|
|
(21), (22) Заявка: 4541960/09, 20.05.1991
(24) Дата начала отсчета срока действия патента:
20.05.1991
(46) Опубликовано: 20.06.2006
(56) Список документов, цитированных в отчете о поиске:
И.М.ТЕПЛЯКОВ и др. Радиолинии космических систем передачи информации. Под ред. док. тех. наук проф. И.М.Теплякова. – М.: Сов. радио, 1975, с.185-186. SU 105692, 01.01.1957. US 3815034, 04.06.1974. FR 2251967, 13.06.1975. GB 1339595, 05.12.1973.
Адрес для переписки:
603950, г.Нижний Новгород, 9, ул.Шапошникова, 7, ФГУП “ННИИРТ”
|
(72) Автор(ы):
Ноздрин Валерий Степанович (RU), Кудряшова Татьяна Павловна (RU)
(73) Патентообладатель(и):
Федеральное государственноое унитарное предприятие “Нижегородский научно-исследовательский институт радиотехники” (RU)
|
(54) ПРИЕМНИК РАДИОСИГНАЛОВ ОТНОСИТЕЛЬНОЙ ФАЗОВОЙ МОДУЛЯЦИИ
(57) Реферат:
Изобретение относится к области проводной радиосвязи, в частности, может найти применение в приемниках для автокорреляционной демодуляции сигналов фазоразностной модуляции. Приемник радиосигналов относительной фазовой модуляции содержит элемент задержки, первый и второй сумматоры, фазоинвертор на и два амплитудных детектора, при этом вход элемента задержки и первые входы первого и второго сумматоров соединены вместе и являются входом приемника, выходы первого и второго сумматоров соответственно соединены со входами амплитудных детекторов, вход двухвыходного фазоинвертора на соединен с выходом элемента задержки, а его выходы соединены со вторыми входами первого и второго сумматоров, выходы амплитудных детекторов положительной и отрицательной полярности раздельно соединены с входами третьего сумматора, выход которого является выходом приемника. Технический результат, достигаемый при осуществлении изобретения, заключается в увеличении скорости обработки информации и повышении достоверности передачи информации. 2 ил.
Изобретение относится к области проводной радиосвязи, в частности, найдет применение в приемниках для автокорреляционной демодуляции сигналов фазоразностной модуляции (ФРМ). Известны приемники сигналов ФРМ методом сравнения фаз [1], первый из них содержит: ограничитель, фазовый детектор, элемент задержки и формирующее устройство, включающее в себя фильтр нижних частот. Второй приемник содержит: амплитудный ограничитель, электронный коммутатор, схему гашения, блок синхронизации, два интегратора, два усилителя фазовращателя, фазовый детектор и формирующее устройство, включающее в себя фильтр нижних частот. Недостатком первого приемника является наличие фазового детектора, имеющего ограниченную полосу пропускания, небольшую крутизну выходной характеристики, а наличие комбинационных составляющих требует установки фильтра нижних частот. Недостатком второго приемника ФРМ является сложность устройства из-за наличия в схеме электронного коммутатора, блока синхронизации, схемы гашения фазового детектора и фильтра нижних частот, что приводит к низкой скорости обработки информации и ухудшению отношения сигнал/шум при уровнях, сигналов, сравнимых с уровнем собственных шумов приемника.
Известны также другие приемники сигналов ФРМ на базе когерентного демодулятора [2], включающие опорный гетеродин, фазоинвертор на , два фазовых детектора, два интегратора, два элемента задержки, два перемножителя, пороговое устройство.
Недостатками данного приемника являются:
1. Необходимость формирования в приемнике опорного колебания, синхронизированного принимаемым сигналом.
2. Скачок фазы опорного напряжения приводит к искажению принимаемой информации (проявляется на больших скоростях приема информации).
3. Наличие фазовых детекторов, ограничивающих скорость обработки информации (ограничение рабочей полосы частот) и ухудшающего отношение сигнал/шум при малых сигналах.
Следует заметить, что во всех вышеперечисленных приемниках составной частью является перемножитель (фазовый детектор), ограничивающий скорость обработки информации и имеющий ограниченную полосу пропускания и малую крутизну, которые ухудшают отношение сигнал/шум при уровнях сигналов, сравнимых с уровнем собственных шумов приемника.
Наличие продуктов перемножения (гармоник высших порядков) снижает к.п.д. приемника и требует установки фильтра, выделяющего полезную информацию.
Из известных приемников сигналов ФРМ наиболее близкими по технической сущности и схемному решению к предложенному устройству являются устройство проводной и радиосвязи фазоманипулированными колебаниями [3] и автокорреляционный приемник сигналов ФРМ-1 [4].
За прототип принят приемник [3].
В приемном устройстве прототипа [3], который состоит из элемента задержки, синхронного детектора и фильтра нижних частот, определение знака символа кода фазоманипулированного сигнала осуществляется путем задержки сигнала в элементе задержки на время, равное длительности символа кода, сопоставления фаз данного и задержанного символов с помощью синхронного детектора и выделения полезной информации посредством фильтра нижних частот.
Недостатком указанного устройства является наличие синхронного детектора, имеющего малый динамический диапазон входных сигналов, ограниченную полосу пропускания, небольшую крутизну выходной характеристики. Кроме того, наличие различных комбинационных составляющих при перемножении сигналов требует дополнительного фильтра нижних частот, а при уровне сигналов, сравнимых с уровнем собственных шумов приемника, имеют место потери в отношении сигнал/шум (до 6 дБ и более) на выходе синхронного детектора, что, в конечном итоге, приводит к резкому снижению достоверности передачи информации и, как следствие, к снижению надежности линии связи.
Целью изобретения является повышение надежности линии связи за счет увеличения динамического диапазона входных сигналов, увеличения полосы пропускания устройства, улучшения отношения сигнал/шум при приеме слабых сигналов, увеличения скорости обработки информации за счет уменьшения постоянных времени цепей предлагаемого устройства и повышения достоверности передачи информации.
Поставленная цель достигнута тем, что в известный приемник, имеющий элемент задержки, введены при сумматоре два амплитудных детектора и фазоинвертор на , причем вход приемника соединен одновременно с первыми входами первого и второго сумматоров и входом элемента задержки, выход которого соединен со вторыми входами сумматоров через последовательно соединенный фазоинвертор на , подающий сигналы на вторые входы сумматоров в противофазе, выходы первого и второго сумматоров через амплитудные детекторы соединены со входами третьего сумматора, выход которого является выходом приемника.
Сопоставительный анализ с прототипом показывает, что заявляемое устройство отличается наличием новых элементов, трех сумматоров, двух амплитудных детекторов, фазоинвертора на и их связями с другими элементами схемы.
Таким образом, заявляемое устройство соответствует критерию изобретения “новизна”.
Сравнение заявляемого решения с другими техническими решениями показывает, что сумматоры, амплитудные детекторы и фазоинверторы на широко известны.
Однако при их введении в указанной связи с остальными элементами схемы в заявляемое устройство приемника радиосигналов относительной фазовой (фазоразностной) модуляции проявляют новые свойства за счет замены операции перемножения сигналов их линейным сложением. Это позволяет сделать вывод о соответствии технического решения критерию “существенные отличия”.
Изложенная сущность будет понятна из нижеследующего описания и приведенных чертежей.
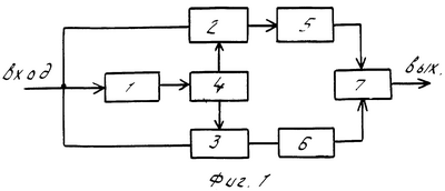
На фиг.1 изображена структурная схема предложенного приемника, а на фиг.2 – структурная схема прототипа.
На фигурах и в тексте введены обозначения:
1 – элемент задержки;
2 – 1-й сумматор;
3 – 2-й сумматор;
4 – фазоинвертор на ;
5 – амплитудный детектор положительной полярности;
6 – амплитудный детектор отрицательной полярности;
7 – 3-й сумматор;
8 – синхронный детектор;
9 – фильтр нижних частот.
Приемник радиосигналов относительной фазовой модуляции (фиг.1) содержит элемент задержи 1, соединенный с первыми входами первого 2 и второго 3 сумматоров через последовательно соединенный фазоинвертор на 4, причем вход элемента задержки 1 и первые входы первого и второго сумматоров 2 и 3 соединены между собой и являются входом приемника. Выходы сумматоров 2, 3 через амплитудные детекторы положительной полярности 5 и отрицательной полярности 6 соединены со входами третьего сумматора 7, выход которого является выходом приемника.
Предложенное устройство работает следующим образом. Фазоманипулированный сигнал поступает на элемент задержки 1 и на первые входы сумматоров 2 и 3. С элемента задержки 1 сигнал поступает на фазоинвертор на 4, выходы которого подключены ко вторым входам сумматоров 2 и 3, причем на сумматор 3 сигнал поступает сдвинутым по фазе на относительно сумматора 2.
Таким образом на сумматоры 2 и 3 поступают незадержанные и задержанные на длительность одного символа фазоманипулированные сигналы. Происходит суммирование сигналов незадержанного и задержанного синфазно и противофазно, т.е. на одном из сумматоров сигналы складываются, а на другом вычитаются. При равенстве амплитуд задержанного и незадержанного сигналов на выходе сумматоров 2 и 3 напряжение или удваивается, или становится равным нулю, т.е. происходит замена фазовых соотношений между символами кода амплитудными. С выходов сумматоров 2 и 3 сигналы поступают на амплитудные детекторы противоположной полярности 5 и 6. Продетектированные сигналы подаются на сумматор 7. В силу того, что сигналы разнесены во времени и имеют разную полярность, то с выхода сумматора 7 снимается разнополярный видеосигнал. Положительный сигнал соответствует разности фаз задержанного и незадержанного символов, равной нулю, а отрицательный – разности фаз, равной . Учитывая то, что сигналы выходов детекторов 5 и 6 разнесены во времени и имеют разную полярность, то схема, состоящая из амплитудных детекторов 5 и 6 сумматора 7, работает как схема отбора по максимуму. Это не ухудшает отношение сигнал/шум на выходе сумматора 7, т.к. один из амплитудных детекторов, например 5, оказывается “запертым” сигналом другого детектора 6.
Покажем эквивалентность замены операции умножения на фазовом (синхронном) детекторе операциями сложения на сумматорах и амплитудного детектирования.
Пусть на вход приемника (фиг.2), выбранного в качестве прототипа, и предлагаемого приемника (фиг.1) поступает фазоманипулированный сигнал вида:

где “+” – символ с фазой =0,
“-” – символ с фазой = .
При перемножении на фазовом детекторе (с учетом элемента задержки) получим

В предложенном приемнике проследим выполнение операций поэтапно:
на сумматоре 2 с учетом элемента задержки и фазы фазоинвертора 4 ( =0)

на входе сумматора 7 с учетом положительной полярности амплитудного детектора 5

на сумматоре 3 с учетом элемента задержки 1 и фазы фазоинвертора 4 ( = )

на входе сумматора 7 с учетом отрицательной полярности детектора 6

на выходе сумматора 7:

Примечание. Знаком “ ” или “ ” обозначены половинные значения амплитуды символов кода; “о” – амплитуда символа равна нулю.
Таким образом, результат обработки сигнала в предложенном устройстве эквивалентен результату в прототипе, но при этом резко увеличивается динамический диапазон, расширяется полоса пропускания, увеличивается скорость обработки информации (сумматоры, выполненные, например, на резисторах, практически безынерционны, а постоянную времени амплитудных детекторов можно сделать очень малой); схема линеаризуется.
Предложенное устройство рассматривается как альтернативный вариант передачи вторичной радиолокационной информации разрабатываемых радиолокационных комплексов просветной локации. Применение данного приемника позволит исключить из состава радиолокационных комплексов комплекты аппаратуры передачи данных стоимостью в ценах 1990 г. 15 тыс.руб. за комплект. Расчет экономического эффекта на данном этапе работ выполнить невозможно из-за отсутствия сведений о финансированных затратах на базовый образец и образец с применением изобретения. Применение предложенного устройства позволит обеспечить обработку входных сигналов в значительно большем динамическом диапазоне входных амплитуд (при выполнении сумматоров на пассивных элементах динамический диапазон входных амплитуд практически не ограничен, что немаловажно для указанных радиолокационных комплексов), повысить скорость обработки радиолокационной информации. Кроме того, в предложенном устройстве будут отсутствовать комбинационные составляющие высших порядков и потери в отношении сигнал/шум при слабых сигналах, а простота реализации приемника позволит повысить технические характеристики радиолокационных комплексов, что в соответствующей мере дает и дополнительный экономический эффект.
Таким образом, использование изобретения позволит повысить надежность линии связи и увеличить скорость обработки информации.
Источники информации
1. В.Д.Евдокимов, К.М.Павлов. Радиоприемные устройства. М.: Связь, 1975, с.443, рис.12.28. рис.12.29.
2. Радиоприемные устройства. Под редакцией А.Г.Зюко. М.: Связь, 1975, с.353, рис.14.17.
3. Авторское свидетельство №105692, М.кл H 04 5/12 с приоритетом от 12.02.54 г. (прототип).
4. Ю.Б.Окунев. Теория фазоразностной модуляции. М.: Связь, 1979 г., с.125, рис.4.3.
Формула изобретения
Приемник радиосигналов относительной фазовой модуляции, содержащий элемент задержки, первый и второй сумматоры, фазоинвертор на и два амплитудных детектора, причем вход элемента задержки и первые входы первого и второго сумматоров соединены вместе и являются входом приемника, а выходы первого и второго сумматоров соответственно соединены со входами амплитудных детекторов, отличающийся тем, что введен третий сумматор, вход двухвыходного фазоинвертора на соединен с выходом элемента задержки, а его выходы соединены со вторыми входами первого и второго сумматоров, выходы амплитудных детекторов положительной и отрицательной полярности раздельно соединены с входами третьего сумматора, выход которого является выходом приемника.
РИСУНКИ
MM4A – Досрочное прекращение действия патента СССР или патента Российской Федерации на изобретение из-за неуплаты в установленный срок пошлины за поддержание патента в силе
Дата прекращения действия патента: 21.05.2006
Извещение опубликовано: 27.04.2007 БИ: 12/2007
|
|