|
|
(21), (22) Заявка: 2003109622/15, 04.09.2001
(24) Дата начала отсчета срока действия патента:
04.09.2001
(30) Конвенционный приоритет:
05.09.2000 US 09/655,760
(43) Дата публикации заявки: 10.09.2004
(46) Опубликовано: 27.06.2006
(56) Список документов, цитированных в отчете о поиске:
US 5317032 А, 31.05.1994. ЕР 310305 А, 05.04.1989. SU 1082321 A3, 23.03.1984.
(85) Дата перевода заявки PCT на национальную фазу:
07.04.2003
(86) Заявка PCT:
JP 01/07628 (04.09.2001)
(87) Публикация PCT:
WO 02/20007 (14.03.2002)
Адрес для переписки:
103735, Москва, ул. Ильинка, 5/2, ООО “Союзпатент”, пат.пов. А.П.Агурееву
|
(72) Автор(ы):
УЕНО Рюдзи (US)
(73) Патентообладатель(и):
СУКАМПО АГ (CH)
|
(54) КОМПОЗИЦИЯ СЛАБИТЕЛЬНОГО СРЕДСТВА
(57) Реферат:
Изобретение относится к области фармацевтики и касается композиции слабительного средства, включающей бициклическое соединение формулы I, способа, обеспечивающего слабительное действие, и применения соединений формулы I. Композиция обладает повышенной эффективностью. 3 н. и 39 з.п. ф-лы, 4 табл.

Область техники, к которой относится изобретение
Настоящее изобретение относится к новой композиции слабительного средства, которая применяется для облегчения и профилактики запора у пациентов – людей, страдающих запором, а также для очистки кишечника.
Уровень техники
Простагландины (в последующем обозначаются PG) представляют собой группу жирных кислот, которые обладают широким спектром физиологической активности и содержатся в тканях и органах человека и животных. PG содержат каркас простановой кислоты следующей формулы:

причем некоторые синтетические продукты могут содержать указанный выше каркас с некоторыми модификациями. Простагландины классифицируются на несколько типов по структуре и заместителям в пятичленном кольце, например:
Простагландины серии A (PGA), 
Простагландины серии В (PGB), 
Простагландины серии С (PGC), 
Простагландины серии D (PGD), 
Простагландины серии Е (PGE), 
Простагландины серии F (PGF); 
и т.п. Кроме того, они классифицируются на PG1, содержащие 13,14-двойную связь; PG2, содержащие 5,6- и 13,14-двойные связи; и PG3 содержащие 5,6-, 13,14- и 17,18-двойные связи.
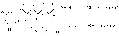
Простагландины изображают следующим образом. Атомы углерода, составляющие в PG -цепочку, -цепочку и пятичленное кольцо, нумеруются в соответствии с основным каркасом:

То есть атомы углерода, составляющие основной каркас, нумеруются таким образом, что атом углерода в карбоксильной группе обозначается С-1, а -цепочка содержит атомы углерода от С-2 до С-7, причем номера возрастают по направлении к кольцу, пятичленное кольцо содержит атомы углерода от С-8 до С-12 и -цепочка содержит атомы углерода от С-13 до С-20. В случае меньшего числа атомов углерода в -цепочке нумерация атомов углерода, последующих С-2, должна быть сдвинута надлежащим образом, а когда число атомов углерода больше 1, это соединение называется при условии, что атом углерода в положении С-2 имеет заместитель, вместо карбоксильной группы (в положении С-1). В случае меньшего числа атомов углерода в -цепочке их нумерация должна быть соответственно меньше чем 20, а когда число атомов углерода больше 8, атомы углерода в положении 21 и последующие следует рассматривать как заместитель.
Что касается конфигурации, то она рассматривается в соответствии с конфигурацией указанного выше основного каркаса, если не указано иное. Например, PGD, PGE и PGF означают соединения, в которых имеется гидроксильная группа в положениях С-9 и/или С-11. В настоящем изобретении PG также включает те простагландины, в которых имеется другая группа вместо гидроксильной группы в положениях С-9 и/или С-11, причем они называются 9-дегидрокси-9-замещенными или 11-дегидрокси-11-замещенными простагландиновыми соединениями.
Кроме того, простагландины могут включать изомеры, такие как бициклические таутомеры, оптические изомеры; геометрические изомеры или им подобные.
Известно, что PG имеют различные виды фармакологической и физиологической активности, например расширение сосудов, индуцирование воспаления, индуцирование агрегации тромбоцитов, стимулирование мышцы матки, противоязвенная активность и т.п. Обнаружено, что PGE или PGF обладают высокой способностью к сокращению кишечника, вызванному стимулированием кишечника, в то время как эффект кишечных скоплений является слабым. Соответственно применение PGE или PGF в качестве слабительного средства невозможно вследствие побочных эффектов, таких как боль в области желудка, вызванная сокращением кишечника.
С другой стороны, обнаружено, что PG, имеющие простую 13,14-связь и С-15 карбонильную группу, и те PG, которые имеют двойную 13,14-связь и С-15 карбонильную группу, находятся в продуктах обмена веществ человека или животного. Эти 13,14-дигидро-15-кето-простагландины и 15-кето-простагландины (в последующем называются 15-кето-РС) известны как метаболиты, получаемые естественным путем за счет ферментативного обмена веществ соответствующих PG в живом организме. Сообщалось, что для этих 15-кето-PG едва проявляются различные виды физиологической активности, характерные для PG и что они являются фармакологически и физиологически неактивными метаболитами (см. Acta Physiologica Scandinavica, т.66, с.509-(1966)).
В патенте США 5317032 (Ueno и др.) описаны простагландиновые слабительные средства, включающих их бициклические таутомеры. Однако для бициклических таутомеров до сих пор неизвестна определенная активность в качестве агентов для лечения и профилактики запора.
Сущность изобретения
Тем не менее, при оценке физиологической активности аналогов 15-кето-PG авторы настоящего изобретения обнаружили, что соответствующие бициклические соединения, например бициклические таутомеры, замещенные одним или несколькими атомами галогенов, могут применяться в малых дозах для облегчения запора. Если это желательно, можно использовать увеличенные дозировки, для того чтобы вызвать сильное слабительное действие, хотя главной задачей настоящего изобретения является восстановление нормальной функции кишечника (стул от 3 до 7 раз в неделю).
Задачей настоящего изобретения является обеспечение композиции слабительного средства, лишенного побочных эффектов на кишечник, которая включает в себя эффективное количество бициклического соединения, представленного формулой (I):

где V1 и V2 представляют собой атомы углерода или кислорода;
W1, когда V1 является атомом углерода, и W2, когда V2 является атомом углерода, представляет собой

R3 и R4 представляют собой атом водорода, или один из этих заместителей является группой ОН;
X1 и Х2 представляют собой атом водорода, низший алкил или галоген, причем, по меньшей мере, один из них является галогеном;
Z представляет собой атом углерода, кислорода, серы или азота;
R2 представляют собой атом водорода или алкил;
Y представляет собой насыщенный или ненасыщенный С2-10 углеводород, замещенный или не замещенный оксо-, галогеном, алкильной, гидроксильной, арильной или гетероциклической группой;
А представляет собой -СН2OH, -COCH2OH, -COOH, или их функциональное производное; и
R1 представляет собой насыщенный или ненасыщенный низший углеводородный остаток, имеющий неразветвленную или разветвленную цепь, который не замещен или замещен атомом галогена, оксо-группой, гидрокси-группой, низшей алкокси-группой, низшей алканоилокси-группой, низшей циклоалкильной группой, низшей циклоалкилокси-группой, арильной группой, арилокси-группой, гетероциклической группой или гетероциклической окси-группой; низшую циклоалкильную группу; низшую циклоалкилокси-группу; арильную группу; арилокси-группу; гетероциклическую группу; гетероциклическую окси-группу.
связь между С-13 и С-14 является двойной или простой связью и
С-15 имеет пространственную конфигурацию R, S или их смесь.
Настоящее изобретение также обеспечивает применение соединения формулы (I) для получения композиции слабительного средства.
Настоящее изобретение также предоставляет способ, обеспечивающий слабительное действие для нуждающихся в этом пациентов, который включает в себя введение соединения формулы (I).
Хотя бициклическое галоидированное соединение формулы (I) обеспечивает превосходное слабительное действие, указанное соединение не вызывает существенных побочных эффектов, таких как боль в области желудка, вызванная сокращением кишечника. Следовательно, соединение настоящего изобретения может применяться не только для лечения хронического или перемежающегося запора, но также для лечения или профилактики запора (а также для того, чтобы вызывать опорожнение кишечника, когда это желательно) у пациентов, страдающих от запора, связанного, например, с грыжей или с заболеванием сердечно-сосудистой системы, для того чтобы не напрягаться при стуле и не страдать от проктогенных заболеваний. Более того, эта композиция может применяться для обеспечения нормальной перистальтики кишечника для вымывания вредных веществ из кишечника в случае медикаментозного или пищевого отравления. Кроме того, бициклические галоидированные соединения настоящего изобретения могут использоваться в качестве агента, очищающего кишечник, применяемого для подготовки кишечника к предупредительным, диагностическим или хирургическим процедурам.
ПОДРОБНОЕ ОПИСАНИЕ ИЗОБРЕТЕНИЯ
Настоящее изобретение предлагает композицию слабительного средства, которая включает в себя эффективное в качестве слабительного количество бициклического соединения формулы (I).
Слабительные средства функционируют путем комбинирования одного или нескольких из четырех механизмов, приведенных ниже, в результате чего возрастает содержание воды в фекалиях и облегчается перемещение содержимого в кишечнике:
i). Вода и электролиты могут сохраняться в кишечнике благодаря гидрофильности или осмотическому воздействию лекарства, в результате чего увеличивается объем содержимого внутри кишечника, что косвенно приводит к более быстрому перемещению содержимого.
ii). Лекарство может воздействовать на слизистую оболочку кишечника, снижая общую величину обычной абсорбции электролитов и воды и увеличивая количество воды, что косвенно приводит к более быстрому перемещению содержимого кишечника.
iii). Лекарство может воздействовать на слизистую оболочку кишечника, увеличивая общую величину обычной секреции электролитов и воды и увеличивая количество воды, что непосредственно и/или косвенно приводит к более быстрому перемещению содержимого кишечника.
iv). Лекарство сначала воздействует на перистальтику кишечника, ускоряя перемещение, что косвенно приводит к уменьшению общего поглощения воды и электролитов, поскольку уменьшается время, в течение которого они могут поглощаться.
Применяемый в настоящем изобретении тест кишечных скоплений предназначается для исследования в основном механизмов ii) и/или iii), которые определяют действие лекарства на скопление воды внутри кишечника путем измерения объема содержимого внутри кишечника. Для бициклических галоидированных соединений настоящего изобретения может наблюдаться очень сильный эффект на эти скопления. Более того, они вызывают слабое или легкое сокращение кишечника, что представляет собой один из индексов для оценки действия механизма iv). В соответствии с этим считается, что бициклические галоидированные соединения формулы (I) настоящего изобретения облегчают запор главным образом путем непосредственного и/или косвенного воздействия на слизистую оболочку кишечника, чтобы повлиять на перемещение электролитов и воды из стенок кишечника в кровеносные сосуды и/или из кровеносных сосудов в кишечник, что приводит к снижению поглощения воды и/или к увеличению секреции воды через кишечник, повышенному скоплению воды внутри кишечника и облегчению перемещения содержимого кишечника.
В определениях формулы (I) термин «ненасыщенный» означает включение как минимум одной или более двойных связей и/или тройных связей, которые изолированно, отдельно или последовательно присутствуют между атомами углерода в главной и/или боковых цепях. Ненасыщенная связь между двумя последовательными положениями указывается путем приведения меньшего числа из двух положений, а ненасыщенная связь между двумя удаленными положениями обозначается с указанием обоих положений. Предпочтительными ненасыщенными связями являются двойная связь в положении 2 и двойная или тройная связь в положении 5.
Термин «низший» включает группу, имеющую от 1 до 8 атомов углерода, если не указано иное.
Термин «атом галогена» включает атомы фтора, хлора, брома или йода. Особенно предпочтительным является атом фтора.
Термин «низшая алкокси» относится к группе низший алкил-O-, в которой низший алкил представляет собой разветвленную или неразветвленную цепь насыщенной углеводородной группы, содержащей от 1 до 6 атомов углерода, и включает, например, метил, этил, пропил, изопропил, бутил, изобутил, трет-бутил, пентил и гексил.
Термин «низшая гидроксиалкильная группа» относится к низшим алкильным группам, которые определены выше, замещенным как минимум одной гидрокси-группой, такой как гидроксиметил, 1-гидроксиэтил, 2-гидроксиэтил и 1-метил-1-гидроксиэтил.
Термин «низшая алканоилокси-группа» относится к группе, представленной формулой RCO-O-, в которой RCO является ацильной группой, образовавшейся при окислении описанной ранее низшей алкильной группы, такой как ацетил.
Термин «низший циклоалкил» относится к циклической группе, образовавшейся при циклизации указанной ранее низшей алкильной группы, но содержащей три и более атома углерода, и включает, например, циклопропил, циклобутил, циклопентил и циклогексил.
Термин «низшая циклоалкилокси» относится к низшей циклоалкил-O-группе, в которой низшая циклоалкильная группа является такой, как определено выше.
Термин «арил» может включать замещенные или незамещенные ароматические карбоциклические группы (предпочтительно моноциклические группы), например фенил, нафтил, толил и ксилил. Примерами заместителей являются атом галогена и низший галоидалкил, в котором атом галогена и низший алкил такие, как определено выше.
Термин «арилокси» относится к группе, представленной формулой ArO-, в которой Ar представляет собой арил, такой как определено выше.
Термин «гетероциклическая группа» может включать моноциклические гетероциклические группы, в цикле которых имеются от 5 до 14 атомов, предпочтительно от 5 до 10 атомов, содержащие в качестве составляющих атомов необязательно замещенные атомы углерода и от 1 до 4, предпочтительно от 1 до 3 гетероатомов одного или двух типов, выбранных из атома кислорода, атома азота и атома серы, и конденсированные гетероциклические группы, содержащие до 3 циклических функциональных групп, по меньшей мере одна из которых представляет собой указанную выше моноциклическую группу. Примеры гетероциклических групп включают фурильную группу, тиенильную группу, пирролил, оксазолил, изоксазолил, тиазолиловую группу, изотиазолиловую группу, имидазолиловую группу, пиразолиловую группу, фуразанильную группу, пиранильную группу, пиридил, пиридазил, пиримидил, пиразильную группу, 2-пирролинил, пирролидинил, 2-имидазолинил, имидазолидиниловую группу, 2-пиразолиниловую группу, пиразолидиниловую группу, пиперидиновую группу, пиперазиниловую группу, морфолиновую группу, индолильную группу, бензотиенильную группу, хинолильную группу, изохинолильную группу, пурил, хиназолиниловую группу, карбазолиловую группу, акридинил, фенантридинил, бензимидазолил, бензимидазолонил, фенотиазинильную группу. Примеры заместителей в этом случае включают атом галогена и галогензамещенный низший алкил, в котором атом галогена и низший алкил являются такими, как описано выше.
Термин «гетероциклическая окси-группа» означает группу, представленную формулой Нс-O-, где Нс является такой гетероциклической группой, как описано выше.
Используемые в настоящем изобретении бициклические-16-галоидированные соединения могут быть солями, или эти соединения включают в себя этерифицированную карбоксильную группу или группу простого эфира. Такие соли включают фармацевтически приемлемые соли, например соли щелочных металлов, таких как натрий и калий; соли щелочноземельных металлов, таких как кальций и магний; фармацевтически приемлемые аммонийные соли, такие как соли аммония, метиламина, диметиламина, циклопентиламина, циклогексиламина, бензиламина, пиперидина, этилендиамина, моноэтаноламина, диэтаноламина, триэтаноламина, монометилмоноэтаноламина, трометамина, лизина, прокаина, кофеина, аргинина, соль тетраалкиламмония и тому подобные. Эти соли могут быть приготовлены традиционным способом, например, из соответствующих кислот и оснований или реакцией замещения солей.
Примеры таких сложных и простых эфиров включают алкиловые сложные и простые эфиры с неразветвленной или разветвленной цепочкой, которые могут содержать одну или несколько ненасыщенных связей, такие как метиловые эфиры, этиловые эфиры, пропиловые эфиры, изопропиловые эфиры, бутиловые эфиры, изобутиловые эфиры, трет-бутиловые эфиры, пентиловые эфиры и 2-этилгексиловые эфиры; эфиры, которые имеют алициклическую группу, такую как циклопропил, циклопентил или циклогексиловую группу; эфиры, содержащие ароматическую группу, такую как фенильную или бензильную группу (в которой ароматическая группа может содержать один или несколько заместителей); низший алкенил, такой как винил и аллил и низший алкинил, такой как этинил и пропинил; гидроксиалкил или алкоксиалкил, такой как гидроксиэтил, гидроксиизопропил, полигидроксиэтил, полигидроксиизопропил, метоксиэтил, этоксиэтиловый или метоксиизопропиловый простой или сложный эфир; необязательно замещенные арилы, такие как фенил, тозил, простой трет-бутилфенил, салицил, 3,4-диметоксифенил и бензамидофенил; алкилсилилы, такие как триметилсилил или триэтилсилил; или простой или сложный тетрагидропираниловый эфир.
Предпочтительно сложные и простые эфиры включают, например, сложные и простые эфиры низших алкилов с неразветвленной или разветвленной цепочкой, такие как метил, этил, пропил, изопропил, н-бутил или трет-бутил; бензил; или гидроксиалкил, такой как гидроксиэтил или гидроксиизопропил.
Предпочтительно А является группой -СООН или ее фармацевтически приемлемая соль или сложный эфир.
Предпочтительно оба X1 и Х2 представляют собой атомы галогена и более предпочтительно атомы фтора.
Предпочтительно W1 представляет собой группу =O.
Предпочтительно W2 представляет собой или когда оба R3 и R4 представляют собой атомы водорода.
Предпочтительно Z представляет собой атом кислорода.
Предпочтительно Y представляет собой незамещенную насыщенную или ненасыщенную углеводородную цепь, содержащую 6-8 атомов углерода.
Предпочтительно R1 представляет собой незамещенную насыщенную или ненасыщенную углеводородную цепь, содержащую 4-8 атомов углерода.
Предпочтительно R2 представляет собой атом водорода.
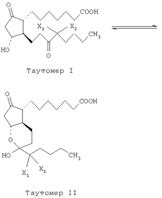
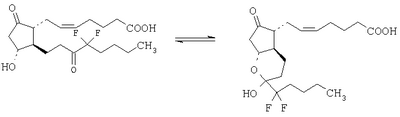
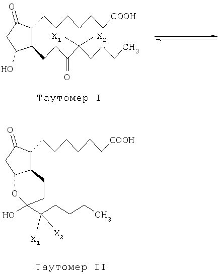
Композиция настоящего изобретения может включать изомеры указанных выше соединений. Примеры таких изомеров включают моноциклические таутомеры, имеющие кето-группу в положении С-15 и атом галогена в положении С-16; оптические изомеры геометрические изомеры, и т. п.

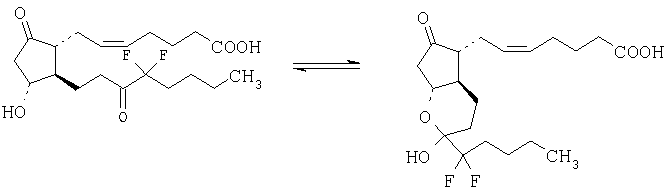
Таутомеризм между атомом кислорода в положении С-11 и кето-группой в положении С-15, показанный выше, является особенно значительным в случае соединений, имеющих 13,14-простую связь и два атома фтора в положении С-16.
Было установлено, что в отсутствие воды соединения, представленные формулой (I), существуют преимущественно в виде бициклического соединения. Полагают, что в водной среде образуется водородная связь, например, между группой кетона в положении С-15, тем самым затрудняется образование бициклической системы. Кроме того, считается, что атом (атомы) галогена в положении С-16 облегчают образование бициклической системы. Например, моноциклические/бициклические структуры могут присутствовать в соотношении 1:6 в D2O; 1:10 в CD3OD-D2O; и 4:96 в CDCl3. Соответственно предпочтительным вариантом воплощения настоящего изобретения является композиция, в которой бициклическое соединение присутствует в соотношении бициклическое/моноциклическое, равном, по меньшей мере, 1/1 и предпочтительно 20/1 или даже больше, включая практически все бициклическое соединение; 100% бициклическое соединение входит в объем защиты этого изобретения.
Описанные выше бициклические 16-галоидированные соединения формулы (I) могут быть получены в соответствии с общим способом, который изложен ниже.
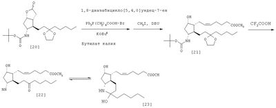
Получение изопропилового эфира 7-[(1S,3S,6S,7R)-3-гептил-3-гидроксибицикло[4,3,0]-нонан-8-он-7-ил]гепт-5-еновой кислоты и изопропилового эфира 7-[(1S,3R,6S,7R)-3-гептил-3-гидроксибицикло[4,3,0]-нонан-8-он-7-ил]гепт-5-еновой кислоты.
1. Получение изопропилового эфира (Z) 7-[(1R,2R,3R,5S)-2-(3,3-этилендиоксидецил-5-гидрокси-3-(п-толуолсульфонил)циклопентил]гепт-5-еновой кислоты (2)

Добавляют к смеси пиридина (0,77 г) и 4,05 г изопропилового эфира (Z) 7-[(1R,2R,3R,5S)-3,5-дигидрокси-2-(3,3-этилендиоксидецил)циклопентил]гепт-5-еновой кислоты (1) в дихлорметане раствор 1,86 г хлористого тозила в дихлорметане при 0°С, и смесь перемешивают 2 суток при этой температуре. В ходе реакции тремя порциями добавляют раздельно 5,58 г хлористого тозила и 2,31 г пиридина. После обычной обработки неочищенный продукт выделяют хроматографически на силикагеле, получая 3,45 г изопропилового эфира (Z) 7-[(1R,2R,3R,5S)-2-(3,3-этилендиоксидецил)-5-гидрокси-3-(п-толуолсульфокси)циклопентил]гепт-5-еновой кислоты (2) с выходом 64,1%.
2. Получение изопропилового эфира (Z) 7-[(1R,2S)-2-(3,3-этилендиоксидецил)-5-оксо-циклопент-3-енил]гепт-5-еновой кислоты (3)

Изопропиловый эфир (Z) 7-[(1R,2R,3R,5S)-2-(3,3-этилендиоксидецил)-5-гидрокси-3-(п-толуолсульфонил)циклопентил]-гепт-5-еновой кислоты (2) (1,72 г) окисляют в ацетоне при температуре от -40 до -20°С реагентом Джонса в течение 4 ч. После обычной обработки неочищенный продукт пропускают через слой силикагеля со смесью н-гексан/этилацетат (3,5/1). Затем продукт дополнительно очищают хроматографически на силикагеле со смесью н-гексан/этилацетат (4/1). Получают 0,81 г изопропилового эфира (Z) 7-[(1R,2S)-2-(3,3-этилендиоксидецил)-5-оксо-циклопент-3-енил]гепт-5-еновой кислоты (3) с выходом 64,6%.
3. Получение изопропилового эфира 7-[(1R,2S,3R)-2-(3,3-этилендиоксидецил)-3-гидроксиметил-5-оксоциклопентил]гепт-5-еновой кислоты (4)

Растворяют в метаноле 0,81 г изопропилового эфира (Z) 7-[(1R,2S)-2-(3,3-этилен-диоксидецил)-5-оксо-циклопент-3-енил]гепт-5-еновой кислоты (3) и бензофенон. В атмосфере аргона этот раствор облучают с помощью ртутной лампы высокого давления (300 Вт) в течение 4 ч и 40 мин. После выпаривания растворителя неочищенный продукт очищают хроматографически на силикагеле смесью н-гексан/этилацетат (3/2). Получают 0,41 г изопропилового эфира 7-[(1R,2S,3R)-2-(3,3-этилендиоксидецил)-3-гидроксиметил-5-оксоциклопентил]гепт-5-еновой кислоты (4) с выходом 47%.
4. Получение изопропилового эфира 7-[(1R,2S,3R)-2-(3,3-этилендиоксидецил)-5-оксо-3-(п-толуолсульфоксиметил) циклопентил]-гепт-5-еновой кислоты (5)

Растворяют 0,21 г изопропилового эфира 7-[(1R,2S,3R)-2-(3,3-этилендиоксидецил)-3-гидроксиметил-5-оксоциклопентил]гепт-5-еновой кислоты (4) и 0,07 г пиридина в дихлорметане. В этот раствор добавляют 0,17 г хлористого тозила при 0°С и смесь перемешивают в течение 72 ч. После обычной обработки неочищенный продукт выделяют хроматографически на силикагеле, получая 0,25 г изопропилового эфира 7-[(1R,2R,3R)-2-(3,3-этилендиоксидецил)-5-оксо-3-(п-толуолсульфокси)метилциклопентил]гепт-5-еновой кислоты (5) с выходом 89%.
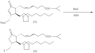
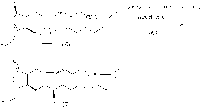
5. Получение изопропилового эфира 7-[(1R,2R,3R)-2-(3,3-этилендиоксидецил)-3-иодметил-5-оксоциклопентил]гепт-5-еновой кислоты (6)

Растворяют 0,25 г изопропилового эфира 7-[(1R,2S,3R)-2-(3,3-этилендиоксидецил)-5-оксо-3-(п-толуолсульфокси)метилциклопентил]-гепт-5-еновой кислоты (5) в ацетоне и добавляют 0,12 г йодида натрия. Смесь кипятят с обратным холодильником в течение 3 ч. К смеси добавляют 0,097 г йодида натрия и смесь кипятят с обратным холодильником еще 80 минут. После обычной обработки неочищенный продукт очищают хроматографически на силикагеле смесью н-гексан/этилацетат (5/1). Получают 0,16 г изопропилового эфира 7-[(1R,2R,3R)-2-(3,3-этилендиоксидецил)-3-иодметил-5-оксоциклопентил]гепт-5-еновой кислоты (6) с выходом 68%.
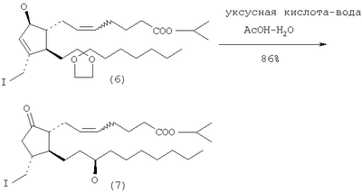
6. Получение изопропилового эфира 7-[(1R,2R,3R)-3-иодметил-5-оксо-2-(3-оксодецил)-циклопентил]гепт-5-еновой кислоты (7)

Растворяют 0,16 г изопропилового эфира 7-[(1R,2R,3R)-2-(3,3-этилендиоксидецил)-3-иодметил-5-оксоциклопентил]гепт-5-еновой кислоты (6) в смешанном растворителе уксусная кислота/вода/тетрагидрофуран (3/1/1). Смесь перемешивают 20 ч при комнатной температуре и 2,5 ч при 50°С. После выпаривания растворителя полученный остаток очищают хроматографически на силикагеле смесью н-гексан/этилацетат (1/1). Получают 0,13 г изопропилового эфира 7-[(1R,2R,3R)-3-иодметил-5-оксо-2-(3-оксодецил)-циклопентил]гепт-5-еновой кислоты (7) с выходом 86%.
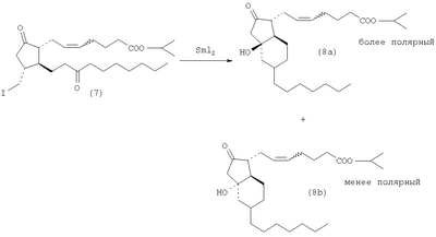
7. Получение изопропилового эфира 7-[(1S,3S,6S,7R)-3-гептил-3-гидроксибицикло-[4,3,0]-нонан-8-он-7-ил]гепт-5-еновой кислоты (8а) и изопропилового эфира 7-[(1S,3R,6S,7R)-3-гептил-3-гидроксибицикло[4,3,0]-нонан-8-он-7-ил]гепт-5-еновой кислоты (8b)

Растворяют в тетрагидрофуране 0,0574 г изопропилового эфира 7-[(1R,2R,3R)-3-иодметил-2-(3-оксодецил)-5-оксо-циклопентил]гепт-5-еновой кислоты (7) и дихлорид цирконоцена. Смесь обрабатывают звуком в токе аргона, чтобы выдуть воздух из смеси. В эту смесь по каплям добавляют 0,1 М раствор иодида самария в тетрагидрофуране (2,1 мл). Смесь перемешивают 30 мин при комнатной температуре и затем добавляют 1 мл 0,1 М хлористоводородной кислоты. После обычной обработки неочищенный продукт очищают хроматографически на силикагеле смесью н-гексан/этилацетат (5/1). Получают два бициклических продукта, более полярный (8а) и его менее полярный эпимер (8b) и исходный материал (7) следующим образом:
Изопропиловый эфир 7-[(1S,3S,6S,7R)-3-гептил-3-гидроксибицикло-[4,3,0]-нонан-8-он-7-ил]гепт-5-еновой кислоты (8а) и изопропилового эфира 7-[(1S,3R,6S,7R)-3-гептил-3-гидрокси-бицикло[4,3,0]-нонан-8-он-7-ил]гепт-5-еновой кислоты (8b). Выход (8а) 5,1 мг. Выход (8b) 7,2 мг; выделено 26,7 мг исходного материала (7).
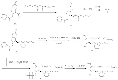
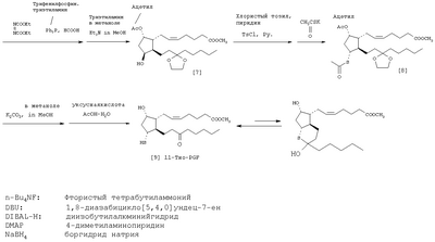
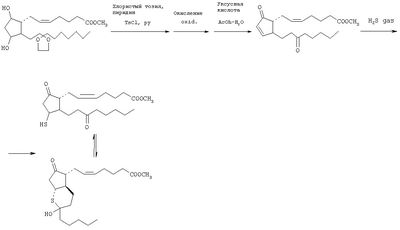
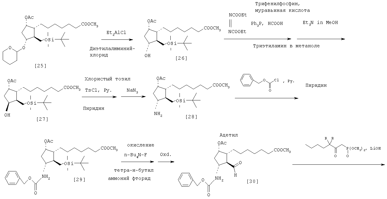
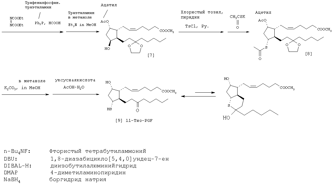
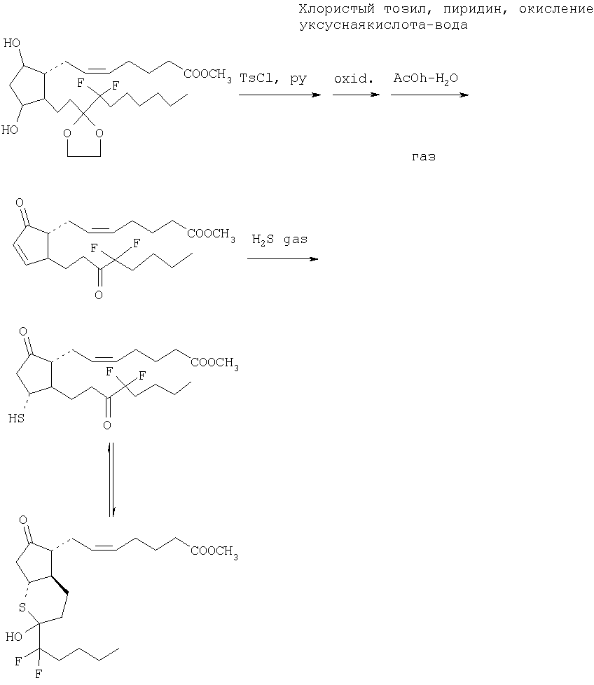
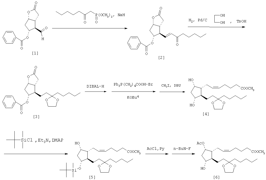
Схема синтеза соединения, представленного формулой (I), в которой Z является атомом серы и W1 представляет собой группу -ОН, приведена ниже:


Схема синтеза соединения, представленного формулой (I), в которой Z является атомом серы и W1 представляет собой кето-группу, приведена ниже:

Схема синтеза соединения, представленного формулой (I), в которой Z является атомом серы, W1 представляет собой кето-группу

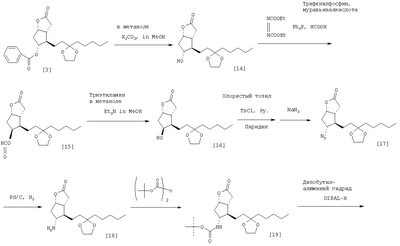
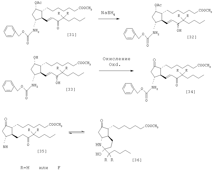
Схема синтеза соединения, представленного формулой (I), в которой Z является атомом азота, приведена ниже:


Другая схема синтеза соединения, представленного формулой (I), в которой Z является атомом азота, приведена ниже:


Не следует считать, что препараты настоящего изобретения ограничиваются приведенными выше, причем при их получении могут применяться подходящие средства для защиты, окисления, восстановления и т.п.
В бициклических 16-галоидированных соединениях, применяемых в настоящем изобретении, значительно усилена активность в отношении кишечных скоплений, когда в положении С-16 имеются два атома галогена-заместителя, особенно два атома фтора, независимо от структуры и заместителей в пятичленном кольце или наличия двойных связей или других заместителей. Особенно предпочтительными бициклическими галоидированными соединениями являются те таутомеры, которые образуются из моноциклических соединений, имеющих кето-группу в положении С-9 и гидроксильную группу в положении С-11 в пятичленном кольце. Другой предпочтительной группой являются бициклические галоидированные соединения, содержащие 5,6-простую связь, 5,6-двойную связь, или те, в которых число атомов углерода составляет 20-22, причем R1 содержит от 4 до 6 атомов углерода, предпочтительно в неразветвленной цепи.
Пример моноциклического/бициклического 16-галоидированного соединения, содержащего 5,6-двойную связь, приведен ниже:

Другой вариант воплощения настоящего изобретения включает в себя композицию настоящего изобретения и триглицерид жирной кислоты со средней цепочкой. Кислота триглицерида может быть насыщенной или ненасыщенной, содержащей 6-14 атомов углерода, которые могут образовать разветвленную цепь. Предпочтительной жирной кислотой является насыщенная жирная кислота с неразветвленной цепью, например капроновая кислота, каприловая кислота, лауриновая кислота и миристиновая кислота. Могут использоваться в виде смеси два (или более) триглицерида жирной кислоты с цепочкой средней длины.
Композиция настоящего изобретения может быть получена путем растворения или смешивания бициклического соединения формулы (I) в триглицериде жирной кислоты со средней цепочкой. Количество триглицерида жирной кислоты со средней цепочкой не ограничивается. Однако обычно можно использовать от 1 до 1000000 весовых частей триглицерида жирной кислоты со средней цепочкой в расчете на одну весовую часть бициклического соединения, предпочтительно от 5 до 500000 весовых частей и более предпочтительно от 10 до 200000 весовых частей.
Примеры триглицерида жирной кислоты со средней цепочкой, используемого в настоящем изобретении, включают триглицерид насыщенной или ненасыщенной жирной кислоты, содержащей 6-14 атомов углерода, которые могут образовать разветвленную цепь. Предпочтительной жирной кислотой является насыщенная жирная кислота с неразветвленной цепью, например капроновая кислота (С6), каприловая кислота (С8), лауриновая кислота (С12) и миристиновая кислота (С14). Кроме того, можно использовать смесь из двух или нескольких триглицеридов жирной кислоты со средней цепочкой.
Для увеличения соотношения моноциклического/бициклического соединения можно использовать еще более неполярный растворитель, такой как промышленно доступный Miglyol.
Для иллюстрации рецептуры варианта настоящего изобретения и демонстрации сильного влияния стерических затруднений ниже приведен пример
Пример
Указанные ниже соединения 1 и 2 растворяют в смеси триглицеридов жирной кислоты со средней цепочкой МСТ (МСТ – смесь триглицерида каприловой кислоты и триглицерида капроновой кислоты в соотношении 85:15) в количестве, указанном ниже в таблице

Каждый раствор помещают в емкость, изготовленную из прочного стекла, и хранят при 40°С. Изменение содержания соединений 1 и 2 в растворах во времени определяют методом жидкостной хроматографии высокого давления (ЖХВД). Одновременно каждое из соединений 1 и 2 помещают в емкость отдельно (не разбавляя их растворителем), как указано выше, и хранят при 40°С, для того чтобы обеспечить контрольное исследование.
В отсутствие растворителя содержание соединений определяют методом ЖХВД следующим образом. Сохраняемые соединения 1 и 2 и стандартные соединения 1 и 2 точно взвешивают (навеска около 0,025 г) и добавляют аликвоты (точно 5 мл) раствора внутреннего стандарта к соответствующим навескам соединений. Препараты для испытаний и стандартные препараты получают путем добавления ацетонитрила (для жидкостной хроматографии), для того чтобы получить общий объем каждого препарата точно 10 мл. В жидкостной хроматограф вводят пробы по 10 мкл препарата для испытаний и стандартного препарата и определяют содержание вещества методом внутреннего стандарта по точке на калибровочной кривой:

WS – количество соединения в стандартном препарате, мг
WT – количество соединения 1 и 2 в препарате для испытаний, мг
QS – площадь пика соединения в стандартном препарате относительно площади пика во внутреннем стандарте.
QT – площадь пика соединения в препарате для испытаний относительно площади пика во внутреннем стандарте.
Условия измерений
Детектор: спектрофотометр ультрафиолетового (УФ) поглощения при длине волны 294 нм.
Колонка: нержавеющая трубка, имеющая внутренний диаметр приблизительно 5 мм и длину около 250 мм, заполненная октадецилсилил-силикагелем для жидкостной хроматографии (частицы 5 мкм).
Температура колонки: постоянная, приблизительно 35°С.
Подвижная фаза: смешанный раствор ацетонитрил (для жидкостной хроматографии)/водный раствор ацетата натрия (0,01 моль/л)/ледяная уксусная кислота (800:200:1).
В присутствии растворителя определяют содержание соединения методом ЖХВД следующим образом.
На основе величин, приведенных ниже в таблице, точно взвешивают навеску раствора, соответствующую 36 мкг соединений 1 и 2. Добавляют точно 1,0 мл раствора внутреннего стандарта и затем добавляют этилацетат (для жидкостной хроматографии), получая в каждом случае общий объем 10 мл. Каждую пробу 0,1 мл этого раствора концентрируют в вакууме досуха, получая препарат для испытаний.
Точно взвешивают по 18 мг каждого стандартного соединения и смешивают с этилацетатом (для жидкостной хроматографии), получая в каждом случае общий объем точно 50 мл. Точно отмеривают 1,0 мл этого раствора и 10 мл раствора стандартного соединения и смешивают с этилацетатом (для жидкостной хроматографии), получая в каждом случае общий объем точно 100 мл. Каждую пробу 0,1 мл этого раствора концентрируют в вакууме досуха, получая препарат для испытаний.
Добавляют в испытуемый и стандартный препараты по 0,1 мл реагента – флуоресцентной метки и 0,85 мл катализатора для флуоресцентной метки соответственно, и смесь перемешивают, проводя реакцию при комнатной температуре, в течение более 30 минут. В реакционную смесь добавляют аликвоты (по 0,05 мл) ацетонитрила (для жидкостной хроматографии), содержащие 2% уксусной кислоты, соответственно смесь перемешивают и выдерживают в течение более 30 минут, чтобы получить испытуемый и стандартный растворы.
В жидкостной хроматограф вводят пробы по 10 мкл раствора для испытаний и стандартного раствора и определяют содержание соответствующего вещества методом внутреннего стандарта по точке на калибровочной кривой:

Ws – количество соединения в стандартном препарате, мг
Qs – площадь пика соединения в стандартном препарате относительно площади пика во внутреннем стандарте.
Qт – площадь пика соединения в препарате для испытаний относительно площади пика во внутреннем стандарте.
Условия измерений
Детектор: флуоресцентный спектрометр (длина волны возбуждающего излучения 259 нм; длина волны флуоресценции 394 нм).
Колонка: нержавеющая трубка, имеющая внутренний диаметр приблизительно 5 мм и длину около 250 мм, заполненная фазой – октадецилсилил-силикагель для жидкостной хроматографии (частицы 5 мкм).
Температура колонки: постоянная, приблизительно 35°С.
Подвижная фаза: смешанный раствор ацетонитрил (для жидкостной хроматографии)/метанол (для жидкостной хроматографии)/водный раствор ацетата аммония (0,05 моль/л) (4:11:5).
| Таблица |
| |
Соединение 1 |
Соединение 2 |
| Кристаллы |
МСТ1 |
Кристаллы |
МСТ2 |
| Исходный |
100 |
100 |
100 |
100 |
| 6 суток |
|
|
84,5 |
|
| 7 суток |
97,2 |
|
|
|
| 14 суток |
94,1 |
101,4 |
75,0 |
99,6 |
| 28 суток |
87,4 |
|
53,4 |
98,9 |
| 38 суток |
|
102,1 |
|
|
| 90 суток |
|
100,9 |
|
|
| 191 сутки |
|
|
|
99,6 |
1Соединение 1/растворитель: 0,36 мг/г 2Соединение 2/растворитель: 0,12 мг/г |
Композиция настоящего изобретения вызывает очень сильный эффект в отношении скоплений внутри кишечника, ингибируя поглощение воды в кишечнике. Кроме того, для соединений настоящего изобретения отсутствует или сильно снижается эффект сокращения кишечника, который возможен для простагландинов PGE или PGF. Следовательно, композиции настоящего изобретения излечивают запор без недомогания в желудке благодаря сокращению кишечника, вызывающего жалобы на боли. Кроме того, соединение настоящего изобретения позволяет ослабить запор, приводя к нормальному функционированию кишечника. Более того, требуется немного времени на восстановление кишечника от симптомов диареи, если она вызвана соединениями настоящего изобретения, которые обладают большим промотирующим эффектом в отношении перемещений внутри кишечника. Поэтому они очень эффективны в качестве слабительного средства.
Композиция настоящего изобретения может быть использована в качестве слабительного средства для лечения и предупреждения запора у людей и животных, и обычно она применяется для системного или местного назначения путем введения через рот или в виде свечей, клизмы и т.п. В некоторых случаях эти средства могут применяться в виде внутривенной или подкожной инъекции. Дозировка изменяется в зависимости от вида пациента (люди, животные), его возраста, веса, состояния, терапевтического эффекта, способа назначения, времени лечения и т.п. Предпочтительной является доза 0,001-1000 мкг/кг и более предпочтительно 0,01-100 мкг/кг.
Композицию настоящего изобретения также можно использовать для обеспечения агента, очищающего кишечник, для подготовки кишечника к диагностической или хирургической процедуре, такой как эндоскопическое обследование, колоноскопия (обследование толстой кишки), рентгеноскопия, рентгеноскопия с двойным контрастом с бариевой клизмой и внутривенная пиелография; и для случая экстренной помощи, такой как удаление отравляющего вещества или пищевое отравление.
Твердая композиция настоящего изобретения для перорального введения включает таблетки, препараты, гранулы, и т.п. В такой твердой композиции один или несколько активных компонентов могут смешиваться, по меньшей мере, с одним неактивным разбавителем, например лактозой, маннитом, глюкозой, гидроксипропилцеллюлозой, микрокристаллической целлюлозой, крахмалом, поливинилпирролидоном, алюминатом и метасиликатом магния и т.п. в соответствии с обычной процедурой, композиция может содержать другие добавки кроме неактивного разбавителя, например смазывающее вещество, такое как стеарат магния; измельчитель, такой как волокнистый глюконат кальция; стабилизатор, такой как циклодекстрин, например, -, – или -циклодекстрин; этерифицированный циклодекстрин, такой как диметил- , диметил- -, триметил- – или гидроксипропил- -циклодекстрин; разветвленный циклодекстрин, такой как глюкозил-, мальтозил-циклодекстрин; формилированный циклодекстрин, циклодекстрин, содержащий серу; фосфолипид и т.п. В случае использования указанных выше циклодекстринов иногда могут формироваться соединения включения с циклодекстрином для повышения стабильности. Альтернативно иногда может использоваться фосфолипид с образованием липосомы, что приводит к повышению стабильности.
В случае необходимости таблетки или пилюли могут быть покрыты пленкой, растворяющейся в желудке или кишечнике, такой как сахар, желатин, гидроксипропил-целлюлоза, фталат гидроксипропилметилцеллюлозы. Кроме того, они могут быть сформованы в виде капсул из веществ, способных поглощаться, таких как желатин.
Жидкая композиция для перорального введения может содержать фармацевтически приемлемую эмульсию, раствор, суспензию, сироп, эликсир, так же, как обычно используемый неактивный разбавитель. Такая композиция может содержать кроме неактивного разбавителя вспомогательные вещества, такие как суспендирующие агенты, подсластители, душистые вещества, консерванты, антиокислители и т.п. Подробности о добавках можно выбрать из тех, что описаны в любых общих справочниках по фармацевтике. Такие жидкие композиции могут содержаться непосредственно в мягких капсулах. Однако выбор разбавителя, отличающегося от тех, что упомянуты выше, в которых может растворяться или смешиваться моноциклическое/бициклическое соединение, должен быть тщательно обоснован, для того чтобы не повлиять на отношение бициклическое/моноциклическое соединение.
Растворы для парэнтерального введения, например свечи, клизмы, и т.п. согласно настоящему изобретению, включают, например, дистиллированную воду, физиологический раствор и раствор Рингера.
Неводный раствор и суспензия включают, например, пропиленгликоль, полиэтиленгликоль, триглицерид жирной кислоты, растительное масло, такое как оливковое масло, спирты, такие как этанол, полисорбат и т.п. Такая композиция может содержать вспомогательные вещества, такие как предохранители, смачивающий агент, эмульгатор, суспендирующий агент, антиокислители и т.п.
Настоящее изобретение будет проиллюстрировано в следующих примерах, которые приведены только с целью иллюстрации и не предназначаются для ограничения объема настоящего изобретения.
Корреляция моноциклической/бициклической структуры и биологической активности.
Для иллюстрации влияния атомов галогена в положении С-16 в бициклических галоидированных соединениях в композиции настоящего изобретения были приготовлены и испытаны соединения в следующих примерах.
Пример 1
Биологическую активность композиции настоящего изобретения в зависимости от соотношения моноциклической/бициклической структуры, когда в общей формуле (I) Z представляет собой атом кислорода, причем кето-группа присутствует в положении С-9, можно проследить из следующих ниже примеров. Число атомов фтора в положении С-16 и соотношение моноциклической/бициклической структуры показаны в таблице 1.

Были проведены испытания кишечных скоплений и испытания на диарею, результаты представлены в таблице 1. Дозировка, при которой содержание внутри кишечника увеличивается на 50%, названа ED50.
| Таблица 1 |
| |
Пример А |
Пример В |
Сравнительный пример А |
| Число атомов фтора в положении С-16 |
2 |
1 |
0 |
Соотношение моноциклической/бициклической структуры |
4:96 |
1:1 |
Не обнаружен сигнал от бициклической структуры |
| Активность кишечных скоплений, ED50 |
0,6 мкг/кг |
2 мкг/кг |
320 мкг/кг |
| Диарея у мышей |
+: при 3 мг/кг ПО1 +: при 0,3 мг/кг ПК |
±: при 0,3 мг/кг ПК2 |
-: при 10 мг/кг ПО -: при 1 мг/кг ПК |
Определено из измерений методом ЯМР в растворе CDCl3 lПО – введение дозы через рот 2ПК – подкожное введение |
Пример 2
Зависимость биологической активности композиции настоящего изобретения от соотношения моноциклической/бициклической структуры, когда в общей формуле (I) Z представляет собой атом кислорода, причем кето-группа присутствует в положении С-9 и имеется двойная связь между атомами углерода 5,6, показана ниже.

Были проведены испытания кишечных скоплений и испытания на диарею, результаты представлены ниже, в таблице 2. Дозировка, при которой содержание внутри кишечника увеличивается на 50%, названа ED50.
| Таблица 2 |
| |
Пример С |
Пример D |
Сравнительный пример С |
| Число атомов фтора в положении С-16 |
2 |
1 |
0 |
Соотношение моноциклической/бициклической структуры |
4:96 |
1:1 |
Не обнаружен сигнал от бициклической структуры |
| Активность кишечных скоплений, ED50 |
0,3 мкг/кг |
3 мкг/кг |
220 мкг/кг |
| Диарея у мышей |
+: при 1 мг/кг ПО1 |
-: при 1 мг/кг ПО +: при 5 мг/кг ПО |
-: при 10 мг/кг ПО |
Определено из измерений методом ЯМР в растворе CDCl3 1ПО – введение дозы через рот |
Влияние соединения настоящего изобретения, растворенного в триглицериде жирной кислоты со средней цепочкой на перистальтику кишечника после единственного перорального введения здоровым мужчинам-добровольцам.
Здоровым мужчинам-добровольцам (n=от 3 до 9) вводят композицию, содержащую следующие моноциклические/бициклические структуры (в растворе CDCl3) в соотношении 4:96.

Испытуемое субстанцию (R1 и R2 являются атомами фтора) растворяют в реагенте Panacet 800 (триглицерид жирной кислоты со средней цепочкой, продукт фирмы Nippon Oil & Fat Co., Ltd., Amagasaki, Japan) и заполняют раствором капсулы (каждая капсула содержит 200 мкл смеси). Каждому субъекту вводят одну капсулу со 100 мл воды.
В таблице 3 показано количество субъектов, у которых наблюдается свободный стул или диарея.
| Таблица 3 |
| Доза, мкг |
Количество субъектов |
| Нормальный стул |
Свободный стул или диарея |
| 5 |
1/3 |
2/3 |
| 10 |
5/7 |
2/7 |
| 20 |
1/3 |
2/3 |
| 30 |
2/9 |
7/9 |
Хотя это изобретение описано подробно и со ссылкой на его конкретные варианты воплощения, для квалифицированных специалистов в этой области техники будет очевидно, что возможны различные изменения и вариации изобретения без отклонения от замысла и объема изобретения.
Формула изобретения
1. Композиция слабительного средства, которая включает в себя эффективное, в качестве слабительного, количество бициклического соединения, представленного формулой (I)

где V1 и V2 представляют собой атомы углерода;
W1 и W2 представляют собой

R3 и R4 представляют собой атом водорода или один из этих заместителей является группой OH;
X1 и Х2 представляют собой атом водорода, низший алкил или атом галогена, причем, по меньшей мере, один из них является атомом галогена;
Z представляет собой атом кислорода;
R2 представляют собой атом водорода или алкил;
Y представляет собой насыщенную или ненасыщенную С2-10 углеводородную цепь;
А представляет собой -СН2OH, -COCH2ОН, -СООН, или их функциональное производное;
R1 представляет собой насыщенный или ненасыщенный низший углеводородный остаток, имеющий неразветвленную или разветвленную цепь;
связь между положениями С-13 и С-14 является двойной или простой связью;
С-15 имеет пространственную конфигурацию R, S или их смесь.
2. Композиция по п.1, которая дополнительно включает в себя соединение, являющееся моноциклическим таутомером формулы (I), в количестве, обеспечивающем соотношение бициклической структуры к моноциклической, по меньшей мере, равное 1:1.
3. Композиция по п.1, которая дополнительно включает в себя соединение, являющееся моноциклическим таутомером формулы (I), в количестве, обеспечивающем соотношение бициклической структуры к моноциклической, по меньшей мере, равное 20:1.
4. Композиция по п.1, в которой А является группой -СООН, W1 является кето-группой, R2 является атомом водорода и X1 и Х2 представляют собой атомы фтора.
5. Композиция по п.1, в которой А является группой -СООН, Y представляет собой (СН2)6, W1 является О, R3 и R4 представляют собой атомы водорода, X1 и Х2 представляют собой атомы фтора и R1 представляет собой -(СН2)3СН3.
6. Композиция по п.1, в которой бициклическое соединение представляет собой

7. Композиция по любому одному из пп.1-6, которая дополнительно включает в себя триглицерид жирной кислоты со средней цепочкой.
8. Композиция по п.7, в которой триглицерид жирной кислоты со средней цепочкой присутствует в количестве от 1 до 1000000 вес. ч. в расчете на одну весовую часть бициклического соединения формулы (I).
9. Композиция по п.8, в которой триглицерид жирной кислоты со средней цепочкой присутствует в количестве от 5 до 500000 вес. ч. в расчете на одну весовую часть бициклического соединения формулы (I).
10. Композиция по п.9, в которой триглицерид жирной кислоты со средней цепочкой присутствует в количестве от 10 до 200000 вес. ч. в расчете на одну весовую часть бициклического соединения формулы (I).
11. Композиция по п.7, в которой триглицерид жирной кислоты со средней цепочкой представляет собой триглицерид жирной кислоты, содержащей 6-14 атомов углерода.
12. Композиция по п.11, в которой триглицерид жирной кислоты со средней цепочкой представляет собой триглицерид каприловой кислоты и/или каприновой кислоты.
13. Композиция по любому одному из пп.1-12 для облегчения и профилактики запора у пациентов-людей, страдающих запором.
14. Композиция по любому одному из пп.1-12, которая применяется для очистки кишечника.
15. Способ, обеспечивающий слабительное действие для нуждающихся в этом пациентов, который включает в себя введение пациенту композиции, содержащей эффективное, в качестве слабительного, количество бициклического соединения формулы (I)

где V1 и V2 представляют собой атомы углерода;
W1 и W2 представляют собой

R3 и R4 представляют собой атом водорода или один из этих заместителей является группой ОН;
X1 и Х2 представляют собой атом водорода, низший алкил или атом галогена, причем, по меньшей мере, один из них является атомом галогена;
Z представляет собой атом кислорода;
R2 представляют собой атом водорода или алкил;
Y представляет собой насыщенную или ненасыщенную С2-10 углеводородную цепь;
А представляет собой -CH2OH, -COCH2OH, -СООН, или их функциональное производное;
R1 представляет собой насыщенный или ненасыщенный низший углеводородный остаток, имеющий неразветвленную или разветвленную цепь; низшую циклоалкилокси-группу; арильную группу; арилоксигруппу; гетероциклическую группу; гетероциклическую оксигруппу;
связь между положениями С-13 и С-14 является двойной или простой связью;
С-15 имеет пространственную конфигурацию R, S или их смесь.
16. Способ по п.15, в котором композиция дополнительно включает в себя соединение, являющееся моноциклическим таутомером формулы (I), в количестве, обеспечивающем соотношение бициклической структуры к моноциклической, по меньшей мере, равное 1:1.
17. Способ по п.16, в котором соотношение бициклической структуры к моноциклической, по меньшей мере, равно 20:1.
18. Способ по п.15, в котором А является группой -СООН, W1 является кето-группой, R2 является атомом водорода и X1 и Х2 представляют собой атомы фтора.
19. Способ по п.15, в котором А является группой -СООН, Y представляет собой (СН2)6, W1 является О, R3 и R4 представляют собой атомы водорода, X1 и Х2 представляют собой атомы фтора и R1 представляет собой -(СН2)3СН3.
20. Способ по п.15, в которой бициклическое соединение представляет собой

21. Способ по любому из пп.15-20, в котором композиция дополнительно включает в себя триглицерид жирной кислоты со средней цепочкой.
22. Способ по п.21, в котором триглицерид жирной кислоты со средней цепочкой присутствует в количестве от 1 до 1000000 вес. ч. в расчете на одну весовую часть бициклического соединения формулы (I).
23. Способ по п.22, в котором триглицерид жирной кислоты со средней цепочкой присутствует в количестве от 5 до 500000 вес. ч. в расчете на одну весовую часть бициклического соединения формулы (I).
24. Способ по п.23, в котором триглицерид жирной кислоты со средней цепочкой присутствует в количестве от 10 до 200000 вес. ч. в расчете на одну весовую часть бициклического соединения формулы (I).
25. Способ по п.21, в котором триглицерид жирной кислоты со средней цепочкой представляет собой триглицерид жирной кислоты, содержащей 6-14 атомов углерода.
26. Способ по п.25, в котором триглицерид жирной кислоты со средней цепочкой представляет собой триглицерид каприловой кислоты и/или каприновой кислоты.
27. Способ по любому из пп.15-26, для облегчения и профилактики запора у пациентов-людей.
28. Способ по любому из пп.15-26, который применяется для очистки кишечника.
29. Применение бициклического соединения формулы (I)

где V1 и V2 представляют собой атомы углерода;
W1 и W2 представляют собой

R3 и R4 представляют собой атом водорода или один из этих заместителей является группой ОН;
X1 и Х2 представляют собой атом водорода, низший алкил или атом галогена, причем, по меньшей мере, один из них является атомом галогена;
Z представляет собой атом кислорода;
R2 представляют собой атом водорода или алкил;
Y представляет собой насыщенную или ненасыщенную С2-10 углеводородную цепь;
А представляет собой -СН2OH, -COCH2OH, -COOH, или их функциональное производное; и
R1 представляет собой насыщенный или ненасыщенный низший углеводородный остаток, имеющий неразветвленную или разветвленную цепь;
связь между положениями С-13 и С-14 является двойной или простой связью, и
С-15 имеет пространственную конфигурацию R, S или их смесь,
для изготовления композиции слабительного средства.
30. Применение по п.29, в котором композиция дополнительно включает в себя соединение, являющееся моноциклическим таутомером формулы (I), в количестве, обеспечивающем соотношение бициклической структуры к моноциклической, по меньшей мере равное 1:1.
31. Применение по п.30, в котором соотношение бициклической структуры к моноциклической, по меньшей мере равно 20:1.
32. Применение по п.29, в котором А является группой -COOH, W1 является кето-группой, R2 является атомом водорода и X1 и X2 представляют собой атомы фтора.
33. Применение по п.29, в котором А является группой -COOH, Y представляет собой группу (СН2)6, W1 является группой =O, R3 и R4 представляют собой атомы водорода, X1 и Х2 представляют собой атомы фтора и R1 представляет собой -(СН2)3СН3.
34. Применение по п.29, в котором бициклическое соединение представляет собой

35. Применение по любому одному из пп.29-34, в котором композиция дополнительно включает в себя триглицерид жирной кислоты со средней цепочкой.
36. Применение по п.35, в котором триглицерид жирной кислоты со средней цепочкой присутствует в количестве от 1 до 1000000 вес. ч. в расчете на одну весовую часть бициклического соединения формулы (I).
37. Применение по п.36, в котором триглицерид жирной кислоты со средней цепочкой присутствует в количестве от 5 до 500000 вес. ч. в расчете на одну весовую часть бициклического соединения формулы (I).
38. Применение по п.37, в котором триглицерид жирной кислоты со средней цепочкой присутствует в количестве от 10 до 200000 вес. ч. в расчете на одну весовую часть бициклического соединения формулы (I).
39. Применение по п.35, в котором триглицерид жирной кислоты со средней цепочкой представляет собой триглицерид жирной кислоты, содержащей 6-14 атомов углерода.
40. Применение по п.39, в котором триглицерид жирной кислоты со средней цепочкой представляет собой триглицерид каприловой кислоты и/или каприновой кислоты.
41. Применение по любому из пп.29-40 для облегчения и профилактики запора у пациентов-людей.
42. Применение по любому из пп.29-40 для очистки кишечника.
TK4A – Поправки к публикациям сведений об изобретениях в бюллетенях “Изобретения (заявки и патенты)” и “Изобретения. Полезные модели”
Напечатано: (43) Дата публикации заявки:2004.09.10
Следует читать: (43) Дата публикации заявки:2003.09.10
Номер и год публикации бюллетеня: 18-2006
Код раздела: FG4A
Извещение опубликовано: 10.10.2006 БИ: 28/2006
|
|