|
(21), (22) Заявка: 2004116222/09, 31.05.2004
(24) Дата начала отсчета срока действия патента:
31.05.2004
(46) Опубликовано: 20.06.2006
(56) Список документов, цитированных в отчете о поиске:
“Advanced cloced loop Tx diversity concept (eigenbeamformer)”. Siemens. TSGR#14(00)0853; “Description of the eigenbeamformer concept (update) and performance evaluation”. Siemens. TSGR#19 R1-01-0203. RU 2145152 C1, 27.01.2000. US 6108565 B1, 22.08.2000. US 6345188 В1, 05.02.2002. US 6236866 B1, 22.05.2001. US 6122260 B1, 19.09.2000.
Адрес для переписки:
117393, Москва, ул. Профсоюзная, 78, офис 3323, “СТАРФИЛД Холдингз, Лтд…”, пат.пов. В.Н.Рослову, рег. № 18
|
(72) Автор(ы):
Гармонов Александр Васильевич (RU), Карпитский Юрий Евгеньевич (RU), Кравцова Галина Семеновна (RU), Джанхун Янг (KR)
(73) Патентообладатель(и):
Корпорация “Самсунг Электроникс” (KR)
|
(54) СПОСОБ НАПРАВЛЕННОЙ ПЕРЕДАЧИ С ОБРАТНОЙ СВЯЗЬЮ
(57) Реферат:
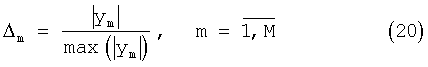
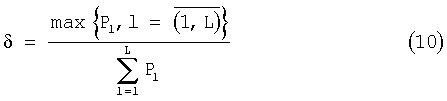
Изобретение относится к области радиотехники, в частности к способам передачи и приема радиосигнала с применением адаптивной антенной решетки, и может использоваться в сотовых системах связи. Достигаемым техническим результатом является повышение пропускной способности системы связи за счет улучшения основных параметров направленной передачи с обратной связью: скорости слежения за изменениями пространственного канала связи и достоверности передачи контрольной информации. Для этого в первом варианте способа базовая станция передает сигнал абонентской станции, переключая направление передачи сигнала между несколькими доминантными направлениями, выбирая направление с максимальным на текущий момент коэффициентом передачи. Во втором варианте базовая станция передает сигнал абонентской станции одновременно во всех доминантных направлениях, устанавливая разность фаз между ними, обеспечивающую когерентное сложение соответствующих компонент сигнала в точке приема. 2 н. и 8 з.п. ф-лы, 17 ил., 1 табл.
Изобретение относится к области радиотехники, в частности к способам передачи и приема радиосигнала с применением адаптивной антенной решетки, и может использоваться в сотовых системах связи.
Необходимость повышения емкости является одной из наиболее актуальных проблем современных сотовых систем связи. В значительной степени это относится к емкости прямого канала – от базовой станции к пользователю, – по которому передаются большие объемы данных с высокой скоростью. Одним из наиболее эффективных способов повышения емкости прямого канала является использование многоэлементной передающей антенны или антенной решетки (АР).
Известны два основных способа передачи сигнала с помощью антенной решетки: способ направленной передачи и способ разнесенной передачи. Способ направленной передачи основан на использовании конфигурации антенной решетки с расстоянием между антенными элементами, примерно равным половине длины волны (d /2). Этот способ описан в статьях “Downlink Beamforming Concepts in UTRA FDD”, Mirko Schacht, Armin Dekorsy, Peter Jung, Lucent Technologies, 5th November 2002 [1]; “Transformation Based Downlink Beamforming Techniques For Frequency Division Duplex Systems”, Klaus Hugl, Juha Laurila, Ernst Bonek, Institut für Nachrichtentechnik und Hochfrequenztechnik, Technische Universität, Wien, Austria [2]; “Downlink Beamforming Avoiding DOA Estimation For Cellular Mobile Communications”, T.Aste, P.Forster, L.Fety, S.Mayrargue, Laboratoire Electronique & Communication, CNAM, France [3]; “Downlink Beamforming for DS-CDMA Mobile Radio with Multimedia Services Ying-Chang Liang”, Senior Member, IEEE, Francois P.S.Chin, and K.J.Ray Liu, IEEE Transactions on Communications, Vol.49, No.7, July 2001 [4].
Способ разнесенной передачи использует антенные конфигурации с далеко разнесенными элементами (d значительно больше ). Потенциально наиболее эффективным методом разнесенной передачи является так называемая когерентная разнесенная передача, при которой амплитуды и фазы сигнала в различных антеннах устанавливают таким образом, чтобы обеспечить максимальное отношение сигнал-шум в точке приема для данной реализации канала распространения. Однако практическая реализация когерентной разнесенной передачи подразумевает знание параметров канала распространения на передающей стороне. В системах связи с частотным дуплексом это подразумевает использование обратной связи с абонентской станции. Принципы разнесенной передачи описаны в “Transmission diversity with limited feedback information in fading channels”. Chau, Y.A.; Shi-Hong Yu. Vehicular Technology Conference Proceedings. 2000, VTC 2000-Spring Tokyo. 2000 IEEE 51st, Volume: 2, 2000 [5]; “Physical layer procedures (FDD). 3GPP TS 25.214” [6].
При разнесенной передаче на приемном конце формируется сигнал, представляющий собой сумму сигналов, прошедших по независимым каналам распространения. За счет этого снижается фединг сигнала, увеличивается помехоустойчивость приема и, соответственно, емкость канала связи.
Один из эффективных методов использования двух далеко разнесенных передающих антенн представлен в стандарте 3GPP как разнесенная передача с замкнутой петлей [6]. При этом мобильная (абонентская) станция принимает пилот-сигналы, переданные с различных антенн, оценивает разность фаз между ними, квантует эту разность на два значения и передает по каналу обратной связи с помощью однобитной команды. Базовая станция получает эту команду и передает сигнал, предназначенный для данной абонентной станции, через обе антенны, устанавливая разность фаз в соответствии с полученной командой (разность фаз сигналов в передающих антеннах должна примерно компенсировать разность фаз сигналов, возникающую в канале распространения).
Данный способ является одним из наиболее эффективных способов использования двух передающих антенн с точки зрения сложности реализации и помехоустойчивости. Однако растущие потребности увеличения емкости прямого канала диктуют необходимость увеличения количества антенн. В случае разнесенной передачи это ведет, с одной стороны, к увеличению объема контрольных данных, передаваемых по каналу обратной связи, и необходимости модификации существующего стандарта, а с другой стороны, к значительному увеличению габаритов антенной системы, что признается разработчиками систем весьма нежелательным.
Поэтому внимание исследователей привлекает направленная передача, которая использует антенную решетку с близко расположенными элементами и повышает емкость прямого канала за счет ограничения пространственной области излучения сигнала. Преимуществом направленной передачи является значительное снижение уровня внутрисистемных помех, высокая помехоустойчивость в области низких значений отношения сигнал-шум, а также малые габариты антенной системы, см. например, [1] и “Advanced closed loop Tx diversity concept (eigenbeamformer)”. Siemens. TSGR1#14(00)0853; “Description of the eigenbeamformer concept (update) and performance evaluation”. Siemens. TSGR1#19 R1-01-0203 [7].
Для осуществления направленной передачи передатчик должен располагать информацией о канале связи. В системах связи с частотным дуплексом мгновенные характеристики прямого и обратного каналов связи различаются, и поэтому передатчик не имеет такой информации. Один из относительно простых способов направленной передачи основан на том, что некоторые усредненные характеристики прямого и обратного каналов одинаковы, например пространственное направление распространения сигнала. При данном подходе БС принимает сигнал пользователя, оценивает угол его прихода и при передаче сигнала прямого канала для данного пользователя формирует максимум диаграммы направленности в этом направлении (см. “Smart antennas for Wireless Communications: IS-95 and Third Generation CDMA Applications”, J.C.Liberti, JR.T.S.Rappaport./ Prentice Hall PTR. 1999 [8]). Недостаток данного способа заключается в том, что его эффективность значительно снижается в многолучевой ситуации. Вследствие многолучевости, как правило, существует несколько пространственных направлений, по которым переданный с базовой станции сигнал достигает абонентской станции. При этом сигналы, распространяющиеся по указанным направлениям, подвержены независимым замираниям. В системе связи с частотным дуплексом направления наилучшего распространения сигналов прямого и обратного каналов на текущем временном интервале могут не совпадать. Соответственно сигнал может быть передан в неоптимальном направлении и вследствие этого отношение сигнал-шум в точке приема будет низким. В связи с этим эффективность направленной передачи, основанной на оценке угла прихода сигнала в обратном канале, значительно ниже потенциально достижимого уровня.
Решение данной проблемы возможно за счет оценки необходимых параметров канала связи на абонентской станции и передачи указанной оценки на базовую станцию с помощью канала обратной связи. При этом в условиях быстро изменяющегося канала распространения требуется передавать по каналу обратной связи значительные объемы контрольных данных с высокой скоростью. Однако пропускная способность канала обратной связи является, как правило, ограниченной. Например, канал обратной связи, предусмотренный в 3GPP, имеет пропускную способность всего лишь 1500 бит в секунду. Данное обстоятельство является серьезным препятствием для реализации потенциально высокой эффективности направленной передачи в прямом канале.
Один из способов решения этой проблемы предложен компанией Siemens [7] как концепция формирования собственных лучей. При этом параметры канала связи делятся на медленно (long-term) и быстро меняющиеся (short-term). Это позволяет использовать большой временной промежуток для передачи наиболее объемной информации – медленно меняющихся параметрах. Слежение за быстро меняющимися параметрами канала выполняется с помощью менее объемной информации, которая передается на более коротком временном интервале. Этот способ наиболее близок по технической сущности к предлагаемому и принят за прототип.
Способ-прототип заключается в том, что
– с базовой станции посредством передатчика передают информационный сигнал абонентской станции, формируя диаграмму направленности на основе контрольной информации, получаемой от абонентской станции по каналу обратной связи,
– при этом на базовой и абонентской станциях осуществляют медленную и быструю обработку сигнала, причем медленную обработку сигнала выполняют периодически с периодом T1, а быструю обработку сигнала выполняют периодически с периодом Т2, при этом Т2 меньше T1.
На абонентской станции периодически с периодом T1 медленной обработки сигнала
– оценивают пространственный канал связи между базовой и абонентской станциями, причем данную оценку осуществляют с использованием пилот-сигналов, которые формируют посредством передатчика базовой станции и передают помимо информационного сигнала,
– оценивают ковариационную матрицу R пространственного канала связи,
– определяют набор собственных векторов и собственных значений ковариационной матрицы R пространственного канала,
– определяют множество сигнальных собственных векторов пространственного канала как М собственных векторов, соответствующих М наибольшим собственным значениям ковариационной матрицы R,
– множество сигнальных собственных векторов упорядочивают, квантуют и передают на базовую станцию по каналу обратной связи в течение периода медленной обработки T1 в качестве долговременной контрольной информации,
– на базовой станции получают по обратному каналу от абонентской станции упорядоченные квантованные значения сигнальных собственных векторов и запоминают их в том порядке, в котором они были приняты,
– на каждом периоде быстрой обработки Т2 на абонентской станции оценивают энергию сигнала, соответствующую каждому из сигнальных собственных векторов, которые уже переданы на базовую станцию,
– в течение периода быстрой обработки Т2 передают на базовую станцию порядковый номер доминантного собственного вектора, соответствующего максимальному значению энергии сигнала, в качестве кратковременной информации,
– на базовой станции принимают порядковый номер доминантного собственного вектора и при передаче информационного сигнала абонентской станции формируют диаграмму направленности в соответствии с доминантным собственным вектором.
Недостатком данного решения является очень большой объем передаваемой долговременной контрольной информации. В случае движения абонента с высокой скоростью обновление долговременной информации о параметрах канала связи может не успевать за действительным изменением этой информации. В результате эффективность направленной передачи будет заметно снижаться. Кроме того, канал обратной связи, не идеален, то есть имеет определенную вероятность ошибки при передаче по нему информации. Например, в литературе принято считать вероятность ошибки в канале обратной связи, равной 4% (см. «Recommended simulation parameters for Tx diversity simulations». Nokia. TSGR1#14(00)0867 [9]). При большом объеме передаваемой долговременной контрольной информации велика вероятность ее повреждения. Собственные векторы, передаваемые по обратной связи в прототипе, особенно чувствительны к ошибкам, и даже ошибка в одном бите способна полностью исказить передаваемую информацию. Этим фактором обусловлено значительное снижение эффективности направленной передачи, выполняемой способом прототипа на практике.
Другой недостаток заключается в том, что использование в качестве весовых коэффициентов собственных векторов в многолучевом канале нередко приводит к формированию достаточно широких диаграмм направленности, что увеличивает область рассеяния и, соответственно, повышает уровень многолучевых помех прямого канала.
Задача, которую решает предлагаемый способ, – повышение пропускной способности системы связи за счет улучшения основных параметров направленной передачи с обратной связью: скорости слежения за изменениями пространственного канала связи и достоверности передачи контрольной информации.
Технический результат достигается двумя вариантами способа направленной передачи с обратной связью.
В обоих вариантах абонентская станция оценивает доминантные (преобладающие основные) пространственные направления распространения сигнала в прямом канале связи (от базовой станции к абонентской станции), соответствующие наибольшим значениям коэффициента передачи мощности сигнала. Информацию о доминантных пространственных направлениях распространения сигнала абонентская станция передает на базовую станцию по обратному каналу.
В первом варианте способа направленной передачи с обратной связью базовая станция передает сигнал абонентской станции, формируя по возможности узкую диаграмму направленности с максимумом в направлении, характеризующемся максимальным на текущий момент коэффициентом передачи.
В способе направленной передачи с обратной связью по первому варианту заключающийся в том, что с базовой станции посредством передатчика передают информационный сигнал абонентской станции, формируя диаграмму направленности на основе контрольной информации, получаемой от абонентской станции по каналу обратной связи, при этом на базовой и абонентской станциях осуществляют медленную и быструю обработку сигнала, причем медленную обработку сигнала выполняют периодически с периодом T1, а быструю обработку сигнала выполняют периодически с периодом T2, при этом T2 меньше T1, на абонентской станции периодически с периодом медленной обработки сигнала T1 оценивают пространственный канал связи между базовой и абонентской станциями, причем данную оценку осуществляют с использованием пилот-сигналов, которые формируют посредством передатчика базовой станции и передают помимо информационного сигнала, согласно изобретению введены следующие операции:
на каждом периоде T1 медленной обработки сигнала на абонентской станции
– оценивают пространственные направления распространения сигнала от базовой станции к абонентской станции,
– выбирают М доминантных направлений распространения сигнала из указанных оцененных пространственных направлений распространения сигнала, которые характеризуются наибольшей принимаемой энергией сигнала,
– полученные М оценок доминантных направлений распространения сигнала упорядочивают, квантуют, подвергают помехоустойчивому кодированию, формируя, таким образом, последовательность упорядоченных оценок М доминантных направлений распространения сигнала,
– последовательность упорядоченных оценок М доминантных направлений распространения сигнала передают по обратному каналу от абонентской к базовой станции в качестве долговременной контрольной информации,
на базовой станции получают по обратному каналу от абонентской станции последовательность упорядоченных оценок М доминантных направлений распространения сигнала, декодируют их, и запоминают в том порядке, в котором они были приняты,
на каждом периоде быстрой обработки Т2 на абонентской станции
– оценивают энергию сигнала, соответствующую каждому из М доминантных направлений распространения сигнала, оценки которых уже переданы на базовую станцию,
– оценивают значение энергии принимаемого сигнала на следующем периоде быстрой обработки для каждого из М доминантных направлений распространения сигнала, используя для этого оценки энергии сигнала, сформированные на нескольких предыдущих периодах быстрой обработки,
– определяют наилучшее направление для передачи сигнала как доминантное направление распространения сигнала, которому соответствует максимальное оцененное значение энергии сигнала, и номер этого направления в упорядоченной последовательности оценок М доминантных направлений распространения сигнала передают по обратному каналу на базовую станцию в качестве кратковременной контрольной информации,
– на базовой станции принимают порядковый номер наилучшего направления для передачи сигнала, и передают информационный сигнал абонентской станции, формируя диаграмму направленности с максимумом в данном направлении.
Базовая станция может принимать порядковый номер наилучшего направления для передачи сигнала и передать информационный сигнал абонентской станции, формируя диаграмму направленности с максимумом в данном направлении.
Базовая станция может принимать порядковый номер наилучшего направления для передачи сигнала и передавать основную часть мощности информационного сигнала абонентской станции, формируя диаграмму направленности с максимумом в данном направлении, а остальную часть мощности равномерно распределять для передачи в остальных М минус 1 доминантных направлениях.
Оценку М доминантных направлений распространения сигнала от базовой к абонентской станции относительно антенной решетки базовой станции выполняют на абонентской станции, например, на основании приема пилот-сигналов, переданных с различных антенных элементов антенной решетки базовой станции и известной конфигурации антенной решетки, либо на основании приема К пилот-сигналов, передаваемых с базовой станции с различными диаграммами направленности.
При М равном 1 на мобильной станции полученную одну оценку доминантного направления распространения сигнала квантуют и передают по обратному каналу от абонентской к базовой станции в качестве контрольной информации, на базовой станции получают по обратному каналу от абонентской станции оценку доминантного направления распространения сигнала и передают информационный сигнал абонентской станции, формируя диаграмму направленности с максимумом в данном направлении.
Во втором варианте способа направленной передачи базовая станция передает сигнал абонентской станции одновременно во всех доминантных направлениях, устанавливая между ними амплитудно-фазовые соотношения, обеспечивающие максимальную мощность сигнала в точке приема.
В способ направленной передачи с обратной связью по второму варианту, заключающийся в том, что с базовой станции посредством передатчика передают информационный сигнал абонентской станции, формируя диаграмму направленности на основе контрольной информации, получаемой от абонентской станции по каналу обратной связи, при этом на базовой и абонентской станциях осуществляют медленную и быструю обработку сигнала, причем медленную обработку сигнала выполняют периодически с периодом T1, а быструю обработку сигнала выполняют периодически с периодом T2, при этом Т2 меньше T1, на абонентской станции периодически с периодом медленной обработки сигнала T1 оценивают пространственный канал связи между базовой и абонентской станциями, причем данную оценку осуществляют с использованием пилот-сигналов, которые формируют посредством передатчика базовой станции и передают помимо информационного сигнала, согласно изобретению введены следующие операции:
на каждом периоде T1 медленной обработки сигнала на абонентской станции
– оценивают пространственные направления распространения сигнала от базовой станции к абонентской станции,
– выбирают М доминантных направлений распространения сигнала из указанных оцененных пространственных направлений, которые характеризуются наибольшей принимаемой энергией сигнала,
– полученные М оценок доминантных направлений распространения сигнала упорядочивают, квантуют, подвергают помехоустойчивому кодированию, формируя, таким образом, последовательность упорядоченных оценок М доминантных направлений распространения сигнала,
– последовательность упорядоченных оценок М доминантных направлений распространения сигнала передают по обратному каналу от абонентской к базовой станции в качестве долговременной контрольной информации – на базовой станции получают по обратному каналу от абонентской станции последовательность упорядоченных оценок М доминантных направлений распространения сигнала, декодируют их и запоминают в том порядке, в котором они были приняты,
на каждом периоде Т2 быстрой обработки сигнала на абонентской станции
– оценивают значения отношений амплитуд и разностей фаз между компонентами сигнала, принятыми с различных доминантных направлений распространения сигнала,
– полученные оценки квантуют и передают по обратному каналу на базовую станцию в качестве кратковременной контрольной информации,
на базовой станции
– получают оценки значений отношений амплитуд и разностей фаз и передают информационный сигнал абонентской станции в М доминантных направлениях распространения сигнала, устанавливая значения отношений амплитуд и разностей фаз между компонентами сигнала, передаваемыми в различных направлениях, в соответствии с полученными оценками таким образом, чтобы максимизировать мощность сигнала в точке приема.
Оценку М доминантных направлений распространения сигнала от базовой к абонентской станции выполняют на основании приема пилот-сигналов, переданных с различных антенных элементов антенной решетки базовой станции, и известной конфигурации антенной решетки, либо на основании приема К пилот-сигналов, передаваемых с базовой станции с различными диаграммами направленности.
При М, равном 1, на мобильной станции полученную одну оценку доминантного направления распространения сигнала квантуют и передают по обратному каналу от абонентской к базовой станции в качестве контрольной информации, на базовой станции получают по обратному каналу от абонентской станции оценку доминантного направления распространения сигнала и передают информационный сигнал абонентской станции, формируя диаграмму направленности с максимумом в данном направлении.
На каждом периоде быстрой обработки сигнала Т2 на абонентской станции возможна оценка только значения разности фаз между компонентами сигнала, принятыми с различных доминантных направлений распространения сигнала, полученные оценки квантуют и передают по обратному каналу на базовую станцию в качестве кратковременной контрольной информации, при этом на базовой станции получают оценки разности фаз и передают информационный сигнал абонентской станции в М доминантных направлениях распространения сигнала, устанавливая значения разности фаз между компонентами сигнала, передаваемыми в различных направлениях, в соответствии с полученными оценками, таким образом, чтобы максимизировать мощность сигнала в точке приема.
Сопоставительный анализ первого и второго вариантов способа направленной передачи с обратной связью с прототипом показывает, что предлагаемые решения существенно отличаются от прототипа, так как позволяет повысить пропускную способность системы связи за счет улучшения основных параметров направленной передачи: скорости слежения за изменениями пространственного канала связи и достоверности передачи контрольной информации.
Сопоставительный анализ заявляемых первого и второго вариантов способа с другими техническими решениями в данной области техники не позволил выявить признаки, заявленные в отличительной части формулы изобретения. Следовательно, заявляемый способ направленной передачи с обратной связью отвечает критериям “новизна”, “техническое решение задачи”, “существенные отличия” и обладает неочевидностью решения.
Для пояснения сущности предлагаемого решения приводятся следующие графические материалы:
Фиг.1,а – иллюстрация предлагаемого способа направленной передачи.
Фиг.1,b – иллюстрация соотношения между длинным и коротким временными интервалами.
Фиг.2 – структура передатчика базовой станции при первом варианте оценки доминантных направлений.
Фиг.3 – структура приемника абонентской станции.
Фиг.4 – функциональная схема блока медленной обработки сигнала при первом способе оценки доминантных направлений.
Фиг.5 – функциональная схема узла оценки канала связи.
Фиг.6 – иллюстрация процесса оценивания (предсказания) по первому варианту быстрой обработки сигнала.
Фиг.7 – пример диаграмм направленности пилот-сигналов.
Фиг.8 – структура передатчика базовой станции при втором варианте оценки доминантных направлений.
Фиг.9 – функциональная схема блока медленной обработки сигнала при втором способе оценки доминантных направлений.
Фиг.10 – характеристики помехоустойчивости.
Фиг.11 – результаты моделирования в условиях неидеального канала обратной связи.
Фиг.12 – результаты моделирования в условиях, максимально приближенных к реальным условиям сотовой системы связи 3GPP.
Фиг.13 – вариант временной диаграммы работы предлагаемого способа.
Фиг.14 – конвейерная организация алгоритма медленной обработки.
Фиг.15 – способ снижения необходимого количества ненаправленных пилот-сигналов.
Предлагаемый способ состоит в том, что абонентская станция оценивает доминантные (преобладающие) пространственные направления прямого канала связи (от базовой станции к абонентской), соответствующие наибольшим значениям коэффициента передачи мощности сигнала. Полученную информацию о доминантных пространственных направлениях абонентская станция передает на базовую станцию.
В первом варианте способа направленной передачи с обратной связью базовая станция передает сигнал абонентской станции, переключая направление передачи сигнала между доминантными направлениями, выбирая направление с максимальным на текущий момент коэффициентом передачи.
Способ направленной передачи с обратной связью по первому варианту заключается в том, что
– с базовой станции посредством передатчика передают информационный сигнал абонентской станции, формируя диаграмму направленности на основе контрольной информации, получаемой от абонентской станции по каналу обратной связи,
– при этом на базовой и абонентской станциях осуществляют медленную и быструю обработку сигнала, причем медленную обработку сигнала выполняют периодически с периодом T1, а быструю обработку сигнала выполняют периодически с периодом T2, при этом T2 меньше T1,
– периодически с периодом медленной обработки сигнала T1 на абонентской станции оценивают пространственный канал связи между базовой и абонентской станциями, причем данную оценку осуществляют с использованием пилот-сигналов, которые формируют посредством передатчика базовой станции и передают помимо информационного сигнала,
– оценивают пространственные направления распространения сигнала от базовой станции к абонентской станции,
– выбирают М доминантных направлений распространения сигнала из указанных оцененных пространственных направлений, которые характеризуются наибольшей принимаемой энергией сигнала,
– полученные М оценок доминантных направлений распространения сигнала упорядочивают, квантуют, подвергают помехоустойчивому кодированию, формируя, таким образом, последовательность упорядоченных оценок М доминантных направлений распространения сигнала,
– последовательность упорядоченных оценок М доминантных направлений распространения сигнала передают по обратному каналу от абонентской к базовой станции в качестве долговременной контрольной информации,
– на базовой станции получают по обратному каналу от абонентской станции последовательность упорядоченных оценок М доминантных направлений распространения сигнала, декодируют их и запоминают в том порядке, в котором они были приняты,
на каждом периоде быстрой обработки сигнала T2 на абонентской станции
– оценивают энергию сигнала, соответствующую каждому из М доминантных направлений распространения сигнала, оценки которых уже переданы на базовую станцию,
– оценивают значение энергии принимаемого сигнала на следующем периоде быстрой обработки для каждого из М доминантных направлений распространения сигнала, используя для этого оценки энергии сигнала, сформированные на нескольких предыдущих периодах быстрой обработки,
– определяют наилучшее направление для передачи сигнала как доминантное направление распространения сигнала, которому соответствует максимальное оцененное значение энергии сигнала, и номер этого направления в упорядоченной последовательности оценок М доминантных направлений распространения сигнала передают по обратному каналу на базовую станцию в качестве кратковременной контрольной информации – на базовой станции принимают порядковый номер наилучшего направления для передачи сигнала и передают информационный сигнал абонентской станции, формируя диаграмму направленности с максимумом в данном направлении.
При этом базовая станция может либо принимать порядковый номер наилучшего направления для передачи сигнала и передать информационный сигнал абонентской станции, формируя диаграмму направленности с максимумом в данном направлении, либо базовая станция может принимать порядковый номер наилучшего направления для передачи сигнала и передавать основную часть мощности информационного сигнала абонентской станции, формируя диаграмму направленности с максимумом в данном направлении, а остальную часть мощности равномерно распределять для передачи в остальных М минус 1 доминантных направлениях.
Оценку М доминантных направлений распространения сигнала от базовой к абонентской станции относительно антенной решетки базовой станции выполняют на абонентской станции, например, на основании приема пилот-сигналов, переданных с различных антенных элементов антенной решетки базовой станции и известной конфигурации антенной решетки, либо на основании приема К пилот-сигналов, передаваемых с базовой станции с различными диаграммами направленности.
При М, равном 1, на мобильной станции полученную одну оценку доминантного направления распространения сигнала квантуют и передают по обратному каналу от абонентской к базовой станции в качестве контрольной информации, на базовой станции получают по обратному каналу от абонентской станции оценку доминантного направления распространения сигнала и передают информационный сигнал абонентской станции, формируя диаграмму направленности с максимумом в данном направлении.
Во втором варианте способа направленной передачи базовая станция передает сигнал абонентской станции одновременно во всех доминантных направлениях, устанавливая разность фаз между ними, обеспечивающую когерентное сложение соответствующих компонент сигнала в точке приема.
Способ направленной передачи с обратной связью по второму варианту заключается в том, что
– с базовой станции посредством передатчика передают информационный сигнал абонентской станции, формируя диаграмму направленности на основе контрольной информации, получаемой от абонентской станции по каналу обратной связи,
– при этом на базовой и абонентской станциях осуществляют медленную и быструю обработку сигнала, причем медленную обработку сигнала выполняют периодически с периодом T1, а быструю обработку сигнала выполняют периодически с периодом T2, при этом T2 меньше T1,
– периодически с периодом медленной обработки сигнала Т1 на абонентской станции,
– оценивают пространственный канал связи между базовой и абонентской станциями, причем данную оценку осуществляют с использованием пилот-сигналов, которые формируют посредством передатчика базовой станции и передают помимо информационного сигнала,
– оценивают пространственные направления распространения сигнала от базовой станции к абонентской станции,
– выбирают М доминантных направлений распространения сигнала из указанных оцененных пространственных направлений, которые характеризуются наибольшей принимаемой энергией сигнала,
– полученные М оценок доминантных направлений распространения сигнала упорядочивают, квантуют, подвергают помехоустойчивому кодированию, формируя таким образом последовательность упорядоченных оценок М доминантных направлений распространения сигнала,
– последовательность упорядоченных оценок М доминантных направлений распространения сигнала передают по обратному каналу от абонентской к базовой станции в качестве долговременной контрольной информации,
– на базовой станции получают по обратному каналу от абонентской станции последовательность упорядоченных оценок М доминантных направлений распространения сигнала, декодируют их и запоминают в том порядке, в котором они были приняты,
на каждом периоде Т2 быстрой обработки сигнала на абонентской станции
– оценивают значения отношений амплитуд и разностей фаз между компонентами сигнала, принятыми с различных доминантных направлений распространения сигнала,
– полученные оценки квантуют и передают по обратному каналу на базовую станцию в качестве кратковременной контрольной информации,
на базовой станции получают оценки значений отношений амплитуд и разностей фаз и передают информационный сигнал абонентской станции в М доминантных направлениях распространения сигнала, устанавливая значения отношений амплитуд и разностей фаз между компонентами сигнала, передаваемыми в различных направлениях, в соответствии с полученными оценками, таким образом, чтобы максимизировать мощность сигнала в точке приема.
Оценку М доминантных направлений распространения сигнала от базовой к абонентской станции относительно антенной решетки базовой станции выполняют на абонентской станции, например, на основании приема пилот-сигналов, переданных с различных антенных элементов антенной решетки базовой станции и известной конфигурации антенной решетки, или на основании приема К пилот-сигналов, передаваемых с базовой станции с различными диаграммами направленности.
При М, равном 1, на мобильной станции полученную одну оценку доминантного направления распространения сигнала квантуют и передают по обратному каналу от абонентской к базовой станции в качестве контрольной информации, на базовой станции получают по обратному каналу от абонентской станции оценку доминантного направления распространения сигнала и передают информационный сигнал абонентской станции, формируя диаграмму направленности с максимумом в данном направлении.
На каждом периоде быстрой обработки сигнала Т2 на абонентской станции возможна оценка только значения разности фаз между компонентами сигнала, принятыми с различных доминантных направлений распространения сигнала, полученные оценки квантуют и передают по обратному каналу на базовую станцию в качестве кратковременной контрольной информации, при этом на базовой станции получают оценки разности фаз и передают информационный сигнал абонентской станции в М доминантных направлениях распространения сигнала, устанавливая значения разности фаз между компонентами сигнала, передаваемыми в различных направлениях, в соответствии с полученными оценками, таким образом, чтобы максимизировать мощность сигнала в точке приема.
Заявляемый способ использует оценивание доминантных (преобладающих) пространственных направлений распространения сигнала от базовой станции к абонентской станции, соответствующих наибольшим значениям коэффициента передачи мощности сигнала.
На Фиг.1,а проиллюстрирована ситуация, в которой сигнал распространяется от базовой станции к абонентской станции по двум лучам, обусловленным наличием двух отражающих объектов. Этим лучам соответствуют два доминантных угловых направления 1 и 2 распространения сигнала относительно антенной решетки базовой станции. Вследствие перемещения абонентской станции набор этих направлений изменяется в процессе сеанса связи. Вместе с тем вследствие замираний изменяются коэффициенты передачи сигнала связи в направлениях 1 и 2. Поэтому при направленной передаче необходимо следить как за набором доминантных направлений, так и за наилучшим на текущий момент направлением передачи из набора доминантных направлений.
Набор направлений 1 и 2 изменяется относительно медленно и может служить долговременной контрольной информацией о канале связи. Поэтому оценка и передача этой относительно стабильной информации на базовую станцию выполняются на относительно длинном временном интервале T1, который представляет собой период медленной обработки сигнала. Объем данной информации оказывается небольшим и, что существенно, не зависит от числа антенных элементов. Например, при представлении угла 5-ю битами и использовании двух доминантных направлений объем долговременных данных составляет лишь 10 бит.
Предлагаемое изобретение может использоваться в различных системах радиосвязи, но для удобства описания далее будем рассматривать его применение в системе связи по перспективному стандарту 3GPP.
В системе связи 3GPP данные передаются с использованием фреймового формата: 1 фрейм составляет 10 мс или 15 слотов по 0.6667 мс. Для передачи данных обратной связи в системе 3GPP выделен 1 бит в каждом слоте. В этих условиях при передаче долговременных данных со скоростью 1 бит/фрейм длительность длинного временного интервала составит T1=10 фреймов.
После того, как набор доминантных направлений передан на базовую станцию, ей достаточно сообщить только номер наилучшего направления передачи на текущий момент времени, который служит кратковременной контрольной информацией о канале связи. Поэтому выбор наилучшего направления и передача соответствующего номера на базовую станцию выполняются на более коротком временном интервале T2, который представляет период быстрой обработки сигнала. При двух доминантных направлениях для передачи номера наилучшего направления требуется 1 бит. В системе 3GPP длительность короткого интервала составит Т2 1 слот.
Фиг.1,b иллюстрирует соотношение между периодами медленной и быстрой обработки сигнала. При этом T1/T2=150.
Для повышения надежности передачи долговременных данных по обратному контрольному каналу можно их дополнительно закодировать с помощью помехоустойчивого кода. Например, для кодирования долговременной информации можно использовать известный блочный код БЧХ (см., например, Прокис Дж. «Цифровая связь», М., Радио и связь, 2000, стр. 372-375 [10]). Для того чтобы с помощью кода БЧХ можно было исправить, например, до трех ошибок в принятых данных, необходимо к 10 битам долговременных данных добавить 15 проверочных бит. То есть суммарный объем долговременной информации с учетом ее кодирования составит 25 бит. При этом длинный временной интервал составит T1=25 фреймов.
Временная диаграмма при наиболее простом последовательном выполнении функций предлагаемого алгоритма представлена на Фиг.13, где приняты обозначения: ДИ, КИ – долговременная и кратковременная контрольная информация, соответственно.
Время, затрачиваемое на формирование долговременной информации на абонентской станции (МС) и на ее пересылку на БС, приводит к задержке между оценкой доминантных направлений и их использованием для направленной передачи. В частности, это приводит к начальной временной задержке, примерно равной Тнач=T1+Т1. Здесь первое слагаемое Т1 – длительность формирования ДИ (период медленной обработки сигнала). Второе слагаемое T1 соответствует времени передачи ДИ. В эту сумму не включено время распространения сигнала , которое мало по сравнению с остальными слагаемыми.
Существенно, что начальная задержка Тнач имеет место только в начале алгоритма (см. Фиг.13). В течение этого периода информационный сигнал для данной МС может, например, передаваться равнонаправленно, то есть без использования направленной передачи.
В одном из вариантов реализации прототипа величина задержки долговременной информации Тнач 2·640=1280 фрейма. В упомянутом выше варианте реализации предлагаемого решения Тнач 2·10=20 фреймов (или 200 мс), если не применяется кодирование долговременной контрольной информации, и Тнач 2·25=50 фреймов (или 500 мс), если применяется кодирование долговременной контрольной информации.
Поскольку пространственные направления распространения сигнала меняются относительно медленно (время жизни пространственных направлений распространения радиосигнала составляет, как правило, не менее 1 сек), задержка долговременной информации в установившемся режиме не приводит к ухудшению характеристик предлагаемого способа.
Однако описанная выше реализация алгоритма медленной обработки является не единственно возможной. Возможны и другие ее варианты в рамках предлагаемого изобретения. Например, задержку долговременной информации в предлагаемом способе можно значительно уменьшить за счет применения конвейерной организации алгоритма медленной обработки. Реализация этого принципа на примере двух (М равно 2) доминантных направлений представлена на Фиг.14. Основная идея здесь заключается в том, что обновление долговременной контрольной информации происходит постепенно, т.е. вместо того, чтобы обновлять одновременно все М доминантных направлений с помощью одного большого блока ДИ (как в предыдущем случае), М доминантных направлений обновляют по очереди. Сначала обновляют 1-е доминантное направление, затем 2-е,…, М-е направление, затем снова 1-е направление и т.д. Для этого оценку М доминантных направлений осуществляют на перекрывающихся интервалах. При этом величина перекрытия соответствует длительности передачи по обратному каналу одного доминантного направления. Вновь получаемые оценки М доминантных направлений соотносят с М доминантными направлениями, которые уже переданы и хранятся на БС. В результате выбирают одно доминантное направление, которым замещают подлежащее обновлению доминантное направление, хранящееся на БС.
Пусть, например, интервал передачи каждого доминантного направления составляет 9 фреймов (5 бит полезной информации и 4 избыточных бита при использовании кодирования), т.е. 90 мс. Соответственно время оценивания набора доминантных направлений 2·90=180 мс и, соответственно, время задержки долговременной информации 2·90+90=270 мс. Таким образом, задержку долговременной информации удалось снизить почти в два раза по сравнению с первым способом реализации алгоритма медленной обработки.
Наиболее чувствительным к задержке является алгоритм кратковременной обработки. Из-за быстрых замираний сигнала коэффициент передачи сигнала в каждом из доминантных направлений (которые сами изменяются очень медленно) может быстро меняться. Поэтому для получения наибольшего выигрыша от применения предлагаемого способа направленной передачи нужно минимизировать задержку в слежении за наилучшим направлением передачи (интервал времени между моментами начала оценки наилучшего направления передачи и началом направленной передачи сигнала в этом направлении). В общем случае задержка алгоритма кратковременной обработки складывается из длительности короткого временного интервала Т2 и задержки на распространение сигнала от БС к МС. Ввиду относительной малости последней обычно можно пренебречь (Фиг.13). За время короткого временного интервала производятся оценка текущего наилучшего направления передачи, формирование и передача соответствующей кратковременной контрольной информации на БС. При М равном 2 в случае системы связи 3GPP интервал кратковременной информации равен длительности одного слота (0.667 ms) и является достаточно небольшим. Эффективность слежения за наилучшим пространственным направлением в предлагаемом изобретении дополнительно повышается за счет предсказания наилучшего направления передачи на основе предшествующих его оценок, которое в большинстве случаев позволяет практически полностью устранить задержку в алгоритме кратковременной обработки.
Базовая станция принимает и запоминает набор доминантных направлений 1 и 2. При первом варианте алгоритма быстрой обработки на каждом из коротких временных интервалов T2 базовая станция получает номер наилучшего направления передачи и формирует информационный сигнал для данного пользователя в этом направлении. Фактически базовая станция передает сигнал абонентской станции, периодически переключая направление передачи сигнала между доминантными направлениями, выполняя, таким образом, слежение за предпочтительным направлением передачи сигнала.
Однако возможен и другой способ передачи сигнала базовой станции на каждом коротком временном интервале. Согласно этому способу на каждом из коротких временных интервалов T2 базовая станция получает номер наилучшего направления передачи и передает основную часть мощности информационного сигнала абонентской станции, формируя диаграмму направленности с максимумом в данном направлении, а остальную часть мощности передает, распределяя в остальных М минус 1 доминантных направлениях. Данный способ может иметь преимущество благодаря большей устойчивости к ошибкам определения доминантных направлений на мобильной станции и к ошибкам в канале обратной связи.
Второй вариант алгоритма быстрой обработки сигнала заключается в том, что с БС передают сигнал одновременно по всем доминантным направлениям, устанавливая между амплитудами и фазами компонент сигнала, передаваемых в различных направлениях, соотношения, обеспечивающие максимальную мощность сигнала в точке приема
Второй вариант обеспечивает высокую эффективность направленной передачи в случае, когда многолучевые компоненты неразрешимы по времени, то есть имеют близкие значения временных задержек. В этом случае замирания в канале связи являются преимущественно плоскими.
При реализации предлагаемого способа второй вариант быстрой обработки используют наряду с первым вариантом для повышения эффективности направленной передачи. Это осуществляют, например, следующим образом. В процессе оценивания канала связи на абонентской станции сравнивают значения мощностей многолучевых компонент. Если относительная доля мощности максимального луча не превышает некоторый порог, (например, 90%), то выполняют первый вариант алгоритма быстрой обработки. В противном случае выполняют второй вариант. При этом сообщают базовой станции о выбранном режиме, добавляя в каждый пакет с долговременной информацией один бит, значение которого соответствует одному из двух режимов передачи.
Заявляемый способ предусматривает два варианта оценки доминантных направлений распространения сигнала: 1) на основании приема ненаправленных (передаваемых во всем рабочем угловом секторе) пилот-сигналов, передаваемых с различных антенных элементов антенной решетки базовой станции и известной конфигурации антенной решетки, и 2) на основании приема К пилот-сигналов, передаваемых с базовой станции с различными диаграммами направленности.
Возможный способ реализации предполагаемого изобретения представлен применительно к системе стандарта 3GPP при использовании на базовой станции четырехэлементной антенной решетки.
Рассмотрим первый вариант оценки доминантных направлений (ненаправленные пилот-сигналы).
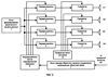
Обобщенная структура передатчика базовой станции при первом варианте оценки доминантных направлений представлена на Фиг.2.
Передатчик базовой станции содержит блок формирования физического канала данных 1, перемножители 2-5, сумматоры 8-11, формирователь весов направленной передачи 6, генератор пилот-сигналов 12, блок приема обратного канала и выделения информации обратной связи 7. Выход блока формирования физического канала данных 1 соединен с первым входом каждого из перемножителей 2-5, второй вход каждого из перемножителей 2-5 соединен с соответствующим выходом формирователя весов направленной передачи 6. Выход каждого из перемножителей 2-5 соединен с первым входом соответствующего ему сумматора 8-11. Второй вход каждого из сумматоров 8-11 соединен с соответствующим выходом генератора пилот-сигналов 12. Выход каждого сумматора соединен с соответствующей ему антенной. Вход формирователя весов направленной передачи 6 соединен с выходом блока приема обратного канала и выделения информации обратной связи 7.
На Фиг.2 для простоты представлен канал формирования сигнала только одного пользователя. Для других пользователей используются идентичные каналы, каждый из которых состоит из блока формирования физического канала данных 1, четырех перемножителей 2-5 и формирователя весов направленной передачи 6.
Сигнал абонентской станции, передаваемый в выделенном для него физическом канале данных, формируется в соответствующем блоке формирования физического канала данных 1 и поступает одновременно на первый вход каждого из четырех перемножителей 2, 3, 4, 5. На второй вход каждого из перемножителей 2-5 поступает соответствующий весовой коэффициент направленной передачи, предварительно сформированный в формирователе весов направленной передачи 6. На вход формирователя весов направленной передачи 6 поступает информация о доминантных направлениях и наилучшем направлении передачи, сформированная в блоке приема обратного канала и выделения информации обратной связи 7. В формирователе весов направленной передачи 6 осуществляется медленная и быстрая обработка сигнала.
Сигнал с выхода каждого из перемножителей 2-5 подается на первый вход соответствующего сумматора 8-11. На второй вход каждого из сумматоров 8-11 поступает пилот-сигнал соответствующей передающей антенны с генератора пилот-сигналов 12. В стандарте 3GPP это сигнал одного из общих пилот-каналов. Выходной сигнал каждого из сумматоров 8-11 поступает в канал соответствующей передающей антенны А1,…,А4. На Фиг.2 не показаны блоки обработки сигнала на радиочастоте.
На Фиг.3 представлен вариант структуры приемника абонентской станции. Приемник абонентской станции состоит из приемника информационного сигнала 13, блока медленной обработки сигнала 14, блока быстрой обработки сигнала 15 и формирователя сообщения обратной связи 16. Входной сигнал х поступает одновременно на вход приемника информационного сигнала 13, блока медленной обработки сигнала 14 и блока быстрой обработки сигнала 15. Выход блока медленной обработки сигнала соединен со вторым входом блока быстрой обработки сигнала 15 и первым входом формирователя сообщения обратной связи 16. Выход блока быстрой обработки сигнала 15 соединен со вторым входом формирователя сообщения обратной связи 16, с выхода которого сигнал поступает на передатчик абонентской станции.
Приемник информационного сигнала 13 осуществляет обычные операции, необходимые для выделения информации, поступающей на абонентскую станцию в процессе сеанса связи. В блоке медленной обработки сигнала 14 формируются оценки доминантных направлений. Эти оценки поступают на второй вход блока быстрой обработки сигнала 14, а также на вход формирователя сообщения обратной связи 16. В блоке быстрой обработки сигнала 15 формируется оценка наилучшего направления направленной передачи, которая поступает на второй вход формирователя сообщения обратной связи 16. Формирователь сообщения обратной связи 16 формирует информационные символы сообщения обратной связи, которые поступают в передатчик абонентской станции для передачи их на базовую станцию по обратному каналу.
Вариант функциональной схемы блока медленной обработки сигнала 14 при первом способе оценки доминантных направлений представлен на Фиг.4. Блок медленной обработки сигнала 14 содержит узел оценки канала связи 17, узел оценки доминантных направлений распространения сигнала 18, узел памяти 19.
Блок медленной обработки сигнала 14 выполняет оценку канала связи с помощью узла оценки канала связи 17, вариант выполнения которого представлен на фиг.5. Узел оценки канала связи 17 состоит из набора квадратурных корреляторов 20-1-20-R, элемента формирования векторов оценок канала 21 и генератора копий пилот-сигналов 22. При этом сигналы с выходов корреляторов 20-1-20-R поступают на входы элемента формирования векторов оценок канала 21, а управляющий сигнал с выхода данного элемента формирования векторов оценок канала 21 поступает на вход генератора копий пилот-сигналов 22, сигналы с выхода генератора копий пилот-сигналов 22 поступают на опорные входы квадратурных корреляторов 20-1-20-R. Функциональная схема квадратурного коррелятора описана, например, в Andrew J.Viterbi “CDMA Principles of Spread Spectrum Communication”. Addison-Wesley Wireless Communications Series, p.p.41-42 [11].
В элементе формирования векторов оценок канала 21 обнаруживают L наиболее мощных многолучевых компонент (или лучей) входного сигнала и оценивают их временные задержки. Способы обнаружения сигнала и временной синхронизации описаны, например, в [11] на стр. 39-48. Максимальное число обнаруживаемых лучей часто определяется ограничениями на сложность приемника. Например, это может быть 4, то есть L меньше или равно 4. Затем с помощью квадратурных корреляторов 20-1-20-R и генератора копий пилот-сигналов 22 оценивают комплексную огибающую hl,n каждого из 4-х пилот-сигналов (n=1,…,4) для каждого временного луча (l=1,…,L):

где и – значения синфазной и квадратурной составляющих корреляции между входным сигналом и n-м опорным пилот-сигналом с l-м значением временной задержки, . Набор значений hl,n образует вектор оценок пространственного канала для l-го временного луча

Формирование вектора оценок пространственного канала повторяют на каждом из последовательных подынтервалов длинного временного интервала. Таким подынтервалом может быть, например, короткий временной интервал Т2. Сформированные векторы оценок пространственного канала h1,…,hL поступают на вход функционального узла оценки доминантных направлений 18.
Работать узел оценки доминантных направлений 18 может по различным алгоритмам оценки угловых направлений распространения сигнала относительно антенной решетки базовой станции (см., например, [8]).
Рассмотрим способ, описанный в [8], который заключается в выполнении следующей последовательности операций.
Формируют ковариационную матрицу канала связи для каждого из L лучей (l=1,…,L):

где hl(k) – вектор оценок пространственного канала, сформированный на k-м подынтервале длинного временного интервала;
(.)H – знак комплексного сопряжения и транспонирования.
Формируют ковариационную матрицу канала связи, суммируя матрицы Rl:

Определяют N собственных векторов и соответствующих собственных значений ковариационной матрицы R.
Выбирают D сигнальных собственных векторов. При этом возможны два способа выбора:
1) Заранее определяют D, выбирают D наибольших собственных значений и соответствующие собственные векторы рассматривают, как сигнальные.
2) Все собственные значения сравнивают с порогом Thresh. Максимальное собственное значение и значения, превышающие порог, и соответствующие собственные векторы рассматривают как сигнальные. Порог формируют, например, по минимальному собственному значению: Thresh= min( i), , где – некоторое число.
Остальные N-D наименьших собственных чисел рассматривают как шумовые. Из соответствующих им шумовых собственных векторов формируют матрицу

Формируют решающую функцию в соответствии с выражением

где w( )=[w1( ), w2( ),…, w4( )]Т – вектор весовых коэффициентов антенной решетки базовой станции, соответствующий угловому направлению 9 распространения сигнала.
Выбирают D локальных максимумов решающей функции Р( ) и определяют соответствующие углы .
Выбирают М доминантных направлений распространения сигнала. Для этого для каждого из углов оценивают мощность сигнала, принятого с этого направления по формуле

где hl(k) – вектор оценок пространственного канала для l-го временного луча на k-м подынтервале длинного временного интервала T1;
К – полное число подынтервалов в длинном временном интервале.
Формируют оценки М доминантных направлений как углы i, которым соответствует М наибольших оценок мощности pj.
Если М больше D, то угол с наибольшей оценкой мощности используется повторно как недостающая оценка доминантного направления. Сформированные оценки доминантных направлений 1,…, M, квантуют.
В случае реализации первого варианта быстрой обработки сигнала в блоке быстрой обработки сигнала 15 на каждом k-м подынтервале оценивают суммарную мощность всех L многолучевых компонент сигнала, принятую с каждого из М доминантных направлений, информация о которых уже передана на базовую станцию:

Используя оценки мощности m-го доминантного направления на S предыдущих подынтервалах pm(k-S+1),…,pm(k), оценивают (прогнозируют) значение для следующего k+1-го подынтервала методом экстраполяции (см. фиг.6). Данный процесс повторяют для всех углов m, .
Угол, соответствующий наибольшему прогнозируемому значению принимаемой мощности, принимают за оценку наилучшего направления для передачи сигнала.
Для повышения эффективности направленной передачи наряду с первым может быть использован второй вариант быстрой обработки.
Это осуществляют, например, следующим образом. В процессе оценивания канала связи на абонентской станции оценивают значения мощностей L разрешимых по времени многолучевых компонент:

Оценивают относительную часть мощности максимального луча

Определяют порог для относительной части мощности максимального луча, например 0 равно 0.9, и сравнивают с ним величину .
Если меньше 0, то выполняют первый вариант алгоритма быстрой обработки, если больше или равно 0, то выполняют второй вариант алгоритма быстрой обработки.
При этом один бит информации обратной связи используют для того, чтобы сообщить базовой станции о выбранном варианте. Этот бит передают, например, в начале каждого пакета с долговременной информацией.
При выполнении второго варианта алгоритма быстрой обработки в блоке быстрой обработки 15 выполняют следующие операции.
Формируют вектор оценок пространственного канала h для наиболее сильного временного луча.
Рассчитывают комплексные амплитуды сигналов уm, , соответствующие М доминантным направлениям распространения сигнала с помощью, например, следующих выражений:

Оценивают отношения амплитуд сигналов к наибольшей амплитуде сигнала

Оценивают значение разности фаз между каждым сигналом и сигналом, соответствующим первому доминантному направлению

где arg(х) – аргумент комплексного числа х;
(х)* – число, комплексно сопряженное х.
Значения m и/или  m поступают на выход блока быстрой обработки сигнала 15. С выхода блока быстрой обработки сигнала 15 полученные значения отношений амплитуд и разностей фаз поступают на вход формирователя сообщения обратной связи 16, где их квантуют и передают на базовую станцию.
На базовой станции передают сигнал одновременно в М доминантных направлениях, причем амплитуду передаваемого сигнала в каждом из М направлений устанавливают пропорционально полученным по обратному каналу соотношениям амплитуд. При этом наибольшая амплитуда сигнала передается в доминантном направлении с наибольшим коэффициентом передачи, а наименьшая – направлении с наименьшим коэффициентом передачи.
Фазы сигналов, передаваемых в М доминантных направлениях кроме первого, поворачивают соответственно на величины – m, , то есть таким образом, чтобы передаваемые сигналы в точке приема сложились по возможности синфазно.
Предпочтительный вариант реализации предлагаемого изобретения соответствует случаю М равно 2. При М, равном 2, алгоритм быстрой обработки по второму варианту предпочтительно выполнять в соответствии с алгоритмами разнесенной передачи с замкнутой петлей из стандарта 3GPP режима 1 и режима 2 (см. [6]). При этом в качестве входных сигналов для этих алгоритмов на мобильной станции должны использоваться сигналы у1 и у2, формируемые с помощью выражения (11). Т.е. указанные алгоритмы разнесенной передачи используются для максимизации суммы сигналов, пришедших в точку приема по различным доминантным направлениям распространения, вместо сигналов, переданных разнесенными антеннами, как в случае стандарта 3GPP.
В алгоритме разнесенной передачи режима 1 на мобильной станции определяют только разность фаз между двумя входными сигналами. Эту разность фаз квантуют на два возможных значения. Поэтому для передачи кратковременной информации на базовую станцию требуется всего один бит. Соответственно кратковременный интервал составляет всего 1 слот прямого канала 3GPP.
В алгоритме разнесенной передачи режима 2 на мобильной станции разность фаз двух входных сигналов квантуется на большее число значений, а кроме того, рассчитывают и квантуют амплитудное соотношение между двумя сигналами. Поэтому для передачи кратковременной информации на базовую станцию используется 4 бита. Соответственно кратковременный интервал составляет 4 слота прямого канала 3GPP.
При реализации второго варианта оценки доминантных направлений базовая станция передает К пилот-сигналов, формируя для каждого из них диаграмму направленности с максимумом в соответствующем направлении и соответствующей угловой ширины, таким образом, чтобы “покрыть” всю область углового рабочего сектора базовой станции (см. Фиг.7).
Структура передатчика базовой станции при втором варианте оценки доминантных направлений распространения сигнала представлена на Фиг.8.
Передатчик базовой станции содержит блок формирования физического канала данных 1, перемножители 2-5, сумматоры 8-11, формирователь весов направленной передачи 6, генератор пилот-сигналов 12, блок приема обратного канала и выделения информации обратной связи 7, формирователь диаграмм направленности 23. Выход блока формирования физического канала данных 1 соединен с первым входом каждого из перемножителей 2-5, второй вход каждого из перемножителей 2-5 соединен с соответствующим выходом формирователя весов направленной передачи 6. Выход каждого из перемножителей 2-5 соединен с первым входом соответствующего ему сумматора 8-11. Второй вход каждого из сумматоров 8-11 соединен с соответствующим выходом формирователя диаграмм направленности 23, входы которого соединены с соответствующими выходами генератора пилот-сигналов 12. Выход каждого из сумматоров 8-11 соединен с соответствующей ему антенной А1-А4. Пятый выход формирователя весов направленной передачи 6 соединен с входом блока приема обратного канала и выделения информации 7.
На Фиг.8 для простоты представлен канал формирования сигнала только одного пользователя. Для других пользователей используются идентичные каналы, каждый из которых представлен блоком формирования физического канала данных 1, четырьмя перемножителями 2-5 и формирователем весов направленной передачи 6. Блоки обработки сигнала на радиочастоте также не показаны на Фиг.8 из соображений простоты.
Пилот-сигналы, сформированные в генераторе пилот-сигналов 12, поступают на вход формирователя диаграмм направленности 23, где каждый из них в канале каждой антенны перемножается с соответствующим весовым коэффициентом, после чего результаты перемножения, соответствующие одной и той же антенне, суммируются и поступают на выход формирователя диаграмм направленности 23. Выходные сигналы формирователя диаграмм направленности 23 поступают на входы сумматоров соответствующих антенн.
Данный вариант оценки доминантных направлений распространения сигнала может быть реализован на базе той же структуры приемника абонентской станции (Фиг.3). Функциональная схема блока медленной обработки сигнала 14 в этом случае может быть выполнена так, как представлено на Фиг.9.
Блок медленной обработки состоит из набора R квадратурных корреляторов, элемента оценки мощности пилот-сигналов 24, генератора копий пилот-сигналов 22 и элемента формирования оценок доминантных направлений 25. При этом сигналы с выходов корреляторов 20-1-20-R поступают на входы элемента оценки мощности пилот-сигналов 24, а с первого выхода данного элемента оценки мощности пилот-сигналов 24 управляющий сигнал поступает на вход генератора копий пилот-сигналов 22, с выхода которого сформированные копии пилот-сигналов поступают на опорные входы квадратурных корреляторов 20-1-20-R. Сигналы с выходов оценки мощности P( 1),…,Р( K) элемента оценки мощности пилот-сигналов 24 поступают на вход элемента формирования оценок доминантных направлений 25. Функциональную схему квадратурного коррелятора см., например, в Andrew J.Viterbi “CDMA Principles of Spread Spectrum Communication”. Addison-Wesley Wireless Communications Series, p.p.41-42.
В элементе оценки мощности пилот-сигналов 24 обнаруживают и оценивают задержки каждой из L наиболее мощных многолучевых компонент (или временных лучей) сигнала. Способы оценивания представлены, например, в [11] стр. 39-48. Максимальное число обнаруживаемых лучей определяется ограничениями на сложность приемника. Например, это может быть 4, то есть L меньше или равна 4. Затем оценивают мощность рl,k, каждого из К пилот-сигналов (k=1,…,К) для каждого временного луча (l=1,…,L):

где и – синфазная и квадратурная составляющие корреляции между входным сигналом и k-м пилот-сигналом с l-м значением временной задержки, формируемые в квадратурном корреляторе 20. Мощность пилот-сигнала, принятого с направления k, оценивается, как

В элементе формирования оценок доминантных направлений набор значений P( k) рассматривают как функцию угла k.
Определяют М доминантных направлений, например, как значения k, соответствующие М локальным максимумам функции. Возможны и другие способы определения М доминантных направлений. Например, сначала определяют доминантное направление, которому соответствует максимум функции Р( k). Затем модифицируют функцию Р( k), исключая из нее найденный максимум и значения в некоторой окрестности найденного максимума. Ширина исключаемой области определяется угловой разрешающей способностью антенной решетки. Затем определяют максимум модифицированной функции и соответствующее ему направление распространения берут в качестве второго доминантного направления. Описанную процедуру повторяют до тех пор, пока не будут определены все М доминантных направлений.
На выход блока медленной обработки сигнала 14 поступают номера n1,…,nM соответствующих пилот-сигналов.
При реализации первого варианта быстрой обработки в блоке быстрой обработки 15 определяют наилучшее направление для передачи сигнала на каждом коротком временном интервале. Для этого оценивают значения мощности пилот-сигналов, соответствующих доминантным направлениям, информация о которых уже передана на БС:

Выбирают пилот-сигнал с максимальной мощностью. Номер этого пилот-сигнала в последовательности М пилот-сигналов, уже переданных на базовой станции, передают на базовую станцию в течение короткого временного интервала T2.
Для повышения эффективности направленной передачи наряду с первым может быть использован второй вариант быстрой обработки.
Это осуществляют, например, следующим образом. В процессе оценивания канала связи на абонентской станции определяют суммарную мощность пилот-сигналов, соответствующую каждому из L временных лучей.

Сравнивают мощности . Оценивают относительную часть мощности наиболее сильного луча

Определяют порог для относительной части мощности наиболее сильного луча, например 0 равно 0.9, и сравнивают с ним величину .
Если больше или равно 0, то выполняют второй вариант алгоритма быстрой обработки, если меньше 0, то выполняют первый вариант алгоритма быстрой обработки.
При этом один бит информации обратной связи используют для того, чтобы сообщить базовой станции о выбранном варианте. Например, один бит, представляющий номер варианта, добавляют в начале каждого пакета долговременной информации. В случае реализации второго варианта быстрой обработки в блоке быстрой обработки 15 выполняют следующие операции.
Рассчитывают комплексные амплитуды сигналов уm, , соответствующие М доминантным направлениям распространения сигнала, например, следующим образом:

где и – синфазное и квадратурное значения корреляции между входным сигналом и копией n-го пилот-сигнала со значением временной задержки наиболее сильного луча.
Оценивают отношения амплитуд сигналов к наибольшей амплитуде сигнала

Оценивают значение разности фаз между каждым сигналом и сигналом, соответствующим первому доминантному направлению

где arg(х) – аргумент комплексного числа х;
(х)* – число, комплексно сопряженное х.
Значения m и/или  m поступают на выход блока быстрой обработки сигнала 15. С выхода блока быстрой обработки сигнала 15 полученные значения отношений амплитуд и разностей фаз поступают на вход формирователя сообщения обратной связи 16, где их квантуют и передают на базовую станцию.
На базовой станции передают сигнал одновременно в М доминантных направлениях, при этом амплитуду передаваемого сигнала в каждом из М направлений устанавливают пропорционально полученным по обратному каналу соотношениям амплитуд. При этом наибольшая амплитуда сигнала передается в доминантном направлении с наибольшим коэффициентом передачи, а наименьшая – в направлении с наименьшим коэффициентом передачи.
Фазы сигналов, передаваемых в М доминантных направлениях кроме первого, поворачивают соответственно на величины – m, , то есть таким образом, чтобы передаваемые сигналы в точке приема сложились по возможности синфазно.
Предпочтительный вариант реализации предлагаемого изобретения соответствует случаю М равно 2. При М, равном 2, алгоритм быстрой обработки по второму варианту предпочтительно выполнять в соответствии с алгоритмами разнесенной передачи с замкнутой петлей из стандарта 3GPP режима 1 и режима 2 (см. [6]). При этом в качестве входных сигналов для этих алгоритмов на мобильной станции должны использоваться сигналы у1 и у2, формируемые с помощью выражения (11). Т.е. указанные алгоритмы разнесенной передачи используются для максимизации суммы сигналов, пришедших в точку приема по различным доминантным направлениям распространения, вместо сигналов, переданных разнесенными антеннами, как в случае стандарта 3GPP.
В алгоритме разнесенной передачи режима 1 на мобильной станции определяют только разность фаз между двумя входными сигналами. Эту разность фаз квантуют на два возможных значения. Поэтому для передачи кратковременной информации на базовую станцию требуется всего один бит. Соответственно кратковременный интервал составляет всего 1 слот прямого канала 3GPP.
В алгоритме разнесенной передачи режима 2 на мобильной станции разность фаз двух входных сигналов квантуется на большее число значений, а кроме того, рассчитывают и квантуют амплитудное соотношение между двумя сигналами. Поэтому для передачи кратковременной информации на базовую станцию используются 4 бита. Соответственно кратковременный интервал составляет 4 слота прямого канала 3GPP.
Для повышения точности оценивания количество пилот-сигналов необходимо увеличивать. Однако ресурсы пилот каналов в любой системе, в том числе и 3GPP, являются ограниченными.
При использовании направленных пилот-сигналов для решения этой проблемы может быть использовано временное мультиплексирование направления, в котором передается каждый пилот-сигнал. Например, можно передать К пилот-сигналов в 2*К-направлениях путем изменения направления передачи каждого пилот-сигнала в двух последовательных слотах. При этом на абонентской станции должен быть известен способ мультиплексирования.
В случае использования ненаправленных пилот-сигналов проблема их ограниченного количества может быть также решена, например, следующим образом.
В общем случае для оценивания канала связи с каждой антенны должен передаваться соответствующий пилот-сигнал. Однако предлагаемое изобретение отличается тем, что использует только наиболее важную информацию о канале распространения – доминантные направления распространения сигнала.
Для оценивания доминантных направлений распространения сигнала можно использовать антенную решетку с меньшим количеством антенных элементов. Это означает, что БС может передавать пилот-сигналы не с каждого антенного элемента, а, например, только с нескольких центральных антенных элементов. Благодаря использованию на МС алгоритма оценивания угла прихода с высокой разрешающей способностью (например, MUSIC) точность оценки доминантных направлений распространения сигнала даже при использовании антенной решетки с меньшим количеством антенных элементов будет достаточно высокой.
Рассмотрим описанный выше принцип применительно к восьмиэлементной антенной решетке. При этом для оценивания доминантных направлений можно использовать четыре центральных элемента решетки, то есть пилот-сигналы передавать с четырех центральных антенных элементов (см. Фиг.15). Направленная передача сигнала на БС осуществляется с использованием всех восьми элементов для того, чтобы сформировать наиболее узкий луч диаграммы направленности.
Предложенный способ направленной передачи с обратной связью основан на непосредственном оценивании пространственного канала распространения сигнала и поэтому превосходит по эффективности аналогичные методы, основанные на оценивании угла прихода сигнала обратного канала (см., патент US#6347234. “Practical space-time radio method for CDMA communication capacity enhancement”. Adaptive Telecom, Inc. (Campbell, CA), Metawave Communications Corporation (Redmond, WA). February 12, 2002 [12], а также [8]), так как гарантированно выбирает оптимальное направление распространения сигнала.
Предложенный способ эффективно ослабляет замирания сигнала, так как использует для передачи различные направления распространения, которые, как правило, соответствуют независимым путям распространения сигнала.
По сравнению с прототипом минимизируется уровень внутрисистемных помех, так как передача полезной мощности выполняется в узком пространственном направлении.
Предлагаемый способ может быть реализован в условиях канала обратной связи с низкой скоростью передачи, так как через него передается компактная и эффективная информация. Например, способ достаточно эффективен, если используются 2 доминантных направления, а угол представляется пятью битами. При этом объем медленно меняющихся данных составляет 10 бит, в то время как в прототипе для передачи двух собственных векторов требуется 54 бита при четырех передающих антеннах и представлении комплексного числа восемью битами.
При увеличении числа передающих антенн объем долговременной контрольной информации в прототипе увеличивается линейно, а для предлагаемого способа данный объем сохраняется либо увеличивается незначительно. Это свойство дает возможность увеличивать число передающих антенн без заметного увеличения объема данных, передаваемых по каналу обратной связи.
Малый объем долговременной контрольной информации позволяет передать ее с меньшей задержкой, вследствие чего предлагаемый способ обеспечивает быстрое слежение за параметрами канала распространения.
Минимальный объем передаваемых данных дает преимущество в условиях неидеального канала обратной связи, который допускает определенную вероятность ошибки. Во-первых, при меньшем объеме блок передаваемых данных искажается с меньшей вероятностью. Во-вторых, небольшой объем позволяет применить кодирование медленно меняющихся данных и тем самым практически полностью исключить ошибки при передаче данных по каналу обратной связи.
Предлагаемый алгоритм с периодичностью короткого временного интервала выполняет переключение между М доминантными направлениями. Для устранения влияния задержки обратной связи может быть использовано предсказание наилучшего направления передачи для следующего короткого временного интервала.
С целью оценки характеристик предлагаемого алгоритма было выполнено компьютерное моделирование. На Фиг.10 представлены зависимости битовой вероятности ошибки BER до декодера для следующих алгоритмов: для прототипа, по углу прихода обратного канала и предлагаемого решения. Условия моделирования: количество передающих антенн N равно 4, доплеровский сдвиг частоты – 50 Гц; канал распространения с двумя неразрешимыми по времени лучами, угловыми направлениями распространения сигнала -20 и +20 градусов и угловым расширением 3 градуса.
Анализ представленной зависимости свидетельствует о высокой эффективности предлагаемого способа в многолучевом канале. Например, на уровне BER 10% выигрыш предлагаемого способа относительно прототипа составляет примерно 2 дБ.
Результаты моделирования в условиях неидеального канала обратной связи представлены на Фиг.11. Оцениваемым параметром здесь является мощность передачи базовой станции относительно уровня теплового шума. Кривые показывают, что при вероятности ошибки канала обратной связи более 4% выигрыш предлагаемого алгоритма относительно прототипа превышает 1.5 dB.
Сравнение эффективности предлагаемого способа и прототипа было также выполнено в условиях, максимально приближенных к реальным условиям прямого канала системы связи 3GPP. Моделировалось одно соединение (один сектор базовой станции и одна мобильная станция). В качестве помехи моделировался Гауссовский шум. Остальные параметры моделирования приведены в таблице.
Таблица Параметры моделирования |
| Скорость передачи информации |
10 кбит/с |
| Ширина спектра передаваемого широкополосного сигнала |
3.84 МГц |
| Скорость кодирования |
1/3 |
| Несущая частота |
2 ГГц |
| Скорость быстрой регулировки мощности |
1500 Гц |
| Шаг регулировки мощности передатчика |
1 дБ |
| Целевая пакетная вероятность |
1% |
| ошибки в алгоритме регулировки мощности |
|
| Битовая скорость обратного контрольного канала |
1500 бит/с |
| Задержка информации обратного контрольного канала |
1 слот |
| Частота битовой ошибки в обратном контрольном канале |
5% |
| Модель канала распространения сигнала |
Модель пространственного канала связи, разработанная группами стандартизации 3GPP/3GPP2 |
Параметры предлагаемого способа при моделировании были следующими: М равно 2 (два доминантных направления), объем полезных долговременных данных равен 10 бит (5 бит на одно направление передачи), 15 избыточных бит (позволяет исправить до трех ошибок), общий объем долговременных данных (полезные данные плюс избыточные) равен 25 бит, интервал долговременно обработки равен 375 слотов, интервал кратковременной обработки равен 1 слоту (однобитная команда).
Моделирование предлагаемого способа и прототипа было выполнено для четырехэлементной антенной решетки с расстоянием между элементами в половину длины волны.
Моделирование алгоритма разнесенной передачи с обратной связью (см. [6]) было выполнено для двух антенных элементов, разнесенных на десять длин волн.
В процессе моделирования оценивалось отношение суммарной (по всем антеннам) передаваемой мощности сигнала к дисперсии термального шума в канале связи. Это отношение обозначено как Тх ROT. Параметр Тх ROT является одной из наиболее важных характеристик способов передачи, поскольку через него непосредственно оценивается пропускная способность системы связи. Чем меньше значение Тх ROT, тем выше пропускная способность системы связи.
Параметр Тх ROT (дБ) был получен для 50 случайных реализаций канала распространения для каждой из трех возможных типов сред распространения (микросота, городская макросота, пригородная макросота) согласно модели пространственного канала распространения, разработанной группой стандартизации 3GPP/3GPP2.
На Фиг.12 приведена диаграмма, отображающая средние значения параметра Тх ROT рассматриваемых способов передачи, полученные для трех указанных выше типов среды распространения.
Полученные результаты моделирования показывают, что предлагаемый способ обладает существенным выигрышем по параметру Тх ROT среди сравниваемых способов. Следовательно, за счет практической реализации предлагаемого способа пропускная способность системы связи будет существенно увеличена.
Полученная высокая эффективность предлагаемого изобретения по сравнению с прототипом объясняется более полным использованием возможностей решетки с близкорасположенными элементами, направленной передачи с помощью таких решеток наиболее информативным параметром является направление передачи. Использование этого параметра позволяет значительно сократить объем передаваемых по обратному каналу контрольных данных. При этом антенная решетка реализует достаточно эффективное разнесение в многолучевом канале за счет адаптации направления передачи в соответствии с замираниями в канале связи.
Формула изобретения
1. Способ направленной передачи с обратной связью, заключающийся в том, что с базовой станции посредством передатчика передают информационный сигнал абонентской станции, формируя диаграмму направленности на основе контрольной информации, получаемой от абонентской станции по каналу обратной связи, при этом на базовой и абонентской станциях осуществляют медленную и быструю обработку сигнала, причем медленную обработку сигнала выполняют периодически с периодом T1, а быструю обработку сигнала выполняют периодически с периодом Т2, при этом Т2 меньше T1, на абонентской станции периодически с периодом медленной обработки сигнала T1 оценивают параметры пространственного канала связи между базовой и абонентской станциями, причем данную оценку осуществляют с использованием пилот-сигналов, которые формируют посредством передатчика базовой станции и передают помимо информационного сигнала, отличающийся тем, что на каждом периоде T1 медленной обработки сигнала на абонентской станции оценивают пространственные направления распространения сигнала от базовой станции к абонентской станции, выбирают М доминантных направлений распространения сигнала из указанных оцененных пространственных направлений, которые характеризуются наибольшей принимаемой энергией сигнала, полученные М оценок доминантных направлений распространения сигнала упорядочивают, квантуют, подвергают помехоустойчивому кодированию, формируя таким образом последовательность упорядоченных оценок М доминантных направлений распространения сигнала, последовательность упорядоченных оценок М доминантных направлений распространения сигнала передают по обратному каналу от абонентской к базовой станции, в качестве долговременной контрольной информации, на базовой станции получают по обратному каналу от абонентской станции последовательность упорядоченных оценок М доминантных направлений распространения сигнала, декодируют их и запоминают в том порядке, в котором они были приняты, на каждом периоде быстрой обработки Т2 сигнала на абонентской станции оценивают энергию сигнала, соответствующую каждому из М доминантных направлений распространения сигнала, оценки которых уже переданы на базовую станцию, оценивают значение энергии принимаемого сигнала на следующем периоде быстрой обработки сигнала для каждого из М доминантных направлений распространения сигнала, используя для этого оценки энергии сигнала, сформированные на нескольких предыдущих периодах быстрой обработки сигнала, определяют наилучшее направление для передачи сигнала как доминантное направление распространения сигнала, которому соответствует максимальное оцененное значение энергии сигнала, и номер этого направления в упорядоченной последовательности оценок М доминантных направлений распространения сигнала передают по обратному каналу на базовую станцию в качестве кратковременной контрольной информации, на базовой станции принимают порядковый номер наилучшего направления для передачи сигнала и передают информационный сигнал абонентской станции, формируя диаграмму направленности с максимумом в данном направлении.
2. Способ по п.1, отличающийся тем, что передают основную часть мощности информационного сигнала абонентской станции, формируя диаграмму направленности с максимумом в данном направлении, а остальную часть мощности равномерно распределяют для передачи в остальных М минус 1 доминантных направлениях.
3. Способ по п.1, отличающийся тем, что оценку М доминантных направлений распространения сигнала относительно антенной решетки базовой станции выполняют на абонентской станции на основании приема пилот-сигналов, переданных с различных антенных элементов антенной решетки базовой станции и известной конфигурации антенной решетки.
4. Способ по п.1, отличающийся тем, что оценку М доминантных направлений распространения сигнала относительно антенной решетки базовой станции выполняют на основании приема К пилот-сигналов, передаваемых с базовой станции с различными диаграммами направленности.
5. Способ по п.1, отличающийся тем, что при М равном 1 на мобильной станции полученную одну оценку доминантного направления распространения сигнала квантуют и передают по обратному каналу от абонентской к базовой станции в качестве контрольной информации, на базовой станции получают по обратному каналу от абонентской станции оценку доминантного направления распространения сигнала и передают информационный сигнал абонентской станции, формируя диаграмму направленности с максимумом в данном направлении.
6. Способ направленной передачи с обратной связью, заключающийся в том, что с базовой станции посредством передатчика передают информационный сигнал абонентской станции, формируя диаграмму направленности на основе контрольной информации, получаемой от абонентской станции по каналу обратной связи, при этом на базовой и абонентской станциях осуществляют медленную и быструю обработку сигнала, причем медленную обработку сигнала выполняют периодически с периодом T1, а быструю обработку сигнала выполняют периодически с периодом T2, при этом Т2 меньше T1, на абонентской станции периодически с периодом медленной обработки сигнала T1 оценивают пространственный канал связи между базовой и абонентской станциями, причем данную оценку осуществляют с использованием пилот-сигналов, которые формируют посредством передатчика базовой станции и передают помимо информационного сигнала, отличающийся тем, что на каждом периоде T1 медленной обработки сигнала на абонентской станции оценивают пространственные направления распространения сигнала от базовой станции к абонентской станции, выбирают М доминантных направлений распространения сигнала из указанных оцененных пространственных направлений, которые характеризуются наибольшей принимаемой энергией сигнала, полученные М оценок доминантных направлений распространения сигнала упорядочивают, квантуют, подвергают помехоустойчивому кодированию, формируя таким образом последовательность упорядоченных оценок М доминантных направлений распространения сигнала, последовательность упорядоченных оценок М доминантных направлений распространения сигнала передают по обратному каналу от абонентской к базовой станции, в качестве долговременной контрольной информации, на базовой станции получают по обратному каналу от абонентской станции последовательность упорядоченных оценок М доминантных направлений распространения сигнала, декодируют их и запоминают в том порядке, в котором они были приняты, на каждом периоде T2 быстрой обработки сигнала на абонентской станции оценивают значения отношений амплитуд и разностей фаз между компонентами сигнала принятыми с различных доминантных направлений распространения сигнала, полученные оценки квантуют и передают по обратному каналу на базовую станцию в качестве кратковременной контрольной информации, на базовой станции получают оценки значений отношений амплитуд и разностей фаз и передают информационный сигнал абонентской станции в М доминантных направлениях распространения сигнала, устанавливая значения отношений амплитуд и разностей фаз между компонентами сигнала, передаваемыми в различных направлениях, в соответствии с полученными оценками таким образом, чтобы максимизировать мощность сигнала в точке приема.
7. Способ по п.2, отличающийся тем, что на каждом периоде быстрой обработки сигнала Т2 на абонентской станции оценивают только значения разности фаз между компонентами сигнала, принятыми с различных доминантных направлений распространения сигнала, полученные оценки квантуют и передают по обратному каналу на базовую станцию в качестве кратковременной контрольной информации, при этом на базовой станции получают оценки разности фаз и передают информационный сигнал абонентской станции в М доминантных направлениях распространения сигнала, устанавливая значения разности фаз между компонентами сигнала, передаваемыми в различных направлениях, в соответствии с полученными оценками, таким образом, чтобы максимизировать мощность сигнала в точке приема.
8. Способ по п.2, отличающийся тем, что оценку М доминантных направлений распространения сигнала относительно антенной решетки базовой станции выполняют на абонентской станции на основании приема пилот-сигналов, переданных с различных антенных элементов антенной решетки базовой станции и известной конфигурации антенной решетки.
9. Способ по п.2, отличающийся тем, что оценку М доминантных направлений распространения сигнала относительно антенной решетки базовой станции выполняют на основании приема К пилот-сигналов, передаваемых с базовой станции с различными диаграммами направленности.
10. Способ по п.2, отличающийся тем, что при М равном 1 на мобильной станции полученную одну оценку доминантного направления распространения сигнала квантуют и передают по обратному каналу от абонентской к базовой станции в качестве контрольной информации, на базовой станции получают по обратному каналу от абонентской станции оценку доминантного направления распространения сигнала и передают информационный сигнал абонентской станции, формируя диаграмму направленности с максимумом в данном направлении.
РИСУНКИ
|