Патент на изобретение №2278883
|
||||||||||||||||||||||||||||||||||||||||||||||||||||||||||||||||||||||
(54) КОМПОЗИЦИЯ СВЯЗУЮЩЕГО НА ВОДНОЙ ОСНОВЕ
(57) Реферат:
Описывается композиция связующего на водной основе, состоящая из а) водной дисперсии акрилового сополимера, включающего функциональные группы карбоновой кислоты и этилен-мочевины, имеющего среднемассовую молекулярную массу ниже 200000 и Тстекл.<-15°С, и при этом данный акриловый сополимер может быть получен из алкильного и/или циклоалкильного сложного эфира акриловой и/или метакриловой кислоты, кислоты с этиленовой ненасыщенностью или ее ангидрида, соединения с этиленовой ненасыщенностью, включающего функциональные группы этилен-мочевины формулы необязательно винильных мономеров и/или галогенидов или нитрилов с олефиновой ненасыщенностью; и b) водорастворимого комплекса переходного металла, где переходным металлом является цинк, при этом отношение числа молей ионов переходного металла в комплексе к общему числу молей карбоксильных групп в сополимере составляет от 1:1 до 1:8, предпочтительно от 1:2 до 1:4. Также описывается кроющий состав, изготовленный из вышеописанной композиции связующего, и основа из древесины, покрытая кроющим составом. Технический результат – кроющий состав и покрытия с данной композицией связующего обладают превосходной прочностью и хорошей гибкостью. Данные покрытия имеют свойство, заключающееся в предотвращении миграции танинов из танинсодержащей основы древесины. 3 н. и 6 з.п. ф-лы, 8 табл.
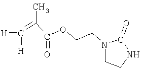
Данное изобретение относится к композиции связующего на водной основе, к кроющему составу (составу для нанесения покрытия), который включает эту композицию, и к основе из древесины, покрытой указанным кроющим составом. Более конкретно данное изобретение относится к водному кроющему составу для древесины и к древесной основе или основе, изготовленной из обработанной древесины, такой как древесно-волокнистая плита, прессованная бумажная плита или древесно-стружечная плита, покрытой указанной композицией связующего на водной основе. Законодательство по защите окружающей среды является побудительной причиной, которая приводит к замене покрытий на основе растворителей системами на водной основе. Были установлены предельные величины для количества летучих органических веществ, которое допускается в различных системах покрытий. До настоящего времени покрытия на водной основе нашли ограниченное применение при окончательной отделке древесины. Использование покрытий на водной основе при окончательной отделке древесины, как правило, имеет несколько недостатков по сравнению с традиционными покрытиями на основе растворителей, поскольку водорастворимые хромофорные соединения, которые присутствуют в древесине, такие как таннины, вымываются наносимым покрытием на водной основе, приводя к образованию пятен и обесцвечиванию обработанной поверхности. Более того, трудно получить удовлетворительную комбинацию желаемых свойств отделочных покрытий для отделанной древесины, таких как гибкость, прочность поверхности, шлифуемость, устойчивость к истиранию, устойчивость к отбеливанию водой, коррозионная стойкость и адгезия и устойчивость к слипанию. Особенно трудно получить желательный баланс между гибкостью и надлежащим пленкообразованием и прочностью/способностью к шлифованию песком, когда количество летучих органических веществ в кроющем составе ограничивается до 100 г/л. При попытках улучшить блокирование образования пятен таннина в покрытиях на водной основе существует несколько подходов, которые описываются в патентной литературе. Для блокирования таннинов достаточно эффективными являются реакционно-способные пигменты. Однако на практике они имеют несколько основных недостатков, поскольку они могут вызвать проблемы со стабильностью, такие как увеличение вязкости и гелеобразование или коагуляция полимера. Очевидно, что данное решение ограничивается пигментированными покрытиями. Следовательно, является желательным получить свойства блокирования таннина без использования реакционноспособных пигментов, другими словами, модифицированием композиции связующего. В ЕР 849004 сделана попытка преодолеть вышеуказанные недостатки предложением способа последовательного покрытия основы из древесины. Данный способ включает нанесение двух отдельных покрытий, причем одно из них является в высокой степени поперечно-сшитым покрытием, а другое является отверждаемым покрытием, полученным из водной композиции покрытия. Отверждаемое покрытие получают из водной композиции, включающей полимер с карбонильными функциональными группами, предпочтительно состоящий из этилен-уреидосодержащих мономеров. В US 5141784 описывается способ обработки основы из древесины эффективным количеством соли карбоновой кислоты и/или водорастворимого соединения, имеющего одну или две солеобразующие аминовые группы и имеющего молекулярную массу, равную от 50 до примерно 300000. В US 4075394 описывается нанесение водного раствора полиалкиленимина при обработке таннинсодержащих поверхностей. Другие подходы включают использование катионных связующих. Главный недостаток в данном случае состоит в ограниченной доступности ингредиентов краски, которые являются катионными соединениями. Все вышеуказанные способы страдают от различных недостатков, таких как недостаточные стабильность, плохие пленкообразующие свойства, недостаточная твердость, шлифуемость, устойчивость к истиранию, устойчивость к отбеливанию водой, коррозионная стойкость, адгезия и/или устойчивость к слипанию или сложность обращения с кроющим составом. В настоящее время обнаружено, что при использовании комбинации комплекса переходного металла и композиции, включающей сополимер, имеющий особую молекулярную массу и особую Тстекл., получаются кроющие составы, которые лишены вышеуказанных недостатков и могут легко наноситься на основу из древесины без необходимости использования других слоев покрытий. Более конкретно, изобретение относится к композиции связующего на водной основе, состоящей из a) водной дисперсии акрилового сополимера, включающего функциональные группы карбоновой кислоты и этилена-мочевины, имеющего среднемассовую молекулярную массу ниже 200000 и Тстекл.<-15°С; и b) водорастворимого комплекса переходного металла. Композиции стабильного прозрачного или пигментированного покрытия на водной основе можно приготовить с данной композицией связующего, которую можно использовать преимущественно при уровнях летучих органических соединений (VOC) ниже 100 г/л. После сушки кроющего состава дают покрытия с превосходной прочностью и хорошей гибкостью. Данные покрытия также имеют свойство, заключающееся в предотвращении миграции таннинов из таннинсодержащей основы из древесины. Настоящим изобретением предлагается водорастворимый полимер, предпочтительно полученный из мономеров с этиленовой ненасыщенностью, выбранных из сложных алкиловых эфиров акриловой и/или метакриловой кислоты (указанной как (мет)акриловая кислота), таких как н-бутил(мет)акрилат, метил(мет)акрилат, этил(мет)акрилат, 2-этилгексил(мет)акрилат, и/или сложных циклоалкиловых эфиров (мет)акриловой кислоты, таких как изоборнил(мет)акрилат и циклогексил(мет)акрилат. Необязательно в дополнение к акриловым мономерам могут использоваться винильные мономеры, такие как стирол, винилтолуол, Композиция мономера также содержит мономер, содержащий этиленовую ненасыщенность, с карбоксильной группой. Мономеры, которые можно использовать, включают (мет)акриловую кислоту. Необязательно, кислотные группы могут присутствовать в скрытом виде, как, например, в малеиновом ангидриде, где функциональная группа кислоты присутствует в форме ангидридной группы. Кроме того, можно использовать макромономеры, включающие одну или несколько функциональных карбоксильных групп. Предпочтительно используются такие мономеры, как (мет)акриловая кислота. Другие возможные мономеры с функциональными карбоксильными группами являются олигомеризованными акриловыми кислотами, такими как Кроме того, композиция содержит мономер с этиленовой ненасыщенностью, включающий функциональную группу этилен-мочевины Наиболее предпочтительным мономером, включающим функциональную группу этилен-мочевины, является N-(2-метакрилоилоксиэтил)этиленмочевина: Кроме данных мономеров, в мономерную смесь могут быть введены небольшие количества мономеров, которые обладают второй функциональной группой. Примерами таких мономеров являются гидроксифункциональные мономеры, такие как гидроксиэтил(мет)акрилат, гидроксипропил(мет)акрилат, гидроксибутил(мет)акрилат, (мет)акриламид или производные (мет)акриламида, такие как N-метилол(мет)акриламид и диацетонакриламид. В мономерной композиции также могут присутствовать аддукты гидроксифункциональных мономеров с этилен- или пропиленоксидом. Мономерная композиция должна быть выбрана таким образом, чтобы общая температура стеклования полученного в результате полимера, вычисленная с использованием уравнения Фокса, была ниже -15°С (258 К). Уравнение Фокса, которое хорошо известно, выражается формулой: 1/Тстекл.=W1/Тстекл.(1)+W2/Тстекл.(2)+W3/Tстекл.(3)+… где W1, W2, W3 и так далее представляет массовые доли компонентов (1), (2), (3) и так далее, а Тстекл. (1), Тстекл. (2), Тстекл. (3) означают температуры стеклования соответствующих им гомополимеров. Количество мономеров с карбоксильными функциональными группами корректируют таким образом, чтобы получить полимер с кислотным числом, равным от 15 до 100 мг КОН/г, предпочтительно от 35 до 75 мг КОН/г. Количество мономеров с функциональными группами этилен-мочевины в полимере составляет от 0,1 до 5 мас.% от общего количества мономеров. Полимер можно получить методом эмульсионной полимеризации или обычной свободно-радикальной полимеризацией в органическом растворителе, после чего следует эмульгирование в воде и полное или частичное удаление растворителя. Условия процесса выбирают таким образом, чтобы полученный в результате полимер имел среднемассовую молекулярную массу ниже 200000, предпочтительно ниже 150000. Получение дисперсии полимера эмульсионной полимеризацией является предпочтительным. К полимерной дисперсии на водной основе добавляют водорастворимый комплекс переходного металла. Предпочтительным является комплекс, содержащий цинк. Наиболее предпочтительным является амминцинкокарбонат. Для обеспечения стабильности полученной в результате композиции рН дисперсии полимера корректируют до величины, превышающей 7, используя аммиак или другое нейтрализующее основание. Необязательно можно использовать смесь различных оснований. Количество комплекса переходного металла, добавляемого к дисперсии полимера, выбирают таким образом, чтобы соотношение числа молей ионов переходного металла в комплексе к общему числу молей карбоксильных групп в сополимере составляло от 1:1 до 1:8. Предпочтительно, соотношение составляет от 1:2 до 1:4. Из полученной таким образом полимерной композиции может быть составлена рецептура бесцветного или пигментированного покрытия для древесины, которое можно использовать для нанесения покрытия на основы из древесины или основы, изготовленные из обработанной древесины, такой как древесно-волокнистая плита, прессованная бумажная плита, древесно-стружечная плита. Изобретение далее иллюстрируется следующими примерами. Пример 1 Получение водорастворимого комплекса цинка. В реакторе с мешалкой смешивают 25,92 г оксида цинка и 45,72 г карбоната аммония с 85,10 г воды. К данной смеси добавляют 51,48 г 25% водного раствора аммиака. Полученный в результате продукт представляет собой прозрачный раствор. Пример 2 Дисперсия полимера, содержащая комплекс цинка из примера 1 В реактор загружают раствор 23,8 г Rhodafac RS710
98,8 г данной предварительной эмульсии добавляют в реактор, после чего следует добавление раствора 3 г персульфата аммония в 27,35 г деминерализованной воды. Для промывки резервуара и линий подачи используют 27,35 г деминералиэованной воды. Начинается экзотермическая реакция, которая повышает температуру загрузки до 75°С. После 15 мин в реактор добавляют 0,4 г 25% водного раствора гидроксида аммония. Для промывки резервуара и линий подачи используют 0,46 г деминерализованной воды. Затем в реактор дозировано подают предварительную эмульсию мономера в течение периода времени, равного 150 мин. Для промывки резервуара и линий подачи используют 136,7 г деминерализованной воды. Одновременно в реактор добавляют раствор 5 г персульфата аммония в 364,6 г деминерализованной воды. Для промывки резервуара и линий подачи используют 68,37 г деминерализованной воды. В течение добавления предварительной эмульсии и раствора инициатора температуру поддерживают постоянной при 79°С. После того как добавление закончено, температуру загрузки поддерживают при 79°С в течение дополнительных 30 мин. Затем загрузку охлаждают до 65°С. В течение периода времени, равного 15 мин, в реактор добавляют 25,53 г 25% водного раствора аммиака. Для промывки резервуара и линий подачи используют 27,53 г деминерализованной воды. В реактор добавляют раствор 4 г 70% водного раствора трет-бутилгидропероксида в 27,35 г деминерализованной воды. Для промывки резервуара и линий подачи используют 27,35 г деминерализованной воды. В течение периода времени, равного 15 мин, в реактор добавляют раствор 2 г натрий формальдегидсульфоксилата в 27,35 г деминерализованной воды. Для промывки резервуара и линий подачи используют 27,53 г деминерализованной воды. Для доведения рН дисперсии полимера до значения 7,5 добавляют водный аммиак. При перемешивании медленно добавляют 600 г раствора амминцинкокарбоната из примера 1. Для доведения содержания твердых веществ до 42% дополнительно добавляют деминерализованную воду. Дисперсию полимера фильтруют через 50-микронный фильтровальный мешок. Полученная в результате дисперсия имеет значение рН 9,1. Полученный в результате полимер анализируют методом гельпроникающей хроматографии с использованием колонки PLgel 5 мкм MIXED-C 600 Температура стеклования полученного сополимера (оцененная по уравнению Фокса) составляет -18°С. Кислотное число полученного сополимера составляет 52 мг КОН/г. Пример 3 Пигментированное покрытие для древесины Густотертую основу готовят, используя следующие ингредиенты (частей по массе): Густотертую основу диспергируют на горизонтальной крупошлифовальной машине до получения желаемой мелкодисперсности. Данную густотертую основу используют для получения композиции белой грунтовки, как показано ниже:
Полученная в результате краска имеет содержание летучих органических веществ (вычисленное) 93 г/л. Грунтовку можно использовать как таковую для нанесения кистью. При нанесении на древесину мербау (merbau) краску сушат с получением твердого покрытия при комнатной температуре. После нанесения не наблюдается никакого вымывания таннинов. После семи дней покрытую панель из мербау на несколько дней помещают в камеру влажности. И снова никакого обесцвечивания вследствие вымывания таннинов не наблюдается. Пример 4 Прозрачная грунтовка для дерева
Прозрачную грунтовку для дерева, полученную смешиванием вышеуказанной смеси, наносят на основу из таннинсодержащей древесины. Покрытие сушат до получения твердой пленки при температуре окружающей среды. Никакого обесцвечивания вследствие вымывания таннинов не наблюдается. Поверх высушенной грунтовки можно нанести прозрачный или белый верхний защитный слой. При помещении в камеру влажности после семи дней сушки при комнатной температуре никакого обесцвечивания верхнего покрытия вследствие вымывания таннина не наблюдается. Пример сравнения А Полимерные дисперсии по ЕР 849004 готовят следующим образом. В реактор загружают раствор 13,73 г Rhodapex СО-436
В реактор добавляют 83,95 г предварительной эмульсии, после чего следует добавление раствора 2,77 г персульфата натрия в 15 г деминерализованной воды. Температура загрузки повышается до 88°С. Через 5 мин для промывки резервуара и линий подачи используют 2,7 г гидрокарбоната натрия в 41,25 г деминерализованной воды. Затем в реактор дозировано подают предварительную эмульсию мономера в течение периода времени, равного 90 мин. Для промывки резервуара и линий подачи используют 33,75 г деминерализованной воды. Одновременно в реактор добавляют 1,35 г персульфата аммония в 67,50 г деминерализованной воды. В течение добавления предварительной эмульсии и раствора инициатора поддерживают постоянной при 85°С. После того как добавление компонентов закончено, температуру загрузки поддерживают при 85°С в течение дополнительных 15 мин. Затем загрузку охлаждают до 65°С. В реактор медленно добавляют раствор 2 г трет-бутилгидропероксида (70 мас.% в воде) в 10 г деминерализованной воды. В течение периода времени, равного 15 мин, в реактор добавляют раствор 0,95 г изоаскорбиновой кислоты в 12,5 г деминерализованной воды. Для промывки резервуара и линий подачи используют 20 г деминерализованной воды. Затем температуру загрузки поддерживают при 65°С в течение 30 мин. Для корректировки рН дисперсии полимера добавляют 6,01 г водного аммиака в 20 г деминерализованной воды. Дополнительно для корректировки содержания твердых веществ до 40 мас.% добавляют деминерализованную воду. Дисперсию полимера фильтруют через 50-микронный фильтровальный мешок. Полученная в результате дисперсия имеет значение рН 6,9. Примеры сравнения В и С Полимерную дисперсию готовят, как описывается в примере 2, но с исключением из предварительной эмульсии Nourycryl МА-123 Примеры 5-8 Пигментированные покрытия для древесины. Пигментированные покрытия для древесины готовят с использованием густотертой краски, описанной в примере 3. Данную густотертую краску используют для приготовления композиции белой грунтовки, как показано ниже. Покрытия из примеров 5-8 наносят на панели из древесины мербау, причем краску сушат при комнатной температуре. Панели помещают в камеру влажности при 40°С и 100% относительной влажности. После одного дня сравнивают обесцвечивание из-за вымывания таннинов (внешний вид) и адгезию. Из данного сравнения становится очевидно, что пигментированное покрытие на основе дисперсии полимера, полученной по изобретению, объединяет хорошие свойства по удержанию таннинов с превосходной адгезией. Использованные в приведенных выше примерах ингредиенты композиций, обозначенные их торговыми названиями/техническими марками, поясняются в приводимой ниже таблице, где указано, что представляет собой каждый из таких ингредиентов (за исключением тех, которые уже расшифрованы в тексте самих примеров).
Формула изобретения
1. Композиция связующего на водной основе, состоящая из а) водной дисперсии акрилового сополимера, включающего функциональные группы карбоновой кислоты и этилен-мочевины, имеющего среднемассовую молекулярную массу ниже 200000 и Тстекл.<-15°С, и при этом данный акриловый сополимер может быть получен из алкильного и/или циклоалкильного сложного эфира акриловой и/или метакриловой кислоты, кислоты с этиленовой ненасыщенностью или ее ангидрида, соединения с этиленовой ненасыщенностью, включающего функциональную группу этилен-мочевины формулы и необязательно винильных мономеров, и/или галогенидов, или нитрилов с олефиновой ненасыщенностью; и b) водорастворимого комплекса переходного металла. 2. Композиция связующего на водной основе по п.1, где переходным металлом является цинк. 3. Композиция связующего на водной основе по п.1 или 2, где отношение числа молей ионов переходного металла в комплексе к общему числу молей карбоксильных групп в сополимере составляет от 1:1 до 1:8, предпочтительно от 1:2 до 1:4. 4. Композиция связующего на водной основе по любому из пп.1-3, где среднемассовая молекулярная масса составляет менее 150000. 5. Композиция связующего на водной основе по любому из пп.1-4, где указанное соединение с этиленовой ненасыщенностью имеет формулу 6. Композиция связующего на водной основе по любому из пп.1-5, где количество соединения с этиленовой ненасыщенностью, включающего функциональную группу этилен-мочевины, составляет 0,1-5% от общей массы мономеров. 7. Композиция связующего на водной основе по любому из пп.1-6, где кислотное число составляет от 15 до 100 и предпочтительно от 35 до 75 мг КОН/г. 8. Кроющий состав, изготовленный из композиции связующего на водной основе по любому из предшествующих пунктов. 9. Основа из древесины, покрытая кроющим составом по п.8.
PC4A – Регистрация договора об уступке патента Российской Федерации на изобретение
Прежний патентообладатель:
(73) Патентообладатель:
Договор № РД0014316 зарегистрирован 21.11.2006
Извещение опубликовано: 10.01.2007 БИ: 01/2007
|
||||||||||||||||||||||||||||||||||||||||||||||||||||||||||||||||||||||


-метилстирол, винилацетат, сложные винильные эфиры многофункциональных кислот, диены, такие как 1,3-бутадиен или изопрен, или их смеси, или нитрилы с этиленовой ненасыщенностью, такие как (мет)акрилонитрил, или галогениды с олефиновой ненасыщенностью, такие как винилхлорид, винилиденхлорид и винилфторид.
-карбоксиэтилакрилат или его высшие аналоги (продаваемые компанией Rhodia как Sipomer B-CEA
), итаконовая кислота, фумаровая кислота, малеиновая кислота, цитраконовая кислота или их ангидриды. Помимо мономеров, имеющих карбоксильную функциональную группу, в композиции мономера могут также присутствовать мономеры, обладающие кислотной функциональной группой, отличающейся от карбоксильной группы, такой как группы сульфоновой, фосфорной, фосфоновой кислот, при помощи сополимеризации мономеров, таких как этилметакрилат-2-сульфоновая кислота или сложный фосфатный эфир 2-акриламидо-2-метилпропансульфоновой кислоты, 2-метил-2-гидроксиэтил-2-пропеновая кислота (1-фенилвинил)фосфоновая кислота или (2-фенилвинил)фосфоновая кислота.







