|
(21), (22) Заявка: 2004122714/14, 23.07.2004
(24) Дата начала отсчета срока действия патента:
23.07.2004
(43) Дата публикации заявки: 27.01.2006
(46) Опубликовано: 27.06.2006
(56) Список документов, цитированных в отчете о поиске:
RU 2099007 C1, 20.12.1997. RU 2202379 C2, 20.04.2003. RU 2124371 C1, 10.01.1999. RU 2166280 C2, 10.05.2001. БАЗЯН А.С. и др. Современные проблемы передачи информации в живых системах и нетрадиционные способы лечения. Особенности и проблемы патентования изобретений в области нетрадиционной медицины на современном этапе. ИНИЦ. – М., 2004, с.13. КАРВАСАРСКИЙ Б.Д. Психотерапевтическая энциклопедия. – СПб., 1998, с.614.
Адрес для переписки:
197341, Санкт-Петербург, Серебристый б-р, 34-978, пат.пов. Б.И. Фейгельману
|
(72) Автор(ы):
Рязанова Марина Павловна (RU), Береснев Вадим Николаевич (RU), Кондраков Григорий Вениаминович (RU)
(73) Патентообладатель(и):
Рязанова Марина Павловна (RU), Береснев Вадим Николаевич (RU), Кондраков Григорий Вениаминович (RU)
|
(54) СПОСОБ ИССЛЕДОВАНИЯ ЭФФЕКТИВНОСТИ СУГГЕСТИВНОГО ВОЗДЕЙСТВИЯ
(57) Реферат:
Изобретение относится к медицине и предназначено для исследования эффективности суггестивного воздействия. Определяют и обрабатывают сигналы датчика биоэлектрического поля перципиента до и после суггестивного воздействия. В качестве датчика биоэлектрического поля перципиента используют кристаллический резонатор в режиме генерирования электромагнитного поля частотой не менее 100 кГц. Об эффективности суггестивного воздействия судят по изменению частоты генерирования резонатора. По мере повышения частоты генерирования фиксируют усиление положительного результата суггестивного воздействия. Способ позволяет объективизировать результаты проводимого суггестивного воздействия. 3 з.п. ф-лы, 1 табл., 2 ил.
Изобретение относится к медицине и инженерной психологии и может быть использовано для исследования процессов суггестивного воздействия различной формы, включая гипноз, аутотренинга, психофизических реакций, например концентрации внимания, профессионального отбора специалистов, особенно единоборцев силовых структур и т.п.
Известен способ исследования эффективности суггестивного воздействия, заключающегося в предъявлении пациенту меняющейся звуковой или письменной информации с последующим определением правильности и быстроты идентификации предъявленной информации с помощью логических блоков и таймера (см., например, SU 1804787, 1990; ЕР 0513419, 1992; WO 92/20282; DE 4226672, 1993).
Известен также способ исследования гетеросуггестивного воздействия путем одновременной электроэнцефалографии (ЭЭГ) индуктора и перципиента. При этом об эффективности суггестивного воздействия судят по синхронизации ритмов электроэнцефалограмм. Снятие ЭЭГ возможно также во время сна перципиента с последующим выявлением по ЭЭГ фазы сна, внушением в фазе сновидений суггестивной информации, документированием сновидений после пробуждения перципиента и их экспертной интерпретацией (Ливанов М.Н., Ананьев В.М. Электроэнцефалоскопия. Мед. изд. 1959).
Из данной группы способов наиболее изученным является исследование репродукции психических состояний бодрствующих людей. Так, академик В.М.Кандыба со ссылкой на В.В.Ефимова и коллег (1936, 1937, 1955 гг.), занимавшихся изучением вопроса об аутотренинге, предусматривающем мысленное воспроизведение различных функциональных состояний, отмечает влияние воображаемой физической работы на здорового взрослого человека по различным показателям, а именно по величине газообмена, кровяного давления, пульса, моторной хронаксии, чувствительности зрения. Он отмечает специфичность этих изменений при мысленном воспроизведении прежних состояний, а также различия наблюдаемых показателей при умственной, физической и воображаемой работе (Кандыба В.М. Основы гипнологии: Основы психофизиологии… Серия «Мир культуры, истории и философии». – СПб.: Изд-во «Лань». 1999, с.56). Продолжением этого направления является исследование М.Н.Валуевой (1967), в котором изучалась активация вегетативных функций при мысленном воспроизведении различных жизненных ситуаций в группе из 45 испытуемых, обладающих развитой способностью к образному, чувственно-непосредственному мышлению (учащихся театральных студий). При этом установлено, что наиболее надежно активируют вегетативные функции те мысленно воспроизводимые ситуации, которые действительно имели место у испытуемых в прошлом. Если же представляемых эмоционально окрашенных ситуаций в прошлом опыте у испытуемых не было, реакции оказывались слабыми и угасали после одной – трех проб (Кандыба В.М. Там же, с.57).
Дальнейшее развитие науки и техники привело к разработке аппаратно реализуемых способов рассматриваемого назначения.
Одним из них является способ исследования эффективности суггестивного воздействия, предусматривающий определение и последующую обработку биоэнергетических сигналов об уровне – и/или -излучения перципиента до и после суггестивного воздействия. При этом о реакции перципиента на суггестивное воздействие судят по степени увеличения указанного излучения (RU 2157659, А 61 В 5/16).
Однако такой способ сложен в отношении использования и технической реализации, так как требует использования радиационной техники.
Эффективность суггестивного воздействия возможно также исследовать наложением электродов на поверхность тела перципиента и обработкой поступающих от них электрических сигналов в динамике путем дифференциального мониторинга электрических потенциалов, возникающих в теле между двумя избранными точками. Поступающий от электродов сигнал фильтруют электрическим фильтром, параметры которого настраивают для каждого измерения индивидуально (US 5029590, А 61 В 5/04, 1991).
Однако этот способ обладает низкой точностью из-за широкого разброса индивидуальных биоэлектрических сигналов и значительной внешней и внутренней помехи.
Известен также способ исследования эффективности суггестивного воздействия, предусматривающий наложение электродов на поверхность тела перципиента и обработку поступающих от них электрических сигналов в динамике с помощью политрона, что обеспечивает получение биоэнергетической информации, учитывающей изменение вектора плотности биотока (RU 2099007, А 61 В 5/16, 1997; RU 2154983, А 61 В 5/05, 5/16, 2000).
Наиболее близким к заявляемому является способ исследования эффективности суггестивного воздействия, предусматривающий наложение электродов на поверхность тела перципиента и обработку поступающих от них электрических сигналов в режиме селекции их на коллекторных пластинах политрона до и после суггестивного воздействия. О степени суггестивного воздействия судят по формуле:

где W – уровень восприятия суггестивного воздействия;
Мф и M1 – средние значения тока на выходе политрона до и после суггестивного воздействия;
ф и 1 – средние квадратичные отклонения тока до и после суггестивного воздействия
(RU 2098017, А 61 В 5/16, 5/04, 1997).
Недостаток прототипа заключается в теоретической неизученности характера откликов политрона на входные воздействия, что существенно затрудняет интерпретацию полученных результатов. Кроме того, конструкция политрона радиационно опасна, аппаратурное оформление способа исключительно сложное, уникальное и дорогое. Именно поэтому политронная техника серийно не выпускается промышленностью.
Техническая задача предлагаемого способа состоит в упрощении его осуществления и аппаратурного оформления.
Решение указанной технической задачи заключается в том, что в способ исследования эффективности суггестивного воздействия, предусматривающий определение и обработку сигналов датчика биоэлектрического поля перципиента до и после суггестивного воздействия, вносятся следующие изменения:
1) в качестве датчика биоэлектрического поля перципиента используют кристаллический резонатор в режиме генерирования электромагнитного поля (ЭМП) частотой не менее 100 кГц;
2) об эффективности суггестивного воздействия судят по изменению частоты генерирования резонатора, причем по мере повышения частоты генерирования резонатора фиксируют усиление требуемого результата суггестивного воздействия.
Принцип действия предлагаемого способа основан на впервые установленном авторами явлении изменения частоты генерирования кристаллического резонатора под действием биофизического поля перципиента в зависимости от степени восприятия им суггестивного воздействия.
Использование кристаллического резонатора в качестве датчика биоэлектрического поля позволяет констатировать, что фиксируемое им изменение резонансной частоты обусловлено действием именно измеряемого сигнала, поскольку собственная частота генератора с данным резонатором в частотно-задающей цепи высокостабильна: ее погрешность не превосходит 1-10-4%.
Данное явление наблюдается в области частот не менее 100 кГц, причем с повышением частоты генерирования резонатора чувствительность информационно-измерительной системы повышается. Из этих соображений и установлен нижний предел частотного диапазона работы информационно-измерительной системы. В настоящее время верхним пределом частоты кристаллического кварцевого резонатора является 100 МГц, однако такой резонатор является дефицитным и дорогостоящим. Возможно использование рубинового, кварцевого, сапфирового и изумрудного и т.п. кристаллических резонаторов. Из их числа для работы по рассматриваемому назначению вполне приемлем общеупотребительный кварцевый резонатор на 3 МГц. Экспериментально установлено, что в этом варианте технической реализации способа увеличение частоты генерирования резонатора на 35 Гц и более по сравнению со значением этого параметра до проведения сеанса суггестивного воздействия свидетельствует о сильном влиянии данного воздействия на перципиента, а при уменьшении частоты генерирования или ее увеличении менее чем на 10 Гц результат суггестивного воздействия минимальный либо вовсе отсутствует. В интервале увеличения частоты ЭМП от 10 до 35 Гц в данном варианте исполнения судят о слабой эффективности суггестивного воздействия. Граничные значения изменения частоты ЭМП, по которым устанавливают градацию эффективности суггестивного воздействия, определяют экспериментально для используемого номинального значения частоты резонатора по известным методикам, в связи с чем эти границы указаны в дополнительном пункте формулы для частного случая использования общеупотребительного промышленного кварцевого резонатора СВЧ.
Наблюдаемое изредка уменьшение частоты генерирования резонатора по сравнению с номинальным (регламентированным для используемого резонатора), чаще всего, свидетельствует об отрицательном влиянии суггестивного воздействия.
При мониторинге динамики изменения генерируемой частоты резонатора под действием биополя перципиента удобно использовать формулу:

где W – уровень восприятия суггестивного воздействия;
fф и f1 – средние значения частоты электромагнитного поля до и после суггестивного воздействия;
ф и 1 – средние квадратичные отклонения частоты электромагнитного поля до и после суггестивного воздействия.
Формула (2) аналогична формуле (1) прототипа и отличается используемым информационным сигналом.
Техническим средством осуществления предлагаемого способа является информационно-измерительная система (ИИС), функциональная схема которой приведена на фиг.1 (минимальный вариант) и на фиг.2 (оптимальный вариант).
В табл.1 систематизированы результаты испытания предлагаемого способа при обследовании различных групп больных.
Минимальный вариант ИИС (фиг.1) содержит кристаллический резонатор 1, включенный в частотно-задающую цепь генератора 2 электромагнитных волн, выход которого подключен к блоку 3 обработки и регистрации информации. В качестве кристаллического резонатора 1 в данном варианте ИИС установлен кварцевый резонатор с частотой 3 МГц. В качестве блока 3 обработки и регистрации установлен частотомер. Блоки 1 и 2 могут быть выполнены, например, согласно описанию изобретения RU 2212091, Н 03 В 5/32, H 03 L 1/00, 2003.
В оптимальном варианте (фиг.2) кристаллический резонатор 1 подключен к частотно-задающей цепи генератора 2 электромагнитных волн через умножитель 4 частоты для повышения чувствительности ИИС. Этот вариант ИИС может быть выполнен на базе описаний изобретений RU 2128873, Н 03 В 5/36, 1999; RU 2206956, H 03 D 3/16, 2003 или RU 2207705, Н 03 В 5/36, 19/10, 2003.
Кварцевый резонатор 1 располагают на теле перципиента или в непосредственной близости от него.
В отсутствии перципиента генератор 2 создает электромагнитное поле, частота которого равна номинальному значению, указанному в технической документации на используемый резонатор 1. При наложении на резонатор биоэлектрического поля перципиента наблюдают изменения генерируемой частоты от номинального значения, которые учитываются и регистрируются блоком 3. Измерения проводят до и после суггестивного воздействия. Возможно также исследование влияния других воздействий, изменяющих биоэлектрическое поле обследуемого.
В примерах 1 и 2 способ поясняется обследованием репродукции психических состояний аутотренинга бодрствующих, остальные примеры приведены в результате обследования больных в клиниках Санкт-Петербурга по месту их проживания.
ПРИМЕР 1. Суггестивное воздействие осуществляют в двух группах испытуемых по 10 чел. в каждой путем аутотренинга, предусматривающего мысленное воспроизведение работы, требующей предельного физического напряжения (согласно В.В.Ефимову и А.Д.Жучкову, 1937 – ссылка приведена выше). В первую группу включены работники творческих специальностей (инженеры, изобретатели, артисты, искусствоведы), а во вторую – работники рутинного труда (торговли, жилищно-коммунального хозяйства, конвейерного производства и т.п.).
Об эффективности суггестивного воздействия судят по повышению систолического давления крови (аналог) и изменению частоты ЭМП с использованием ИИС фиг.2 при номинальной частоте кварцевого резонатора 3 МГц до и после суггестивного воздействия. При этом в аналоге значимым считают повышение систолического давления P 30 мм рт.ст.
В результате обследования установлено:
| Группа лиц |
Чел. |
P 30 мм рт.ст., чел. |
f 33 Гц, чел. |
в том числе с P 30, чел. |
| творческого труда |
10 |
6 |
7 |
6 |
| рутинного труда |
10 |
3 |
4 |
3 |
В данном примере предлагаемым способом выявлены все лица (6 и 3 чел. в группах лиц творческого и рутинного труда соответственно), у которых имело место существенное повышение диагностического признака (давления крови), использованного в известном способе. Возможно, что предлагаемый способ является более точным, так как он позволил выявить большее количество восприимчивых к аутосуггестивному воздействию людей (7 и 4 соответственно). Однако в связи с ограниченностью выборки это наблюдение статистически не подтверждено.
ПРИМЕР 2. Исследование проводят как в примере 1. Результаты учитывают для групп, мысленно воспроизводящих пережитые ими ранее ситуации предельного напряжения сил, а также не имевших в прошлом такого опыта (группы выделены в соответствии с исследованием М.Н.Валуевой – ссылка приведена выше).
В результате обследования установлено:
| Группа лиц |
Чел. |
Р 30 мм рт.ст., чел. |
f 35 Гц, чел. |
в том числе с P 30, чел. |
воспроизводивших ранее пережитую ситуацию не имевших опыта |
10 |
8 |
8 |
8 |
| работы с предельным напряжением |
10 |
5 |
6 |
5 |
В данном примере предлагаемым способом выявлены все лица (8 и 5 чел. в группах, переживших ранее и не переживших работу с максимальным напряжением сил соответственно), у которых имело место существенное повышение диагностического признака (давления крови), использованного в известном способе.
ПРИМЕР 3. Больная С., 23 г., поступила с диагнозом: дегенеративно-дистрофические изменения пояснично-крестцового отдела позвоночника, осложненные грыжеобразованием (L4-S1). Обнаружено 2 грыжи 0,9 и 0,5 см, снижение высоты дисков L4-5, L5-S1. Жалобы на сильные боли в позвоночнике, не может встать с постели и передвигаться.
По месту постоянного наблюдения больной было предложено оперативное лечение с большим риском на успех, от которого она отказалась.
Наряду с симптоматическим лечением (введение микроэлементов Са, Mg, S, Se, К, Mn, Cu, Fe и др. в виде витаминного комплекса + фитотерапия для снятия воспаления тканей) с данным перципиентом проведено 18 еженедельных сеансов суггестивной связи с биоэнерготерапевтом путем мысленного внушения информации с установкой на восстановление позвоночника и устранение грыж (L4-S1). Каждый сеанс проводили дважды из расчета 10÷15 мин гетеросуггестивной связи перципиента с индуктором с интервалом 30 мин под контролем ИИС фиг.1 с использованием кварцевого резонатора в режиме генерирования электромагнитного поля номинальной частоты 3 МГц и (в отдельных сеансах) рубинового резонатора номинальной частоты 100 кГц.
До проведения гетеросуггестивного воздействия фоновый уровень частоты fф генерируемого ЭМП для данной больной в отсутствии индуктора составляет 3000010 Гц при ф=4 Гц и 100002 Гц при ф=1 Гц для указанных резонаторов соответственно. В течение 2 мин от начала сеанса суггестивной связи частота ЭМП нарастает до f1=3000065 Гц при 1=9 Гц и f1=100006 Гц при 1=2 Гц соответственно и удерживается на этом уровне до снятия гетеросуггестивного воздействия, после чего возвращается к уровню, близкому к исходному.
Из данного примера видно, что чувствительность измерений на номинальной частоте 3 МГц на порядок выше, чем на 100 кГц.
На номинальной частоте 3 МГц действующее значение частоты ЭМП в результате гетеросуггестивного воздействия возросло на
f=f1-fФ=3000065-3000010=55 Гц,
что превышает граничное значение для данных условий измерения (35 Гц), свидетельствуя о сильной гетеросуггестивной связи индуктора с перципиентом.
При расчете по формуле (2)

что свидетельствует о высоком уровне восприятия гетеросуггестивного воздействия.
И действительно, после проведенного воздействия у пациентки боли в позвоночнике исчезли, произошло восстановление костной ткани и рассасывание грыж. Отпала необходимость в рискованном хирургическом вмешательстве.
ПРИМЕР 4. Больная Р., 36 лет, поступила с диагнозом: заболевание щитовидной железы, аутоиммунный терроидит. Размеры щитовидной железы 2,2×2,6×5,7 см, перешеек 0,6 см, железа диффузная, содержание гормона ТТГ – 4,8 (при норме 0,2÷3,0).
Проведено 20 сеансов суггестивной связи с биоэнерготерапевтом по 2 раза в месяц путем мысленного внушения информации на восстановление функций щитовидной железы. Каждый сеанс проводят как в примере 1 (здесь и далее ИИС оснащена кварцевым резонатором СВЧ поля номинальной частотой 3 МГц).
В данном примере fф=2999998±2 Гц (здесь и далее в качестве допуска указывается значение среднеквадратичного отклонения); f1=3000008±4 Гц; f=3000008-2999998=10 Гц, т.е. f соответствует нижнему пределу значимого влияния суггестивного воздействия на перципиента. По окончании сеансов размеры его щитовидной железы уменьшились до 2,2×2,3×5,3 см, перешеек 0,4 см, исчезла диффузность. Содержание гормона ТТГ=0,8.

что свидетельствует об ослаблении уровня восприятия гетеросуггестивного воздействия по сравнению с примером 1.
ПРИМЕР 5. Больная Ф., 45 лет, поступила с диагнозом: дискинезия желчевыводящих путей, гастродуоденит, язвенная болезнь двенадцатиперстной кишки, повышенная кислотность.
Проведено 12 сеансов суггестивной связи с биоэнерготерапевтом по 2 раза в месяц в режиме примера 1 с установкой на нормализацию работы желчевыводящих путей, кишечника и на заживление язвы, снижение кислотности. В данном примере зафиксировано fф=3000005±3 Гц; f1=3000040±8 Гц; f=3000040-3000005=35 Гц, что свидетельствует о достаточном влиянии суггестивного воздействия на перципиента, в связи с чем по окончании сеансов его проведения произошла нормализация работы кишечника, кислотность снизилась до нормы, восстановлен нормальный отток желчи, боли двенадцатиперстной кишки прекратились, язва зарубцевалась.

что также свидетельствует о высоком уровне восприятия гетеросуггестивного воздействия данной перципиенткой.
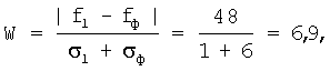
ПРИМЕР 6. Больная В., 52 г., поступила с диагнозом: гипертоническая болезнь, атеросклероз. Артериальное давление 170÷180/100÷110, содержание холестерина – 6,8.
Проведено 14 еженедельных сеансов гетеросуггестивного воздействия по 10÷15 мин под контролем ИИС как в примере 1 с установкой на нормализацию давления и снижение холестерина.
В данном примере зафиксировано fф=3000001±1 Гц; f1=3000049±6 Гц; f=3000049-3000001=48>35 Гц, что свидетельствует о высоком влиянии суггестивного воздействия на перципиента, в связи с чем по окончании сеансов его проведения произошла нормализация давления до 120÷130/70÷80, содержание холестерина снизилось до 5,8.

что также свидетельствует о весьма высоком уровне восприятия гетеросуггестивного воздействия данной перципиенткой.
ПРИМЕР 7. Больной П., 37 лет, поступил с диагнозом: дегенеративно-дистрофические изменения пояснично-крестцового отдела позвоночника, осложненные грыжеобразованием (L4/L5), размер грыжи до 0,6 см.
Проведено 10 сеансов гетеросуггестивного воздействия как в примере 1.
В данном примере зафиксировано fф=3000000±1 Гц; f1=3000005±4 Гц; f=3000006-3000000=5<35 Гц, что свидетельствует о низком влиянии суггестивного воздействия на перципиента. По окончании процедур грыжа уменьшилась до 0,4 см, но болевые ощущения сохранились. Курс лечения оказался недостаточно эффективным, что корреспондируется с низкими значениями f и

Результаты апробации предлагаемого способа при исследовании эффективности суггестивного воздействия на больных заболеваниями различной этиологии приведены в табл.1. Всего обследовано 18 чел., в том числе страдающих сердечно-сосудистыми заболеваниями, заболеваниями щитовидной железы, желудочно-кишечными заболеваниями, грыжей межпозвоночных дисков. По данным окончательного клинического обследования фиксировали три градации результатов лечения: полное выздоровление, частичное выздоровление; отсутствие улучшения. Как видно из таблицы, предлагаемый способ позволил оперативно дать правильный прогноз полного выздоровления в результате суггестивного воздействия в 82% случаев, частичного выздоровления в 100% и отсутствия улучшения в 67% ситуаций.
Таким образом, предлагаемый способ по сравнению с прототипом проще в осуществлении и аппаратурном оформлении, так как не требует использования политронной техники и специальных технических знаний обслуживающего персонала. Способ доступен для использования врачем и средним медицинским персоналом.
Таблица 1. Результаты исследования эффективности суггестивного воздействия на больных различной патологией |
| ГРУППА БОЛЬНЫХ |
КОЛИЧЕСТВО |
ПОЛНОЕ ВЫЗДОРОВЛЕНИЕ |
ЧАСТИЧНОЕ ВЫЗДОРОВЛЕНИЕ |
БЕЗ УЛУЧШЕНИЯ |
| чел. |
процент подтверждения по f |
чел. |
процент подтверждения по f |
чел. |
процент подтверждения по f |
| Сердечно-сосудистые заболевания |
4 |
2 |
50 |
1 |
100 |
1 |
0 |
| Заболевания щитовидной железы |
3 |
2 |
100 |
1 |
100 |
– |
– |
| Желудочно-кишечные заболевания |
5 |
3 |
100 |
1 |
100 |
1 |
100 |
| Грыжи межпозвоночных дисков |
6 |
4 |
75 |
1 |
100 |
1 |
100 |
| Всего |
18 |
11 |
82 |
4 |
100 |
3 |
67 |
Формула изобретения
1. Способ исследования эффективности суггестивного воздействия, предусматривающий определение и обработку сигналов датчика биоэлектрического поля перципиента до и после суггестивного воздействия, отличающийся тем, что в качестве датчика биоэлектрического поля перципиента используют кристаллический резонатор в режиме генерирования электромагнитного поля частотой не менее 100 кГц, а об эффективности суггестивного воздействия судят по изменению частоты генерирования резонатора, причем по мере повышения частоты генерирования фиксируют усиление положительного результата суггестивного воздействия.
2. Способ по п.1, отличающийся тем, что в качестве кристаллического резонатора используют кварцевый резонатор в режиме генерирования электромагнитного поля частотой 3 МГц.
3. Способ по п.2, отличающийся тем, что при увеличении частоты генерирования резонатора на 35 Гц и более судят о сильном влиянии суггестивного воздействия на перципиента, а при уменьшении частоты генерирования или ее увеличении менее чем на 10 Гц судят об отсутствии влияния суггестивного воздействия.
4. Способ по п.1 или 2, отличающийся тем, что об уровне восприятия суггестивного воздействия судят по формуле

где W – уровень восприятия суггестивного воздействия;
fф и f1 – средние значения частоты электромагнитного поля до и после суггестивного воздействия;
ф и 1 – средние квадратичные отклонения частоты электромагнитного поля до и после суггестивного воздействия.
РИСУНКИ
MM4A – Досрочное прекращение действия патента СССР или патента Российской Федерации на изобретение из-за неуплаты в установленный срок пошлины за поддержание патента в силе
Дата прекращения действия патента: 24.07.2009
Извещение опубликовано: 20.12.2010 БИ: 35/2010
|