|
(21), (22) Заявка: 2004138978/03, 30.12.2004
(24) Дата начала отсчета срока действия патента:
30.12.2004
(46) Опубликовано: 20.06.2006
(56) Список документов, цитированных в отчете о поиске:
АЛТУНИН В.С. Защитные покрытия оросительных каналов. М.: Агропромиздат, 1988, с. 65, рис. 25в, рис. 25б. SU 340752 А, 22.06.1972. SU 1206370 А, 23.01.1986. SU 990940 А, 23.01.1983. RU 2032036 С1, 27.03.1995. SU 808579 А, 28.02.1981. FR 2308747 A1, 19.11.1976.
Адрес для переписки:
400012, г.Волгоград, ГСП, ул. Трехгорная, 21, ГНУ ПНИИЭМТ, А.Г. Алимову
|
(72) Автор(ы):
Алимов Анатолий Георгиевич (RU)
(73) Патентообладатель(и):
Государственное научное учреждение Поволжский научно-исследовательский институт эколого-мелиоративных технологий Российской академии сельскохозяйственных наук (RU)
|
(54) ДЕФОРМАЦИОННЫЙ ШОВ ПРОТИВОФИЛЬТРАЦИОННОЙ ОБЛИЦОВКИ КАНАЛОВ И ВОДОЕМОВ (ВАРИАНТЫ)
(57) Реферат:
Изобретение относится к водохозяйственному строительству и может быть использовано для герметизации, ремонта швов в бетонных и железобетонных облицовках оросительных каналов и систем водоснабжения. Деформационный шов по первому варианту включает пороизоловую прокладку, полимерную герметизирующую мастику и противоадгезионный слой. На нижней поверхности стыкуемых плит или к торцевым граням стыкуемых плит в конструкции шва герметично приклеена гидроизоляционная прокладка шириной 100…500 мм, выполненная с компенсатором в виде свободно деформируемой складки. Деформационный шов по второму варианту включает пороизоловую прокладку, битумно-полимерную герметизирующую мастику, уложенную в полость шва с устройством заплечиков (шириной 30…50 мм) по верху стыкуемых плит и противоадгезионный слой. На нижней поверхности стыкуемых плит или к торцевым граням стыкуемых плит в конструкции шва герметично приклеена гидроизоляционная прокладка шириной 100…500 мм, выполненная с компенсатором в виде свободно деформируемой складки. Предельные размеры шва по I и II вариантам устанавливают по математическим зависимостям. Полость компенсатора, выполненного в виде свободно деформируемой складки, заполнена пластичной, гидрофобной и морозостойкой смазкой. Повышается качество стыковых соединений, надежность и долговечность деформационных герметизированных швов. 2 н. и 6 з.п. ф-лы, 4 ил.
Изобретение относится к водохозяйственному строительству, в частности для герметизации, ремонта и реконструкции швов в бетонных и железобетонных противофильтрационных облицовках оросительных каналов и систем водоснабжения.
Известен деформационный шов, преимущественно защитных облицовок каналов и водоемов из бетонных и железобетонных плит, включающий цементный заполнитель и противофильтрационный эластичный элемент (см., например, Елшин И.М. Полимерные материалы в ирригационном строительстве. – М.: Колос, 1974. – С.83, рис.21, б).
Описанная конструкция деформационного шва для своего создания требует больших трудозатрат, не обеспечивает герметичности по контуру плит, в частности на стыке дна и откосов. На участке сложных сопряжений в виде четырех рядом уложенных плит сборной облицовки швов вызывает дополнительные затруднения осуществление приклеивания эластичной мембраны в местах нахождения монтажных петель.
Известен также деформационный шов и способ его механизированного устройства путем закладки герметизирующих профилей в бетонную смесь одновременно с устройством монолитной облицовки и уплотнением бетона в зоне шва с помощью бетоноукладочной машины для строительства магистральных каналов зарубежной фирмы “Рахко” (США) (см. B.C. Алтунин, В.А. Бородин, В.Г. Ганчиков, Ю.М. Косиченко. Защитные покрытия оросительных каналов. – М.: Агропромиздат, 1988. – С.30, рис.2; с.32). Для этой цели используют прокладку “констоп”, имеющую крестообразную форму с замкнутой полостью (деформатором) в пересечении вертикальных и горизонтальных элементов (открылков) с утолщениями по концам горизонтальных элементов. Вертикальные элементы служат для образования ослабленного сечения бетонного покрытия и определяют положение шва. Горизонтальные элементы – открылки с анкерными утолщениями – соединяют бетонные плиты и предотвращают фильтрацию воды через шов. Прокладки изготавливают методом экструдирования из пластифицированного поливинилхлорида. С 1976 г. начато производство отечественных герметизирующих прокладок типа “констоп” (см. В.С. Алтунин, В.А. Бородин, В.Г. Ганчиков, Ю.М. Косиченко. Защитные покрытия оросительных каналов.- М.: Агропромиздат, 1988. – С.31, рис.3; с.32, табл.10 и 11). Их конструкция аналогична конструкциям американских фирм.
Основным недостатком этого деформационного шва и способа его герметизации является ограниченная область применения, так как они могут быть реализованы только при строительстве монолитных бетонных облицовок магистральных каналов и не приемлемы для герметизации швов и стыков сборных облицовок каналов из бетонных и железобетонных плит. Кроме того, это техническое решение не обеспечивает достаточной надежности герметизации шва, поскольку по контакту контура прокладки с бетоном могут иметь место неплотности, через которые фильтруется вода из магистрального канала.
Наиболее близким аналогом заявленного объекта является деформационный шов противофильтрационной облицовки каналов и водоемов, выполненной из бетонных и железобетонных плит, включающий пороизоловую прокладку, полимерную герметизирующую мастику и противоадгезионный слой (см. В.С. Алтунин, В.А. Бородин, В.Г. Ганчиков, Ю.М. Косиченко. Защитные покрытия оросительных каналов. – М.: Агропромиздат, 1988. – С.65, рис.25, в). Этот шов нами принят в качестве аналога по первому варианту.
Деформационный шов противофильтрационной облицовки каналов и водоемов, выполненной из бетонных и железобетонных плит, включающий пороизоловую прокладку, битумно-полимерную герметизирующую мастику, уложенную в полость шва с устройством заплечиков по верху стыкуемых плит, и противоадгезионный слой (см. В.С. Алтунин, В.А. Бородин, В.Г. Ганчиков, Ю.М. Косиченко. Защитные покрытия оросительных каналов. – М.: Агропромиздат, 1988. – С.65, рис.25, г) принят в качестве аналога заявленного по второму варианту исполнения.
Однако вышеуказанные конструкции деформационных швов имеют недостаточную эксплуатационную надежность и долговечность. Пористая пороизоловая прокладка в этих деформационных швах является аккумулятором влаги, поступающей из переувлажненного грунта основания, что при отрицательных температурах воздуха в зимний период вызывает образование кристаллов льда в прокладке и разрушительные деформации по контакту с герметизирующей мастикой (полимерной или битумно-полимерной).
Сущность заявленного изобретения заключается в следующем.
Задача, на решение которой направлено заявляемое изобретение, – исключение потерь воды в местах стыков облицовочных плит.
Технический результат – снижение потерь воды, повышение качества герметизации стыковых соединений, эксплуатационной надежности и долговечности деформационных швов противофильтрационных облицовок каналов из бетонных и железобетонных плит.
Указанный технический результат в части деформационного шва по первому варианту достигается тем, что в известном деформационном шве противофильтрационной облицовки каналов и водоемов, содержащем пороизоловую прокладку, полимерную герметизирующую мастику и противоадгезионный слой, согласно изобретению на нижней поверхности стыкуемых плит или к торцевым граням стыкуемых плит в конструкции шва герметично приклеена гидроизоляционная прокладка шириной 100…500 мм, выполненная с компенсатором в виде свободно деформируемой складки; предельные размеры деформационного шва установлены из следующих зависимостей


где Bш – ширина деформационного шва, мм;
h – предельное высотное смещение одной плиты облицовки относительно другой, мм;
– коэффициент линейного расширения бетона, град.-1;
L – расстояние между деформационными швами, мм;
tmax – максимальная температура воздуха при эксплуатации противофильтрационной облицовки, °С;
tmin – минимальная температура воздуха в зимнее время, °С;
– относительное удлинение при разрыве образцов полимерной герметизирующей мастики, выдержанных на воздухе, %;
k – коэффициент, учитывающий снижение деформативности полимерной герметизирующей мастики в результате внешних воздействий и длительного напряжения (для тиоколовых мастик k=0,25);
[ ] – минимальная ширина шва, при которой полимерная герметизирующая мастика сохраняет упругие свойства, мм;
* – минимальная толщина полимерной герметизирующей мастики в конструкции шва, мм;
– максимальная толщина полимерной герметизирующей мастики по контакту с торцевыми гранями стыкуемых плит в конструкции шва, мм;
– угол наклона торцевых граней плит к их лицевым поверхностям, град.;
a – величина адгезионной прочности полимерной герметизирующей мастики к бетону, кг/см2;
k – величина когезионной прочности полимерной герметизирующей мастики, кг/см2; максимальная толщина полимерной герметизирующей мастики по контакту с торцевыми гранями стыкуемых плит в конструкции шва установлена из следующей зависимости

где – максимальная толщина полимерной герметизирующей мастики по контакту с торцевыми гранями стыкуемых плит в конструкции шва, мм;
m – коэффициент, учитывающий условия работы шва, m=1,3;
k* – коэффициент размерности, k*=49;
– плотность воды, г/см3;
H – наполнение канала, м;
Вш – ширина шва, мм;
а – величина адгезионной прочности полимерной герметизирующей мастики к бетону кПа;
компенсатор заполнен пластичной, гидрофобной и морозостойкой смазкой;
гидроизоляционная прокладка приклеена к торцевым граням стыкуемых плит в конструкции шва.
Технический результат в части деформационного шва по второму варианту достигается тем, что в известном деформационном шве противофильтрационной облицовки каналов и водоемов, выполненной из бетонных и железобетонных плит, содержащем пороизоловую прокладку, битумно-полимерную герметизирующую мастику, уложенную в полость шва с устройством заплечиков по верху стыкуемых плит, и противоадгезионный слой, согласно изобретению на нижней поверхности стыкуемых плит или к торцевым граням стыкуемых плит в конструкции шва герметично приклеена гидроизоляционная прокладка шириной 100…500 мм, выполненная с компенсатором в виде свободно деформируемой складки, а предельные размеры шва установлены из следующих зависимостей


где Вш – ширина деформационного шва, мм;
h – предельное высотное смещение одной плиты облицовки относительно другой, мм;
– коэффициент линейного расширения бетона, град.-1;
L – расстояние между деформационными швами, мм;
tmax – максимальная температура воздуха при эксплуатации противофильтрационной облицовки, °С;
tmin – минимальная температура воздуха в зимнее время, °С;
1 – среднее значение показателя относительного удлинения битумно-полимерной герметизирующей мастики при разрыве в диапазоне эксплуатационных температур от tmax до tmin, %;
2 – среднее значение показателя относительного удлинения битумно-полимерной мастики, %, в диапазоне температур, при которых имеют место неравномерные деформации основания: морозное пучение от 0 до tmin°C, просадка и набухание от 0 до tmax°C;
k1 – коэффициент усталости материала заполнения шва, учитывающий снижение деформативности битумно-полимерной герметизирующей мастики при долговременной работе в диапазоне эксплуатационных температур от tmax до tmin, k1=0,6;
k2 – коэффициент усталости материала заполнения шва, учитывающий снижение деформативности битумно-полимерной герметизирующей мастики в результате длительной работы в области положительных или отрицательных температур, k2=0,4…0,7;
[ ] – минимальная ширина шва, при которой битумно-полимерная герметизирующая мастика сохраняет упругие свойства, мм;
* – минимальная толщина битумно-полимерной герметизирующей мастики в конструкции шва, мм;
– максимальная толщина битумно-полимерной герметизирующей мастики по контакту с торцевыми гранями стыкуемых плит в конструкции шва, мм;
– угол наклона торцевых граней плит к их лицевым поверхностям, град.;
a – величина адгезионной прочности битумно-полимерной герметизирующей мастики, кг/см2;
k – величина когезионной прочности битумно-полимерной герметизирующей мастики, кг/см2;
– толщина заплечиков из битумно-полимерной герметизирующей мастики на стыкуемых плитах, мм.
Максимальная толщина битумно-полимерной герметизирующей мастики в конструкции швов установлена из следующей зависимости

где – максимальная толщина битумно-полимерной герметизирующей мастики по контакту с торцевыми гранями стыкуемых плит в конструкции шва, мм;
m – коэффициент, учитывающий условия работы шва, m=1,3;
k* – коэффициент размерности, k*=49;
– плотность воды, г/см3;
Н – наполнение канала, м;
Вш – ширина шва, мм;
а – величина адгезионной прочности битумно-полимерной герметизирующей мастики, кПа;
полость компенсатора заполнена пластичной, гидрофобной и морозостойкой смазкой;
гидроизоляционная прокладка приклеена к торцевым граням стыкуемых плит в конструкции шва;
ширина заплечиков из битумно-полимерной герметизирующей мастики на стыкуемых плитах установлена равной 30…50 мм.
С целью повышения технологичности выполнения деформационных швов по первому и второму вариантам, гидроизоляционная прокладка, выполненная с компенсатором в виде свободно деформируемой складки, приклеена к торцевым граням стыкуемых плит в полости швов.
Изобретение поясняется иллюстрационным материалом.
На фиг.1 представлена конструкция деформационного шва (поперечный разрез) из полимерной мастики с гидроизоляционной прокладкой, выполненной с компенсатором в виде свободно деформируемой складки и герметично приклеенной к нижней поверхности стыкуемых плит облицовки (I вариант).
На фиг.2 – то же, герметично приклеенной к торцевым граням стыкуемых плит облицовки в полости шва.
На фиг.3 показана конструкция деформационного шва (поперечный разрез) из битумно-полимерной мастики с гидроизоляционной прокладкой, выполненной с компенсатором в виде свободно деформационной складки и герметично приклеенной к нижней поверхности стыкуемых плит облицовки (II вариант).
На фиг.4 – то же, герметично приклеенной к торцевым граням стыкуемых плит облицовки, в полости шва.
Сведения, подтверждающие возможность реализации заявленного изобретения, заключаются в следующем.
Деформационный шов противофильтрационной облицовки каналов и водоемов, выполненной из бетонных и железобетонных плит 1, содержит по первому варианту (фиг.1, фиг.2) полимерную герметизирующую мастику 2, пороизоловую прокладку 3, противоадгезионный слой 4, гидроизоляционную прокладку 5 шириной 100…500 мм, выполненную с компенсатором 6 в виде свободно деформируемой складки и герметично приклеенную 7 на нижнюю поверхность стыкуемых плит 1 облицовки (см. фиг.1) или к торцевым граням стыкуемых плит 1 в полости шва (см. фиг.2). Полость компенсатора 6 заполнена пластичной, гидрофобной и морозостойкой смазкой 8.
Размеры деформационного шва по первому варианту установлены из следующих зависимостей


где Bш – ширина деформационного шва, мм;
h – предельное высотное смещение одной плиты облицовки относительно другой, мм;
– коэффициент линейного расширения бетона, град.-1;
L – расстояние между деформационными швами, мм;
tmax – максимальная температура воздуха, при эксплуатации противофильтрационной облицовки, °С;
tmin – минимальная температура воздуха в зимнее время, °С;
– относительное удлинение при разрыве образцов полимерной герметизирующей мастики, выдержанных на воздухе, %;
k – коэффициент, учитывающий снижение деформативности полимерной герметизирующей мастики в результате внешних воздействий и длительного напряжения (для тиоколовых мастик k=0,25);
[ ] – минимальная ширина шва, при которой полимерная герметизирующая мастика сохраняет упругие свойства, мм;
* – минимальная толщина полимерной герметизирующей мастики в конструкции шва, мм;
– максимальная толщина полимерной герметизирующей мастики по контакту с торцевыми гранями стыкуемых плит в конструкции шва, мм;
– угол наклона торцевых граней плит к их лицевым поверхностям, град.;
а – величина адгезионной прочности полимерной герметизирующей мастики к бетону, кг/см2;
k – величина когезионной прочности полимерной герметизирующей мастики, кг/см2.
Максимальная толщина полимерной герметизирующей мастики в конструкции швов по первому варианту установлена из следующей зависимости

где – максимальная толщина полимерной герметизирующей мастики по контакту с торцевыми гранями стыкуемых плит в конструкции шва, мм;
k* – коэффициент размерности, k*=49;
m – коэффициент, учитывающий условия работы шва, m=1,3;
– плотность воды, г/см3;
Н – наполнение канала, м;
Вш – ширина шва, мм;
а – величина адгезионной прочности герметика полимерной герметизирующей мастики, кПа.
Ширину гидроизоляционной прокладки, выполненной с компенсатором в виде свободно деформируемой складки и герметично приклеенной к поверхности стыкуемых плит (нижней или торцевым граням), устанавливают в пределах 100…500 мм в зависимости от величины неравномерных деформаций основания под облицовкой. При ширине гидроизоляционной прокладки менее 100 мм не обеспечивается надежность ее герметизации к поверхности стыкуемых плит при неравномерных деформациях основания. Применение гидроизоляционной прокладки шириной более 500 мм экономически нецелесообразно.
Компенсатор заполнен пластичной, гидрофобной и морозостойкой смазкой, что обеспечивает надежность и долговечность деформационного шва. Гидроизоляционная прокладка приклеена к торцевым граням стыкуемых плит в конструкции шва из полимерной герметизирующей мастики, что повысило технологичность его устройства.
Пример 1. Определить ширину деформационного шва, максимальную и минимальную толщину герметика в нем из полимерной мастики в сборной облицовке из железобетонных плит 6×1,5×0,06 м.
Исходные данные: tmax=+40°C; tmin=-40°C; =11·10-6 град.-1; L=6000 мм; =60°.
Максимальное смещение одной плиты относительно другой в результате неравномерных деформаций основания от морозного пучения подстилаемых под облицовкой канала грунтов h=25 мм. Относительное удлинение полимерной мастики =300%. Адгезионная прочность полимерной герметизирующей мастики составляет a=5 кг/см2=500 кПа, когезионная прочность k=10 кг/см2=1000 кПа. Коэффициент k=0,25; [ ]=20 мм.
Наполнение канала Н=2 м.
Подставляя все исходные данные в неравенство (1), будем иметь:

Ширину деформационного шва принимаем Вш=41 мм. Подставляя значение Вш=41 мм и остальные исходные данные в неравенство (6), получим:

Максимальную толщину полимерной герметизирующей мастики по контакту с торцевыми гранями стыкуемых плит в конструкции деформационного шва принимаем равной =11 мм.
Подставляя значение =11 мм и другие исходные данные в неравенство (2), определим значение *:

Минимальную толщину полимерной герметизирующей мастики в конструкции деформационного шва принимаем равной *=6 мм.
Деформационный шов противофильтрационной облицовки каналов и водоемов, выполненной из бетонных и железобетонных плит 1, содержит по второму варианту (фиг.3, фиг.4) пороизоловую прокладку 3, битумно-полимерную герметизирующую мастику 9, уложенную в полость шва с устройством заплечиков 10 по верху стыкуемых плит 1, и противоадгезионный слой 4, гидроизоляционную прокладку 5 шириной 100…500 мм, выполненную с компенсатором 6 в виде свободно деформируемой складки и герметично приклеенную 7 к нижней поверхности стыкуемых плит 1 облицовки (см. фиг.3) или к торцевым граням стыкуемых плит 1 в полости шва (см. фиг.4). Полость компенсатора 6 заполнена пластичной, гидрофобной и морозостойкой смазкой 8. Ширина заплечиков 10 из битумно-полимерной герметизирующей мастики 9 на стыкуемых плитах составляет в=30…50 мм.
Размеры деформационного шва по второму варианту установлены из следующих зависимостей


где Вш – ширина деформационного шва, мм;
h – предельное высотное смещение одной плиты облицовки относительно другой, мм;
– коэффициент линейного расширения бетона, град.-1;
L – расстояние между деформационными швами, мм;
tmax – максимальная температура воздуха при эксплуатации облицовки, °С;
tmin – минимальная температура воздуха в зимнее время, °С;
1 – среднее значение показателя относительного удлинения битумно-полимерной герметизирующей мастики при разрыве в диапазоне эксплуатационных температур от tmax до tmin, %;
2 – среднее значение показателя относительного удлинения битумно-полимерной мастики, %, в диапазоне температур, при которых имеют место неравномерные деформации основания: морозное пучение от 0 до tmin°С, просадка и набухание от 0 до tmax°С;
k1 – коэффициент усталости материала заполнения шва, учитывающий снижение деформативности битумно-полимерной герметизирующей мастики при долговременной работе в диапазоне эксплуатационных температур от tmax до tmin, k1=0,6;
k2 – коэффициент усталости материала заполнения шва, учитывающий снижение деформативности битумно-полимерной герметизирующей мастики в результате длительной работы в области положительных или отрицательных температур, k2=0,4…0,7;
[ ] – минимальная ширина шва, при которой битумно-полимерная герметизирующая мастика сохраняет упругие свойства, мм;
* – минимальная толщина битумно-полимерной герметизирующей мастики в конструкции шва, мм;
– максимальная толщина полимерной герметизирующей мастики по контакту с торцевыми гранями стыкуемых плит в конструкции шва, мм;
– угол наклона торцевых граней плит к их лицевым поверхностям, град.;
a – величина адгезионной прочности битумно-полимерной герметизирующей мастики, кг/см2;
k – величина когезионной прочности битумно-полимерной герметизирующей мастики, кг/см2;
– толщина заплечиков из битумно-полимерной герметизирующей мастики на стыкуемых плитах, мм.
Максимальная толщина битумно-полимерной герметизирующей мастики в конструкции швов по второму варианту установлена из следующей зависимости

где – максимальная толщина битумно-полимерной герметизирующей мастики по контакту с торцевыми гранями стыкуемых плит в конструкции шва, мм;
k* – коэффициент размерности, k*=49;
m – коэффициент, учитывающий условия работы шва, m=1,3;
– плотность воды, г/см3;
Н – наполнение канала, м;
Вш – ширина шва, мм;
а – величина адгезионной прочности герметика битумно-полимерной герметизирующей мастики, кПа;
ширина заплечиков из битумно-полимерной герметизирующей мастики на стыкуемых плитах установлена равной 30…50 мм.
Ширину гидроизоляционной прокладки, выполненной с компенсатором в виде свободно деформируемой складки и герметично приклеенной к поверхности стыкуемых плит (нижней или торцевым граням), устанавливают в пределах 100…500 мм в зависимости от величины неравномерных деформаций основания под облицовкой. При ширине гидроизоляционной прокладки менее 100 мм не обеспечивается надежность ее герметизации к поверхности стыкуемых плит при неравномерных деформациях основания. Применение гидроизоляционной прокладки шириной более 500 мм экономически нецелесообразно.
Компенсатор заполнен пластичной, гидрофобной и морозостойкой смазкой, что обеспечивает надежность и долговечность деформационного шва. Гидроизоляционная прокладка приклеена к торцевым граням стыкуемых плит в конструкции шва из битумно-полимерной герметизирующей мастики, что повысило технологичность его устройства.
Пример 2. Определить ширину деформационного шва, максимальную и минимальную толщину герметика в нем из битумно-полимерной герметизирующей мастики в сборной облицовке из железобетонных плит 6×1,5×0,06 м.
Исходные данные: tmax=+40°C; tmin=-40°C; =11·10-6 град.-1; L=6000 мм; =60°.
Максимальное смещение одной плиты относительно другой в результате неравномерных деформаций основания от морозного пучения подстилаемых под облицовкой канала грунтов h=25 мм. Показатели относительного удлинения битумно-полимерной герметизирующей мастики: 1=160%, 2=60%. Адгезионная прочность битумно-полимерной мастики а=4,6 кг/см2=460 кПа; когезионная прочность к=5,5 кг/см2=550 кПа; k1=0,6; k2=0,7; [ ]=30 мм.
Ширина заплечиков из битумно-полимерной герметизирующей мастики на стыкуемых плитах – в=30 мм, толщина заплечиков – =2 мм. Наполнение канала – Н=2 м.
Подставляя все исходные данные в неравенство (3), будем иметь

Ширину деформационного шва из битумно-полимерной герметизирующей мастики принимаем принимаем Вш=65 мм.
Подставляя значение Вш=65 мм и остальные исходные данные в неравенство (6), получим

Максимальную толщину битумно-полимерной герметизирующей мастики по контакту с торцевыми гранями стыкуемых плит в конструкции деформационного шва принимаем =18 мм.
Подставляя значение =18 мм и другие исходные данные в неравенство (5), определим *

Минимальную толщину битумно-полимерной герметизирующей мастики в конструкции деформационного шва принимаем 15 мм.
Деформационные герметизированные швы (см. фиг.1…фиг.4) работают следующим образом.
При горизонтальных (продольных) или вертикальных деформациях стыкуемых плит 1 противофильтрационной облицовки соответственно от изменения температуры окружающей среды или неравномерных деформаций основания происходит раскрытие швов.
Возможная величина взаимных продольных или вертикальных перемещений плит 1 облицовки при деформациях может достигать при этом не менее 80 мм в конструкции шва из полимерной мастики 2 (I вариант) без нарушения его герметичности и не менее 40 мм в конструкции деформационного шва из битумно-полимерной мастики 9 (II вариант).
При присутствии в основании канала или водоема сильно деформируемого суглинистого грунта водопроницаемость швов достигается благодаря наличию в нижней части швов герметично приклеенной гидроизоляционной прокладки шириной 100…500 мм, выполненной с компенсатором в виде свободно деформируемой складки.
Использование изобретения позволит обеспечить более эффективную, надежную и долговременную противофильтрационную защиту на каналах и водоемах с монолитными и сборными противофильтрационными облицовками, исключить потери воды на фильтрацию из каналов и водоемов, предотвратить заболачивание, засоление и подтопление ценных сельскохозяйственных угодий, то есть в значительной степени улучшит мелиоративную и экологическую обстановку на орошаемых землях.
Таким образом, представленные данные свидетельствуют о достижении технического результата – повышении качества герметизации стыковых соединений, эксплуатационной надежности и долговечности деформационных швов противофильтрационных облицовок каналов и водоемов из бетонных и железобетонных плит.
Формула изобретения
1. Деформационный шов противофильтрационный облицовки каналов и водоемов, выполненной из бетонных и железобетонных плит, включающий пороизоловую прокладку, полимерную герметизирующую мастику и противоадгезионный слой, отличающийся тем, что на нижней поверхности стыкуемых плит или к торцевым граням стыкуемых плит в конструкции шва герметично приклеена гидроизоляционная прокладка шириной 100…500 мм, выполненная с компенсатором в виде свободно деформируемой складки.
2. Шов по п.1, отличающийся тем, что предельные размеры деформационного шва установлены из следующих зависимостей


где Вш – ширина деформационного шва, мм;
h – предельное высотное смещение одной плиты облицовки относительно другой, мм;
– коэффициент линейного расширения бетона, град-1;
L – расстояние между деформационными швами, мм;
tmax – максимальная температура воздуха при эксплуатации противофильтрационной облицовки, °С;
tmin – минимальная температура воздуха в зимнее время, °С;
– относительное удлинение при разрыве образцов полимерной герметизирующей мастики, выдержанных на воздухе, %;
k – коэффициент, учитывающий снижение деформативности полимерной герметизирующей мастики в результате внешних воздействий и длительного напряжения (для тиоколовых мастик k=0,25);
[ ] – минимальная ширина шва, при которой полимерная герметизирующая мастика сохраняет упругие свойства, мм;
*– минимальная толщина полимерной герметизирующей мастики в конструкции шва, мм;
– максимальная толщина полимерной герметизирующей мастики по контакту с торцевыми гранями стыкуемых плит в конструкции шва, мм;
– угол наклона торцевых граней плит к их лицевым поверхностям, град;
– величина адгезионной прочности полимерной герметизирующей мастики к бетону, кг/см2;
k – величина когезионной прочности полимерной герметизирующей мастики, кг/см2.
3. Шов по п.1, отличающийся тем, что максимальная толщина полимерной герметизирующей мастики по контакту с торцевыми гранями стыкуемых плит в конструкции шва установлена из следующей зависимости

где – максимальная толщина полимерной мастики по контакту с торцевыми гранями стыкуемых плит в конструкции шва, мм;
m – коэффициент, учитывающий условия работы шва, m=1,3;
– коэффициент размерности, =49;
– плотность воды, г/см3;
Н – наполнение канала, м;
Вш – ширина шва, мм;
– величина адгезионной прочности полимерной герметизирующей мастики к бетону, кПа.
4. Шов по п.1, отличающийся тем, что компенсатор заполнен пластичной, гидрофобной и морозостойкой смазкой.
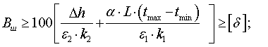
5. Деформационный шов противофильтрационной облицовки каналов и водоемов, выполненной из бетонных и железобетонных плит, включающий пороизоловую прокладку, битумно-полимерную герметизирующую мастику, уложенную в полость шва с устройством заплечиков по верху стыкуемых плит, и противоадгезионный слой, отличающийся тем, что на нижней поверхности стыкуемых плит или к торцевым граням стыкуемых плит в конструкции шва герметично приклеена гидроизоляционная прокладка шириной 100…500 мм, выполненная с компенсатором в виде свободно деформируемой складки, а предельные размеры шва установлены из следующих зависимостей


где Вш – ширина деформационного шва, мм;
h – предельное высотное смещение одной плиты облицовки относительно другой, мм;
– коэффициент линейного расширения бетона, град-1;
L – расстояние между деформационными швами, мм;
tmax – максимальная температура воздуха при эксплуатации противофильтрационной облицовки, °С;
tmin – минимальная температура воздуха в зимнее время, °С;
1 – среднее значение показателя относительного удлинения битумно-полимерной герметизирующей мастики при разрыве в диапазоне эксплуатационных температур от tmax до tmin, %
2 – среднее значение показателя относительного удлинения битумно-полимерной мастики, % в диапазоне температур, при которых имеют место неравномерные деформации основания: морозное пучение от 0 до tmin°C, просадка и набухание от 0 до tmax °C;
k1 – коэффициент усталости материала заполнения шва, учитывающий снижение деформативности битумно-полимерной герметизирующей мастики при долговременной работе в диапазоне эксплуатационных температур от tmax до tmin, k1=0,6;
k2 – коэффициент усталости материала заполнения шва, учитывающий снижение деформативности битумно-полимерной герметизирующей мастики в результате длительной работы в области положительных или отрицательных температур, k2=0,4…0,7;
[ ] – минимальная ширина шва, при которой битумно-полимерная герметизирующая мастика сохраняет упругие свойства, мм;
* – минимальная толщина битумно-полимерной герметизирующей мастики в конструкции шва, мм;
– максимальная толщина битумно-полимерной герметизирующей мастики по контакту с торцевыми гранями стыкуемых плит в конструкции шва, мм;
– угол наклона торцевых граней плит к их лицевым поверхностям, град;
– величина адгезионной прочности битумно-полимерной герметизирующей мастики, кг/см2;
– величина когезионной прочности битумно-полимерной герметизирующей мастики, кг/см2;
– толщина заплечиков из битумно-полимерной герметизирующей мастики на стыкуемых плитах, мм.
6. Шов по п 5, отличающийся тем, что максимальная толщина битумно-полимерной герметизирующей мастики в конструкции шва установлена из следующей зависимости

где – максимальная толщина битумно-полимерной герметизирующей мастики по контакту с торцевыми гранями стыкуемых плит в конструкции шва, мм;
m – коэффициент, учитывающий условия работы шва, m=1,3;
– коэффициент размерности, =49;
– плотность воды, г/см3;
Н – наполнение канала, м;
Вш – ширина шва, мм;
– величина адгезионной прочности битумно-полимерной герметизирующей мастики, кПа.
7. Шов по п.5, отличающийся тем, что полость компенсатора заполнена пластичной, гидрофобной и морозостойкой смазкой.
8. Шов по п.5, отличающийся тем, что ширина заплечиков из битумно-полимерной герметизирующей мастики на стыкуемых плитах установлена равной 30…50 мм.
РИСУНКИ
MM4A – Досрочное прекращение действия патента СССР или патента Российской Федерации на изобретение из-за неуплаты в установленный срок пошлины за поддержание патента в силе
Дата прекращения действия патента: 31.12.2006
Извещение опубликовано: 27.08.2008 БИ: 24/2008
|