогруппой или группами, (i) основанием с получением карбокислотного заместителя или заместителей, или (ii) кислотой с получением амидного заместителя, или (iii) азидом с получением тетразольного заместителя, где карбокислотный заместитель может быть затем обработан галогенирующим агентом и замещенным амином формулы HNR’R”, с получением замещенного амидного заместителя, или карбокислотный радикал может быть далее обработан спиртом (С1-С6) в присутствии кислоты с получением сложноэфирного заместителя (С1-С6), или (h) последующую обработку соединения формулы II, где соединение содержит оксазолидиндион, основанием в водном растворе с получением амидоспиртового заместителя в качестве W, концевого для (СН2)n углеродной цепи при n, равном 1-4; или (i) последующую обработку соединения формулы II, где соединение содержит сульфидную группу, окислительным агентом в подходящих условиях для образования S(O)1 или S(O)2 группы. Если они не доступны коммерчески, необходимые исходные продукты для описанных выше превращений могут быть получены способами, которые выбраны из стандартных органических химических методик, способов, аналогичных синтезам известных, структурно подобных соединений, или способов, аналогичных описанным выше, или способов, описанных в примерах. Некоторые сложные диэфиры формулы IV для использования в реакциях с замещенным гидразином с целью получения соединения формулы I, могут быть получены обработкой соединений формулы VII подходящим основанием, таким как алкоголят щелочного металла (например, трет-бутоксид калия) в подходящем растворителе, таком как трет-бутанол, для осуществления замыкания цикла и, тем самым, получения желаемого сложного диэфира. В указанном соединении формулы VII, значение у соответствует следующим, с получением соответствующего значения для Z, как указано: а. СНО, если желаемое значение Z – водород; b. COOR15 где R15 обозначает (С1-С3)алкил, если желаемое значение Z – гидрокси (таутомерно эквивалентный оксо). Указывается, что могут использоваться алкилсложные эфиры, но они не дают какого-либо синтетического преимущества. с. CSOR15 или CSSR15, если для Z желательно значение тиогидрокси (SH); и d. CN, если желаемое значение Z – амино. Не требуется выделение соединения формулы VII для получения соответствующего соединения формулы IV’. Лучше получить сложный диэфир формулы IV’ в одном реакторе, без выделения соединения формулы VII из реакционной смеси. Сложный диэтиловый эфир формулы IV’, где Z обозначает гидрокси (или оксо), может быть также получен обработкой ангидрида N-карбоксиантраниловой кислоты формулы Х непосредственно натриевой или калиевой солью (С1-С3)алкилового (например, диэтилового) эфира 2-оксоянтарной кислоты в подходящем растворителе, таком как диметилформамид. Сложный диэфир формулы IV’, где Z обозначает тиогидрокси, может быть получен обработкой соответствующего сложного диэфира формулы IV, где R3 обозначает гидрокси, реактивом Лавессона (Lawesson’s), 2,4-бис(4-метоксифенил)-1,3-дитиа-2,4-дифосфетан-2,4-дисульфидом в подходящем растворителе, таком как толуол или диметоксиэтан, при температуре 50-110°С. Замещенный имид формулы V’, где В-кольцевой N теряет Н, и Z обозначает, например, NH2, может быть получен обработкой сложного диэфира формулы IV’, где значению Z соответствует галоген группа, такая как хлор или бром, аммиаком с образованием фталимида, который взаимодействует затем с арилгидразином, образуя V’, который затем реагирует обычным образом (Схема 1), образуя конечный пиридазинохинолин. Соединение формулы VII, где y обозначает CN, СНО, COOR15, CSOR15 или CSSR15, где R15 обозначает С1-С10алкил, алкенил или алкинил группу, может быть получено обработкой соответствующего VIII диалкилацетилендикарбоксилатом, таким как диметилацетилендикарбоксилат, в подходящем растворителе, таком как (С1-С4)спирт. В качестве растворителя предпочтителен трет-бутанол. Орто-амин формулы VIII’ может быть получен этерификацией соответствующей кислоты формулы VIII’ обычными способами. В свою очередь, кислота формулы VIII’ может быть получена снятием защиты у соответствующего производного формулы VIII”, где аминогруппа была защищена обычной защитной группой Pr (такой как трет-бутоксикарбонил, t-BOC). Соединение формулы VIII”, в свою очередь, может быть получено последовательным взаимодействием амина формулы IX сначала с двумя эквивалентами литийорганического соединения (например, трет-бутиллития) с образованием дилитиевого производного, которое может быть карбоксилировано путем взаимодействия с двуокисью углерода. Амин формулы IX может быть получен защитой соответствующего (незащищенного) амина обычными способами. Орто-амин формулы VIII, где y обозначает COOR15, также может быть получен способом, который отличается от только что описанного выше, тем, что стадию этерификации осуществляют, используя основание (например, гидрид натрия) и затем алкилирующий агент R15X с защищенной кислотой формулы VIII”, не кислотой формулы VIII’. Орто-амин формулы VIII’, где у обозначает COOR15, также может быть получен обработкой соответствующего ангидрида N-карбоксиантраниловой кислоты формулы Х основанием (таким как гидрооксись щелочного металла) в спиртовом растворителе формулы R15OH. Ангидрид N-карбоксиантраниловой кислоты формулы Х может быть получен обработкой изатина формулы XI триоксидом хрома в присутствии уксусного ангидрида, или надоксикарбоновой кислотой, такой как магниевая соль мононадоксифталиевой кислоты, и в подходящем растворителе, таком как уксусная кислота. Изатин формулы XI может быть получен циклизацией гидроксииминацетамида формулы XII в концентрированной серной кислоте при температуре 60-80°С. Гидроксииминоацетамид формулы XII может быть получен обработкой амина формулы XIII с хлоральгидратом в присутствии сульфата натрия и гидрохлорида гидроксиламина и в подходящем растворителе, таком как вода. N-трет-бутоксикарбонилгидразины, используемые по настоящему изобретению, могут быть получены согласно способу, приведенному далее в примере 82С. Например, N-трет-бутоксикарбонил-N’-пентафтор-бензилгидразин; N-трет-бутоксикарбонил-N’-2-цианобензилгидразин; N-трет-бутоксикарбонил-N’-3-хлорбензилгидразин; N-трет-бутоксикарбонил-N’-3,5-дитрифторметилбензилгидразин; N-трет-бутоксикарбонил-N’-3-фенилпропилгидразин; N-трет-бутоксикарбонил-N’-4-метилбензилгидразин; N-трет-бутоксикарбонил-N’-4-трифторметилбензилгидразин; N-трет-бутоксикарбонил-N’-4-цианобензилгидразин и N-трет-бутоксикарбонил-N’-2,4-диметилфенилгидразин. Кроме того, настоящее изобретение относится также к этим новым гидразинпроизводным и к способу их получения и применения в качестве промежуточных продуктов для соединения с ключевой промежуточной 2-пирролидинокарбамидхинолин-3-карбоновой кислотой с целью образования соединения формулы II с помощью нового и оригинального способа, как описано здесь, в результате которого селективно образуется N-2-замещенный PQD. Промежуточные гидразины, используемые для получения N-2-арил или N-2-замещенных арил PQD, могут также быть получены согласно не ограничивающему примеру 42а. N’-трет-бутоксикарбонил-N’-арил или замещенные арилпроизводные получают с помощью этого нового способа, дающего возможность селективного получения N-2-замещенных PQD. Этот способ может быть предпочтительным для арилзамещенных производных, перечисленных здесь и в формуле изобретения. Следует отметить, что многие из исходных веществ для описанных выше способов синтеза являются коммерчески доступными и/или широко известны в научной литературе. Примерами подходящих фармацевтически приемлемых солей служат соли, образованные основаниями, которые дают физиологически приемлемый катион, такой как щелочной металл (особенно литий, натрий и калий), щелочноземельный металл (особенно кальций и магний), соли алюминия или аммония, а также соли, полученные с подходящими органическими основаниями, такими как холингидроксид, триэтиламин, морфолин, пиперидин, этилендиамин, лизин, этаноламин, диэтаноламин, триэтаноламин, N-метил-D-глюкамин (меглумин), аргинин и трис(гидроксиметил)аминометан. Предпочтительны натриевые и калиевые соли холина и меглумина. Натриевые и калиевые соли холина особенно предпочтительны. При внутривенном терапевтическом применении, после приступа, пиридазиндион формулы II, обычно вводят в виде подходящей фармацевтической композиции, которая содержит соединение по изобретению, указанное выше, вместе с фармацевтически приемлемым растворителем или носителем, при этом композицию подбирают с учетом конкретного выбранного пути введения. Такие композиции составляют следующий объект изобретения. Они могут быть получены обычными способами с использованием обычных добавок и связующих веществ и могут быть в виде различных дозированных форм. Например, они могут быть в форме таблеток, капсул, растворов или суспензий для перорального введения; в форме суппозиториев для ректального введения; в форме стерильных растворов или суспензий для введения путем внутривенной или внутримышечной инъекции или вливания; и в форме порошков вместе с фармацевтически приемлемыми инертными твердыми разбавителями, такими как лактоза, для введения путем вдувания. Доза вводимого соединения согласно изобретению обязательно должна варьироваться в соответствии с правилами, хорошо известными в данной области, учитывающими способ введения, степень постишемического поражения, вес и возраст пациента. Обычно, соединение согласно изобретению вводится теплокровным животным (таким как человек) в количестве, требуемом для достижения эффективной дозы, обычно дозы в интервале приблизительно от 0,01 до 100 мг/кг веса тела. Например, если соединение вводится внутривенно, его количество составляет приблизительно в интервале от 0,5 до 100 мг/кг веса тела. Специалисту в данной области техники понятно, что соединение согласно изобретению может вводиться совместно с другими терапевтическими или профилактическими средствами и/или медикаментами, которые не являются с ними медицински несовместимыми. Действие соединений согласно изобретению как антагонистов к глицин рецептору NMDA рецепторного комплекса могут быть продемонстрированы одним или более стандартными исследованиями, такими как исследование на связывание [3H]-глицина (испытание А) и исследованиями in vivo, такими как ишемия, индуцируемая каротидной окклюзией, на модели песчанки (испытание В). В дополнение к этим испытаниям, соединения данного изобретения проверяют испытанием на красных ядрах клеток (испытание С) и испытанием на средней церебральной артерии крыс (испытание D). Эти испытания подтверждают, что соединения по изобретению являются NMDA рецепторными антагонистами in vitro и in vivo. Некоторые соединения по изобретению являются сильно действующими NMDA рецепторными антагонистами. Некоторые из перечисленных соединений (то есть, 3-(2-ацетоксиэтил), 3-(п-метоксифенил) или 3-(п-гидроксифенил)-7-хлор-4-гидрокси-1,2,5,10-тетрагидропиридазино[4,5-b]хинолин-1,10-дионы) имеют значение IC50 в [3H]Gly испытании выше 100 микромоль и, таким образом, менее активны, чем их более сильно действующие аналоги. В частности, соединения по настоящему изобретению с R1, обозначающим алкил, арил или гетероцикл, как определено здесь, и R2 равным Н, являются сильно действующими рецепторными (глицин) антагонистами. Испытание А В исследовании на связывание [3Н]-глицина нейрональные синаптические мембраны получают из взрослых (около 250 г) самцов крыс Sprague Dawley. Свежеиссеченные образцы коры головного мозга и гиппокампа гомогенизируются в 0,32 М сахарозы (110 мг/мл). Синаптосомы выделяют центрифугированием (1000 об/мин, 10 мин), супернатант осаждают (20000 об/мин, 20 мин) и вновь суспендируют в дважды дистиллированной воде. Суспензию центрифугируют 20 мин при 8000 об/мин. Полученный супернатант и лейкоцитную пленку дважды промывают (48000 об/мин, 10 мин вновь суспендируют в дважды деионизированной воде). Полученный осадок быстро замораживают (баня из сухого льда/этанола) под слоем дважды деионизированной воды и хранят при -70°С. В день эксперимента оттаянные синаптические мембраны гомогенизирзуют в тканевом гомогенизаторе Brinkmann Polytron (tm. Brinkmann Instruments, Westbury, N.Y.) в 50 миллимоль трис(гидроксиметил)аминометанцитрате, рН 7,1. Мембраны инкубируют с 0,04% Surfact-AMPS X100 (tm. Pierce, Rockford, IL) в буфере в течение 20 минут при 37°С и промывают шесть раз путем центрифугирования (48000 об/мин, 10 мин) и вновь суспендируют в буфере. Конечный осадок гомогенизируют при 200 мг вес влажного/мл буфера для исследования на связывание. Для [3Н]-глицин связывания N-метил-D-аспартат рецептору, 20 наномоль [3Н]-глицина (40-60 Ci/ммоль, New England Nuclear, Boston, MA) инкубируют с мембранами, суспендиро-ванными в 50 миллимоль трис(гидроксиметил)аминометанцитрате, рН 7,1, в течение 30 минут при 4°C. Глицин, 1 миллимоль, используют для определения неспецифического связывания. Связанный [3Н]-глицин отделяют от свободного, используя харвестер клеток Brandel (Biomedical Research and Development Laboratories, Gaithersburg, MD) для вакуумной фильтрации через фильтры из стекловолокна (Whatman GF/B from Brandel, Gaithersburg, MD), предварительно пропитанные 0,025% полиэтиленимином. Образцы, оставшиеся на фильтре из стекловолокна, промывают 3 раза в общей сложности 2,5 мл холодного буфера. Радиоактивность измеряют жидкостным сцинтилляционным счетчиком. Значение IC50 получают из регрессии по наименьшим квадратам logit-log (длинные логарифмы) обработки данных. Характерные IC50 значения для соединений по изобретению составляют обычно менее 50 мкМ (микромолей) и иллюстрируются соединением примера 1 (IC50=40 мкМ), примера 2 (IC50=0,50 мкМ), примера 10 (IC50=0,12 мкМ). Другие приведенные здесь примеры описывают глицин антагонисты. Испытание В При испытании in vivo, использующим ишемическую модель песчанки, взрослые особи песчанок Mongolian (50-70 г) анестезируют 2-3% галотаном (halothane). Билатеральные общие каротидные артерии шеи раскрывают и накладывают микроаневрические зажимы. Спустя 10 мин (если иного не указано) зажимы удаляют, восстанавливают кровоток через каротидные артерии и кожу сшивают. Исследуемые соединения вводят внутрибрюшинно как до, так и после окклюзии, например, за 45 минут до и через 5 минут после окклюзии каротидных артерий. Животных, которым симулирована операция, обрабатывают аналогичным способом, за исключением того, что артерии не пережимаются. Наблюдения за общим поведением, связанным с моторной активностью, проводятся в течение 2 часов первого (24 часа) дня после окклюзии. Через 4 дня животных забивают (обезглавливание), извлекают головной мозг, фиксируют, разрезают и окрашивают гематоксилин/эозином и крезилвиолетом. Секции головного мозга оценивают на нейрональные поражения гиппокампуса, используя следующую оценочную шкалу: 0 = непораженные, нормальные 1 = слабое поражение (до 25%) – ограниченные CAI/подлежащая ткань пределами 2 = умеренные поражения (до 50%) – очевидные поражения, ограниченные менее, чем половиной CAI области 3 = заметные поражения (до 75%) – включающие более чем половину CAI области 4 = поражения, выходящие за CAI область Срезы (7 микрон) каждого мозга, подвергаются оценке. Может быть отмечено случайное, асимметрическое поражение, и за рейтинговое значение принимается среднее показание двух сторон. Регистрируют среднюю рейтинговую величину поражений мозга, и показатели нарушений для обработанных лекарственными средствами групп сравнивают с группой, обработанной растворителем, используя тест Wilcoxon-Rank Sum. Обычные значения, полученные в этих испытаниях для соединений согласно изобретению, иллюстрируются следующими результатами: 35% нейрозащита (относительно контроля с имитированной операцией) для соединения примера 4, и свыше 80% нейрозащита для соединения примера 10, когда каждое соединение вводится внутрибрюшинно (ip) при уровне 10 мг/кг веса тела в соответствии с вышеприведенным режимом. Испытание С Испытание красных ядер клеток Цель этого испытания состоит в определении воздействия введенных внутривенно глицин антагонистов на индуцированную возбуждающую реакцию клеток, содержащих красные ядра. НА-966 (рацемическая) и CGP 37849 являются стандартными агентами, проявляющими активность в этом испытании (ID50 7,9 и 1,7 мг/кг, внутрибрюшинно, соответственно). Методика испытания красных ядер клеток приведена далее. Крыс анестезируют хлоральгидратом (400 мг/кг, внутрибрюшинно) и вводят катетер в бедренную вену для внутрибрюшинного введения лекарственного средства. Пятицилиндровые микропипетки размещают стереотаксикально в красных ядрах клеток. Обычно, от трех до четырех из пяти цилиндров заполняются следующим образом: цилиндр для регистрации -2М цитратом калия, цилиндр общепринятого сопоставления 4М NaCl, цилиндр для лекарственных средств – 25 мМ NMDA, а другой цилиндр для лекарственных средств – 2,5 мМ кискалевой (quisqualic) кислоты (QA используют только в исследованиях селективности). NMDA применяют ионофоретически при постоянном токе, который регулируется в зависимости от чувствительности каждой индивидуальной клетки, содержащей красное ядро. NMDA двигается по кругу вперед и назад (обычно 30-60 сек вперед и 60-120 сек назад) и степень возбуждения клетки во время каждого периода регистрируется. Как только нулевая степень возбуждения установлена, начинают внутривенно вводить испытуемое соединение. Воздействие лекарственного средства на NMDA-индуцированную возбуждающую реакцию клетки, содержащей красное ядро, может быть оценено как качественно, так и количественно из регистрируемых и необработанных накопленных данных. Соединения по изобретению проявляют значительную антагонистическую реакцию. Испытание D Испытание на средней церебральной артерии крыс В этом испытании используют самцов крыс SHR, весящих 280-320 г. Способ, использованный для непрерывной окклюзии средней церебральной артерии (МСА), описан Brint и др. (1988). Вкратце: локальную ишемию вызывают путем окклюзии сначала левой общей каротидной артерии и затем левой средней церебральной артерии, расположенной точно над носовым отверстием. После окклюзии, лекарственные средства вводят внутривенно через шейный катетор. Спустя двадцать четыре часа после МСА/общей каротидной артерии окклюзии животных забивают и быстро извлекают головной мозг. Коронарные срезы ткани 1 мм толщиной делают, используя вибратом, и окрашивают 2,3,5-трифенил-2Н-тетразолхлоридным красителем (ТТС). После окрашивания некротическую ткань легко отделяют от интактного мозга и участок инфарктной коры головного мозга исследуют на анализаторе изображения. Размер инфаркта для каждого участка определяют количественно на анализаторе изображения и общий инфарктный объем рассчитывают с помощью программы, суммирующей объем всего интервала. См. S. Brint et al., J. Cerebral Blood Flow 8: 474-485 (1988). Статистический анализ различия между объемом ишемического поражения в контроле с растворителем и обработанных лекарственными средствами животных выполняется на основе Т-теста Стьюдента. Все данные представлены как среднее ±S.E значение для n животных. Соединения по изобретению уменьшают ишемические поражения. Далее изобретение иллюстрируется следующими не ограничивающими примерами. В примерах, если не оговорено иного: (i) температура дана в градусах Цельсия (°С); операцию выполняют при комнатной температуре или при температуре окружающей среды, т.е. при температуре в интервале 18-25°С; (ii) упаривание растворителя выполняют, используя роторный испаритель при пониженном давлении (600-4000 Паскалей: 4,5-30 мм.рт.ст.) с температурой бани до 60°С; (iii) флэш-хроматографию выполняют на Merck Kieselgel (Art 9385) и колоночную хроматографию на Merck Kieselgel 60 (Art 7734); [эти материалы получают от фирмы Е.Merck Darmstadt, W.Germany]; тонкослойную хроматографию (ТСХ-TLC) выполняют на Analtech 0,25 мм силикагелевых ВЭЖХ пластинах (Art 21521), получаемых от фирмы Analtech Newark, DE, USA; (iv) обычно, за ходом реакции следят методами ТСХ и ВЭЖХ и реакционное время дается только для иллюстрации; (v) температура плавления представлена в виде точки плавления, и (разл.) означает разложение; приведенные точки плавления – это температуры, полученные для продуктов, полученных как описано; полиморфизм может выражаться в выделении веществ с различными температурами плавления при одном и том же способе получения; (vi) все конечные продукты, в основном, очищены ТСХ и ВЭЖХ и дают удовлетворительный ядерный магниторезонансный спектр (ЯМР) (300 МГц ПМР в D-ДМСО, если не оговорено иного) и микроаналитические данные; (vii) выходы приведены только для иллюстрации; (viii) пониженное давление выражено в виде абсолютного давления в Паскалях (Ра); другие давления выражены в виде монометрических давлений в барах; (ix) химические символы имеют их обычные значения; использованы также следующие обозначения: об. (объем), вес (вес), т.пл. (точка плавления), л [литр(ы)], мл (миллилитры), мМ (миллимоли), г [грамм(ы)], мг [миллиграмм(ы) ], мин (минуты), ч (часы); и (х) соотношения растворителей даны в объем:объем (v/v) терминах. Что касается N-2 арил соединений в рамках данного изобретения, орто-заместители на фенильном кольце оказывают существенное воздействие на растворимость (водную) глицин рецепторных антагонистов. В частности, орто-метилзаместители повышают растворимость и активность in vivo. Кроме того, путь представленный на Схеме 7 (см. ниже), относится к эффективному способу получения N-2 гетероарилов в рамках настоящего изобретения. Кроме того, заявленное изобретение относится к способу отщепления N-бензильных групп с помощью метансульфокислоты. В приведенных далее спектрах ЯМР приняты следующие обозначения: s – синглет, m – мультиплет d – дублет, br – уширенный сигнал, t – триплет, dd – двойной дублет. vbr – очень широкий Пример 1 7-хлор-1-гидрокси-3-(2-гидроксиэтил)-3,4,5,10-тетра-гидро-пиридазино[4,5-b]хинолин-4,10-дион; К перемешиваемой смеси диметил 7-хлор-1-гидрокси-хинолин-2,3-дикарбоксилата (50,0 г, 0,169 М), в этаноле (750 мл) добавляют 2-гидроксиэтилгидразин (286 г, 3,38 М 90% чистоты вещество). Полученную темно-коричневую смесь нагревают при температуре кипения с обратным холодильником в течение 18 часов и затем оставляют охлаждаться до комнатной температуры без перемешивания. Смесь фильтруют и собранный твердый продукт промывают один раз этанолом и затем нагревают при температуре кипения с обратным холодильником в течение 3 часов в ледяной уксусной кислоте (1,0 л). Полученной смеси дают охладиться до комнатной температуры и затем фильтруют, отделяя желтый твердый продукт. Этот продукт сушат в течение ночи в вакууме, получая (41,83 г) смеси изомерных 2- и 3-(2-гидроксиэтил) соединений в виде желтого твердого продукта. Эту смесь разделяют на две фракции 20,23 г и 21,6 г. Меньшую фракцию (20,23 г) растворяют при энергичном перемешивании в воде (2700 мл), содержащей N-метилглюкамин (54,0 г). Этот раствор осторожно подкисляют ледяной уксусной кислотой до достижения рН точно 7,0 и образовавшийся во время подкисления осадок отделяют фильтрацией. Собранные твердые продукты промывают один раз водой, сушат и сохраняют. Фильтрат и промывную воду также объединяют и сохраняют. Большую из двух первоначальных фракций аналогичным образом растворяют в воде (2880 мл), содержащей N-метилглюкамин (57,6 г) и аналогично подкисляют ледяной уксусной кислотой до рН 7,0, получая вторую порцию твердых продуктов. Фильтрат и соответствующую промывную воду, полученные при этом подкислении, также объединяют и сохраняют. Две порции собранных твердых продуктов объединяют и получают названное в заглавии 3-(2-гидроксиэтил) соединение в виде светло-желтого твердого продукта (19,27 г, 37,0%). Перекристаллизация части этого продукта из уксусной кислоты дает аналитический образец названного в заглавии соединения в виде светло-желтых кристаллов, Т.пл. 377-378°С; МС (CI): 308 (М+Н). Анализ для С13Н10ClN304: Рассчитано: С, 50,75; Н, 3,28; N, 13,66 Найдено: С, 50,65; Н, 3,39; N, 13,78. ЯМР: 13,19 (s, 1H, способный к обмену), 12,32 (s, 1H, способный к обмену), 8,22 (d, J=9,0 Гц, 1H), 8,15 (d, J=1,8 Гц, 1H), 7,56 (dd, J=9,0, 1,8 Гц, 1H), 4,83 (br s, 1H, способный к обмену), 4,10 (t, J=5,7 Гц, 2Н), 3,75 (t, J=5,7 Гц, 2Н). Исходный диметил 7-хлор-4-гидроксихинолин-2,3-дикарбоксилат получают следующим образом: а. диметил 7-хлор-4-гидроксихинолин-2,3-дикарбоксилат. Перемешиваемую смесь метил 2-амино-4-хлорбензоата (2,50 г, 13,5 мМ) и диметил ацетилендикарбоксилата (2,05 г, 14,4 мМ) в трет-бутаноле (22 мл) нагревают при температуре кипения с обратным холодильником, в течение 7 часов в атмосфере азота. После добавления дополнительного количества диметил ацетилендикарбоксилата (1,16 г, 8,13 мМ) и дополнительного нагревания при температуре кипения с обратным холодильником, в течение 2,5 часов, реакционной смеси дают охладиться до комнатной температуры и добавляют за одну порцию трет-бутилата калия (1,56 г, 13,9 мМ). Образовавшийся осадок и полученную смесь нагревают при температуре кипения с обратным холодильником в течение 1,5 часа. Реакционную смесь охлаждают до комнатной температуры и фильтруют для отделения твердых продуктов, которые промывают трет-бутанолом и диэтиловым эфиром. Твердые продукты растворяют в воде и подкисляют 1 н. серной кислотой до образования осадка. Полученную смесь экстрагируют метиленхлоридом и объединенные экстракты промывают раствором соли и воды, сушат (MgSO4), фильтруют и концентрируют, получая зеленый твердый продукт. Перекристаллизация этого твердого вещества из метанола дает диметил 7-хлор-4-гидроксихинолин-2,3-дикарбоксилат (1,15 г, 28,94) в виде не совсем белого твердого продукта. Т.пл. 232-233°С; МС (CI): 296 (М+Н). Анализ для C13H10ClNO5: Рассчитано: С, 52,81; Н, 3,41; N, 4,74 Найдено: С, 52,75; Н, 3,47; N, 4,69. Пример 2 7-хлор-4-гидрокси-2-(2-гидроксиэтил)-1,2,5,10-тетрагидропиридазино[4,5-b]хинолин-1,10-дион. Все фильтраты и промывные воды оставшиеся от Примера 1 объединяют и затем подкисляют ледяной уксусной кислотой до рН 5,0. Образовавшийся осадок собирают, промывают водой и сушат, получая названное в заглавии соединение в виде бледно-желтого твердого продукта (12,27 г, 23,5%). Перекристаллизация части этого вещества из уксусной кислоты дает аналитический образец названного соединения в виде не совсем белого кристаллического вещества. Т.пл. 335-336°С; МС (CI): 308 (М+Н). Анализ для С13Н10ClN3O4: Рассчитано: С, 50,75; Н, 3,28; N, 13,66 Найдено: С, 50,54; Н, 3,39; N, 13,65. ЯМР: 12,53 (br s, 1H, способн. к обмену), 11,87 (br s, 1H, способн. к обмену), 8,17 (d, J=8,7 Гц, 1H), 8,04 (s, 1H), 7,45 (d, J=8,7, Гц, 1H), 4,82 (br s, 1H, способн. к обмену), 3,99 (t, J=6,1 Гц, 2H), 3,70 (t, J=6,1 Гц, 2Н). Пример 3 2-(2-Ацетоксиэтил)-7-хлор-4-гидрокси-1,2,5,10-тетрагидропиридазино[4,5-b]хинолин-1,10-дион. Оранжевую суспензию 7-хлор-4-гидрокси-2-(2-гидроксиэтил)-1,2,5,10-тетрагидропиридазино[4,5-b]хинолин-1,10-диона (0,250 г, 0,81 мМ) в 30%-ном растворе бромистоводородной кислоты в ледяной уксусной кислоте (5 мл) осторожно нагревают при температуре кипения с обратным холодильником в течение 16 часов в атмосфере азота. Смесь охлаждают до комнатной температуры и разбавляют водой (20 мл) до образования осадка. Собранные твердые продукты промывают водой и метанолом и затем сушат, получая названное в заглавии соединение (0,242 г, 86%) в виде рыжевато-коричневого твердого вещества. Т.пл. 307-309°С; МС (CI): 350 (М+Н). Анализ для C15H12ClN3O5·0,2СН3CO2Н: Рассчитано: С, 51,10; Н, 3,57; N, 11,60 Найдено: С, 50,81; Н, 3,45; N, 11,86. ЯМР: 12,64 (br s, 1H, способн. к обмену), 11,91 (br s, 1H, способн. к обмену), 8,14 (d, J=8,64 Гц, 1H), 8,02 (d, J=1,74 Гц, 1H), 7,43 (dd, J=1,74, 8,64 Гц), 4,32 (t, J=5,54 Гц, 2H), 4,13 (t, J=5,54 Гц), 1,98 (s, 3H). Пример 4 7-хлор-4-гидрокси-2-(2-фталимидоэтил)-1,2,5,10-тетрагидропиридазино[4,5-b]хинолин-1,10-дион. 2-(2-Бромэтил)-7-хлор-4-гидрокси-1,2,5,10-тетрагидро-пиридазино[4,5-b]хинолин-1,10-дион (5,00 г, 13,50 мМ) и фталимид калия (10,50 г, 56,70 мМ) перемешивают и кипятят с обратным холодильником в ДМФ (100 мл) в течение 22 часов. Охлажденную желтую суспензию выливают в разбавленную соляную кислоту (1 н, 1,0 л) при хорошем перемешивании. Образуется белый осадок, который собирают. Этот твердый продукт ресуспендируют в водном метаноле (50%, 1,0 л) и перемешивают/воздействуют ультразвуком, получая хорошую суспензию. Фильтрация и повторное суспендирование в метаноле (0,25 л) дают свободно текущую белую суспензию после обработки ультразвуком и непродолжительного нагревания при температуре кипения с обратным холодильником. Твердые продукты окончательно собирают и промывают метанолом, получая названное в заглавии соединение (4,65 г, 79%) в виде белого порошка. Т.пл. 349-352°С; МС (CI): 437 (М+Н). Анализ для C21H13ClN4O5·0,35H2O·0,10СН3ОН: Рассчитано: С, 56,78; Н, 3,18; N, 12,55 Найдено: С, 56,40; Н, 2,76; N, 12,59. ЯМР: 12,54 (br s, 1H, способн. к обмену), 11,88 (br s, 1H, способн. к обмену), 8,11 (d, J=8,67 Гц, 1H), 8,00 (br s, 1H), 7,83 (s, 4H), 7,42 (d, J=8,67 Гц, 1H), 4,13 (br m, 2H), 3,93 (br m, 2H). Исходный 2-(2-бромэтил)-7-хлор-4-гидрокси-1,2,5,10-тетрагидроксипиридазино[4,5-b]хинолин-1,10-дион готовят как описано ниже: а. 2-(2-Бромэтил)-7-хлор-4-гидрокси-1,2,5,10-тетрагидропиридазино[4,5-b]хинолин-1,10-дион 7-Хлор-4-гидрокси-2-(2-гидроксиэтил)-1,2,5,10-тетрагидропиридазино[4,5-b]хинолин-1,10-дион (8,00 г, 26,00 мМ) перемешивают в смеси: водная бромистоводородная кислота (50%, 80 мл), 30% бромистоводородная кислота в ледяной уксусной кислоте (160 мл) и метансульфокислота (8 мл), получая красный раствор. Этот раствор нагревают при температуре кипения с обратным холодильником в течение 20 часов, за это время образуется осадок. Желтую суспензию охлаждают до комнатной температуры и перемешивают 2 часа. Твердый продукт собирают и промывают смесью ацетонитрил/диэтиловый эфир и диэтиловым эфиром и сушат порошок на воздухе. МС (CI): 370 (М+Н). ЯМР: 13,00 (br s, 1H, способн. к обмену), 8,23-8,18 (m, 2H), 7,60 (dd, J=2,04, 5,73 Гц), 5,20 (t, J=9, 37 Гц, 2H), 4,56 (t, J=9,37 Гц 2H). Пример 5 Холиновая соль 7-Хлор-1-гидрокси-3-фенил-3,4,5,10-тетрагидропиридазино[4,5-b]хинолин-4,10-диона. 6-Хлор-2-анилин-2,3,4,9-тетрагидро-1Н-пирроло-[3,4-b]-хинолин-1,3,9-трион (1,70 г, 5,0 мМ) перемешивают в метаноле (0,85 л) и добавляют метансульфокислоту (85 мл). Желтую суспензию нагревают три температуре кипения с обратным холодильником 16 часов и охлаждают до комнатной температуры. Полученную смесь фильтруют (фильтрат сохраняют для использования в Примере 6) и собранные твердые продукты промывают метанолом и сушат, получая 7-хлор-4-гидрокси-3-фенил-1,2,5,10-тетрагидропиридазино[4,5-b]хинолин-4,10-дион (0,48 г, 28%) в виде желтого порошка. Этот порошок перемешивают в метаноле и добавляют гидроокись холина (45 вес.% в метаноле, 0,5 мл), получая раствор янтарного цвета. Этот раствор концентрируют и остаток разбавляют толуолом и концентрируют. Остаток растворяют в толуоле и концентрируют два дополнительных раза, и полученный твердый остаток растирают со смесью этанол/толуол (20%, 25 мл), получая кристаллический твердый продукт. Твердый продукт собирают, получая названное в заглавии соединение (0,49 г, 78%) в виде желтого порошка. Т.пл. 253-257°С; МС (CI): 340 (М+Н). Анализ для С17Н10ClN3О3·C5H14NO·0,3Н2О: Рассчитано: С, 58,90; Н, 5,31; N, 12,50 Найдено: С, 58,88; Н, 5,18; N, 12,41. ЯМР: 15,00 (s, 1H, способн. к обмену), 8,22 (d, J=8,79 Гц, 1H), 7,85 (d, J=2,01 Гц, 1H), 7,61 (d, J=7,53 Гц, 2Н), 7,45 (t, J=7,53 Гц, 2Н), 7,38-7,28 (m, 2H), 5,31 (s, 1H, способн. к обмену), 3,83 (br m, 2H), 3,39 (br m, 2H), 3,10 (s, 9H). Исходный 6-хлор-2-анилин-2,3,4,9-тетрагидро-1Н-пирроло-[3,4-b]хинолин-1,3,9-трион получают следующим способом: а. 6-Хлор-2-анилин-2,3,4,9-тетрагидро-1Н-пирроло-[3,4-b]хинолин-1,3,9-трион. К перемешиваемой суспензии диметил 7-хлор-4-гидрокси-хинолин-2,3-дикарбоксилата (2,50 г, 8,45 мМ) в этаноле (35 мл) добавляют фенилгидразин (5,82 мл, 59,20 мМ), получая коричневый раствор. Этот раствор нагревают при температуре кипения с обратным холодильником в течение 16 часов, за это время образуется осадок. Суспензию фильтруют горячей и собранные твердые продукты промывают этанолом, получая фенил-гидразиновую соль названного в заглавии соединения в виде белого порошка (2,10 г). Этот продукт перемешивают и нагревают при температуре кипения с обратным холодильником в ледяной уксусной кислоте (50 мл) в течение 2 часов. Полученную желтую суспензию охлаждают до комнатной температуры и фильтруют, получая названное в заглавии соединение (1,70 г, 59%) в виде желтого твердого продукта. Т.пл. 397°С; МС (CI): 340 (М+Н). Анализ для С17Н10ClN3О3: Рассчитано: С, 60,10; Н, 2,97; N, 12,40 Найдено: С, 59,96; Н, 2,79; N, 12,45. ЯМР: 13,80 (br s, 1H, способн. к обмену), 8, (s, 1H, способн. к обмену), 8,23 (d, J=8,70 Гц, 1H), 7,89 (d, J=1,89 Гц, 1H), 7,58 (dd, J=1,89, 8,70 Гц, 1H), 7,18 (t, J=8,01 Гц, 2Н), 6,82 (m, 3Н). Пример 6 7-Хлор-4-гидрокси-2-фенил-1,2,5,10-тетрагидроксипиридазино[4,5-b]хинолин-1,10-дион. Фильтрат, сохраненный из Примера 5, разбавляют водой (0,80 л) и полученную рыжевато-коричневую суспензию перемешивают 1 час. Твердые продукты собирают и промывают водным метанолом (50%), получая названное в заглавии соединение (1,20 г, 71%) в виде не совсем белого порошка. Т.пл. 347-349°С; МС (CI): 340 (М+Н). Анализ для С17Н10ClN3О3·0,10Н2О: Рассчитано: С, 59,80; Н, 3,01; N, 12,30 Найдено: С, 59,64; Н, 2,76; N, 12,27. ЯМР: 12,8 (br s, 1H, способн. к обмену), 12,1 (br s, 1H, способн. к обмену), 8,16 (d, J=8,67 Гц, 1H), 8,06 (d, J=1,80 Гц, 1H), 7,56-7,33 (m, 6H). Пример 7 7-Хлор-1-гидрокси-3-(4-метоксифенил)-3,4,5,10-тетрагидропиридазино[4,5-b]хинолин-4,10-дион. 6-Хлор-2-(4-метоксианилин)-2,3,4,9-тетрагидро-1Н-пирроло[3,4-b]хинолин-1,3,9-трион (2,72 г, 7,40 мМ) перемешивают в метаноле (200 мл) и добавляют метансульфокислоту (50 мл). Рыжевато-коричневую суспензию нагревают при температуре кипения с обратным холодильником в течение 16 часов, во время чего она становится желтой. Эту желтую суспензию охлаждают до комнатной температуры и фильтруют (фильтрат сохраняют для использования в Примере 8). Собранные твердые продукты промывают метанолом, получая названное в заглавии соединение в виде желтого порошка (1,19 г, 44%). Т.пл. 371-373°С; МС (CI): 370 (М+Н). Анализ для C18H12ClN3O4: Рассчитано: С, 58,50; Н, 3,27; N, 11,36 Найдено: С, 58,30; Н, 3,41; N, 10,92. ЯМР: 13,33 (br s, 1H, способн. к обмену), 12,47 (s, 1H, способн. к обмену), 8,30 (d, J=8,73 Гц, 1H), 8,23 (br s, 1H), 7,61 (m, 3H), 7,08 (d, J=8,90 Гц, 2Н), 3,83(s, 3Н). Исходный 6-Хлор-2-(4-метоксианилин)-2,3,4,9-тетрагидро-lH-пирроло[3,4-b]хинолин-1,3,9-трион получают следующим способом: а. 6-Хлор-2-(4-метоксианилин)-2,3,4,9-тетрагидро-1Н-пирроло[3,4-b]хинолин-1,3,9-трион. К перемешиваемой суспензии диметил 7-хлор-4-гидрокси-хинолин-2,3-дикарбоксилата (0,500 г, 1,69 мМ) в этаноле (17 мл) добавляют 4-метоксифенил гидразин гидрохлорид (2,07 г, 11,83 мМ). Добавляют триэтиламин (1,88 мл, 13,52 мМ) и смесь нагревают при температуре кипения с обратным холодильником в течение 40 часов. Полученную суспензию фильтруют горячей, собранные твердые продукты промывают этанолом, получая соль 4-метоксифенил гидразина с названным в заглавии соединением (0,700 г) в виде светлого рыжевато-коричневого твердого продукта. Этот продукт нагревают при температуре кипения с обратным холодильником в ледяной уксусной кислоте (20 мл) в течение 2 часов, получая коричневую суспензию. Суспензию охлаждают до комнатной температуры, твердые продукты собирают и промывают ледяной уксусной кислотой, метанолом и диэтиловым эфиром, получая названное в заглавии соединение (0,331 г, 53%) в виде рыжевато-коричневого порошка. Т.пл. 365°С (разл.); МС (CI): 370 (М+Н). Анализ для C18H12ClN3C4: Рассчитано: С, 58,50; Н, 3,27; N, 11,36 Найдено: С, 58,29; Н, 3,41; N, 11,14. ЯМР: 13,79 (br s, 1H, способн. к обмену), 8,22 (br d, J=8,70 Гц, 2H, 1H способн. к обмену), 7,88 (d, J=1,79 Гц, 1H), 7,57 (dd, J=1,79, 8,70 Гц, 1H), 6,78 (s, 4H), 3,67 (s, 3Н). Пример 8 7-Хлор-4-гидрокси-2-(4-метоксифенил)-1,2,5,10-тетрагидропиридазино[4,5-b]хинолин-l,10-дион. Сохраненный фильтрат от Примера 7 разбавляют водой (250 мл), получая желтую суспензию. Собирают твердые продукты и промывают водным метанолом (50%), получая названное в заглавии соединение (1,22 г, 45%) в виде желтоватого порошка. Т.пл. 351-353°С; МС (CI): 370 (М+Н). Анализ для C18H12ClN3O4: Рассчитано: С, 58,50; Н, 3,27; N, 11,36 Найдено: С, 58,51; Н, 3,44; N, 11,03. ЯМР: 12,74 (s, 1H, способн. к обмену), 12,01 (s, 1H, способн. к обмену), 8,15 (d, J=8,70 Гц, 1H), 8,05 (br s, 1H), 7,44 (мультиплет, 3Н), 7,02 (br d, J=6,96 Гц, 2H), 3,80 (s, 3H). Пример 9 7-Хлор-1-гидрокси-3-(4-гидроксифенил)-3,4,5,10-тетрагидропиридазино[4,5-b]хинолин-4,10-дион. 7-Хлор-1-гидрокси-3-(4-метоксифенил)-3,4,5,10-тетрагидропиридазино[4,5-b]хинолин-4,10-дион (0,800 г, 2,16 мМ) перемешивают в метансульфокислоте (16 мл), получая янтарно-желтый раствор. Этот раствор нагревают при 160°С 6 часов и охлаждают до комнатной температуры. Добавление диэтилового эфира (250 мл) дает рыжевато-коричневый осадок, который перемешивают 1 час. Твердый продукт собирают и промывают смесью метанол/диэтиловый эфир, получая названное в заглавии соединение (0,661 г, 77%) в виде рыжевато-коричневого порошка. Т.пл. 393-395°С; МС (CI): 356 (М+Н). Анализ для C17H10ClN3O4·0,2СН3SO3Н·1,3H2O: Рассчитано: С, 51,86; Н, 3,39; N, 10,55; Найдено: С, 51,76; Н, 3,02; N, 10,37. ЯМР: 13,30 (s, 1H, способн. к обмену), 12,5 (v br s, 1H, способн. к обмену), 10,8 (br s, 1H, способн. к обмену), 8,29 (d, J=8,76 Гц, 1H), 8,23 (br s, 1H), 7,61 (br d, J=8,76 Гц, 1H), 7,45 (d, J=8,81 Гц, 2H), 6,88 (d, J=8,81 Гц, 2H), 2,32 (3, 0,5H). Пример 10 7-Хлор-4-гидрокси-2-(4-гидроксифенил)-1,2,5,10-тетрагидропиридазино[4,5-b]хинолин-1,10-дион. 7-Хлор-4-гидрокси-2-(4-метоксифенил)-1,2,5,10-тетрагидропиридазино[4,5-b]хинолин-1,10-дион (0,800 г, 2,16 мМ) перемешивают в метансульфокислоте (16 мл), получая раствор янтарного цвета. Этот раствор нагревают при 150°С 6 часов и охлаждают до комнатной температуры. Добавление диэтилового раствора (250 мл) и метанола (50 мл) дает рыжевато-коричневый осадок. Твердый продукт собирают и промывают, получая названное в заглавии соединение (0,530 г, 51%) в виде рыжевато-коричневого порошка. Т.пл. 316-318°С; МС (CI): 356 (М+Н). Анализ для С17Н10С1N3O4·СН3SO3Н·1,3Н2O: Рассчитано: С, 45,49; Н, 3,52; N, 8,84; Найдено: С, 45,45; Н, 3,24; N, 8,64. ЯМР: 12,80 (v br s, 1H, способн. к обмену), 8,15 (d, J=8,68 Гц, 1H), 8,04 (с, J=1,84 Гц, 1H), 7,44 (dd, J=1,84, 8,68 Гц, 1H), 7,28 (d, J=8,74 Гц, 2Н), 6,81 (d, J=8,74 Гц, 2Н), 2,35(3, 3Н). Пример 11 4-Гидрокси-8-нитро-2-фенил-1,2,5,10-тетрагидропиридазино[4,5-b]хинолин-1,10-дион. 2-Анилино-7-нитро-2,3,4,9-тетрагидро-1Н-пирроло[3,4-b]хинолин-1,3,9-трион (0,830 г, 2,37 мМ) растворяют при перемешивании в метансульфокислоте (42 мл), получая темно-оранжевый раствор. Добавляют метанол (420 мл) и полученный желтый раствор нагревают при температуре кипения с обратным холодильником 2 часа, получая желтую суспензию. Нагрев убирают и суспензию перемешивают при комнатной температуре 3 часа. Твердые продукты отделяют фильтрацией и фильтрат оставляют стоять на 20 часов. За это время в фильтрате образуется дополнительное количество твердых продуктов и суспензию повторно фильтруют. Этот фильтрат концентрируют затем приблизительно до 250 мл и разбавляют водой (400 мл), получая желтый осадок. Эти твердые продукты собирают и промывают водным метанолом (50%) и затем диэтиловым эфиром, получая названное в заглавии соединение (0,590 г, 71%) в виде желтого порошка. Т.пл. 382-385°С; МС (CI): 351 (М+Н). Анализ для C17H10N4O5·0,1С4Н10О·1,1H2O: Рассчитано: С, 55,40; Н, 3,52; N, 14,80; Найдено: С, 55,42; Н, 3,46; N, 14,60. ЯМР: 12,91 (br s, 1H, способн. к обмену), 12,44 (br s, 1H, способн. к обмену), 8,86 (s, 1H), 8,53 (d, J=9,18 Гц, 1H), 8,15 (d, J=9,18 Гц, 1H), 7,57-7,35 (m, 5H). Исходный 2-анилин-7-нитро-2,3,4,9-тетрагидро-1Н-пирроло[3,4-b]хинолин-1,3,9-трион получают следующим способом: а. 2-Анилин-7-нитро-2,3,4,9-тетрагидро-1Н-пирроло[3,4-b]хинолин-1,3,9-трион. К перемешиваемой суспензии диэтил 6-нитро-4-гидрокси-хинолин-2,3-дикарбоксилата (1,670 г, 5,00 мМ) в этаноле (30 мл) добавляют фенилгидразин (3,44 мл, 35,00 мМ), получая темно-красный раствор. Раствор нагревают при температуре кипения с обратным холодильником 1 час и концентрируют приблизительно до 15 мл. Дальнейшее нагревание дает густую суспензию, которую разбавляют этанолом (5 мл) и нагревают при температуре кипения с обратным холодильником дополнительно 16 часов. Смесь охлаждают до комнатной температуры и фильтруют, получая фенил гидразиновую соль названного в заглавии соединения в виде рыжевато-коричневого твердого вещества. Этот продукт нагревают при температуре кипения с обратным холодильником в ледяной уксусной кислоте (25 мл) в течение 2 часов и охлаждают до комнатной температуры. Фильтрация дает названное в заглавии соединение (1,01 г, 58%) в виде рыжевато-коричневого порошка. Т.пл. 368°С (разл.); МС (CI): 351 (М+Н). Анализ для C17H10N4O5: Рассчитано: С, 58,30; Н, 2,88; N, 16,00; Найдено: С, 58,21; Н, 3,07; N, 16,15. ЯМР: 8,91 (d, J=2,76 Гц, 1Н), 8,60 (dd, J=2,76, 9,18 Гц, 1Н), 8,06 (d, J=9,18 Гц, 1Н), 7,18 (t, J=7,23 Гц, 2Н), 6,82 (m, 3H). Пример 12 2-Бензил-7-хлор-4-гидрокси-1,2,5,10-тетрагидропиридазино[4,5-b]хинолин-1,10-дион. К перемешиваемой суспензии диметил 7-хлор-4-гидроксихинолин-2,3-дикарбоксилата (5,00 г, 16,90 мМ) и бензилгидразин дигидрохлорида (46,15 г, 236,50 мМ) в этаноле (100 мл) добавляют триэтиламин (75,8 мл, 541,0 мМ). Смесь нагревают, получая коричневый раствор, который нагревают при температуре кипения с обратным холодильником 40 часов, за это время образуется осадок. Суспензию охлаждают до комнатной температуры и фильтруют, получая бензилгидразиновую соль названного в заглавии соединения в виде содержащего примесь желтого твердого вещества. Многократная кристаллизация из этанольного хлористого водорода и метанола дает названное в заглавии соединение (0,370 г, 6%) в виде белого порошка. Т.пл. 347-350°С; МС (CI): 354 (М+Н). Анализ для C18H12ClN3O3: Рассчитано: С, 61,10; Н, 3,42; N, 11,90; Найдено: С, 60,68; Н, 3,61; N, 11,80. ЯМР: 12,65 (br s, 1H, способн. к обмену), 11,93 (br s, 1H, способн. к обмену), 8,15 (d, J=8,67 Гц, 1Н), 8,02 (d, J=1,83, 1H), 7,43 (d, J=8,55 Гц, 1H), 7,36-7,23 (m, 5H), 5,11 (s, 2H). Пример 13 7-Хлор-4-гидрокси-2-[2-(4-фенилпиперазино)-этил]-1,2,5,10-тетрагидропиридазино[4,5-b]хинолин-1,10-дион. 2(2-Бромэтил)-7-хлор-4-гидрокси-1,2,5,10-тетрагидропиридазино[4,5-b]хинолин-1,10-дион (0,500 г, 1,35 мМ) перемешивают в диметилформамиде (10 мл) и добавляют N-фенилпиперазин (10 мл, 10,6 г, 65,5 мМ). Полученную желтую суспензию нагревают до 110°С, получая прозрачный желтый раствор. Раствор нагревают 6 часов, за это время образуется осадок. Суспензию охлаждают до комнатной температуры и перемешивают пять дней. Полученную желтую суспензию растворяют в водном метаноле (500 мл, 50%). рН этого раствора осторожно доводят до рН 6 с помощью 1 н. хлористоводородной кислоты (20 мл), что дает желтый осадок. Эту суспензию перемешивают 1 час и фильтруют, получая названное в заглавии соединение, загрязненное N-фенилпиперазином (0,753 г). Этот продукт перекристаллизуют из этанола (200 мл), получая названное в заглавии соединение (0,428 г, 70%) в виде желтого порошка. Т.пл. 361-364°С ; МС (CI): 452 (М+Н). Анализ для C23H22ClN5O3: Рассчитано: С, 61,10; Н, 4,91; N, 15,50; Найдено: С, 60,72; Н, 5,06; N, 15,30. ЯМР: 7,95 (d, J=8,67 Гц, 1Н), 7,64 (br s, 1H), 7,26-7,18 (m, 3H), 6,95 (d, J=8,07 Гц, 2Н), 6,78 (t, J=7,32 Гц, 1H), 4,15 (br s, 2H), 3,55-2,85 (br m, 10 Н). Пример 14 Холиновая соль 7-Хлор-1-гидрокси-3-(2-фенетил)-3,4,5,10-тетрагидропиридазино[4,5-b]хинолин-4,10-диона. К перемешиваемому раствору гидроокиси натрия (9,46 г, 236,6 мМ) в этаноле (100 мл) при 45°С добавляют сульфатную соль 2-фенетилгидразина (27,6 г, 118,3 мМ) наряду с дополнительным количеством этанола (50 мл). Полученную густую белую суспензию перемешивают 2 часа. Твердый продукт удаляют фильтрацией и промывают этанолом (50 мл). Прозрачный объединенный фильтрат концентрируют до 70 мл и добавляют диметил 7-хлор-4-гидроксихинолин-2,3-дикарбоксилат (2,50 г, 8,45 мМ), что дает коричневый раствор. Раствор нагревают при температуре кипения с обратным холодильником 16 часов, за это время образуется желтый осадок. Суспензию фильтруют горячей и промывают этанолом (50 мл), получая 2-фенетилгидразиновую соль 7-хлор-1-гидрокси-3-(2-фенетил)-3,4,5,10-тетрагидропиридазино[4,5-b]хинолин-4,10-дион в виде желтого порошка (2,90 г). Этот продукт нагревают при температуре кипения с обратным холодильником и в ледяной уксусной кислоте (50 мл) в течение 2 часов и, после охлаждения до комнатной температуры, полученную суспензию фильтруют, получая смесь 7-хлор-1-гидрокси-3-(2-фенетил)-3,4,5,10-тетрагидропиридазино[4,5-b]хинолин-4,10-диона и соответствующего 2-замещенного фенетил изомера в виде желтого твердого продукта (2,20 г, 68%). Смесь перемешивают в метаноле (250 мл) и растворе метил-D-глюкамина (15,0 г метил-D-глюкамина в 250 мл воды). Затем добавляют раствор холин гидроксида (9,0 мл, 50 вес.% в воде), получая раствор насыщенного янтарного цвета. Этот раствор осторожно подкисляют до рН 9 ледяной уксусной кислотой, после чего образуется желтый осадок. После перемешивания этой желтой суспензии в течение 1 часа, твердые продукты собирают и промывают последовательно водным метанолом (50%), смесью метанол/эфир и диэтиловым эфиром, получая названное в заглавии соединение (свободная кислота, 1,13 г, 54%) в виде желтого порошка. Фильтрат и промывные воды собирают и сохраняют для использования в Примере 15. Выделенный ранее 7-хлор-1-гидрокси-3-(2-фенетил)-3,4,5,10-тетрагидропиридазино[4,5-b]хинолин-4,10-дион (1,00 г, 2,72 мМ), выделенный ранее, перемешивают в метаноле (50 мл) и добавляют раствор гидроокиси холина (1,0 мл, 45 вес.% в метаноле). Полученную суспензию перемешивают и обрабатывают ультразвуком в течение 1 часа, что дает раствор янтарного цвета. Этот раствор трижды подвергают азеотропной перегонке из смеси метанол/толуол (10%, 50 мл), получая оранжевый твердый продукт. Растирание с толуолом (50 мл), содержащим этанол (3 мл), дает свободно текущую суспензию, которую перемешивают 16 часов. Твердый продукт собирают и промывают толуолом и диэтиловым эфиром, получая рыжевато-коричневый порошок (1,19 г). Этот порошок сушат при глубоком вакууме (50 мТ) при 100°С в течение 72 часов, что дает названное в заглавии соединение (1,00 г, 78%) в виде порошка золотистого цвета. Т.пл. 227-229°С; МС (CI): 368 (М+Н). Анализ для C19H13ClN3O3·C5H14NO·0,2Н2О: Рассчитано: С, 60,70; Н, 5,82; N, 11,81; Найдено: С, 60,41; Н, 5,74; N, 11,68. ЯМР: 14,86 (s, 1H, способн. к обмену), 8,17 (d, J=8,82 Гц, 1H), 7,80 (s, 1H), 7,33-7,19 (m, 6Н), 5,37(br s, 1H, способн. к обмену), 4,13 (t, J=7,29 Гц, 2Н), 3,84 (br s, 2H), 3,37 (m, 2H), 3,10 (s, 9H), 3,00 (t, J=7,29 Гц, 2H). Пример 15 7-Хлор-4-гидрокси-2-(2-фенетил)-1,2,5,10-тетрагидропиридазино[4,5-b]хинолин-1,10-дион. Фильтрат и промывные воды, сохраненные из Примера 14, подкисляют ледяной уксусной кислотой, что дает осадок. Твердые продукты собирают и промывают последовательно метанолом, водой, метанолом и диэтиловым эфиром, получая названное в заглавии соединение (0,81 г, 39%) в виде светло-желтого порошка. Т.пл. 327-330°С; МС (CI): 368 (М+Н). Анализ для С19Н14ClN3О3·0,1H2O: Рассчитано: С, 61,70; Н, 3,87 N, 11,36; Найдено: С, 61,60; Н, 3,99; N, 10,98. ЯМР: 12,60 (v s, 1H, способн. к разлож.), 11,95 (vbrs, 1H, способн. к разлож.), 8,15 (d, J=8,63 Гц, 1H), 8,01 (d, J=1,35 Гц, 1H), 7,43 (d, J=8,63 Гц, 1H), 7,33-7,22 (m, 5H), 4,11 (t, J=7,46 Гц, 2H), 2,99 (t, J=7,46 Гц, 2H). Пример 16 7-Хлор-1-гидрокси-3-(4-хлорфенил)-3,4,5,10-тетрагидропиридазино[4,5-b]хинолин-4,10-дион. Перемешиваемую суспензию 6-хлор-2-(4-хлоранилин)-2,3,4,9-тетрагидро-1Н-пирроло[3,4-b]хинолин-1,3,9-триона (0,670 г, 1,79 мМ) в метаноле (60 мл) и метансульфокислоте (15 мл) нагревают при температуре кипения с обратным холодильником 3 часа и охлаждают до комнатной температуры. Смесь фильтруют (фильтрат сохраняют для использования в Примере 17), и собранные желтые твердые продукты промывают метанолом и диэтиловым эфиром, что дает названное в заглавии соединение (0,156 г, 23%) в виде желтого порошка. Т.пл. >400°С; МС (CI): 374 (М+Н). Анализ для С17Н9Cl2N3О3: Рассчитано: С, 54,60; Н, 2,42 N, 11,23; Найдено: С, 54,29; Н, 2,19; N, 11,20 ЯМР: 13,40 (s, 1H, способн. к обмену), 12,54 (s, 1H, способн. к обмену), 8,30 (d, J=8,79 Гц, 1H), 8,23 (d, J=1,89 Гц, 1H), 7,75 (d, J=6,90 Гц, 2Н), 7,63 (m, 3Н). Исходный 6-хлор-2-(4-хлоранилин)-2,3,4,9-тетрагидро-1H-пирроло[3,4-b]хинолин-1,3,9-трион получают как описано ниже: а. 6-хлор-2-(4-хлоранилин)-2,3,4,9-тетрагидро-1Н-пирроло[3,4-b]хинолин-1,3,8-трион К перемешиваемой суспензии диметил 7-хлор-4-гидрокси-хинолин-2,3-дикарбоксилата (2,50 г, 8,45 мМ) и 4-хлорфенил-гидразина (10,60 г, 59,20 мМ) в этаноле (50 мл) добавляют триэтиламин (9,43 мл), получая коричневый раствор. Этот раствор нагревают при температуре кипения с обратным холодильником 24 часа и затем охлаждают до комнатной температуры. Разбавление водой (25 мл) дает коричневый осадок. Эту суспензию перемешивают 16 часов и фильтруют для отделения твердых продуктов, которые отбрасываются. После хранения фильтрата в течение семи дней образуется другой осадок. Этот твердый продукт собирают и промывают метанолом (50%) и диэтиловым эфиром, получая соль 4-хлорфенилгидразина, названного в заглавии соединения, в виде коричневого порошка (1,20 г). Этот продукт нагревают при температуре кипения с обратным холодильником в ледяной уксусной кислоте (25 мл) в течение 3 часов и охлаждают до комнатной температуры. Полученную оранжевую суспензию фильтруют и твердые продукты промывают ледяной уксусной кислотой и диэтиловым эфиром, получая названное в заглавии соединение (0,810 г, 25%) в виде светло-оранжевого порошка. Т.пл. 399-401°С; МС (CI): 374 (М+Н). Анализ для C17H9Cl2N3O3: Рассчитано: С, 54,60; Н, 2,42; N, 11,23; Найдено: С, 54,29; Н, 2,61; N, 11,12. ЯМР: 13,80 (v br s, 1H, способн. к обмену), 8,67 (s, 1H, способн. к обмену), 8,22 (d, J=8,67 Гц, 1H), 7,88 (d, J=1,73 Гц, 1H), 7,57 (dd, J=1,73, 8,67 Гц, 1H), 7,21 (d, J=8,79 Гц, 2Н), 6,87 (d, J=8,79 Гц, 2Н). Пример 17 7-Хлор-4-гидрокси-2-(4-хлорфенил)-1,2,5,10-тетрагидро-пиридазино[4,5-b]хинолин-1,10-дион. Фильтрат сохраненный из Примера 16 разбавляют водой (75 мл), получая белую суспензию, которую перемешивают 16 часов. Эту суспензию фильтруют, и собранные твердые продукты промывают последовательно водой, водным метанолом, мета-нол/диэтиловым эфиром и диэтиловым эфиром, получая названное в заглавии соединение (0,420 г, 63%) в виде белого твердого порошка. Т.пл. 359-360°С; МС (CI): 374 (М+Н). Анализ для С17Н9Cl2N3О3·0,5H2O·0,2СН3SO3Н: Рассчитано: С, 51,30; Н, 2,71; N, 10,40; Найдено: С, 51,44; Н, 2,64; N, 0,60. ЯМР: 12,91 (br s, 1H, способн. к обмену), 12,07 (br s, 1H, способн. к обмену), 8,16 (d, J=8,64 Гц, 1H), 8,06 (d, J=1,62 Гц, 1H), 7,63-7,46 (m, 5H). Пример 18 7-Хлор-1-гидрокси-3-(4-метилфенил)-3,4,5,10-тетрагидропиридазино[4,5-b]хинолин-4,10-дион. Перемешиваемую суспензию 6-хлор-2-(4-метиланилин)-2,3,4,9-тетрагидро-1Н-пирроло[3,4-b]хинолин-1,3,9-триона (1,60 г, 4,53 мМ) в растворе метанола (128 мл) и метансульфокислоты (32 мл) нагревают при температуре кипения с обратным холодильником 4 часа и охлаждают до комнатной температуры. Полученную желтую суспензию перемешивают при комнатной температуре пять дней и затем фильтруют (фильтрат сохраняют для использования в Примере 19). Собранные твердые продукты промывают метанолом и затем диэтиловым эфиром, получая названное в заглавии соединение (0,594 г, 37%) в виде желтого порошка. Т.пл. >400°С; МС (CI): 354 (М+Н). Анализ для C18H12ClN3O3·0,4Н2O: Рассчитано: С, 59,89; Н, 3,57; N, 11,64; Найдено: С, 59,47; Н, 3,14; N, 11,57. ЯМР: 13,34 (s, 1H, способн. к обмену), 12,48 (s, 1H, способн. к обмену), 8,30 (d, J=8,75 Гц, 1H), 8,22 (br s, 1H), 7,62 (d, J=8,75 Гц, 1Н), 7,55 (d, J=8,01 Гц, 2Н), 7,33 (d, J=8,01 Гц, 2H), 2,38 (S, 3H). Исходный 6-хлор-2-(4-метиланилин)-2,3,4,9-тетрагидро-1H-пирроло[3,4-b]хинолин-1,3,9-трион получают следующим способом: а. 6-Хлор-2-(4-метиланилин)-2,3,4,9-тетрагидро-1Н-пирроло[3,4-b]хинолин-1,3,9-трион. К перемешиваемой суспензии диметил 7-хлор-4-гидрохинолин-2,3-дикарбоксилата (3,90 г, 13,3 мМ) и 4-метилфенил-гидразин гидрохлорида (14,8 г, 93,2 мМ) в этаноле (140 мл) добавляют триэтиламин (14,8 мл, 106,4 мМ). Полученный коричневый раствор нагревают при температуре кипения с обратным холодильником 16 часов, за это время выпадает осадок. Полученную суспензию охлаждают до комнатной температуры и фильтруют, получая соль 4-метилфенилгидразина названного в заглавии соединения в виде серого порошка (2,30 г). Этот продукт нагревают при температуре кипения с обратным холодильником в ледяной уксусной кислоте (45 мл) в течение 2 часов и охлаждают до комнатной температуры. Полученную коричневую суспензию фильтруют, получая названное в заглавии соединение (1,60 г, 34%) в виде рыжевато-коричневого порошка. Т.пл. 380-382°С; МС (CI): 354 (М+Н). Анализ для С18Н12ClN3О3·0,2Н2O: Рассчитано: С, 60,49; Н, 3,50; N, 11,76; Найдено: С, 60,66; Н, 3,26; N, 11,76. ЯМР: 13,81 (v br s, 1H, способн. к обмену), 8,39 (s, 1Н, способн. к обмену), 8,22 (d, J=8,58 Гц, 1H), 7,89 (d, J=1,97 Гц, 1H), 7,58 (dd, J=1,97, 8,58 Гц, 1H), 6,98 (d, J=8,28 Гц, 2Н), 6,73 (d, J=8,28 Гц, 2Н), 2,19 (s, 3Н). Пример 19 7-Хлор-4-гидрокси2-(4-метилфенил)-1,2,5,10-тетрагидропиридазино[4,5-b]хинолин-1,10-дион. Фильтрат, сохраненный в Примере 18 разбавляют водой (160 мл), получая рыжевато-коричневую суспензию, которую перемешивают 3 часа. Суспензию фильтруют, собранные твердые продукты промывают последовательно водой, метанол/эфиром и диэтиловым эфиром, получая названное в заглавии соединение (0,855 г, 53%) в виде рыжевато-коричневого порошка. Т.пл. 368-370°С; МС (CI): 354 (М+Н). Анализ для С18Н12ClN3О3·0,2Н2O: Рассчитано: С, 60,50; Н, 3,50; N, 11,76; Найдено: С, 60,52; Н, 3,23; N, 11,79. ЯМР: 12,75 (br s, 1H, способн. к обмену), 12,00 (br s, 1Н, способн. к обмену), 8,15 (d, J=8,61 Гц, 1Н), 8,04 (d, J=1,50 Гц, 1Н), 7,43 (т, 3Н), 7,26 (d, J=8,25 Гц, 2Н), 2,36 (s, 3Н). Пример 20 7-Хлор-1-гидрокси-3-(4-изопропилфенил)-3,4,5,10-тетрагидропиридазино[4,5-b]хинолин-4,10-дион. Перемешиваемую суспензию 6-хлор-2-(4-изопропиланилин)-2,3,4,9-тетрагидро-1Н-пирроло[3,4-b]хинолин-1,3,9-триона (1,13 г, 2,98 мМ) в растворе метанола (90 мл) и метансульфокислоты (23 мл) нагревают при температуре кипения с обратным холодильником 7 часов и охлаждают до комнатной температуры. Смесь фильтруют (фильтрат сохраняют для использования в Примере 21), собранные желтые твердые продукты промывают метанолом и диэтиловым эфиром, получая названное в заглавии соединение (0,401 г, 35%) в виде желтого порошка. Т.пл. 393-394°С; МС (CI): 382 (М+Н). Анализ для С20Н16ClN3О3·0,2Н2О: Рассчитано: С, 62,33; Н, 4,29; N, 10,90; Найдено: С, 62,16; Н, 3,98; N, 10,82. ЯМР: 13,33 (s, 1Н, способн. к обмену), 12,48 (s, 1H, способн. к обмену), 8,28 (d, J=8,76 Гц, 1H), 8,22 (d, J=1,77 Гц, 1H), 7,63-7,58 (m, 3Н), 7,40 (d, J=8,49 Гц, 2Н), 2,98 (септет, J=6,96 Гц, 1H), 1,25 (d, J=6,96 Гц, 6H). Исходный 6-хлор-2-(4-изопропиланилин)-2,3,4,9-тетрагидро-1Н-пирроло[3,4-b]хинолин-1,3,9-трион получают следующим способом: а. 6-Хлор-2-(4-изопропиланилин)-2,3,4,9-тетрагидро-1Н-пирроло[3,4-b]хинолин-1,3,9-трион. К перемешиваемой суспензии диметил 7-хлор-4-гидрохинолин-2,3-дикарбоксилата (2,01 г, 6,80 мМ) и 4-изопропилфенилгидразин гидрохлорида (8,90 г, 47,6 мМ) в этаноле (72 мл) добавляют триэтиламин (7,6 мл, 54,5 мМ), получая коричневый раствор. Этот раствор нагревают при температуре кипения с обратным холодильником 16 часов, охлаждают до комнатной температуры и затем медленно добавляют к смеси хлористоводородной кислоты (12 н., 100 мл) при энергичном перемешивании, в результате чего образуется розовая суспензия. Суспензию фильтруют и собранные твердые продукты промывают охлажденным раствором, приготовленным смешением метанола (100 мл), соляной кислоты (100 мл, 12 н.) и льда, получая соль 4-изопропилфенилгидразина названного в заглавии соединения в виде порошка пурпурного цвета (1,80 г). Этот продукт нагревают при температуре кипения с обратным холодильником в ледяной уксусной кислоте (15 мл) 3 часа, получая рыжевато-коричневую суспензию. Суспензию охлаждают до комнатной температуры и фильтруют. Собранные твердые продукты промывают ледяной уксусной кислотой (10 мл) и диэтиловым эфиром, получая названное в заглавии соединение (1,125 г, 43%) в виде рыжевато-коричневого порошка. Т.пл. 367-369°С; MC (CI): 382 (М+Н). Анализ для С20Н16ClN3О3·0,1Н2O: Рассчитано: С, 62,60; Н, 4,26; N, 10,95; Найдено: С, 62,60; Н, 4.35; N, 10,73. ЯМР: 13,82 (v br s, 1H, способн. к обмену), 8,41 (s, 1H, способн. к обмену), 8,23 (d, J=8,64 Гц, 1H), 7,89 (d, J=1,98 Гц, 1H), 7,61 (dd, J=1,98, 8,64 Гц, 1H), 7,04 (d, J=8,42 Гц, 2Н), 6,74 (d, J=8,42 Гц, 2Н), 2,78 (септет, J=6,87 Гц, 1Н), 1,15 (d, J=6,87 Гц, 6Н). Пример 21 7-Хлор-4-гидрокси-2-(4-изопропилфенил)-1,2,5,10-тетрагидропиридазино[4,5-b]хинолин-1,10-дион. Фильтрат, сохраненный в Примере 20, разбавляют водой (115 мл), получая светло-желтую суспензию, которую перемешивают 5 часов при комнатной температуре. Суспензию фильтруют и собранные твердые продукты промывают последовательно водой, водным метанолом (50%), метанол/диэтиловым эфиром и диэтиловым эфиром, что дает названное в заглавии соединение (0,418 г, 37%) в виде рыжевато-коричневого порошка. Т.пл. 323-326°С; МС (CI): 382 (М+Н). Анализ для С20Н16ClN3О3·0,5Н2O·0,1СН3SO3Н: Рассчитано: С, 60,29; Н, 4,38; N, 10,49; Найдено: С, 60,13; Н, 4,10; N, 10,40. ЯМР: 12,73 (br s, 1H, способн. к обмену), 12.00 (br s, 1H, способн. к обмену), 8,15 (d, J=8,70 Гц, 1H), 8,05 (d, J=1,74 Гц, 1H), 7,45 (m, 3H), 7,33(d, J=8,40 Гц, 2Н), 2,95 (септет, J=6,90 Гц, 1Н), 1,24 (d, J=6,90 Гц, 6Н). Пример 22 7,9-Дихлор-1-гидрокси-2-фенил-1,2,5,10-тетрагидропиридазино[4,5-b]хинолин-1,10-дион. 6,8-Дихлор-2-анилин-2,3,4,9-тетрагидро-1Н-пирроло[3,4-b]хинолин-1,3,9-трион (0,60 г, 1,60 мМ) перемешивают в метаноле (200 мл) и метансульфокислоту (20 мл) добавляют при охлаждении, поддерживая температуру ниже 20°С. Полученный оранжевый раствор перемешивают в течение ночи при комнатной температуре. Образовавшийся за ночь осадок и оранжевую суспензию нагревают при температуре кипения с обратным холодильником в течение 1 часа. Суспензию охлаждают до комнатной температуры и оставляют стоять в течение ночи без перемешивания. Суспензию фильтруют и фильтрат медленно разбавляют водой (200 мл), получая желтую суспензию. Эту суспензию перемешивают 2 часа и твердый продукт собирают и промывают водой, водным метанолом, 50% метанол/диэтиловым эфиром и диэтиловым эфиром, получая названное в заглавии соединение (0,368 г, 61%) в виде светлого рыжевато-коричневого порошка. Т.пл. 361-363°С; МС (CI): 374 (М+Н). Анализ для С17Н9Cl2Н3О3·0,30Н2O: Рассчитано: С, 53,80; Н, 2,55 N, 11,07; Найдено: С, 53,71; Н, 2,64; N, 10,97. 1H ЯМР: 12,84 (s, 1H, способн. к обмену), 11,96 (s, 1H, способн. к обмену), 8,04 (d, J=2,02 Гц, 1Н), 7,55-7,45 (m, 5Н), 7,36 (t, J=6,84 Гц, 1Н). Исходный 6,8-Дихлор-2-анилин-2,3,4,9-тетрагидро-1Н-пирроло[3,4-b]хинолин-1,3,9-трион получают нижеописанным способом: а. 6,8-Дихлор-2-анилин-2,3,4,9-тетрагидро-1Н-пирроло-[3,4-b]хинолин-1,3,9-трион. К перемешиваемой суспензии диметил 5,7-дихлор-4-гидроксихинолин-2,3-дикарбоксилата (3,00 г, 9,09 мМ) в этаноле (42 мл) добавляют фенилгидразин (6,26 мл, 63,6 мМ). Полученный зеленый раствор нагревают при температуре кипения с обратным холодильником 16 часов, за это время образуется небольшое количество красного осадка. Эту суспензию охлаждают до комнатной температуры при перемешивании, вызывая дополнительное осаждение продукта и образование густой рыжевато-коричневой суспензии. Твердые продукты собирают и промывают этанолом (этанольные промывные воды сохраняют). Собранный твердый продукт перекристаллизовывают из этанола (1,20 л), получая фенил гидразиновую соль названного в заглавии соединения (1,17 г) в виде рыжевато-коричневого порошка. Этот продукт перемешивают и нагревают при температуре кипения с обратным холодильником в ледяной уксусной кислоте (15 мл) в течение 2,5 часов и затем охлаждают до комнатной температуры при перемешивании. Полученную оранжевую суспензию фильтруют, получая названное в заглавии соединение (0,629 г, 19%) в виде оранжевого порошка, который слегка загрязнен. Аналитический образец названного в заглавии соединения получают из оставленных ранее этанольных промывных вод фильтрацией осадка, образовавшегося после того, как эти промывные воды стояли в течение нескольких часов. Перекристаллизация этого собранного рыжевато-коричневого порошка (0,126 г) из ледяной уксусной кислоты (2 мл) дает чистое названное в заглавии соединение (0,083 г) в виде оранжевого порошка. Т.пл. 364-367°С; МС (CI): 374 (М+Н). Анализ для С17Н9Cl2Н3О3·0,30Н2О·0,10СН3CO2Н: Рассчитано: С, 53,60; Н, 2,61; N, 10,90; Найдено: С, 53,49; Н, 2,77; N, 10,82. 1H ЯМР: 8,53 (s, 1Н, способн. к обмену), 7,85 (d, J=1,94 Гц, 1Н), 7,65 (d, J=1,94 Гц, 1Н), 7,18 (t, J=7,84 Гц, 2Н), 6,82 (d, J=7,84 Гц, 3Н). Пример 23 7-Хлор-1-гидрокси-3-(1-нафтил)-3,4,5,10-тетрагидропиридазино[4,5-b]хинолин-4,10-дион. 6-Хлор-2-(1-нафтиламино)-2,3,4,9-тетрагидро-1Н-пирроло[3,4-b]хинолин-1,3,9-трион (1,30 г, 3,34 мМ) перемешивают в метаноле (0,65 л) и добавляют метансульфокислоту (65 мл). Коричневую суспензию нагревают при температуре кипения с обратным холодильником 16 часов, за это время твердые продукты растворяются, образуя коричневый раствор. Этот раствор охлаждают до комнатной температуры. Добавление льда (10 мл) дает рыжевато-коричневую суспензию, которую перемешивают 1,5 часа. Суспензию фильтруют (фильтрат сохраняют для использования в Примере 24) и собранные твердые продукты промывают метанолом и диэтиловым эфиром, получая названное в заглавии соединение (0,560 г, 43%) в виде слабожелтого порошка. Т.пл. 374-376°С; МС (CI): 390 (М+Н). Анализ для С21Н12ClN3O3·0,2Н2О: Рассчитано: С, 64,10; Н, 3,18; N, 10,68; Найдено: С, 63,91; Н, 3,42; N, 10,61. 1H ЯМР: 13,40 (s, 1H, способн. к обмену), 12,58 (s, 1H, способн. к обмену), 8,35 (d, J=8,70 Гц, 1H), 8,25 (d, J=1,76 Гц, 1H), 8,12-8,07 (m, 2H), 7,74-7,53 (m, 6H). Исходный 6-хлор-2-(1-нафтиламино)-2,3,4,9-тетрагидро-1H-пирроло[3,4-b]хинолин-1,3,9-трион получают как описано ниже: а. 6-Хлор-2-(1-нафтиламино)-2,3,4,9-тетрагидро-1Н-пирроло[3,4-b]хинолин-1,3,9-трион. К перемешиваемой суспензии диметил-7-хлор-4-гидрокси-хинолин-2,3-дикарбоксилата (2,00 г, 6,80 мМ) и 1-нафтил гидразин гидрохлорида (9,26 г, 47,6 мМ) в этаноле (72 мл) добавляют триэтиламин (7,60 мл), получая коричневый раствор. После нагревания при температуре кипения с обратным холодильником в течение 4 дней, раствор охлаждают до комнатной температуры и разбавляют этилацетатом (0,30 л), получая рыжевато-коричневую суспензию. Эту суспензию фильтруют, удаляя твердые продукты, которые отбрасывают. Затем фильтрат выливают в этилацетат (500 мл), который промывают хлористоводородной кислотой (3×500 мл, 1 н). Промытый раствор разбавляют диэтиловым эфиром (250 мл), получая рыжевато-коричневую суспензию. Твердые продукты собирают, получая 1-нафтил гидразиновую соль названного в заглавии соединения в виде рыжевато-коричневого порошка (2,09 г). Этот продукт нагревают при температуре кипения с обратным холодильником в ледяной уксусной кислоте (50 мл) в течение 2 часов, охлаждают до комнатной температура и фильтруют. Собранные твердые продукты промывают ледяной уксусной кислотой и диэтиловым эфиром, получая названное в заглавии соединение (1,44 г, 54%) в виде рыжевато-коричневого порошка. Т.пл. 368°С (разложение); МС (CI): 390 (М+Н). Анализ для C21H12ClN3O3·0,30СН3CO2Н: Рассчитано: С, 63,60; Н, 3,26 N, 10,30; Найдено: С, 63,90; Н, 3,43; N, 9,97. 1H ЯМР: 9,06 (s, 1H, способн. к обмену), 8,27-8,22 (m, 2H), 7,92-7,88 (m, 2H), 7,63-7,52 (m, 3Н), 7,41 (d, J=8,17 Гц, 1H), 7,27 (t, J=7,86 Гц, 1H), 6,80 (d, J=7,86 Гц, 1H). Пример 24 7-Хлор-4-гидрокси-2-(1-нафтил)-1,2,5,10-тетрагидропиридазино[4,5-b]хинолин-1,10-дион. Фильтрат, сохраненный от Примера 23, разбавляют водой (0,75 л) и затем частично концентрируют на роторном испарителе, получая коричневую суспензию. Твердые продукты из суспензии собирают и промывают водой, метанол/диэтиловым эфиром и диэтиловым эфиром, получая коричневый порошок (0,535 г). Этот продукт нагревают при температуре кипения с обратным холодильником в метаноле (23 мл) и фильтруют горячим для удаления нерастворившихся твердых продуктов, которые отбрасывают. Фильтрат концентрируют досуха и растворяют с этилацетатом (20 мл). Полученную суспензию фильтруют и собранные твердые продукты промывают этилацетатом и диэтиловым эфиром, получая названное в заглавии соединение (0,240 г, 18%) в виде серого порошка. Т.пл. 335-337°С; МС (CI): 390 (М+Н). Анализ для C21H12ClN3O3·0,60Н2О·0,40СН3SO3Н·0,20С4Н10О·0,15С4Н8O2: Рассчитано: С, 58,60; Н, 3,88 N, 9,00; Найдено: С, 58,37; Н, 3,53; N, 9,14. 1Н ЯМР: 12,80 (br s, 1H, способн. к обмену), 12,1 (br s, 1H, способн. к обмену), 8,15-8,03 (br m, 4H), 7,67-7,50 (br m, 6H). Пример 25 7-Хлор-3-(4-фторфенил)-1-гидрокси-3,4,5,10-тетрагидропиридазино[4,5-b]хинолин-4,10-дион. Перемешиваемую суспензию 6-хлор-2-(4-фторанилин)-2,3,4,9-тетрагидро-1Н-пирроло[3,4-b]хинолин-1,3,9-триона (1,40 г, 3,90 мМ) в растворе метанола (0,73 л) и метансульфокислоты (73 мл) нагревают при температуре кипения с обратным холодильником 16 часов и охлаждают до комнатной температуры. Полученную оранжевую суспензию фильтруют (фильтрат сохраняют для использования в Примере 26) и собранные твердые продукты промывают метанолом и диэтиловым эфиром, получая названное в заглавии соединение (0,374 г, 27%) в виде светло-оранжевого порошка. Т.пл. >400°С; МС (CI): 358 (М+Н). Анализ для С17Н9ClN3О3·Н2О: Рассчитано: С, 54,30; Н, 2,95; N, 11,20; Найдено: С, 54,08; Н, 2,62; N, 10,98. 1H ЯМР: 13,38 (s, 1H, способн. к обмену), 12,51 (s, 1H, способн. к обмену), 8,30 (d, J=8,75 Гц, 1H), 8,22 (d, J=1,78 Гц, 1H), 7,76-7,71 (m, 2H), 7,63 (dd, J=1,78, 8,75 Гц, 1H), 7,40-7,35 (m, 2H). Исходный 6-хлор-2-(4-фторанилин)-2,3,4,9-тетрагидро-1Н-пирроло[3,4-b]хинолин-1,3,9-трион получают как описано ниже: а. 6-Хлор-2-(4-фторанилин)-2,3,4,9-тетрагидро-1Н-пирроло[3,4-b]хинолин-1,3,9-трион. К перемешиваемой суспензии диметил-7-хлор-4-гидрокси-хинолин-2,3-дикарбоксилата (2,59 г, 8,79 мМ) и 4-фторфенил гидразин гидрохлорида (10,00 г, 61,5 мМ) в этаноле (48 мл) добавляют триэтиламин (9,8 мл, 70,3 мМ). Полученный коричневый раствор нагревают при температуре кипения с обратным холодильником 48 часов, охлаждают до комнатной температуры и разбавляют этилацетатом (150 мл), получая белый кристаллический осадок, который удаляют фильтрацией и отбрасывают. Фильтрат промывают соляной кислотой (3×500 мл, 1 н.), что вызывает осаждение в этилацетатном слое. Осадок собирают и промывают последовательно этилацетат/диэтиловым эфиром и диэтиловым эфиром, получая 4-фторфенил гидразиновую соль названного в заглавии соединения (2,14 г). Этот продукт нагревают при температуре кипения с обратным холодильником в ледяной уксусной кислоте (20 мл) в течение 2 часов. После охлаждения уксуснокислого раствора до комнатной температуры, образовавшийся осадок и твердые продукты собирают, получая названное в заглавии соединение (1,48 г, 47%) в виде желтого порошка. Т.пл. 390-392°С; МС (CI): 358 (М+Н). Анализ для C17H9ClFN3O3·0,40Н2O: Рассчитано: С, 55,95; Н, 2,71 N, 11,51; Найдено: С, 56,01; Н, 2,67; N, 11,54. 1H ЯМР: 13,78 (br s, 1H, способн. к обмену), 8,52 (s, 1H, способн. к обмену), 8,22 (d, J=8,71 Гц, 1H), 7,89 (d, J=2,01 Гц, 1H), 7,58(dd, J=2,01, 8,71 Гц, 1H), 7,05-6,98 (m, 2H), 6,89-6,85 (m, 2H). Пример 26 7-Хлор-2-(4-фторфенил)-4-гидрокси-1,2,5,10-тетрагидропиридазино[4,5-b]хинолин-1,10-дион. Фильтрат, сохраненный от Примера 25, разбавляют водой (0,800 л), получая светло-зеленую суспензию, которую перемешивают 3 часа. Суспензию фильтруют и собранные твердые продукты промывают водой, метанол/диэтиловым эфиром и диэтиловым эфиром, получая названное в заглавии соединение (0,910 г, 65%) в виде серого порошка. Т.пл. 353-356°С; МС (CI): 358 (М+Н). Анализ для С17Н9ClFN3О3·2,00H2O·0,06СН3SO3Н: Рассчитано: С, 51,30; Н, 3,34; N, 10,52; Найдено: С, 51,58; Н, 3,00; N, 10,47. 1H ЯМР: 11,95 (br s, 1H, способн. к обмену), 12,50 (br s, 1H, способн. к обмену), 8,15 (br d, J=8,26 Гц, 1H), 8,07 (br s, 1H), 7,58 (br s, 2H), 7,43 (br d, J=8,26 Гц, 1Н), 7,29-7,24 (br m, 2H). Пример 27 3-(4-Бромфенил)-7-хлор-1-гидрокси-3,4,5,10-тетрагидропиридазино[4,5-b]хинолин-4,10-дион. Перемешиваемую суспензию 2-(4-броманилин)-6-хлор-2,3,4,9-тетрагидро-1Н-пирроло[3,4-b]хинолин-1,3,9-триона (1,00 г, 2,39 мМ) в растворе метанола (500 мл) и метансульфокислоты (50 мл) нагревают при температуре кипения с обратным холодильником 16 часов и охлаждают до комнатной температуры. Полученную желтую суспензию фильтруют (фильтрат сохраняют для использования в Примере 28). Собранные твердые продукты промывают метанолом и затем диэтиловым эфиром, получая названное в заглавии соединение (0,222 г, 22%) в виде желтого порошка. Т.пл. >400°С; МС (CI): 420 (М+Н). Анализ для С17Н9BrClN3О3·0,30Н2O: Рассчитано: С, 48,15; Н, 2,28; N, 9,91; Найдено: С, 48,15; Н, 2,36; N, 9,88. 1H ЯМР: 13,36 (s, 1H, способн. к обмену), 12,51 (s, 1H, способн. к обмену), 8,25 (d, J=8,73 Гц, 1H), 8,19 (d, J=1,55 Гц, 1H), 7,75-7,67 (m, 4H), 7,60 (dd, J=1,55, 8,73 Гц, 1H). Исходный 2-(4-броманилин)-6-хлор-2,3,4,9-тетрагидро-1H-пирроло[3,4-b]хинолин-1,3,9-трион получают приведенным ниже способом: а. 2-(4-Броманилин)-6-хлор-2,3,4,9-тетрагидро-1Н-пирроло[3,4-b]хинолин-1,3,9-трион. К перемешиваемой суспензии диметил 7-хлор-4-гидроксихинолин-2,3-дикарбоксилата (1,90 г, 6,40 мМ) и 4-бромфенил гидразин гидрохлорида (10,00 г, 44,7 мМ) в этаноле (35 мл) добавляют триэтиламин (7,1 мл, 51,1 мМ). Полученный коричневый раствор нагревают при температуре кипения с обратным холодильником 22 часа, за это время образуется рыжевато-коричневый осадок. Эту смесь охлаждают до комнатной температуры и фильтруют, получая 4-бромфенил гидразиновую соль названного в заглавии соединения в виде белого порошка (1,69 г). Этот продукт нагревают при температуре кипения с обратным холодильником в ледяной уксусной кислоте (20 мл) в течение 3 часов и охлаждают до комнатной температуры. Полученную рыжевато-коричневую суспензию фильтруют и твердые продукты промывают ледяной уксусной кислотой и затем диэти-ловым эфиром, получая названное в заглавии соединение (1,15 г, 43%) в виде рыжевато-коричневого порошка. Т.пл. 393-394°С; МС (CI): 420 (М+Н). Анализ для С17Н9BrClN3О3·0,30Н2О: Рассчитано: С, 48,77; Н, 2,17; N, 10,04; Найдено: С, 48,52; Н, 2,26; N, 10,00. 1H ЯМР: 13,84 (br s, 1H, способн. к обмену), 8,71 (s, 1H, способн. к обмену), 8,23 (d, J=8,63 Гц, 1H), 7,89 (d, J=1,98 Гц, 1H), 7,58 (dd, J=1,98, 8,63 Гц, 1H), 7,32 (d, J=8,70 Гц, 2Н), 6,84 (d, J=8,70 Гц, 2Н). Пример 28 2-(4-Бромфенил)-7-хлор-4-гидрокси-1,2,5,10-тетрагидропиридазино[4,5-b]хинолин-1,10-дион. Фильтрат, сохраненный от Примера 27, разбавляют водой (550 мл), получая рыжевато-коричневую суспензию, которую перемешивают 2 часа. Суспензию фильтруют и промывают последовательно водой, метанол/диэтиловым эфиром и диэтиловым эфиром, получая названное в заглавии соединение (0,716 г, 72%) в виде рыжевато-коричневого порошка. Т.пл. 359-361°С; МС (CI): 420 (М+Н). Анализ для С17Н9BrClN3О3·1,30Н2О: Рассчитано: С, 46,20; Н, 2,64; N, 9,51; Найдено: С, 46,26; Н, 2,66; N, 9,37. 1H ЯМР: 12,60 (br s, 1H, способн. к обмену), 11,95 (br s, 1H, способн. к обмену), 8,16 (d, J=8,61 Гц, 1H), 8,06 (d, J=1,67 Гц, 1H), 7,64 (d, J=8,78 Гц, 2H), 7,55 (d, J=8,78 Гц, 2H), 7,43 (d, J=8,61 Гц, 1H). Пример 29 7-Хлор-1-гидрокси-3-(2-метоксифенил)-3,4,5,10-тетрагидропиридазино[4,5-b]хинолин-4,10-дион. Перемешиваемую суспензию 6-хлор-2-(2-метоксианилин)-2,3,4,9-тетрагидро-1Н-пирроло[3,4-b]хинолин-1,3,9-триона (1,78 г, 4,81 мМ) в растворе метанола (285 мл) и метансульфокислоты (89 мл) нагревают при температуре кипения с обратным холодильником 8 часов, за это время образуется рыжевато-коричневый осадок. Полученную суспензию охлаждают до комнатной температуры и перемешивают 16 часов. Суспензию фильтруют (фильтрат сохраняют для использования в Примере 30), собранные твердые продукты промывают метанолом и диэтиловым эфиром, получая названное в заглавии соединение (0,889 г, 50%) в виде желтого порошка. Т.пл. 356-359°С; МС (CI): 370 (М+Н). Анализ для C18H12ClN3O4·1,20СН3ОН: Рассчитано: С, 56,50; Н, 4,15; N, 10,30; Найдено: С, 56,50; Н, 4,15; N, 10,55. 1H ЯМР: 13,34 (s, 1H, способн. к обмену), 12,45 (s, 1H, способн. к обмену), 8,30 (d, J=8,61 Гц, 1H), 8,21 (s, 1H), 7,63 (d, J=8,61 Гц, 1H), 7,48 (t, J=8,10 Гц, 1H), 7,40 (d, J=7,46 Гц, 1H), 7,23 (d, J=8,10 Гц, 1H), 7,10 (t, J=7,46 Гц, 1H), 3,77 (s, 3Н). Исходный 6-хлор-2-(2-метоксианилин)-2,3,4,9-тетрагидро-1H-пирроло[3,4-b]хинолин-1,3,9-трион готовят следующим способом: а. 6-Хлор-2-(2-метоксианилин)-2,3,4,9-тетрагидро-1Н-пирроло[3,4-b]хинолин-1,3,9-трион. К перемешиваемой суспензии диметил-7-хлор-4-гидрокси-хинолин-2,3-дикарбоксилата (0,218 г, 0,74 мМ) и 2-метоксифенил гидразин гидрохлорида (0,900 г, 5,20 мМ) в этаноле (4 мл) добавляют триэтиламин (0,83 мл, 51,9 мМ). Полученный коричневый раствор нагревают при температуре кипения с обратным холодильником 22 часа. Раствор охлаждают до комнатной температуры и в результате осаждения образуется суспензия рыжевато-коричневого цвета, которую перемешивают 16 часов. Суспензию фильтруют и собранный твердый продукт отбрасывают. Фильтрат разбавляют этилацетатом (50 мл) и промывают хлористоводородной кислотой (3×50 мл, 1 н.) и раствором соли (50 мл). Концентрация промытого раствора в токе газообразного азота дает рыжевато-коричневый порошок (0,527 г). Этот продукт нагревают при температуре кипения с обратным холодильником в ледяной уксусной кислоте (5 мл) 2 часа, получая густую рыжевато-коричневую суспензию. Эту суспензию охлаждают до комнатной температуры и перемешивают 16 часов. Суспензию фильтруют и собранные твердые продукты промывают ледяной уксусной кислотой и затем диэтиловым эфиром, получая рыжевато-коричневый порошок (0,378 г). Этот продукт перемешивают в растворе воды (5 мл) и метанола (1 мл), получая рыжевато-коричневую суспензию, которую перемешивают 16 часов. Суспензию фильтруют и собранные твердые продукты промывают последовательно водой, метанолом и затем диэтиловым эфиром, получая названное в заглавии соединение (0,126 г, 46%) в виде рыжевато-коричневого порошка. Т.пл. 390°С (разл.); МС (CI): 370 (М+Н). Анализ для C18H12ClN3O4·0,20Н2O: Рассчитано: С, 57,90; Н, 3,35; N, 11,25; Найдено: С, 57,92; Н, 3,48; N, 10,93. 1H ЯМР: 13,80 (br s, 1H, способн. к обмену), 8,23 (d, J=8,67 Гц, 1H), 7,89 (d, J=1,98 Гц, 1H), 7,79 (s, 1H, способн. к обмену), 7,58 (dd, J=1,98, 8,67 Гц, 1H), 6,97 (d, J=7,62 Гц, 1H), 6,80-6,73 (m, 3Н), 3,86 (s, 3Н). Пример 30 7-Хлор-4-гидрокси-2-(2-метоксифенил)-1,2,5,10-тетрагидропиридазино[4,5-b]хинолин-1,10-дион. Фильтрат, сохраненный от Примера 30, разбавляют водой (600 мл), получая рыжевато-коричневую суспензию, которую перемешивают при 0°С в течение 1 часа, фильтруют, удаляя твердые продукты. Фильтрат частично концентрируют в токе газообразного азота, получая белую суспензию. Эту суспензию фильтруют и объединенные твердые продукты промывают водой, получая названное в заглавии соединение (0,347 г, 19%) в виде белого порошка. Т.пл. 347-349°С; МС (CI): 370 (М+Н). Анализ для C18H12ClN3O4·1,30Н2O·0,10СН3SO3Н: Рассчитано: С, 54,00; Н, 3,75; N, 10,43; Найдено: С, 54,07; Н, 3,33; N, 10,41. 1H ЯМР: 12,68 (br s, 1H, способн. к обмену), 12,00 (br s, 1H, способн. к обмену), 8,16 (d, J=8,61 Гц, 1Н), 8,07 (s, 1H), 7,48-7,40 (m, 2H), 7,32 (d, J=7,59 Гц, 1Н), 7,16 (d, J=8,31, Гц, 1H), 7,05 (t, J=7,59 Гц, 1H), 3,75 (s, 3H). Пример 31 7-Хлор-4-гидрокси-2-(2-гидроксифенил)-1,2,5,10-тетрагидропиридазино[4,5-b]хинолин-1,10-дион. Раствор 7-хлор-4-гидрокси-2-(2-метоксифенил)-1,2,5,10-тетрагидропиридазино[4,5-b]хинолин-1,10-диона (0,288 г, 0,78 мМ) в метансульфокислоте (5 мл) нагревают при 140°С 7 часов и охлаждают до комнатной температуры. Коричневый раствор разбавляют водой (5 мл), что вызывает экзотермический разогрев до 80°С и выпадение осадка с образование коричневой суспензии. Эту суспензию разбавляют затем водой (10 мл) и фильтруют. Собранные твердые продукты промывают водой (25 мл) и диэтиловым эфиром, что дает коричневый твердый продукт (0,23 г). Этот продукт суспендируют в воде (13 мл) и добавляют раствор гидроокиси холина (45 вес.% в метаноле, 0,5 мл), получая коричневый раствор. Этот раствор нагревают до 50°С в течение 2 часов и охлаждают до комнатной температуры. Добавляют соляную кислоту (5 мл, 1 н.), получая серую суспензию. Эту суспензию фильтруют и собранные твердые продукты промывают водой и затем диэтиловым эфиром, получая названное в заглавии соединение (0,225 г, 81%) в виде серого порошка. Т.пл. >400°С; МС (CI): 356 (М+Н). Анализ для C17H10ClN3O4·0,80H2O·0,10С4Н10О: Рассчитано: С, 55,35; Н, 3,36 N, 11,13; Найдено: С, 55,53; Н, 3,00; N, 10,89. 1H ЯМР: 12,68 (s, 1H, способн. к обмену), 12,01 (s, 1H, способн. к обмену), 9,53 (s, 1H, способн. к обмену), 8,16 (d, J=8,18 Гц, 1H), 8,06 (s, 1H), 7,46 (d, J=8,18, Гц, 1Н), 7,23 (m, 2H), 6,95 (d, J=7,80 Гц, 1H), 6,87 (t, J=7,17 Гц, 1H). Пример 32 7-Хлор-4-гидрокси-3-(3-метоксифенил)-3,4,5,10-тетрагидропиридазино[4,5-b]хинолин-4,10-дион Перемешиваемую суспензию 6-хлор-2-(3-метоксианилин)-2,3,4,9-тетрагидро-1Н-пирроло[3,4-b]хинолин-1,3,9-триона (1,85 г, 5,00 мМ) в растворе метанола (0,93 л) и метансульфокислоты (93 мл) нагревают при температуре кипения с обратным холодильником 16 часов, получая рыжевато-коричневую суспензию. Эту суспензию охлаждают до комнатной температуры и перемешивают 24 часа. Суспензию фильтруют (фильтрат сохраняют для использования в Примере 33), собранные твердые продукты промывают метанолом и затем диэтиловым эфиром, что дает названное в заглавии соединение (0,385 г, 21%) в виде рыжевато-коричневого порошка. Т.пл. 393-395°С; МС (CI): 370 (М+Н). Анализ для С18Н12ClN3O4·0,50Н2O·0,05СН3ОН: Рассчитано: С, 57,00; Н, 3,50; N, 11,05; Найдено: С, 56,73; Н, 3,11; N, 10,98. 1H ЯМР: 13,35 (s, 1H, способн. к обмену), 12,47 (s, 1H, способн. к обмену), 8,28 (d, J=8,75 Гц, 1H), 8,20 (d, J=1,83 Гц, 1H), 7,60 (dd, J=1,83, 8,75 Гц, 1H), 7,47-7,42 (t, J=8,06 Гц, 1H), 7,28-7,26 (m, 2Н), 7,01 (dd, J=1,38, 8,06 Гц, 1H), 3,81 (s, 3Н). Исходный 6-хлор-2-(3-метоксианилин)-2,3,4,9-тетрагидро-1H-пирроло[3,4-b]хинолин-1,3,9-трион получают следующим способом: а. 6-Хлор-2-(3-метоксианилин)-2,3,4,9-тетрагидро-1Н-пирроло[3,4-b]хинолин-1,3,9-трион. К перемешиваемой суспензии диметил-7-хлор-4-гидроксихинолин-2,3-дикарбоксилата (4,61 г, 15,6 мМ) и 3-метоксифенил гидразин гидрохлорида (19,10 г, 109 мМ) в этаноле (84 мл) добавляют триэтиламин (17,4 мл, 125 мМ). Полученный коричневый раствор нагревают при температуре кипения с обратным холодильником 40 часов и охлаждают до комнатной температуры. Добавляют этилацетат (430 мл) для получения рыжевато-коричневой суспензии. Эту суспензию фильтруют для удаления твердых продуктов, которые отбрасывают. Фильтрат промывают хлористоводородной кислотой (3×750 мл, 1н.), что вызывает осаждение этилацетатного слоя. Этот этилацетатный раствор фильтруют, получая рыжевато-коричневый твердый продукт (0,940 г). Фильтрат сохраняют. Объединенные хлористо-водородные промывные воды повторно экстрагируют этилацетатом и эти экстракты объединяют с оставленным ранее этилацетатным фильтратом. Этот раствор концентрируют, получая твердый продукт, который растирают с диэтиловым эфиром/этилацетатом, получая рыжевато-коричневую суспензию. Эту суспензию фильтруют, что дает вторую порцию рыжевато-коричневого твердого вещества (1,60 г). Фильтрат концентрируют до твердого продукта с диэтиловым эфиром/этилацетатом, получая суспензию. Эту суспензию фильтруют, получая третий сбор рыжевато-коричневого твердого продукта (0,70 г). Твердые продукты сохраненные после вышеописанных фильтраций объединяют (3,24 г) и нагревают при температуре кипения с обратным холодильником в ледяной уксусной кислоте (32 мл) в течение 3 часов. Полученную суспензию охлаждают до комнатной температуры и перемешивают 16 часов. Эту суспензию фильтруют и собранные твердые продукты промывают ледяной уксусной кислотой и затем диэтиловым эфиром, получая названное в заглавии соединение (1,93 г, 33%) в виде рыжевато-коричневого порошка. Т.пл. 369°С (разл.); МС (CI): 370 (М+Н). Анализ для C18H12ClN3O4·0,50H2O: Рассчитано: С, 57,10; Н, 3,46; N, 11,10; Найдено: С, 57,21; Н, 3,53; N, 10,86. 1H ЯМР: 13,75 (br s, 1H, способн. к обмену), 8,51 (br s, 1H, способн. к обмену), 8,23 (d, J=8,69 Гц, 1H), 7,89 (d, J=1,87 Гц, 1H), 5,58 (dd, J=1,87, 8,69 Гц, 1H), 7,08 (t, J=7,96 Гц, 1H), 6,42-6,39 (m, 3Н), 3,69 (s, 3Н). Пример 33 7-Хлор-4-гидрокси-2-(3-метоксифенил)-1,2,5,10-тетрагидропиридазино[4,5-b]хинолин-1,10-дион. Фильтрат, неиспользованный и сохраненный от Примера 32, разбавляют водой/льдом (1,0 л), получая коричневую суспензию, которую перемешивают 16 часов. Суспензию фильтруют и собранные твердые продукты промывают водой и затем диэтиловым эфиром, получая названное в заглавии соединение (1,04 г, 56%) в виде рыжевато-коричневого порошка. Т.пл. 312-315°С; МС (CI): 370 (М+Н). Анализ для C18H12ClN3O4·0,20Н2О·0,10СН3SO3Н: Рассчитано: С, 56,80; Н, 3,37; N, 10,97; Найдено: С, 56,90; Н, 3,55; N, 10,93. 1H ЯМР: 8,17 (d, J=8,64 Гц, 1Н), 8,06 (d, J=l,71 Гц, 1Н), 7,43 (dd, J=1,71, 8,64 Гц, 1Н), 7,36 (t, J=8,49 Гц, 1H), 7,15-7,12 (m, 2H), 6,93 (d, J=8,49 Гц, 1Н), 3,79 (s, 3Н). Пример 34 7-Хлор-4-гидрокси-2-(3-гидроксифенил)-1,2,5,10-тетрагидропиридазино[4,5-b]хинолин-1,10-дион. Раствор 7-хлор-4-гидрокси-2-(3-метоксифенил)-1,2,5,10-тетрагидропиридазино[4,5-b]хинолин-1,10-диона (0,600 г, 1,62 мМ) в метансульфокислоте (12 мл) нагревают при 130-140°С 3,5 часа и охлаждают до комнатной температуры. Коричневый раствор разбавляют водой (36 мл), что вызывает экзотермическое выделение тепла и выделение осадка, образующего коричневую суспензию. Эту суспензию фильтруют и полученные твердые вещества промывают водой (50 мл) и диэтиловым эфиром, получая коричневый твердый продукт (0,447 г). Этот продукт суспендируют в воде (26 мл) и добавляют раствор гидроокиси холина (45 вес.% в метаноле, 1,5 мл), получая коричневый раствор. Этот раствор нагревают до 50°С 3 часа и охлаждают до комнатной температуры. Добавляют хлористоводородную кислоту (10 мл, 1н.) и получают коричневую суспензию, которую фильтруют. Собранные твердые продукты промывают водой и затем диэтиловым эфиром, получая коричневый порошок (0,302 г). Этот коричневый порошок суспендируют в метаноле и полученную суспензию концентрируют до остающегося коричневого твердого продукта. Твердый продукт суспендируют в метаноле и концентрируют два дополнительных раза, получая названное в заглавии соединение (0,260 г, 45%) в виде коричневого порошка. Т.пл. 333°С (разл.); МС (CI): 356 (М+Н). Анализ для С17Н10ClN3O4·1,0H2O·1,40HCl: Рассчитано: С, 48,1; Н, 3,18; N, 9,89; Найдено: С, 48,5; Н, 3,16; N, 9,45. 1H ЯМР: 9,6 (br s, 1Н, способн. к обмену), 8,15 (br s, 1Н), 8,06 (br s, 1Н), 7,46 (br s, 1Н), 7,23 (br s, 1Н), 6,95 (br s, 1Н), 6,75 (br s, 1Н). Пример 35 7-Хлор-4-гидрокси-2-(4-трифторметоксифенил)-1,2,5,10-тетрагидропиридазино[4,5-b]хинолин-1,10-дион. К перемешиваемой суспензии 3-карбометокси-7-хлор-4-гидроксихинолин-2-карбоновой кислоты N-2-(4-трифторметоксифенил)гидразида (600 мг, 1,3 мМ) в метаноле (85 мл) при температуре окружающей среды добавляют метансульфокислоту (3 мл). Реакционную смесь нагревают при температуре кипения с обратным холодильником 68 часов, за это время образуется небольшое количество осадка. Твердый продукт удаляют фильтрацией. Добавляют воду (150 мл) к фильтрату, получая светлую суспензию, которую отделяют вакуумной фильтрацией и сушат над пятиокисью фосфора, получая названное в заглавии соединение (467 мг, 84%) в виде твердого вещества персикового цвета. Т.пл. 320-322°С; МС (CI): 424 (М+Н). Анализ для С18Н9N3О4F3Cl·0,8Н2O: Рассчитано: С, 49,34; Н, 2,44; N, 9,59; Найдено: С, 49,01; Н, 2,10; N, 9,55. 1H ЯМР: 12,07 (br s, 1H, способн. к обмену), 8,16 (d, J=8,64 Гц, 1H), 8,06 (s, 1H), 7,71 (d, 2H, J=8,82 Гц), 7,45-7,50 (m, 3H). Исходный 3-карбометокси-7-хлор-4-гидроксихинолин-2-карбоновой кислоты N-2-(4-трифторметоксифенил)гидразид получают следующим способом: а. 3-Карбометокси-7-хлор-4-гидроксихинолин-2-карбоновая кислота К перемешиваемой суспензии диметил-7-хлор-4-гидроксихинолин-2,3-дикарбоксилата (1,0 г, 3,38 мМ) в воде (20 мл) добавляют водный раствор гидрооксинатрия (0,27 мл, 6,75 мМ). В процессе добавления суспензия растворяется. Реакционную смесь нагревают при 60°С 1 час. По окончании этого времени реакционную смесь охлаждают до комнатной температуры, и подкисляют концентрированной соляной кислотой. Продукт экстрагируют затем диэтиловым эфиром и диэтилацетатом. Органические экстракты сушат над сульфатом магния, фильтруют и концентрируют в вакууме, получая названное в заглавии соединение в виде неочищенного твердого продукта (900 мг). Этот продукт чистят перекристаллизацией, используя систему смешанного растворителя этилацетат/гексан, что дает названное в заглавии соединение (571 мг, 60%) в виде белого твердого вещества. Т.пл. 296°С (разл.); МС (CI)=238 (М+Н). Анализ для C12H8NO5Cl·0,45СН3CO2СН2СН3·0,10Н2О: Рассчитано: С, 51,30, Н, 3,68; N, 4,34; Найдено: С, 51,28; Н, 3,62; N, 3,97. 1H ЯМР: 8,22 (d, J=8,7 Гц, 1Н), 7,92 (d, J=1,8 Гц, 1Н), 7,28 (dd, J=8,7, 1,8, Гц, 1Н), 3,90 (s, 3Н). b. 3-Карбометокси-7-хлор-4-гидроксихинолин-2-карбоновой кислоты N-2-(4-трифторметоксифенил)гидразид. Свободное основание 4-(трифторметокси)фенилгидразина получают из хлористоводородной соли путем обработки суспендированной соли (400 мг, 1,75 мМ) в этилацетате (50 мл) 2н. гидроокисью натрия (50 мл). Органический слой отделяют, сушат над сульфатом магния и концентрируют в вакууме, получая свободное основание 4-(трифторметокси)фенилгидразина (325 мг, 1,69 мМ). Этот продукт помещают в безводный тетрагидрофуран (5 мл) и охлаждают до 0°С в атмосфере азота. Одновременно, 3-карбометокси-7-хлор-4-гидроксихинолин-2-карбонил хлорид получают из 3-карбометокси-7-хлор-4-гидроксихинолин-2-карбоновой кислоты (121 мг, 0,43 мМ) нагреванием при 60°С в тионилхлориде (4 мл). Через 3 часа неочищенный хлорангидрид выделяют отгонкой избытка тионил хлорида. Сырой 3-карбометокси-7-хлор-4-гидроксихинолин-2-карбонил хлорид (130 мг, 0,43 мМ) помещают затем в безводный тетрагидрофуран (3 мл) при температуре окружающей среды и добавляют через стеклянную трубку к раствору 4-(трифторметокси)фенил гидразина. Через 30 минут реакционную смесь выливают в 1,0 н. хлористоводородную кислоту, вызывающую осаждение. Твердый продукт выделяют, получая названное в заглавии соединение (185 мг, 95%) в виде не совсем белого твердого вещества. Т.пл. 346-350°С; МС 456 (М+Н). 1Н ЯМР 12,67 (s, 1H, способн. к обмену), 10,79 (s, 1H, способн. к обмену), 8,37 (br s, 1H, способн. к обмену), 8,13 (d, J=8,61 Гц, 1H), 7,83 (d, J=1,76 Гц, 1Н), 7,48 (dd, J=8,61, 1,76 Гц, 1H), 7,21 (d, J=8,50 Гц, 2Н), 6,94 (d, J=8,50 Гц, 2Н), 3,70 (s, 3Н). Пример 36 7-Хлор-3-(3-хлор-4-метоксифенил)-1-гидрокси-3,4,5,10-тетрагидропиридазино[4,5-b]хинолин-4,10-дион; Перемешиваемый раствор 3-карбометокси-7-хлор-4-гидроксихинолин-2-карбоновой кислоты N-2-(3-хлор-4-метоксифенил) гидразида (2,25 г, 5,16 мМ) в метаноле (1,13 л) и метансульфокислоте (113 мл) нагревают при температуре кипения с обратным холодильником в течение 1 часа, за это время образуется коричневый осадок. Эту суспензию охлаждают до комнатной температуры, перемешивают 16 часов и фильтруют (фильтрат сохраняют для использования в Примере 37). Собранные твердые продукты промывают метанолом и затем диэтиловым эфиром, получая названное в заглавии соединение (0,153 г, 7%) в виде желтого порошка. Т.пл. 395-396°С; МС (CI): 404 (М+Н). Анализ для С18Н11Cl2N3O4·1,20Н2О: Рассчитано: С, 50,70; Н, 3,17; N, 9,87; Найдено: С, 50,33; Н, 2,87; N, 9,61. 1H ЯМР: 13,36 (s, 1H, способн. к обмену), 12,50 (s, 1H, способн. к обмену), 8,28 (d, J=8,78 Гц, 1H), 8,22 (d, J=1,74 Гц, 1H), 7,77 (d, J=2,42, Гц, 1H), 7,67 (dd, J=2,42, 8,91 Гц, 1H), 7,62 (dd, J=1,74, 8,78 Гц, 1H), 7,30 (d, J=8,91 Гц, 1H), 3,94 (s, 3Н). Исходный 3-карбометокси-7-хлор-4-гидроксихинолин-2-карбоновой кислоты N-2-(3-хлор-4-метоксифенил) гидразид получают приведенным ниже способом: а. 3-Хлор-4-метоксифенилгидразин Раствор 3-хлор-п-анизидин гидрохлорида (10 г, 52 мМ) в соляной кислоте (48 мл, 12 н.) охлаждают до -10°С. К реакционной смеси медленно добавляют раствор нитрита натрия (3,56 г, 52 мМ) в воде (19,5 мл), так чтобы температура не превышала -5°С. Затем реакционную смесь перемешивают 1 час при 0°С. Полученный раствор соли диазония добавляют затем к охлажденному (0°С, ледяная баня) раствору дигидрата хлорида олова (44 г, 193 мМ) в соляной кислоте (29 мл, 12 н.) при такой скорости, чтобы температура не превышала 5°С. Образуется пурпурного цвета пенистая суспензия, и после добавления воды (20 мл), смесь перемешивают 3 часа при 0°С. Пурпурный твердый продукт отфильтровывают, промывают этилацетатом и затем добавляют водный раствор бикарбоната натрия. Образовавшуюся смесь растворяют в этилацетате и всю смесь фильтруют для отделения нерастворимых солей олова. Собранные соли олова промывают водой и этилацетатом. Этилацетатный слой от начальной фильтрации и этилацетат из промывных вод для солей олова объединяют, сушат над сульфатом магния и концентрируют до получения названного в заглавии соединения (4,49 г, 51%) в виде коричневого твердого продукта МС (CI): 172 (M-I). 1H ЯМР 6,94-6,90 (m, 2H), 6,71 (dd, J=2,70, 9,00 Гц, 1Н,), 3,73 (s, 3Н). b. 3-карбометокси-7-хлор-4-гидроксихинолин-2-карбоновой кислоты N-2-(3-хлор-4-метоксифенил)гидразид. К раствору 3-хлор-4-метоксифенил гидразина (4,26 г, 24,7 мМ) в тетрагидрофуране (200 мл) добавляют раствор 3-карбометокси-7-хлор-4-гидроксихинолин-2-карбонил хлорида (3,54 г, 11,8 мМ, как получено в примере 35b) в тетрагидрофуране (100 мл) при 0°С. Полученную желтую суспензию перемешивают при 0°С 30 минут и разбавляют водой (200 мл), получая желтый раствор. Этот раствор разбавляют затем соляной кислотой (600 мл, 1н.), получая суспензию рыжевато-коричневого цвета, которую перемешивают 1 час. Суспензию фильтруют (фильтрат сохраняют) и собранные твердые продукты промывают водой и затем диэтиловым эфиром, получая названное в заглавии соединение (2,30 г, 45%) в виде порошка рыжевато-коричневого цвета, МС (CI): 436 (М+Н), которое использовали в ранее описанном синтезе для 7-хлор-3-(3-хлор-4-метоксифенил)-1-гидрокси-3,4,5,10-тетрагидропиридазино[4,5-b]хинолин-4,10-диона. 1H ЯМР: 12,69 (s, 1H, способн. к обмену), 10,72 (s, 1H, способн. к обмену), 8,14 (d, J=8,50 Гц, 1H), 8,00 (br s, 1H, способн. к обмену), 7,76 (s, 1H), 7,48 (d, J=8,50 Гц, 1Н), 7,05 (d, J=8,80 Гц, 1H), 6,98 (d, J=2,28, Гц, 1H), 6,85 (dd, J=2,28, 8,80 Гц, 1H), 3,78 (s, 3Н), 3,70 (s, 3Н). После выдерживания в течение пяти дней наблюдается дальнейшее образование осадка в вышеупомянутом сохраненном кислотном фильтрате. Твердые продукты собирают, получая вещество (1,80 г), содержащее смесь названного в заглавии соединения (60%). 7-хлор-2-(3-хлор-4-метоксифенил)-1-гидрокси-1,2,5,10-тетрагидропиридазино[4,5-b]хинолин-1,10-диона (35%) и 7-хлор-3-(3-хлор-4-метоксифенил)-1-гидрокси-3,4,5,10-тетрагидропиридазино[4,5-b]хинолин-4,10-диона(5%). Пример 37 7-Хлор-2-(3-хлор-4-метоксифенил)-4-гидрокси-1,2,5,10-тетрагидропиридазино [4,5-b]хинолин-1,10-дион. Фильтрат, сохраненный от Примера 36, концентрируют приблизительно до 500 мл и разбавляют водой/льдом (1,1 л), получая светло-зеленую суспензию, которую перемешивают 3 часа. Суспензию фильтруют и собранные твердые продукты ресуспендируют в воде (500 мл) и перемешивают 16 часов. Эту суспензию фильтруют, собранные твердые продукты последовательно промывают водой, ацетонитрил/диэтиловым эфиром и затем диэтиловым эфиром, получая названное в заглавии соединение (1,42 г, 68%) в виде зеленого порошка. Т.пл. 348-351°С; МС (CI): 404 (М+Н). Анализ для С18Н11Cl2N3O4·1,20Н2О·0,50СН3SO3Н: Рассчитано: С, 46,89; Н, 3,27; N, 8,87; Найдено: С, 46,54; Н, 2,96; N, 8,91. 1Н ЯМР: 12,82 (br s, 1H, способн. к обмену), 12,05 (br s, 1H, способн. к обмену), 8,16 (d, J=9,01 Гц, 1H), 8,06 (d, J=1,56 Гц, 1H), 7,64 (dd, J=2,37 Гц, 1H), 7,52 (dd, J=2,37, 8,89 Гц, 1H), 7,45 (dd, J=1,56, 9,01 Гц, 1H), 7,23 (d, J=8,89 Гц, 1H), 3,91 (s, 3Н). Пример 38 7-Хлор-2-(2-метоксипирид-5-ил)-4-гидрокси-1,2,5,10-тетрагидропиридазино[4,5-b]хинолин-1,10-дион. К охлажденному (ледяная баня) перемешиваемому раствору 5-гидразино-2-метоксипиридина (0,839 г, 6,03 мМ) в безводном ТГФ (40 мл) добавляют по каплям раствор 3-карбометокси-7-хлор-4-гидрокси. хинолин-2-карбонилхлорида (1,67 г, 5,59 мМ) в ТГФ (40 мл). После перемешивания при 0°С в течение 3 часов реакционной смеси дают охладиться до комнатной температуры и перемешивают дополнительно 17 часов. Реакционную смесь разбавляют водой/этилацетатом (30 мл/40 мл) и рН полученной смеси доводят до 4, добавляя 2н. гидроокись натрия. Полученную смесь фильтруют и собранные органические продукты растирают затем в теплом метаноле (10 мл) и фильтруют, выделяя названное в заглавии соединение (0,17 г, 5,7%) в виде коричневого твердого продукта. Т.пл. 235-237°С (разл.); МС (CI): 371 (М+Н). Анализ для C17H11ClN4O4·1,45Н2O: Рассчитано: С, 51,45; Н, 3,53; N, 14,12; Найдено: С, 51,26; Н, 2,95; N, 14,18. 1H ЯМР: 12,88 (br s, 1H, способн. к обмену), 12,09 (br s, 1H, способн. к обмену), 8,34 (d, J=2,24 Гц, 1H), 8,16 (d, J=7,65 Гц, 1H), 8,05 (s, 1H), 7,85 (dd, J=8,7, 2,24 Гц, 1H), 7,46 (d, J=7,6, Гц, 1H), 6,93 (d, J=8,7 Гц, 1Н), 3,88 (s, 3Н). Исходные 3-карбометокси-7-хлор-4-гидроксихинолин-2-карбонилхлорид и 5-гидразин-2-метоксипиридин получают следующим способом а. 3-Карбометокси-7-хлор-4-гидроксихинолин-2-карбонил хлорид. После нагревания с обратным холодильником смеси 3-карбометокси-7-хлор-4-гидроксихинолин-2-карбоновой кислоты (1,56 г, 5,6 мМ) и тионил хлорида (5 мл, 68,5 мМ) в метиленхлориде (12 мл) в течение 2 часов, полученный мутный раствор концентрируют, оставляя твердые продукты, которые снова обрабатывают ТГФ и концентрируют, после чего остается неочищенное названное в заглавии соединение (1,67 г, 100%) в виде твердого вещества кремового цвета. b. 5-Гидразин-2-метоксипиридин К перемешиваемому охлажденному раствору (-10°С) 5-амино-2-метоксипиридина (5,01 г, 40,4 MM) в концентрированной соляной кислоте (50 мл) добавляют по каплям раствор нитрита натрия (2,9 г, 42 мМ) в воде (10 мл). После перемешивания при -10°С в течение 10 мин реакционную смесь добавляют порциями к охлажденному (-20°С) перемешиваемому раствору дигидрата хлорида двухвалентного олова (22,9 г, 101 мМ) в концентрированной соляной кислоте (15 мл). Полученную густую смесь разбавляют водой (10 мл) и концентрированной соляной кислотой (15 мл) и продолжают перемешивание при -10°С дополнительно 1 час. Затем смесь фильтруют и собранные твердые продукты промывают диэтиловым эфиром (три порции по 40 мл) и сушат в вакууме до получения неочищенной соли гидрохлорида (7,03 г, 125%) названного в заглавии соединения в виде твердого вещества розового цвета. Часть (3,97 г, 22 мМ) этого вещества суспендируют в этилацетат/диэтиловом эфире (75 мл/25 мл) и добавляют 2н. гидроокись натрия к образовавшейся перемешиваемой суспензии до достижения рН 6,5. После перемешивания в течение 15 мин органическую фазу отделяют и водную фазу экстрагируют дважды 50 мл порциями этилацетат/диэтиловым эфиром (1:1). Органические фазы объединяют, сушат (MgSO4), фильтруют и концентрируют до получения названного в заглавии соединения (0,839 г, 27%) в виде сырого твердого продукта, который используют без дальнейшей очистки. Пример 39 7-Хлор-4-гидрокси-2-(4-метокси-2-метилфенил)-1,2,5,10-тетрагидропиридазино[4,5-b]хинолин-1,10-дион. К перемешиваемой суспензии 7-хлор-3-метоксикарбонил-4-оксо-1,4-дигидрохинолин-2-карбоновой кислоты N-2-(4-метокси-2-метилфенил)гидразида (3,0 мг, 7,2 мМ) и твердых продуктов (0,6 г, 1,6 мМ смеси, состоящей из 7-хлор-4-гидрокси-2-(4-метокси-2-метилфенил)-1,2,5,10-тетрагидропиридазино[4,5-b]хинолин-1,10-диона и 6-хлор-2-(4-метокси-2-метиланилин)-2,3,4,9-тетрагидро-1Н-пиррол[3,4-b]хинолин-1,3,9-триона, собранных из концентрированного фильтрата, описанного в Примере 1а), ниже, в метаноле (500 мл) добавляют метансульфоновую кислоту (50 мл) и полученную перемешиваемую суспензию нагревают при температуре кипения с обратным холодильником 7 часов. Образовавшийся раствор перемешивают при комнатной температуре в течение ночи и затем разбавляют 600 мл лед/вода, получая рыжевато-коричневую суспензию. После перемешивания в течение 2 часов, суспензию фильтруют, получая твердый продукт (2,8 г, 100%). Перекристаллизация этого вещества из кипящего метанола (500 мл) дает названное в заглавии соединение в виде белого порошка (1,7 г, 61%). Т.пл. 354-356°С. Анализ для C19H14ClN3O4·1,5Н2O·0,2СН3ОН·0,2(C2H5)2O: Рассчитано: С, 55,60; Н, 4,62; N, 9,73; Найдено: С, 55,25; Н, 4,35; N, 9,60. 1H ЯМР (ДМСО-d6): 12,74 (br s, 1H, способн. к обмену), 12,00 (br s, 1H, способн. к обмену), 8,16 (d, J=8,8 Гц, 1H), 8,06 (s, 1H), 7,46 (d, J=8,8 Гц, 1H), 7,21 (d, J=8,6 Гц, 1H), 6,91 (s, 1H), 6,85 (d, J=8,6 Гц, 1H), 3,79 (s, 3H), 2,08 (s, 3H). Исходный 7-хлор-3-метоксикарбонил-4-оксо-1,4-дигидро-хинолин-2-карбоновой кислоты N-2-(4-метокси-2-метилфенил)-гидразид получают следующим способом: а. 7-Хлор-3-метоксикарбонил-4-оксо-1,4-дигидрохинолин-2-карбоновой кислоты N-2-(4-метокси-2-метилфенил)гидразид. 4-Метокси-2-метилфенилгидразин гидрохлорид (4,7 г, 25 мМ) распределяют между диэтиловым эфиром (300 мл) и 2н гидроокисью натрия (50 мл). Эфирный слой отделяют и водный слой экстрагируют дополнительным количеством диэтилового эфира (300 мл). Объединенный эфирный экстракт сушат (MgSO4), фильтруют и концентрируют до остаточного свободного гидразина в виде желтого порошка. Этот гидразин растворяют в безводном тетрагидрофуране (180 мл). После охлаждения полученного янтарно-желтого раствора до 0°С раствор 7-хлор-3-метоксикарбонил-4-оксо-1,4-дигидрохинолин-2-карбонилхлорида (3,0 г, 10,0 мМ) в ТГФ (90 мл) добавляют по каплям за 15 минут. По завершении добавления, полученную желтую суспензию перемешивают при 0°С в течение 30 минут и затем 2 часа при комнатной температуре. Реакцию прерывают, добавляя 200 г воды/льда и затем 500 мл охлажденной соляной кислоты. Полученную желтую суспензию перемешивают 1 час и желтые твердые продукты собирают фильтрацией, промывают водой, затем диэтиловым эфиром и сушат на воздухе до получения названного в заглавии соединения в виде белого твердого порошка (3,3 г, 79%). Фильтрат частично концентрируют для удаления основной части ТГФ и полученную суспензию фильтруют, что дает дополнительно 0,6 г твердого вещества, содержащего (ВДЖХ анализ) 35% 7-хлор-4-гидрокси-2-(4-метокси-2-метилфенил)-1,2,5,10-тетрагидропиридазино[4,5-b]хинолин-1,10-диона и 65% 6-хлор-2-(4-метокси-2-метиланилин)-2,3,4,9-тетрагидро-1H-пирроло[3,4-b]хинолин-1,3,9-триона. 7-Хлор-3-метоксикарбонил-4-оксо-1,4-дигидрохинолин-2-карбонилхлорид, используемый в Примере 39а, получают следующим способом: b. 7-хлор-3-метоксикарбонил-4-оксо-1,4-дигидрохинолин-2-карбонил хлорид. К перемешиваемой суспензии 7-хлор-3-метоксикарбонил-4-оксо-1,4-дигидрохинолин-2-карбоновой кислоты (полученной из сложного эфира) (35,0 г, 0,124 М) в свободном от спирта хлороформе (850 мл) в атмосфере азота добавляют за одну порцию тионилхлорид (60,3 г, 37 мл, 0,507 М). Полученную смесь нагревают при температуре кипения с обратным холодильником до превращения в раствор (1,5 ч.). После охлаждения до комнатной температуры раствор концентрируют, используя роторный испаритель (температура бани = 25°С), до получения рыжевато-коричневого твердого вещества. Этот продукт сушат в вакууме при комнатной температуре в течение двух дней, что дает названный в заглавии хлорангидрид (34,7 г, 93,2%) в виде рыжевато-коричневого твердого вещества. 2-Метил-4-метоксифенилгидразин гидрохлорид, использованный в Примере 39а получают следующим способом: с. 2-Метил-4-метоксифенилгидразин гидрохлорид. Раствор нитрата натрия (5,60 г, 81,2 мМ) в воде (56 мл) добавляют в течение 20 минут к механически перемешиваемой суспензии 2-метил-4-метоксианилина (10,42 мл, 81,0 мМ) в смеси 12 н. HCl (60 мл) и воды (64 мл), выдерживаемой при -5°С. Темный раствор охлаждают до -15°С за 15 минут и добавляют в течение 30 минут раствор SnCl2·2H2O (53,3 г, 236,2 мМ) в 12 н. HCl (36 мл), поддерживая температуру между -15 и -10°С. Розовую суспензию перемешивают 30 минут при -15°С и добавляют по каплям этанол (25 мл). Суспензию перемешивают при -15°С 3 часа и фильтруют в N2 (газ). Фильтрация выполняется при -10°С (воронка с двойными стенками) и занимает 2 часа. Слежавшийся осадок отсасывают досуха и промывают 50% этанол/диэтиловым эфиром (200 мл) и диэтиловым эфиром (500 мл). Твердый продукт сушат в токе N2 (газ) 20 часов, получая хлористоводородную соль названного в заглавии соединения (8,60 г, 56%) в виде серого порошка. Т.пл.=107°С (разл.); МС (CI): 152 (М+Н). Анализ для C8H12N2O·HCl·H2O: Рассчитано: С, 46,49; Н, 7,32; N, 13,55; Найдено: С, 46,46; Н, 6,92; N, 13,00. 300 МГц 1H ЯМР (ДМСО-d6): 10,01 (s, 3H, способн. к обмену), 7,48 (br s, 1H, способн. к обмену), 6,94 (d, J=8,8 Гц, 1H), 6,77-6,74 (m, 2H), 3,70 (s, 3H), 2,19 (s, 3H). Пример 39(2) Альтернативный синтез 7-хлор-3-метоксикарбонил-4-оксо-1,4-дигидрохинолин-2-карбоновой кислоты N-2-(4-метокси-2-метилфенил)гидразида приведен ниже. 4-Метокси-2-метилфенилгидразин гидрохлорид (11,38 г, 60,32 мМ) суспендируют в сухом тетрагидрофуране (264 мл) в атмосфере аргона и обрабатывают 2,6-лутидином (14,06 мл 120,6 мМ). Эту реакционную смесь охлаждают на ледяной бане и добавляют раствор 7-хлор-3-метоксикарбонил-4-оксо-1,4-дигидрохинолин-2-карбонил хлорида (18,14 г, 60,32 мМ) в ТГФ (328 мл) со скоростью, позволяющей поддерживать температуру реакционной смеси при 2-5°С. После завершения добавления, реакционную смесь перемешивают 25 минут при 0-2°С и затем добавляют при перемешивании к охлаждаемой льдом 1,0н. HCl (1300 мл). Перемешивание продолжают несколько часов, пока смесь не превратится в свободно текущую суспензию. Твердые продукты отделяют фильтрацией, промывают водой и сушат на воздухе, получая названное в заглавии соединение (17,57 г, 70%) в виде рыжевато-коричневого твердого продукта, который циклизуют до названного в заглавии соединения (39), используя стандартные условия. Примечание: 2,6-ди-трет-бутилпиридин может быть использован вместо 2,6-лутидина(2,6-диметилпиридина) в приведенной выше методике. Пример 40 N-Метил-глюкаминовая соль 7-хлор-4-гидрокси-2-(4-метокси-2-метилфенил)-1,2,5,10-тетрагидропиридазино[4,5-b]хинолин-1,10-диона. 7-Хлор-4-гидрокси-2-(4-метокси-2-метилфенил)-1,2,5,10-тетрагидропиридазино[4,5-b]хинолин-1,10-дион (0,45 г, 1,17 мМ) перемешивают в метаноле (20 мл) и добавляют N-метил-D-глюкамин (0,23 г, 1,17 мМ) до получения прозрачного желтого раствора. Этот раствор концентрируют и остаток растворяют в воде (20 мл), получая желтый раствор. Этот раствор фильтруют через Gelman 0,45 um Acrodisc и концентрируют, получая желтый остаток. Остаток растворяют с 2-пропанолом (20 мл), получая желтую суспензию. Твердые продукты собирают и промывают 2-пропанолом, получая названное в заглавии соединение (0,20 г, 29%) в виде желтого порошка. Т.пл. 177°С (разл.). Анализ для C19H14ClN3O4·C7H18NO5·1,5Н2O: Рассчитано: С, 51,53; Н, 5,65; N, 9,24; Найдено: С, 51,17; Н, 5,28; N, 8,88. 300 МГц 1H ЯМР (ДМСО-d6): 8,14 (s, 1H), 8,10 (d, J=8,6 Гц, 1H), 7,33 (d, J=8,6 Гц, 1H), 7,06 (d, J=8,0 Гц, 1H), 6,76 (br, m, 2H), 3,84 (m, 1H), 3,76 (s, 3Н), 3,65-3,56 (m, 2Н), 3,48-3,38 (m, 3Н), 2,95-2,87 (m, 2H), 2,51-2,46 (m, 3Н), 2,02 (3, 3Н). Пример 41 7-Хлор-3-(4-хлор-2-метилфенил)-4-гидрокси-3,4,5,10-тетрагидропиридазино[4,5-b]хинолин-4,10-дион. 7-Хлор-3-метоксикарбонил-4-оксо-1,4-дигидрохинолин-2-карбоновой кислоты N-2-(4-хлор-2-метилфенил)гидразид (2,00 г, 4,76 мМ) суспендируют в метаноле (1,0 л) и добавляют быстрыми каплями при хорошем перемешивании метансульфокислоту (100 мл). Полученную желтую суспензию нагревают с обратным холодильником четыре дня, получая оранжевый раствор. Метанол (500 мл) отгоняют и концентрированный раствор охлаждают до комнатной температуры, получая желтую суспензию. Эту суспензию фильтруют (фильтрат сохраняют для использования в Примере 42). Собранные твердые продукты промывают метанолом и диэтиловым эфиром, получая названное в заглавии соединение (0,72 г, 39%) в виде желтого порошка. Т.пл. 336-339°С; МС (CI): 388 (М+Н). Анализ для С18Н11Cl2N3О3·1,15H2O: Рассчитано: С, 52,87; Н, 3,27; N, 10,28; Найдено: С, 52,51; Н, 2,87; N, 10,12. 300 МГц 1H ЯМР (ДМСО-d6): 13,40 (s, 1H, способн. к обмену), 12,55 (s, 1H, способн. к обмену), 8,30 (d, J=8,8 Гц, 1H), 8,20 (s, 1H), 7,62 (d, J=8,8 Гц, 1H), 7,53 (s, 1H), 7,43 (s, 2Н), 2,16 (s, 3H). Пример 42 7-Хлор-2-(4-хлор-2-метилфенил)-4-гидрокси-1,2,5,10-тетрагидропиридазино[4,5-b]хинолин-1,10-дион. Фильтрат, сохраненный от Примера 41, разбавляют водой (1,0 л) и полученную суспензию перемешивают 2 часа. Твердые продукты собирают, промывают водой и затем диэтиловым эфиром, получая названное в заглавии соединение (0,54 г, 29%) в виде не совсем белого порошка. Т.пл. 355-357°С; МС (CI): 388 (М+Н). Анализ для С18Н11Cl2N3О3·1,20Н2О: Рассчитано: С, 55,18; Н, 2,93; N, 10,72; Найдено: С, 55,00; Н, 2,62; N, 10,66. 300 МГц 1H ЯМР (ДМСО-d6): 12,84 (br s, 1H, способн. к обмену), 12,07 (br s, 1H, способн. к обмену), 8,16 (d, J=8,6 Гц, 1Н), 8,07 (s, 1H), 7,47-7,33 (m, 4H), 2,12 (s, 3Н). Пример 42а Альтернативно, названное в заглавии соединение получают следующим способом, приведенном в общем виде в Схеме 6, и в условиях, аналогичных описанным в Примере 82, где к перемешиваемой суспензии 2-пирролидинокарбамид-7-хлор-4-гидрокси хинолин 3-карбоновой кислоты в ТГФ добавляют DCC. Сразу же к описанной выше суспензии добавляют ТГФ раствор N-трет-бутокси карбонил-N’-4-хлор-2-метилфенил гидразина. Реакционную смесь перемешивают при комнатной температуре 4 часа. По завершении сочетания (после проверки подходящим хроматографическим способом, например, ТСХ или ВДЖХ) мочевину, являющуюся побочным продуктом, удаляют вакуумной фильтрацией. Частичная очистка с применением флэш-хроматографии и использованием 5% метанол/СН2Cl2 дает заданный гидразид. К гидразиду, суспендированному в ТГФ добавляют метансульфокислоту. Реакционную смесь перемешивают при комнатной температуре 24 часа и затем выливают в ледяную воду. Полученный осадок отделяют, сушат и растирают/обрабатывают ультразвуком с метанолом и выделяют, получая названное в заглавии соединение. Исходный 2-пирролидинокарбамид-7-хлор-4-гидроксихинолин-3-карбоновую кислоту и родственные исходные продукты получают по методикам, описанным в Примере 82а и b (ниже). Исходный N-трет-бутоксикарбонил-N’-4-хлор-2-метилфенил гидразин получают следующим способом: К суспензии 4-хлор-2-метилфенилгидразина (992 мг, 6,33 MM) и карбоната калия (1,44 г, 10…4 MM) в насыщенном водном растворе добавляют раствор ди-трет-бутил бикарбоната (1,52 г, 6,96 MM) в ТГФ (24 мл). Через 2,5 часа смесь распределяют между диэтиловым эфиром и водным слоем. Органические экстракты объединяют и промывают водой и раствором соли, сушат (MgSO4), фильтруют и концентрируют в вакууме. Сырой продукт чистят флэш колоночной хроматографией с 25% диэтиловым эфиром-гексанами в качестве элюента, получая названное в заглавии соединение (1,56 г, 96%) в виде рыжевато-коричневого твердого вещества, МС (CI): 256 (М). 300 МГц 1H ЯМР (ДМСО-d6): 8,81 (br s, 1H), 7,17 (br s, 1H), 7,00-7,08 (m, 2H), 6,55-6,62 (m, 1H), 2,09(s, 1H), 1,41 (s, 9H). Пример 43 7-Хлор-2-(2,4-диметилфенил)-4-гидрокси-1,2,5,10-тетрагидропиридазино[4,5-b]хинолин-1,10-дион. 7-Хлор-3-метоксикарбонил-4-оксо-1,4-дигидрохинолин-2-карбоновой кислоты N-2-(2,4-диметилфенил)гидразид (3,80 г, 9,50 мМ) суспендируют в метаноле (330 мл) и добавляют быстрыми каплями при хорошем перемешивании метансульфокислоту (83 мл). Полученную оранжевую суспензию нагревают при температуре кипения с обратным холодильником 20 часов, получая янтарного цвета раствор. Этот раствор охлаждают до комнатной температуры и добавляют по каплям воду (75 мл), получая желтую суспензию, которую перемешивают 2 часа. Твердые продукты отфильтровывают и фильтрат разбавляют водой (300 мл), получая желтую суспензию, которую перемешивают 20 часов. Твердые продукты собирают и промывают водой, метанол/диэтиловым эфиром, затем диэтиловым эфиром, получая неочищенное названное в заглавии соединение (1,80 г). Перекристаллизация из метанола дает названное соединение (0,58 г, 17%) в виде рыжевато-коричневого порошка. Т.пл.=349-351°С; МС (CI): 368 (М+Н). Анализ для C19H14Cl2N3O3·Н2O·0,5СН3ОН: Рассчитано: С, 56,25; Н, 4,34; N, 10,06; Найдено: С, 56,01; Н, 4,36; N, 9,90. 300 МГц 1H ЯМР (ДМСО-d6): 12,72 (br s, 1H, способн. к обмену), 12,02 (br s, 1H, способн. к обмену), 8,16 (d, J=8,7 Гц, 1H), 8,06 (s, 1H), 7,46 (d, J=8, 7 Гц, 1H), 7,18 (m, 3Н), 2,33 (s, 3H), 2,07 (s, 3Н). Исходный гидразид получают из соответствующего хлорангидрида, который получают из соответствующего сложного ди-эфира. Пример 43а Альтернативно, исходное соединение получают по общей методике, описанной в 42а, исключая использование соответствующего N-трет-бутокси карбонил-N’-2,4-метилфенилгидразина, который получают как описано в 42а, кроме 2,4-диметилфенилгидразина, взаимодействием с ди-трет-бутилдикарбонатом. Пример 44 7-Хлор-2-(3,4-дигидроксифенил)-4-гидрокси-1,2,5,10-тетрагидропиридазино[4,5-b]хинолин-1,10-дион. 7-Хлор-4-гидрокси-2-(3,4-дигидроксифенил)-1,2,5,10-тетрагидропиридазино[4,5-b]хинолин-1,10-дион (1,00 г, 2,50 мМ) нагревают при температуре кипения с обратным холодильником в 48% HBr (40 мл) 6 часов, получая оранжевую суспензию. Нагрев убирают и суспензию фильтруют, пока она еще теплая. Собранные твердые продукты промывают водой и затем диэтиловым эфиром, получая неочищенный продукт (0,94 г) в виде желтого порошка. Этот продукт перекристаллизовывают из кипящего метанола (600 мл), получая названное в заглавии соединение (0,63 г, 68%) в виде желтого порошка. Т.пл.=269-272°С; МС (CI): 372 (М+Н). Анализ для C17H10ClN3O5·0,5Н2О·0,75СН3ОН: Рассчитано: С, 52,67; Н, 3,49; N, 10,38; Найдено: С, 52,66; Н, 3,64; N, 10,14. 300 МГц 1H ЯМР (ДМСО-d6): 12,67 (br s, 1H, способн. к обмену), 11,97 (br s, 1H, способн. к обмену), 9,19 (br s, 1H, способн. к обмену), 9,10 (br s, 1H, способн. к обмену), 8,15 (d, J=8,3 Гц, 1H), 8,04 (s, 1H), 7,44 (d, J=8,3 Гц, 1H), 6,89-6,73 (m, 3H). Исходный 7-Хлор-4-гидрокси-2-(3,4-диметоксифенил)-1,2,5,10-тетрагидропиридазино[4,5-b]хинолин-1,10-дион получают как описано в Примере 45. Пример 45 7-Хлор-4-гидрокси-2-(3,4-диметоксифенил)-1,2,5,10-тетрагидропиридазино[4,5-b]хинолин-1,10-дион. 7-Хлор-3-метоксикарбонил-4-оксо-1,4-дигидрохинолин-2-карбонил хлорид (7,00 г, 23,3 мМ) растворяют в тетрагидрофуране (210 мл) и добавляют по каплям за 20 мин к охлажденному (0°С) раствору 3,4-диметоксифенилгидразина (9,80 г, 58,3 мМ) в тетрагидрофуране (420 мл) при перемешивании. Полученную коричневую суспензию перемешивают при 0°С 30 минут и 2 часа при комнатной температуре. Кашицу лед/вода (450 мл) добавляют к реакционной смеси и впоследствии 1н. HCl (1,2 л) и коричневую суспензию перемешивают 1 час. Твердые продукты отделяют фильтрацией и промывают водой и затем ди-этиловым эфиром до получения 7-хлор-3-метоксикарбонил-4-оксо-1,4-дигидроксихинолин-2-карбоновой кислоты N-2-(2,4-диметоксифенил)гидразида (15 г, влаж.). Объединенный фильтрат и промывные воды частично концентрируют, удаляя ТГФ, в результате чего образуется осадок. Этот осадок собирают и промывают водой, затем диэтиловым эфиром, получая сырой продукт – названное в заглавии соединение (2,00 г). Перекристаллизация этого сырого продукта из кипящего метанола (500 мл) дает названное в заглавии соединение (0,98 г, 10%) в виде рыжевато-коричневого порошка. Т.пл.=334-336°С; МС (CI): 400 (М+Н). Анализ для C19H14ClN3O5·СН3ОН: Рассчитано: С, 55,63; Н, 4,20; N, 9,73; Найдено: С, 55,27; Н, 4,31; N, 9,56. 300 МГц 1H ЯМР (ДМСО-d6): 12,75 (s, 1H, способн. к обмену), 12,01 (s, 1H, способн. к обмену), 8,16 (d, J=8,6 Гц, 1H), 8,05 (s, 1H), 7,45 (d, J=8,6 Гц, 1H), 7,13 (s, 1H), 7,03 (s, 2H), 3,80 (s, 3Н), 3,76 (s, 3Н). Пример 46 7-Хлор-4-гидрокси-2-(2-метилтиоэтил)-1,2,5,10-тетрагидропиридазино[4,5-b]хинолин-1,10-дион. К суспензии тиометоксида натрия (230 мг, 3,2 мМ) в диметилформамиде (20 мл), добавляют за один прием 2-(2-бромэтил)-7-хлор-4-гидрокси-1,2,5,10-тетрагидропиридазино[4,5-b]-хинолин-1,10-дион (0,4 г, 1,08 мМ, полученный в Примере 4 а заявки № 37811) в виде сухого порошка. Смесь нагревают до слабого кипения около трех часов. В это время нагрев удаляют и реакционную смесь выливают в охлажденную льдом 1,2н. HCl (100 мл) и перемешивают около одного часа. Полученный осадок отделяют вакуумной фильтрацией и промывают водой и диэтиловым эфиром, затем сушат в вакууме при 50°С, получая 330 мг (91%) названного в заглавии соединения в виде не совсем белого порошка. Т.пл.=275-277°С; МС (CI): 338 (М+Н). Анализ для С14Н12ClN3О3S: Рассчитано: С, 49,78; Н, 3,58 N, 12,44; Найдено: С, 49,73; Н, 3,73; N, 12,30. 1H ЯМР: 2,11 (s, 3H), 2,79 (t, 2H, J=7,13 Гц), 4,09(t, 2Н, J=7,08 Гц), 7,42 (dd, 1H, J=8,59, 1,6 Гц), 8,57 (d, 1H, J=1,77 Гц), 8,13 (d, 1H J=8,64 Гц), 11,8 (br s, 1H), 12,64 (br s, 1H). Пример 47 7,9-Дихлор-2-(2,4-диметилфенил)-4-гидрокси-1,2,5,10-тетрагидропиридазино[4,5-b]хинолин-1,10-дион. К перемешиваемой суспензии 5,7-дихлор-3-метоксикарбонил-4-оксо-1,4-дигидрохинолин-2-карбоновой кислоты N-2-(2,4-диметилфенил)гидразида (3,60 г, 8,31 мМ) в метаноле (151 мл) медленно добавляют метансульфокислоту (7,2 мл) и полученную смесь нагревают до температуры кипения. После 2 часов нагревания при температуре кипения с обратным холодильником реакционной смеси дают охладиться до комнатной температуры и затем фильтруют, для отделения осажденных твердых продуктов. Фильтрат разбавляют водой (150 мл), в результате чего выпадает белый осадок. Эту смесь перемешивают в течение ночи при комнатной температуре и твердые продукты собирают фильтрацией, затем промывают водой и ди-этиловым эфиром, и сушат на воздухе, получая названное в заглавии соединение в виде белого порошка (2,78 г, 84%). Т.пл. 335-336°С; МС (CI): 402 (М+Н). Анализ для C19H13Cl2N3O3·0,2Н2О: Рассчитано: С, 56,25; Н, 3,37; N, 10,09; Найдено: С, 56,23; Н, 3,33; N, 10,35. ЯМР: 12,73 (br s, 1H, способн. к обмену), 11,92 (br s, 1H, способн. к обмену), 8,03 (s, 1H), 7,51 (s, 1H), 7,17-7,08 (m, 3H), 2,32 (s, 1H), 2,06 (s, 1H). Исходный 5,7-дихлор-3-метоксикарбонил-4-оксо-1,4-ди-гидроксихинолин-2-карбоновой кислоты N-2-(2,4-диметилфенил)-гидразид получают следующим способом: а. 3-Карбометокси-5,7-дихлор-4-гидроксихинолин-2-карбоновая кислота. К перемешиваемой суспензии диметил 5,7-дихлор-4-гидроксихинолин-2,3-дикарбоксилата (4,0 г, 12,2 мМ) в воде (72 мл) добавляют водный раствор гидроокиси натрия (0,97 г, 24,2 мМ в 22 мл воды). Твердые продукты сразу же растворяются и полученный раствор нагревают при 55°С 30 мин. Реакционную смесь затем медленно охлаждают до 20°С и подкисляют добавлением 6н. соляной кислоты (4 мл), поддерживая при этом температуру ниже 20°С. Образуется осадок и после перемешивания суспензии в течение 2 часов, смесь фильтруют, собранные твердые продукты промывают последовательно водой, этанол/метанолом и диэтиловым эфиром. Сушка на воздухе дает названное соединение (2,82 г, 74%). Аналитический образец названного в заглавии соединения получают перекристаллизацией небольшой порции выделенного твердого вещества из этилацетата до получения рыжевато-коричневого твердого продукта. Т.пл. 339-340°С; Анализ для C12H7Cl2N3O5N: Рассчитано: С, 45,6; Н, 2,23; N, 4,43; Найдено: С, 45,78; Н, 2,43; N, 4,52. 1H ЯМР (MeOD): 7,82 (d, J=2,0 Гц, 1Н), 7,44 (d, J=2,0 Гц 1H), 3,86 (s, 3H). b. 3-Карбометокси-5,7-дихлор-4-гидроксихинолин-2-карбонил хлорид. Тионилхлорид (1,50 г, 12,6 мМ) добавляют к перемешиваемой суспензии 3-карбометокси-5,7-дихлор-4-гидроксихинолин-2-карбоновой кислоты (1,0 г, 3,17 мМ) в свободном от этанола хлороформе (25 мл). Полученную суспензию нагревают при температуре кипения с обратным холодильником 5 часов, в результате чего образуется раствор. Реакционной смеси дают охладиться до комнатной температуры и затем концентрируют, получая в остатке названный в заглавии хлорангидрид (0,88 г, 83%) в виде рыжевато-коричневого твердого продукта. Этот продукт используют как есть для получения гидразида кислоты. с. 5,7-Дихлор-3-метоксикарбонил-4-оксо-1,4-дигидрохинолин-2-карбоновой кислоты N-2-(2,4-диметилфенил)гидразид. 3-Карбометокси-5,7-дихлор-4-гидроксихинолин-2-карбонил хлорид (3,65 г, 11,0 мМ) растворяют в тетрагидрофуране (274 мл) и добавляют по каплям к охлажденному (0°С) раствору 2,4-диметилфенилгидразина (3,13 г, 23,0 мМ) в тетрагидрофуране (172 мл) при перемешивании. Медленно образуется коричнево-красная суспензия и полученную смесь перемешивают при 0°С 30 мин. Реакцию прерывают добавлением охлажденной воды (223 мл) и последующим добавлением 1н. HCl (669 мл). Полученную смесь перемешивают 1 час, затем фильтруют для отделения осадившихся твердых веществ. Собранные твердые продукты промывают водой и затем диэтиловым эфиром, получая, после сушки на воздухе, названное в заглавии соединение (3,60 г, 76%) в виде белого порошка, МС (CI): 434 (М+Н). 1H ЯМР (ДМСО-d6): 12,55 (br s, 1H, способн. к обмену), 10,67 (br s, 1H, способн. к обмену), 7,76 (d, J=1,6 Гц, 1H), 7,54 (d, J=1,6 Гц, 1H), 7,19 (br s, 1H, способн. к обмену), 6,91-6,76 (m, 3H), 3,69 (s, 2H), 2,19 (s, 6H). Пример 48 7-Хлор-4-гидрокси-2-(4-метокси-2-метилфенил)-1,2,5,10-тетрагидропиридазино[4,5-b]хинолин-1,10-дион натриевая соль. К перемешиваемой суспензии 7-хлор-4-гидрокси-2-(4-метокси-2-метилфенил)-1,2,5,10-тетрагидропиридазино[4,5-b]-хинолин-1,10-диона (2,00 г, 5,22 мМ) в 0,1н. гидроксиде натрия (52,2 мл, 5,22 мМ) добавляют воду (100 мл) и метанол (3 мл). После непродолжительной обработки ультразвуком твердые продукты растворяются и полученный раствор фильтруют через Gelman Glass Acrodisc фильтр (0,45 ультрам) и концентрируют досуха. Остаток растирают с изопропанолом (100 мл) и фильтруют, отделяя твердые продукты. Твердые вещества промывают несколько раз изопропанолом и затем сушат в вакууме при 100°С в течение ночи, получая названное в заглавии соединение (1,64 г, 78%) в виде желтого порошка. Т.пл. 356 (разл.). Анализ для С19Н13ClN3O4·1,0Na·0,02(СН3)2CHOH·1,8Н2O: Рассчитано: С, 52,10; Н, 3,84; N, 9,56; Найдено: С, 52,10; Н, 3,71; N, 9,40. 1H ЯМР (ДМСО-d6): 8,15-8,17 (m, 2H), 7,31 (dd, J=8,7, 2,0 Гц, 1Н), 7,11 (d, J=8,4 Гц, 1H), 6,83-6,76 (m, 2H), 3,76 (s, 3Н), 2,07 (s, 3Н). Пример 49 Холиновая соль 7-хлор-4-гидрокси-2-(4-метокси-2-метилфенил)-1,2,5,10-тетрагидропиридазино[4,5-b]хинолин-1,10-диона. К перемешиваемой суспензии 7-хлор-4-гидрокси-2-(4-метокси-2-метилфенил)-1,2,5,10-тетрагидропиридазино[4,5-b]хинолин-1,10-диона (400 мг, 1,03 мМ) в метаноле (4 мл) добавляют холин гидрохлорид (45% по весу в метаноле, 295,6 ультра-л, 1,03 мМ). После непродолжительной обработки ультразвуком, все твердые продукты растворяются и полученный раствор пропускают через Gelman Glass Acrodisc фильтр (0,45 ультра-м) наряду с дополнительным количеством метанола (8 мл). Фильтрат концентрируют досуха и оставшееся масло перемешивают с изопропанолом (15 мл) и этанолом (8 мл), что вызывает кристаллизацию. Твердые продукты собирают и сушат в вакууме при 100°С в течение ночи, получая названное в заглавии соединение (411 г, 81%) в виде желтого твердого продукта. Т.пл. 229-230°С. Анализ для С19Н13ClN3O4·C5H14NO·1,1H2O: Рассчитано: С, 56,88; Н, 5,81; N, 11,06; Найдено: С, 56,91; Н, 5,47, N, 10,98. 1H ЯМР (ДМСО-d6): 8,09-8,12 (m, 2H), 7,31 (dd, J=8,6, 2,1 Гц, 1Н), 7,07 (d, J=8,5 Гц, 1H), 6,75-6,82 (m, 2H), 3,80-3,85 (m, 2H), 3,77 (s, 3Н), 3,37-3,40 (m, 2H), 3,09 (s, 9H), 2,04 (с, 3Н). Пример 50 Холиновая соль 2-(4-бензилоксифенил)-7-хлор-4-гидрокси-1,2,5,10-тетрагидропиридазино[4,5-b]хинолин-1,10-диона К перемешиваемой суспензии 7-хлор-3-метоксикарбонил-4-оксо-1,4-дигидрохинолин-2-карбоновой кислоты N-2-(4-бензилоксифенил) гидразида (1,19 г, 2,50 мМ) в метаноле (50 мл) добавляют метансульфокислоту (2,4 мл) и полученную смесь нагревают при температуре кипения с обратным холодильником в течение 1 часа. После охлаждения до комнатной температуры, реакционную смесь фильтруют и собранные твердые продукты промывают диэтиловым эфиром и сушат на воздухе, получая 900 мг продукта, который сохраняют для дальнейшей очистки. Фильтрат разбавляют равным объемом воды и, после перемешивания в течение 30 мин, полученную суспензию фильтруют, собранные твердые продукты промывают водой и диэтиловым эфиром и сушат на воздухе, получая названное в заглавии соединение (151,8 мг) в форме свободной кислоты. Твердые продукты (900 мг), которые были первоначально собраны и сохранены, перекристаллизуют путем раствсрения в горячей смеси метанола (3,8 л) и метансульфокислоты (63 мл) и затем дают охладиться до комнатной температуры. Полученную суспензию фильтруют для удаления осадка и фильтрат разбавляют равным объемом воды и перемешивают в течение ночи. Образовавшийся в результате осадок собирают, промывают водой, диэтиловым эфиром и затем сушат на воздухе, получая названное в заглавии соединение (422,2 мг) в форме свободной кислоты (общий объединенный выход названного в заглавии соединения в виде свободной кислоты (574 мг, 52%)); MC (CI): 446 (М+Н). 300 МГц 1H ЯМР (ДМСО-d6): 12,71 (br s, 1H, способн. к обмену), 11,98 (br s, 1H, способн. к обмену), 8,14 (d, J=8,6 Гц, 1H), 8,03 (s, 1H), 7,47-7,32 (m, 9H), 7,07(d, J=8,9 Гц, 1H), 5,14 (s, 2H). К перемешиваемой суспензии 2-(4-бензилоксифенил)-7-хлор-4-гидрокси-1,2,5,10-тетрагидропиридазино[4,5-b]хинолин-1,10-диона (515 мг, 1,16 мМ) в метаноле (77 мл) добавляют гидроокись холина (45% по весу в метаноле, 0,36 мл, 1,28 мМ). Полученную смесь фильтруют для отделения небольшого количества мелких твердых частиц и фильтрат концентрируют, получая в остатке масло. Этот остаток разбавляют смесью толуол/этанол (70 мл/20 мл) и концентрируют. Остаток разбавляют окончательно порцией толуола (70 мл) и концентрируют, получая холиновую соль названного в заглавии соединения (640 мг, 99%) в виде желто-зеленого твердого продукта. Т.пл. 304-306°С; МС (FAB); 446 (M+I). 444 (M-I). Анализ для C24H16ClN3 O4·0,5Н2O·1,0C5H14NO: Рассчитано: С, 61,95; Н, 5,43 N, 9,89; Найдено: С, 62,31; Н, 5,59, N, 10,02. 300 МГц 1H ЯМР (ДМСО-d6): 8,11-8,09 (m, 2H), 7,48-7,28 (m, 8H), 7,00 (d, J=8,88 Гц, 2H), 5,13 (s, 2H), 3,83 (br s, 2H), 3,39 (br s, 2H), 3,09 (br s, 9H). а. 7-Хлор-3-метоксикарбонил-4-оксо-1,4-дигидрохинолин-2-карбоновой кислоты N-2-(4-бензилоксифенил)гидразид. 7-Хлор-3-метоксикарбонил-4-оксо-1,4-дигидрохинолин-2-карбоновой кислоты N-2-(4-бензилоксифенил)гидразид, использованный в Примере 50, получают согласно способу, использованному в Примере 41 за тем исключением, что используют 4-бензилоксифенилгидразин вместо 4-хлор-2-метилфенилгидразина. Пример 51 7-Хлор-2-(2,4-дихлорфенил)-4-гидрокси-1,2,5,10-тетрагидропиридазино[4,5-b]хинолин-1,10-дион. К перемешиваемой суспензии 7-хлор-3-метоксикарбонил-4-оксо-1,4-дигидрохинолин-2-карбоновой кислоты N-2-(2,4-дихлорфенил)гидразида (3,00 г, 6,81 мМ) в метаноле (1500 мл) добавляют метансульфокислоту (150 мл). Полученную суспензию нагревают при температуре кипения с обратным холодильником 9 дней и образовавшийся раствор затем охлаждают до температуры окружающей среды и концентрируют до половины первоначального объема, используя роторный испаритель. Полученную суспензию перемешивают при комнатной температуре 30 мин и фильтруют для отделения твердых продуктов. Фильтрат разбавляют равным объемом воды, после чего образуется осадок. Эту смесь перемешивают при температуре окружающей среды в течение ночи и затем фильтруют. Собранные твердые продукты промывают диэтиловым эфиром и затем суспендируют в метаноле (500 мл) и обрабатывают ультразвуком в течение 5 мин. Полученную смесь фильтруют для отделения твердых продуктов и фильтрат концентрируют. Остаток суспендируют в диэтиловом эфире и фильтруют. Собранные твердые продукты промывают водой и диэтиловым эфиром и затем сушат на воздухе, получая названное в заглавии соединение (198,5 г, 7%) в виде желтого твердого продукта. Т.пл. 360-361°С; МС (CI); 408 (M+I). Анализ для С17Н8ClN3О3·0,2Н2O·0,10СН3SO3Н: Рассчитано: С, 49,02; Н, 2,35; N, 9,75; Найдено: С, 48,69; Н, 2,10, N, 9,96. 300 МГц 1H ЯМР (ДМСО-d6): 12,99 (br s, 1H, способн. к обмену), 12,12 (br s, 1H, способн. к обмену), 8,15 (d, J=8,67 Гц, 1H), 8,07 (d, J=1,23 Гц, 1H), 7,85 (d, J=1,02 Гц, 1H), 7,60 (s, 2Н), 7,47 (dd, J=1,61, 8,63 Гц 1H). а. 7-Хлор-3-метоксикарбонил-4-оксо-1,4-дигидрохинолин-2-карбоновой кислоты N-2-(2,4-дихлорфенил)гидразида 7-Хлор-3-метоксикарбонил-4-оксо-1,4-дигидрохинолин-2-карбоновой кислоты N-2-(2,4-дихлорфенил) гидразид, использованный в Примере 51, получают по способу, использованному в Примере 41а за тем исключением, что 2,4-дихлорфенилгидразин используют вместо 4-хлор-2-метилфенилгидразина. Пример 52 7-Хлор-2-(2,4-дихлорфенил)-1-гидрокси-3,4,5,10-тетра-гидропиридазино[4,5-b]хинолин-4,10-дион К перемешиваемой суспензии 7-хлор-3-метоксикарбонил-4-оксо-1,4-дигидрохинолин-2-карбоновой кислоты N-2-(2,4-дихлорфенил)гидразида (1,28 г, 2,92 мМ) в метаноле (645 мл) добавляют метансульфокислоту (65 мл). Полученную суспензию нагревают при температуре кипения с обратным холодильником 10 дней и образовавшийся раствор охлаждают до температуры окружающей среды, в результате чего выпадает осадок. Смесь фильтруют, отделяя твердые продукты, и фильтрат разбавляют водой (300 мл) до образования другого осадка. Этот осадок собирают и сушат, получая названное в заглавии соединение (266,5 мг, 22%) в виде желтого твердого вещества. Т.пл. 342-343°С; МС (CI); 408 (M+I). Анализ для С17Н8Cl3N3О3·0,10СН3SO3Н·0,2Н2О: Рассчитано: С, 48,73; Н, 2,16; N, 9,95; Найдено: С, 48,69; Н, 2,10, N, 9,96. 300 МГц 1H ЯМР (ДМСО-d6): 13,50 (br s, 1H, способн. к обмену), 8.29 (d, J=8,76 Гц, 1H), 8,19 (d, J=1,26 Гц, 1H), 7,92 (d, J=1,71 Гц, 1H), 7,70-7,61 (m, 3Н). а. 7-Хлор-3-метоксикарбонил-4-оксо-1,4-дигидрохинолин-2-карбоновой кислоты N-2-(2,4-дихлорфенил)гидразид. 7-Хлор-3-метоксикарбонил-4-оксо-1,4-дигидрохинолин-2-карбоновой кислоты N-2-(2,4-дихлорфенил)гидразид, использованный в Примере 52, получают по способу, использованному в Примере 51. Пример 53 7-Хлор-4-гидрокси-2-[2-(4-метоксианилин)этил]-1,2,5,10-тетрагидропиридазино[4,5-b]хинолин-1,10-дион. 2-(2-Бромэтил)-7-хлор-4-гидрокси-1,2,5,10-тетрагидропиридазино[4,5-b]хинолин-1,10-дион (1,00 г, 2,7 мМ), полученный в Примере 4а и п-анизидин (1,33 г, 10,8 мМ) перемешивают и нагревают при температуре кипения с обратным холодильником в ДМФ (20 мл) в течение 1,5 часа, получая коричневый раствор. Раствор охлаждают до комнатной температуры и добавляют диэтиловый эфир (80 мл), получая темную суспензию. Суспензию перемешивают два часа и фильтруют. Собранные твердые продукты промывают диэтиловым эфиром (150 мл), получая названное в заглавии соединение в виде рыжевато-коричневого порошка (1,17 г, 60%). Т.пл. 239-241°С; МС (CI): 413. Анализ для C20H17ClN4O4·HBr·3,0С3Н7NO·0,5Н2О: Рассчитано: С, 48,24; Н, 5,58; N, 13,58; Найдено: С, 47,80; Н, 5,20; N, 13,93. 300 МГц 1H ЯМР (ДМСО-d6): 8,14 (d, J=8,7 Гц, 1Н), 8,09 (d, J=1,9 Гц, 1H), 7,35 (d, J=8,7 Гц, 1H), 6,75 (d, J=8,9, Гц, 2Н), 6,58 (d, J=8,9 Гц, 2Н), 3,96 (t, J=6,8 Гц, 2Н), 3,62 (s, 3Н), 3,27 (t, J=6,8 Гц, 2Н). Пример 54 7-Хлор-2-(3-хлор-4-гидроксифенил)-4-гидрокси-1,2,5,10-тетрагидропиридазино[4,5-b]хинолин-1,10-дион. 7-Хлор-2-(3-хлор-4-метоксифенил)-4-гидрокси-1,2,5,10-тетрагидропиридазино[4,5-b]хинолин-1,10-дион (получен ранее в Примере 37, 1,00 г, 2,47 мМ) перемешивают в метансульфокислоте (20 мл), получая черный раствор. Этот раствор нагревают при 145°С 6 часов и охлаждают до комнатной температуры. Добавляют воду (60 мл) до получения рыжевато-коричневой суспензии, которую перемешивают 3 часа и фильтруют. Собранные твердые продукты промывают водой и диэтиловым эфиром, получая названное в заглавии соединение в виде порошка золотистого цвета (0,98 г, 76%). Т.пл. 350-353°С; МС (CI): 390. Анализ для C17H9Cl2N3O4·H2O·1,2СН3SO3Н: Рассчитано: С, 41,76; Н, 3,04; N, 8,02; Найдено: С, 41,74; Н, 2,76; N, 7,68. 300 МГц 1H ЯМР (ДМСО-d6): 8,15 (d, J=8,5 Гц, 1Н), 8,05 (d, J=1,9 Гц, 1H), 7,53 (d, J=2,2 Гц, 1H), 7,45 (d, J=8,5 Гц, 1H), 7,33 (dd, J=2,2, 8,7 Гц, 1H), 7,03 (d, J=8,7 Гц, 2Н). Пример 55 7-Хлор-4-гидрокси-2-(4-гидрокси-2-метилфенил)-1,2,5,10-тетрагидропиридазино[4,5-b]хинолин-1,10-дион. 7-Хлор-4-гидрокси-2-(4-метокси-2-метилфенил)-1,2,5,10-тетрагидропиридазино[4,5-b]хинолин-1,10-дион (1,00 г, 2,61 мМ) перемешивают в метансульфокислоте (10 мл), получая коричневый раствор. Этот раствор нагревают при 150°С 3 часа и охлаждают до комнатной температуры. Охлажденный раствор добавляют по каплям к воде (50 мл) при перемешивании, получая серую суспензию, которую перемешивают 20 часов и фильтруют. Собранные твердые продукты промывают водой и затем суспендируют в воде (50 мл). К этой суспензии добавляют раствор гидроокиси холина (2 мл, 45 вес.% в метаноле), который растворяя твердые продукты, дает коричневый раствор. Этот раствор нагревают при температуре кипения с обратным холодильником 1 час, вносят дополнительное количество раствора гидроокиси холина (2 мл) и раствор нагревают при температуре кипения с обратным холодильником 3 часа. Раствор охлаждают до комнатной температуры и подкисляют до рН 1 1н. HCl, получая коричневую суспензию. Суспензию фильтруют и собранные твердые продукты промывают водой, получая коричневое твердое вещество. Несколько перекристаллизации из горячего метанола дают названное в заглавии соединение в виде не совсем белого порошка (0,35 г, 36%). Т.пл. 287°С (разл.); МС (CI): 370. Анализ для С18Н12ClN3O4·Н2О·0,7СН3ОН: Рассчитано: С, 54,75; Н, 4,13; N, 10,24; Найдено: С, 54,75; Н, 3,87; N, 10,18. 300 МГц 1H ЯМР (ДМСО-d6): 12,60 (br s, 1H, способн. к обмену), 12,00 (br s, 1H, способн. к обмену), 9,55 (br s, 1H, способн. к обмену), 8,16 (d, J=8,6 Гц, 1H), 8,06 (s, 1H), 7,45 (d, J=8,6 Гц, 1H), 7,07 (d, J=8,4 Гц, 1H), 6,70 (s, 1H), 6,66 (d, J=8,4 Гц, 1H), 2,00 (s, 3Н). Пример 56 7-Хлор-2-(4-хлор-2-метилфенил)-4-гидрокси-1,2,5,10-тетрагидропиридазино[4,5-b]хинолин-1,10-дион. Представлен альтернативный синтез этого соединения, описанного ранее в Примере 42. 3-Бензил-7-хлор-2-(4-хлор-2-метилфенил)-1,2,3,4,5,10-гексагидропиридазино[4,5-b]хинолин-1,4,10-трион, (0,61 г, 1,28 мМ) перемешивают в метансульфокислоте (12 мл), получая вязкий раствор янтарного цвета. Этот раствор нагревают при 45°С 6,5 часов, получая суспензию цвета зеленого горошка, которую охлаждают до комнатной температуры. Добавляют лед (50 мл) при перемешивании, получая светло-зеленую суспензию, которую фильтруют. Собранные твердые продукты промывают водой и диэтиловым эфиром, получая серый порошок (0,49 г). Часть этого порошка (0,36 г) перемешивают в метаноле и добавляют раствор гидроокиси холина (2 мл, 1М). Большинство твердых продуктов растворяется и смесь фильтруют, удаляя нерастворимые вещества. Профильтрованный раствор подкисляют до рН 1 с помощью 1н. HCl, получая рыжевато-коричневую суспензию. Метанол (2 мл) удаляют в токе газообразного N2 и суспензию фильтруют. Собранные твердые продукты промывают водой и диэтиловым эфиром, получая названное в заглавии соединение в виде не совсем белого порошка (0,30 г, 82%), идентифицированного как вещество, полученное ранее в Примере 42. Исходный 3-бензил-7-хлор-2-(4-хлор-2-метилфенил)-1,2,3,4,5,10-гексагидропиридазино[4,5-b]хинолин-1,4,10-трион получают следующим способом: а. 2-Бензилиден-1-(4-хлор-2-метилфенил)гидразин. К перемешиваемой суспензии 4-хлор-2-метилфенилгидразин гидрохлорида (1,00 г, 5,18 мМ) в этаноле (15 мл) добавляют бензальдегид (0,66 г, 6,22 мМ) и ацетат натрия (0,51 г, 6,2 мМ). После перемешивания полученной смеси в течение 3 часов при комнатной температуре, добавляют дополнительное количество бензальдегида (0,11 г, 1,3 мМ) и перемешивание продолжают 30 мин. Реакционную смесь выливают в воду и образующуюся смесь экстрагируют диэтиловым эфиром. Объединенные эфирные экстракты сушат (MgSO4), фильтруют и концентрируют до остаточного желтого масла (1,71 г), содержащего названное в заглавии соединение, смешанное с диэтилацеталем бензальдегида. Ацеталь отгоняют нагреванием (70°С) смеси в глубоком вакууме. Остаток представляет чистое названное в заглавии соединение (1,23 г, 97%) в виде оранжевого твердого вещества, которое используют как оно есть в следующей стадии. 300 МГц 1H ЯМР (CDCl3): 7,79 (s, 1H), 7,68 (s, 1H), 7,65 (s, 1H), 7,49 (d, J=6,3 Гц, 1H), 7,42-7,26 (m, 4H), 7,16 (dd, J=2,5, 6,0 Гц, 1H), 7,06 (d, J=2,5 Гц, 1Н), 2,21 (s, 3Н). b. 1-Бензил-2-(4-хлор-2-метилфенил)гидразин. К перемешиваемому раствору 2-бензилиден-1-(4-хлор-2-метилфенил)гидразина (2,40 г, 9,81 мМ) в безводном тетрагидрофуране (43 мл) добавляют по каплям раствор борана в тетрагидрофуране (4,6 мл, 1М раствора, 4,6 мМ). Выделение газа наблюдается в процессе добавления и после него. По завершении добавления реакционную смесь перемешивают 20 мин при комнатной температуре и затем тщательно насыщают газообразным хлористым водородом при комнатной температуре. Постепенно, по мере добавления газообразного HCl к реакционной смеси образуется белый осадок. После добавления HCl реакционную смесь перемешивают в течение 20 минут и затем реакцию прерывают осторожным добавлением по каплям последовательно воды (150 мл) и 10% соляной кислоты (5 мл). Полученный раствор концентрируют для удаления основного количества тетрагидрофурана. Среду в оставшейся смеси делают щелочной, добавляя твердый карбонат калия и затем экстрагируют диэтиловым эфиром. Объединенные экстракты сушат (MgSO4), фильтруют и концентрируют до остаточного бледно-желтого масла (2,38 г). Этот продукт подвергают флэш-хроматографии на силикагеле, используя в качестве элюента гексан/диэтиловый эфир (3:1). Фракции, содержащие заданный продукт объединяют и концентрируют до остаточного названного в заглавии соединения в виде желтого масла (1,30 г, 53,7%); МС (CI): 247(М+Н). 300 МГц 1H ЯМР (CDCl3): 7,22-7,41 (m, 6H), 7,14 (d, J=2,4 Гц, 1H), 7,01 (d, J=2,4 Гц), 4,90 (br s, 1H, способн. к обмену), 3,95 (s, 2H), 3,77 (br s, 1H, способн. к обмену), 1,98 (s, 3Н). с. 7-Хлор-3-метоксикарбонил-4-оксо-1,4-дигидрохинолин-2-карбоновой кислоты N-1-бензил-N-2-(4-хлор-2-метилфенил)-гидразид 7-Хлор-3-метоксикарбонил-4-оксо-1,4-дигидрохинолин-2-карбонил хлорид (0,58 г, 1,93 мМ) растворяют в тетрагидрофуране (50 мл) и добавляют по каплям за 15 минут к раствору 1-бензил-2-(4-хлор-2-метилфенил)гидразина (1,00 г, 4,05 мМ) в тетрагидрофуране (100 мл) при 0°С. Полученный раствор янтарного цвета перемешивают 45 минут при 0°С и разбавляют водой (75 мл), поддерживая при 0°С охлаждением. Полученный раствор разбавляют затем при 0°С 1н. HCl (180 мл) до образования белой суспензии. Суспензию перемешивают при 0°С 1 час и фильтруют. Собранные твердые продукты промывают 1н. HCl, водой и диэтиловым эфиром, получая после сушки на воздухе, названное в заглавии соединение в виде белого порошка (0,83 г, 84%). Т.пл. 172-175°С. Анализ для C26H21Cl2O4·0,6Н2O·0,4С4Н10О: Рассчитано: С, 60,18; Н, 4,79; N, 7,63; Найдено: С, 60,21; Н, 4,44; N, 7,70. 300 МГц 1H ЯМР (ДМСО-d6): 12,44 (s, 1H, способн. к обмену), 8,04 (d, J=8,6 Гц, 1H), 7,52 (d, J=1,4 Гц, 1Н), 7,43-7,31 (m, 6H), 7,11-6,85 (m, 3Н), 4,85 (br s, 2H), 3,69 (s, 3H), 1,76 (s, 3H). d. 3-Бензил-7-хлор-2-(4-хлор-2-метилфенил)-1,2,3,4,5,10-гексагидропиридазино[4,5-b]хинолин-1,4,10-трион. 7-Хлор-3-метоксикарбонил-4-оксо-1,4-дигидрохинолин-2-карбоновой кислоты N-1-бензил-N-2-(4-хлор-2-метилфенил)гидразид (0,92 г, 1,80 мМ) перемешивают в метаноле (37 мл) и добавляют раствор гидрооксиси холина (1,03 мл, 45 вес% в метаноле), получая бледно-коричневый раствор. Этот раствор нагревают при температуре кипения с обратным холодильником в течение 12 часов до комнатной температуры. Метанол удаляют в токе газообразного азота, получая остаток янтарного цвета. Добавляют раствор гидроокиси холина (1 мл, 45 вес.% в метаноле) и полученный густой раствор перемешивают 1 час. Добавляют метанол (40 мл) и раствор охлаждают до -15°С. Добавляют по каплям 1н. HCl (10 мл) при -15°С и перемешивании, получая белую суспензию. Метанол (15 мл) удаляют в токе газообразного N2 и суспензию фильтруют. Собранные твердые продукты промывают водой и диэтиловым эфиром, получая названное в заглавии соединение в виде не совсем белого порошка (0,76 г, 89%). Т.пл. 279-281°С; МС (CI): 478. Анализ для C25H17Cl2N3O3·H2O·0,3СН3ОН: Рассчитано: С, 60,06; Н, 4,02; N, 8,31; Найдено: С, 60,14; Н, 3,90; N, 8,34. 300 МГц 1Н ЯМР (ДМСО-d6): 12,68 (s, 1H, способн. к обмену), 8,19 (d, J=1,97 Гц, 1H), 8,16 (d, J=8,6 Гц, 1Н), 7,50 (dd, J=1,9, 8,6 Гц, 1H), 7,35-7,24 (m, 6H), 6,94-6,91 (m, 2H), 5,28 (d, J=16,3 Гц, 1H), 4,60 (d, J=16,3 Гц, 1H), 1,69 (s, 3Н). Пример 57 Натриевая соль 7,9-дихлор-2-(2,4-диметилфенил)-4-гидрокси-1,2,5,10-тетрагидропиридазино[4,5-b]хинолин-1,10-диона. Натриевая соль соединения, полученного в Примере 47. 7,9-Дихлор-2-(2,4-диметилфенил)-4-гидрокси-1,2,5,10-тетрагидропиридазино[4,5-b]хинолин-1,10-дион (получен, как описано в Примере 47, 375 мг, 0,925 мМ) растворяют в воде (20 мл), содержащей 0,1 н. гидроокись натрия (9,25 мл, 0,925 мМ) и метанол (4 мл) при вращении и обработке ультразвуком. Полученный раствор фильтруют через Gelman Glass Acrodisc фильтр (0,45 микрон) и фильтрат концентрируют досуха. Остаток растирают с изопропанолом (10 мл) и полученную смесь фильтруют. Собранные твердые продукты промывают изопропанолом (5 мл) и затем сушат в глубоком вакууме при 100°С в течение ночи, получая названное в заглавии соединение в виде желтого твердого продукта (310,4 мг, 79%). Т.пл. 369-370°С. Анализ для C19H12Cl2N3O3·1,0Na·1,70Н2О·0,02(СН3)2СНОН: Рассчитано: С, 50,32; Н, 3,12; N, 9,08; Найдено: С, 50,20; Н, 3,44; N, 9,21. 1H ЯМР (ДМСО-d6): 8,01 (d, J=2,2 Гц, 1Н), 7,28 (d, J=2,0 Гц, 1H), 7,01-7,08 (m, 3H), 2,30 (s, 3H), 2,04 (s, 3H). Примеры 58-81 представлены в Таблице 1 на страницах, соседних со страницами, содержащими формулы и схемы, перед формулой изобретения. Пример 82 7-Хлор-4-гидрокси-2-(2-фторбензил)-1,2,5,10-тетрагидропиридазино[4,5-b]хинолин-1,10-дион. К перемешиваемой суспензии 2-пирролидинокарбамид-7-хлор-4-гидроксихинолин-3-карбоновой кислоты (1,068 г, 3 мМ) в тетрагидрофуране (60 мл) при температуре окружающей среды добавляют дициклогексилкарбодиимид (0,795 г, 3,85 мМ). Тетрагидрофурановый раствор (20 мл) N-трет-бутоксикарбонил-N’-2-фторбензилгидразина (1,10 г, 4,59 мМ, получен как описано в 82с) добавляют непосредственно в вышеприведенную суспензию. Реакционную смесь перемешивают при комнатной температуре четыре часа. По окончании сочетания, мочевину в качестве побочного продукта удаляют вакуумной фильтрацией. Частичная очистка флэш колоночной хроматографией, использующей 5% метанола в метиленхлориде дает заданный гидразид (1,67 г, 3,0 мМ, 92%). К гидразиду, суспендированному в тетрагидрофуране (80 мл) добавляют метансульфокислоту (9,0 мл, 139 мМ). Реакционную смесь перемешивают при комнатной температуре 24 часа и затем выливают в ледяную воду (600 мл). Полученный осадок выделяют, сушат и растирают/обрабатывают ультразвуком с метанолом (20 мл) и выделяют, получая после сушки в вакууме при 50°С 0,733 г (65,9%) названного в заглавии соединения в виде не совсем белого твердого продукта. Т.пл. >300°С; МС (CI): 372 (М+Н). Анализ для С18Н11N3О3FCl: Рассчитано: С, 58,16; Н, 2,98 N; 11,30; Найдено: С, 57,81; Н, 3,20; N, 11,08 300 МГц 1H ЯМР (ДМСО-d6): 12,68 (s, 1H, способн. к обмену), 11,96 (s, 1H, способн. к обмену), 8,15 (d, J=8,7 Гц, 1H), 8,03 (s, 1H), 7,43 (d, 1H, J=8,6 Hz), 7,15-7,32 (m, 4H), 5,17 (s, 2H). а. Исходную 2-пирролидинокарбамид-7-хлор-4-гидроксихинолин-3-карбоновую кислоту получают следующим способом: К суспензии 3-карбометокси-2-пирролидинокарбамид-7-хлор-4-гидроксихинолина (2,52 г, 7,5 мМ) в деионизованной воде (40 мл) добавляют по каплям раствор (20 мл) водной гидроокиси калия (882 мг, 15,75 мМ). По завершении добавления, реакционную смесь нагревают до 60°С. Через 3 часа реакционную смесь фильтруют для удаления небольшого количества нерастворимого вещества. Фильтрат затем подкисляют до рН 1, что дает белый осадок. Твердый продукт выделяют вакуумной фильтрацией, промывают водой и сушат при 30°С в вакууме в течение 16 часов. Это дает заданное названное в заглавии соединение (1,5 г, 64%) в виде белого твердого вещества. Т.пл.= 225-8°С; МС (CI): 321 (М+Н). 300 МГц 1H ЯМР (ДМСО-d6): 8,28 (d, J=8,8 Гц, 1H), 7,77 (s, 1H), 7,64 (d, 1H, J=8,7 Гц), 3,52-3,57 (m, 2H), 3,17-3,19 (m, 2H), 1,83-1,98 (m, 4H). b. Исходный 3-карбометокси-2-пирролидинокарбамид-7-хлор-4-гидроксихинолин получают следующим способом: К суспензии 3-карбометокси-7-хлор-4-гидроксихинолин-2-карбоновой кислоты (2,25 г, 8,0 мМ) в тетрагидрофуране (20 мл) при температуре окружающей среды в атмосфере N2 добавляют дициклогексилкарбодиимид (1,65 г, 8,0 мМ) и пирролидин (0,596 г, 8,4 мМ). Реакционную смесь перемешивают при комнатной температуре 15 часов, после этого времени мочевину как побочный продукт, удаляют вакуумной фильтрацией. Заданный продукт чистят флэш-хроматографией на колонке, используя 5% метанол в хлороформе для получения названного в заглавии соединения (2,52 г, 94,3%) в виде рыжевато-коричневого твердого вещества. Т.пл. 215°С; МС (CI): 335 (М+Н). 300 МГц 1H ЯМР (ДМСО-d6): 8,12 (d, J=8,7 Гц, 1Н), 7,60 (d, 1H, J=1,8 Гц), 7,47 (dd, 1H, J=8,8, 2,0 Гц), 3,69 (s, 3H), 3,40-3,49 (m, 2H), 3,27-3,33 (m, 2H), 1,80-1,96 (m, 4H). Исходный N-трет-бутоксикарбонил-N’-2-фторбензилгидразин получают следующим способом: с. К смеси трет-бутилкарбазата (17,84 г, 135 мМ) и 2-фторбензилбромида (3,2 мл, 26,5 мМ) в диметилформамиде (30 мл) нагретой до 50°С добавляют триэтиламин (7,4 мл, 53,1 мМ). После перемешивания при 50°С в течение 30 мин реакционную смесь разбавляют водой и экстрагируют метиленхлоридом. Объединенные органические экстракты промывают водой, раствором соли, сушат над MgSO4 и концентрируют в вакууме. Сырой продукт чистят флэш колоночной хроматографией, используя 1:1 диэтиловый эфир:гексаны в качестве элюента. Это дает названное в заглавии соединение (5,13 г, 80%) в виде белого твердого вещества, МС (CI): 241 (М+Н). 300 МГц 1H ЯМР (ДМСО-d6): 8,27 (br s, 1H), 7,40-7,50 (m, 1H), 7,25-7,36 (m, 1H), 7,09-7,20 (m, 2H), 4,48 (br s, 1H), 3,87-3,94 (m, 2H), 1,37 (s, 9H). Пример 83 7-Хлор-1-гидрокси-3-(3-нитрофенил)-3,4,5,10-тетрагидропиридазино[4,5-b]хинолин-4,10-дион. Названное в заглавии соединение получают в основном как описано ранее в Примере 14, используя соответствующие подходящие исходные соединения для получения названного в заглавии соединения и бутанол вместо этанола. Кроме того, продукт выделяют предварительно перед обработкой в метаноле метансульфокислотой. Анализ для C17H9N4O5Cl: Рассчитано: С, 53,07; Н, 2,36; N, 11,02; Найдено: С, 53,55; Н, 2,54; N, 10,94. 1H ЯМР (ДМСО-d6): 7,63 (d, J=8,9 Гц, 1H), 7,80-7,91 (m, 1H), 8,18-8,36 (m, 4H), 8,64 (s, 1H), 12,71 (br s, 1H), 13,36 (br s, 1H). MC (CI): 385(M+H). Т.пл. (°C): >250 Пример 84 7-Хлор-2-(3-фторфенил)-4-гидрокси-1,2,5,10-тетрагидропиридазино[4,5-b]хинолин-1,10-дион. Названное в заглавии соединение получают в основном как описано ранее в Примере 15, используя соответствующие подходящие исходные соединения для получения перечисленных соединений. Анализ для С17Н9N3О3ClF: Рассчитано: С, 53,57; Н, 3,07; N, 14,56; Найдено: С, 53,55; Н, 2,94; N, 14,44. 1H ЯМР (ДМСО-d6): 7,18-7,32 (m, 1H), 7,46-7,60 (m, 4H), 8,06 (s, 1H), 8,17 (d, J=8,7 Гц, 1H), 12,09 (br s, 1H), 12,92 (br s, 1H). MC (CI): 358(M+H). Т.пл. (°C): >250 Примеры 85-94 получают, в основном, как описано ранее в Примере 35, используя подходящие соответствующие исходные соединения. Физические характеристики и выходы из предшествующего ацилгидразида представлены в Таблице 2, на страницах, предшествующих формуле изобретения. Примеры 95-103 получены, в основном, как описано ранее и Примере 80, использованием соответствующих подходящих исходные соединений из 2-пирролидино хинолин предшественников, с физическими характеристиками и выходами представленными в Таблице 3 перед формулой изобретения. Пример 104 7-Хлор-4-гидрокси-2-(2,5-дигидроксифенил)-1,2,5,10-тетрагидропиридазино[4,5-b]хинолин-1,10-дион. Суспензия 7-хлор-4-гидрокси-2-(2,5-диметоксифенил)-1,2,5,10-тетрагидропиридазино[4,5-b]хинолин-1,10-дион (0,5618 г, 1,4 мМ) оставляют кипеть в 50 мл 48% бромистоводородной кислоты. После приблизительно 45 минут суспензия превращается в оранжевый раствор. После 2 часов нагревания при температуре кипения с обратным холодильником, ВДЖХ анализ показывает, что реакция завершилась. После охлаждения раствор дает осадок, который удаляют фильтрацией и промывают водой до отсутствия кислотной реакции промывных вод. Затем твердые продукты растворяют в 4 мл 45% гидроокиси холина в метаноле и фильтруют через воронку Бюхнера с мелкопористым стеклянным фильтром для отделения твердых частиц. Подкисление конц. HCl дает рыжевато-коричневый осадок, который удаляют фильтрацией. Мокрый твердый продукт растворяют в метаноле и растворитель упаривают, получая заданный продукт (0,230 г, 44,3%) в виде рыжевато-коричневого твердого вещества. Анализ для С17Н11N3О3Cl·0,7HBr: Рассчитано: С, 47,55; Н, 2,75; N, 9,78; Найдено: С, 47,85; Н, 3,85; N, 9,70. Химическая ионизация: m+I: 372 300 МГц протон ЯМР (ДМСО-d6/ТФА-d): 12,65 (br 5, 1Н, способн. к обмену), 8,2 (d, 1Н, J=9,0 Гц), 8,12 (s, 1H), 7,47 (d, J=9,0 Гц), 6,80 (d, 1H, J=6,0 Гц), 6,74 (d, 1H), 6,70 (s, 1H). Пример 105 7-Хлор-4-гидрокси-2-(4-карбоксифенил)-1,2,5,10-тетрагидропиридазино[4,5-b]хинолин-1,10-дион. Суспензия 7-хлор-4-гидрокси-2-(4-цианофенил)-1,2,5,10-тетрагидропиридазино[4,5-b]хинолин-1,10-диона (0,400 г, 1,04 мМ) в 50 мл 1 н. КОН нагревают при температуре кипения с обратным холодильником 5 часов, течение реакции контролируют ВДЖХ. Исходная суспензия медленно превращается в желтый раствор. Как показывает ВДЖХ, полное превращение в новое вещество завершается за 5 часов. Раствор охлаждают до 0°С и подкисляют конц. HCl. При подкислении сразу же образуется осадок, который удаляют фильтрацией с отстаиванием. Желтый спекшийся осадок промывают водой и затем суспендируют в 1:1 растворе этанол:метанол и растворитель удаляют в вакууме при 50°С. Процедуру повторяют до тех пор, пока желтый порошок не превратится в свободно пересыпающийся твердый продукт (0,400 г, 100%), соответствующий заданному соединению. Анализ для C18H10N3O5Cl·2,7HCl: Рассчитано: С, 44,38; Н, 2,87 N, 9,15; Найдено: С, 44,83; Н, 2,65, N, 8,71; Химическая ионизация: m+I: 384. 300 МГц протон ЯМР (ДМСО-d6/ТФА-d): 13,04 (br s, 1H, способн. к обмену), 12,20 (br s, 1H, способн. к обмену), 8,1 (d, 1H, J=9,0 Гц), 8,08 (s, 1H), 8,03 (d, 2H, J=9,0 Гц), 7,70 (d, 2H, J=9,0 Гц), 7,465 (d, 1H). Пример 106 7-Хлор-4-гидрокси-2-(4-гидроксифенил)-1,2,5,10-тетрагидропиридазино[4,5-b]хинолин-1,10-дион. К 50 мл раствора 5:1 48% HBr:метансульфокислота добавляют 7-хлор-4-гидрокси-2-(4-метоксифенил)-1,2,5,10-тетрагидропиридазино[4,5-b]хинолин-1,10-дион (1,0328 г, 27,9 мМ). Полученную суспензию нагревают при 110°С 3,5 часа. ВДЖХ показывает полное превращение в новое соединение. Суспензию охлаждают до комнатной температуры и фильтруют через воронку Бюхнера. Желтый твердый продукт промывают 2×100 мл порциями дистиллированной воды и затем 200 мл 1:1 раствора ТГФ:диэтиловый эфир. Затем продукт промывают гексаном до тех пор, пока твердое вещество не станет свободно пересыпающимся. Перед проведением анализа это вещество сушат 72 часа на воздухе. Для этой реакции процентный выход не зарегистрирован. Анализ для C17H9N3O4Cl2·2,3HBr: Рассчитано: С, 35,43; Н, 1,97; N, 7,29; Найдено: С, 35,40; Н, 1,95; N, 6,85; Химическая ионизация: m+I: 390. 300 МГц протон ЯМР (ДМСО-d6/ТФА-d): 8,08 (s, 1H), 7,49 (s, 1H), 7,30 (d, 2H, J=8,73 Гц), 6,8 (d, 2H, J=8,73 Гц). Пример 107 7-Хлор-4-гидрокси-2-(4-карбоксамидофенил)-1,2,5,10-тетрагидропиридазино[4,5-b]хинолин-1,10-дион. В 50 мл круглодонную колбу помещают 7-хлор-4-гидрокси-2-(4-цианофенил)-1,2,5,10-тетрагидропиридазино[4,5-b]хинолин-1,10-дион (0,2040 г, 0,558 мМ). Это вещество растворяют в 6 мл H2S04 и нагревают до 50°С. Теплый раствор выливают затем в 10,0 г ледяной крошки, в результате чего образуется желтый твердый продукт. Твердый продукт удаляют из водного раствора фильтрацией с отсосом и промывают 60 мл дистиллированной воды и затем 30 мл 1н. NaHCO3. Полученную желтую пасту суспендируют в 1:1 этанол:метанол и растворитель удаляют в вакууме до тех пор, пока твердый продукт не станет свободно пересыпаться. Дополнительная промывка 60 мл метанола и затем 200 мл ТГФ дает желтый твердый продукт, который свободно пересыпается. После дополнительной сушки на воздухе получают заданный продукт (0,187 г, 87,7%) в виде твердого желтого вещества. Анализ для C18H11N4O4Cl·1,3H2SO2: Рассчитано: С, 42,37; Н, 2,68; N, 10,98; Найдено: С, 42,75; Н, 3,10; N, 10,61; FAB: m+1 277,2, 257,1, 299,1, 383,1. 300 МГц протон ЯМР (ДМСО-d6/ТФА-d): 8,23 (s, 1H), 8,10 (s, 1H), 8,05 (d, 2H, J=8,49 Гц), 7,70 (d, 2H, J=8,49 Гц), 7,465 (d, J=8,49 Гц). Пример 108 7-Хлор-4-гидрокси-2-(4-тетразолфенил)-1,2,5,10-тетрагидропиридазино[4,5-b]хинолин-1,10-дион. К 10 мл NMP добавляют 7-хлор-4-гидрокси-2-(4-цианофенил)-1,2,5,10-тетрагидропиридазино[4,5-b]хинолин-1,10-дион (0,5 г, 1,37 мМ) и впоследствии триэтиламин (0,206 г, 1,57 мМ) и азид натрия (0,534 г, 8,22 мМ). Эту суспензию энергично перемешивают и нагревают при 170°С 6 часов. К этому времени ВДЖХ анализ показывает, что реакция завершилась. Раствору дают охладиться, при этом начинает образовываться осадок. К охлажденной суспензии добавляют диэтиловый эфир до прекращения дальнейшего образования осадка. Твердый продукт удаляют фильтрацией с отсосом и промывают диэтиловым эфиром, до превращения твердого вещества в свободно пересыпающийся рыжевато-коричневый порошок. Порошок суспендируют потом в 100 мл 1н. HCl для удаления избытка азида натрия и триэтиламин гидрохлорида. Твердый продукт удаляют фильтрацией и промывают 1:1 метанол:диэтиловый эфир раствором до превращения рыжевато-коричневого твердого продукта в свободно пересыпающийся порошок. После дополнительной сушки на воздухе зарегистрирован заданный продукт (0,552 г, 99,1%). Анализ для C18H11N4O4Cl·2,4H2O: Рассчитано: С, 47,93; Н, 3,30; N, 21,73; Найдено: С, 47,36; Н, 3,32; N, 10,57; FAB: m+1 277,2, 257,1. 300 МГц протон ЯМР (ДМСО-d6/ТФА-d): 12,10 (br s, 1H, способн. к обмену), 8,19-8,12 (m, 4H), 8,065 (s, 1H), 7,85(d, 3H, J=9,00 Гц). Пример 109 7-Хлор-4-гидрокси-2-(4-N,N-диметилкарбоксамидофенил)-1,2,5,10-тетрагидропиридазино[4,5-b]хинолин-1,10-дион. В 20 мл безводного ТГФ суспендируют 7-хлор-4-гидрокси-2-(4-карбоксифенил)-1,2,5,10-тетрагидропиридазино[4,5-b]хинолин-1,10-дион (0,3436 г, 0,897 мМ) в атмосфере азота. К этой суспензии добавляют SOCl2 (0,13 мл, 1,79 мМ). Смесь нагревают затем при температуре кипения с обратным холодильником около 60 минут и добавляют 1 мл ДМФ. По окончании добавления ДМФ суспензия сразу же превращается в светло-желтый раствор, который через пять минут опять превращается, в конечном счете, в желтую суспензию. ТГФ удаляют при пониженном давлении и добавляют 10 мл ДМФ при комнатной температуре. Полученный темно-оранжевый раствор охлаждают до -10°С. К этому раствору добавляют диэтиламин (0,27 мл, 2,69 мМ). Сразу же после добавления диэтиламина образуется темно-красный осадок. Эту суспензию поддерживают охлажденной во время медленного добавления 50 мл 1н. HCl наряду с 50 мл насыщенного NaCl, приводящих к образованию желтого осадка. Осадок отделяют фильтрацией и промывают 200 мл воды и впоследствии 100 мл диэтилового эфира. Дополнительная промывка 4:1 диэтиловый эфир:метанол приводит к свободно пересыпающемуся твердому веществу. После дополнительной сушки на воздухе получают заданный продукт (0,1485 г, 38,1%) в виде желтого твердого вещества. Анализ для C22H19N4O4Cl·1,7HCl: Рассчитано: С, 52,75; Н, 4,16; N, 11,18; Найдено: С, 52,63; Н, 4,45; N, 10,85; Химическая ионизация: m+I: 439. 300 МГц протон ЯМР (ДМСО-d6/ТФА-d): 12,90 (br s, 1H, способн. к обмену), 12,08 (br s, 1H, способн. к обмену), 8,21 (s, 1H, J=9,00 Гц), 8,11 (s, 1H), 87,67 (d, 2Н, J=9,00 Гц), 7,48-7,46 (m, 3H, J=6, 15 Гц), 3,47-3,25 (br m, 4H), 1,15 (br s, 6H). Пример 110 7-Хлор-4-гидрокси-2-(4-карбоксиметилфенил)-1,2,5,10-тетрагидропиридазино[4,5-b]хинолин-l,10-дион. К 50 мл абсолютного метанола добавляют 7-хлор-4-гидрокси-2-(4-карбоксифенил)-1,2,5,10-тетрагидропиридазино-[4,5-b]хинолин-1,10-дион (0,30 г, 0,785 мМ). К этой белой суспензии добавляют две капли концентрированной H2SO4 и суспензию оставляют нагреваться при температуре кипения с обратным холодильником, контролируя реакцию ВЭЖХ в течение 26 часов. Суспензии дают охладиться до комнатной температуры, после чего суспензию разбавляют диэтиловым эфиром (100 мл), вызывая дополнительное осаждение. Осадок удаляют фильтрацией с отсосом и промывают 50 мл. 7:1 диэтиловым эфиром:метанолом. После сушки на воздухе получают заданный продукт (0,327 г, 100%), в виде белого твердого вещества. Анализ для C19H12N3O5Cl·1,5HCl: Рассчитано: С, 50,43; Н, 3,01; N, 9,21; Найдено: С, 50,91; Н, 3,60; N, 9,36; Химическая ионизация: m+I: 398. 300 МГц протон ЯМР (ДМСО-d6/ТФА-d): 8,15(d, 1Н, J=9,00 Гц), 8,05 (d, 3H), 7,75 (d, 2Н, J=9,00 Гц), 7,47 (d, 1H, J=9,00 Гц), 3,87 (s, 3H). Пример 111 7-Хлор-4-гидрокси-2-(4,4-диметил-2,5-диоксооксазолидин-1-илэтил)-1,2,5,10-тетрагидропиридазино[4,5-b]хинолин-1,10-дион. Гидрид натрия, 60% в минеральном масле (150 мг, 3,75 мМ) промывают сухим гексаном и суспендируют в диметилформамиде (20 мл). 4,4-Диметил-оксазолин-2,5-дион (580 мг, 4,5 мМ) добавляют порцией за 15 минут при комнатной температуре. Полученную смесь перемешивают 15-20 минут при комнатной температуре. По окончании этого времени исходный 7-хлор-4-гидрокси-2-(2-бромэтил)-1,2,5,10-тетрагидропиридазино[4,5-b]хинолин-1,10-дион добавляют и реакционную смесь быстро нагревают до 150°С. После приблизительно трех часов при этой температуре, нагрев убирают и реакционную смесь выливают в охлажденную льдом 1н. HCl (100 мл). Эту смесь перемешивают приблизительно 5-10 минут и фильтруют с отсосом. Полученный на фильтре осадок промывают водой и диэтиловым эфиром, затем сушат в вакууме, получая заданный продукт в виде белого твердого вещества (280 мг, 67%). Пример 112 7-Хлор-4-гидрокси-2-(2-метил-2-гидроксипропионамидоэтил)-1,2,5,10-тетрагидропиридазино[4,5-b]хинолин-1,10-дион (9740-178-1). Исходный 7-хлор-4-гидрокси-2-(4,4-диметил-2,5-диоксооксазолидин-1-илэтил)-1,2,5,10-тетрагидропиридазино[4,5-b]-хинолин-1,10-дион (400 мг, 0,95 мМ) суспендируют в воде (30 мл) при комнатной температуре. К суспензии добавляют 1н. NaOH (2,0 мл). Образуется прозрачный раствор, который нагревают при 50°С 2 часа. По прошествии этого времени добавляют 1,2н. HCl (5 мл). Смесь перемешивают еще 30 минут при 50°С, затем охлаждают до комнатной температуры. Белый осадок выделяют фильтрацией и сушат, получая заданное в заглавии соединение в виде белого твердого вещества (330 мг, 89%). Пример 113 7-Хлор-4-гидрокси-2-(2-метилтиоэтил)-1,2,5,10-тетрагидропиридазино [4,5-b]хинолин-1,10-дион. К суспензии Na3SCH3 (230 мг, 3,2 мМ) в диметилформамиде (20 мл) добавляют за одну порцию 7-хлор-4-гидрокси-2-(2-бромэтил)-1,2,5,10-тетрагидропиридазино[4,5-b]хинолин-1,10-дион в виде сухого порошка. Эту смесь нагревают до слабого кипения с обратным холодильником приблизительно в течение трех часов. Затем нагрев удаляют и реакционную смесь выливают в охлажденную льдом HCl (100 мл) и перемешивают около одного часа. Полученный осадок отделяют вакуумной фильтрацией и промывают водой и диэтиловым эфиром, затем сушат в вакууме при 50°С, получая 330 мг (91%) не совсем белого порошка. Т.пл.=275-277°С; МС: 338(M+I). ЯМР: 2,11 (s, 3Н), 2,79 (t, 2H, J=7,13 Гц), 4,09 (t, 2Н, J=7,08 Гц), 7,42 (dd, 1H, J1=8,59 Гц, J2=1,6 Гц), 8,57 (d, 1H, J=1,77 Гц), 8,13 (d, 1H, J=8,64 Гц), 11,8 (br s, 1H), 12,64 (br s, 1H). Пример 114 7-Хлор-4-гидрокси-2-(2-метилсульфонилэтил)-1,2,5,10-тетрагидропиридазино [4,5-b]хинолин-1,10-дион. К раствору 7-хлор-4-гидрокси-2-(2-метилтиоэтил)-1,2,5,10-тетрагидропиридазино[4,5-b]хинолин-1,10-диона (0,11 г, 0,33 мМ) в метаноле (5 мл) перемешиваемому при комнатной температуре, добавляют оксон, моноперсульфат соединение (250 мг, 1,0 мМ), растворенное в воде (1 мл). Полученную смесь перемешивают при комнатной температуре 17 часов. Добавляют воду (10 мл) и реакционную смесь фильтруют. Сырой продукт снова перемешивают с водой до полного удаления оксиданта. Фильтрация и вакуумная сушка дают аналитически чистый продукт в виде белого твердого вещества. Выделено 95 мг, 75%. Пример 115 7-Хлор-4-гидрокси-2-(тиофен-2-илметил)-1,2,5,10-тетра-гидропиридазино[4,5-b]хинолин-1,10-дион. К раствору 2-(тиофен-2-илметил)-трет-бутилкарбазата (1,0 г, 4,4 мМ) и 2-пирроламидо-3-карбокси-7-хлорхинолин-4-она (1,2 г, 3,6 мМ) в тетрагидрофуране (75 мл), перемешиваемому при комнатной температуре, добавляют диизопропил-карбодиимид (0,84 мл, 5,4 мМ). Эту смесь перемешивают при комнатной температуре 2,5 часа, затем фильтруют с отсосом во второй реакционный сосуд. К фильтрату (перемешиваемому при комнатной температуре) добавляют метансульфокислоту (12 мл, 185 мМ). Полученный раствор перемешивают при комнатной температуре 17 часов. ТСХ анализ к этому времени показывает завершение реакции. Реакционную смесь выливают в ледяную воду (200 мл). Эту суспензию перемешивают около 15 минут и фильтруют. Спекшийся осадок после фильтрования промывают водой и диэтиловым эфиром, затем сушат в вакууме, получая аналитически чистое заданное соединение (1,1 г, 84%). Физические характеристики для примеров 111-144 представлены в таблицах 4-8 перед формулой изобретения. Алкил(С1-С6)амино соединения легко реагируют с бензоилхлоридами, образуя алкилбензамид PQDs. Например, получен R1 в виде 2-этилбензамид производного, активный в качестве глицин рецепторного антагониста. Пример 145 Приведенные далее иллюстрированные фармацевтические дозированные формы, содержащие соединения формулы I или его фармацевтически приемлемую соль, даны для примера применения в терапевтических и профилактических целях любого из предыдущих примеров соединения (далее обозначенного здесь “соединение X”):
Приведенные выше составы могут быть получены обычными способами, хорошо известными в фармацевтической технике. Таблетки могут быть покрыты энтеросолюбильной оболочкой общепринятыми способами, например, оболочка из целлюлозы ацетатфталата. Пример 146 Приведен состав, подходящий для парентерального применения, полученный с применением соединения примера 2:
Раствор готовят, используя обычные приемы, хорошо известные в области фармацевтики. Обычно составы для этого класса соединений и их солей, не являющихся ацилированными соединениями, могут быть получены растворением активного соединения в водном растворе меглумина (N-метилглюкамина), содержащем эквимолярное количество или, если растворение затруднено, молярный избыток меглумина относительно соединения. При изготовлении составов предпочтительны соли холина. Добавки, такие как декстроза, могут быть добавлены для поддержания осмоляльности состава. Вода для инъекции добавляется для приведения раствора к конечному объему. Или же иначе, амино основания, такие как трометамин или L-аргинин, могут быть использованы для растворения активного соединения. Пример 147 Получение аналогично Примеру 146, но холиновая соль соединения Х используется вместо соединения в Примере 2. Пример 148 Получение включает использование 5%-ного водного раствора декстрозы в концентрации 10 мг/мл в холиновой соли Соединения X. Предыдущими примерами показано, что нет ограничений в использовании соединений формулы I или I’ (или II или III) и фармацевтических композиций, содержащих эти соединения, для лечения и/или предотвращения паралича и других заболеваний, связанных с ним. Следующие представленные схемы и формулы проясняют, как получить соединения изобретения. Соединения, описанные в примерах 5, 7, 16 и 20, были неактивны в in-vitro глицин рецептор пробе и специально были исключены из соединений формулы I или III.
Формула изобретения
1. Производные пиридазинохинолина формулы II, или их таутомеры, или их фармацевтически приемлемые соли: где кольцо А является ортоконденсированным фенилом, монозамещенным R4, где R4 является галогеном; R1 представляет собой (CH2)nL, где n является целым числом, принимающим значение от 1 до 6, и где L выбран из незамещенного фенила или его бензопроизводного, или L выбран из фенила или его бензопроизводного, замещенного 1 или 2 группами, выбранными из галогена, CN, CF3, (С1-С4)алкила, или L выбран из ОН, OCOR’, SOmR’ где m принимает значения 0, 1 или 2, NR’R”, при условии, что NR’R” отличен от NH2, NR’COR”, или L выбран из гетероцикла или гетероарила; где в каждом указанном выше случае любая из групп R’ или R” независимо выбраны из водорода, (С1-С4)алкила, (С3-С6)циклоалкила, фенила, фенил(С1-С4)алкила, и где любая из групп R’ или R” является либо незамещенной либо 1, 2 или 3 замещенной у атомов углерода фенилом, ОН, O-(С1-С4)алкилом где в любом из вышеуказанных случаев гетероцикл выбран из пяти-, или шестичленного гетероциклического кольца, содержащего 1, 2 или 3 гетероатома, выбранных из О, N или S, или его конденсированного бензопроизводного, указанного гетероцикла, где атом углерода является дизамещенным с образованием С5-С7 спирогруппы, и указанного гетероцикла, где атом С замещен О с образованием карбонильной группы и где в любом из вышеуказанных случаев гетероарил выбран из тиофена, фурана, имидазола, триазола, тетразола, являющихся незамещенными. 2. Соединение по п.1, где R4 является хлором. 3. Соединение по п.1, где кольцо А является 7-хлорфенилом. 4. Соединение по п.1, выбранное из группы, включающей 7-хлор-4-гидрокси-2-(2-метилтиоэтил)-1,2,5,10-тетрагидропиридазин[4,5-b]хинолин-1,10-дион; 7-хлор-4-гидрокси-2-(2-метил-2-гидроксипропионамидо-этил)-1,2,5,10-тетрагидропиридазин[4,5-b]хинолин-1,10-дион; 7-хлор-4-гидрокси-2-(фуран-2-илметил)-1,2,5,10-тетрагидропиридазин[4,5-b]хинолин-1,10-дион; или фармацевтически приемлемой соли любого из вышеуказанных соединений. 5. Соединение по п.4, представляющее собой 7-хлор-4-гидрокси-2-(2-фуран-2-ил-метил)-1,2,5,10-тетрагидропиридазино[4,5-b]хинолин-1,10-дион и имеющее следующую структурную формулу
MM4A – Досрочное прекращение действия патента СССР или патента Российской Федерации на изобретение из-за неуплаты в установленный срок пошлины за поддержание патента в силе
Дата прекращения действия патента: 21.10.2007
Извещение опубликовано: 27.07.2010 БИ: 21/2010
|
||||||||||||||||||||||||||||||||||||||||




















































