|
|
(21), (22) Заявка: 2005107981/03, 21.03.2005
(24) Дата начала отсчета срока действия патента:
21.03.2005
(46) Опубликовано: 20.06.2006
(56) Список документов, цитированных в отчете о поиске:
SU 1404945 A1, 23.06.1988. SU 1440888 A1, 30.11.1988. SU 1606938 A1, 15.11.1990. RU 2005699 C1,15.01.1999. US 6040696 A, 21.03.2000.
Адрес для переписки:
170026, г.Тверь, наб. А. Никитина, 22, ТГТУ, Отдел охраны авторских прав и защиты информации
|
(72) Автор(ы):
Голубев Александр Иванович (RU), Миронов Вячеслав Александрович (RU)
(73) Патентообладатель(и):
Государственное образовательное учреждение высшего профессионального образования “Тверской государственный технический университет” (RU)
|
(54) СПОСОБ ОПРЕДЕЛЕНИЯ ОБЪЕМА МЕЖЗЕРНОВЫХ ПУСТОТ ПОРИСТОГО СЫПУЧЕГО МАТЕРИАЛА
(57) Реферат:
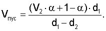
Изобретение относится к области испытаний и определения свойств материалов и может быть использовано в производстве легкого бетона, зернистых теплоизоляционных материалов. В способе определения объема межзерновых пустот пористого сыпучего материала осуществляют послойное заполнение единицы объема зернами пористого сыпучего материала размером d1, мм, и зернами монолитного материала размером d2, мм, при d1 больше d2 определяют объем пористого сыпучего материала, используемого для приготовления смеси, V1, м3, и объем монолитного материала, используемого для приготовления смеси, V2, м3, величину коэффициента раздвижки зерен пористого сыпучего материала зернами монолитного – по формуле =1м3/V1м3, a величину объема межзерновых пустот пористого сыпучего материала Vпус, м3, определяют по формуле Vпус=((V2· +1- )d1)/(d1-d2). Технический результат – повышение точности определения, ускорение процесса испытания без использования дополнительного лабораторного оборудования и повышения материальных затрат.
Изобретение относится к области испытаний и определения свойств материалов и может быть использовано в производстве легкого бетона, зернистых теплоизоляционных материалов.
Известны способы определения пустотности материалов заполнением межзерновых пустот водой, цементным тестом (Невилль А.М. Свойства бетона. М.: Изд-во лит. по строительству, 1972, с.84-88. Книгина Г.И. Лабораторные работы по технологии строительной керамики и искусственных пористых заполнителей, М.: Высшая школа, 1985, с.152, 155-156).
Однако в известных способах определения объема межзерновых пустот используются жидкие компоненты, обладающие способностью заполнять не только пустоты между зернами, но и их поры. Учитывая, что поры бывают открытыми, доступными для проникновения жидких веществ, и закрытыми, т.е. находящимися вне пределов досягаемости жидких компонентов, соотношение величин пористости (открытой и закрытой) даже в однородном материале колеблется в значительных пределах и приводит к снижению точности лабораторных измерений или вычислений искомой величины. Кроме того, в известных способах отсутствуют количественные взаимосвязи между объемно-массовыми и гранулометрическими характеристиками пористых сыпучих материалов.
В основе создания изобретения лежит задача по разработке такого способа определения объема межзерновых пустот пористого сыпучего материала, который позволяет количественно оценивать величину объема пустот с учетом объемных характеристик раздвигающих фракций и гранулометрических характеристик пористых и монолитных твердых тел, а также без определения экспериментальными и аналитическими методами их массовых характеристик.
Технический результат достигается тем, что при послойном совмещении фракций с пористыми и монолитными зернами меньших размеров количественно оценивается величина раздвижки пористых зерен монолитными, с учетом их размеров определяется величина объема межзерновых пустот, которая корреляционно связана со степенью заполнения их пустот монолитными зернами. Способ предусматривает только фракционирование материалов и определение объемного расхода фракций для приготовления смеси единичного объема путем послойного его заполнения.
Поставленная задача достигается тем, что в способе определения объема межзерновых пустот пористого сыпучего материала осуществляют послойное заполнение единицы объема зернами пористого сыпучего материала размером d1, мм, и зернами монолитного материала размером d2, мм, при d1 больше d2 определяют объем пористого сыпучего материала, используемого для приготовления смеси, V1, м3, и объем монолитного материала, используемого для приготовления смеси, V2, м3, величину коэффициента раздвижки зерен пористого сыпучего материала зернами монолитного – по формуле =1м3/V1м3, a величину объема межзерновых пустот пористого сыпучего материала Vпус/ м3, определяют по формуле 
Исследование пористых сыпучих материалов показало, что в пористых зернах поры на 1-2 порядка меньше геометрических размеров зерен, поэтому заполнения объема пор твердыми монолитными зернами не происходит. Заявляемый способ предусматривает определение полного объема пустот пористого сыпучего материала даже в тех случаях, когда монолитные зерна заполняют часть объема пустот пористого сыпучего материала.
Способ осуществляется следующим образом.
Пример 1. Фракционированием выделяют фракцию керамзита с размерами зерен d1=2,5 мм, а также фракцию кварцевого песка с размерами зерен d2 =0,14 мм.
При послойном заполнении единицы объема мерного сосуда определяют расход каждой фракции для приготовления смеси объемом 1 м3. Расход фракции керамзита составил V2,5=0,849 м3, а фракции кварцевого песка с размерами зерен d2=0,14 мм – 0,490 м3. Коэффициент раздвижки зерен керамзита зернами песка составляет =1 м3/0,849 м3=1,178, безразмерная величина. Величину объема межзерновых пустот керамзита определяют по формуле

которая равна

Пример 2. Фракционированием выделяют фракцию керамзита с размерами зерен d1=12,5 мм, а также фракцию кварцевого песка с размерами зерен d2=2,5 мм. При послойном заполнении мерного сосуда определяют расход каждой фракции для приготовления смеси объемом 1 м3. Расход керамзита составил 0,579 м3, а фракции песка – 0,617 м3. Коэффициент раздвижки зерен керамзита зернами песка составляет =1л м3/0,579 м3=1,728, безразмерная величина. Величину объема межзерновых пустот керамзита определяют по формуле

которая равна

Результаты сравнительных испытаний, проведенные в ЦСЛ Тверского комбината крупнопанельного домостроения, показали, что данные расчета по заявляемому способу и результаты испытаний по существующей методике совпадают. Колебания в величинах объемов межзерновых пустот керамзита лежат в пределах допустимой точности измерений физических величин. По сравнению с существующими отмечено значительное ускорение процесса испытания пористых заполнителей бетона. Заявляемый способ не требует дополнительного лабораторного оборудования и материальных затрат, готов к внедрению в производство.
Определение величин объемов межзерновых пустот по заявляемому способу обеспечивает возможность установления количественных взаимосвязей между всеми объемно-массовыми характеристиками пористых сыпучих материалов и разработки вычислительных программ для их определения.
Формула изобретения
Способ определения объема межзерновых пустот пористого сыпучего материала, характеризующийся тем, что осуществляют послойное заполнение единицы объема зернами пористого сыпучего материала размером d1, мм, и зернами монолитного материала размером d2, мм, при d1 больше d2, определяют объем пористого сыпучего материала, используемого для приготовления смеси, V1, м3, и объем монолитного материала, используемого для приготовления смеси, V2, м3, величину коэффициента раздвижки зерен пористого сыпучего материала зернами монолитного – по формуле =1м3/V1м3, а величину объема межзерновых пустот пористого сыпучего материала Vпус, м3, определяют по формуле

MM4A – Досрочное прекращение действия патента СССР или патента Российской Федерации на изобретение из-за неуплаты в установленный срок пошлины за поддержание патента в силе
Дата прекращения действия патента: 22.03.2007
Извещение опубликовано: 10.11.2008 БИ: 31/2008
|
|