|
|
(21), (22) Заявка: 2004126823/14, 06.09.2004
(24) Дата начала отсчета срока действия патента:
06.09.2004
(43) Дата публикации заявки: 10.06.2005
(46) Опубликовано: 10.07.2006
(56) Список документов, цитированных в отчете о поиске:
RU 2207805 С2, 10.07.2003. RU 2170543 С2, 20.07.2001. ШЕВЧЕНКО Н.М. Инструментальные методы диагностики ИБС. Рациональная кардиология. Справочное руководство. – М.: Стар’ Ко, 1997, с.101-108. АВО Y et al. Electrocardiographic diagnosis of the coronary artery culprit site in ischemic heart disease. Circ J. 2003 Sep; 67(9): 775-80.
Адрес для переписки:
620142, г.Екатеринбург, а/я 129, А.И. Корякову
|
(72) Автор(ы):
Коряков Анатолий Иванович (RU)
(73) Патентообладатель(и):
Коряков Анатолий Иванович (RU)
|
(54) СПОСОБ ДИАГНОСТИКИ ИШЕМИЧЕСКОЙ БОЛЕЗНИ СЕРДЦА
(57) Реферат:
Изобретение относится к медицине, а именно к кардиологии. Проводят две провокационные пробы под контролем состояния организма на предмет появления признаков ишемической болезни сердца. При этом первую провокационную пробу проводят на безмедикаментозном фоне, вторую провокационную пробу проводят после введения терапевтической дозы антиангинального или антиишемического средства. Измеряют продолжительность действия провокационного фактора. Выполняют балльную оценку признаков ишемической болезни сердца на предмет их специфичности. 2 балла присваивают, если признак ишемической болезни сердца является высокоспецифичным по мнению врача, 1 балл – если признак ишемической болезни сердца является малоспецифичным по мнению врача. Выполняют балльную оценку эффективности использованного антиангинального или антиишемического средства. Рассчитывают диагностический коэффициент путем суммирования балльной оценки эффективности использованного антиангинального или антиишемического средства и балльных оценок признаков ишемической болезни сердца, выявленных во время провокационной пробы на безмедикаментозном фоне, но не более чем по одной балльной оценке по каждому из использованных методов контроля за состоянием организма. При этом кроме двух обязательных методов контроля за состоянием организма – расспроса и электрокардиографии, применяют от одного до трех дополнительных методов контроля за состоянием организма из следующих пяти: измерение артериального давления, эхокардиография, сцинтиграфия миокарда, однофотонная эмиссионная компьютерная томография, позитрон-эмиссионная томография. Измеряют время от начала действия провокационного фактора до появления каждого из признаков ишемической болезни сердца; признаки ишемической болезни сердца разделяют на парные – полученные в обеих провокационных пробах, и непарные – полученные только в одной из провокационных проб; рассчитывают показатель увеличения коронарного резерва. Балльную оценку эффективности использованного антиангинального или антиишемического средства выполняют с помощью показателя увеличения коронарного резерва и 2 балла присваивают при показателе увеличения коронарного резерва, равном или большем 120 секунд, 1 балл – при показателе увеличения коронарного резерва от 60 до 119 секунд, 0 баллов – при показателе увеличения коронарного резерва менее 60 секунд. Достоверность диагноза ишемической болезни сердца оценивают путем сопоставления полученного диагностического коэффициента со следующими значениями: 0,5s+3 и более – диагноз ишемической болезни сердца считают достоверным, от 0,5s+2 до 0,5s+2,5 – высоковероятным, от 0 до 0,5s+1,5 – маловероятным, где s – количество использованных методов контроля за состоянием организма. Способ позволяет повысить точность диагностики ИБС. 3 з.п. ф-лы.
Изобретение относится к медицине и может быть использовано в кардиологии и функциональной диагностике.
Поэтому в 2001 году был разработан способ диагностики ИБС путем двух провокационных проб под контролем электрокардиограммы, одну из которых проводят на безмедикаментозном фоне, а вторую – после приема нитроглицерина, причем в качестве провокационного воздействия используют физическую нагрузку, отличающийся тем, что выполняют балльную оценку ощущений пациента во время каждой из нагрузочных проб на предмет наличия боли, дискомфорта и степени типичности этой боли для стенокардии по мнению врача и 2 балла присваивают, если боль типична для стенокардии, 1 балл – если боль носит сомнительный характер, 0 баллов – если боль совершенно нетипична для стенокардии или отсутствует; балльную оценку изменений электрокардиограммы во время каждой из нагрузочных проб на предмет наличия признаков ишемии миокарда и степени их выраженности и 2 балла присваивают в случаях косовосходящего снижения сегмента ST на 200 мкВ и более через 0,08 секунды от точки j, горизонтального или косонисходящего снижения сегмента ST на 100 мкВ и более в точке j, 1 балл присваивают в случаях косовосходящего снижения сегмента ST на более чем 140, но менее чем 200 мкВ через 0,08 секунды от точки j, горизонтального или косонисходящего снижения сегмента ST на более чем 70, но менее чем 100 мкВ в точке j, элевации сегмента ST на 100 мкВ и более в отведении без Q и 0 баллов присваивают при отсутствии перечисленных электрокардиографических изменений; балльную оценку ответа на нитроглицерин, для этого вычисляют разность времени выполнения нагрузки пациентом при второй пробе и времени выполнения нагрузки при первой пробе с учетом различий в балльной оценке двух проб суммарно по ощущениям пациента и изменениям на электрокардиограмме, так, если вторая проба оценена на 2 и более баллов ниже первой, то 1 балл присваивают, когда разность времени выполнения второй и первой проб не достигает 1 мин, а 2 – когда разность времени выполнения второй и первой проб не является отрицательной величиной; если вторая проба оценена на 1 балл ниже первой, то 2 балла присваивают, когда разность времени выполнения второй и первой проб составляет не менее 1 мин, а 1 балл присваивают, когда разность времени выполнения второй и первой проб составляет до 1 мин; если обе пробы оценены одинаково, то 2 балла присваивают, когда разность времени выполнения второй и первой проб не менее 2 мин, а 1 балл присваивают, когда разность времени выполнения второй и первой проб составляет от 1 мин и более, но не достигает 2 мин; если вторая проба оценена на 1 балл выше первой, то при разности времени выполнения второй и первой проб не менее 2 мин присваивают 1 балл; если перечисленные варианты различий двух проб отсутствуют, то присваивают 0 баллов; затем вычисляют комплексную оценку парного теста путем суммирования балльной оценки ощущений пациента при первой пробе, балльной оценки изменений электрокардиограммы при первой пробе, а также балльной оценки времени выполнения нагрузки пациентом при второй пробе и времени выполнения нагрузки при первой пробе с учетом различий в балльной оценке двух проб; диагноз стенокардии напряжения считают достоверным при сумме баллов, большей или равной 4, высоковероятным при сумме баллов, равной 3, маловероятным при сумме баллов, равной 2, невозможным при сумме баллов, меньшей или равной 1 (RU 2207805 С2). Данный способ является самым точным из всех известных способов нагрузочного тестирования под контролем электрокардиограммы и наиболее близок к заявляемому (прототип). Но все же прототип имеет ряд существенных недостатков.
Один из наиболее важных недостатков связан с тем, что в прототипе используется лишь один вид провокации – физическая нагрузка. Во-первых, ряд пациентов не могут быть направлены на такое обследование в связи с невозможностью выполнения нагрузки, например, из-за ортопедических проблем, неврологических заболеваний (рассеянный склероз, синдром паркинсонизма и другие), последствий острого нарушения мозгового кровообращения и так далее. Во-вторых, ряд пациентов в силу детренированности не могут выполнить физическую нагрузку достаточной интенсивности, поэтому прототип обладает низкой чувствительностью в диагностике маломанифестных форм ИБС (изолированная безболевая ишемия миокарда, стенокардия высоких напряжений).
Другой недостаток связан с тем, что в прототипе используется только один антиангинальный препарат – нитроглицерин. Во-первых, некоторые пациенты не могут пройти данный вид диагностики из-за противопоказаний к приему нитроглицерина (индивидуальная непереносимость, выраженная артериальная гипотония). Во-вторых, у ряда больных ИБС нитроглицерин не обладает достаточным антиангинальным и антиишемическим эффектом (феномены резистентности и толерантности), что существенно снижает диагностическую информативность второй нагрузочной пробы.
Еще один недостаток заключается в том, что из объективных признаков ИБС в прототипе используются только электрокардиографические признаки. Однако электрокардиограмма часто не изменяется в ответ на развитие миокардиальной ишемии.
Задача изобретения – повышение эффективности диагностики ИБС с помощью провокационных проб.
Технический результат – более широкий охват пациентов; повышение чувствительности, специфичности и точности диагностики ИБС.
Этот технический результат достигается тем, что в способе диагностики ИБС, включающем две провокационные пробы под контролем состояния организма, одну из которых проводят на безмедикаментозном фоне, а вторую – после введения терапевтической дозы антиангинального или антиишемического средства; измерение продолжительности действия провокационного фактора; балльную оценку признаков ИБС на предмет их специфичности, и 2 балла присваивают, если признак ИБС является высокоспецифичным по мнению врача, а 1 балл – если признак ИБС является малоспецифичным по мнению врача; балльную оценку эффективности использованного антиангинального или антиишемического средства; вычисление диагностического коэффициента путем суммирования балльной оценки эффективности использованного антиангинального или антиишемического средства и балльных оценок признаков ИБС, выявленных во время провокационной пробы на безмедикаментозном фоне, но не более чем по одной балльной оценке по каждому из использованных методов контроля за состоянием организма, автором предложено:
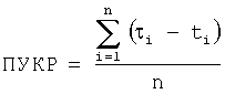
1) измерять время от начала действия провокационного фактора до появления каждого из признаков ИБС, при этом признаки ИБС разделяют на парные – полученные в обеих провокационных пробах, и непарные – полученные только в одной из провокационных проб; затем рассчитывают показатель увеличения коронарного резерва по формулам:
если n>0, 
если n=0, k=m>0, 
если n=0, k>m>0, 
если n=0, m>k>0, 
если n=m=0, k>0, 
если n=k=0, m>0, 
если n=k=m=0, 
где n – количество парных признаков ишемической болезни сердца;
ПУКР – показатель увеличения коронарного резерва;
i – порядковый номер парного признака ишемической болезни сердца;
i – время в секундах от начала действия провокационного фактора до появления i-го парного признака ишемической болезни сердца в пробе, проводимой после введения антиангинального или антиишемического средства;
ti – время в секундах от начала действия провокационного фактора до появления i-го парного признака ишемической болезни сердца в провокационной пробе, проводимой на безмедикаментозном фоне;
k – количество непарных признаков ишемической болезни сердца в провокационной пробе на безмедикаментозном фоне;
m – количество непарных признаков ишемической болезни сердца в провокационной пробе, проводимой после введения антиангинального или антиишемического средства;
u – порядковый номер непарного признака ишемической болезни сердца в провокационной пробе, проводимой после введения антиангинального или антиишемического средства;
u – время в секундах от начала действия провокационного фактора до появления u-го непарного признака ишемической болезни сердца в провокационной пробе, проводимой после введения антиангинального или антиишемического средства;
j – порядковый номер непарного признака ишемической болезни сердца в провокационной пробе, проводимой на безмедикаментозном фоне;
tj – время в секундах от начала действия провокационного фактора до появления j-го непарного признака ишемической болезни сердца в провокационной пробе, проводимой на безмедикаментозном фоне;
– продолжительность действия в секундах провокационного фактора в пробе, проводимой после введения антиангинального или антиишемического средства;
t – продолжительность действия в секундах провокационного фактора в пробе, проводимой на безмедикаментозном фоне;
после этого выполняют балльную оценку эффективности использованного антиангинального или антиишемического средства и 2 балла присваивают при показателе увеличения коронарного резерва, равном или большем 120 секунд, 1 балл – если показатель увеличения коронарного резерва от 60 до 119 секунд, 0 баллов – при показателе увеличения коронарного резерва менее 60 секунд;
2) кроме двух обязательных методов контроля за состоянием организма – расспроса и электрокардиографии, применять от одного до трех дополнительных методов контроля за состоянием организма из следующих пяти: измерение артериального давления, эхокардиография, сцинтиграфия миокарда, однофотонная эмиссионная компьютерная томография, позитрон-эмиссионная томография;
3) если использовано три метода контроля за состоянием организма, диагноз ишемической болезни сердца считать достоверным при диагностическом коэффициенте от 4,5 и более, высоковероятным – при диагностическом коэффициенте от 3,5 до 4, маловероятным – при диагностическом коэффициенте от 0 до 3; если использовано четыре метода контроля за состоянием организма, диагноз ишемической болезни сердца считать достоверным при диагностическом коэффициенте от 5 и более, высоковероятным – при диагностическом коэффициенте от 4 до 4,5, маловероятным – при диагностическом коэффициенте от 0 до 3,5; если использовано пять методов контроля за состоянием организма, диагноз ишемической болезни сердца считать достоверным при диагностическом коэффициенте от 5,5 и более, высоковероятным – при диагностическом коэффициенте от 4,5 до 5, маловероятным – при диагностическом коэффициенте от 0 до 4.
4) при значении диагностического коэффициента менее 4,5 при трех использованных методах контроля за состоянием организма, при значении диагностического коэффициента менее 5 при четырех использованных методах контроля за состоянием организма, а также при значении диагностического коэффициента менее 5,5 при пяти использованных методах контроля за состоянием организма выполнять дополнительные провокационные пробы с изменением: или вида провоцирующего фактора, и/или антиангинального средства, и/или антиишемического средства, и/или набора методов контроля за состоянием организма; затем рассчитывать общий диагностический коэффициент для всех проведенных провокационных проб путем суммирования максимальной из балльных оценок эффективности использованных антиангинальных и/или антиишемических средств и максимальных балльных оценок признаков ишемической болезни сердца по каждому из использованных методов контроля за состоянием организма во время провокационных проб на безмедикаментозном фоне;
5) в качестве антиангинального средства можно использовать комбинацию антиангинальных препаратов с различными механизмами действия, а в качестве антиишемического средства можно использовать комбинацию антиишемических препаратов с различными механизмами действия;
6) в провокационных пробах можно использовать комбинацию провоцирующих факторов.
В предложенном способе в качестве провоцирующего фактора может быть использована не только физическая нагрузка, но и другие воздействия: электрическая стимуляция предсердий, введение дипиридамола, добутамина и так далее. Это позволяет для каждого пациента подобрать оптимальный провоцирующий фактор, поэтому разработанный способ диагностики обеспечивает существенно более широкий охват пациентов по сравнению с прототипом. Чувствительность любого способа диагностики ИБС прямо пропорциональна выраженности провоцирующего воздействия. Использование комбинации провоцирующих факторов (например, сочетание физической нагрузки с введением дипиридамола) облегчает выявление специфических патологических признаков даже у больных маломанифестными формами ИБС. Поэтому заявленный способ превосходит прототип по чувствительности диагностики ИБС.
Предложенный способ позволяет использовать оптимальный набор методов контроля за состоянием организма. Известно, что электрокардиограмма мало эффективна в диагностике ИБС у пациентов с выраженной гипертрофией левого желудочка и полной блокадой левой ножки пучка Гиса. Использование при парных провокационных пробах у данной категории пациентов таких методов контроля за состоянием организма, как эхокардиография или сцинтиграфия миокарда позволяет увеличить чувствительность, специфичность и точность диагностики ИБС. Поскольку в предложенном способе диагностики количество одновременно применяемых методов контроля за состоянием организма варьирует, был разработан оптимальный способ балльной оценки эффективности использованного антиангинального или антиишемического средства, предусматривающий любые возможные варианты: различное количество одновременно применяемых методов контроля за состоянием организма, полное отсутствие признаков ИБС, наличие признаков ИБС только в одной из провокационных проб, несколько признаков ИБС в каждой из провокационных проб и так далее.
И в прототипе, и в заявленном способе одно из центральных мест в технологии диагностики занимает выявление положительного эффекта антиангинального или антиишемического средства при сравнении результатов двух провокационных проб. Совершенно очевидно, что эффективность этого диагностического приема тем выше, чем у большего процента больных ИБС применяемое антиангинальное (антиишемическое) средство проявляет отчетливое фармакотерапевтическое действие. Известно, что некоторые пациенты с ИБС резистентны к действию нитроглицерина. В то же время из богатого арсенала имеющихся антиангинальных и антиишемических средств практически для любого пациента можно выбрать препарат или комбинацию препаратов с отчетливым антиангинальным (антиишемическим) эффектом. Поэтому заявленный способ, который предоставляет возможность использования вместо нитроглицерина не только любого антиангинального или антиишемического средства, но и комбинации антиангинальных и/или антиишемических препаратов с различными механизмами действия, превосходит прототип по точности диагностики ИБС.
Безусловно, точность способа диагностики будет максимальной, если при провокационном тестировании всегда использовать: 1) сочетание электрокардиографии с одним или даже двумя визуализирующими методами контроля за состоянием организма (эхокардиография, сцинтиграфия миокарда, однофотонная эмиссионная компьютерная томография, позитрон-эмиссионная томография); 2) комбинацию провоцирующих факторов; 3) комбинацию антиангинальных (антиишемических) препаратов. Но в таком случае значительно возрастет стоимость обследования, время на его выполнение, а главное – диагностика станет малодоступной для многих пациентов. Поэтому в разработанном способе предусмотрена возможность применения оптимальной диагностической тактики, сочетающей высокую эффективность диагностики ИБС с экономным расходованием финансовых средств. Для большинства пациентов обследование целесообразно начать с наиболее быстрого и дешевого варианта (провоцирующее воздействие – физическая нагрузка, антиангинальный препарат – нитроглицерин, в качестве методов контроля за состоянием организма – сочетание электрокардиографии, расспроса и измерения артериального давления). И только при получении сомнительного результата воспользоваться дополнительной провокационной пробой, с применением более дорогих методов контроля за состоянием организма, и/или комбинации провоцирующих факторов, и/или сочетания антиангинальных (антиишемических) препаратов с различным механизмом действия. В то же время у пациентов с выраженной гипертрофией миокарда или полной блокадой левой ножки пучка Гиса необходимо сразу применять визуализирующий метод контроля за состоянием организма, поскольку данный подход в большинстве случаев избавляет от необходимости применения дополнительных провокационных проб и обеспечивает высокую точность диагностики при минимальных затратах времени. По этой же причине при подозрении на резистентность к нитратам целесообразно вместо нитроглицерина сразу применить сочетание бета-блокатора с антагонистом кальция из группы дигидропиридинов, у пациентов с ортопедическими проблемами вместо физической нагрузки в качестве провоцирующего воздействия использовать внутривенную инфузию добутамина и так далее.
Способ осуществляют следующим образом. К диагностике ИБС приступают не ранее чем через 1-2 сутки после отмены пролонгированных антиишемических и антиангинальных препаратов (в зависимости от длительности действия этих препаратов) и не ранее чем через 2 часа после приема нитроглицерина. Вначале определяют оптимальный для пациента протокол исследования: выбирают соответствующее возможностям пациента провоцирующее воздействие, выбирают эффективное антиангинальное (антиишемическое) средство, определяют перечень методов контроля за состоянием организма. Перед нагрузочной пробой рекомендуется подробно информировать пациента о предстоящем обследовании, его цели, риске возможных осложнений. Нагрузочная проба проводится только при условии добровольного согласия пациента.
Во время провокационной пробы тщательно контролируют состояние организма с помощью каждого из выбранных методов контроля, измеряя для каждого выявленного признака ИБС время от начала провоцирующего воздействия до появления этого признака. Провокационную пробу заканчивают при появлении любого из следующих стандартных критериев прекращения: прогрессирующее снижение систолического артериального давления более 10 мм рт.ст., прогрессирующий болевой синдром ангинозного или предположительно ангинозного характера, нарушение координации движений, пресинкопе, головокружение, невнятная речь, головная боль, тошнота, цианоз, бледность, потенциально злокачественные нарушения ритма (частая и политопная желудочковая экстрасистолия, желудочковая тахикардия, трепетание и мерцание предсердий, суправентрикулярная пароксизмальная тахикардия, нарушения атриовентрикулярной проводимости II-III степени), блокада левой или правой ножек пучка Гиса, достижение максимальной возрастной частоты сердечных сокращений, подъем систолического артериального давления выше 250 мм рт.ст., подъем диастолического артериального давления выше 120 мм рт.ст., утомление, слабость, ощущение боли или чувство усталости в мышцах ног, развитие перемежающейся хромоты, отказ пациента продолжать испытание, выраженная одышка, приступ удушья, горизонтальная или косонисходящая депрессия сегмента ST более 100 мкВ, косовосходящая депрессия сегмента ST более 200 мкВ, дугообразная (серповидная, корытообразная) депрессия сегмента ST на 200 мкВ и более, элевация сегмента ST на 200 мкВ и более (кроме отведений V1, aVR, с зубцами Q и QS), появление ранее не существующего патологического зубца Q, переход комплекса QRS с патологическим Q в комплекс QS, резкое снижение вольтажа зубца R. Измеряют общее время воздействия провоцирующего фактора. После прекращения воздействия провоцирующего фактора продолжают контролировать состояние пациента вплоть до полного восстановления.
Проводят балльную оценку всех выявленных признаков ИБС (но не более чем по одной балльной оценке для каждого из применявшихся методов контроля за состоянием организма), при этом 2 балла присваивают, если признак ИБС является высокоспецифичным по мнению врача, 1 балл – если признак ИБС является малоспецифичным по мнению врача.
После этого вводят выбранное антиангинальное (антиишемическое) средство. При развитии максимального эффекта препарата (сведения о времени развития максимального эффекта берут в фармакологических справочниках) начинают вторую провокационную пробу, которую проводят по такой же методике, что и первую пробу. Во время второй провокационной пробы также тщательно контролируют состояние организма с помощью каждого из выбранных методов контроля, измеряя для каждого выявленного признака ИБС время от начала провоцирующего воздействия до появления этого признака.
После окончания второй провокационной пробы анализируют выявленные признаки ИБС в каждой из проб, при этом признаки ИБС разделяют на парные – полученные в обеих провокационных пробах, и непарные – полученные только в одной из провокационных проб.
После этого рассчитывают показатель увеличения коронарного резерва (ПУКР). Если выявлен хотя бы один парный признак ИБС, то ПУКР рассчитывают по формуле:

где n – количество парных признаков ИБС;
i – порядковый номер парного признака ИБС;
i – время в секундах от начала действия провокационного фактора до появления i-го парного признака ИБС в пробе, проводимой после введения антиангинального (антиишемического) средства;
ti – время в секундах от начала действия провокационного фактора до появления i-го парного признака ИБС в провокационной пробе, проводимой на безмедикаментозном фоне.
Если не выявлено ни одного парного признака ИБС, но в каждой из проб выявлено не менее одного непарного признака ИБС, причем количество выявленных признаков ИБС в пробе на безмедикаментозном фоне равно количеству выявленных признаков ИБС в пробе на фоне антиангинального (антиишемического) средства, ПУКР рассчитывают по формуле:

где k – количество непарных признаков ИБС в провокационной пробе на безмедикаментозном фоне;
m – количество непарных признаков ИБС в провокационной пробе, проводимой после введения антиангинального или антиишемического средства;
u – порядковый номер непарного признака ИБС в провокационной пробе, проводимой после введения антиангинального или антиишемического средства;
u – время в секундах от начала действия провокационного фактора до появления u-го непарного признака ИБС в провокационной пробе, проводимой после введения антиангинального или антиишемического средства;
j – порядковый номер непарного признака ИБС в провокационной пробе, проводимой на безмедикаментозном фоне;
tj – время в секундах от начала действия провокационного фактора до появления j-го непарного признака ИБС в провокационной пробе, проводимой на безмедикаментозном фоне.
Если не выявлено ни одного парного признака ИБС, но в каждой из проб выявлено не менее одного непарного признака ИБС, причем количество выявленных признаков ИБС в пробе на безмедикаментозном фоне превышает количество выявленных признаков ИБС в пробе на фоне антиангинального (антиишемического) средства, ПУКР рассчитывают по формуле:

где k – количество непарных признаков ИБС в провокационной пробе на безмедикаментозном фоне;
m – количество непарных признаков ИБС в провокационной пробе, проводимой после введения антиангинального или антиишемического средства;
u – порядковый номер непарного признака ИБС в провокационной пробе, проводимой после введения антиангинального или антиишемического средства;
u – время в секундах от начала действия провокационного фактора до появления u-го непарного признака ИБС в провокационной пробе, проводимой после введения антиангинального или антиишемического средства;
j – порядковый номер непарного признака ИБС в провокационной пробе, проводимой на безмедикаментозном фоне;
tj – время в секундах от начала действия провокационного фактора до появления j-го непарного признака ИБС в провокационной пробе, проводимой на безмедикаментозном фоне.
Если не выявлено ни одного парного признака ИБС, но в каждой из проб выявлено не менее одного непарного признака ИБС, причем количество выявленных признаков ИБС в провокационной пробе на фоне антиангинального (антиишемического) средства превышает количество выявленных признаков ИБС в провокационной пробе на безмедикаментозном фоне, ПУКР рассчитывают по формуле:

где k – количество непарных признаков ИБС в провокационной пробе на безмедикаментозном фоне;
m – количество непарных признаков ИБС в провокационной пробе, проводимой после введения антиангинального или антиишемического средства;
u – порядковый номер непарного признака ИБС в провокационной пробе, проводимой после введения антиангинального или антиишемического средства;
u – время в секундах от начала действия провокационного фактора до появления u-го непарного признака ИБС в провокационной пробе, проводимой после введения антиангинального или антиишемического средства;
j – порядковый номер непарного признака ИБС в провокационной пробе, проводимой на безмедикаментозном фоне;
tj – время в секундах от начала действия провокационного фактора до появления j-го непарного признака ИБС в провокационной пробе, проводимой на безмедикаментозном фоне.
Если в пробе на фоне антиангинального (антиишемического) средства не выявлено ни одного признака ИБС, а в пробе на безмедикаментозном фоне выявлено не менее одного признака ИБС, ПУКР рассчитывают по формуле:

где k – количество признаков ИБС в провокационной пробе на безмедикаментозном фоне;
j – порядковый номер признака ИБС в провокационной пробе, проводимой на безмедикаментозном фоне;
tj – время в секундах от начала действия провокационного фактора до появления j-го признака ИБС в провокационной пробе, проводимой на безмедикаментозном фоне;
– продолжительность действия в секундах провокационного фактора в пробе, проводимой после введения антиангинального или антиишемического средства.
Если в пробе на безмедикаментозном фоне не выявлено ни одного признака ИБС, а в пробе на фоне антиангинального (антиишемического) средства выявлено не менее одного признака ИБС, ПУКР рассчитывают по формуле:

где m – количество признаков ИБС в провокационной пробе, проводимой после введения антиангинального или антиишемического средства;
u – порядковый номер признака ИБС в провокационной пробе, проводимой после введения антиангинального или антиишемического средства;
u – время в секундах от начала действия провокационного фактора до появления u-го признака ИБС в провокационной пробе, проводимой после введения антиангинального или антиишемического средства;
t – продолжительность действия в секундах провокационного фактора в пробе, проводимой на безмедикаментозном фоне.
Если в обеих провокационных пробах не выявлено ни одного признака ИБС, ПУКР рассчитывают по формуле:

где – продолжительность действия в секундах провокационного фактора в пробе, проводимой после введения антиангинального или антиишемического средства;
t – продолжительность действия в секундах провокационного фактора в пробе, проводимой на безмедикаментозном фоне.
Затем выполняют балльную оценку эффективности использованного антиангинального или антиишемического средства и 2 балла присваивают при ПУКР, равном или большем 120 секунд, 1 балл – при показателе увеличения коронарного резерва от 60 до 119 секунд, 0 баллов – при показателе увеличения коронарного резерва менее 60 секунд.
После этого рассчитывают диагностический коэффициент путем суммирования балльной оценки эффективности использованного антиангинального или антиишемического средства и балльных оценок признаков ИБС, выявленных во время провокационной пробы на безмедикаментозном фоне, но не более чем по одной балльной оценке для каждого из использованных методов контроля за состоянием организма. И если использовано три метода контроля за состоянием организма, диагноз ишемической болезни сердца считают достоверным при диагностическом коэффициенте от 4,5 и более, высоковероятным – при диагностическом коэффициенте от 3,5 до 4, маловероятным – при диагностическом коэффициенте от 0 до 3. Если использовано четыре метода контроля за состоянием организма, диагноз ишемической болезни сердца считают достоверным при диагностическом коэффициенте от 5 и более, высоковероятным – при диагностическом коэффициенте от 4 до 4,5, маловероятным – при диагностическом коэффициенте от 0 до 3,5. А если использовано пять методов контроля за состоянием организма, диагноз ишемической болезни сердца считают достоверным при диагностическом коэффициенте от 5,5 и более, высоковероятным – при диагностическом коэффициенте от 4,5 до 5, маловероятным – при диагностическом коэффициенте от 0 до 4.
Если значение диагностического коэффициента менее 4,5 при трех использованных методах контроля за состоянием организма, если значение диагностического коэффициента менее 5 при четырех использованных методах контроля за состоянием организма, а также если значение диагностического коэффициента менее 5,5 при пяти использованных методах контроля за состоянием организма, выполняют дополнительные провокационные пробы с изменением: или вида провоцирующего фактора, и/или антиангинального средства, и/или антиишемического средства, и/или набора методов контроля за состоянием организма. При этом возможен вариант, при котором сразу после восстановления пациента после второй пробы вводят выбранное антиангинальное (антиишемическое) средство и при развитии максимального эффекта этого средства начинают дополнительную провокационную пробу. Данный вариант возможен, если в дополнительной пробе используется тот же набор методов контроля за состоянием организма, что и в первых двух провокационных пробах. Во время дополнительной провокационной пробы также тщательно контролируют состояние организма с помощью каждого из используемых методов контроля, измеряя для каждого выявленного признака ИБС время от начала провоцирующего воздействия до появления этого признака. Затем рассчитывают показатель увеличения коронарного резерва, но при этом учитывают результаты только первой пробы (на безмедикаментозном фоне) и третьей (дополнительной) пробы.
Если в дополнительной провокационной пробе решено использовать другой набор методов контроля за состоянием организма (отличающийся от набора методов контроля в первых двух провокационных пробах), то обычно исследование продолжают в другой день. При этом вначале вновь проводят провокационную пробу на безмедикаментозном фоне, а затем провокационную пробу на фоне выбранного антиангинального (антиишемического) средства. В итоге получается, что конкретному пациенту выполнено в общей сложности более одной провокационной пробы на безмедикаментозном фоне и более одной провокационной пробы на фоне антиангинального (антиишемического) средства. При этом реальна ситуация, когда в более чем одной пробе на безмедикаментозном фоне выявляется признак ИБС с помощью аналогичного метода контроля за состоянием организма и каждому из этих признаков ИБС соответствует своя балльная оценка специфичности. Важно, что при последующем расчете общего диагностического коэффициента для всех проведенных провокационных проб по каждому из использованных методов контроля за состоянием организма выбирают максимальную балльную оценку признака ИБС. Например, пациенту В-ву проведена первая пара провокационных проб, при этом в пробе на безмедикаментозном фоне выявлен субъективный признак ИБС специфичностью 1 балл и выявлен электрокардиографический признак ИБС специфичностью 2 балла; на следующий день пациенту В-ву проведена дополнительная пара провокационных проб, при этом в пробе на безмедикаментозном фоне выявлен только один признак ИБС – электрокардиографический специфичностью 1 балл; таким образом, у пациента В-ва по итогам двух пар провокационных имеется одна балльная оценка субъективного признака ИБС (и она берется для последующего расчета общего диагностического коэффициента, к слову, она является максимальной из всей совокупности балльных оценок субъективных признаков ИБС, а вся совокупность представлена лишь одной балльной оценкой) и имеются две балльные оценки электрокардиографического признака ИБС (2 балла в первой пробе на безмедикаментозном фоне и 1 балл во второй пробе на безмедикаментозном фоне, так вот для последующего расчета общего диагностического коэффициента берется максимальная из них, то есть 2 балла). Каждой провокационной пробе на фоне антиангинального (антиишемического) средства соответствует свой ПУКР и своя балльная оценка эффективности использованного антиангинального (антиишемического) средства (для последующего расчета общего диагностического коэффициента берется максимальная из них). После проведения каждой дополнительной провокационной пробы на фоне антиангинального (антиишемического) средства рассчитывают общий диагностический коэффициент путем суммирования максимальной балльной оценки эффективности использованных антиангинальных (антиишемических) средств и максимальных балльных оценок признаков ИБС по каждому из использованных методов контроля за состоянием организма во время провокационных проб на безмедикаментозном фоне. И если на данный момент (момент расчета общего диагностического коэффициента) при проведении провокационных проб у обследуемого пациента уже использовано три метода контроля за состоянием организма, диагноз ишемической болезни сердца считают достоверным при общем диагностическом коэффициенте от 4,5 и более; при общем диагностическом коэффициенте менее 4,5, но больше нуля диагноз ишемической болезни сердца считают сомнительным и проводят дополнительные провокационные пробы; при общем диагностическом коэффициенте, равном нулю, диагноз ишемической болезни сердца отвергают и дополнительные провокационные пробы не проводят. Если на данный момент при проведении провокационных проб у обследуемого пациента уже использовано четыре метода контроля за состоянием организма, диагноз ишемической болезни сердца считают достоверным при общем диагностическом коэффициенте от 5 и более; при общем диагностическом коэффициенте менее 5, но больше нуля диагноз ишемической болезни сердца считают сомнительным и проводят дополнительные провокационные пробы; при общем диагностическом коэффициенте, равном нулю, диагноз ишемической болезни сердца отвергают и дополнительные провокационные пробы не проводят. А если на данный момент при проведении провокационных проб у обследуемого пациента уже использовано пять методов контроля за состоянием организма, диагноз ишемической болезни сердца считают достоверным при общем диагностическом коэффициенте от 5,5 и более; при общем диагностическом коэффициенте менее 5,5, но больше нуля диагноз ишемической болезни сердца считают сомнительным и проводят дополнительные провокационные пробы; при общем диагностическом коэффициенте, равном нулю, диагноз ишемической болезни сердца отвергают и дополнительные провокационные пробы не проводят.
Предложенный способ диагностики ИБС иллюстрируется следующими примерами.
Пример 1. Пациентка Ю., 57 лет, поступила с жалобами на слабые или умеренной интенсивности жгучие или скребущие боли в прекордиальной области, возникающие как при нагрузке (физической, психэмоциональной), так и в покое.
Боли купируются после последовательного приема 3 таблеток нитроглицерина сублингвально. Длительность болевого приступа колеблется от 5 до 12 минут. В течение суток принимает до 39 таблеток нитроглицерина. Болевой синдром признан атипичным для стенокардии. Такие боли беспокоят уже в течение 7 месяцев. Пять лет назад пациентка находилась в стационаре, где был поставлен диагноз инфаркта миокарда без зубца Q, не подтвержденный исследованием сердечного тропонина или миоглобина. При электрокардиографии зарегистрирован синусовый ритм с частотой 62 импульса в 1 минуту, электрокардиограмма без патологических изменений. При эхокардиографическом исследовании локальных нарушений сократимости миокарда не выявлено. Таким образом, убедительных доказательств перенесенного инфаркта миокарда нет. Пациентка также страдает деформирующим остеоартрозом тазобедренных и коленных суставов II-III стадии с функциональной недостаточностью II-III степени. Другое сопутствующее заболевание – шейный остеохондроз с синдромом плечелопаточного периартроза в фазе обострения. Следовательно, пациентка не в состоянии выполнить какую-либо нагрузочную пробу. Поэтому пациентке Ю. решено провести диагностику ИБС по разработанному способу. В течение 2 дней проводилась подготовка к парной провокационной пробе – больная переведена на постельный режим с отменой всех препаратов, кроме нитроглицерина для купирования болевых приступов в покое. Решено в качестве провоцирующего фактора использовать непрерывную внутривенную инфузию добутамина. Учитывая отсутствие электрокардиографических признаков гипертрофии левого желудочка и блокады левой ножки пучка Гиса, определен экономичный набор методов контроля за состоянием организма – сочетание электрокардиографии, расспроса и измерения артериального давления. Поскольку при сборе анамнеза сложилось впечатление об имеющейся толерантности к нитроглицерину, в качестве антиангинального (антиишемического) средства решено использовать метопролол в дозе 100 мг. Первая провокационная проба проведена на безмедикаментозном фоне. Добутамин в дозе 250 мг разведен в 500 мл 5%-го раствора глюкозы. Внутривенную инфузию препарата проводили со скоростью 17 капель в минуту в течение 3 минут, что соответствует дозе добутамина 5 мкг/кг/мин. После этого скорость введения добутамина увеличили до 34 капель в минуту и через 25 секунд появилось жжение в прекордиальной области, которое быстро трансформировалось в усиливающуюся жгучую боль. Введение добутамина немедленно прекращено. Время от начала действия провокационного фактора до появления субъективного признака ИБС (ангинозноподобный дискомфорт) в провокационной пробе на безмедикаментозном фоне составило 205 секунд, а продолжительность действия провокационного фактора в пробе на безмедикаментозном фоне составила 250 секунд. После прекращения инфузии болевой приступ купировался самостоятельно в течение 4,5 минут. Учитывая тот факт, что ангинозноподобный болевой приступ лимитировал провокационную пробу, выявленный субъективный признак ИБС был признан высокоспецифичным и оценен в 2 балла. При анализе электрокардиограммы, которая непрерывно контролировалась с помощью осциллоскопа, а также через каждую 1 минуту записывалась на бумаге, не было выявлено существенного отклонения сегмента ST ни в одном из регистрируемых отведений. Систолическое артериальное давление во время пробы постепенно возрастало. Таким образом, в провокационной пробе на безмедикаментозном фоне выявлен лишь один признак ИБС. Через 7 минут после прекращения инфузии добутамина пациентка приняла внутрь 100 мг метопролола. Поскольку максимум эффекта метопролола наступает примерно через 90 минут после приема внутрь, вторую провокационную пробу начали через 100 минут после прекращения первой. Возобновили внутривенную инфузию добутамина с начальной скоростью 17 капель в минуту (5 мкг/кг/мин) и увеличением ее на 17 капель/мин (на 5 мкг/кг/мин) через каждые 3 минуты. На этот раз типичное для пациентки жжение в прекордиальной области появилось через 280 секунд от начала пробы, а через 340 секунд от начала пробы инфузию добутамина пришлось прекратить из-за развития болевого приступа такой же интенсивности, как при первом провокационной пробе. Инфузия тотчас прекращена, ангинозная боль исчезла спустя 4,2 минуты. Других признаков ИБС (существенное отклонение сегмента ST, снижение артериального давления) во время провокационной пробы на фоне метопролола не выявлено. Таким образом, в провокационной пробе на безмедикаментозном фоне выявлен лишь один признак ИБС – ангинозноподобный дискомфорт. Причем этот признак является парным (получен в обеих провокационных пробах). Поэтому ПУКР необходимо вычислить по формуле:

где n – количество парных признаков ИБС;
i – порядковый номер парного признака ИБС;
i – время в секундах от начала действия провокационного фактора до появления i-го парного признака ИБС в пробе, проводимой после введения антиангинального (антиишемического) средства;
ti – время в секундах от начала действия провокационного фактора до появления i-го парного признака ИБС в провокационной пробе, проводимой на безмедикаментозном фоне;
.
Балльная оценка эффективности использованного антиангинального или антиишемического средства равна 1 баллу. Диагностический коэффициент равен 3. Поскольку в парной провокационной пробе использовано 3 метода контроля за состоянием организма, этот диагностический коэффициент позволяет считать диагноз ишемической болезни сердца маловероятным. Решено выполнить дополнительные провокационные пробы с применением в качестве антиангинального (антиишемического) средства сочетания метопролола в дозе 50 мг и изосорбида мононитрата в дозе 20 мг и включением в набор методов контроля за состоянием организма эхокардиографии. После двухдневной паузы (для создания безмедикаментозного фона после приема метопролола) вновь проведена провокационная проба. Протокол провокации прежний: начальная доза добутамина 5 мкг/кг/мин, через каждые 3 минуты увеличение дозы на 5 мкг/кг/мин. Через 200 секунд от начала пробы зарегистрирована гипокинезия собственно верхушечного сегмента левого желудочка, через 215 секунд – появилось жжение в прекордиальной области. Проба прекращена через 270 секунд от начала действия провоцирующего фактора из-за быстро усиливающейся боли в прекордиальной области. Введение добутамина прекращено. После прекращения инфузии болевой приступ купировался самостоятельно в течение 4,7 минут. Поскольку ангинозноподобный болевой приступ лимитировал провокационную пробу, выявленный субъективный признак ИБС был признан высокоспецифичным и оценен двумя баллами. Выявленная при эхокардиографическом контроле гипокинезия ограничилась только одним сегментом левого желудочка, поэтому данный признак ИБС признан малоспецифичным и оценен одним баллом. При анализе электрокардиограммы не было выявлено существенного отклонения сегмента ST ни в одном из регистрируемых отведений. Систолическое артериальное давление во время пробы постепенно возрастало. После окончания провокационной пробы пациентка приняла внутрь 50 мг метопролола и 20 мг изосорбида мононитрата. Через 90 минут после этого начали повторную провокационную пробу с внутривенным введением добутамина. Через 300 секунд от начала пробы вновь зарегистрирована гипокинезия собственно верхушечного сегмента левого желудочка, а через 360 секунд появилось жжение в прекордиальной области. Проба прекращена через 390 секунд от начала действия провоцирующего фактора из-за появления частой желудочковой экстрасистолии. Жжение в прекордиальной области полностью исчезло спустя 2 минуты после прекращения инфузии добутамина. Других признаков ИБС (существенное отклонение сегмента ST, снижение артериального давления) во время провокационной пробы на фоне изосорбида мононитрата и метопролола не выявлено. Оба выявленных признака ИБС оказались парными (получены в обеих провокационных пробах). Поэтому ПУКР вновь вычислялся по формуле:

где n – количество парных признаков ИБС;
i – порядковый номер парного признака ИБС;
i – время в секундах от начала действия провокационного фактора до появления i-го парного признака ИБС в пробе, проводимой после введения антиангинального (антиишемического) средства;
ti – время в секундах от начала действия провокационного фактора до появления i-го парного признака ИБС в провокационной пробе, проводимой на безмедикаментозном фоне;
.
Балльная оценка эффективности использованного антиангинального или антиишемического средства равна 2 баллам. Общий диагностический коэффициент составил 5 баллов. Поскольку к этому моменту было использовано уже 4 различных метода контроля за состоянием организма, данный общий диагностический коэффициент (5) позволяет считать диагноз ИБС достоверным. С целью решения вопроса о возможности проведения реваскуляризации миокарда выполнена коронароангиография: тип кровоснабжения правый, правая коронарная артерия имеет стеноз в третьем сегменте на 75% диаметра, передняя нисходящая артерия окклюзирована в первом сегменте (дистальное русло заполняется через межсистемные коллатерали), крупная ветвь тупого края сужена на 75% диаметра. Пример показывает, что предложенный способ позволяет верифицировать ИБС даже при невозможности выполнения физической нагрузки и при «немой» электрокардиограмме.
Пример 2. Пациент К., 45 лет, поступил в кардиологическое отделение в плановом порядке, с жалобами на приступообразную боль сжимающего характера за грудиной, небольшой и средней интенсивности. Боль обычно появляется при физической нагрузке, после прекращения нагрузки проходит в течение 20-40 секунд. Нитроглицерином не пользуется. На электрокардиограмме в покое синусовый ритм, 60 в 1 минуту, патологических изменений не выявлено. Для подтверждения диагноза ИБС воспользовались предложенным способом парного провокационного тестирования. Определен протокол исследования: провоцирующий фактор – непрерывно возрастающая нагрузка на велоэргометре, антиангинальное (антиишемическое) средство – нитроглицерин, три метода контроля – расспрос, измерение артериального давления и регистрация электрокардиограммы. Во время провокационной пробы на безмедикаментозном фоне через 280 секунд появилась горизонтальная депрессия сегмента ST в отведении Anterior на 50 мкВ, а через 300 секунд от начала пробы пациент пожаловался на появление слабого дискомфорта за грудиной. Нагрузка продолжалась 600 секунд, критерий прекращения – выраженная усталость мышц нижних конечностей. На протяжении последних 330 секунд систолическое артериальное давление не возрастало. В конце нагрузки пациент ощущал слабую сжимающую загрудинную боль. Таким образом, с помощью каждого метода контроля удалось выявить по одному признаку ИБС. Все признаки оценены по 1 баллу (малоспецифичны). После полного восстановления пациент принял 0,5 мг нитроглицерина, а спустя 2 минуты – началась вторая провокационная проба. В пробе на фоне нитроглицерина не удалось выявить ни одного признака ИБС, нагрузку пришлось прекратить через 460 секунд из-за выраженной усталости мышц нижних конечностей. Поскольку признаки ИБС выявлены только в пробе на безмедикаментозном фоне, ПУКР рассчитывался по формуле:

где k – количество признаков ИБС в провокационной пробе на безмедикаментозном фоне;
j – порядковый номер признака ИБС в провокационной пробе, проводимой на безмедикаментозном фоне;
tj – время в секундах от начала действия провокационного фактора до появления j-го признака ИБС в провокационной пробе, проводимой на безмедикаментозном фоне;
– продолжительность действия в секундах провокационного фактора в пробе, проводимой после введения антиангинального или антиишемического средства;

Балльная оценка эффективности использованного антиангинального (антиишемического) средства равна 2. Диагностический коэффициент равен 5. Данное значение диагностического коэффициента получено в провокационных пробах с использованием трех методов контроля за состоянием организма, следовательно, диагноз ИБС является достоверным (доказанным). С целью решения вопроса о возможности проведения реваскуляризации миокарда выполнена коронароангиография: тип кровоснабжения сбалансированный, ствол левой коронарной артерии имеет стеноз до 20% диаметра в дистальном отделе, передняя нисходящая артерия сужена на 80% диаметра в первом сегменте, левая огибающая артерия поражена на 40% диаметра во втором сегменте, правая коронарная артерия стенозирована во втором сегменте до 80% диаметра. Необходимо отметить, что при интерпретации результатов проведенной парной нагрузочной пробы с помощью прототипа диагноз ИБС не является достоверным. Таким образом, пример показывает преимущество нового способа диагностики над прототипом в точности распознавания ИБС.
Для объективной оценки эффективности предложенного способа проведено поперечное клиническое испытание, в которое включено 34 пациента с атипичным болевым синдромом. С помощью рандомизации пациенты разделены на 2 группы. В первую группу вошло 18 человек, им проведена диагностика с помощью прототипа. Остальным 16 пациентам выполнено провокационное тестирование по разработанному способу. В первой группе одному пациенту полноценное нагрузочное тестирование провести не удалось из-за синдрома перемежающейся хромоты. Во второй группе провокационные пробы выполнены всем пациентам. После нагрузочного тестирования пациентам обеих групп проведено референтное исследование – коронароангиография. При сопоставлении результатов неинвазивных методов диагностики и коронароангиографии вычислены диагностические характеристики сравниваемых неинвазивных способов распознавания ИБС. Согласно полученным результатам, прототип имеет чувствительность 80%, специфичность – 75%, точность – 77,8%. Предложенный способ обладает более высокими возможностями диагностики ИБС: чувствительность 88,9%, специфичность – 85,7%, точность – 87,5%.
Таким образом, заявленный способ превосходит прототип по чувствительности, специфичности и точности диагностики ИБС. К тому же предложенный способ может быть использован у более широкого круга пациентов.
Формула изобретения
1. Способ диагностики ишемической болезни сердца, включающий две провокационные пробы под контролем состояния организма на предмет появления признаков ишемической болезни сердца, при этом первую провокационную пробу проводят на безмедикаментозном фоне, вторую провокационную пробу проводят после введения терапевтической дозы антиангинального или антиишемического средства; измеряют продолжительность действия провокационного фактора; выполняют балльную оценку признаков ишемической болезни сердца на предмет их специфичности, и 2 балла присваивают, если признак ишемической болезни сердца является высокоспецифичным по мнению врача, 1 балл – если признак ишемической болезни сердца является малоспецифичным по мнению врача; выполняют балльную оценку эффективности использованного антиангинального или антиишемического средства; рассчитывают диагностический коэффициент путем суммирования балльной оценки эффективности использованного антиангинального или антиишемического средства и балльных оценок признаков ишемической болезни сердца, выявленных во время провокационной пробы на безмедикаментозном фоне, но не более чем по одной балльной оценке по каждому из использованных методов контроля за состоянием организма, отличающийся тем, что кроме двух обязательных методов контроля за состоянием организма – расспроса и электрокардиографии применяют от одного до трех дополнительных методов контроля за состоянием организма из следующих пяти: измерение артериального давления, эхокардиография, сцинтиграфия миокарда, однофотонная эмиссионная компьютерная томография, позитрон-эмиссионная томография; измеряют время от начала действия провокационного фактора до появления каждого из признаков ишемической болезни сердца; признаки ишемической болезни сердца разделяют на парные – полученные в обеих провокационных пробах, и непарные – полученные только в одной из провокационных проб; рассчитывают показатель увеличения коронарного резерва по формулам
если n>0,
если n=0, k=m>0, 
если n=0, k>m>0, 
если n=0, m>k>0, 
если n=m=0, k>0, 
если n=k=0, m>0, 
если n=k=m=о, где n – количество парных признаков ишемической болезни сердца; ПУКР – показатель увеличения коронарного резерва; i – порядковый номер парного признака ишемической болезни сердца; i – время в секундах от начала действия провокационного фактора до появления i-го парного признака ишемической болезни сердца в пробе, проводимой после введения антиангинального или антиишемического средства; ti – время в секундах от начала действия провокационного фактора до появления i-го парного признака ишемической болезни сердца в провокационной пробе, проводимой на безмедикаментозном фоне; k – количество непарных признаков ишемической болезни сердца в провокационной пробе на безмедикаментозном фоне; m – количество непарных признаков ишемической болезни сердца в провокационной пробе, проводимой после введения антиангинального или антиишемического средства; u – порядковый номер непарного признака ишемической болезни сердца в провокационной пробе, проводимой после введения антиангинального или антиишемического средства; u – время в секундах от начала действия провокационного фактора до появления u-го непарного признака ишемической болезни сердца в провокационной пробе, проводимой после введения антиангинального или антиишемического средства; j – порядковый номер непарного признака ишемической болезни сердца в провокационной пробе, проводимой на безмедикаментозном фоне; tj – время в секундах от начала действия провокационного фактора до появления j-го непарного признака ишемической болезни сердца в провокационной пробе, проводимой на безмедикаментозном фоне; – продолжительность действия в секундах провокационного фактора в пробе, проводимой после введения антиангинального или антиишемического средства; t – продолжительность действия в секундах провокационного фактора в пробе, проводимой на безмедикаментозном фоне, балльную оценку эффективности использованного антиангинального или антиишемического средства выполняют с помощью показателя увеличения коронарного резерва и 2 балла присваивают при показателе увеличения коронарного резерва, равном или большем 120 с, 1 балл – при показателе увеличения коронарного резерва от 60 до 119 с, 0 баллов – при показателе увеличения коронарного резерва менее 60 с; достоверность диагноза ишемической болезни сердца оценивают путем сопоставления полученного диагностического коэффициента со следующими значениями: 0,5s+3 и более – диагноз ишемической болезни сердца считают достоверным, от 0,5s+2 до 0,5s+2,5 – высоковероятным, от 0 до 0,5s+1,5 – маловероятным, где s – количество использованных методов контроля за состоянием организма.
2. Способ диагностики ишемической болезни сердца по п.1, отличающийся тем, что при установленной вероятности диагноза ишемической болезни сердца – высоковероятной или маловероятной выполняют дополнительные провокационные пробы с изменением: вида провоцирующего фактора, и/или антиангинального средства, и/или антиишемического средства, и/или набора методов контроля за состоянием организма; затем рассчитывают общий диагностический коэффициент для всех проведенных провокационных проб путем суммирования максимальной из балльных оценок эффективности использованных антиангинальных и/или антиишемических средств и максимальных балльных оценок признаков ишемической болезни сердца по каждому из использованных методов контроля за состоянием организма во время провокационных проб на безмедикаментозном фоне; при этом достоверность диагноза ишемической болезни сердца оценивают путем сопоставления полученного диагностического коэффициента со следующими значениями: от 0,5v+3 и более – диагноз ишемической болезни сердца считают достоверным, где v – количество различных методов контроля за состоянием организма, уже использованных на данный момент при проведении провокационных проб у обследуемого пациента; менее 0,5 v+3, но больше нуля – диагноз ишемической болезни сердца считают сомнительным и проводят дополнительные провокационные пробы; если общий диагностический коэффициент равен нулю, то диагноз ишемической болезни сердца отвергают и дополнительные провокационные пробы не проводят.
3. Способ диагностики ишемической болезни сердца по пп.1 и 2, отличающийся тем, что в качестве антиангинального средства используют комбинацию антиангинальных препаратов с различными механизмами действия, а в качестве антиишемического средства используют комбинацию антиишемических препаратов с различными механизмами действия.
4. Способ диагностики ишемической болезни сердца по пп.1 и 2, отличающийся тем, что в провоцирующих пробах используют комбинацию провоцирующих факторов.
|
|