|
|
(21), (22) Заявка: 2004131458/02, 29.10.2004
(24) Дата начала отсчета срока действия патента:
29.10.2004
(46) Опубликовано: 20.06.2006
(56) Список документов, цитированных в отчете о поиске:
US 5095821 А, 17.03.1992. RU 2196294 C1, 10.01.2003. RU 2171964 C1, 10.08.2001. RU 2071593 C1, 10.01.1997. WO 0179781 A, 25.10.2001. US 5157225 А, 20.10.1992. DE 2919268 А, 20.11.1980.
Адрес для переписки:
105005, Москва, Госпитальный пер., НИИ СМ МГТУ им. Н.Э. Баумана
|
(72) Автор(ы):
Одинцов Владимир Алексеевич (RU), Челышев Владимир Алексеевич (RU), Бубнов Михаил Александрович (RU), Ладов Сергей Вячеславович (RU), Костылев Виталий Кузьмич (RU), Попов Виктор Александрович (RU), Метасов Владимир Федорович (RU), Хомутский Владимир Евгеньевич (RU)
(73) Патентообладатель(и):
Научно-исследовательский институт специального машиностроения Московского государственного технического университета им. Н.Э. Баумана (RU)
|
(54) СРЕДСТВО ПОРАЖЕНИЯ С ПЛАСТИНЧАТЫМИ ОСКОЛКАМИ
(57) Реферат:
Изобретение относится к боеприпасам, а более конкретно – к осколочным боеприпасам заданного дробления. Средство поражения содержит заряд взрывчатого вещества, взрыватель и осколочную оболочку или пластину заданного дробления, выполненные из осколочной ленты, примыкающей узкой боковой гранью к заряду взрывчатого вещества и имеющей на противоположной стороне фигурные вырезы, и отношение толщины ленты к ее ширине составляет 0,1-0,3. Технический результат заключается в предотвращении быстрой потери скорости осколка на полете и уменьшении величины случайной площади проекции. 6 з.п. ф-лы, 4 ил.
Изобретение относится к боеприпасам, а более конкретно – к осколочным боеприпасам заданного дробления.
Известны осколочные боеприпасы, содержащие оболочку или пластину (САЗТ “Арена”, патент №РФ) с нанесенными на ней пазами (рифлением), обеспечивающими разделение пластины или оболочки на осколки заданной формы, в том числе пластинчатые, квадратные, прямоугольные, ромбовидные в плане (см. например, В.А.Одинцов. Конструкции осколочных боеприпасов, ч.1, 2002 г., стр.45). Наиболее близким аналогом заявленного изобретения является осколочное средство поражения, известное из патента US 5095821, 17.03.1992. Оно содержит заряд взрывчатого вещества, взрыватель и осколочную оболочку. Основным недостатком ближайшего аналога является быстрая потеря скорости осколка на полете вследствие большого значения площади проекции осколка на площадку, перпендикулярную траектории, обусловленную беспорядочным вращением осколка на полете. С другой стороны большая величина случайной площади проекции в момент удара в преграду приводит к низкому поражающему действию.
Настоящее изобретение направлено на устранение указанных недостатков.
Техническое решение состоит в том, что осколочное средство поражения содержит заряд взрывчатого вещества, взрыватель и осколочную оболочку или пластину заданного дробления, выполненные из осколочной ленты, примыкающей узкой боковой гранью к заряду взрывчатого вещества и имеющей на противоположной стороне фигурные вырезы, отношение толщины ленты к ее ширине составляет 0,1-0,3.
Осколочная оболочка может быть выполнена из осколочной ленты, намотанной на заряд взрывчатого вещества в виде спирали.
Осколочная пластина может быть выполнена в виде пакета осколочных лент.
Заряд взрывчатого вещества может быть выполнен в виде многогранной призмы, к граням которой примыкают пакеты осколочных лент, расположенных параллельно оси заряда, при этом между пакетами образованы клиновидные зазоры, заполненные металлическими вкладышами треугольного сечения.
Фигурный вырез может быть выполнен в форме трапеции, сужающейся по направлению к заряду взрывчатого вещества и имеющей высоту, равную 0,7-0,9 ширины ленты.
Один из углов при основании трапеции может выполняться прямым.
Между зарядом взрывчатого вещества и осколочной оболочкой или пластиной может располагаться несущая металлическая оболочка или тонкая пластина.
Поперечный изгиб пластинчатого ПЭ не влияет на устойчивость траектории их полета при отношении толщины ленты к ее ширине более 0,1. При относительных толщинах, больших 0,3, ориентация ПЭ на полете становится случайной, что приводит к быстрой потере скорости. При взрыве формируются элементы, имеющие более компактную форму, и утрачиваются преимущества, которые имеют пластинчатые ПЭ перед компактными. Таким образом, диапазон значений относительной толщины ленты t/h0=0,1…0,3.
Изобретение иллюстрируется чертежами. Фиг.1 – конфигурация осколочной ленты 1 и основные размеры; фиг.2 – схема формирования осколка 2 и его полета со вращением; фиг.3 – круговое средство поражения с осколочной лентой 3, намотанной по спирали; фиг.4 – круговое средство поражения с пакетами линейных осколочных лент 4.
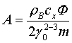
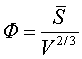
Средство поражения действует следующим образом (фиг.2). Конфигурация осколка в плане выполнена так, что равнодействующая сил давления продуктов детонации приложена с эксцентриситетом относительно центра масс осколка. Высота перемычек В между осколками выполнена такой, что при подрыве вследствие разности удельных масс в зонах А и В происходит срезание по плоскостям S-S с выделением основных осколков А. Создаваемый момент сообщает осколку вращение вокруг центра масс, что обеспечивает гироскопическую устойчивость полета с малой средней лобовой площадью. В зависимости от конфигурации и соотношения размеров осколка А средняя лобовая площадь осколка 0,1-0,3 от средней лобовой площади компактного осколка той же массы. Соответствующим образом уменьшается и параметр формы осколка , где V – объем осколка, – средняя площадь проекции осколка на площадку, перпендикулярную направлению полета. Параметр формы Ф входит в выражения для баллистического коэффициента осколка А

где В – плотность воздуха, сх – коэффициент лобового сопротивления, 0 – плотность металла осколка, m – масса осколка. Баллистический коэффициент А определяет затухание скорости осколка вдоль траектории
v=v0e-Ax
где v0, v – начальная и текущая скорости осколка, х – пройденный им путь.
Малая потеря скорости осколка на полете является главным преимуществом предлагаемого изобретения. Другим важным преимуществом является повышенная пробивная способность пластинчатого осколка, определяемая также малым миделем . Эта способность наиболее ярко проявляется при действии по мягким целям, в том числе по тканевым средствам индивидуальной защиты, где воздействие узкой грани приводит к перерезанию нитей ткани и устранению передачи растягивающих усилий на массу ткани, окружающей место удара.
На фиг.3, 4 показаны исполнения осколочных оболочек боеприпасов, имеющих круговые поля поражения (артиллерийские снаряды, мины, гранаты подствольных гранатометов, боевые части реактивных снарядов залпового огня, ручные гранаты и т.п.). Одним из наиболее технологичных методов изготовления оболочек является намотка осколочной ленты по спирали непосредственно на заряд взрывчатого вещества (фиг.3) или на тонкостенную несущую оболочку, содержащую заряд ВВ. Такой метод обеспечивает более высокую механическую прочность оболочки, чем набор оболочки из колец.
На фиг.4 показано поперечное сечение круговой боевой части с многолучевым полем. В этой конструкции заряд ВВ выполнен в виде многогранной призмы, пакеты осколочных лент примыкают гладкой стороной к граням призмы, ленты расположены параллельно оси заряда. Для устранения боковых разгрузок в пакетах и прорыва продуктов детонации через стенки клиновидные зазоры между пакетами заполнены металлическими вкладышами треугольного сечения.
Результаты компьютерного моделирования показали, что для нормального формирования пластинчатого ПЭ относительная высота фигурного выреза (фиг.1) к полной ширине осколочной ленты должно находиться в пределах 0,7…0,9, относительный шаг f/h0 в пределах 1,2…1,5, а угол в диапазоне 90±5°.
Нижнее значение диапазона по относительной высоте фигурного выреза определяется из соображений формирования пластинчатого ПЭ оптимальной формы и его сохранности при взрывном метании, а верхнее значение – из технологических соображений, связанных с обеспечением возможности изготовления осколочной ленты штамповкой из листовых заготовок.
Относительный шаг f/h0 определяется из условий достаточной плотности расположения ПЭ по длине осколочной ленты и получения при взрывном метании достаточной для стабилизации траектории полета ПЭ угловой скорости их вращения.
Угол определяется из тех же соображений, а также из условия обеспечения нормального расхождения элементов между собой.
Формула изобретения
1. Осколочное средство поражения, содержащее заряд взрывчатого вещества, взрыватель и осколочную оболочку или пластину заданного дробления, выполненные из осколочной ленты, примыкающей узкой боковой гранью к заряду взрывчатого вещества и имеющей на противоположной стороне фигурные вырезы, отличающееся тем, что отношение толщины ленты к ее ширине составляет 0,1-0,3.
2. Средство поражения по п.1, отличающееся тем, что осколочная оболочка выполнена из осколочной ленты, намотанной на заряд взрывчатого вещества в виде спирали.
3. Средство поражения по п.1, отличающееся тем, что осколочная пластина выполнена в виде пакета осколочных лент.
4. Средство поражения по п.1, отличающееся тем, что заряд взрывчатого вещества выполнен в виде многогранной призмы, к граням которой примыкают пакеты осколочных лент, расположенных параллельно оси заряда, при этом между пакетами образованы клиновидные зазоры, заполненные металлическими вкладышами треугольного сечения.
5. Средство поражения по п.1, отличающееся тем, что фигурный вырез выполнен в форме трапеции, сужающейся по направлению к заряду взрывчатого вещества и имеющей высоту, равную 0,7-0,9 ширины ленты.
6. Средство поражения по п.5, отличающееся тем, что один из углов при основании трапеции является прямым.
7. Средство поражения по п.1, отличающееся тем, что между зарядом взрывчатого вещества и осколочной оболочкой или пластиной располагается несущая металлическая оболочка или тонкая пластина.
РИСУНКИ
MM4A – Досрочное прекращение действия патента СССР или патента Российской Федерации на изобретение из-за неуплаты в установленный срок пошлины за поддержание патента в силе
Дата прекращения действия патента: 30.10.2006
Извещение опубликовано: 20.06.2008 БИ: 17/2008
|
|