|
|
(21), (22) Заявка: 2003125245/03, 14.08.2003
(24) Дата начала отсчета срока действия патента:
14.08.2003
(43) Дата публикации заявки: 10.03.2005
(46) Опубликовано: 27.06.2006
(56) Список документов, цитированных в отчете о поиске:
SU 1707203 A1, 23.01.1992. SU 901559 A1, 30.01.1982. SU 1507987 A1, 15.09.1989. SU 1701933 A1, 30.12.1991. SU 1681018 A1, 30.09.1991. SU 1752977 A1, 07.08.1992. RU 2127368 C1, 10.03.1999. RU 2126889 C1, 27.02.1999. DE 2143147 A, 15.03.1973.
Адрес для переписки:
650010, г.Кемерово, ГСП, ул. Рукавишникова, 21, Институт угля и углехимии СО РАН, д.т.н. В.Т. Преслеру
|
(72) Автор(ы):
Стекольщиков Геннадий Гаврилович (RU), Преслер Вильгельм Теобальдович (RU), Зайденварг Валерий Евгеньевич (RU), Субботин Александр Иванович (RU), Храмцов Виктор Иванович (RU)
(73) Патентообладатель(и):
Стекольщиков Геннадий Гаврилович (RU), Преслер Вильгельм Теобальдович (RU)
|
(54) СПОСОБ ПРОВЕТРИВАНИЯ ВЫЕМОЧНОГО УЧАСТКА
(57) Реферат:
Изобретение относится к горной промышленности и может быть использовано для комбинированного проветривания выемочного участка (ВУ) при разработке пластов пологого и наклонного падения. Техническим результатом изобретения является повышение эффективности проветривания, снижение газообильности очистной выработки и предупреждение проявления метановзрывоопасности на ВУ за счет обеспечения аэродинамической изоляции очистной и действующих выработок от инвестиционных источников газовыделения в выработанном пространстве (ВП). Для этого на ВУ производят раздельное удаление метана, выделяющегося из разрабатываемого пласта и вмещающих пород в окрестности очистной выработки и из под-, надрабатываемого газонасыщенного углепородного массива. На ВУ подают суммарный расход воздуха(РВ), включающий необходимый для проветривания очистной выработки РВ, определяемый на основе макропрогноза газовыделения путем измерений технологических и аэрогазодинамических параметров в течение периодов снятия декастружки комбайном в очистном забое посредством автоматизированных и компьютеризированных систем оперативного мониторинга аэрогазовой обстановки в очистной выработке, и РВ, требуемый для сепарированного отвода метановоздушной смеси из ВП. При этом обеспечивают аэрогазодинамическую изоляцию очистной и действующих выработок ВУ от газовыделения в аэрогазодинамически активной зоне посредством разделения суммарного РВ при коэффициенте Кр распределения воздуха на ВУ в области оптимальных значений 0,3<Кр 0,8. 2 з.п. ф-лы, 3 ил.
Изобретение относится к горной промышленности и может быть использовано при проветривании выемочного участка по комбинированной технологии в условиях разработки газоносных пологих и наклонных угольных пластов добычными комплексами с управлением кровлей полным обрушением.
Известен “Способ проветривания добычного участка” (А.С. СССР, № 1707203 E 21 F 1/00, 1989 г.), включающий подачу в забой добычного участка свежего воздуха по вентиляционному штреку и отвод отработанного воздуха из забоя добычного участка по конвейерному штреку и частично по выработанному пространству с помощью флангового газоотсасывающего вентилятора на поверхность. Причем значение подаваемого в забой количества свежего воздуха определяют только по газовыделению с обнаженной поверхности угля. В вентиляционном штреке размещают регулятор расхода воздуха. Минимально допустимое количество свежего воздуха, подаваемого в забой, определяют по равенству концентрации вредных газов на сопряжении конвейерного штрека с забоем предельно допустимому значению 2% и производят посредством изменения количества воздуха, отводимого по выработанному пространству, а также по равенству концентрации вредных газов в конвейерном штреке предельно допустимому значению 1% и производят посредством изменения количества воздуха, отводимого по конвейерному штреку с помощью регулятора расхода воздуха, установленного в вентиляционном штреке. При этом соотношение количества воздуха, отводимого по выработанному пространству, и количества свежего воздуха, подаваемого в забой, определяют с помощью математического выражения
0,1 Qвn/Qnз 0,7,
где Qвn – количество воздуха, отводимого по выработанному пространству, м3/с; Qnз – количество свежего воздуха, подаваемого в забой, м3/с.
Существенными недостатками известного способа проветривания добычного участка являются следующие:
в забой добычного участка подается количество свежего воздуха, определяемое только по газовыделению с обнаженной поверхности угля, при этом не учитывается газовыделение из краевой зоны угольного массива, почвы, кровли разрабатываемого пласта, отбитого и транспортируемого угля;
отсутствует прогноз газовыделения в очистную выработку при различных нагрузках на очистной забой;
из количества воздуха, подаваемого для проветривания забоя, часть отводится в выработанное пространство и поэтому забой не обеспечивается необходимым количеством свежего воздуха, определяемого только по газовыделению из обнаженной поверхности угля и вследствие этого в забое будут образовываться взрывчатые концентрации метана;
для обеспечения допустимой концентрации метана в конвейерном штреке к количеству свежего воздуха, подаваемому в забой выемочного участка, необходимо добавить дополнительного до 70% количества свежего воздуха, предлагаемого использовать для удаления метана, выделяющегося из под-, надрабатываемого массива, но данный способ этого не предусматривает и вследствие этого в забое и в конвейерном штреке будут образовываться газоопасные зоны со взрывоопасной концентрацией метана 3-5%;
при соотношении 0,1 Qвn/Qnз 0,3 за счет возвращающейся метановоздушной смеси в очистной забой будет поступать до 40% метана из выработанного пространства, и поэтому на сопряжении призабойного пространства очистной выработки с конвейерным штреком будут образовываться местные скопления метана с взрывоопасной концентрацией;
“Правила безопасности в угольных шахтах” допускают предельную концентрацию метана в конвейерном штреке Сисх и на сопряжении конвейерного штрека с забоем Сcon, равной Сисх=Сcon=%, а в тупике погашаемого конвейерного штрека См=2%, поэтому при превышении допустимых концентраций в местах установки датчиков контроля метана в призабойном пространстве очистной выработки и действующих выработках выемочного участка будут образовываться газоопасные зоны при различных технологических операциях в забое и осадке основной кровли;
регулятор расхода воздуха, устанавливаемый на вентиляционном штреке – воздухоподающей выработке, снижает в очистной выработке действующий вентиляционный напор воздуха и уменьшает расход воздуха, подаваемый на добычной участок, что снижает эффективность проветривания, требует повышения депрессии газоотсасывающего вентилятора и повышает газоопасность при ведении работ по выемке угля в очистном забое;
в начальный период отработки выемочного столба на пластах с основной кровлей средней обрушаемости и труднообрушаемой вследствие утечек воздуха через сопряжение воздухоподающей выработки с очистной выработки в призабойном пространстве будут образовываться взрывоопасные зоны.
Целью изобретения является повышение эффективности проветривания, снижение газообильности очистной выработки и предупреждение проявлений метановзрывоопасности на выемочном участке за счет обеспечения аэрогазодинамической изоляции очистной и действующих выработок от интенсивных источников газовыделения в выработанном пространстве.
Сущность способа проветривания выемочного участка заключается в подаче в очистную выработку свежего воздуха по воздухоподающей выработке за счет общешахтной депрессии, отводе отработанного воздуха по воздухоотводящей выработке и частично по выработанному пространству с помощью газоотсасывающего вентилятора.
Способ отличается тем, что на выемочном участке применяют технологию комбинированного проветривания, при этом производят раздельное удаление метана, выделяющегося из различных источников газовыделения, составляющих газовый баланс выемочного участка, из разрабатываемого пласта и вмещающих пород в окрестности очистной выработки по системе горных выработок с допустимым содержанием метана вентиляционной струей, исходящей из очистной выработки, и из под-, надрабатываемого газонасыщенного углепородного массива метановоздушным потоком с неограниченной концентрацией метана по аэродинамически активному слою выработанного пространства, причем при комбинированном проветривании на выемочный участок за счет общешахтной депрессии и газоотсасывающего вентилятора подают суммарный расход воздуха Qвх ву, при этом необходимым расходом воздуха Qву производят проветривание очистной и действующих выработок выемочного участка, который определяют по максимальному газовыделению Jmax на исходящих струях очистной выработки Jов и выемочного участка Jву, равного максимальному суммарному газовыделению из краевой зоны угольного массива, отбитого угля, кровли и почвы разрабатываемого пласта Jpn, и транспортируемого угля в конвейерной выработке Jm, на основе макропрогноза газовыделения путем измерений технологических и аэрогазодинамических параметров в течение периодов снятия декастружки комбайном в очистном забое посредством автоматизированных и компьютеризированных систем оперативного мониторинга аэрогазовой обстановки в очистной выработке и требуемым расходом воздуха Qвn производят сепарированный отвод метановоздушной смеси из выработанного пространства газоотсасывающим вентилятором производительностью Qв и предотвращают поступление метана из газоопасных зон, периодически образующейся полости, примыкающей к очистной выработке, посредством интенсивного проветривания аэрогазодинамически активной зоны выработанного пространства, при условии равенства максимальных концентраций метана на исходящей вентиляционной струе очистной выработки и на сопряжении призабойного пространства с тупиком погашаемой воздуховыдающей выработки и не превышающих допустимого уровня концентрации метана С, при этом обеспечивают аэрогазодинамическую изоляцию атмосферы очистной и действующих выработок выемочного участка от интенсивных источников газовыделения в аэрогазодинамически активной зоне посредством разделения суммарного расхода воздуха Qвх ву на расход Qву и Qвn при коэффициенте распределения воздуха на выемочном участке Кp в области оптимальных значений
0,3<Кp 0,8, |
(1) |
который определяют в зависимости от газовыделения из выработанного пространства, при Jвn=[2-25] м3/мин из выражения
| Кp=0,5(l-e-0,46·Jвn), |
(2) |
а при Jвn>15 м3/мин принимают
в начальный период отработки выемочного столба сохраняют воздухоотводящий аэродинамический канал в камерообразном выработанном пространстве, образующемся до первой осадки пород основной кровли, и принимают
для кровли средней обрушаемости,
0,7<Кр 0,8 |
(5) |
для труднообрушаемой кровли,
причем увеличивают суммарный расход и коэффициент распределения расходов воздуха при аэрогазодинамическом возмущении в вентиляционной сети выемочного участка в случае экстремального газодинамического проявления в очистной выработке и аэрогазодинамически активной зоне, при этом аэрогазодинамические параметры выемочного участка определяют из математических выражений
| Jmax=max(max Jов, max Jву)=max(Jpn+Jm), м3/мин, |
(6) |



| Qв=(Qвn+Qдоп+Jвn), м3/мин, |
(10) |
где Кпв – коэффициент, учитывающий долю выноса метана из очистной выработки в выработанное пространство, Jвn – газовыделение из под-, надрабатываемого газонасыщенного углепородного массива в выработанное пространство, м3/мин, С0 – концентрация метана в поступающей вентиляционной струе, %, Qдоп – дополнительный расход воздуха, поступающий в газоотводящую выработку или скважину, м3/мин, и управляют расходом выдаваемого воздуха Qву путем регулирования расхода подаваемого воздуха Qвх ву и/или за счет изменения депрессии в вентиляционной сети выемочного участка, и расходом Qвn, обеспечивающим аэрогазодинамическую изоляцию посредством регулирования производительности газоотсасывающего вентилятора.
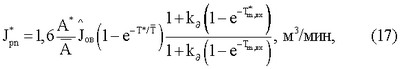
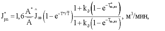
Другое отличие состоит в том, что макропрогноз газообильности очистной выработки производят в течение периодов снятия декастружки комбайном, при этом используют телеизмерения аэрогазодинамических параметров датчиками контроля, установленными в горных выработках, и на диаграммах распределения концентраций метана и расходов воздуха выделяют периоды снятия стружек Тi, час, и определяют значения максимальных концентраций метана на исходящих струях очистной выработки Сов,i, % и выемочного участка Сву,i, %, а также средние значения расхода воздуха на исходящей струе выемочного участка Qву,i, м3/мин, при этом по снятым замерам рассчитывают часовые нагрузки на очистной забой Аi, т/час, верхние фактические оценки газовыделения на исходящих струях очистной выработки и выемочного участка за период снятия декастружки, а также верхние прогнозные оценки максимального газовыделения на выемочном участке Jmax J*max, газовыделения на исходящих струях очистной выработки Jов J*ов и выемочного участка Jву J*ву и суммарного газовыделения Jom=Jоу+Jm J*от из отбитого угля Jоу и транспортируемого в конвейерной выработке угля Jm для планируемой нагрузки А* Аmax, т/час с соответствующим периодом снятия стружки Т* Тmax, час по формулам






причем для нисходящего проветривания очистной выработки рассчитывают верхние прогнозные оценки газовыделения из краевой зоны угольного массива, отбитого угля, кровли и почвы разрабатываемого пласта Jpn J* pn и отбитого угля Jоу J* оу по формулам


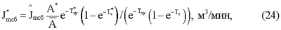
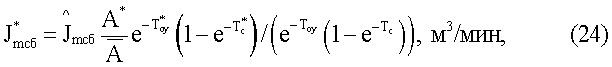
а для восходящего проветривания определяют значение максимальной концентрации метана на входящей струе в очистную выработку Свх,i, % и рассчитывают верхние оценки фактического и прогнозного Jm J* m газовыделения из транспортируемого угля по формулам


 

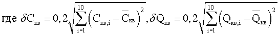
95% доверительные интервалы для расходов воздуха, м3/мин и концентраций метана, %; , – средние по декастружке значения расхода воздуха, м3/мин и концентраций метана, %; Аmax – максимальная технически возможная производительность технологической системы при добыче и транспортировании угля, которую определяют технологическим звеном с наименьшей производительностью путем хронометражных измерений за период снятия декастружки, т/час, Тmax – период снятия стружки, соответствующий Аmax, час; , – средние по декастружке фактические значения нагрузки на забой, т/час и периода снятия стружки, час; Тom=Тm+Тоу, Т* om=Т* m+Т* оу – фактический и прогнозируемый периоды с момента отбойки угля до его транспортирования за пределы выемочного участка, час; Тm, Т* m – фактический и прогнозируемый периоды транспортирования угля в конвейерной выработке, час; Тоу, Т* оу – фактический и прогнозируемый периоды с момента отбойки угля до его транспортирования за пределы очистной выработки, час; Тm,вх, Т* m,вх – фактический и прогнозируемый периоды транспортирования угля в очистной выработке, час; Qф ву – фактический расход воздуха на выемочном участке, м3/мин; – коэффициент, учитывающий протяженность зоны газового дренирования L , м за период снятия стружки шириной h, м.
Отличие способа также состоит в том, что производят обособленное проветривание горных выработок при отработке выемочного столба в условиях восходящего проветривания очистной выработки и определяют необходимый суммарный расход воздуха Qвх, подаваемого по воздухоподающей сбойке для выемочного участка Qву, рассчитываемый по максимальному газовыделению Jmax с учетом аэрогазодинамической изоляции выработанного пространства, и конвейерной выработки Qкв, рассчитываемый по газовыделению из транспортируемого угля от воздухоподающей сбойки Jкв на основе диаграмм распределения концентрации метана и расходов воздуха, по которым определяют значения максимальных концентраций метана на исходящей струе конвейерной выработки Скв,i, % и средние значения расхода воздуха Qкв,i, м3/мин, подаваемого в конвейерную выработку, и рассчитывают верхние фактические и прогнозные оценки газовыделения из транспортируемого угля от воздухоподающей сбойки Jкв J* кв и до сбойки J* mсб по формулам







м3/мин; – средние по декастружке значения расхода воздуха, м3/мин и концентрации метана, %; Ткв, Т* кв – фактический и прогнозируемый периоды транспортирования угля, отсчитываемые от воздухоподающей сбойки, час; Тсб=Тс+Тоу, Тс и Т* сб=Т* с+Т* оу, Т* с – фактические и прогнозируемые периоды транспортирования угля соответственно от комбайна и очистной выработки до воздухоподающей сбойки, час; Qф0 ву – фактический расход воздуха, подаваемый через воздухоподающую сбойку для проветривания выемочного участка, м3/мин.
Способ проветривания выемочного участка поясняется чертежами, где на фиг.1 представлена комбинированная схема с нисходящим проветриванием с выдачей исходящей струи из очистной выработки по воздуховыдающей выработке за счет общешахтной депрессии и частичным отводом метановоздушной смеси по выработанному пространству газоотсасывающим вентилятором, на фиг.2 – то же с восходящим проветриванием и обособленным проветриванием конвейерной выработки, на фиг.3 приведена зависимость коэффициента распределения воздуха Кр на выемочном участке 1 от газовыделения Jвn из выработанного пространства 5.
Способ осуществляется следующим образом.
Способ проветривания выемочного участка 1 осуществляют с применением технологии комбинированного проветривания, приведенной на фиг.1. При этом производят раздельное удаление метана, выделяющегося из различных источников газовыделения, составляющих газовый баланс выемочного участка 1, из разрабатываемого пласта и вмещающих пород в окрестности очистной выработки 2 по системе горных выработок с допустимым содержанием метана вентиляционной струей 3, исходящей из очистной выработки 2, и из под-, надрабатываемого газонасыщенного углепородного массива метановоздушным потоком 4 с неограниченной концентрацией метана по аэродинамически активному слою выработанного пространства 5. Причем при комбинированном проветривании на выемочный участок 1 за счет общешахтной депрессии и газоотсасывающего вентилятора 6 подают суммарный расход воздуха Qвх ву, при этом необходимым расходом воздуха Qву производят проветривание очистной 2 и действующих выработок выемочного участка 1, который определяют по максимальному газовыделению Jmax на исходящих струях 3, 7 очистной выработки Jов 2 и выемочного участка Jву 1, равного максимальному суммарному газовыделению из краевой зоны угольного массива, отбитого угля, кровли и почвы разрабатываемого пласта Jpn, и транспортируемого угля в конвейерной выработке Jm 8, на основе макропрогноза газовыделения путем измерений технологических и аэрогазодинамических параметров в течение периодов снятия декастружки комбайном в очистном забое 9 посредством автоматизированных и компьютеризированных систем оперативного мониторинга аэрогазовой обстановки в очистной выработке 2. Причем требуемым расходом воздуха Qвn производят сепарированный отвод метановоздушной смеси 10 из выработанного пространства 5 газоотсасывающим вентилятором 6 производительностью Qв и предотвращают поступление метана из газоопасных зон, периодически образующейся полости 11, примыкающей к очистной выработке 2, посредством интенсивного проветривания аэрогазодинамически активной зоны 12 выработанного пространства 5, при условии равенства максимальных концентраций метана на исходящей вентиляционной струе 3 очистной выработки 2 и на сопряжении призабойного пространства с тупиком погашаемой воздуховыдающей выработки 13 и не превышающих допустимого уровня концентрации С. При этом обеспечивают аэрогазодинамическую изоляцию атмосферы очистной 2 и действующих выработок выемочного участка 1 от интенсивных источников газовыделения в аэрогазодинамически активной зоне 12 посредством разделения суммарного расхода воздуха Qвх ву на расход Qву и Qвn при коэффициенте распределения воздуха на выемочном участке 1 Кр в области оптимальных значений
0,3<Кр 0,8, |
(1) |
который определяют в зависимости от газовыделения из выработанного пространства 5, при Jвn=(2-15) м3/мин из выражения
или по графику(см. фиг.3),
а при Jвn>15 м3/мин принимают
В начальный период отработки выемочного столба сохраняют воздухоотводящий аэродинамический канал 14 (фиг.2) в камерообразном выработанном пространстве 15, образующемся до первой осадки пород основной кровли, и принимают
для кровли средней обрушаемости,
0,7<Кр 0,8 |
(5) |
для труднообрушаемой кровли.
Причем увеличивают суммарный расход и коэффициент распределения расходов воздуха при аэрогазодинамическом возмущении в вентиляционной сети выемочного участка 1 в случае экстремального газодинамического проявления в очистной выработке 2 и аэрогазодинамически активной зоне 12. При этом аэрогазодинамические параметры выемочного участка 1 определяют из математических выражений
| Jmax=max(maxJов, maxJву)=max(Jpn+Jm), м3/мин, |
(6) |



| Qв=(Qвn+Qдоп+Jвn), м3/мин, |
(10) |
где Кnв – коэффициент, учитывающий долю выноса метана из очистной выработки 2 в выработанное пространство 5, Jвn – газовыделение из под- ,надрабатываемого газонасыщенного углепородного массива в выработанное пространство, м3/мин 5, С0 – концентрация метана в поступающей вентиляционной струе, % 16, Qдоп – дополнительный расход воздуха, поступающий в газоотводящую выработку или скважину, м3/мин 17, и управляют расходом выдаваемого воздуха Qву путем регулирования расхода подаваемого воздуха Qвх ву и/или за счет изменения депрессии в вентиляционной сети выемочного участка 1, и расходом Qвn, обеспечивающим аэрогазодинамическую изоляцию посредством регулирования производительности газоотсасывающего вентилятора 6.
Способ (фиг.1, фиг.2) предусматривает макропрогноз газообильности очистной выработки 2, который производят в течение периодов снятия декастружки комбайном, при этом используют телеизмерения аэрогазодинамических параметров датчиками контроля, установленными в горных выработках, и на диаграммах распределения концентраций метана и расходов воздуха выделяют периоды снятия стружек Тi, час и определяют значения максимальных концентраций метана на исходящих струях 3, 7 очистной выработки Сов,i, % 2 и выемочного участка Сву,i, % 1, а также средние значения расхода воздуха на исходящей струе 7 выемочного участка Qву,i, м3/мин при этом по снятым замерам рассчитывают часовые нагрузки на очистной забой Аi, т/час 9, верхние фактические оценки газовыделения на исходящих струях 3, 7 очистной выработки 2 и выемочного участка 1 за период снятия декастружки, а также верхние прогнозные оценки максимального газовыделения на выемочном участке Jmax J* max 1, газовыделения на исходящих струях 3, 7 очистной выработки Jов J* ов 2 и выемочного участка Jву J* ву 1 и суммарного газовыделения Jom=Jоу+Jm J* om из отбитого угля Jоу и от транспортируемого в конвейерной выработке угля Jm 8 для планируемой нагрузки А* Аmax, т/час с соответствующим периодом снятия стружки Т* Тmax, час по формулам






причем для нисходящего проветривания 18 (фиг.1) очистной выработки 2 рассчитывают верхние прогнозные оценки газовыделения из краевой зоны угольного массива, отбитого угля, кровли и почвы разрабатываемого пласта Jpn J* pn и отбитого угля Jоу J* оу по формулам


а для восходящего проветривания 19 (фиг.2) определяют значение максимальной концентрации метана на входящей струе 16 в очистную выработку Свх,i, % 2 и рассчитывают верхние оценки фактического и прогнозного Jm J* m газовыделения из транспортируемого угля по формулам




95% доверительные интервалы для расходов воздуха, м3/мин и концентраций метана, %; , – средние по декастружке значения расхода воздуха, м3/мин и концентраций метана, %; Аmax – максимальная технически возможная производительность технологической системы при добыче и транспортировании угля, которую определяют технологическим звеном с наименьшей производительностью путем хронометражных измерений за период снятия декастружки, т/час, Тmax – период снятия стружки, соответствующий Аmax, час; , – средние по декастружке фактические значения нагрузки на забой, т/час 9 и периода снятия стружки, час; Тom=Тm+Тоу, Т* om=Т* m+Т* оу – фактический и прогнозируемый периоды с момента отбойки угля до его транспортирования за пределы выемочного участка, час 1; Тm, Т* m – фактический и прогнозируемый периоды транспортирования угля в конвейерной выработке, час 8; Тоу, Т* оу – фактический и прогнозируемый периоды с момента отбойки угля до его транспортирования за пределы очистной выработки, час 2; Тm,вх, Т* m,вх – фактический и прогнозируемый периоды транспортирования угля в очистной выработке, час 2; Qф ву – фактический расход воздуха на выемочном участке, м3/мин 1; – коэффициент, учитывающий протяженность зоны газового дренирования L , м за период снятия стружки шириной h, м.
Способ (фиг.2) применяют при высоких нагрузках на очистной забой 9, при этом производят обособленное проветривание горных выработок при отработке выемочного столба в условиях восходящего проветривания 19 очистной выработки 2 и определяют необходимый суммарный расход воздуха Qвх, подаваемого по воздухоподающей сбойке 21 для выемочного участка Qву 1, рассчитываемый по максимальному газовыделению Jmax с учетом аэрогазодинамической изоляции выработанного пространства 5, и конвейерной выработки Qкв 8, рассчитываемый по газовыделению из транспортируемого угля от воздухоподающей сбойки Jкв 21 на основе диаграмм распределения концентрации метана и расходов воздуха, по которым определяют значения максимальных концентраций метана на исходящей струе 7 конвейерной выработки Скв,i, % 8 и средние значения расхода воздуха Qкв,i, м3/мин, подаваемого в конвейерную выработку 8, и рассчитывают верхние фактические и прогнозные оценки газовыделения из транспортируемого угля от воздухоподающей сбойки Jкв J* кв и до сбойки 21 по формулам







м3/мин; – средние по декастружке значения расхода воздуха, м3/мин и концентрации метана, %; Ткв, Т* кв – фактический и прогнозируемый периоды транспортирования угля, отсчитываемые от воздухоподающей сбойки, час 21; Тсб=Тс+Тоу, Тс и Т* сб=Т* с+Т* оу, Т* с – фактические и прогнозируемые периоды транспортирования угля соответственно от комбайна и очистной выработки 2 до воздухоподающей сбойки, час 21; Qф0 ву – фактический расход воздуха, подаваемый через воздухоподающую сбойку 21 для проветривания выемочного участка, м3/мин 1.
Формула изобретения
1. Способ проветривания выемочного участка, включающий подачу свежего воздуха по воздухоподающей выработке и отвод отработанного воздуха по воздуховыдающей выработке и частично по выработанному пространству с помощью газоотсасывающего вентилятора, отличающийся тем, что на выемочном участке применяют технологию комбинированного проветривания, при этом производят раздельное удаление метана, выделяющегося из различных источников газовыделения, составляющих газовый баланс выемочного участка, из разрабатываемого пласта и вмещающих пород в окрестности очистной выработки по системе горных выработок с допустимым содержанием метана вентиляционной струей, исходящей из очистной выработки, и из под-, надрабатываемого газонасыщенного углепородного массива метановоздушным потоком с неограниченной концентрацией метана по аэродинамически активному слою выработанного пространства, причем при комбинированном проветривании на выемочный участок за счет общешахтной депрессии и газоотсасывающего вентилятора подают суммарный расход воздуха Qвх ву, при этом необходимым расходом воздуха Qву производят проветривание очистной и действующих выработок выемочного участка, который определяют по максимальному газовыделению Jmax на исходящих струях очистной выработки Jов и выемочного участка Jву, равного максимальному суммарному газовыделению из краевой зоны угольного массива, отбитого угля, кровли и почвы разрабатываемого пласта Jpn, и транспортируемого угля в конвейерной выработке Jm, на основе макропрогноза газовыделения путем измерений технологических и аэрогазодинамических параметров в течение периодов снятия декастружки комбайном в очистном забое посредством автоматизированных и компьютеризированных систем оперативного мониторинга аэрогазовой обстановки в очистной выработке и требуемым расходом воздуха Qвn производят сепарированный отвод метановоздушной смеси из выработанного пространства газоотсасывающим вентилятором производительностью Qв и предотвращают поступление метана из газоопасных зон, периодически образующейся полости, примыкающей к очистной выработке, посредством интенсивного проветривания аэрогазодинамически активной зоны выработанного пространства, при условии равенства максимальных концентраций метана на исходящей вентиляционной струе очистной выработки и на сопряжении призабойного пространства с тупиком погашаемой воздуховыдающей выработки и не превышающих допустимого уровня концентрации метана С, при этом обеспечивают аэрогазодинамическую изоляцию атмосферы очистной и действующих выработок выемочного участка от интенсивных источников газовыделения в аэрогазодинамически активной зоне посредством разделения суммарного расхода воздуха Qвх ву на расход Qву и Qвn при коэффициенте распределения воздуха на выемочном участке Кр в области оптимальных значений
0,3<Кр 0,8,
который определяют в зависимости от газовыделения из выработанного пространства, при Jвn=(2÷15) м3/мин из выражения
Кp=0,5(1-e-0,46·Jвn),
а при Jвn>15 м3/мин принимают
Кр=(0,5÷0,6),
в начальный период отработки выемочного столба сохраняют воздухоотводящий аэродинамический канал в камерообразном выработанном пространстве, образующемся до первой осадки пород основной кровли, и принимают
Кр=(0,6÷0,7)
для кровли средней обрушаемости,
0,7<Кр 0,8
для труднообрушаемой кровли,
причем увеличивают суммарный расход и коэффициент распределения расходов воздуха при аэрогазодинамическом возмущении в вентиляционной сети выемочного участка в случае экстремального газодинамического проявления в очистной выработке и аэрогазодинамически активной зоне, при этом аэрогазодинамические параметры выемочного участка определяют из математических выражений
Jmax=max(max Jов, max Jву)=max(Jpn+Jm), м3/мин,



Qв=(Qвn+Qдоп+Jвn), м3/мин,
где Кnв – коэффициент, учитывающий долю выноса метана из очистной выработки в выработанное пространство;
С0 – концентрация метана в поступающей вентиляционной струе, %;
Qдоп – дополнительный расход воздуха, поступающий в газоотводящую выработку или скважину, м3/мин;
Jвn – газовыделение из под-, надрабатываемого газонасыщенного углепородного массива в выработанное пространство, м3/мин,
и управляют расходом выдаваемого воздуха Qву путем регулирования расхода подаваемого воздуха Qвх ву и/или за счет изменения депрессии в вентиляционной сети выемочного участка, и расходом Qвn, обеспечивающим аэрогазодинамическую изоляцию посредством регулирования производительности газоотсасывающего вентилятора Qв.
2. Способ по п.1, отличающийся тем, что при осуществлении макропрогноза газообильности используют телеизмерения аэрогазодинамических параметров датчиками контроля, установленными в горных выработках, и на диаграммах распределения концентраций метана и расходов воздуха выделяют периоды снятия i-х стружек Тi, ч, и определяют значения максимальных концентраций метана на исходящих струях очистной выработки Сов,i, %, и выемочного участка Сву,i, %, а также средние значения расхода воздуха на исходящей струе выемочного участка Qву,i, м3/мин, при этом по снятым замерам рассчитывают часовые нагрузки на очистной забой Аi, т/ч, верхние фактические оценки газовыделения на исходящих струях очистной выработки и выемочного участка за период снятия декастружки, а также верхние прогнозные оценки максимального газовыделения на выемочном участке Jmax J* max, газовыделения на исходящих струях очистной выработки Jов J* ов и выемочного участка Jву J* ву и суммарного газовыделения Jom=Jоу+Jm J* om из отбитого угля Jоу и транспортируемого в конвейерной выработке угля Jm для планируемой нагрузки А* Аmax, т/ч, с соответствующим периодом снятия стружки Т* Тmax, ч, по формулам
 




причем для нисходящего проветривания очистной выработки рассчитывают верхние прогнозные оценки газовыделения из краевой зоны угольного массива, отбитого угля, кровли и почвы разрабатываемого пласта Jpn J* pn и отбитого угля Jоу J* оу по формулам


а для восходящего проветривания определяют значение максимальной концентрации метана на входящей струе в очистную выработку Свх,i, %, и рассчитывают верхние оценки фактического и прогнозного Jm J* m газовыделения из транспортируемого угля по формулам


где Аmax – максимальная технически возможная производительность технологической системы при добыче и транспортировании угля, которую определяют технологическим звеном с наименьшей производительностью путем хронометражных измерений за период снятия декастружки, т/ч;
Тmax – период снятия стружки, соответствующий Аmax, ч;
, – средние по декастружке значения расхода воздуха, м3/мин и концентраций метана, %;

—
95% доверительные интервалы для расходов воздуха, м3/мин, и концентраций метана, %;
– средние по декастружке фактические значения нагрузки на забой, т/ч и периода снятия стружки, ч;
– коэффициент, учитывающий протяженность зоны газового дренирования L , м за период снятия стружки шириной h, м;
Qф ву – фактический расход воздуха на выемочном участке, м3/мин;
Тom=Тm+Тоу,Т* om=Т* m+Т* оу – фактический и прогнозируемый периоды с момента отбойки угля до его транспортирования за пределы выемочного участка, ч;
Тm, Т* m – фактический и прогнозируемый периоды транспортирования угля в конвейерной выработке, ч;
Тоу, Т* оу – фактический и прогнозируемый периоды с момента отбойки угля до его транспортирования за пределы очистной выработки, ч;
Тm,вх, Т* m,вх – фактический и прогнозируемый периоды транспортирования угля в очистной выработке, ч.
3. Способ по п.1 или 2, отличающийся тем, что производят обособленное проветривание горных выработок при отработке выемочного столба в условиях восходящего проветривания очистной выработки и определяют необходимый суммарный расход воздуха Qвх, подаваемого по воздухоподающей сбойке для выемочного участка Qву, рассчитываемый по максимальному газовыделению Jmax с учетом аэрогазодинамической изоляции выработанного пространства, и конвейерной выработки Qкв, рассчитываемый по газовыделению из транспортируемого угля от воздухоподающей сбойки Jкв на основе диаграмм распределения концентрации метана и расходов воздуха, по которым определяют значения максимальных концентраций метана на исходящей струе конвейерной выработки Скв,i, %, и средние значения расхода воздуха Qкв,i, м3/мин, подаваемого в конвейерную выработку, и рассчитывают верхние фактические и прогнозные оценки газовыделения из транспортируемого угля от воздухоподающей сбойки Jкв J* кв и до сбойки J* mсб по формулам







95% доверительные интервалы для концентраций метана,% и расходов воздуха, м3/мин;
, – средние по декастружке значения концентрации метана,% и расхода воздуха, м3/мин;
Qф0 ву – фактический расход воздуха, подаваемый через воздухоподающую сбойку для проветривания выемочного участка, м3/мин;
Ткв, Т* кв – фактический и прогнозируемый периоды транспортирования угля, отсчитываемые от воздухоподающей сбойки, ч;
Тсб=Тс+Тоу, Тс и Т* сб=Т* с+Т* оу, Т* с – фактические и прогнозируемые периоды транспортирования угля соответственно от комбайна и очистной выработки до воздухоподающей сбойки, ч.
РИСУНКИ
MM4A – Досрочное прекращение действия патента СССР или патента Российской Федерации на изобретение из-за неуплаты в установленный срок пошлины за поддержание патента в силе
Дата прекращения действия патента: 15.08.2006
Извещение опубликовано: 20.05.2008 БИ: 14/2008
|
|