Патент на изобретение №2278114
|
||||||||||||||||||||||||||||||||||||||||||||||||||||||||||||||||||||||||||||||||||||||||||||||||||
(54) ЗАМЕЩЕННЫЕ БИЦИКЛИЧЕСКИЕ ГЕТЕРОЦИКЛИЧЕСКИЕ СОЕДИНЕНИЯ, СПОСОБ ИХ ПОЛУЧЕНИЯ (ВАРИАНТЫ) И ПРИМЕНЕНИЕ В КАЧЕСТВЕ СРЕДСТВ ПРОТИВ ОЖИРЕНИЯ И ГИПЕРХОЛЕСТЕРИНЕМИИ
(57) Реферат:
Настоящее изобретение относится к замещенным бициклическим гетероциклическим соединениям формулы I их таутомерным формам, стереоизомерам, полиморфным формам, фармацевтически приемлемым солям, фармацевтически приемлемым сольватам, в которой R1, R2, R3, R4 и группы R5 и R6, когда они связаны с атомом углерода, представляют собой водород, галоген, гидрокси, алкил, алкокси, R5 и R6, один или оба, также могут представлять собой оксогруппу, когда они связаны с атомом углерода; когда R5 и R6 связаны с атомом азота, они представляют собой водород, гидрокси или такие незамещенные группы, как алкил, алкокси, аралкил, Х – кислород или сера, Ar – фенилен, нафтилен или бензофурил. Соединения могут быть использованы против ожирения и гиперхолестеринемии. Описаны способы получения соединений, фармацевтические композиции, способы лечения и применения соединений. 20 н. и 32 з.п. ф-лы, 4 табл.
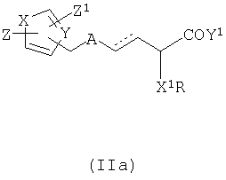
Область техники, к которой относится изобретение Настоящее изобретение касается новых соединений против ожирения и гиперхолестеринемии, их производных, аналогов, таутомерных форм, стереоизомеров, полиморфных форм, фармацевтически приемлемых солей, фармацевтически приемлемых сольватов и их содержащих фармацевтически приемлемых композиций. В частности, настоящее изобретение касается новых Настоящее изобретение также касается способа получения указанных новых соединений, их аналогов, производных, таутомерных форм, стереоизомеров, полиморфных форм, фармацевтически приемлемых солей, фармацевтически приемлемых сольватов и их содержащих фармацевтически приемлемых композиций. Настоящее изобретение также касается новых промежуточных соединений, способов их получения и применения при получении соединений формулы (I). Соединения настоящего изобретения снижают общий холестерин (ОХ), повышают липопротеиды высокой плотности (ЛВП) и понижают липопротеиды низкой плотности (ЛНП), что оказывает положительный эффект при ишемической болезни сердца и атеросклерозе. Соединения общей формулы (I) могут применяться для снижения веса тела и для лечения и/или профилактики таких заболеваний, как гипертензия, ишемическая болезнь сердца, атеросклероз, инсульт, периферические сосудистые заболевания, и сопутствующих заболеваний. Эти соединения могут применяться для лечения семейной гиперхолестеринемии, гипертриглицеридемии, для снижения уровня атерогенных липопротеидов – липопротеидов очень низкой плотности (ЛОНП) и ЛНП. Соединения настоящего изобретения можно применять для лечения некоторых почечных заболеваний, включая гломерулонефрит, гломерулосклероз, нефротический синдром, гипертензивный нефросклероз и нефропатию. Соединения формулы (I) могут также применяться для лечения и/или профилактики устойчивости к инсулину (диабета II типа), устойчивости к лептину, нарушения толерантности к глюкозе, дислипидемии, заболеваний, связанных с синдромом Х – гипертензии, ожирения, устойчивости к инсулину, ишемической болезни сердца и других сердечно-сосудистых заболеваний. Эти соединения могут также быть полезными в качестве ингибиторов альдозоредуктазы, для улучшения умственных способностей при слабоумии, при лечении осложнений диабета, заболеваний, связанных с нарушением активации клеток эндотелия, псориаза, синдрома поликистоза яичников (СПЯ), воспалительного колита, остеопороза, миотонической дистрофии, панкреатита, артериосклероза, ретинопатии, ксантомы, воспаления и для лечения рака. Соединения настоящего изобретения могут применяться при лечении и/или профилактике указанных выше заболеваний в сочетании/ одновременно с одним или несколькими ингибиторами HMG:СоА-редуктазы, с такими гиполипидемическими/ гиполипопротеидемическими средствами, как производные фибровой кислоты, никотиновая кислота, холестирамин, колестипол (colestipol) и пробукол (probucol). Уровень техники Атеросклероз и другие периферические сосудистые заболевания – главные проблемы, затрагивающие качество жизни миллионов людей. Поэтому большое внимание уделяется выяснению этиологии гиперхолестеринемии и гиперлипидемии и разработке эффективных стратегий лечения. Гиперхолестеринемию можно определить как такой уровень холестерина в плазме крови, который превышает принятое условно значение, называемое “нормальным” уровнем. Недавно было установлено, что “идеальный” уровень холестерина лежит намного ниже “нормального” уровня холестерина в общей популяции, и риск ишемической болезни сердца (ИБС) возрастает при повышении уровня холестерина выше “оптимального” (или “идеального”) значения. Наблюдается четкая причинно-следственная связь между гиперхолестеринемией и ИБС, особенно у лиц со множественными факторами риска. Большая часть холестерина находится в виде эфиров холестерина с различными липопротеидами, такими как липопротеиды низкой плотности (ЛНП), липопротеиды промежуточной плотности (ЛПП), липопротеиды высокой плотности (ЛВП), а также с липопротеидами очень низкой плотности (ЛОНП). Исследования четко показывают, что существует обратная зависимость между ИБС и атеросклерозом, с одной стороны, и концентрацией ЛВП-холестерина в сыворотке крови (Stampfer et al., N.Engl. J.Med. 325 (1991) 373-381), а риск ИБС возрастает с повышением уровней ЛНП и ЛОНП. При ИБС обычно обнаруживаются жировые “бляшки” в сонных, коронарных и церебральных артериях, которые главным образом состоят из холестерина и его эфиров. Miller et al. (Br.Med. J., 282 (1981) 1741-1744) показали, что повышение числа ЛВП-частиц может уменьшить количество участков стеноза коронарных артерий человека, а высокий уровень ЛВП-холестерина может защитить от развития атеросклероза. Picardo et al. (Arteriosclerosis, 6 (1986) 434-441) показали в опытах in vitro, что ЛВП способны удалять холестерин из клеток. Они предположили, что ЛВП могут убирать из тканей лишний холестерин и переносить его в печень (Macikinnon et al., J.Biol. Chem. 261 (1986) 2548-2552). Следовательно, средства, повышающие ЛВП-холестерин, будут иметь терапевтическое значение при лечении гиперхолестеринемии и ИБС. Ожирение – это заболевание, которое часто встречается в богатых странах и в развивающихся странах и является важной причиной смертности. Оно представляет собой состояние чрезмерного накопления жира в организме. Причины ожирения неясны. Считается, что оно имеет генетическое происхождение или вызывается каким-то взаимодействием между генотипом и средой. Независимо от его причины следствием этого является отложение жира, обусловленное нарушением баланса между поступлением и раходом энергии. Ожирение лечат с помощью диеты, физических упражнений и подавления аппетита. Существует потребность в эффективной терапии для борьбы с этим заболеванием, поскольку оно может вызвать ишемическую болезнь сердца, диабет, инсульт, гиперлипидемию, подагру, остеоартрит, снижение фертильности и много других психологических и социальных проблем. Еще одним заболеванием, сильно влияющим на качество жизни большого числа людей в мире, является диабет и устойчивость к инсулину. Устойчивость к инсулину – это снижение способности инсулина оказывать свое биологическое действие в широком диапазоне концентраций. При устойчивости к инсулину организм выделяет патологически большое количество инсулина, чтобы компенсировать этот дефект, а если этого не происходит, то концентрация глюкозы в крови неудержимо повышается, что переходит в диабет. В развитых странах сахарный диабет встречается часто и связан с целым рядом патологий, включая ожирение, гипертензию, гиперлипидемию (J.din. Invest., 75 (1985) 809-817; N.Engl. J.Med., 317 (1987) 350-357; J.Clin. Endocrinol. Metab., 66 (1988) 580-583; J.Clin. Invest., 68 (1975) 957-969), а также осложнения на почки (публикация международной заявки WO 95/21608). В настоящее время растет понимание того, что устойчивость к инсулину и относительная гиперинсулинемия способствуют ожирению, гипертензии, атеросклерозу и сахарному диабету II типа. Связь между устойчивостью к инсулину и ожирением, гипертензией и стенокардией была описана как синдром X, в котором устойчивость к инсулину образует патогенное ядро. Гиперлипидемия является главной причиной сердечно-сосудистых (ССЗ) и периферических сосудистых заболеваний. Высокий риск ССЗ связан с повышением уровня ЛНП (липопротеидов низкой плотности) и ЛОНП (липопротеидов очень низкой плотности), что наблюдается при гиперлипидемии. Риск ССЗ повышается у тех пациентов, которые наряду с гиперлипидемией проявляют нетолерантность к глюкозе/устойчивость к инсулину. Проведенные ранее многочисленные исследования показали, что снижение уровня триглицеридов и общего холестерина в плазме, особенно ЛНП и ЛОНП, и повышение ЛВП-холестерина способствуют предупреждению сердечно-сосудистых заболеваний. Рецепторы, активируемые пролифераторами пероксисом (PPAR), входят в надсемейство ядерных рецепторов. Установлено, что гамма-изоформа PPAR (PPAR Известно, что PPAR Устойчивость к лептину – это такое состояние, когда клетки-мишени не способны реагировать на лептиновый сигнал. Это может привести к ожирению вследствие чрезмерного приема пищи и снижения расхода энергии и вызвать нарушения толерантности к глюкозе, диабет II типа, сердечно-сосудистые заболевания и другие связанные друг с другом осложнения. Kallen et al. (Proc. Natl. Acad. Sci (1996) 93, 5793-5796) сообщали, что сенситизаторы инсулина, верятно, могут действовать через экспрессию агониста PPAR, тем самым снижая концентрацию лептина в плазме. Однако недавно сообщалось, что соединения, обладающие свойствами сенситизаторов инсулина, также обладают активностью сенситизации лептина. Они снижают концентрацию лептина в крови, улучшая реакцию клетки-мишени на лептин (WO 98/02159). Сообщалось, что некоторые i) В патенте США №5306726 и WO 91/19702 раскрыты несколько производных 3-арил-2-гидроксипропионовой кислоты общей формулы (IIa) и (IIb) в качестве гиполипидемических и гипогликемических средств: Примеры этих соединений представлены формулами (IIc) и (IId): ii) В международных публикациях WO 95/03038 и WO 96/04260 раскрыты соединения формулы (IIe): где Ra означает 2-бензоксазолил или 2-пиридил и Rb означает CF2, СН2ОСН3 или СН3. Типичным примером является (S)-3-[4-[2-[N-(2-бензоксазолил)-N-метиламино]этокси]-фенил]-2-(2,2,2-трифтороэтокси)пропановая кислота (IIf): iii) В международных публикациях WO 94/13650, WO 94/01420 и WO 95/17394 раскрыты соединения общей формулы (IIg): где А1 означает ароматический гетероцикл, А2 – замещенное кольцо бензола и А3 – остаток формулы (CH2)m-CH-(OR1), в которой R1 означает алкильную группу, m – целое число, Х – замещенный или незамещенный N, Y означает С=O или C=S, R2 означает OR3, где группа R3 – это алкил, аралкил или арил, a n – целое число от 2 до 6. Пример таких соединений представлен формулой (IIh): in) В патенте США №5227490 раскрыты соединения общей формулы (IIi): где R1 может независимо означать (С1-С6)алкил, арил(С4-С10)алкил, арил, карбокси, (C1-С6)алкокси, карбокси(С0-С6)алкил, гидрокси(С0-С6)алкил, (С1-С4)алкилсульфонил(С0-С6)-алкил, (С0-С4)алкиламино(С0-С6)алкил, арил(С0-С10)алкиламино(С0-С6)алкил, (С2-С10)-ациламино(С0-С6)алкил, (С1-С4)карбоалкокси(С0-С6)алкил или атом галогена; R2 может означать водород, галоген, гидроксил, (С1-С6)алкилокси, арил(С0-С4)алкил, арил(С0-С6)-алкилокси или (С1-С6)алкил, где алкильная группа либо незамещенная, либо замещена одной или несколькими группами, выбранными из гидроксила, (С1-С4)алкилокси, амино(С1-С10)алкилкарбонила, арил(С0-С10)алкилкарбонила, арил(С0-С10)алкилкарбониламина, (С1-С6)алкилсульфонила, арил(С0-С6)алкилсульфонила, (C1-С6)алкилсульфониламина, арил-(С0-С10)алкилсульфониламина, (C1-С10)алкилоксикарбониламина, арил(С0-С6)алкиламина, арил(С0-С6)алкилкарбониламина, амина, карбокси, арила, карбонил-Р или SO2P, где Р означает одну L- или D-аминокислоту или последовательность из 2-4 L- или D-амино-кислот, соединенных амидной связью; или R2 означает карбоксил, (С1-С6)алкил-карбонил, арил(С1-С10)алкилкарбонил, (C1-С6)алкилоксикарбониламино(С1-С6)алкил, (С1-С6)алкиламинокарбониламино(С1-С6)алкил, арил(С0-С6)алкиламинокарбониламино(С1-С6)алкил, арил(С0-С6)алкилоксикарбониламино(С1-С6)алкил, (С1-С6)алкоксикарбонил или арил(С0-С6)алкилоксикарбонил при условии, что они могут быть одинаковыми или различными, когда на том же атоме углерода находится более одной группы R2; R3 означает водород, (С1-С6)алкил или арил(С1-С10)алкил; Z представляет собой NR4R5, где R4 и R5 независимо означают водород, (С1-С6)алкил или арил(С1-С10)алкил, причем эти алкильные группы либо незамещенные, либо замещены (С1-С4)алкилокси, карбокси(С0-С6)алкильной или гидроксильной группой, или галогеном или же Z представляет собой 4-9-членную моно- или бициклическую кольцевую систему, содержащую 1, 2 или 3 гетероатома, выбранные из N, О или S, которая может быть незамещенной или замещена R4, R5 или Y означает (С1-С10)алкил, либо незамещенный, либо замещенный одной или несколькими группами, выбранными из R4 или R5; или же Y означает (С4-С8)циклоалкил, арил, (С0-С3)алкил-арил(С0-С3)алкил, (С0-С3)алкиларил(С0-С3)алкилкарбонил, (С0-С3)алкиларил(С0-С3)алкил-карбоксамидо, (С0-С3)алкиларилокси(С0-С3)алкил, (С0-С3)алкилокси(С0-С6)алкил, или -(CH2)m-Q-(CH)n, где Q означает С2-С8-членное гетероциклическое кольцо, содержащее 1, 2 или 3 гетероатома, выбранные из N, О и S, которое может быть незамещенным или замещено оксо-, тиогруппой или (С1-С6)алкилом, a m и n – целые числа 0, 1, 2 или 3; X означает О, S, SO, SO2, СО, -NR4CO-, CONR4-, -CH2-, -СН=СН-, -С=С-, -NR4CS-, -CSNR4-, SO2NR4– или NR4SO2. Пример этих соединений представлен формулой (IIj): Сущность изобретения С целью разработки новых соединений для снижения холестерина и веса тела, оказывающих положительный эффект при лечении и/или профилактике заболеваний, связанных с повышением уровня липидов, атеросклерозом, ишемической болезнью сердца, синдромом X, нарушением толерантности к глюкозе, устойчивостью к инсулину, в том числе ведущей к диабету II типа и его осложнениям, для лечения заболеваний, патофизиологический механизм которых заключается в устойчивости к инсулину, и для лечения гипертензии, обладающих большей эффективностью, активностью и меньшей токсичностью, мы сосредоточили наши исследования на разработке новых соединений, эффективных при лечении вышеуказанных заболеваний. Работа в этом направлении привела к соединениям, имеющим общую формулу (I). В соответствии с этим, главной задачей настоящего изобретения является получение новых Другой задачей настоящего изобретения является получение новых Следующей задачей настоящего изобретения является получение новых Другой задачей настоящего изобретения является способ получения новых Следующей задачей настоящего изобретения является получение фармацевтических композиций, содержащих соединения формулы (I), их аналоги, производные, таутомеры, стереоизомеры, полиморфные формы, соли, сольваты или их смеси вместе с соответствующими носителями, растворителями, разбавителями и другими средами, которые обычно применяются при изготовлении таких композиций. Еще одной задачей настоящего изобретения является получение новых промежуточных соединений, способ их получения и применение в процессах получения Подробное описание изобретения
в которой группы R1, R2, R3, R4 и группы R5 и R6, когда они связаны с атомом углерода, могут быть одинаковыми или различными и представляют собой водород, галоген, гидрокси, нитро, циано, формил или такие незамещенные или замещенные группы, как алкил, циклоалкил, алкокси, циклоалкокси, арил, арилокси, аралкил, аралкокси, гетероциклил, гетероарил, гетероаралкил, гетероарилокси, гетероаралкокси, ацил, ацилокси, амино, ациламино, моноалкиламино, диалкиламино, ариламино, аралкиламино, алкоксикарбонил, арилоксикарбонил, аралкоксикарбонил, алкилтио, алкоксикарбониламино, арилоксикарбониламино, аралкоксикарбониламино, а также карбоновую кислоту или ее производные либо сульфоновую кислоту или ее производные; R5 и R6, один или оба, также могут представлять собой оксогруппу, когда они связаны с атомом углерода; в том случае, когда R5 и R6 связаны с атомом азота, они представляют собой водород, гидроксил, формил или такие незамещенные или замещенные группы, как алкил, циклоалкил, алкокси, циклоалкокси, арил, аралкил, гетероциклил, гетероарил, гетероаралкил, ацил, ацилокси, амино, ациламино, моноалкиламино, диалкиламино, ариламино, аралкиламино, арилокси, аралкокси, гетероарилокси, гетероаралкокси, алкоксикарбонил, арилоксикарбонил, аралкоксикарбонил, алкилтио, а также производные карбоновых кислот или производные сульфоновых кислот; Х означает гетероатом, выбранный из кислорода, серы или NR11, где R11 означает водород или такую незамещенную или замещенную группу, как алкил, циклоалкил, арил, аралкил, ацил, алкоксикарбонил, арилоксикарбонил или аралкоксикарбонил; Ar означает незамещенную или замещенную двухвалентную, неконденсированную (отдельную) или конденсированную, ароматическую или гетероциклическую группу; R7 означает атом водорода, гидроксил, алкокси, галоген, низший алкил, незамещенный или замещенный аралкил, или же образует связь с соседней группой R8; R8 означает водород, гидроксил, алкокси, галоген, низший алкил, ацил, незамещенный или замещенный аралкил, или же образует связь с соседней группой R7; R9 означает водород или такую незамещенную или замещенную группу, как алкил, циклоалкил, арил, аралкил, алкоксикарбонил, арилоксикарбонил, алкиламинокарбонил, ариламинокарбонил, ацил, гетероциклил, гетероарил или гетероаралкил; R10 означает водород или такую незамещенную или замещенную группу, как алкил, циклоалкил, арил, аралкил, гетероциклил, гетероарил или гетероаралкил; Y означает кислород или NR12, где R12 – представляет собой водород, алкил, арил, гидроксиалкил, аралкил, гетероциклил, гетероарил или гетероаралкил; R10 вместе с R12 может образовывать 5- или 6-членную циклическую структуру, содержащую атомы углерода и по меньшей мере один атом азота, а также необязательно один или два других гетероатома, выбранных из кислорода, серы или азота; соединительная группа -(CH2)n-(O)m– может присоединяться через атом азота или через атом углерода; n – целое число от 1 до 4, a m – целое число 0 или 1. Группы R1-R4 и группы R5 и R6, когда они соединены с атомом углерода, предпочтительно представляют собой водород, атом галогена, такой как фтор, хлор, бром или иод; гидроксил, циано, нитро, формил; замещенный или незамещенный (С1-С12)алкил, особенно линейный или разветвленный (С1-С10)алкил, такой как метил, этил, н-пропил, изопропил, н-бутил, изобутил, т-бутил, н-пентил, изопентил, гексил, гептил, октил и т.д.; цикло(С3-С6)алкил, такой как циклопропил, циклобутил, циклопентил, циклогексил и т.д., причем циклоалкил может быть замещенным; (С1-С6)алкоксигруппу, такую как метокси, этокси, пропилокси, бутилокси, изопропилокси и т.д., причем алкоксигруппа может быть замещенной; цикло-(С3-С6)алкоксигруппу, такую как циклопропилокси, циклобутилокси, циклопентилокси, циклогексилокси и т.д., причем циклоалкилоксигруппа может быть замещенной; арил, такой как фенил, нафтил и т.д., причем арил может быть замещенным; арилоксигруппу, такую как фенокси, нафтилокси и т.д., причем арилоксигруппа может быть замещенной; аралкил, такой как бензил, фенетил, С6H5СН2СН2СН2, нафтилметил и т.п., причем аралкил может быть замещенным и представлять собой такую группу как СН3С6Н4СН2, Hal-С6Н4СН2, СН3ОС6H4СН2, СН3ОС6Н4СН2СН2 и т.д.; аралкоксигруппу – бензилокси, фенетилокси, нафтилметилокси, фенилпропилокси и т.д., причем аралкоксигруппа может быть замещенной; гетероциклил, такой как азиридинил, пирролидинил, морфолинил, пиперидинил, пиперазинил и т.д., причем гетероциклил может быть замещенным; гетероарил, такой как пиридил, тиенил, фурил, пирролил, оксазолил, тиазолил, имидазолил, оксадиазолил, тетразолил, бензопиранил, бензофурил и т.д., причем гетероарил может быть замещенным; гетероаралкил, такой как фуранметил, пиридинметил, оксазолметил, оксазолэтил и т.д., причем гетероаралкил может быть замещенным; гетероарилокси- или гетероаралкоксигруппу, в которой гетероарил и гетероаралкил имеют определенные выше значения и могут быть замещенными; ацил, такой как ацетил, пропионил, бензоил и т.д., причем ацил может быть замещенным; ацилоксигруппу, такую как ООСМе, OOCEt, OOCPh и т.д., причем она может быть замещенной; ациламиногруппу, такую как NHCOCH3, NHCOC2H5, NHCOC3Н7, NHCOC6Н5 и т.д., причем она может быть замещенной; моноалкиламиногруппу, такую как NHCH3, NHC2H5, NHC3Н7, NHC6H13 и т.д., причем она может быть замещенной; диалкиламиногруппу, такую как N(СН3)2, NCH3(C2H5), N(C2H5)2 и т.д., причем она может быть замещенной; ариламиногруппу, такую как HNC6Н5, NCH3(C6H5), NHC6H4СН3, NHC6Н4Hal и т.д., причем она может быть замещенной; аралкиламиногруппу, такую как С6Н5СН2NH, С6Н5СН2СН2NH, С6Н5CH2NCH3 и т.д., причем она может быть замещенной; аминогруппу; алкоксикарбонил, такую как метоксикарбонил, этоксикарбонил и т.д., причем он может быть замещенным; арилоксикарбонил, такой как феноксикарбонил, нафтилоксикарбонил и т.д., причем арилоксикарбонил может быть замещенным; аралкоксикарбонил, такой как бензилоксикарбонил, фенетилоксикарбонил, нафтилметоксикарбонил и т.д., причем он может быть замещенным; (С1-С6)алкилтиогруппу, которая может быть замещенной; алкоксикарбониламиногруппу, такую как NHCOOC2H5, NHCOOCH3 и т.д., причем она может быть замещенной; арилоксикарбониламиногруппу, такую как NHCOOC6Н5, NCH3СООС6Н5, NC2H5COOC6Н5, NHCOOC6H4СН3, NHCOOC6H4ОСН3 и т.д., причем она может быть замещенной; аралкоксикарбониламиногруппу, такую как NHCOOCH2C6H5, NHCOOCH2CH2С6Н5, N(CH3)COOCH2C6H5, N(С2Н5)СООСН2С6Н5, NHCOOCH2C6H4СН3, NHCOOCH2С6Н4OCH3 и т.д., причем она может быть замещенной; карбоновую кислоту или ее производные, такие как амиды типа CONH2, CONHMe, CONMe2, CONHEt, CONEt2, CONHPh и т.д., причем они могут быть замещенными; сульфоновую кислоту или ее производные, такие как SO2NH2, SO2NHMe, SO2NMe2, SO2NHCF3 и т.д., причем они могут быть замещенными. R5 и R6, один или оба, также могут представлять собой оксогруппу, когда они присоединены к атому углерода. Когда группы R1-R4 и группы R5 и R6, если они соединены с атомом углерода, являются замещенными, то заместителями могут быть галоген, гидроксил, нитро-, тиогруппы либо такие незамещенные или замещенные группы, как алкил, циклоалкил, алкокси, циклоалкокси, арил, аралкил, арилокси, аралкокси, алкоксиалкил, арилоксиалкил, аралкоксиалкил, гетероциклил, гетероарил, гетероаралкил, ацил, ацилокси, гидроксиалкил, амино, ациламино, ариламино, аминоалкил, алкоксикарбонил, алкиламино, алкилтиогруппа, а также карбоновая кислота или ее производные или сульфоновая кислота или ее производные. Эти группы определены выше. Предпочтительными заместителями для R1-R6 являются: из галогенов – фтор, хлор или бром; из алкильных групп – метил, этил, изопропил, н-пропил, н-бутил; из циклоалкильных групп – циклопропил; из арильных групп – фенил; из аралкильных групп – бензил; а также (С1-С3)алкокси, бензилокси, гидроксил, ацил и ацилоксигруппы. Группы R5 и R6, когда они соединены с атомом азота, могут представлять собой водород, гидроксил, формил; замещенный или незамещенный (С1-С12)алкил, особенно линейный или разветвленный (С1-С6)алкил, такой как метил, этил, н-пропил, изопропил, н-бутил, изобутил, т-бутил, н-пентил, изопентил, гексил и т.д.; (С1-С6)алкоксигруппу, такую как метокси, этокси, пропилокси, бутилокси, изопропилокси и т.д., причем она может быть замещенной; цикло(С3-С6)алкил, такой как циклопропил, циклобутил, циклопентил, циклогексил и т.д., причем циклоалкил может быть замещенным; цикло(С3-С6)алкоксигруппу, такую как циклопропилокси, циклобутилокси, циклопентилокси, циклогексилокси и т.д., причем циклоалкилоксигруппа может быть замещенной; арильную группу, такую как фенил, нафтил и т.д., причем арил может быть замещенным; аралкил, такой как бензил, фенетил, С6Н5СН2СН2СН2, нафтилметил и т.д., причем аралкильная группа может быть замещенной и представляет собой СН3С6Н4СН2, Hal-С6Н4СН2, СН3ОС6Н4СН2, СН3ОС6Н4СН2СН2 и т.д.; арилоксигруппу, такую как фенокси, нафтилокси и т.д., причем арилоксигруппа может быть замещенной; аралкоксигруппу, такую как бензилокси, фенетилокси, нафтилметилокси, фенилпропилокси и т.д., причем аралкоксигруппа может быть замещенной; гетероциклил, такой как азиридинил, пирролидинил, морфолинил, пиперидинил, пиперазинил и т.д., причем гетероциклил может быть замещенным; гетероарильную группу, такую как пиридил, тиенил, фурил, пирролил, оксазолил, тиазолил, имидазолил, оксадиазолил, тетразолил, бензопиранил, бензофурил и т.д., причем гетероарил может быть замещенным; гетероаралкил, такой как фуранметил, пиридинметил, оксазолметил, оксазолэтил и т.д., причем гетероаралкил может быть замещенным; гетероарилокси- или гетероаралкоксигруппу, в которой гетероарил и гетероаралкил имеют значения, определенные ранее и могут быть замещенными; ацильную группу, такую как ацетил, пропионил, бензоил и т.д., причем ацил может быть замещенным; ацилоксигруппу, такую как ООСМе, OOCEt, OOCPh и т.д., которая может быть замещенной; моноалкиламиногруппу, такую как NHCH3, NHC2H5, NHC3H7, NHC6Н13 и т.д., которая может быть замещенной; диалкиламиногруппу, такую как N(СН3)2, NCH3(C2Н5), N(C2H5)2 и т.д., которая может быть замещенной; ациламиногруппу, такую как NHCOCH3, NHCOC2H5, NHCOC3H7, NHCOC6H5 и т.д., которая может быть замещенной; ариламиногруппу, такую как HNC6Н5, NCH3(C6H5), NHC6Н4СН3, NHC6Н4-Hal и т.д., которая может быть замещенной; аралкиламиногруппу, такую как С6Н5CH2NH, С6Н5CH2CH2NH, С6Н5СН2NCH3 и т.д., которая может быть замещенной; алкоксикарбонил, такой как метоксикарбонил, этоксикарбонил и т.д., который может быть замещенным; арилоксикарбонил, такой как феноксикарбонил, нафтилоксикарбонил и т.д., который может быть замещенным; аралкоксикарбонил, такой как бензилоксикарбонил, фенетилоксикарбонил, нафтилметоксикарбонил и т.д., который может быть замещенным; (С1-С6)алкилтиогруппу, которая может быть замещенной; производные карбоновой кислоты, такие как амиды типа CONH2, CONHMe, CONMe2, CONHEt, CONEt2, CONHPh и т.д., причем эти производные могут быть замещенными; производные сульфоновой кислоты, такие как SO2NH2, SO2NHMe, SO2NMe2, SO2NHCF3 и т.д., причем эти производные могут быть замещенными. Когда группы R5 и R6, соединенные с атомом азота, являются замещенными, то предпочтительными заместителями являются галоген, такой как фтор или хлор, гидроксил, ацил, ацилокси или аминогруппы. Эти группы определены выше. Х может представлять собой кислород, серу или группу NR11, предпочтительно кислород или серу. R11 может представлять собой водород, (С1-С6)алкильную группу, такую как метил, этил, пропил и т.д., (С3-С6)циклоалкильную группу, такую как циклопропил, циклобутил, циклопентил, циклогексил и т.д., арильную группу, такую как фенил, нафтил и т.д., аралкильную группу, такую как бензил, фенетил и т.д., ацильную группу, такую как ацетил, пропаноил, бутаноил, бензоил и т.д., (С1-С6)алкоксикарбонил, такой как метоксикарбонил, этоксикарбонил и т.д., арилоксикарбонил, такой как феноксикарбонил, СН3ОС6H4ОСО, Hal-С6Н4OCO, СН3С6H4ОСО, нафтилоксикарбонил и т.д., аралкоксикарбонил, такой как бензилоксикарбонил, фенетилоксикарбонил и т.д.; эти группы могут быть замещенными или незамещенными. Когда R11 представляет собой замещенную группу, заместителем может быть галоген, необязательно галогенированный низший алкил, гидроксил и необязательно галогенированная (С1-С3)алкоксигруппа. Эти группы определены выше. Предпочтительно Ar представляет собой замещенную или незамещенную группу, которой может быть двухвалентный фенилен, нафтилен, пиридил, хинолинил, бензофурил, дигидробензофурил, бензопиранил, дигидробензопиранил, индолил, индолинил, азаиндолил, азаиндолинил, пиразолил, бензотиазолил, бензоксазолил и т.д. Группа Ar может быть замещена линейным или разветвленным, необязательно галогенированным (С1-С6)алкилом, необязательно галогенированной (С1-С3)алкоксигруппой, галогеном, ацилом, амино, ациламино, тиогруппой или карбоксильной или сульфонильной группами и их производными. Заместители определяются так же, как для R1-R4. Более предпочтительно группа Ar представляет собой замещенный или незамещенный двухвалентный фенилен, нафтилен, бензофурил, индолил, индолинил, хинолинил, азаиндолил, азаиндолинил, бензотиазолил или бензоксазолил. Наиболее предпочтительно группа Ar представляет собой двухвалентный фенилен, нафтилен или бензофурил, который может быть замещен алкилом, галоалкилом, метокси- или галоалкоксигруппой. R7 может представлять собой водород, гидроксил, низший алкил, такой как метил, этил или пропил, (С1-С3)алкоксигруппу, такую как метокси, этокси, пропокси и т.д., атом галогена, такой как фтор, хлор, бром или иод, аралкил, такой как бензил, фенетил и т.д., который может быть незамещенным или замещенным, или же R7 вместе с R8 образует химическую связь. Заместителем может быть галоген, гидроксил или алкильная группа. R8 может представлять собой водород, гидроксил, низший алкил, такой как метил, этил или пропил, (С1-С3)алкоксигруппу, такую как метокси, этокси, пропокси и т.д., атом галогена, такой как фтор, хлор, бром или иод, (С2-С10)ацил, такой как ацетил, пропаноил, бутаноил, пентаноил, бензоил и т.д., аралкил, такой как бензил, фенетил и т.д., который может быть незамещенным или замещенным, или же R8 вместе с R7 образует химическую связь. Заместителем может быть галоген, гидроксил или алкильная группа. Группа R9 может представлять собой водород, линейный или разветвленный (C1-С16)алкил, предпочтительно (С1-С12)алкил, такой как метил, этил, н-пропил, изопропил, н-бутил, изобутил, пентил, гексил, октил и т.д., причем алкильная группа может быть замещенной; (С3-С7)циклоалкил, такой как циклопропил, циклобутил, циклопентил, циклогексил и т.д., причем циклоалкильная группа может быть замещенной; арил, такой как фенил, нафтил и т.д., причем арильная группа может быть замещенной; аралкил, такой как бензил, фенетил и т.д., в которой алкильная часть может содержать атомы (C1-С6), причем аралкильная группа может быть замещенной; гетероарил, такой как пиридил, тиенил, пирролил, фурил и т.д., причем гетероарильная группа может быть замещенной; гетероаралкил, такой как фуранметил, пиридинметил, оксазолметил, оксазолэтил и т.д., причем гетероаралкильная группа может быть замещенной; гетероциклил, такой как азиридинил, пирролидинил, пиперидинил и т.д., причем гетероциклильная группа может быть замещенной; линейная или разветвленная (С2-С16)-ацильная группа, такая как ацетил, пропаноил, бутаноил, бензоил, октаноил, деканоил и т.д., которая может быть замещенной; (С1-С6)алкоксикарбонил, такой как метоксикарбонил, этоксикарбонил и т.д., причем алкоксикарбонильная группа может быть замещенной; арилоксикарбонил, такой как феноксикарбонил, нафтилоксикарбонил и т.д., причем арильная часть может быть замещенной; (С1-С6)алкиламинокарбонил, причем алкильная часть может быть замещенной; ариламинокарбонил, такой как PhNHCO, нафтиламинокарбонил и т.д., причем арильная часть может быть замещенной. Заместителем может быть галоген, гидроксил, нитрогруппа или такая незамещенная или замещенная группа, как алкил, циклоалкил, алкокси, циклоалкокси, арил, аралкил, аралкоксиалкил, гетероциклил, гетероарил, гетероаралкил, ацил, ацилокси, гидроксиалкил, амино, ациламино, ариламино, аминоалкил, арилокси, аралкокси, алкоксикарбонил, алкиламино, алкоксиалкил, арилоксиалкил, алкилтио, тиоалкил, а также карбоновая кислота или ее производное либо сульфоновая кислота или ее производное. Заместители определены выше. Группа R1 может представлять собой водород, линейный или разветвленный (С1-С6)алкил, предпочтительно (С1-С12)алкил, такой как метил, этил, н-пропил, изопропил, н-бутил, изобутил, пентил, гексил, октил и т.д., причем алкильная группа может быть замещенной; (С3-С7)циклоалкил – циклопропил, циклопентил, циклогексил и т.д., причем циклоалкильная группа может быть замещенной; арил, такой как фенил, нафтил и т.д., причем арильная группа может быть замещенной; гетероарил, такой как пиридил, тиенил, пирролил, фурил и т.д., причем гетероарильная группа может быть замещенной; гетероаралкил, такой как фуранметил, пиридинметил, оксазолметил, оксазолэтил и т.д., причем гетероаралкильная группа может быть замещенной; аралкил, такой как бензил, фенетил и т.д., причем аралкильная группа может быть замещенной; гетероциклил, такой как азиридинил, пирролидинил, пиперидинил и т.д., причем гетероциклильная группа может быть замещенной. Заместителем в R10 может быть галоген, гидроксил, нитрогруппа или такая незамещенная или замещенная группа, как алкил, циклоалкил, алкокси, циклоалкокси, арил, аралкил, аралкоксиалкил, гетероциклил, гетероарил, гетероаралкил, ацил, ацилокси, гидроксиалкил, амино, ациламино, ариламино, аминоалкил, арилокси, аралкокси, алкоксикарбонил, алкиламино, алкоксиалкил, алкилтио, тиоалкил, а также карбоновая кислота или ее производное и сульфоновая кислота или ее производное. Заместители определены выше. Группа R12 может представлять собой водород, линейный или разветвленный (С1-С16)алкил, предпочтительно (С1-С12)алкил, такой как метил, этил, н-пропил, изопропил, н-бутил, изобутил, пентил, гексил, октил и т.д.; гидрокси(С1-С6)алкил; арил, такой как фенил, нафтил и т.д.; аралкил, такой как бензил, фенетил и т.д.; гетероциклил, такой как азиридинил, пирролидинил, пиперидинил и т.д.; гетероарил, такой как пиридил, тиенил, пирролил, фурил и т.д.; гетероаралкил, такой как фуранметил, пиридинметил, оксазолметил, оксазолэтил и т.д. Кольцевые структуры, образованные R10 вместе с R12, могут представлять собой пирролидин, пиперидинил, морфолинил, пиперазинил и т.д. Предпочтительно m – целое число 0 или 1. Когда m=0, то Ar предпочтительно означает незамещенный или замещенный бензофурил, бензоксазолил, бензотиазолил, индолил, индолинил, дигидробензофурил или дигидробензопиранил, а когда m=1, то Ar предпочтительно означает двухвалентный фенилен, нафтилен, пиридил, хинолинил, бензофурил, дигидробензофурил, бензопиранил, дигидробензопиранил, индолил, индолинил, азаиндолил, азаиндолинил, пиразолил, бензотиазолил, бензоксазолил и т.д. Когда m=0, то Ar предпочтительно означает двухвалентный бензофурил и более предпочтительно – бензофуран-2,5-диил, а когда m=1, то Ar предпочтительно означает фенилен. Обычно n – целое число от 1 до 4, предпочтительно 1 или 2. Когда m=1, то n предпочтительно равно 2. Когда m=0, то n предпочтительно равно 1. Фармацевтически приемлемые соли, являющиеся составной частью настоящего изобретения, включают соли таких неорганических оснований, как Li, Na, К, Са, Mg, Fe, Cu, Zn, Mn; соли таких органических оснований, как N,N’-диацетилэтилендиамин, бетаин, кофеин, 2-диэтиламиноэтанол, 2-диметиламиноэтанол, N-этилморфолин, N-этилпиперидин, глюкамин, глюкозамин, гидрабамин (hydrabamine), изопропиламин, метилглюкамин, морфолин, пиперазин, пиперидин, прокаин, пурины, теобромин, триэтиламин, триметиламин, трипропиламин, трометамин (tromethamine), диэтаноламин, меглумин (meglumine), этилендиамин, N,N’-дифенилэтилендиамин, N,N’-дибензилэтилендиамин, N-бензилфенилэтиламин, холин, холин гидроксид, дициклогексиламин, бензиламин, фенилэтиламин, диалкиламин, триалкиламин, тиамин, аминопиримидин, аминопиридин, пурин, спермидин и т.д.; таких хиральных оснований, как алкилфениламин, глицинол, фенилглицинол и т.д.; соли природных аминокислот, таких как глицин, аланин, валин, лейцин, изолейцин, норлейцин, тирозин, цистин, цистеин, метионин, пролин, гидроксипролин, гистидин, орнитин, лизин, аргинин, серин, треонин, фенилаланин; неприродных аминокислот – D-изо-меров и замещенных аминокислот; гуанидина и замещенного гуанидина, в котором замещающей группой может быть нитро, амино, алкил, алкенил или алкинил; соли аммония или замещенного аммония и соли алюминия. К ним относятся и соли, образованные соответствующими кислотами – сульфаты, нитраты, фосфаты, перхлораты, бораты, гидрогалиды, ацетаты, тартраты, малеаты, цитраты, сукцинаты, пальмитаты, метан-сульфонаты, бензоаты, салицилаты, гидроксинафтоаты, бензолсульфонаты, аскорбаты, глицерофосфаты, кетоглутараты и т.д. Фармацевтически приемлемыми сольватами являются гидраты или же они могут содержать другие кристаллизационные растворители, например спирты. К наиболее предпочтительным соединениям настоящего изобретения относятся следующие: (Е/Z)-3-[4-[2-(2,3-дигидро-1,4-бензоксазин-4-ил)этокси]фенил]-2-этоксипропеновая кислота, этиловый эфир; (Е)-3-[4-[2-(2,3-дигидро-1,4-бензоксазин-4-ил)этокси]фенил]-2-этоксипропеновая кислота, этиловый эфир; (Z)-3-[4-[2-(2,3-дигидро-1,4-бензоксазин-4-ил)этокси]фенил]-2-этоксипропеновая кислота, этиловый эфир; (±)3-[4-[2-(2,3-дигидро-1,4-бензоксазин-4-ил)этокси]фенил]-2-этоксипропановая кислота, метиловый эфир; (+)3-[4-[2-(2,3-дигидро-1,4-бензоксазин-4-ил)этокси]фенил]-2-этоксипропановая кислота, метиловый эфир; (-)3-[4-[2-(2,3-дигидро-1,4-бензоксазин-4-ил)этокси]фенил]-2-этоксипропановая кислота, метиловый эфир; (Е/Z)-3-[2-(2,3-дигидро-1,4-бензоксазин-4-ил)метилбензофуран-5-ил]-2-этоксипропеновая кислота, этиловый эфир; (Е)-3-[2-(2,3-дигидро-1,4-бензоксазин-4-ил)метилбензофуран-5-ил]-2-этоксипропеновая кислота, этиловый эфир; (Z)-3-[2-(2,3-дигидро-1,4-бензоксазин-4-ил)метилбензофуран-5-ил]-2-этоксипропеновая кислота, этиловый эфир; (Е/Z)-3-[4-[2-(2,3-дигидро-1,4-бензотиазин-4-ил)этокси]фенил]-2-этоксипропеновая кислота, этиловый эфир; (Е)-3-[4-[2-(2,3-дигидро-1,4-бензотиазин-4-ил)этокси]фенил]-2-этоксипропеновая кислота, этиловый эфир; (Е)-3-[4-[2-(2,3-дигидро-1,4-бензотиазин-4-ил)этокси]фенил]-2-этоксипропеновая кислота, этиловый эфир; (±)3-[2-(2,3-дигидро-1,4-бензоксазин-4-ил)метилбензофуран-5-ил]-2-этоксипропановая кислота, метиловый эфир; (+)3-[2-(2,3-дигидро-1,4-бензоксазин-4-ил)метилбензофуран-5-ил]-2-этоксипропановая кислота, метиловый эфир; (-)3-[2-(2,3-дигидро-1,4-бензоксазин-4-ил)метилбензофуран-5-ил]-2-этоксипропановая кислота, метиловый эфир; (±)3-[4-[2-(2,3-дигидро-1,4-бензотиазин-4-ил)этокси]фенил]-2-этоксипропановая кислота, метиловый эфир; (+)3-[4-[2-(2,3-дигидро-1,4-бензотиазин-4-ил)этокси]фенил]-2-этоксипропановая кислота, метиловый эфир; (-)3-[4-[2-(2,3-дигидро-1,4-бензотиазин-4-ил)этокси]фенил]-2-этоксипропановая кислота, метиловый эфир; (±)2-метил-3-[4-[2-(2,3-дигидро-1,4-бензоксазин-4-ил)этокси]фенил]-2-этоксипропановая кислота, метиловый эфир; (+)2-метил-3-[4-[2-(2,3-дигидро-1,4-бензоксазин-4-ил)этокси]фенил]-2-этоксипропановая кислота, метиловый эфир; (-)2-метил-3-[4-[2-(2,3-дигидро-1,4-бензоксазин-4-ил)этокси]фенил]-2-этоксипропановая кислота, метиловый эфир; (±)2-(2-фторобензил)-3-[4-[2-(2,3-дигидро-1,4-бензоксазин-4-ил)этокси]фенил]-2-этоксипропановая кислота, метиловый эфир; (+)2-(2-фторобензил)-3-[4-[2-(2,3-дигидро-1,4-бензоксазин-4-ил)этокси]фенил]-2-этоксипропановая кислота, метиловый эфир; (-)2-(2-фторобензил)-3-[4-[2-(2,3-дигидро-1,4-бензоксазин-4-ил)этокси]фенил]-2-этоксипропановая кислота, метиловый эфир; (Е/Z)-3-[4-[2-(3-оксо-2Н-1,4-бензоксазин-4-ил)этокси]фенил]-2-этоксипропеновая кислота, этиловый эфир; (Е)-3-[4-[2-(3-оксо-2Н-1,4-бензоксазин-4-ил)этокси]фенил]-2-этоксипропеновая кислота, этиловый эфир; (Е)-3-[4-[2-(3-оксо-2Н-1,4-бензоксазин-4-ил)этокси]фенил]-2-этоксипропеновая кислота, этиловый эфир; (±)3-[4-[2-(3-оксо-2Н-1,4-бензоксазин-4-ил)этокси]фенил]-2-этоксипропановая кислота, метиловый эфир; (+)3-[4-[2-(3-оксо-2Н-1,4-бензоксазин-4-ил)этокси]фенил]-2-этоксипропановая кислота, метиловый эфир; (-)3-[4-[2-(3-оксо-2Н-1,4-бензоксазин-4-ил)этокси]фенил]-2-этоксипропановая кислота, метиловый эфир; (E/Z)-3-[6-[2-(2,3-дигидро-1,4-бензотиазин-4-ил)этокси]нафтил]-2-этоксипропеновая кислота, этиловый эфир; (Е)-3-[6-[2-(2,3-дигидро-1,4-бензотиазин-4-ил)этокси]нафтил]-2-этоксипропеновая кислота, этиловый эфир; (Е)-3-[6-[2-(2,3-дигидро-1,4-бензотиазин-4-ил)этокси]нафтил]-2-этоксипропеновая кислота, этиловый эфир; (±)3-[6-[2-(2,3-дигидро-1,4-бензотиазин-4-ил)этокси]нафтил]-2-этоксипропановая кислота, метиловый эфир; (+)3-[6-[2-(2,3-дигидро-1,4-бензотиазин-4-ил)этокси]нафтил]-2-этоксипропановая кислота, метиловый эфир; (-)3-[6-[2-(2,3-дигидро-1,4-бензотиазин-4-ил)этокси]нафтил]-2-этоксипропановая кислота, метиловый эфир; (±)3-[4-[2-(2,3-дигидро-1,4-бензоксазин-4-ил)этокси]фенил]-2-гидроксипропановая кислота, этиловый эфир; (+)3-[4-[2-(2,3-дигидро-1,4-бензоксазин-4-ил)этокси]фенил]-2-гидроксипропановая кислота, этиловый эфир; (-)3-[4-[2-(2,3-дигидро-1,4-бензоксазин-4-ил)этокси]фенил]-2-гидроксипропановая кислота, этиловый эфир; (±)3-[4-[2-(2,3-дигидро-1,4-бензотиазин-4-ил)этокси]фенил]-2-гидроксипропановая кислота, этиловый эфир; (+)3-[4-[2-(2,3-дигидро-1,4-бензотиазин-4-ил)этокси]фенил]-2-гидроксипропановая кислота, этиловый эфир; (-)3-[4-[2-(2,3-дигидро-1,4-бензотиазин-4-ил)этокси]фенил]-2-гидроксипропановая кислота, этиловый эфир; (±)3-[4-[2-(2,3-дигидро-1,4-бензоксазин-4-ил)этокси]фенил]-2-бензилоксипропановая кислота, этиловый эфир; (+)3-[4-[2-(2,3-дигидро-1,4-бензоксазин-4-ил)этокси]фенил]-2-бензилоксипропановая кислота, этиловый эфир; (-)3-[4-[2-(2,3-дигидро-1,4-бензоксазин-4-ил)этокси]фенил]-2-бензилоксипропановая кислота, этиловый эфир; (±)3-[4-[2-(2,3-дигидро-1,4-бензоксазин-4-ил)этокси]фенил]-2-бутоксипропановая кислота, этиловый эфир; (+)3-[4-[2-(2,3-дигидро-1,4-бензоксазин-4-ил)этокси]фенил]-2-бутоксипропановая кислота, этиловый эфир; (-)3-[4-[2-(2,3-дигидро-1,4-бензоксазин-4-ил)этокси]фенил]-2-бутоксипропановая кислота, этиловый эфир; (±)3-[4-[2-(2,3-дигидро-1,4-бензоксазин-4-ил)этокси]фенил]-2-гексилоксипропановая кислота, этиловый эфир; (+)3-[4-[2-(2,3-дигидро-1,4-бензоксазин-4-ил)этокси]фенил]-2-гексилоксипропановая кислота, этиловый эфир; (-)3-[4-[2-(2,3-дигидро-1,4-бензоксазин-4-ил)этокси]фенил]-2-гексилоксипропановая кислота, этиловый эфир; (±)(Е/Z)-3-[4-[2-(2,3-дигидро-1,4-бензоксазин-4-ил)этокси]фенил]-2-феноксипропеновая кислота, этиловый эфир; (+)(Е)-3-[4-[2-(2,3-дигидро-1,4-бензоксазин-4-ил)этокси]фенил]-2-феноксипропеновая кислота, этиловый эфир; (-)(Z)-3-[4-[2-(2,3-дигидро-1,4-бензоксазин-4-ил)этокси]фенил]-2-феноксипропеновая кислота, этиловый эфир; (±)3-[4-[2-(2,3-дигидро-1,4-бензоксазин-4-ил)этокси]фенил]-2-феноксипропановая кислота, метиловый эфир; (+)3-[4-[2-(2,3-дигидро-1,4-бензоксазин-4-ил)этокси]фенил]-2-феноксипропановая кислота, метиловый эфир; (-)3-[4-[2-(2,3-дигидро-1,4-бензоксазин-4-ил)этокси]фенил]-2-феноксипропановая кислота, метиловый эфир; (Е/Z)-3-[4-[2-(2,3-дигидро-1,4-бензотиазин-4-ил)этокси]фенил]-2-феноксипропеновая кислота, этиловый эфир; (Е)-3-[4-[2-(2,3-дигидро-1,4-бензотиазин-4-ил)этокси]фенил]-2-феноксипропеновая кислота, этиловый эфир; (Z)-3-[4-[2-(2,3-дигидро-1,4-бензотиазин-4-ил)этокси]фенил]-2-феноксипропеновая кислота, этиловый эфир; (±)3-[4-[2-(2,3-дигидро-1,4-бензотиазин-4-ил)этокси]фенил]-2-феноксипропановая кислота, метиловый эфир; (+)3-[4-[2-(2,3-дигидро-1,4-бензотиазин-4-ил)этокси]фенил]-2-феноксипропановая кислота, метиловый эфир; (-)3-[4-[2-(2,3-дигидро-1,4-бензотиазин-4-ил)этокси]фенил]-2-феноксипропановая кислота, метиловый эфир; (Е/Z)-3-[4-(4-метил-3,4-дигидро-1,4-бензоксазин-2-ил)метоксифенил]-2-этоксипропеновая кислота, этиловый эфир; (Е)-3-[4-(4-метил-3,4-дигидро-1,4-бензоксазин-2-ил)метоксифенил]-2-этоксипропеновая кислота, этиловый эфир; (Z)-3-[4-(4-метил-3,4-дигидро-1,4-бензоксазин-2-ил)метоксифенил]-2-этоксипропеновая кислота, этиловый эфир; (±)3-[4-(4-метил-3,4-дигидро-1,4-бензоксазин-2-ил)метоксифенил]-2-этоксипропановая кислота, метиловый эфир; (+)3-[4-(4-метил-3,4-дигидро-1,4-бензоксазин-2-ил)метоксифенил]-2-этоксипропановая кислота, метиловый эфир; (-)3-[4-(4-метил-3,4-дигидро-1,4-бензоксазин-2-ил)метоксифенил]-2-этоксипропановая кислота, метиловый эфир; (Е/Z)-3-[4-(4-бензил-3,4-дигидро-1,4-бензоксазин-2-ил)метоксифенил]-2-этоксипропеновая кислота, этиловый эфир; (Е)-3-[4-(4-бензил-3,4-дигидро-1,4-бензоксазин-2-ил)метоксифенил]-2-этоксипропеновая кислота, этиловый эфир; (Z)-3-[4-(4-бензил-3,4-дигидро-1,4-бензоксазин-2-ил)метоксифенил]-2-этоксипропеновая кислота, этиловый эфир; (±)3-[4-(4-бензил-3,4-дигидро-1,4-бензоксазин-2-ил)метоксифенил]-2-этоксипропановая кислота, метиловый эфир; (+)3-[4-(4-бензил-3,4-дигидро-1,4-бензоксазин-2-ил)метоксифенил]-2-этоксипропановая кислота, метиловый эфир; (-)3-[4-(4-бензил-3,4-дигидро-1,4-бензоксазин-2-ил)метоксифенил]-2-этоксипропановая кислота, метиловый эфир; (±)3-[4-[2-(2,3-дигидро-1,4-бензоксазин-4-ил)этокси]фенил]-2-этоксипропановая кислота и ее соли; (+)3-[4-[2-(2,3-дигидро-1,4-бензоксазин-4-ил)этокси]фенил]-2-этоксипропановая кислота и ее соли; (-)3-[4-[2-(2,3-дигидро-1,4-бензоксазин-4-ил)этокси]фенил]-2-этоксипропановая кислота и ее соли; (±)3-[2-(2,3-дигидро-1,4-бензоксазин-4-ил)метилбензофуран-5-ил]-2-этоксипропановая кислота и ее соли; (+)3-[2-(2,3-дигидро-1,4-бензоксазин-4-ил)метилбензофуран-5-ил]-2-этоксипропановая кислота и ее соли; (-)3-[2-(2,3-дигидро-1,4-бензоксазин-4-ил)метилбензофуран-5-ил]-2-этоксипропановая кислота и ее соли; (±)3-[2-(2,3-дигидро-1,4-бензотиазин-4-ил)метилбензофуран-5-ил]-2-этоксипропановая кислота и ее соли; (+)3-[2-(2,3-дигидро-1,4-бензотиазин-4-ил)метилбензофуран-5-ил]-2-этоксипропановая кислота и ее соли; (-)3-[2-(2,3-дигидро-1,4-бензотиазин-4-ил)метилбензофуран-5-ил]-2-этоксипропановая кислота и ее соли; (±)3-[4-[2-(2,3-дигидро-1,4-бензотиазин-4-ил)этокси]фенил]-2-этоксипропановая кислота и ее соли; (+)3-[4-[2-(2,3-дигидро-1,4-бензотиазин-4-ил)этокси]фенил]-2-этоксипропановая кислота и ее соли; (-)3-[4-[2-(2,3-дигидро-1,4-бензотиазин-4-ил)этокси]фенил]-2-этоксипропановая кислота и ее соли; (±)3-[4-[2-(2,3-дигидро-1,4-бензотиазин-4-ил)этокси]фенил]-2-этоксипропанамид; (+)3-[4-[2-(2,3-дигидро-1,4-бензотиазин-4-ил)этокси]фенил]-2-этоксипропанамид; (-)3-[4-[2-(2,3-дигидро-1,4-бензотиазин-4-ил)этокси]фенил]-2-этоксипропанамид; (±)N-метил-3-[4-[2-(2,3-дигидро-1,4-бензотиазин-4-ил)этокси]фенил]-2-этоксипропанамид; (+)N-метил-3-[4-[2-(2,3-дигидро-1,4-бензотиазин-4-ил)этокси]фенил]-2-этоксипропанамид; (-)N-метил-3-[4-[2-(2,3-Дигидро-1,4-бензотиазин-4-ил)этокси]фенил]-2-этоксипропанамид; (±)3-[4-[2-(2,3-дигидро-1,4-бензоксазин-4-ил)этокси]фенил]-2-этоксипропанамид; (+)3-[4-[2-(2,3-дигидро-1,4-бензоксазин-4-ил)этокси]фенил]-2-этоксипропанамид; (-)3-[4-[2-(2,3-дигидро-1,4-бензоксазин-4-ил)этокси]фенил]-2-этоксипропанамид; (±)N-метил-3-[4-[2-(2,3-дигидро-1,4-бензоксазин-4-ил)этокси]фенил]-2-этоксипропанамид; (+)N-метил-3-[4-[2-(2,3-дигидро-1,4-бензоксазин-4-ил)этокси]фенил]-2-этоксипропанамид; (-)N-метил-3-[4-[2-(2,3-дигидро-1,4-бензоксазин-4-ил)этокси]фенил]-2-этоксипропанамид; (±)N-бензил-3-[4-[2-(2,3-дигидро-1,4-бензоксазин-4-ил)этокси]фенил]-2-этоксипропанамид; (+)N-бензил-3-[4-[2-(2,3-дигидро-1,4-бензоксазин-4-ил)этокси]фенил]-2-этоксипропанамид; (-)N-бензил-3-[4-[2-(2,3-дигидро-1,4-бензоксазин-4-ил)этокси]фенил]-2-этоксипропанамид; (±)N-бензил-3-[4-[2-(2,3-дигидро-1,4-бензотиазин-4-ил)этокси]фенил]-2-этоксипропанамид; (+)N-бензил-3-[4-[2-(2,3-дигидро-1,4-бензотиазин-4-ил)этокси]фенил]-2-этоксипропанамид; (-)N-бензил-3-[4-[2-(2,3-дигидро-1,4-бензотиазин-4-ил)этокси]фенил]-2-этоксипропанамид; (±)2-метил-3-[4-[2-(2,3-дигидро-1,4-бензоксазин-4-ил)этокси]фенил]-2-этоксипропановая кислота и ее соли; (+)2-метил-3-[4-[2-(2,3-дигидро-1,4-бензоксазин-4-ил)этокси]фенил]-2-этоксипропановая кислота и ее соли; (-)2-метил-3-[4-[2-(2,3-дигидро-1,4-бензоксазин-4-ил)этокси]фенил]-2-этоксипропановая кислота и ее соли; (±)2-(2-фторобензил)-3-[4-[2-(2,3-дигидро-1,4-бензоксазин-4-ил)этокси]фенил]-2-этоксипропановая кислота и ее соли; (+)2-(2-фторобензил)-3-[4-[2-(2,3-дигидро-1,4-бензоксазин-4-ил)этокси]фенил]-2-этоксипропановая кислота и ее соли; (-)2-(2-фторобензил)-3-[4-[2-(2,3-дигидро-1,4-бензоксазин-4-ил)этокси]фенил]-2-этоксипропановая кислота и ее соли; (±)3-[4-[2-(3-оксо-2Н-1,4-бензоксазин-4-ил)этокси]фенил]-2-этоксипропановая кислота и ее соли; (+)3-[4-[2-(3-оксо-2Н-1,4-бензоксазин-4-ил)этокси]фенил]-2-этоксипропановая кислота и ее соли; (-)3-[4-[2-(3-оксо-2Н-1,4-бензоксазин-4-ил)этокси]фенил]-2-этоксипропановая кислота и ее соли; (±)3-[4-[2-(3-оксо-2Н-1,4-бензотиазин-4-ил)этокси]фенил]-2-этоксипропановая кислота и ее соли; (+)3-[4-[2-(3-оксо-2Н-1,4-бензотиазин-4-ил)этокси]фенил]-2-этоксипропановая кислота и ее соли; (-)3-[4-[2-(3-оксо-2Н-1,4-бензотиазин-4-ил)этокси]фенил]-2-этоксипропановая кислота и ее соли; (±)3-[6-[2-(2,3-дигидро-1,4-бензоксазин-4-ил)этокси]нафтил]-2-этоксипропановая кислота и ее соли; (+)3-[6-[2-(2,3-дигидро-1,4-бензоксазин-4-ил)этокси]нафтил]-2-этоксипропановая кислота и ее соли; (-)3-[6-[2-(2,3-дигидро-1,4-бензоксазин-4-ил)этокси]нафтил]-2-этоксипропановая кислота и ее соли; (±)3-[6-[2-(2,3-дигидро-1,4-бензотиазин-4-ил)этокси]нафтил]-2-этоксипропановая кислота и ее соли; (+)3-[6-[2-(2,3-дигидро-1,4-бензотиазин-4-ил)этокси]нафтил]-2-этоксипропановая кислота и ее соли; (-)3-[6-[2-(2,3-дигидро-1,4-бензотиазин-4-ил)этокси]нафтил]-2-этоксипропановая кислота и ее соли; (±)3-[4-[2-(2,3-дигидро-1,4-бензоксазин-4-ил)этокси]фенил]-2-гидроксипропановая кислота и ее соли; (+)3-[4-[2-(2,3-дигидро-1,4-бензоксазин-4-ил)этокси]фенил]-2-гидроксипропановая кислота и ее соли; (-)3-[4-[2-(2,3-дигидро-1,4-бензоксазин-4-ил)этокси]фенил]-2-пидроксипропановая кислота и ее соли; (±)3-[4-[2-(2,3-дигидро-1,4-бензотиазин-4-ил)этокси]фенил]-2-гидроксипропановая кислота и ее соли; (+)3-[4-[2-(2,3-дигидро-1,4-бензотиазин-4-ил)этокси]фенил]-2-гидроксипропановая кислота и ее соли; (-)3-[4-[2-(2,3-дигидро-1,4-бензотиазин-4-ил)этокси]фенил]-2-гидроксипропановая кислота и ее соли; (±)3-[4-[2-(2,3-дигидро-1,4-бензоксазин-4-ил)этокси]фенил]-2-бензилоксипропановая кислота и ее соли; (+)3-[4-[2-(2,3-дигидро-1,4-бензоксазин-4-ил)этокси]фенил]-2-бензилоксипропановая кислота и ее соли; (-)3-[4-[2-(2,3-дигидро-1,4-бензоксазин-4-ил)этокси]фенил]-2-бензилоксипропановая кислота и ее соли; (±)3-[4-[2-(2,3-дигидро-1,4-бензоксазин-4-ил)этокси]фенил]-2-бутоксипропановая кислота и ее соли; (+)3-[4-[2-(2,3-дигидро-1,4-бензоксазин-4-ил)этокси]фенил]-2-бутоксипропановая кислота и ее соли; (-)3-[4-[2-(2,3-дигидро-1,4-бензоксазин-4-ил)этокси]фенил]-2-бутоксипропановая кислота и ее соли; (±)3-[4-[2-(2,3-дигидро-1,4-бензоксазин-4-ил)этокси]фенил]-2-гексилоксипропановая кислота и ее соли; (+)3-[4-[2-(2,3-дигидро-1,4-бензоксазин-4-ил)этокси]фенил]-2-гексилоксипропановая кислота и ее соли; (-)3-[4-[2-(2,3-дигидро-1,4-бензоксазин-4-ил)этокси]фенил]-2-гексилоксипропановая кислота и ее соли; (±)3-[4-[2-(2,3-дигидро-1,4-бензоксазин-4-ил)этокси]фенил]-2-феноксипропановая кислота и ее соли; (+)3-[4-[2-(2,3-дигидро-1,4-бензоксазин-4-ил)этокси]фенил]-2-феноксипропановая кислота и ее соли; (-)3-[4-[2-(2,3-дигидро-1,4-бензоксазин-4-ил)этокси]фенил]-2-феноксипропановая кислота и ее соли; (±)3-[4-[2-(2,3-дигидро-1,4-бензотиазин-4-ил)этокси]фенил]-2-феноксипропановая кислота и ее соли; (+)3-[4-[2-(2,3-дигидро-1,4-бензотиазин-4-ил)этокси]фенил]-2-феноксипропановая кислота и ее соли; (-)3-[4-[2-(2,3-дигидро-1,4-бензотиазин-4-ил)этокси]фенил]-2-феноксипропановая кислота и ее соли; (±)2-метил-3-[4-[2-(2,3-дигидро-1,4-бензоксазин-4-ил)этокси]фенил]-2-феноксипропановая кислота, метиловый эфир; (+)2-метил-3-[4-[2-(2,3-дигидро-1,4-бензоксазин-4-ил)этокси]фенил]-2-феноксипропановая кислота, метиловый эфир; (-)2-метил-3-[4-[2-(2,3-дигидро-1,4-бензоксазин-4-ил)этокси]фенил]-2-феноксипропановая кислота, метиловый эфир; (±)2-метил-3-[4-[2-(2,3-дигидро-1,4-бензоксазин-4-ил)этокси]фенил]-2-феноксипропановая кислота и ее соли; (+)2-метил-3-[4-[2-(2,3-дигидро-1,4-бензоксазин-4-ил)этокси]фенил]-2-феноксипропановая кислота и ее соли; (-)2-метил-3-[4-[2-(2,3-дигидро-1,4-бензоксазин-4-ил)этокси]фенил]-2-феноксипропановая кислота и ее соли; (±)2-метил-3-[4-[2-(2,3-дигидро-1,4-бензотиазин-4-ил)этокси]фенил]-2-феноксипропановая кислота, метиловый эфир; (+)2-метил-3-[4-[2-(2,3-дигидро-1,4-бензотиазин-4-ил)этокси]фенил]-2-феноксипропановая кислота, метиловый эфир; (-)2-метил-3-[4-[2-(2,3-дигидро-1,4-бензотиазин-4-ил)этокси]фенил]-2-феноксипропановая кислота, метиловый эфир; (±)2-метил-3-[4-[2-(2,3-дигидро-1,4-бензотиазин-4-ил)этокси]фенил]-2-феноксипропановая кислота и ее соли; (+)2-метил-3-[4-[2-(2,3-дигидро-1,4-бензотиазин-4-ил)этокси]фенил]-2-феноксипропановая кислота и ее соли; (-)2-метил-3-[4-[2-(2,3-дигидро-1,4-бензотиазин-4-ил)этокси]фенил]-2-феноксипропановая кислота и ее соли; (±)3-[4-[2-(2,3-дигидро-1,4-бензотиазин-4-ил)этокси]фенил]-2-этоксипропановая кислота, 4-нитрофениловый эфир; (+)3-[4-[2-(2,3-дигидро-1,4-бензотиазин-4-ил)этокси]фенил]-2-этоксипропановая кислота, 4-нитрофениловый эфир; (-)3-[4-[2-(2,3-дигидро-1,4-бензотиазин-4-ил)этокси]фенил]-2-этоксипропановая кислота, 4-нитрофениловый эфир; (±)3-[4-(4-бензил-3,4-дигидро-1,4-бензоксазин-2-ил)метоксифенил]-2-этоксипропановая кислота и ее соли; (+)3-[4-(4-бензил-3,4-дигидро-1,4-бензоксазин-2-ил)метоксифенил]-2-этоксипропановая кислота и ее соли; (-)3-[4-(4-бензил-3,4-дигидро-1,4-бензоксазин-2-ил)метоксифенил]-2-этоксипропановая кислота и ее соли; (±)3-[4-(4-бензил-3,4-дигидро-1,4-бензоксазин-2-ил)метоксифенил]-2-этоксипропановая кислота, 4-нитрофениловый эфир; (+)3-[4-(4-бензил-3,4-дигидро-1,4-бензоксазин-2-ил)метоксифенил]-2-этоксипропановая кислота, 4-нитрофениловый эфир; (-)3-[4-(4-бензил-3,4-дигидро-1,4-бензоксазин-2-ил)метоксифенил]-2-этоксипропановая кислота, 4-нитрофениловый эфир. В соответствии с настоящим изобретением, соединения общей формулы (I), где R7 вместе с R8 образуют химическую связь, Y означает атом кислорода, а R1, R2, R3, R4, R5, R6, R9, R10, X, n, m и Ar определены ранее, можно получить по любому из путей, представленных на схеме I. Схема I Путь 1. Реакция соединения общей формулы (IIIa), где все обозначения определены ранее, с соединением формулы (IIIb), где R9, R10 определены ранее, исключая водород, и R14 означает (С1-С6)алкил, которая дает соединение общей формулы (I), в котором R7 вместе с R8 образуют химическую связь и Y означает атом кислорода, может проводиться в присутствии основания, такого как гидрид щелочного металла типа NaH или КН, литийорганического соединения типа CH3Li, BuLi, алкоксида, такого как NaOMe, NaOEt, К+BuO–, или их смеси. Реакция может проводиться в присутствии таких растворителей, как THF, диоксан, DMF, DMSO, DME или их смеси. В растворитель можно добавлять НМРА в качестве сорастворителя. Температура реакции может находиться в пределах от -78 до 50°С, предпочтительно от -10 до 30°С. Реакция протекает более эффективно в безводных условиях. Соединение общей формулы (IIIb) можно получить по методике, описанной в литературе (Annalen Chemie, (1996) 53, 699). В качестве альтернативы соединение формулы (I) можно получить путем реакции соединения формулы (IIIa), где все обозначения определены ранее, с реактивом Виттига, таким как Hal–PPh3 +CH-(OR9)CO2R10, где R9 и R10 определены ранее, проводя реакцию в тех же условиях, что описаны выше. Путь 2. Реакция соединения общей формулы (IIIc), где все обозначения определены ранее, с соединением общей формулы (IIId), где R7 вместе с R8 образуют химическую связь, L1 означает удаляемую группу, такую как атом галогена, n-толуолсульфонат, метансульфонат, трифторометансульфонат, предпочтительно атом галогена, а остальные обозначения определены ранее, которая дает соединение общей формулы (I), определенное выше, может проводиться в присутствии таких растворителей, как DMSO, DMP, DME, THF, диоксан, эфир или их смеси. Реакцию можно проводить в инертной атмосфере, поддерживая ее с помощью инертных газов, таких как N2, Ar или Не. Реакцию можно проводить в присутствии основания, такого как щелочи типа NaOH или КОН, карбоната щелочного металла типа карбоната натрия или калия, гидрида щелочного металла типа NaH или КН, металлоорганического основания типа н-бутиллития, амида щелочного металла типа амида натрия, или их смеси. Количество основания может составлять от 1 до 5 эквивалентов относительно соединения формулы (IIIc), предпочтительно от 1 до 3 эквивалентов. Можно добавлять катализаторы фазового переноса, такие как тетраалкиламмония галид или гидроксид. Реакция может проводиться при температуре от 0 до 150°С, предпочтительно от 15 до 100°С. Продолжительность реакции – от 0,25 до 48 часов, предпочтительно от 0,25 до 12 часов. Путь 3. Реакция соединения формулы (IIIe), где все обозначения определены ранее, с соединением формулы (IIIf), где R9=R10 и оба определены ранее, исключая водород, которая дает соединение формулы (I), в котором R7 вместе с R8 образуют химическую связь, а остальные обозначения определены ранее, может проводиться в присутствии основания – гидрида щелочного металла типа NaH или КН, литийорганического соединения типа СН3Li, BuLi, алкоксида типа NaOMe, NaOEt, K+BuO–, или их смеси. Реакцию можно проводить в присутствии апротонных растворителей, таких как THF, диоксана, DMSO, DMF, DME или их смеси. В растворитель можно добавлять НМРА в качестве сорастворителя. Температура реакции может находиться в пределах от -78 до 100°С, предпочтительно от -10 до 50°С. Путь 4. Реакция соединения общей формулы (IIIa), где все обозначения определены ранее, с соединением формулы (IIIg), где R8 означает атом водорода, a R9 и R10 определены ранее, может проводиться в присутствии основания. Природа основания не имеет большого значения – можно использовать любое основание, которое обычно применяется при альдольной конденсации – гидриды металлов типа NaH и КН, алкоксиды металлов типа NaOMe, К+BuO– и NaOEt, амиды металлов типа LiNH2 и LiN(iPr)2. Можно использовать апротонные растворители – THF, эфир, диоксан. Реакцию можно проводить в инертной атмосфере, поддерживая ее с помощью инертных газов – N2, Ar или Не, и реакция более эффективна в безводных условиях. Температуру можно поддерживать в пределах от -80 до 35°С. Получаемый вначале Путь 5. Реакция соединения общей формулы (IIIh), где все обозначения определены ранее, a L1 означает удаляемую группу – атом галогена, n-толуолсульфонат, метансульфонат, трифторометансульфонат, с соединением формулы (IIIi), где R7 вместе с R8 образуют химическую связь, a R9, R10 и Ar определены ранее, которая дает соединение формулы (I), где m=1, а остальные обозначения определены выше, может проводиться в присутствии апротонных растворителей – THF, DMF, DMSO, DME или их смесей. Реакцию можно проводить в инертной атмосфере, поддерживая ее с помощью таких инертных газов, как Na, Ar или Не. Реакцию можно проводить в присутствии основания – К2СО3, Na2СО3, NaH или их смеси. В качестве растворителя можно использовать ацетон, когда основанием является Na2СО3 или К2СО3. Температура реакции – от 0 до 120°С, предпочтительно от 30 до 100°С. Продолжительность реакции – от 1 до 24 часов, предпочтительно от 2 до 12 часов. Соединение формулы (IIIi) можно получить известными методами, с помощью реакции Виттига-Хорнера между блокированным по гидроксилу арилальдегидом типа бензилоксиарилальдегида и соединением формулы (IIIb) с последующим удалением защитной группы. Путь 6. Реакция соединения общей формулы (IIIj), где все обозначения определены ранее, с соединением общей формулы (IIIi), где R7 вместе с R8 образуют химическую связь, а R9, R10 и Ar определены ранее, которая дает соединение формулы (I), где m=1, а остальные обозначения определены выше, может проводиться с помощью конденсирующих агентов – дициклогексилмочевины, триарилфосфина/диалкилазадикарбоксилата типа PPh3/DEAD и других. Реакцию можно проводить в присутствии таких растворителей, как THF, DME, CH2Cl2, CHCl3, толуол, ацетонитрил, CCl4 и т.п. Можно поддерживать инертную атмосферу с помощью таких инертных газов, как N2, Ar или Не. Реакция может проводиться в присутствии DMAP, HOBT, которые можно использовать в пределах от 0,05 до 2 эквивалентов, предпочтительно от 0,25 до 1 эквивалента. Температура реакции – от 0 до 100°С, предпочтительно от 20 до 80°С. Продолжительность реакции – от 0,5 до 24 часов, предпочтительно от 6 до 12 часов. В другом воплощении настоящего изобретения соединение общей формулы (I), где R1, R2, R3, R4, R5, R6, R9, R10, X, n, m и Ar определены ранее, R7 означает атом водорода, гидроксил, алкокси, галоген, низший алкил, незамещенный или замещенный аралкил, R8 означает водород, гидроксил, алкокси, галоген, низший алкил, ацил либо незамещенный или замещенный аралкил, a Y означает кислород, можно получить с помощью одного или нескольких процессов, представленных на схеме II. Схема II Путь 7. Восстановление соединения формулы (IVa), представляющего собой соединение формулы (I), в котором R7 вместе с R8 образуют химическую связь, Y означает атом кислорода, а остальные обозначения определены ранее, полученного как описано ранее (схема I), которое дает соединение общей формулы (I), где R7 и R8 представляют собой атом водорода, а остальные обозначения определены выше, может проводиться в присутствии газообразного водорода и катализатора типа Pd/C, Rh/C, Pt/C. Можно использовать смеси катализаторов. Реакцию также можно проводить в присутствии таких растворителей, как диоксан, уксусная кислота, этилацетат и т.д. Давление можно поддерживать между атмосферным давлением и 80 psi. Можно применять высокое давление для сокращения времени. Предпочтительным катализатором является 5-10% Pd/C, количество его может составлять от 1 до 50% по весу. Реакцию также можно проводить путем восстановления металлом в растворителе, например, магнием в спирте или амальгамой натрия в спирте, предпочтительно метаноле. Гидрогенизация может проводиться в присутствии металлического катализатора, содержащего хиральный лиганд, получая соединение формулы (I) в оптически активной форме. Металлический катализатор может содержать родий, рутений, индий и т.д. Хиральным лигандом предпочтительно служит хиральный фосфин, такой как (2S,3S)-бис(дифенилфосфино)бутан, 1,2-бис(дифенилфосфино)этан, 1,2-бис(2-метоксифенилфенилфосфино)этан, (-)2,3-изопропилиден-2,3-дигидрокси-1,4-бис(дифенилфосфино)бутан и др. Можно применять любой хиральный катализатор, который дает требуемую оптическую чистоту продукта (I) (см. Principles of Asymmetric Synthesis, Tet. Org. Chem. Series Vol 14, pp.311-316, Ed. Baldwin J.E.). Путь 8. Реакция соединения формулы (IVb), где R10 определен ранее, исключая водород, L2 означает удаляемую группу типа атома галогена, а остальные обозначения определены выше, со спиртом общей формулы (IVc), где R9 определен ранее, исключая водород, которая дает соединение формулы (I), определенное выше, может проводиться в присутствии таких растворителей, как THF, DMP, DMSO, DME или их смеси. Реакцию можно проводить в инертной атмосфере, поддерживая ее с помощью инертных газов – N2, Ar или Не. Реакция может проводиться в присутствии основания – КОН, NaOH, NaOMe, NaOEt, K+BuO–, NaH или их смеси. Можно использовать катализаторы фазового переноса, такие как тетраалкиламмония галид или гидроксид. Температура реакции – от 20 до 120°С, предпочтительно от 30 до 100°С. Продолжительность реакции – от 1 до 12 часов, предпочтительно от 2 до 6 часов. Соединения общей формулы (IVb) и их получение раскрыты в международной публикации WO 98/52946. Путь 9. Реакция соединения формулы (IIIh), определенного ранее, с соединением формулы (IIIi), где все обозначения определены выше, которая дает соединение формулы (I), где m=1, а остальные обозначения определены выше, может проводиться в присутствии таких растворителей, как THF, DMF, DMSO, DME или их смесей. Реакцию можно проводить в инертной атмосфере, поддерживая ее с помощью инертных газов, таких как N2, Ar или Не. Реакция может проводиться в присутствии основания, такого как К2СО3, Na2CO3, NaH или их смеси. В качестве растворителя можно применять ацетон, когда основанием является К2СО3 или Na2CO3. Температура реакции – от 20 до 120°С, предпочтительно от 30 до 80°С. Продолжительность реакции – от 1 до 24 часов, предпочтительно от 2 до 12 часов. Соединения формулы (IIIi) можно получить реакцией Виттига-Хорнера между блокированным гидроксиарилальдегидом и соединением формулы (IIIb) с последующим восстановлением двойной связи и удалением защитной группы. С другой стороны, соединение формулы (IIIi) можно получить по методике, раскрытой в WO 94/01420. Путь 10. Реакция соединения общей формулы (IIIj), определенного ранее, с соединением общей формулы (IIIi), где все обозначения определены ранее, которая дает соединение формулы (I), где m=1, а остальные обозначения определены выше, может проводиться с помощью конденсирующих агентов – дициклогексилмочевины, триарилфосфина/диалкилазадикарбоксилата типа PPh3/DEAD и других. Реакцию можно проводить в присутствии таких растворителей, как THF, DME, CH2Cl2, CHCl3, толуол, ацетонитрил, CCl4. Реакцию можно проводить в инертной атмосфере, поддерживая ее с помощью инертных газов, таких как N2, Ar или Не. Реакция может проводиться в присутствии DMAP, НОВТ, которые можно использовать в пределах от 0,05 до 2 эквивалентов, предпочтительно от 0,25 до 1 эквивалента. Температура реакции – от 0 до 100°С, предпочтительно от 20 до 80°С. Продолжительность реакции – от 0,5 до 24 часов, предпочтительно от 6 до 12 часов. Путь 11. Реакция соединения формулы (IVd), представляющего собой соединение формулы (I), где R9 означает атом водорода, а остальные обозначения определены ранее, с соединением формулы (IVe), где R9 определено ранее, исключая водород, a L2 означает удаляемую группу типа атома галогена, может проводиться в присутствии таких растворителей, как THF, DME, DMSO, DME и др. Реакцию можно проводить в инертной атмосфере, поддерживая ее с помощью инертных газов, таких как N2, Ar или Не. Реакцию можно проводить в присутствии основания, такого как КОН, NaOH, NaOMe, K+BuO–, NaH и др. Можно применять катализаторы фазового переноса, такие как галиды тетраалкиламмония или гидроксид. Температура реакции – от 20 до 150°С, предпочтительно от 30 до 100°С. Продолжительность реакции – от 1 до 12 часов, предпочтительно от 2 до 6 часов. Путь 12. Реакция соединения общей формулы (IIIa), определенного выше, с соединением формулы (IIIg), где R8 означает водород, a R9 и R10 определены ранее, может проводиться в обычных условиях. Природа основания не имеет большого значения – можно использовать любое основание, которое обычно применяется при альдольной конденсации – гидриды металлов типа NaH и КН, алкоксиды металлов типа NaOMe, К+BuO– и NaOEt, амиды металлов типа LiNH2 и LiN(iPr)2. Можно применять апротонные растворители типа THF. Можно использовать инертную атмосферу типа аргона. Реакция более эффективна в безводных условиях. Температуру можно поддерживать в пределах от -80°С до 25°С. Путь 13. Реакция соединения общей формулы (IIIc), где все обозначения определены ранее, с соединением общей формулы (IIId), где L1 означает удаляемую группу, такую как атом галогена, п-толуолсульфонат, метансульфонат, трифторметансульфонат, предпочтительно атом галогена, а остальные обозначения определены выше, которая дает соединение общей формулы (I), может проводиться в присутствии таких растворителей, как DMSO, DMF, DME, THF, диоксан, эфир или их смесей. Реакцию можно проводить в инертной атмосфере, поддерживая ее с помощью инертных газов, таких как N2, Ar или Не. Реакцию можно проводить в присутствии основания, такого как щелочи типа NaOH, КОН, карбоната щелочного металла типа карбоната натрия или калия, гидрида щелочного металла типа NaH или КН, металлоорганического основания типа н-бутиллития, амида щелочного металла типа амида натрия, или их смеси. Количество основания может составлять от 1 до 5 эквивалентов относительно соединения формулы (IIIc), предпочтительно от 1 до 3 эквивалентов. Реакция может проводиться при температуре от 0 до 150°С, предпочтительно от 15°С до 100°С. Продолжительность реакции – от 0,25 до 24 часов, предпочтительно от 0,25 до 12 часов. Путь 14. Превращение соединения формулы (IVf), где все обозначения определены ранее, в соединение формулы (I), где все обозначения определены ранее, может проводиться в присутствии либо основания, либо кислоты, и выбор основания или кислоты не является существенным. Можно использовать любое основание, которое обычно применяется при гидролизе нитрила до кислоты, такое как гидроокись металла типа NaOH или КОН в водном растворителе, любую кислоту, которая обычно применяется при гидролизе нитрила до эфира, такую как безводный HCl в таком спирте, как метанол, этанол, пропанол и т.д. Реакцию можно проводить при температуре в пределах от 25°С до температуры кипения растворителя. Продолжительность реакции – от 0,25 до 48 часов. Путь 15. Реакция соединения формулы (IVg), где R10 определен ранее, исключая водород, а остальные обозначения определены выше, с соединением формулы (IVc), где R9 определен ранее, исключая водород, которая дает соединение формулы (I) (реакция присоединения, катализируемая карбеноидом родия), может проводиться в присутствии солей родия (II), например, ацетата родия (II). Реакцию можно проводить в присутствии таких растворителей, как бензол, толуол, диоксан, эфир, THF или их смесей, либо, когда это возможно, в присутствии растворителя R9ОН, при любой температуре, обеспечивающей достаточную скорость образования продукта, обычно при высокой температуре, например, температуре кипения растворителя. Можно поддерживать инертную атмосферу с помощью таких инертных газов, как N2, Ar или Не. Продолжительность реакции – от 0,5 до 24 часов, предпочтительно от 0,5 до 6 часов. Соединение формулы (I), где R1 означает атом водорода, можно получить путем гидролиза, стандартными методами, соединения формулы (I), где R10 означает все группы, определенные ранее, исключая водород. Гидролиз можно проводить в присутствии такого основания, как Na2CO3, и соответствующего растворителя типа метанола, этанола или их смесей. Реакция может проводиться при температуре от 20 до 40°С, предпочтительно от 25 до 30°С. Продолжительность реакции – от 2 до 12 часов, предпочтительно от 4 до 8 часов. Соединение общей формулы (I), где Y означает кислород и R10 означает водород или низший алкил, можно превратить в соединение формулы (I), где Y означает NR12, путем реакции с соответствующим амином формулы NHR10R12, где R10 и R12 определены ранее, которая дает соединение формулы (I), где Y означает NR12, а остальные обозначения определены ранее. Альтернативно, соединение формулы (I), где YR10 означает ОН, можно превратить в галогенангидрид, предпочтительно YR10=Cl, путем реакции с соответствующим реагентом – оксалилхлоридом, тиониохлоридом и т.д., с последующей обработкой амином формулы NHR10R12, где R10 и R12 определены ранее. Альтернативно, из соединения формулы (I), где YR1 означает ОН, а остальные обозначения определены ранее, можно получить смешанный ангидрид путем обработки галогенангидридом, таким как ацетилхлорид, ацетилбромид, пивалоилхлорид, дихлоробензоилхлорид и др. Реакцию можно проводить в присутствии соответствующего основания, такого как пиридин, триэтиламин, диизпропилэтиламин и т.д. Можно использовать такие растворители, как галогенированные углеводороды типа CHCl3 или CH2Cl2, углеводороды, такие как бензол, толуол, ксилол и др. Реакцию можно проводить при температуре от -40 до 40°С, предпочтительно от 0 до 20°С. Полученный таким образом галогенангидрид или смешанный ангидрид можно затем обработать соответствующим амином формулы NHR10R12, где R10 и R12 определены ранее, получая соединение формулы (I), где Y означает NR12, а остальные обозначения определены ранее. Способ получения соединений формулы (IIIa) описан в международной публикации WO 98/52946. В другом воплощении настоящего изобретения предусмотрено новое промежуточное соединение формулы (IVf): где группы R1, R2, R3, R4 и группы R5 и R6, когда они связаны с атомом углерода, могут быть одинаковыми или различными, представляя собой водород, галоген, гидроксил, нитро, пиано, формил или такие незамещенные или замещенные группы, как алкил, циклоалкил, алкокси, циклоалкокси, арил, арилокси, аралкил, аралкокси, гетероциклил, гетероарил, гетероаралкил, гетероарилокси, гетероаралкокси, ацил, ацилокси, амино, ациламино, моноалкиламино, диалкиламино, ариламино, аралкиламино, алкоксикарбонил, арилоксикарбонил, аралкоксикарбонил, алкилтио, алкоксикарбониламино, арилоксикар-бониламино, аралкоксикарбониламино, а также карбоновую кислоту или ее производные либо сульфоновую кислоту или ее производные; R5 и R6, один или оба, также могут представлять собой оксогруппу, когда они связаны с атомом углерода; когда R5 и R6 связаны с атомом азота, они представляют собой водород, гидроксил, формил или такие незамещенные или замещенные группы, как алкил, циклоалкил, алкокси, циклоалкокси, арил, аралкил, гетероциклил, гетероарил, гетероаралкил, ацил, ацилокси, амино, ациламино, моноалкиламино, диалкиламино, ариламино, аралкиламино, арилокси, аралкокси, гетероарилокси, гетероаралкокси, алкоксикарбонил, арилоксикарбонил, аралкоксикарбонил, алкилтио, а также производные карбоновых кислот или производные сульфоновых кислот; Х означает гетероатом, выбранный из кислорода, серы или NR11, где R11 означает водород или такую незамещенную или замещенную группу, как алкил, циклоалкил, арил, аралкил, ацил, алкоксикарбонил, арилоксикарбонил или аралкоксикарбонил; Ar означает незамещенную или замещенную двухвалентную, неконденсированную или конденсированную, ароматическую или гетероциклическую группу; R7 означает атом водорода, гидроксил, алкокси, галоген, низший алкил, незамещенный или замещенный аралкил, или же образует связь с соседней группой R8; R8 означает водород, гидроксил, алкокси, галоген, низший алкил, ацил, незамещенный или замещенный аралкил, или же образует связь с соседней группой R7; R9 означает водород или такую незамещенную или замещенную группу, как алкил, циклоалкил, арил, аралкил, алкоксикарбонил, арилоксикарбонил, алкиламинокарбонил, ариламинокарбонил, ацил, гетероциклил, гетероарил или гетероаралкил; соединительная группа -(СН2)n-(O)m– может присоединяться через атом азота или через атом углерода; n – целое число от 1 до 4, a m – целое число 0 или 1, и предусмотрен способ его получения и применения при получении Соединения формулы (IVf), где R7 и R8 означают атомы водорода, а остальные обозначения определены ранее, получают способом, представленным на Схеме III. Схема III Реакция соединения формулы (IIIa), где все обозначения определены ранее, с соединением формулы (IVh), где R9 определен ранее, исключая водород, a Hal означает атом галогена, такого как Cl, Br или I, которая дает соединение формулы (IVi), может проводиться в обычных условиях в присутствии основания. Природа основания не имеет большого значения – можно использовать любые основания, обычно применяющиеся в реакции Виттига, такие как гидриды металлов типа NaH или КН, алкоксиды металлов типа NaOMe, K+BuO– или NaOEt, амиды металлов типа LiNH2 или LiN(iPr)2. Можно применять апротонные растворители, такие как THF, DMSO, диоксан, DME, или смеси растворителей. В растворитель можно добавлять НМРА в качестве сорастворителя. Можно использовать инертную атмосферу, поддерживая ее с помощью инертных газов типа аргона. Реакция протекает более эффективно в безводных условиях. Температуру можно поддерживать в пределах от -80 до 100°С. Соединение (IVi), где все обозначения определены ранее и R9 определен ранее, исключая водород, можно превратить в соединение формулы (IVj), где R7 и R8 означают атомы водорода, а остальные обозначения определены ранее, путем обработки его спиртом формулы R9OH, где R9 определен ранее, исключая водород, в безводных условиях в присутствии сильной безводной кислоты типа n-толуолсульфоновой кислоты. При обработке соединения формулы (IVj), определенного выше, триалкилсилилцианидом типа триметилсилилцианида образуется соединение формулы (IVf), где R7 и R8 означают атомы водрода, R9 определен ранее, исключая водород, а остальные обозначения определены ранее. В следующем варианте воплощения настоящего изобретения предусмотрено новое промежуточное соединение формулы (IVg): где группы R1, R2, R3, R4 и группы R5 и R6, когда они связаны с атомом углерода, могут быть одинаковыми или различными, представляя собой водород, галоген, гидроксил, нитро, циано, формил или такие незамещенные или замещенные группы, как алкил, циклоалкил, алкокси, циклоалкокси, арил, арилокси, аралкил, аралкокси, гетероциклил, гетероарил, гетероаралкил, гетероарилокси, гетероаралкокси, ацил, ацилокси, амино, ациламино, моноалкиламино, диалкиламино, ариламино, аралкиламино, алкоксикарбонил, арилоксикарбонил, аралкоксикарбонил, алкилтио, алкоксикарбониламино, арилоксикарбониламино, аралкоксикарбониламино, а также карбоновую кислоту или ее производные либо сульфоновую кислоту или ее производные; R5 и R6 один или оба, также могут представлять собой оксогруппу, когда они связаны с атомом углерода; когда R5 и R6 связаны с атомом азота, они представляют собой водород, гидроксил, формил или такие незамещенные или замещенные группы, как алкил, циклоалкил, алкокси, циклоалкокси, арил, аралкил, гетероциклил, гетероарил, гетероаралкил, ацил, ацилокси, амино, ациламино, моноалкиламино, диалкиламино, ариламино, аралкиламино, арилокси, аралкокси, гетероарилокси, гетероаралкокси, алкоксикарбонил, арилоксикарбонил, аралкоксикарбонил, алкилтио, а также производные карбоновых кислот или производные сульфоновых кислот; Х означает гетероатом, выбранный из кислорода, серы или NR11, где R11 означает водород или такую незамещенную или замещенную группу, как алкил, циклоалкил, арил, аралкил, ацил, алкоксикарбонил, арилоксикарбонил или аралкоксикарбонил; Ar означает незамещенную или замещенную двухвалентную, неконденсированную или конденсированную, ароматическую или гетероциклическую группу; R7 означает атом водорода, гидроксил, алкокси, галоген, низший алкил, незамещенный или замещенный аралкил; R10 означает водород или такую незамещенную или замещенную группу, как алкил, циклоалкил, арил, аралкил, гетероциклил, гетероарил или гетероаралкил; соединительная группа -(СН2)n-(O)m– может присоединяться через атом азота или через атом углерода; n – целое число от 1 до 4, m – целое число 0 или 1, и способ его получения и применения при получении Соединение формулы (IVg), где все обозначения определены ранее, можно получить путем реакции соединения формулы (IVk): где R8 означает атом водорода, а остальные обозначения определены ранее, с соответствующим диазотизирующим агентом. Реакция диазотизирования проводится в стандартных условиях. Предпочтительно диазотизирующим агентом является алкилнитрил, например, изоамилнитрил. Реакцию можно проводить в присутствии таких растворителей, как THF, диоксан, эфир, бензол или их смесей. Температура – в пределах от -50 до 80°С. Реакцию можно проводить в инертной атмосфере, поддерживая ее с помощью инертных газов, таких как N2, Ar или Не. Продолжительность реакции – от 1 до 24 часов, предпочтительно от 1 до 12 часов. Соединение формулы (IVk) можно получить путем реакции между (IIIh), где все обозначения определены ранее, с соединением формулы (IVl): где R8 означает атом водорода, а остальные обозначения определены ранее. Реакция соединения формулы (IIIh), где все обозначения определены ранее, с соединением формулы (IVl), где все обозначения определены ранее, может проводиться в присутствии таких растворителей, как THF, DMF, DMSO, DME или их смесей. Реакцию можно проводить в инертной атмосфере, поддерживая ее с помощью инертных газов, таких как N2, Ar или Не. Реакцию можно проводить в присутствии таких оснований, как К2СО3, Na2СО3 или NaH либо их смеси. В качестве растворителя можно использовать ацетон, когда основанием является Na2CO3 или К2СО3. Температура реакции – от 20 до 120°С, предпочтительно от 30 до 80°С. Продолжительность реакции – от 1 до 24 часов, предпочтительно от 2 до 12 часов. В настоящей заявке выражение “в чистом” означает, что реакция проводится без применения растворителя. Подразумевается, что в любой из вышеуказанных реакций любая реакционно-способная группа в молекуле субстрата может быть защищена в соответствии со стандартной химической практикой. Защитными группами во всех указанных реакциях предпочтительно являются те группы, что обычно применяются в этой области. Способы образования и удаления таких защитных групп – стандартные, их выбор определяется видом защищенного соединения и защитной группы. Фармацевтически приемлемые соли получают путем реакции соединения формулы (I) с 1-4 эквивалентами основания, такого как NaOH, метоксида натрия, гидрида натрия, КОН, m-бутоксида калия, гидроокиси кальция, магния и др., в таких растворителях, как эфир, THF, метанол, m-бутанол, диоксан, изопропанол, этанол и т.д. Можно использовать смеси растворителей. Также можно использовать органические основания – лизин, аргинин, диэтаноламин, холин, гуанидин и их производные. С другой стороны, когда это применимо, получают соли соответствующих кислот при обработке такими кислотами, как соляная, HBr, азотная, серная, фосфорная, n-толуолсульфоновая, метансульфоновая, уксусная, малеиновая, салициловая, гидроксинафтойная, аскорбиновая, пальмитиновая, янтарная, бензойная, бензолсульфоновая, винная кислота и др., в таких растворителях, как этилацетат, эфир, спирты, ацетон, THF, диоксан и т.д. Можно использовать смеси растворителей. Стереоизомеры соединений, входящие в состав настоящего изобретения, можно получить с помощью реагентов, имеющих только одну энантиомерную форму, если это возможно, или путем проведения реакции в присутствии реактивов или катализаторов, имеющих только одну энантиомерную форму, или путем разделения смеси стереоизомеров стандартньми методами. К предпочтительным методам относятся микробиологическое разделение, разделение диастереомерных солей, образованных хиральными кислотами – миндальной, камфоросульфоновой, винной, молочной и другими кислотами, когда это применимо, или солей хиральных оснований, таких как бруцин, алкалоиды цинхона, их производных и т.п. Распространенные методы представлены в сборнике Jaques et al. “Enantiomers, Racemates and Resolution” (Wiley Interscience, 1981). В частности, соединение формулы (I), где YR10 представляет собой ОН, можно превратить в смесь диастереомерных амидов (1:1) путем обработки хиральными аминами, аминокислотами, аминоспиртами, производными аминокислот; кислоту можно превратить в спирт в стандартных условиях реакции; диастереоизомеры можно разделить дробной кристаллизацией либо хроматографией; а стереоизомеры соединения формулы (I) можно получить путем гидролиза очищенного диастереомерного амида. Различные полиморфные формы соединений общей формулы (I), составляющих настоящее изобретение, можно получить кристаллизацией соединений формулы (I) в различных условиях. например, применяя для перекристаллизации различные виды растворителей, проводя кристаллизацию при различных температурах, применяя во время кристаллизации различные режимы охлаждения, от очень быстрых до очень медленных. Полиморфные формы также можно получить при нагревании или расплаве соединений с последующим постепенным или быстрым охлаждением. Наличие полиморфных форм можно определить с помощью ЯМР-спектроскопии твердых образцов, ИК-спектроскопии, дифференциальной сканирующей калориметрии, диффракции рентгеновских лучей в порошке и других методов. Настоящее изобретение предусматривает фармацевтическую композицию, содержащую соединения общей формулы (I), определенные выше, их производные, аналоги, таутомерные формы, стереоизомеры, полиморфные формы, фармацевтически приемлемые соли или фармацевтически приемлемые сольваты вместе с обычными фармацевтическими наполнителями, разбавителями и т.д., которая может применяться для лечения и/или профилактики таких заболеваний, как гипертензия, ишемическая болезнь сердца, атеросклероз, инсульт, периферические сосудистые заболевания и сопутствующих заболеваний. Эти соединения также могут применяться для лечения семейной гиперхолестеринемии, гипертриглицеридемии, для снижения атерогенных липопротеидов – ЛОНП и ЛНП. Соединения настоящего изобретения можно применять для лечения некоторых почечных заболеваний, включая гломерулонефрит, гломерулосклероз, нефротический синдром, гипертонический нефросклероз, нефропатия. Соединения общей формулы (I) также могут быть полезными при лечении/профилактике устойчивости к инсулину (диабета II типа), устойчивости к лептину, нарушения толерантности к глюкозе, дислипидемии, заболеваний, связанных с синдромом X, таких как гипертензия, ожирение, устойчивость к инсулину, ишемической болезни сердца и других сердечно-сосудистых заболеваний. Эти соединения также могут быть полезными в качестве ингибиторов альдозоредуктазы, для улучшения умственных способностей при слабоумии, как воспалительные средства, при лечении осложнений диабета, заболеваний, связанных с активацией клеток эндотелия, псориаза, синдрома поликистоза яичников (СПЯ), воспалительного колита, остеопороза, миотонической дистрофии, панкреатита, ретинопатии, артериосклероза, ксантомы и при лечении рака. Соединения настоящего изобретения могут применяться при лечении и/или профилактике указанных выше заболеваний в сочетании/ одновременно с одним или несколькими ингибиторами HMG:СоА-редуктазы и такими гиполипидемическими/гиполипопротеидемическими средствами, такими как производные фибровой кислоты, никотиновая кислота, холестирамин, колестипол, пробукол и их комбинации. Соединения настоящего изобретения можно вводить в сочетании с ингибиторами HMG:СоА-редуктазы и гиполипидемическими/гиполипопротеидемическими средствами совместно или во время лечения так, чтобы они действовали синергично. Ингибиторы HMG:СоА-редуктазы выбирают из числа тех, что применяются для лечения или профилактики гиперлипидемии, таких как ловастатин, провастатин, симвастатин, флувастатин, аторвастатин, церивастатин и их аналоги. Из производных фибровой кислоты предпочтительно применяют гемфиброзил, клофибрат, фенофибрат, ципрофибрат, бензафибрат и их аналоги. Настоящее изобретение также предусматривает фармацевтическую композицию, содержащую соединения общей формулы (I), определенные выше, их производные, аналоги, таутомерные формы, стереоизомеры, полиморфные формы, фармацевтически приемлемые соли или фармацевтически приемлемые сольваты вместе с одним или несколькими ингибиторами HMG:СоА-редуктазы и такими гиполипидемическими/гиполипопротеидемическими средствами, как производные фибровой кислоты, никотиновая кислота, холестирамин, колестипол, пробукол в сочетании с обычными фармацевтическими наполнителями, разбавителями и т.д. Фармацевтическая композиция может применяться в обычных лекарственных формах – таблетках, капсулах, порошках, сиропах, растворах, суспензиях и т.д., она может содержать ароматизаторы, сладкие вещества и т.п. в соответствующих твердых или жидких наполнителях или разбавителях, или в соответствующих стерильных средах, образуя растворы или суспензии для инъекций. Такие композиции обычно содержат от 1 до 20%, предпочтительно от 1 до 10% активного соединения по весу, остальное приходится на фармацевтически приемлемые наполнители, разбавители или растворители. Фармацевтически приемлемыми наполнителями предпочтительно являются твердые наполнители или разбавители и стерильные водные или органические растворы. В таких фармацевтических композициях активный ингредиент находится в количестве, достаточном для обеспечения требуемой дозировки в пределах, описанных выше. Так, для внутреннего применения полиморфную форму можно сочетать с соответствующим твердым или жидким наполнителем, получая капсулы, таблетки, порошки, сиропы, растворы, суспензии и т.п. При необходимости фармацевтические композиции могут содержать дополнительные компоненты – ароматизаторы, сладкие вещества, эксципиенты и т.п. Для парентерального введения полиморфную форму можно сочетать со стерильными водными или органическими средами, получая растворы или суспензии для инъекций. Например, можно использовать растворы в кунжутном или арахисовом масле, водном пропиленгликоле и т.д., а также водные растворы водорастворимых, фармацевтически приемлемых солей соответствующих кислот или оснований, образованых этими соединениями. В растворах для инъекций активный ингредиент может быть растворен и в полигидроксилированном касторовом масле. Растворы для инъекций, полученные таким образом, можно затем вводить внутривенно, внутрибрюшинно, подкожно или внутримышечно, причем внутримышечное введение предпочтительно у человека. Для введения через нос препарат может содержать полиморфные формы настоящего изобретения, растворенные или суспендированные в жидком наполнителе, предпочтительно водном, для применения в виде аэрозоля. Наполнитель может содержать такие добавки, как солюбилизаторы типа пропиленгликоля, поверхностно-активные вещества, усилители всасывания – лецитин (фосфатидилхолин) или циклодекстрин, или такие консерванты, как парабены. Таблетки, драже или капсулы, содержащие тальк и/или связующие на основе углеводов, особенно предпочтительны для внутреннего применения. Наполнителями для таблеток, драже и капсул предпочтительно являются лактоза, кукурузный крахмал и/или картофельный крахмал. Можно использовать сироп или эликсир в тех случаях, когда можно применять подслащенные носители. Типичный способ изготовления таблеток раскрывается на следующем примере. Примеры приготовления таблеток
Готовят однородную смесь ингредиентов 1-3 с водой и гранулируют после сушки при пониженном давлении. Гранулы тщательно перемешивают с ингредиентами 4 и 5 и подвергают прессованию в таблетировочной машине, получая 1000 таблеток, содержащих по 30 мг активного ингредиента.
Готовят однородную смесь ингредиентов 1-4 с водным раствором ингредиента 5 и гранулируют после сушки при пониженном давлении. Добавляют ингредиент 6 и гранулы подвергают прессованию в таблетировочной машине, получая 1000 таблеток, содержащих по 30 мг ингредиента 1. Соединения формулы (I), определенные выше, в клинической практике вводят млекопитающим, включая человека, через рот, нос, легкие, через кожу или парентерально, ректально, в виде депо, подкожно, внутривенно, внутримышечно, интрауретрально, интраназально, в виде глазных растворов или мази. Предпочтительным способом введения является пероральный (прием внутрь), как более удобный и не вызывающий боли и раздражения, как при инъекции. Однако в условиях, когда пациент не может проглотить лекарство, или при нарушениях всасывания препарата вследствие болезни или другой аномалии, препарат необходимо вводить парентерально. При любом способе введения дозировка составляет от 0,01 до 100 мг/кг веса тела в день, предпочтительно от 0,01 до 30 мг/кг веса тела в день, в один или несколько приемов. Однако оптимальную для пациента дозировку определяет лицо, ответственное за лечение, причем обычно вначале дают меньшие дозы, а затем их постепенно увеличивают, чтобы установить самую лучшую дозировку. Сведения, подтверждающие возможность осуществления изобретения Далее изобретение разъясняется подробно на примерах, которые приводятся только для иллюстрации, но не предназначены для ограничения масштаба изобретения. ПРОМЕЖУТОЧНЫЙ СИНТЕЗ 1 (±)4-[2-(3-Оксо-2Н-1,4-бензоксазин-4-ил)этокси]бензальдегид Смесь из 2Н-1,4-бензоксазин-3-(4Н)-она (1,6 г, 10,7 ммоль), 4-(2-бромэтокси)бензальдегида (2,95 г, 12,8 ммоль) и карбоната калия (5,93 г, 42,97 ммоль) в безводном диметилформамиде (30 мл) перемешивали при 80°С в течение 10 часов. Добавляли воду (100 мл) и экстрагировали этилацетатом (2×75 мл). Органические слои объединяли, промывали водой (50 мл) и насыщенным раствором NaCl (50 мл), сушили (Na2SO4), фильтровали и выпаривали растворитель. Сухой остаток подвергали хроматографии на силикагеле с помощью смеси этилацетата и петролейного эфира (2:8), получая указанное в заголовке соединение (2,9 г, 91%) в виде бесцветного твердого вещества с т.пл. 75-78°С. 1Н-ЯМР (CDCl3, 200 МГц): ПРОМЕЖУТОЧНЫЙ СИНТЕЗ 2 (±)6-[2-(2,3-Дигидро-1,4-бензотиазин-4-ил)этокси]цианонафталин Смесь из 2-(2,3)-дигидро-1,4-бензотиазин-4-ил)этилметансульфоната (0,49 г, 1,82 ммоль), 2-гидрокси-6-цианонафталина (0,28 г, 1,65 ммоль) и карбоната калия (1,15 г, 8,28 ммоль) в безводном диметилформамиде (30 мл) перемешивали при 80°С в течение 12 часов. Добавляли воду (50 мл) и экстрагировали этилацетатом (2×25 мл). Слои этилацетата объединяли, промывали водой (25 мл) и насыщенным раствором NaCl (20 мл), сушили (Na2SO4), фильтровали и выпаривали растворитель при пониженном давлении. Сухой остаток подвергали хроматографии на силикагеле с помощью смеси этилацетата и петролейного эфира (2:8), получая указанное в заголовке соединение (0,41 г, 72%) в виде бледно-желтого твердого вещества с т.пл. 94-96°С. 1H-ЯМР (CDCl3, 200 МГц): ПРОМЕЖУТОЧНЫЙ СИНТЕЗ 3 (±)6-[2-(2,3-Дигидро-1,4-бензотиазин-4-ил)этокси]нафтальдегид (±)6-[2-(2,3-Дигидро-1,4-бензотиазин-4-ил)этокси]цианонафталин (8 г, 22,9 ммоль), полученный в промежуточном синтезе 2, растворяли в безводном тетрагидрофуране (15 мл) и к полученному раствору медленно добавляли диизобутилалюминиягидрид (93 мл, 20% в толуоле) при -70°С в течение 1 часа. После полного добавления реакционную смесь перемешивали при 25°С в течение 16 часов. По окончании добавляли этилформиат (20 мл) и перемешивали при 25°С в течение 1 часа. Добавляли насыщенный раствор хлористого аммония (15 мл). Смесь подкисляли с помощью 10% серной кислоты и экстрагировали этилацетатом (2×75 мл). Слои этилацетата объединяли, промывали водой (2×50 мл) и насыщенным раствором NaCl (50 мл), сушили (Na2SO4), фильтровали и выпаривали растворитель при пониженном давлении. Сухой остаток подвергали хроматографии на силикагеле с помощью смеси этилацетата и петролейного эфира (10:90), получая указанное в заголовке соединение (4,5 г, 56%) в виде бледно-желтого твердого вещества с т.пл. 100-102°С. 1Н-ЯМР (CDCl3, 200 МГц): ПРОМЕЖУТОЧНЫЙ СИНТЕЗ 4 (±)4-[4-Метил-3,4-дигидро-1,4-бензоксазин-2-ил]метоксибензальдегид 4-Метил-3,4-дигидро-1,4-бензоксазин-2-метанол (6,0 г, 33,5 ммоль) растворяли в дихлорометане (20 мл) и к полученному раствору добавляли триэтиламин (10,15 г, 100,5 ммоль) в атмосфере азота при 25°С. К этой реакционной смеси добавляли метансульфонилхлорид (5,75 г, 50,25 ммоль) при 0°С и перемешивали при 25°С в течение 10 часов. Добавляли воду (50 мл) и экстрагировали хлороформом (2×25 мл). Органические экстракты объединяли, промывали водой (50 мл), сушили (Na2SO4), фильтровали и выпаривали растворитель при пониженном давлении. Сухой остаток подвергали хроматографии на силикагеле с помощью смеси этилацетата и гексана (2:8), получая (4-метил-3,4-дигидро-2Н-1,4-бензоксазин-2-ил)метилметансульфонат (3,7 г, 43%) в виде сиропа. 1H-ЯМР (CDCl3, 200 МГц): Смесь из (4-метил-3,4-дигидро-1,4-бензоксазин-2-ил)метилметансульфоната (3,7 г, 14,39 ммоль), 4-гидроксибензальдегида (2,6 г, 21,29 ммоль) и карбоната калия (5,9 г, 42,7 ммоль) в безводном диметилформамиде (30 мл) перемешивали при 80°С в течение 10 часов. Добавляли воду (100 мл) и экстрагировали этилацетатом (2×70 мл). Органические слои объединяли, промывали водой (50 мл) и насыщенным раствором NaCl (50 мл), сушили (Na2SO4), фильтровали и выпаривали растворитель при пониженном давлении. Сухой остаток подвергали хроматографии на силикагеле с помощью смеси этилацетата и петролейного эфира (2:8), получая указанное в заголовке соединение (1,3 г, 32%) в виде густой жидкости. 1Н-ЯМР (CDCl3, 200 МГц): ПРОМЕЖУТОЧНЫЙ СИНТЕЗ 5 (±)4-[4-Бензил-3,4-дигидро-1,4-бензоксазин-2-ил]метоксибензальдегид Указанное соединение (3,2 г, 80%) получали в виде бледно-желтого твердого вещества из 4-бензил-3,4-дигидро-1,4-бензоксазин-2-метанола (4,0 г, 15,68 ммоль) по методике, аналогичной той, что описана в промежуточном синтезе 4. Т.пл. 92-94°С. 1Н-ЯМР (CDCl3, 200 МГц): ПРИМЕР 1 (Е/Z)-3-[4-[2-(2,3-Дигидро-1,4-бензоксазин-4-ил)этокси]фенил]-2-этоксипропеновая кислота, этиловый эфир В охлаждаемую льдом суспензию гидрида натрия (60% суспензия в масле) (1,39 г, 29,1 ммоль) в безводном тетрагидрофуране (5 мл) с перемешиванием в атмосфере азота медленно добавляли раствор триэтил-2-этоксифосфоноацетата (W.Grell and H. Machleidt, Annalen Chemie, 1960, 699, 53) (7,8 г, 29,1 ммоль) в безводном тетрагидрофуране (15 мл). Смесь перемешивали 30 минут при 0°С, а затем добавляли раствор 4-[2-(2,3-дигидро-1,4-бензоксазин-4-ил)этокси]бензальдегида (7,5 г, 26,5 ммоль), полученного способом, описанным в промежуточном синтезе 1 и раскрытом в международной публикации WO 98/52946, в безводном тетрагидрофуране (20 мл). Смесь подогревали до 25°С и перемешивали еще 20 часов. Растворитель выпаривали, а сухой остаток суспендировали в воде (100 мл) и экстрагировали этилацетатом (2×75 мл). Слои этилацетата объединяли, промывали водой (75 мл) и насыщенным раствором NaCl (50 мл), сушили (Na2SO4), фильтровали и выпаривали растворитель при пониженном давлении. Сухой остаток подвергали хроматографии на силикагеле с помощью смеси этилацетата и петролейного эфира (2:8) в качестве элюента, получая указанное в заголовке соединение (8,0 г, 75%) в виде смолы (смесь геометрических изомеров E/Z в соотношении 65:35) (R.A.Aitken and G.L.Thom, Synthesis, 1989, 958). 1Н-ЯМР (CDCl3, 200 МГц): ПРИМЕР 2 (±)3-[4-[2-(2,3-Дигидро-1,4-бензоксазин-4-ил)этокси]фенил]-2-этоксипропановая кислота, метиловый эфир Смесь из этилового эфира (Е/Z)-3-[4-[2-(2,3-дигидро-1,4-бензоксазин-4-ил)этокси]-фенил]-2-этоксипропеновой кислоты (8,0 г, 20,0 ммоль), полученного в примере 1, и магниевых стружек (9,64 г, 396,7 ммоль) в безводном метаноле (50 мл) перемешивали при 25°С в течение 20 часов. После этого добавляли воду (50 мл), доводили примерно до рН 7,0 с помощью 10% водной соляной кислоты и этот раствор экстрагировали этилацетатом (2×10 мл). Органические экстракты объединяли, промывали водой (75 мл) и насыщенным раствором NaCl (75 мл), сушили (Na2SO4), фильтровали и удаляли растворитель при пониженном давлении. Сухой остаток подвергали хроматографии на силикагеле с помощью смеси этилацетата и петролейного эфира (2:8) в качестве элюента, получая указанное в заголовке соединение (5,0 г, 64%) в виде смолообразной жидкости. 1H-ЯМР (CDCl3, 200 МГц): ПРИМЕР 3 (Е/Z)-3-[2-(2,3-Дигидро-1,4-бензоксазин-4-ил)метилбензофуран-5-ил]-2-этоксипропеновая кислота, этиловый эфир Указанное соединение (0,8 г, 58%) получали в виде смолистого вещества из 5-формил-2-(2,3-дигидро-1,4-бензоксазин-4-ил)метилбензофурана (1,0 г, 3,41 ммоль) по методике, аналогичной той, что описана в примере 1. 1Н-ЯМР (CDCl3, 200 МГц): ПРИМЕР 4 (Е/Z)-3-[4-[2-(2,3-Дигидро-1,4-бензотиазин-4-ил)этокси]фенил]-2-этоксипропеновая кислота, этиловый эфир Указанное соединение получали как смесь геометрических изомеров в соотношении 38:62 (по данным 1Н-ЯМР) (3,2 г, 71%) в виде смолистой массы из 4-[2-(2,3-дигидро-1,4-бензотиазин-4-ил)этокси]бензальдегида (3,3 г, 11,03 ммоль), полученного способом, описанным в промежуточном синтезе 2 и раскрытом в международной публикации WO 98/52946, по методике, аналогичной той, что описана в примере 1. 1Н-ЯМР (CDCl3, 200 МГц): ПРИМЕР 5 (±)3-[2-(2,3-Дигидро-1,4-бензоксазин-4-ил)метилбензофуран-5-ил]-2-этоксипропановая кислота, метиловый эфир Указанное соединение (0,6 г, 78%) получали в виде смолистой массы из этилового эфира (Е/Z)-3-[2-(2,3-дигидро-1,4-бензоксазин-4-ил)метилбензофуран-5-ил]-2-этоксипропеновой кислоты (0,8 г, 1,96 ммоль), полученного в примере 3, по методике, аналогичной той, что описана в примере 2. 1Н-ЯМР (CDCl3, 200 МГц): ПРИМЕР 6 (±)3-[4-[2-(2,3-Дигидро-1,4-бензотиазин-4-ил)этокси]фенил]-2-этоксипропановая кислота, метиловый эфир Указанное соединение (2,3 г, 76%) получали в виде смолистой жидкости из этилового эфира (Е/Z)-3-[4-[2-(2,3-дигидро-1,4-бензотиазин-4-ил)этокси]фенил]-2-этоксипропеновой кислоты (3,1 г, 7,50 ммоль), полученного в примере 4, по методике, аналогичной той, что описана в примере 2. 1Н-ЯМР (CDCl3, 200 МГц): ПРИМЕР 7 (±)2-Метил-3-[4-[2-(2,3-дигидро-1,4-бензоксазин-4-ил)этокси]фенил]-2-этоксипропановая кислота, метиловый эфир Метиловый эфир (±)3-[4-[2-(2,3-дигидро-1,4-бензоксазин-4-ил)этокси]фенил]-2-этоксипропановой кислоты (0,6 г, 1,5 ммоль), полученный в примере 2, растворяли в безводном тетрагидрофуране (5 мл) и к полученному раствору добавляли диизопропиламид лития (5,25 мкл, 0,5 мл раствора в THF/гексане) при -78°С. Перемешивали 1 час при -78°С, после чего добавляли метилиодид (0,75 мл), подогревали до комнатной температуры (около 25°С) и перемешивали еще 20 часов при этой температуре. Добавляли воду (20 мл), подкисляли с помощью 1N соляной кислоты и экстрагировали этилацетатом (2×25 мл). Слои этилацетата объединяли, промывали водой (25 мл) и насыщенным раствором NaCl (25 мл), сушили (Na2SO4), фильтровали и выпаривали растворитель при пониженном давлении, получая указанное в заголовке соединение (0,5 г, 80%) в виде масла. 1Н-ЯМР (CDCl3, 200 МГц): ПРИМЕР 8 (±)2-(2-Фторобензил)-3-[4-[2-(2,3-дигидро-1,4-бензоксазин-4-ил)этокси]-фенил]-2-этоксипропановая кислота, метиловый эфир Указанное соединение (0,6 г, 78%) получали в виде коричневой жидкости из метилового эфира (±)3-[4-[2-(2,3-дигидро-1,4-бензоксазин-4-ил)этокси]фенил]-2-этоксипропановой кислоты (0,6 г, 1,5 ммоль), полученного в примере 2, по методике, аналогичной той, что описана в примере 7. 1H-ЯМР (CDCl3, 200 МГц): ПРИМЕР 9 (Е/Z)-3-[4-[2-(3-Оксо-2Н-1,4-бензоксазин-4-ил)этокси]фенил]-2-этоксипропеновая кислота, этиловый эфир Указанное соединение (3,9 г, 97%) получали как смесь изомеров E/Z в соотношении 32:68 в виде белого твердого вещества из 4-[2-(3-оксо-2Н-1,4-бензоксазин-4-ил)этокси]бензальдегида (2,9 г, 9,7 ммоль), полученного в промежуточном синтезе 1, по методике, аналогичной той, что описана в примере 1. Т.пл. 92-95°С. 1Н-ЯМР (CDCl3, 200 МГц): ПРИМЕР 10 (±)3-[4-[2-(3-Оксо-2Н-1,4-бензоксазин-4-ил)этокси]фенил]-2-этоксипропановая кислота, метиловый эфир Указанное соединение (1,0 г, 51%) получали в виде бесцветного сиропа из этилового эфира (Е/Z)-3-[4-[2-(3-оксо-2Н-1,4-бензоксазин-4-ил)этокси]фенил]-2-этоксипропеновой кислоты (2,0 г, 4,8 ммоль), полученного в примере 9, по методике, аналогичной той, что описана в примере 2. 1Н-ЯМР (CDCl3, 200 МГц): ПРИМЕР 11 (Е/Z)-3-[6-[2-(2,3-Дигидро-1,4-бензотиазин-4-ил)этокси]нафтил]-2-этоксипропеновая кислота, этиловый эфир Указанное соединение получали как смесь изомеров E/Z в соотношении 1:1 (1,74 г, 87%) в виде коричневого сиропа из 6-[2-(2,3-дигидро-1,4-бензотиазин-4-ил)этокси]нафтальдегида (1,5 г, 4,29 ммоль), полученного в промежуточном синтезе 3, по методике, аналогичной той, что описана в примере 1. 1H-ЯМР (CDCl3, 200 МГц): ПРИМЕР 12 (±)3-[6-[2-(2,3-Дигидро-1,4-бензотиазин-4-ил)этокси]нафтил]-2-этоксипропановая кислота, метиловый эфир Указанное соединение (1,25 г, 75%) получали в виде бесцветного сиропа из этилового эфира (Е/Z)-3-[6-[2-(2,3-дигидро-1,4-бензотиазин-4-ил)этокси]нафтил]-2-этоксипропеновой кислоты (1,7 г, 3,67 ммоль), полученного в примере 11, по методике, аналогичной той, что описана в примере 2. 1Н-ЯМР (CDCl3, 200 МГц): ПРИМЕР 13 (±)3-[4-[2-(2,3-Дигидро-1,4-бензоксазин-4-ил)этокси]фенил]-2-гидроксипропановая кислота, этиловый эфир Указанное соединение (0,14 г, 32%) получали в виде смолистой жидкости из 2-(2,3-дигидро-1,4-бензоксазин-4-ил)этилметансульфоната (0,36 г, 1,42 ммоль), карбоната калия (0,80 г, 5,8 ммоль) и этилового эфира 2-гидрокси-3-(4-гидроксифенил)пропановой кислоты (0,3 г, 1,42 ммоль), применяя условия, аналогичные тем, что описаны в промежуточном синтезе 2. 1H-ЯМР (CDCl3, 200 МГц): ПРИМЕР 14 (±)3-[4-[2-(2,3-Дигидро-1,4-бензотиазин-4-ил)этокси]фенил]-2-гидроксипропановая кислота, этиловый эфир Указанное соединение (1,9 г, 17%) получали в виде смолистой жидкости из 2-(2,3-дигидро-1,4-бензотиазин-4-ил)этилметансульфоната (8,2 г, 30,0 ммоль), карбоната калия (20,7 г, 150 ммоль) и этилового эфира 2-гидрокси-3-(4-гидроксифенил)пропановой кислоты (6,3 г, 30,0 ммоль), применяя условия, аналогичные тем, что описаны в промежуточном синтезе 2. 1H-ЯМР (CDCl3, 200 МГц): ПРИМЕР 15 (±)3-[4-[2-(2,3-Дигидро-1,4-бензоксазин-4-ил)этокси]фенил]-2-бензилоксипропановая кислота, этиловый эфир В охлаждаемую льдом суспензию гидрида натрия (60% дисперсия в масле) (0,08 г, 1,66 ммоль) в безводном диметилформамиде (3 мл) с перемешиванием в атмосфере азота добавляли раствор этилового эфира (±)3-[4-[2-(2,3-дигидро-1,4-бензоксазин-4-ил)этокси]фенил]-2-гидроксипропановой кислоты (0,5 г, 1,34 ммоль), полученного в примере 13, в безводном диметилформамиде (5 мл). Реакционную смесь перемешивали 30 минут при 0°С, а затем добавляли бензилбромид (0,46 г, 2,69 ммоль). Смесь подогревали до 25°С и перемешивали еще 18 часов. Добавляли воду (25 мл) и экстрагировали этилацетатом (2×50 мл). Органические слои объединяли, промывали водой (50 мл) и насыщенным раствором NaCl (50 мл), сушили (Na2SO4) и фильтровали. Растворитель выпаривали при пониженном давлении, а сухой остаток подвергали хроматографии на силикагеле с помощью смеси этилацетата и петролейного эфира (2:8) в качестве элюента, получая указанное в заголовке соединение (0,3 г) вместе с 3-[4-[2-(2,3-дигидро-1,4-бензоксазин-4-ил)этокси]фенил]-2-бензилоксипропаноатом. Эту смесь (1:1) использовали в примере 47, не разделяя на компоненты. 1Н-ЯМР (CDCl3, 200 МГц): ПРИМЕР 16 (±)3-[4-[2-(2,3-Дигидро-1,4-бензоксазин-4-ил)этокси]фенил]-2-бутоксипропановая кислота, этиловый эфир Указанное соединение (0,4 г, 52%) получали в виде смолистой жидкости из 2-(2,3-дигидро-1,4-бензоксазин-4-ил)этилметансульфоната (0,46 г, 1,78 ммоль), карбоната калия (0,98 г, 7,12 ммоль) и этилового эфира 2-бутокси-3-(4-гидроксифенил)пропановой кислоты (0,47 г, 1,78 ммоль), применяя условия, аналогичные тем, что описаны в промежуточном синтезе 2. 1Н-ЯМР (CDCl3, 200 МГц): ПРИМЕР 17 (±)3-[4-[2-(2,3-Дигидро-1,4-бензоксазин-4-ил)этокси]фенил]-2-гексилоксипропановая кислота, этиловый эфир Указанное соединение (0,31 г, 50%) получали в виде бесцветного сиропа из 2-(2,3-дигидро-1,4-бензоксазин-4-ил)этилметансульфоната (0,35 г, 1,3 ммоль), карбоната калия (0,75 г, 5,4 ммоль) и этилового эфира 2-гексилокси-3-(4-гидроксифенил)пропановой кислоты (0,4 г, 1,3 ммоль), применяя условия, аналогичные тем, что описаны в промежуточном синтезе 2. 1Н-ЯМР (CDCl3, 200 МГц): ПРИМЕР 18 (Е/Z)-3-[4-[2-(2,3-Дигидро-1,4-бензоксазин-4-ил)этокси]фенил]-2-феноксипропеновая кислота, этиловый эфир Указанное соединение (0,92 г, 58%) получали как смесь изомеров E/Z (40:60) в виде смолистой жидкости из 4-[2-(2,3-дигидро-1,4-бензоксазин-4-ил)этокси]бензальдегида (1,0 г, 3,0 ммоль) и триэтил-2-феноксифосфоноацетата (A.G.Schultz et al., J.Org. Chem., 1983, 48, 3408) (1,3 г, 4,0 ммоль) по методике, аналогичной той, что описана в примере 1. 1Н-ЯМР (CDCl3, 200 МГц): ПРИМЕР 19 (±)3-[4-[2-(2,3-Дигидро-1,4-бензоксазин-4-ил)этокси]фенил]-2-феноксипропановая кислота, метиловый эфир Указанное соединение (0,49 г, 57%) получали в виде смолистой массы из этилового эфира (Е/Z)-3-[4-[2-(2,3-дигидро-1,4-бензоксазин-4-ил)этокси]фенил]-2-феноксипропеновой кислоты (0,9 г, 2,0 ммоль), полученного в примере 18, по методике, аналогичной той, что описана в примере 2. 1Н-ЯМР (CDCl3, 200 МГц): ПРИМЕР 20 (Е/Z)-3-[4-[2-(2,3-Дигидро-1,4-бензотиазин-4-ил)этокси]фенил]-2-феноксипропеновая кислота, этиловый эфир Указанное соединение (3,7 г, 60%) получали как смесь изомеров E/Z (35:65) в виде смолистой массы из 4-[2-(2,3-дигидро-1,4-бензотиазин-4-ил)этокси]бензальдегида (4,0 г, 13,0 ммоль) и триэтил-2-феноксифосфоноацетата (A.G.Schultz et al., J.Org. Chem., 1983, 48, 3408) (5,07 г, 16,0 ммоль) по аналогичной методике, что описана в примере 1. 1H-ЯМР (CDCl3, 200 МГц): ПРИМЕР 21 (±)3-[4-[2-(2,3-Дигидро-1,4-бензотиазин-4-ил)этокси]фенил]-2-феноксипропановая кислота, метиловый эфир Указанное соединение (2,3 г, 64%) получали в виде смолистой массы из этилового эфира (Е/Z)-3-[4-[2-(2,3-дигидро-1,4-бензотиазин-4-ил)этокси]фенил]-2-феноксипропеновой кислоты (3,7 г, 8,0 ммоль), полученного в примере 20, по методике, аналогичной той, что описана в примере 2. 1Н-ЯМР (CDCl3, 200 МГц): ПРИМЕР 22 (Е/Z)-3-[4-(4-Метил-3,4-дигидро-1,4-бензоксазин-2-ил)метоксифенил]-2-этоксипропеновая кислота, этиловый эфир Указанное соединение (0,4 г, 25%) получали как смесь изомеров E/Z (1:1) в виде коричневой жидкости из 4-(4-метил-3,4-дигидро-1,4-бензоксазин-2-ил]метоксибензальдегида (1,2 г, 4,24 ммоль), полученного в промежуточном синтезе 4, по методике, аналогичной той, что описана в примере 1. 1Н-ЯМР (CDCl3, 200 МГц): ПРИМЕР 23 (±)3-[4-(4-Метил-3,4-дигидро-1,4-бензоксазин-2-ил)метоксифенил]-2-этоксипропановая кислота, метиловый эфир Указанное соединение (0,25 г, 65%) получали в виде густой жидкости из этилового эфира (Е/Z)-3-[4-(4-метил-3,4-дигидро-1,4-бензоксазин-2-ил)метоксифенил]-2-этоксипропеновой кислоты (0,4 г, 1,0 ммоль), полученного в примере 22, по методике, аналогичной той, что описана в примере 2. 1Н-ЯМР (CDCl3, 200 МГц): ПРИМЕР 24 (Е/Z)-3-[4-(4-Бензил-3,4-дигидро-1,4-бензоксазин-2-ил)метоксифенил]-2-этоксипропеновая кислота, этиловый эфир Указанное соединение (3,0 г, 76%) получали как смесь изомеров E/Z (1:1) в виде вязкой жидкости из 4-(4-бензил-3,4-дигидро-1,4-бензоксазин-2-ил]метоксибензальдегида (3,0 г, 8,35 ммоль), полученного в промежуточном синтезе 5, по методике, аналогичной той, что описана в примере 1. 1Н-ЯМР (CDCl3, 200 МГц): ПРИМЕР 25 (±)3-[4-(4-Бензил-3,4-дигидро-1,4-бензоксазин-2-ил)метоксифенил]-2-этоксипропановая кислота, метиловый эфир Указанное соединение (1,5 г, 100%) получали из этилового эфира (E/Z)-3-[4-(4-бензил-3,4-дигидро-1,4-бензоксазин-2-ил)метоксифенил]-2-этоксипропеновой кислоты (1,5 г, 3,17 ммоль), полученного в примере 24, по методике, аналогичной той, что описана в примере 2. 1Н-ЯМР (CDCl3, 200 МГц): ПРИМЕР 26 (±)3-[4-[2-(2,3-Дигидро-1,4-бензоксазин-4-ил)этокси]фенил]-2-этоксипропановая кислота Метиловый эфир (±)3-[4-[2-(2,3-дигидро-1,4-бензоксазин-4-ил)этокси]фенил]-2-этоксипропановой кислоты (4,7 г, 12,2 ммоль), полученный в примере 2, растворяли в метаноле (50 мл) и к полученному раствору добавляли 10% раствор NaOH (28 мл). Смесь перемешивали при 25°С в течение 3 часов. Растворитель удаляли при пониженном давлении, а остаток подкисляли с помощью 2N соляной кислоты и экстрагировали этилацетатом (2×100 мл). Слои этилацетата объединяли, промывали водой (75 мл) и насыщенным раствором NaCl (50 мл), сушили (Na2SO4), фильтровали и выпаривали растворитель при пониженном давлении. Сухой остаток подвергали хроматографии на силикагеле с помощью этилацетата, получая указанное в заголовке соединение (3,0 г, 66%) в виде вязкой жидкости. 1Н-ЯМР (CDCl3, 200 МГц): ПРИМЕР 27 (±)3-[4-[2-(2,3-Дигидро-1,4-бензоксазин-4-ил)этокси]фенил]-2-этоксипропановая кислота, натриевая соль Смесь из (±)3-[4-[2-(2,3-дигидро-1,4-бензоксазин-4-ил)этокси]фенил]-2-этоксипропановой кислоты (0,15 г, 0,4 ммоль), полученной в примере 26, и метоксида натрия (23,4 мг) в метаноле (5 мл) перемешивали при 25°С в течение 2 часов. Растворитель удаляли, а остаток обрабатывали безводным эфиром (3×10 мл). Выпавший осадок отфильтровывали, промывали безводным эфиром (2×5 мл) и сушили над P2O5 под вакуумом, получая указанное в заголовке соединение (0,12 г, 75%) в виде бесцветного гигроскопического твердого вещества. 1Н-ЯМР (DMSO-d6, 200 МГц): ПРИМЕР 28 (±)3-[2-(2,3-Дигидро-1,4-бензоксазин-4-ил)метилбензофуран-5-ил]-2-этоксипропановая кислота Указанное соединение (0,5 г, 87%) получали в виде смолистой массы из метилового эфира (±)3-[2-(2,3-дигидро-1,4-бензоксазин-4-ил)метилбензофуран-5-ил]-2-этоксипропановой кислоты (0,6 г, 1,51 ммоль), полученного в примере 5, по методике, аналогичной той, что описана в примере 26. 1Н-ЯМР (CDCl3, 200 МГц): ПРИМЕР 29 (±)3-[4-[2-(2,3-Дигидро-1,4-бензотиазин-4-ил)этокси]фенил]-2-этоксипропановая кислота Указанное соединение (1,4 г, 63%) получали в виде смолистой массы из метилового эфира (±)3-[4-[2-(2,3-дигидро-1,4-бензотиазин-4-ил)этокси]фенил]-2-этоксипропановой кислоты (2,3 г, 5,73 ммоль), полученного в примере 6, по методике, аналогичной той, что описана в примере 26. 1Н-ЯМР (CDCl3, 200 МГц): ПРИМЕР 30 (±)3-[4-[2-(2,3-Дигидро-1,4-бензотиазин-4-ил)этокси]фенил]-2-этоксипропановая кислота, натриевая соль Указанное соединение (0,42 г, 81%) получали в виде бесцветного твердого вещества из (±) 3-[4-[2-(2,3-дигидро-1,4-бензотиазин-4-ил)этокси]фенил]-2-этоксипропановой кислоты (0,5 г, 1,30 ммоль), полученной в примере 29, по методике, аналогичной той, что описана в примере 27. 1Н-ЯМР (CDCl3, 200 МГц): ПРИМЕР 31 (±)3-[4-[2-(2,3-Дигидро-1,4-бензотиазин-4-ил)этокси]фенил]-2-этоксипропанамид Оксалилхлорид (0,28 мл, 3,1 ммоль) и (±)3-[4-[2-(2,3-дигидро-1,4-бензотиазин-4-ил)этокси]фенил]-2-этоксипропановую кислоту (0,6 г, 1,55 ммоль), полученную в примере 29, растворяли в безводном дихлорометане (10 мл) и кипятили с дефлегматором в течение 2 часов. Растворитель и излишний оксалилхлорид удаляли при пониженном давлении. Остаток растворяли в дихлорометане, добавляли водный раствор аммиака (5 мл) и перемешивали в течение 30 минут. Реакционную смесь экстрагировали хлороформом (2×25 мл). Слои хлороформа объединяли, промывали водой (25 мл), сушили (Na2SO4, фильтровали и выпаривали растворитель при пониженном давлении. Сухой остаток подвергали хроматографии на силикагеле с помощью смеси этилацетата и петролейного эфира (7:3) в качестве элюента, получая указанное в заголовке соединение (0,32 г, 54%) в виде белого твердого вещества с т.пл. 120-122°С. 1Н-ЯМР (CDCl3, 200 МГц): ПРИМЕР 32 (±)N-Метил-3-[4-[2-(2,3-дигидро-1,4-бензотиазин-4-ил)этокси]фенил]-2-этоксипропанамид В охлаждаемый льдом раствор (±)3-[4-[2-(2,3-дигидро-1,4-бензотиазин-4-ил)-этокси]фенил]-2-этоксипропановой кислоты (0,3 г, 0,78 ммоль), полученной в примере 29, и триэтиламина (0,162 г, 1,6 ммоль) в безводном хлорометане (10 мл) добавляли пивалоилхлорид (0,10 г, 0,86 ммоль) и перемешивали 30 минут при 0°С. В эту реакционную смесь добавляли метиламин (40% раствор) (0,124 мл) при 25°С и перемешивали еще 1 час при 25°С. Добавляли воду (20 мл) и экстрагировали этилацетатом (2×20 мл). Органические экстракты объединяли, промывали водой (10 мл) и насыщенным раствором NaCl (10 мл), сушили (Na2SO4), фильтровали и выпаривали растворитель при пониженном давлении. Сухой остаток подвергали хроматографии на силикагеле с помощью смеси этилацетата и петролейного эфира (1:1), получая указанное в заголовке соединение в виде бесцветного твердого вещества с т.пл. 80-82°С. 1Н-ЯМР (CDCl3, 200 МГц): ПРИМЕР 33 (±)3-[4-[2-(2,3-Дигидро-1,4-бензоксазин-4-ил)этокси]фенил]-2-этоксипропанамид Указанное соединение (0,2 г, 80%) получали в виде белого твердого вещества из (±) 3-[4-[2-(2,3-дигидро-1,4-бензоксазин-4-ил)этокси]фенил]-2-этоксипропановой кислоты (0,25 г, 0,67 ммоль), полученной в примере 26, и раствора аммиака (4 мл) по методике, аналогичной той, что описана в примере 31. Т.пл. 107-109°С. 1Н-ЯМР (CDCl3, 200 МГц): ПРИМЕР 34 (±)N-Метил-3-[4-[2-(2,3-дигидро-1,4-бензоксазин-4-ил)этокси]фенил]-2-этоксипропанамид Указанное соединение (0,23 г, 74%) получали в виде белого твердого вещества из (±)3-[4-[2-(2,3-дигидро-1,4-бензоксазин-4-ил)этокси] фенил]-2-этоксипропановой кислоты (0,3 г, 0,8 ммоль), полученной в примере 26, и метиламина (40% раствор) (2 мл) по методике, аналогичной той, что описана в примере 32. Т.пл. 97-99°С. 1H-ЯМР (CDCl3, 200 МГц): ПРИМЕР 35 (±)N-Бензил-3-[4-[2-(2,3-дигидро-1,4-бензоксазин-4-ил)этокси]фенил]-2-этоксипропанамид Указанное соединение (0,25 г, 67%) получали в виде белого твердого вещества из (±)3-[4-[2-(2,3-дигидро-1,4-бензоксазин-4-ил)этокси]фенил]-2-этоксипропановой кислоты (0,3 г, 0,8 ммоль), полученной в примере 26, и бензиламина (0,095 г, 0,88 ммоль) по методике, аналогичной той, что описана в примере 32. Т.пл. 94-96°С. 1Н-ЯМР (CDCl3, 200 МГц): ПРИМЕР 36 (±)N-Бензил-3-[4-[2-(2,3-дигидро-1,4-бензотиазин-4-ил)этокси]фенил]-2-этоксипропанамид Указанное соединение (0,22 г, 74%) получали в виде белого твердого вещества из (±)3-[4-[2-(2,3-дигидро-1,4-бензотиазин-4-ил)этокси]фенил]-2-этоксипропановой кислоты (0,25 г, 0,65 ммоль), полученной в примере 29, и бензиламина (0,076 г, 0,71 ммоль) по методике, аналогичной той, что описана в примере 32. Т.пл. 92-93°С. 1H-ЯМР (CDCl3, 200 МГц): ПРИМЕР 37 (±)2-Метил-3-[4-[2-(2,3-дигидро-1,4-бензоксазин-4-ил)этокси]фенил]-2-этоксипропановая кислота Указанное соединение (0,3 г, 62%) получали в виде слоистой жидкости из метилового эфира (±)2-метил-3-[4-[2-(2,3-дигидро-1,4-бензоксазин-4-ил)этокси]фенил]-2-этоксипропановой кислоты (0,5 г, 1,2 ммоль), полученного в примере 7, по методике, аналогичной той, что описана в примере 26. 1H-ЯМР (CDCl3, 200 МГц): ПРИМЕР 38 (±)2-Метил-3-[4-[2-(2,3-дигидро-1,4-бензоксазин-4-ил)этокси]фенил]-2-этоксипропановая кислота, натриевая соль Указанное соединение (0,12 г, 51%) получали в виде белого твердого вещества из (±)2-метил-3-[4-[2-(2,3-дигидро-1,4-бензоксазин-4-ил)этокси]фенил]-2-этоксипропановой кислоты (0,22 г, 0,57 ммоль), полученной в примере 37, по методике, аналогичной той, что описана в примере 27. 1H-ЯМР (DMSO-d6, 200 МГц): ПРИМЕР 39 (±)2-(2-Фторобензил)-3-[4-[2-(2,3-дигидро-1,4-бензоксазин-4-ил)этокси]фенил]-2-этоксипропановая кислота Указанное соединение (0,25 г, 42%) получали в виде смолистой жидкости из метилового эфира (±)2-(2-фторобензил)-3-[4-[2-(2,3-дигидро-1,4-бензоксазин-4-ил)этокси]фенил]-2-этоксипропановой кислоты (0,6 г, 1,2 ммоль), полученного в примере 8, по методике, аналогичной той, что описана в примере 26. 1Н-ЯМР (CDCl3, 200 МГц): ПРИМЕР 40 (±)2-(2-Фторобензил)-3-[4-[2-(2,3-дигидро-1,4-бензоксазин-4-ил)этокси]фенил]-2-этоксипропановая кислота, натриевая соль Указанное соединение (0,11 г, 48%) получали в виде белого твердого вещества из (±)2-(2-фторобензил)-3-[4-[2-(2,3-дигидро-1,4-бензоксазин-4-ил)этокси]-фенил]-2-этоксипропановой кислоты (0,22 г, 0,45 ммоль), полученной в примере 39, по методике, аналогичной той, что описана в примере 27. 1Н-ЯМР (CDCl3, 200 МГц): ПРИМЕР 41 (±)3-[4-[2-(3-Оксо-2Н-1,4-бензоксазин-4-ил)этокси]фенил]-2-этоксипропановая кислота Указанное соединение (0,75 г, 77%) получали в виде белого твердого вещества из метилового эфира (±)3-[4-[2-(3-оксо-2Н-1,4-бензоксазин-4-ил)этокси]фенил]-2-этоксипропановой кислоты (1,0 г, 2,5 ммоль), полученного в примере 10, по методике, аналогичной той, что описана в примере 26. Т.пл. 90-93°С. 1Н-ЯМР (CDCl3, 200 МГц): ПРИМЕР 42 (±)3-[4-[2-(3-Оксо-2Н-1,4-бензоксазин-4-ил)этокси]фенил]-2-этоксипропановая кислота, натриевая соль Указанное соединение (0,12 г, 56%) получали в виде белого твердого вещества из (±) 3-[4-[2-(3-оксо-2Н-1,4-бензоксазин-4-ил)этокси]фенил]-2-этоксипропановой кислоты (0,2 г, 0,51 ммоль), полученной в примере 41, по методике, аналогичной той, что описана в примере 27. 1H-ЯМР (CDCl3, 200 МГц): ПРИМЕР 43 (±)3-[6-[2-(2,3-Дигидро-1,4-бензотиазин-4-ил)этокси]нафтил]-2-этоксипропановая кислота Указанное соединение (0,8 г, 69%) получали в виде белого твердого вещества из метилового эфира (±)3-[6-[2-(2,3-дигидро-1,4-бензотиазин-4-ил)этокси]нафтил]-2-этоксипропановой кислоты (1,2 г, 2,66 ммоль), полученного в примере 12, по методике, аналогичной той, что описана в примере 26. Т.пл. 102-104°С. 1Н-ЯМР (CDCl3, 200 МГц): ПРИМЕР 44 (±)3-[6-[2-(2,3-Дигидро-1,4-бензотиазин-4-ил)этокси]нафтил]-2-этоксипропановая кислота, натриевая соль Указанное соединение (0,16 г, 76%) получали в виде белого твердого вещества из (±)3-[6-[2-(2,3-дигидро-1,4-бензотиазин-4-ил)этокси]нафтил]-2-этоксипропановой кислоты (0,2 г, 0,457 ммоль), полученной в примере 43, по методике, аналогичной той, что описана в примере 27. Т.пл. 138-140°С. 1Н-ЯМР (CDCl3, 200 МГц): ПРИМЕР 45 (±)3-[4-[2-(2,3-Дигидро-1,4-бензоксазин-4-ил)этокси]фенил]-2-гидроксипропановая кислота Указанное соединение (0,06 г, 43%) получали в виде коричневой вязкой жидкости из (±)этил-3-[4-[2-(2,3-дигидро-1,4-бензоксазин-4-ил)этокси]фенил]-2-гидроксипропаноата (0,15 г, 0,40 ммоль), полученного в примере 13, по методике, аналогичной той, что описана в примере 26. 1Н-ЯМР (CDCl3, 200 МГц): ПРИМЕР 46 (±)3-[4-[2-(2,3-Дигидро-1,4-бензотиазин-4-ил)этокси]фенил]-2-гидроксипропановая кислота Указанное соединение (0,7 г, 46%) получали в виде белого твердого вещества из этилового эфира (±) этил-3-[4-[2-(2,3-дигидро-1,4-бензотиазин-4-ил)этокси]фенил]-2-гидроксипропановой кислоты (1,7 г, 4,39 ммоль), полученного в примере 14, по методике, аналогичной той, что описана в примере 26. Т.пл. 74-76°С. 1Н-ЯМР (CDCl3, 200 МГц): ПРИМЕР 47 (±)3-[4-[2-(2,3-Дигидро-1,4-бензоксазин-4-ил)этокси]фенил]-2-бензилоксипропановая кислота Указанное соединение (0,15 г, 67%) получали в виде густой жидкости из этилового эфира (±)3-[4-[2-(2,3-дигидро-1,4-бензоксазин-4-ил)этокси]фенил]-2-бензилоксипропановой кислоты (0,24 г, 0,52 ммоль), полученного в примере 15, по методике, аналогичной той, что описана в примере 26. 1Н-ЯМР (CDCl3, 200 МГц): ПРИМЕР 48 (±)3-[4-[2-(2,3-Дигидро-1,4-бензоксазин-4-ил)этокси]фенил]-2-бензилоксипропановая кислота, натриевая соль Указанное соединение (0,1 г, 73%) получали в виде гигроскопического вещества кремового цвета из (±) 3-[4-[2-(2,3-дигидро-1,4-бензоксазин-4-ил)этокси]фенил]-2-бензилоксипропановой кислоты (0,13 г, 0,30 ммоль), полученной в примере 47, по методике, аналогичной той, что описана в примере 27. 1Н-ЯМР (DMSO-d6, 200 МГц): ПРИМЕР 49 (±)3-[4-[2-(2,3-Дигидро-1,4-бензоксазин-4-ил)этокси]фенил]-2-бутоксипропановая кислота Указанное соединение (0,25 г, 67%) получали в виде вязкой жидкости из этилового эфира (±)3-[4-[2-(2,3-дигидро-1,4-бензоксазин-4-ил)этокси]фенил]-2-бутоксипропановой кислоты (0,4 г, 0,93 ммоль), полученного в примере 16, по методике, аналогичной той, что описана в примере 26. 1Н-ЯМР (CDCl3, 200 МГц): ПРИМЕР 50 (±)3-[4-[2-(2,3-Дигидро-1,4-бензоксазин-4-ил)этокси]фенил]-2-бутоксипропановая кислота, натриевая соль Указанное соединение (0,12 г, 57%) получали в виде гигроскопического вещества кремового цвета из (±)3-[4-[2-(2,3-дигидро-1,4-бензоксазин-4-ил)этокси]фенил]-2-бутоксипропановой кислоты (0,2 г, 0,5 ммоль), полученной в примере 49, по методике, аналогичной той, что описана в примере 27. 1Н-ЯМР (DMSO-d6, 200 МГц): ПРИМЕР 51 (±)3-[4-[2-(2,3-Дигидро-1,4-бензоксазин-4-ил)этокси]фенил]-2-гексилоксипропановая кислота Указанное соединение (0,17 г, 60%) получали в виде зеленоватой жидкости из этилового эфира (±)3-[4-[2-(2,3-дигидро-1,4-бензоксазин-4-ил)этокси]фенил]-2-гексилоксипропановой кислоты (0,3 г, 0,65 ммоль), полученного в примере 17, по методике, аналогичной той, что описана в примере 26. 1Н-ЯМР (CDCl3, 200 МГц): ПРИМЕР 52 (±)3-[4-[2-(2,3-Дигидро-1,4-бензоксазин-4-ил)этокси]фенил]-2-гексилоксипропановая кислота, натриевая соль Указанное соединение (0,1 г, 52%) получали в виде белого гигроскопического вещества из (±)3-[4-[2-(2,3-дигидро-1,4-бензоксазин-4-ил)этокси]фенил]-2-гексилоксипропановой кислоты (0,18 г, 0,42 ммоль), полученной в примере 51, по методике, аналогичной той, что описана в примере 27. 1Н-ЯМР (DMSO-d6, 200 МГц): ПРИМЕР 53 (±)3-[4-[2-(2,3-Дигидро-1,4-бензоксазин-4-ил)этокси]фенил]-2-феноксипропановая кислота Указанное соединение (0,1 г, 53%) получали в виде бесцветной жидкости из метилового эфира (±)3-[4-[2-(2,3-дигидро-1,4-бензоксазин-4-ил)этокси]фенил]-2-феноксипропановой кислоты (0,2 г, 0,461 ммоль), полученного в примере 19, по методике, аналогичной той, что описана в примере 26. 1Н-ЯМР (CDCl3, 200 МГц): ПРИМЕР 54 (±)3-[4-[2-(2,3-Дигидро-1,4-бензотиазин-4-ил)этокси]фенил]-2-феноксипропановая кислота Указанное соединение (0,2 г, 51%) получали в виде смолистой жидкости из метилового эфира (±)3-[4-[2-(2,3-дигидро-1,4-бензотиазин-4-ил)этокси]фенил]-2-феноксипропановой кислоты (0,4 г, 0,9 ммоль), полученного в примере 21, по методике, аналогичной той, что описана в примере 26. 1Н-ЯМР (CDCl3, 200 МГц): ПРИМЕР 55 (±)3-[4-[2-(2,3-Дигидро-1,4-бензоксазин-4-ил)этокси]фенил]-2-феноксипропановая кислота, натриевая соль Указанное соединение (0,05 г, 48%) получали в виде гигроскопического вещества из (±)3-[4-[2-(2,3-дигидро-1,4-бензоксазин-4-ил)этокси]фенил]-2-феноксипропановой кислоты (0,1 г, 0,24 ммоль), полученной в примере 53, по методике, аналогичной той, что описана в примере 27. 1Н-ЯМР (DMSO-d6, 200 МГц): ПРИМЕР 56 (±)2-Метил-3-[4-[2-(2,3-дигидро-1,4-бензоксазин-4-ил)этокси]фенил]-2-феноксипропановая кислота, метиловый эфир Указанное соединение (0,27 г, 87%) получали в виде вязкой жидкости из метилового эфира (±)3-[4-[2-(2,3-дигидро-1,4-бензоксазин-4-ил)этокси]фенил]-2-феноксипропановой кислоты (0,3 г, 0,69 ммоль), полученного в примере 19, по методике, аналогичной той, что описана в примере 7. 1Н-ЯМР (CDCl3, 200 МГц): ПРИМЕР 57 (±)2-Метил-3-[4-[2-(2,3-дигидро-1,4-бензоксазин-4-ил)этокси]фенил]-2-феноксипропановая кислота Указанное соединение (0,13 г, 50%) получали в виде бледно-желтого гигроскопического вещества из метилового эфира (±)2-метил-3-[4-[2-(2,3-дигидро-1,4-бензоксазин-4-ил)этокси]фенил]-2-феноксипропановой кислоты (0,27 г, 0,60 ммоль), полученного в примере 56, по методике, аналогичной той, что описана в примере 26. 1H-ЯМР (CDCl3, 200 МГц): ПРИМЕР 58 (±)2-Метил-3-[4-[2-(2,3-дигидро-1,4-бензоксазин-4-ил)этокси]фенил]-2-феноксипропановая кислота, натриевая соль Указанное соединение (0,055 г, 46%) получали в виде гигроскопического бледно-желтого порошка из (±)2-метил-3-[4-[2-(2,3-дигидро-1,4-бензоксазин-4-ил)этокси]фенил]-2-феноксипропановой кислоты (0,13 г, 0,28 ммоль), полученной в примере 57, по методике, аналогичной той, что описана в примере 27. 1Н-ЯМР (CDCl3, 200 МГц): ПРИМЕР 59 (±)2-Метил-3-[4-[2-(2,3-дигидро-1,4-бензотиазин-4-ил)этокси]фенил]-2-феноксипропановая кислота, метиловый эфир Указанное соединение (0,96 г, 93%) получали в виде бледно-желтой жидкости из метилового эфира (±)3-[4-[2-(2,3-дигидро-1,4-бензотиазин-4-ил)этокси]фенил]-2-феноксипропановой кислоты (1,0 г, 2,22 ммоль), полученного в примере 21, по методике, аналогичной той, что описана в примере 7. 1Н-ЯМР (CDCl3, 200 МГц): ПРИМЕР 60 (±)2-Метил-3-[4-[2-(2,3-дигидро-1,4-бензотиазин-4-ил)этокси]фенил]-2-феноксипропановая кислота Указанное соединение (0,6 г, 65%) получали в виде вязкой жидкости из метилового эфира (±)2-метил-3-[4-[2-(2,3-дигидро-1,4-бензотиазин-4-ил)этокси]фенил]-2-феноксипропановой кислоты (0,96 г, 2,00 ммоль), полученного в примере 59, по методике, аналогичной той, что описана в примере 26. 1Н-ЯМР (CDCl3, 200 МГц): ПРИМЕР 61 (±)3-[4-[2-(2,3-Дигидро-1,4-бензотиазин-4-ил)этокси]фенил]-2-этоксипропановая кислота, 4-нитрофениловый эфир Указанное соединение (0,15 г, 38%) получали в виде желтой жидкости из (±)3-[4-[2-(2,3-дигидро-1,4-бензотиазин-4-ил)этокси]фенил]-2-этоксипропановой кислоты (0,3 г, 0,77 ммоль), полученной в примере 29, и 4-нитрофенола по методике, аналогичной той, что описана в примере 32. 1H-ЯМР (CDCl3, 200 МГц): ПРИМЕР 62 (±)3-[4-(4-Бензил-3,4-дигидро-1,4-бензоксазин-2-ил)метоксифенил]-2-этоксипропановая кислота Указанное соединение (0,4 г, 57%) получали в виде вязкой жидкости из метилового эфира (±)3-[4-(4-бензил-3,4-дигидро-1,4-бензоксазин-2-ил)метоксифенил]-2-этоксипропановой кислоты (0,8 г, 2,16 ммоль), полученного в примере 25, по методике, аналогичной той, что описана в примере 26. 1Н-ЯМР (CDCl3, 200 МГц): ПРИМЕР 63 (±)3-[4-(4-Бензил-3,4-дигидро-1,4-бензоксазин-2-ил)метоксифенил]-2-этоксипропановая кислота, натриевая соль Указанное соединение (0,15 г, 75%) получали в виде бесцветного гигроскопического вещества из (±)3-[4-(4-бензил-3,4-дигидро-1,4-бензоксазин-2-ил)метоксифенил]-2-этоксипропановой кислоты (0,2 г, 0,44 ммоль), полученной в примере 62, по методике, аналогичной той, что описана в примере 27. 1Н-ЯМР (DMSO-d6, 200 МГц): ПРИМЕР 64 (±)3-[4-(4-Бензил-3,4-дигидро-1,4-бензоксазин-2-ил)метоксифенил]-2-этоксипропановая кислота, 4-нитрофениловый эфир Указанное соединение (0,6 г, 100%) получали в виде темно-коричневой жидкости из (±)3-[4-(4-бензил-3,4-дигидро-1,4-бензоксазин-4-ил)метоксифенил]-2-этоксипропановой кислоты (0,5 г, 1,34 ммоль), полученной в примере 62, и 4-нитрофенола по методике, аналогичной той, что описана в примере 32. 1H-ЯМР (CDCl3, 200 МГц): ПРИМЕР 65 (-)2-Этокси-3-[4-[2-(2,3-дигидро-1,4-бензотиазин-4-ил)этокси]фенил]пропановая кислота, этиловый эфир Этиловый эфир (-)2-этокси-3-(4-гидроксифенил)пропановой кислоты (0,5 г, 2,1 ммоль) растворяли в безводном N,N-диметилформамиде (0,8 мл) и с перемешиванием добавляли безводный карбонат калия (1,16 г, 8,4 ммоль), перемешивали 20 минут примерно при 25°С и добавляли мезилат 2,3-дигидро-1,4-бензотиазин-1-этанола (0,57 г, 2,1 ммоль) в 4 мл безводного DMF. Реакционную смесь перемешивали примерно при 60°С в течение 18 часов, охлаждали до 25°С и фильтровали. Фильтрат разбавляли этилацетатом (100 мл) и промывали водой (3×100 мл), сушили над безводным Na2SO4 и упаривали. Соединение очищали хроматографией на силикагеле с помощью 10% этилацетата в петролейном эфире в качестве элюента, получая указанное в заголовке соединение в виде светло-коричневого масла (0,63 г, 70%). [ 1H-ЯМР (CDCl3, 200 МГц): ПРИМЕР 66 (+)2-Этокси-3-[4-[2-(2,3-дигидро-1,4-бензотиазин-4-ил)этокси]фенил]пропановая кислота, этиловый эфир Указанное соединение (0,9 г, 76%) получали в виде светло-коричневого масла из этилового эфира (+)2-этокси-3-(4-гидроксифенил)пропановой кислоты (0,68 г, 2,8 ммоль), мезилата 2,3-дигидро-1,4-бензотиазин-1-этанола (0,78 г, 2,8 ммоль) и безводного К2СО3 (1,57 г, 11,3 ммоль) по методике, аналогичной той, что описана в примере 65. [ 1Н-ЯМР (CDCl3, 200 МГц): ПРИМЕР 67 (-)2-Этокси-3-[4-[2-(2,3-дигидро-1,4-бензотиазин-4-ил)этокси]фенил]пропановая кислота Этиловый эфир (-)2-этокси-3-[4-[2-(2,3-дигидро-1,4-бензотиазин-4-ил)этокси]фенил]пропановой кислоты (0,050 г, 0,12 ммоль), полученный в примере 65, растворяли в метаноле и с перемешиванием добавляли раствор NaOH (0,050 г в 1 мл воды) при 26°С для гидролиза эфира. Через 20 минут метанол испаряли при пониженном давлении и температуре ниже 30°С (на водяной бане), а остаток сразу же разбавляли ледяной водой (5 мл) и охлаждали примерно до 3°С (на льду). Содержимое подкисляли до рН 7,0 с помощью 0,5N HCl, тщательно промывали 0,3% этилацетатом в диэтиловом эфире (3×10 мл) и экстрагировали этилацетатом (3×10 мл). Экстракты промывали водой и насыщенным раствором NaCl, сушили над безводным Na2SO4 и испаряли растворитель при пониженном давлении и температуре ниже 30°С, получая указанное в заголовке соединение в виде бесцветной липкой массы (0,037 г, 80%). [ 1H-ЯМР (CDCl3, 200 МГц): ПРИМЕР 68 (+)2-Этокси-3-[4-[2-(2,3-дигидро-1,4-бензотиазин-4-ил)этокси]фенил]пропановая кислота Указанное соединение (0,07 г, 78%) получали в виде грязно-белой липкой массы из этилового эфира (+)2-этокси-3-[4-[2-(2,3-дигидро-1,4-бензотиазин-4-ил)этокси]фенил]пропановой кислоты (0,1 г, 0,24 ммоль), полученного в примере 66, и раствора NaOH (0,1 г, 2,4 ммоль) по методике, аналогичной той, что описана в примере 67. 1H-ЯМР (CDCl3, 200 МГц): ПРИМЕР 69 (±)3-[4-[2-(2,3-Дигидро-1,4-бензотиазин-4-ил)этокси]фенил]-2-этоксипропановая кислота, магниевая соль (±)3-[4-[2-(2,3-Дигидро-1,4-бензотиазин-4-ил)этокси]фенил]-2-этоксипропановую кислоту (100 мг, 0,258 ммоль), полученную в примере 29, растворяли в метаноле (5 мл), добавляли гидроокись магния (7,5 мг, 0,129 ммоль) и перемешивали реакционную смесь при 30°С в течение 24 часов, растворитель испаряли, а остаток промывали безводным диэтиловым эфиром, удаляя непрореагировавший исходный материал. Белый порошок высушивали при 50°С под вакуумом в течение 7 часов, получая указанное в заголовке соединение в виде белого порошка (90 мг, 88%). Т.пл. 158°С-160°С. 1Н-ЯМР (d4-MeOH): ПРИМЕР 70 (-)3-[4-[2-(2,3-Дигидро-1,4-бензотиазин-4-ил)этокси]фенил]-2-этоксипропановая кислота, натриевая соль Смесь из (-)3-[4-[2-(2,3-дигидро-1,4-бензотиазин-4-ил)этокси]фенил]-2-этоксипропановой кислоты (0,2 г, 0,51 ммоль), полученной в примере 67, и метоксида натрия (0,0279 г, 0,51 ммоль) в метаноле (4 мл) перемешивали при комнатной температуре в течение 2 часов. Метанол удаляли при пониженном давлении, а остаток обрабатывали эфиром (3×10 мл). Выпавший осадок отфильтровывали и высушивали над P2O5 под вакуумом, получая указанное в заголовке соединение в виде гигроскопического твердого вещества (0,105 г, 50%). 1H-ЯМР (DMSO-d6): ПРИМЕР 71 (-)3-[4-[2-(2,3-Дигидро-1,4-бензотиазин-4-ил)этокси]фенил]-2-этоксипропановая кислота, магниевая соль Смесь из (-)3-[4-[2-(2,3-дигидро-1,4-бензотиазин-4-ил)этокси]фенил]-2-этоксипропановой кислоты (0,320 г, 0,82 ммоль), полученной в примере 67, и гидроокиси магния (0,024 г, 0,41 ммоль) в метаноле (12 мл) кипятили с дефлегматором в течение 15 часов и охлаждали до комнатной температуры. Метанол удаляли при пониженном давлении, а осадок обрабатывали петролейным эфиром, фильтровали и высушивали над P2O5, получая указанное в заголовке соединение (0,250 г, 73%). Т.пл. 275°С-285°С. [ 1Н-ЯМР (CDCl3+CD3OD): ПРИМЕР 72 (-)3-[4-[2-(2,3-Дигидро-1,4-бензотиазин-4-ил)этокси]фенил]-2-этоксипропановая кислота, аргининовая соль L-Аргинин (0,072 г, 0,4 ммоль) растворяли в воде (0,360 мл) и вносили в раствор (-)3-[4-[2-(2,3-дигидро-1,4-бензотиазин-4-ил)этокси]фенил]-2-этоксипропановой кислоты (0,180 г, 0,46 ммоль), полученной в примере 67, в этаноле (4 мл) при 50°С, охлаждали до комнатной температуры и перемешивали в течение 10 часов. Растворитель удаляли при пониженном давлении, а остаточную воду удаляли азеотропно с помощью толуола. Остаток высушивали под вакуумом, получая указанное в заголовке соединение (0,175 г, 99,5%). Т.пл. 115-125°С. [ 1H-ЯМР (CD3OD): ПРИМЕР 73 3-[4-[2-(2,3-Дигидро-1,4-бензоксазин-4-ил)этокси]фенил]-2-этоксипропановая кислота, аргининовая соль L-Аргинин (0,152 г, 0,87 ммоль) растворяли в воде (0,7 мл) и вносили в раствор 3-[4-[2-(2,3-дигидро-1,4-бензоксазин-4-ил)этокси]фенил]-2-этоксипропановой кислоты (0,360 г, 0,97 ммоль), полученной в примере 26, в этаноле (9 мл) при 50°С, охлаждали до комнатной температуры и перемешивали в течение 10 часов. Растворитель удаляли при пониженном давлении, а остаточную воду удаляли азеотропно с помощью толуола. Остаток высушивали под вакуумом, получая указанное в заголовке соединение (0,3 г, 56%). Т.пл. 180°С-190°С. 1H-ЯМР (CD3OD): ПРИМЕР 74 (-)2-Этокси-3-[4-[2-(2,3-дигидро-1,4-бензоксазин-4-ил)этокси]фенил]пропановая кислота, этиловый эфир В смесь, состоящую из метансульфоната 2,3-дигидро-1,4-бензоксазин-1-этанола (27,0 г, 0,15 ммоль), карбоната калия (58,0 г, 0,420 ммоль) и этилового эфира (-)2-этокси-3-(4-гидроксифенил)пропановой кислоты (25,0 г, 0,105 ммоль), добавляли безводный N,N-диметилформамид (800 мл) при 25°С и нагревали при 60°С в течение 16 часов. По завершении реакции смесь фильтровали, промывали DMF, разбавляли водой и экстрагировали этилацетатом. Органический слой тщательно промывали водой и насыщенным раствором NaCl, сушили над безводным Na2SO4 и упаривали при пониженном давлении. Сырой продукт очищали хроматографией на силикагеле с помощью 5% этилацетата в петролейном эфире в качестве элюента, получая указанное в заголовке соединение в виде коричневой жидкости (18,2 г, 44%). [ 1Н-ЯМР (CDCl3): ПРИМЕР 75 (-)2-Этокси-3-[4-[2-(2,3-дигидро-1,4-бензоксазин-4-ил)этокси]фенил]пропановая кислота Этиловый эфир (-)2-этокси-3-[4-[2-(2,3-дигидро-1,4-бензоксазин-4-ил)этокси]фенил]пропановой кислоты (17,0 г, 0,0426 ммоль), полученный в примере 74, растворяли в метаноле (500 мл), добавляли 10% раствор NaOH (135 мл) при 25°С и перемешивали в течение 30 минут. Метанол испаряли при пониженном давлении и 20°С (на водяной бане), а остаток сразу же разбавляли ледяной водой. Водный слой промывали диэтиловым эфиром, подкисляли с помощью 2N HCl и экстрагировали этилацетатом. Органический слой тщательно промывали водой и насыщенным раствором NaCl, сушили над Na2SO4 и испаряли растворитель при пониженном давлении при 25°С, получая указанное в заголовке соединение в виде густой светло-коричневой жидкости (14,1 г, 89%). [ 1Н-ЯМР (CDCl3): ПРИМЕР 76 (-)3-[4-[2-(2,3-Дигидро-1,4-бензоксазин-4-ил)этокси]фенил]-2-этоксипропановая кислота, магниевая соль (-)3-[4-[2-(2,3-дигидро-1,4-бензоксазин-4-ил)этокси]фенил]-2-этоксипропановую кислоту (14,0 г, 0,0377 ммоль), полученную в примере 75, растворяли в безводном метаноле (12 мл) и добавляли гидроокись магния (1,10 г, 0,0188 ммоль) в атмосфере азота при 25°С, а затем кипятили с дефлегматором в течение 18 часов. Растворитель испаряли при пониженном давлении, а остаток тщательно обрабатывали безводным диэтиловым эфиром и высушивали под сильным вакуумом при 65°С (на масляной бане) в течение 30 минут, получая указанное в заголовке соединение в виде белого твердого вещества (12,2 г, 83%). Т.пл. 255°С-260°С. [ 1Н-ЯМР (CDCl3+CD3OD): ПРИМЕР 77 (-)3-[4-[2-(2,3-Дигидро-1,4-бензоксазин-4-ил)этокси]фенил]-2-этоксипропановая кислота, аргининовая соль L-Аргинин (6,16 г, 0,0354 ммоль) растворяли в воде (20 мл) и с перемешиванием вносили в раствор (-)3-[4-[2-(2,3-дигидро-1,4-бензоксазин-4-ил)этокси]фенил]-2-этоксипропановой кислоты (19,6 г, 0,0395 ммоль), полученной в примере 75, в этаноле (300 мл) при 50°С, охлаждали до комнатной температуры и перемешивали в течение 15 часов. Растворитель удаляли азеотропно с помощью толуола, а остаток обрабатывали безводным диэтиловым эфиром, фильтровали и высушивали под вакуумом над CaCl2 в течение ночи, получая указанное в заголовке соединение в виде белого порошка (16,2 г, 76%). Т.пл. 184-186°С. [ 1Н-ЯМР (CD3OD): Соединения настоящего изобретения уменьшали уровень сахара в крови, триглицериды, общий холестерин, ЛНП, ЛОНП и повышали ЛВП. Это было показано в опытах на животных как in vitro, так и in vivo. Данные об эффективности соединений A) In vitro а) Определение активности hPPAR Лиганд-связывающий домен hPPAR б) Определение активности hPPAR Лиганд-связывающий домен hPPAR в) Определение ингибирования HMG:CoA редуктазной активности Содержащие редуктазу микросомы печени выделяли из крыс, получавших корм с добавлением 2% холестирамина, в середине темного цикла. Спектрофотометрические определения проводили в 100 мМ КН2РО4, 4 мМ DTT, 0,2 мМ NADPH, 0,3 мМ HMG-CoA и 125 мкг фермента микросом печени. Общий объем реакционной смеси равнялся 1 мл. Реакцию инициировали добавлением HMG-CoA. Реакцию проводили при 37°С в течение 30 минут, отмечая снижение поглощения при 340 нм. Холостая проба содержала реакционную смесь без субстрата (Goldstein J.L. and Brown M.S. Progress in understanding the LDL receptor and HMG CoA reductase, two membrane proteins that regulate the plasma cholesterol. J.Lipid Res. 1984, 25: 1450-1461). Исследуемые соединения ингибировали фермент HMG:CoA редуктазу. Б) In vivo а) Эффективность на генетических моделях Мутации в колониях лабораторных животных и отличия в чувствительности к пищевым режимам сделали возможным разработку животных моделей независимого от инсулина диабета и гиперлипидемии, которые сопровождаются ожирением и устойчивостью к инсулину. Такие генетические модели, как линии мышей db/db и ob/ob (Diabetes, (1982) 31(1): 1-6) и крыс Zucker fa/fa, были разработаны в различных лабораториях для понимания патофизиологии заболевания и проверки эффективности новых соединений против диабета (Diabetes, (1983) 32: 830-838; Annu. Rep. Sankyo Res. Lab. (1994) 46: 1-57). Гомозиготные мыши линии С57 BL/KsJ-db/db, разработанной в США фирмой Jackson Laboratory, страдают ожирением, гипергликемией и устойчивы к инсулину (J. Clin. Invest., (1990) 85: 962-967), тогда как гетерозиготные мыши худые и нормогликемичны. В модели db/db у мышей с возрастом постепенно развивается инсулинопения, что обычно наблюдается у людей на поздних стадиях диабета II типа, когда уровень сахара в крови плохо поддается контролю. Состояние поджелудочной железы и его изменения варьируют в засисимости от модели. Поскольку эта модель близка к сахарному диабету II типа, на ней испытывали соединения настоящего изобретения на предмет снижения уровня сахара и триглицеридов в крови. В опытах использовали самцов мышей линии С57 BL/KsJ-db/db в возрасте от 8 до 14 недель весом от 35 до 60 г, которых разводили в питомнике Dr. Reddy’s Research Foundation (DRF). Мыши получали стандартный корм (National Institute of Nutrition (NIN), Хайдерабад, Индия) и подкисленную воду ad libitum. Для тестирования использовали животных с уровнем сахара в крови более 350 мг/дл. Каждая группа состояла из 4 мышей. Исследуемые соединения суспендировали в 0,25%-ном растворе карбоксиметилцеллюлозы и вводили опытной группе в дозах от 0,1 до 30 мг/кг в рот путем гаважа ежедневно на протяжении 6 дней. Контрольной группе вводили носитель (10 мл/кг). На 6-й день брали образцы крови через 1 час после введения соединений или носителя для оценки биологической активности. Образцы крови (100 мкл) для измерения уровней сахара и триглицеридов отбирали в пробирки, содержащие ЭДТА, через орбитальный синус с помощью гепаринизованного капилляра, а затем центрифугировали для получения плазмы. Уровни глюкозы и триглицеридов в плазме измеряли спектрофотометрически с помощью наборов, содержащих ферменты глюкозооксидазу и глицерин-3-PO4-оксидазу/пероксидазу, соответственно (Dr. Reddy’s Lab. Diagnostic Division Kits, Хайдерабад, Индия). Степени снижения уровней сахара и триглицеридов в крови исследуемыми соединениями расчитывали по формуле. При тестировании не наблюдалось побочных эффектов от указанных соединений настоящего изобретения.
Мыши линии ob/ob были получены в 5-недельном возрасте от фирмы Bomholtgard (Дания) и использовались в возрасте 8 недель. Крысы с ожирением линии Zucker fa/fa были получены от фирмы IffaCredo (Франция) в 10-недельном возрасте и использовались в возрасте 13 недель. Животных содержали на 12-часовом цикле день/ночь при 25±1°С. Животным давали стандартный лабораторный корм (NIN, Хайдерабад, Индия) и воду ad libitum (Fujiwara Т., Yoshioka S., Yoshioka Т., Ushiyama J. and Horikoshi H. Characterization of new oral antidiabetic agent CS-045. Studies in KK and ob/ob mice and Zucker fatty rats. Diabetes. 1988. 37: 1549-1559). Исследуемые соединения вводили в дозах от 0,1 до 30 мг/кг/день на протяжении 6 дней. Контрольным животным вводили носитель (0,25%-ный раствор карбоксиметилцеллюлозы, 10 мл/кг) в рот путем гаважа. Образцы крови брали в сытом состоянии через 1 час после введения соединений на 0-й и 9-й день. Кровь собирали в пробирки, содержащие ЭДТА, из ретроорбитального синуса с помощью гепаринизованного капилляра. После центрифугирования отбирали образцы плазмы для анализа на триглицериды, глюкозу, свободные жирные кислоты, общий холестерин и инсулин. Триглицериды, глюкозу, общий холестерин измеряли с помощью коммерческих наборов (Dr. Reddy’s Laboratory, Diagnostic Division, Хайдарабад, Индия). Уровень свободных жирных кислот измеряли с помощью коммерческого набора фирмы Boehringer (Германия). Уровень инсулина измеряли с помощью набора RIA фирмы BARC (Индия). Степень снижения различных параметров при анализах расчитывали по приведенной ниже формуле. У мышей ob/ob проводили тест на толерантность к глюкозе после 9 дней приема препаратов. Мышей держали голодными в течение 5 часов, а затем вводили глюкозу в дозе 3 г/кг перорально. Через 0, 15, 30, 60 и 120 минут брали образцы крови для определения уровня глюкозы. Полученные на мышах db/db и ob/ob и крысах Zucker fa/fa результаты свидетельствуют, что новые соединения настоящего изобретения обладают терапевтическим потенциалом в качестве средств для профилактики или лечения диабета, ожирения, сердечно-сосудистых нарушений, таких как гипертензия, гиперлипидемия и других заболеваний, поскольку из литературы известно, что такие заболевания связаны друг с другом. Уровни глюкозы и триглицеридов в крови также снижались при дозах более 10 мг/кг. Обычно степень снижения зависит от дозы и выходит на плато при определенной дозе. б) Снижение триглицеридов и холестерина в крови на моделях гиперхолестеринемии у крыс Самцов крыс Sprague Dawley (породы NIN) разводили в питомнике DRF. Животных содержали на 12-часовом цикле день/ночь при 25±1°С. В опытах использовали крыс весом 180-200 г. Гиперхолестеринемию у животных вызывали добавлением 2% холестерина и 1% холата натрия в стандартный лабораторный корм (National Institute of Nutrition (NIN), Хайдерабад, Индия) на протяжении 6 дней. На всем протяжении экспериментов животных содержали на одной и той же диете (Petit D., Bonnefis M.T., Rey С. and Infante R.Effects of ciprofibrate on liver lipids and lipoprotein synthesis in normo- and hyperlipidemic rats. Atherosclerosis. 1988. 74: 215-225). Исследуемые соединения вводили перорально в дозах от 0,1 до 30 мг/кг/день на протяжении 3 дней. Контрольной группе вводили только носитель (0,25%-ный раствор карбоксиметилцеллюлозы, 10 мл/кг). Образцы крови брали в сытом состоянии через 1 час после введения соединений на 0-й и 3-й день. Кровь собирали в пробирки, содержащие ЭДТА, из ретроорбитального синуса с помощью гепаринизованного капилляра. После центрифугирования отбирали образцы плазмы для анализа на общий холестерин, ЛВП и триглицериды. Триглицериды, общий холестерин и ЛВП определяли с помощью коммерческих наборов (Dr.Reddy’s Laboratory, Diagnostic Division, Индия). Холестерин ЛНП и ЛОНП расчитывали из результатов определения общего холестерина, ЛВП и триглицеридов. Степень снижения различных параметров при анализах расчитывали по формуле.
в) Снижение триглицеридов и общего холестерина в крови у мышей-альбиносов Swiss и морских свинок Самцов мышей-альбиносов Swiss (SAM) и самцов морских свинок получали из NIN и содержали в питомнике DRF. Всех этих животных содержали на 12-часовом цикле день/ночь при 25±1°С. Животные получали стандартный лабораторный корм (NIN, Хайдерабад, Индия) и воду ad libitum. Использовали SAM весом 20-25 г и морских свинок весом 500-700 г (Oliver P., PIancke M.O., Marzin D., Clavey V., Sauzieres J. and Fruchart J.C. Effects of fenofibrate, gemfibrozil and nicotinic acid on plasma lipoprotein levels in normal and hyperlipidemic mice. Atherosclerosis. 1988. 70: 107-114). Исследуемые соединения вводили мышам-альбиносам Swiss перорально в дозах от 0,3 до 30 мг/кг/день на протяжении 6 дней. Контрольным мышам вводили носитель (0,25%-ный раствор карбоксиметилцеллюлозы, 10 мл/кг). Морским свинкам исследуемые соединения вводили перорально в дозах от 0,3 до 30 мг/кг/день на протяжении 6 дней. Контрольным животным вводили носитель (0,25%-ный раствор карбоксиметилцеллюлозы, 5 мл/кг). Образцы крови брали в сытом состоянии через 1 час после введения соединений на 0-й и 6-й день. Кровь собирали в пробирки, содержащие ЭДТА, из ретроорбитального синуса с помощью гепаринизованного капилляра. После центрифугирования отбирали образцы плазмы для анализа на триглицериды и общий холестерин (Wieland О. Methods of Enzymatic Analysis. Bergmeyer H.О., Ed., 1963. 211-214; Trinder P. Ann. Clin. Biochem. 1969. 6: 24-27). Триглицериды, общий холестерин и ЛВП определяли с помощью коммерческих наборов (Dr. Reddy’s Diagnostic Division, Хайдерабад, Индия).
в) Снижение веса тела у хомячков, получавших холестерин Самцов сирийских хомячков получали из NIN (Хайдерабад, Индия). Животных содержали в питомнике DRF на 12-часовом цикле день/ночь при 25±1°С и они имели свободный доступ к пище и воде. Животные получали стандартный лабораторный корм, содержащий 1% холестерина (NIN), начиная с первого дня эксперимента. Исследуемые соединения вводили перорально в дозах от 1 до 30 мг/кг/день на протяжении 15 дней. Животным контрольной группы вводили носитель (деионизованную воду Mill Q., 10 мл/кг/день). Животных взвешивали через каждые 3 дня.
Формулы для расчетов 1. Процент снижения сахара/триглицеридов/общего холестерина в крови расчитывали по формуле: где ОС – значение в контрольной группе в день 0, ОТ – значение в опытной группе в день 0, ТС – значение в контрольной группе в день анализа, ТТ – значение в опытной группе в день анализа. 2. Уровни холестерина ЛНП и ЛОНП расчитывали по формулам:
Формула изобретения
1. Замещенное бициклическое гетероциклическое соединение формулы (I) его таутомерные формы, стереоизомеры, полиморфные формы, фармацевтически приемлемые соли, фармацевтически приемлемые сольваты, где группы R1, R2, R3, R4 и группы R5 и R6, когда они связаны с атомами углерода, представляют собой водород, галоген, гидрокси, алкил, алкокси; R5 и R6, один или оба, также могут представлять собой оксогруппу, когда они связаны с атомом углерода; когда R5 и R6 связаны с атомом азота, они представляют собой водород, гидрокси или незамещенную группу, выбранную из алкила, алкокси, аралкила; Х означает гетероатом, выбранный из кислорода или серы; Ar означает незамещенный двухвалентный фенилен, нафтилен или бензофурил; R7 означает атом водорода, алкокси, низший алкил или образует связь с соседней группой R8; R8 означает водород, низший алкил, незамещенный или замещенный аралкил, или образует связь с R7; R9 означает водород или незамещенную группу, выбранную из алкила, арила; R10 означает водород или незамещенную группу, выбранную из алкила, арила; Y означает кислород или NR12, где R12 означает водород, алкил; n – целое число от 1 до 4; m – целое число 1. 2. Способ получения соединения формулы (I) его таутомерных форм, стереоизомеров, полиморфных форм, фармацевтически приемлемых солей, фармацевтически приемлемых сольватов, где группы R1, R2, R3, R4 и группы R5 и R6, когда они связаны с атомами углерода, представляют собой водород, галоген, гидрокси, алкил, алкокси; R5 и R6, один или оба, также могут представлять собой оксогруппу, когда они связаны с атомом углерода; когда R5 и R6 связаны с атомом азота, они представляют собой водород, гидрокси или незамещенную группу, выбранную из алкила, алкокси, аралкила; Х означает гетероатом, выбранный из кислорода или серы; Ar означает незамещенный двухвалентный фенилен, нафтилен или бензофурил; R7 образует связь с соседней группой R8; R9 означает водород или незамещенную группу, выбранную из алкила, арила; R10 означает водород или незамещенную группу, выбранную из алкила, арила; Y означает кислород; n – целое число от 1 до 4; m – целое число 1, включающий реакцию соединения формулы (IIIa) где R1, R2, R3, R4, R5, R6, Ar, X, n и m имеют вышеуказанные значения, с соединением формулы (IIIb) где R9 и R10 имеют определенные выше значения; R14 означает (С1-С6)алкил; с получением вышеопределенного соединения формулы (I), и, необязательно, превращение соединения формулы (I) в фармацевтически приемлемую соль или фармацевтически приемлемый сольват. 3. Способ получения соединения формулы (I) его таутомерных форм, стереоизомеров, полиморфных форм, фармацевтически приемлемых солей, фармацевтически приемлемых сольватов, где группы R1, R2, R3, R4 и группы R5 и R6, когда они связаны с атомами углерода, представляют собой водород, галоген, гидрокси, алкил, алкокси; R5 и R6, один или оба, также могут представлять собой оксогруппу, когда они связаны с атомом углерода; когда R5 и R6 связаны с атомом азота, они представляют собой водород, гидрокси или незамещенную группу, выбранную из алкила, алкокси, аралкила; Х означает гетероатом, выбранный из кислорода или серы; Ar означает незамещенный двухвалентный фенилен, нафтилен или бензофурил; R7 образует связь с соседней группой R8; R9 означает водород или незамещенную группу, выбранную из алкила, арила; R10 означает водород или незамещенную группу, выбранную из алкила, арила; Y означает кислород; n – целое число от 1 до 4; m – целое число 1, включающий реакцию соединения формулы (IIIa) где R1, R2, R3, R4, R5, R6, Ar, X, n и m имеют вышеуказанные значения, с реактивом Виттига с получением вышеопределенного соединения формулы (I) и, необязательно, превращение соединения формулы (I) в фармацевтически приемлемую соль или фармацевтически приемлемый сольват. 4. Способ получения соединения формулы (I) его таутомерных форм, стереоизомеров, полиморфных форм, фармацевтически приемлемых солей, фармацевтически приемлемых сольватов, где группы R1, R2, R3, R4 и группы R5 и R6, когда они связаны с атомами углерода, представляют собой водород, галоген, гидрокси, алкил, алкокси; R5 и R6, один или оба, также могут представлять собой оксогруппу, когда они связаны с атомом углерода; когда R5 и R6 связаны с атомом азота, они представляют собой водород, гидрокси или незамещенную группу, выбранную из алкила, алкокси, аралкила; Х означает гетероатом, выбранный из кислорода или серы; Ar означает незамещенный двухвалентный фенилен, нафтилен или бензофурил; R7 образует связь с соседней группой R8; R9 означает водород или незамещенную группу, выбранную из алкила, арила; R10 означает водород или незамещенную группу, выбранную из алкила, арила; Y означает кислород; n – целое число от 1 до 4; m – целое число 1, включающий реакцию соединения формулы (IIIh) где R1, R2, R3, R4, R5, R6, Х и п имеют вышеуказанные значения; L1 означает уходящую группу с соединением формулы (IIIi) где R7, R8, R9 и R10 имеют вышеуказанные значения; с получением вышеопределенного соединения формулы (I); и, необязательно, превращение соединения формулы (I) в фармацевтически приемлемую соль или фармацевтически приемлемый сольват. 5. Способ получения соединения формулы (I) его таутомерных форм, стереоизомеров, полиморфных форм, фармацевтически приемлемых солей, фармацевтически приемлемых сольватов, где группы R1, R2, R3, R4 и группы R5 и R6, когда они связаны с атомами углерода, представляют собой водород, галоген, гидрокси, алкил, алкокси; R5 и R6, один или оба, также могут представлять собой оксогруппу, когда они связаны с атомом углерода; когда R5 и R6 связаны с атомом азота, они представляют собой водород, гидрокси или незамещенную группу, выбранную из алкила, алкокси, аралкила; Х означает гетероатом, выбранный из кислорода или серы; Ar означает незамещенный двухвалентный фенилен, нафтилен или бензофурил; R7 образует связь с соседней группой R8; R9 означает водород или незамещенную группу, выбранную из алкила, арила; R10 означает водород или незамещенную группу, выбранную из алкила, арила; Y означает кислород; n – целое число от 1 до 4; m – целое число 1, включающий реакцию соединения формулы (IIIj) где R1, R2, R3, R4, R5, R6, X, n имеют вышеуказанные значения, с соединением формулы (IIIi) где R7 и R8 вместе образуют химическую связь; R9, R10 и Ar имеют определенные выше значения; с получением вышеопределенного соединения формулы (I), и, необязательно, превращение соединения формулы (I) в фармацевтически приемлемую соль или фармацевтически приемлемый сольват. 6. Способ получения соединения формулы (I) его таутомерных форм, стереоизомеров, полиморфных форм, фармацевтически приемлемых солей, фармацевтически приемлемых сольватов, где группы R1, R2, R3, R4 и группы R5 и R6, когда они связаны с атомами углерода, представляют собой водород, галоген, гидрокси, алкил, алкокси; R5 и R6, один или оба, также могут представлять собой оксогруппу, когда они связаны с атомом углерода; когда R5 и R6 связаны с атомом азота, они представляют собой водород, гидрокси или незамещенную группу, выбранную из алкила, алкокси, аралкила; Х означает гетероатом, выбранный из кислорода или серы; Ar означает незамещенный двухвалентный фенилен, нафтилен или бензофурил; R7 и R8 каждый означает водород, R9 означает водород или незамещенную группу, выбранную из алкила, арила; R10 означает водород или незамещенную группу, выбранную из алкила, арила; Y означает кислород; n – целое число от 1 до 4; m – целое число 1, включающий восстановление соединения формулы (IVa) где R1, R2, R3, R4, R5, R6, R9, R10, Ar, X, n и m имеют вышеуказанные значения, с получением вышеопределенного соединения формулы (I) и, необязательно, разделение полученного соединения формулы (I) на его стереоизомеры, и, необязательно, превращение полученного соединения формулы (I) или его стереоизомеров в фармацевтически приемлемую соль или фармацевтически приемлемый сольват. 7. Способ получения соединения формулы (I) его таутомерных форм, стереоизомеров, полиморфных форм, фармацевтически приемлемых солей, фармацевтически приемлемых сольватов, где группы R1, R2, R3, R4 и группы R5 и R6, когда они связаны с атомами углерода, представляют собой водород, галоген, гидрокси, алкил, алкокси; R5 и R6, один или оба, также могут представлять собой оксогруппу, когда они связаны с атомом углерода; когда R5 и R6 связаны с атомом азота, они представляют собой водород, гидрокси или незамещенную группу, выбранную из алкила, алкокси, аралкила; Х означает гетероатом, выбранный из кислорода или серы; Ar означает незамещенный двухвалентный фенилен, нафтилен или бензофурил; R7 означает водород, алкокси, низший алкил; R8 означает водород, низший алкил, незамещенный или замещенный аралкил; R9 означает водород или незамещенную группу, выбранную из алкила, арила; R10 означает водород или незамещенную группу, выбранную из алкила, арила; Y означает кислород; n – целое число от 1 до 4; m – целое число 1, включающий реакцию соединения формулы (IIIh) где R1, R2, R3, R4, R5, R6, Х и n имеют вышеуказанные значения, L1 означает удаляемую группу с соединением формулы (IIIi) где R7, R8, R9, R10 и Ar имеют определенные выше значения, с получением вышеопределенного соединения формулы (I) и, необязательно, разделение полученного соединения формулы (I) на его стереоизомеры, и, необязательно, превращение соединения формулы (I) или его стереоизомеров в фармацевтически приемлемую соль или фармацевтически приемлемый сольват. 8. Способ получения соединения формулы (I) его таутомерных форм, стереоизомеров, полиморфных форм, фармацевтически приемлемых солей, фармацевтически приемлемых сольватов, где группы R1, R2, R3, R4 и группы R5 и R6, когда они связаны с атомами углерода, представляют собой водород, галоген, гидрокси, алкил, алкокси; R5 и R6, один или оба, также могут представлять собой оксогруппу, когда они связаны с атомом углерода; когда R5 и R6 связаны с атомом азота, они представляют собой водород, гидрокси или незамещенную группу, выбранную из алкила, алкокси, аралкила; Х означает гетероатом, выбранный из кислорода или серы; Ar означает незамещенный двухвалентный фенилен, нафтилен или бензофурил; R7 означает водород, алкокси, низший алкил; R8 означает водород, низший алкил, замещенный или незамещенный аралкил; R9 означает водород или незамещенную группу, выбранную из алкила, арила; R10 означает водород или незамещенную группу, выбранную из алкила, арила; Y означает кислород; n – целое число от 1 до 4; m – целое число 1, включающий реакцию соединения формулы (IIIj) где R1, R2, R3, R4, R5, R6, X, n имеют вышеуказанные значения, с соединением формулы (IIIi) где R7, R8, R9, R10 и Ar имеют определенные выше значения, с получением вышеопределенного соединения формулы (I), и, необязательно, разделение соединения формулы (I) на его стереоизомеры, и, необязательно, превращение соединения формулы (I) или его стереоизомеров в фармацевтически приемлемую соль или фармацевтически приемлемый сольват. 9. Способ получения соединения формулы (I) его таутомерных форм, стереоизомеров, полиморфных форм, фармацевтически приемлемых солей, фармацевтически приемлемых сольватов, где группы R1, R2, R3, R4 и группы R5 и R6, когда они связаны с атомами углерода, представляют собой водород, галоген, гидрокси, алкил, алкокси; R5 и R6, один или оба, также могут представлять собой оксогруппу, когда они связаны с атомом углерода; когда R5 и R6 связаны с атомом азота, они представляют собой водород, гидрокси или незамещенную группу, выбранную из алкила, алкокси, аралкила; Х означает гетероатом, выбранный из кислорода или серы; Ar означает незамещенный двухвалентный фенилен, нафтилен или бензофурил; R7 означает водород, алкокси, низший алкил; R8 означает водород, низший алкил, замещенный или незамещенный аралкил; R9 означает водород или незамещенную группу, выбранную из алкила, арила; R10 означает водород или незамещенную группу, выбранную из алкила, арила; Y означает кислород; n – целое число от 1 до 4; m – целое число 1, включающий реакцию соединения формулы (IVd) где R1, R2, R3, R4, R5, R6, R7, R8, R10, Ar, X, n и m имеют вышеопределенные значения, с соединением формулы (IIVe) где R9 означает водород или незамещенную группу, выбранную из алкила или арила; L2 означает галоген; с получением вышеопределенного соединения формулы (I), и необязательно разделение соединения формулы (I) на его стереоизомеры, и, необязательно, превращение соединения формулы (I) или его стереоизомеров в фармацевтически приемлемую соль или фармацевтически приемлемый сольват. 10. Способ получения соединения формулы (I) его таутомерных форм, стереоизомеров, полиморфных форм, фармацевтически приемлемых солей, фармацевтически приемлемых сольватов, где группы R1, R2, R3, R4 и группы R5 и R6, когда они связаны с атомами углерода, представляют собой водород, галоген, гидрокси, алкил, алкокси; R5 и R6, один или оба, также могут представлять собой оксогруппу, когда они связаны с атомом углерода; когда R5 и R6 связаны с атомом азота, они представляют собой водород, гидрокси или незамещенную группу, выбранную из алкила, алкокси, аралкила; Х означает гетероатом, выбранный из кислорода или серы; Ar означает незамещенный двухвалентный фенилен, нафтилен или бензофурил; R7 означает атом водорода, алкокси, низший алкил или образует связь с соседней группой R8; R8 означает водород, низший алкил, незамещенный или замещенный аралкил или образует связь с R7; R9 означает водород или незамещенную группу, выбранную из алкила, арила; R10 означает водород или незамещенную группу, выбранную из алкила, арила; Y означает NR12, где R12 означает водород, алкил; n – целое число от 1 до 4; m – целое число 1, включающий реакцию соединения формулы (I) где R1, R2, R3, R4, R5, R6, R7, R8, R9, Ar, X, n и m имеют вышеуказанные значения; Y означает кислород, YR10 означает галоген, или COYR10 представляет собой смешанный ангидрид, с соответствующим амином формулы NHR10R12, где R10 и R12 имеют вышеопределенные значения и, необязательно, разделение полученного соединения формулы (I) на стереоизомеры, и, необязательно, превращение полученного соединения формулы (I) или его стереоизомеров в фармацевтически приемлемую соль или фармацевтически приемлемый сольват. 11. Замещенное бициклическое гетероциклическое соединение формулы (I) его таутомерные формы, стереоизомеры, полиморфные формы, фармацевтически приемлемые соли, фармацевтически приемлемые сольваты, где группы R1, R2, R3, R4 и группы R5 и R6, когда они связаны с атомами углерода, представляют собой водород, галоген, гидрокси, алкил, алкокси; R5 и R6, один или оба, также могут представлять собой оксогруппу, когда они связаны с атомом углерода; когда R5 и R6 связаны с атомом азота, они представляют собой водород, гидрокси, или незамещенную группу, выбранную из алкила, алкокси, аралкила; Х означает гетероатом, выбранный из кислорода или серы; Ar означает незамещенный двухвалентный фенилен, нафтилен или бензофурил; R7 образует связь с группой R8; R9 означает водород или незамещенную группу, выбранную из алкила, арила; R10 означает водород или незамещенную группу, выбранную из алкила, арила; Y означает кислород; n – целое число от 1 до 4; m – целое число 1, полученное способом по любому из пп.2-5. 12. Замещенное бициклическое гетероциклическое соединение формулы (I) его таутомерные формы, стереоизомеры, полиморфные формы, фармацевтически приемлемые соли, фармацевтически приемлемые сольваты, где группы R1, R2, R3, R4 и группы R5 и R6, когда они связаны с атомами углерода, представляют собой водород, галоген, гидрокси, алкил, алкокси; R5 и R6, один или оба, также могут представлять собой оксогруппу, когда они связаны с атомом углерода; когда R5 и R6 связаны с атомом азота, они представляют собой водород, гидрокси или незамещенную группу, выбранную из алкила, алкокси, аралкила; Х означает гетероатом, выбранный из кислорода или серы; Ar означает незамещенный двухвалентный фенилен, нафтилен или бензофурил; R7 означает водород, алкокси, низший алкил; R8 означает водород, низший алкил, замещенный или незамещенный аралкил; R9 означает водород или незамещенную группу, выбранную из алкила, арила; R10 означает водород или незамещенную группу, выбранную из алкила, арила; Y означает кислород; n – целое число от 1 до 4; m – целое число 1, полученное способом по любому из пп.6-9. 13. Замещенное бициклическое гетероциклическое соединение формулы (I) его таутомерные формы, стереоизомеры, полиморфные формы, фармацевтически приемлемые соли, фармацевтически приемлемые сольваты, где группы R1, R2, R3, R4 и группы R5 и R6, когда они связаны с атомами углерода, представляют собой водород, галоген, гидрокси, алкил, алкокси; R5 и R6, один или оба, также могут представлять собой оксогруппу, когда они связаны с атомом углерода; когда R5 и R6 связаны с атомом азота, они представляют собой водород, гидрокси или незамещенную группу, выбранную из алкила, алкокси, аралкила; Х означает гетероатом, выбранный из кислорода или серы; Ar означает незамещенный двухвалентный фенилен, нафтилен или бензофурил; R7 означает атом водорода, алкокси, низший алкил или образует связь с соседней группой R8; R8 означает водород, низший алкил, незамещенный или замещенный аралкил, или образует связь с R7; R9 означает водород или незамещенную группу, выбранную из алкила, арила; R10 означает водород или незамещенную группу, выбранную из алкила, арила; Y означает NR12, где R12 означает водород, алкил; n – целое число от 1 до 4; m – целое число 1, полученное способом по п.10. 14. Соединение по п.1, выбранное из группы (Е/Z)-3-[4-[2-(2,3-дигидро-1,4-бензоксазин-4-ил)этокси]фенил]-2-этоксипропеновая кислота, этиловый эфир; (Е)-3-[4-[2-(2,3-дигидро-1,4-бензоксазин-4-ил)этокси]фенил]-2-этоксипропеновая кислота, этиловый эфир; (Z)-3-[4-[2-(2,3-дигидро-1,4-бензоксазин-4-ил)этокси]фенил]-2-этоксипропеновая кислота, этиловый эфир; (±)3-[4-[2-(2,3-дигидро-1,4-бензоксазин-4-ил)этокси]фенил]-2-этоксипропановая кислота, метиловый эфир; (+)3-[4-[2-(2,3-дигидро-1,4-бензоксазин-4-ил)этокси]фенил]-2-этоксипропановая кислота, метиловый эфир; (-)3-[4-[2-(2,3-дигидро-1,4-бензоксазин-4-ил)этокси]фенил]-2-этоксипропановая кислота, метиловый эфир; (E/Z)-3-[2-(2,3-дигидро-1,4-бензоксазин-4-ил)метилбензофуран-5-ил]-2-этоксипропеновая кислота, этиловый эфир; (Е)-3-[2-(2,3-дигидро-1,4-бензоксазин-4-ил)метилбензофуран-5-ил]-2-этоксипропеновая кислота, этиловый эфир; (Z)-3-[2-(2,3-дигидро-1,4-бензоксазин-4-ил)метилбензофуран-5-ил]-2-этоксипропеновая кислота, этиловый эфир; (E/Z)-3-[4-[2-(2,3-дигидро-1,4-бензотиазин-4-ил)этокси]фенил]-2-этоксипропеновая кислота, этиловый эфир; (Е)-3-[4-[2-(2,3-дигидро-1,4-бензотиазин-4-ил)этокси]фенил]-2-этоксипропеновая кислота, этиловый эфир; (Z)-3-[4-[2-(2,3-дигидро-1,4-бензотиазин-4-ил)этокси]фенил]-2-этоксипропеновая кислота, этиловый эфир; (±)-3-[2-(2,3-дигидро-1,4-бензоксазин-4-ил)метилбензофуран-5-ил]-2-этоксипропановая кислота, метиловый эфир; (±)3-[2-(2,3-дигидро-1,4-бензоксазин-4-ил)метилбензофуран-5-ил]-2-этоксипропановая кислота, метиловый эфир; (-)3-[2-(2,3-дигидро-1,4-бензоксазин-4-ил)метилбензофуран-5-ил]-2-этоксипропановая кислота, метиловый эфир; (±)3-[4-[2-(2,3-дигидро-1,4-бензотиазин-4-ил)этокси]фенил]-2-этоксипропановая кислота, метиловый эфир; (+)3-[4-[2-(2,3-дигидро-1,4-бензотиазин-4-ил)этокси]фенил]-2-этоксипропановая кислота, метиловый эфир; (-)3-[4-[2-(2,3-дигидро-1,4-бензотиазин-4-ил)этокси]фенил]-2-этоксипропановая кислота, метиловый эфир; (±)2-метил-3-[4-[2-(2,3-дигидро-1,4-бензоксазин-4-ил)этокси]фенил]-2-этоксипропановая кислота, метиловый эфир; (+)2-метил-3-[4-[2-(2,3-дигидро-1,4-бензоксазин-4-ил)этокси]фенил]-2-этоксипропановая кислота, метиловый эфир; (-)2-метил-3-[4-[2-(2,3-дигидро-1,4-бензоксазин-4-ил)этокси]фенил]-2-этоксипропановая кислота, метиловый эфир; (±)2-(2-фторобензил)-3-[4-[2-(2,3-дигидро-1,4-бензоксазин-4-ил)этокси]фенил]-2-этоксипропановая кислота, метиловый эфир; (+)2-(2-фторобензил)-3-[4-[2-(2,3-дигидро-1,4-бензоксазин-4-ил)этокси]фенил]-2-этоксипропановая кислота, метиловый эфир; (-)2-(2-фторобензил)-3-[4-[2-(2,3-дигидро-1,4-бензоксазин-4-ил)этокси]фенил]-2-этоксипропановая кислота, метиловый эфир; (E/Z)-3-[4-[2-(3-оксо-2Н-1,4-бензоксазин-4-ил)этокси]фенил]-2-этоксипропеновая кислота, этиловый эфир; (Е)-3-[4-[2-(3-оксо-2Н-1,4-бензоксазин-4-ил)этокси]фенил]-2-этоксипропеновая кислота, этиловый эфир; (Z)-3-[4-[2-(3-оксо-2H-1,4-бензоксазин-4-ил)этокси]фенил]-2-этоксипропеновая кислота, этиловый эфир; (±)3-[4-[2-(3-оксо-2Н-1,4-бензоксазин-4-ил)этокси]фенил]-2-этоксипропановая кислота, метиловый эфир; (+)3-[4-[2-(3-оксо-2Н-1,4-бензоксазин-4-ил)этокси]фенил]-2-этоксипропановая кислота, метиловый эфир; (-)3-[4-[2-(3-оксо-2Н-1,4-бензоксазин-4-ил)этокси]фенил]-2-этоксипропановая кислота, метиловый эфир; (Е/Z)-3-[6-[2-(2,3-дигидро-1,4-бензотиазин-4-ил)этокси]нафтил]-2-этоксипропеновая кислота, этиловый эфир; (Е)-3-[6-[2-(2,3-дигидро-1,4-бензотиазин-4-ил)этокси]нафтил]-2-этоксипропеновая кислота, этиловый эфир; (Z)-3-[6-[2-(2,3-дигидро-1,4-бензотиазин-4-ил)этокси]нафтил]-2-этоксипропеновая кислота, этиловый эфир; (±)3-[6-[2-(2,3-дигидро-1,4-бензотиазин-4-ил)этокси]нафтил]-2-этоксипропановая кислота, метиловый эфир; (+)3-[6-[2-(2,3-дигидро-1,4-бензотиазин-4-ил)этокси]нафтил]-2-этоксипропановая кислота, метиловый эфир; (-)3-[6-[2-(2,3-дигидро-1,4-бензотиазин-4-ил)этокси]нафтил]-2-этоксипропановая кислота, метиловый эфир; (±)3-[4-[2-(2,3-дигидро-1,4-бензоксазин-4-ил)этокси]фенил]-2-гидроксипропановая кислота, этиловый эфир; (+)3-[4-[2-(2,3-дигидро-1,4-бензоксазин-4-ил)этокси]фенил]-2-гидроксипропановая кислота, этиловый эфир; (-)3-[4-[2-(2,3-дигидро-1,4-бензоксазин-4-ил)этокси]фенил]-2-гидроксипропановая кислота, этиловый эфир; (±)3-[4-[2-(2,3-дигидро-1,4-бензотиазин-4-ил)этокси]фенил]-2-гидроксипропановая кислота, этиловый эфир; (+)3-[4-[2-(2,3-дигидро-1,4-бензотиазин-4-ил)этокси]фенил]-2-гидроксипропановая кислота, этиловый эфир; (-)3-[4-[2-(2,3-дигидро-1,4-бензотиазин-4-ил)этокси]фенил]-2-гидроксипропановая кислота, этиловый эфир; (±)3-[4-[2-(2,3-дигидро-1,4-бензоксазин-4-ил)этокси]фенил]-2-бензилоксипропановая кислота, этиловый эфир; (+)3-[4-[2-(2,3-дигидро-1,4-бензоксазин-4-ил)этокси]фенил]-2-бензилоксипропановая кислота, этиловый эфир; (-)3-[4-[2-(2,3-дигидро-1,4-бензоксазин-4-ил)этокси]фенил]-2-бензилоксипропановая кислота, этиловый эфир; (±)3-[4-[2-(2,3-дигидро-1,4-бензоксазин-4-ил)этокси]фенил]-2-бутоксипропановая кислота, этиловый эфир; (+)3-[4-[2-(2,3-дигидро-1,4-бензоксазин-4-ил)этокси]фенил]-2-бутоксипропановая кислота, этиловый эфир; (-)3-[4-[2-(2,3-дигидро-1,4-бензоксазин-4-ил)этокси]фенил]-2-бутоксипропановая кислота, этиловый эфир; (±)3-[4-[2-(2,3-дигидро-1,4-бензоксазин-4-ил)этокси]фенил]-2-гексилоксипропановая кислота, этиловый эфир; (+)3-[4-[2-(2,3-дигидро-1,4-бензоксазин-4-ил)этокси]фенил]-2-гексилоксипропановая кислота, этиловый эфир; (-)3-[4-[2-(2,3-дигидро-1,4-бензоксазин-4-ил)этокси]фенил]-2-гексилоксипропановая кислота, этиловый эфир; (±)(Е/Z)-3-[4-[2-(2,3-дигидро-1,4-бензоксазин-4-ил)этокси]фенил]-2-феноксипропеновая кислота, этиловый эфир; (+)(Е)-3-[4-[2-(2,3-дигидро-1,4-бензоксазин-4-ил)этокси]фенил]-2-феноксипропеновая кислота, этиловый эфир; (-)(Z)-3-[4-[2-(2,3-дигидро-1,4-бензоксазин-4-ил)этокси]фенил]-2-феноксипропеновая кислота, этиловый эфир; (±)3-[4-[2-(2,3-дигидро-1,4-бензоксазин-4-ил)этокси]фенил]-2-феноксипропановая кислота, метиловый эфир; (+)3-[4-[2-(2,3-дигидро-1,4-бензоксазин-4-ил)этокси]фенил]-2-феноксипропановая кислота, метиловый эфир; (-)3-[4-[2-(2,3-дигидро-1,4-бензоксазин-4-ил)этокси]фенил]-2-феноксипропановая кислота, метиловый эфир; (Е/Z)-3-[4-[2-(2,3-дигидро-1,4-бензотиазин-4-ил)этокси]фенил]-2-феноксипропеновая кислота, этиловый эфир; (Е)-3-[4-[2-(2,3-дигидро-1,4-бензотиазин-4-ил)этокси]фенил]-2-феноксипропеновая кислота, этиловый эфир; (Z)-3-[4-[2-(2,3-дигидро-1,4-бензотиазин-4-ил)этокси]фенил]-2-феноксипропеновая кислота, этиловый эфир; (±)3-[4-[2-(2,3-дигидро-1,4-бензотиазин-4-ил)этокси]фенил]-2-феноксипропановая кислота, метиловый эфир; (+)3-[4-[2-(2,3-дигидро-1,4-бензотиазин-4-ил)этокси]фенил]-2-феноксипропановая кислота, метиловый эфир; (-)3-[4-[2-(2,3-дигидро-1,4-бензотиазин-4-ил)этокси]фенил]-2-феноксипропановая кислота, метиловый эфир; (Е/Z)-3-[4-(4-метил-3,4-дигидро-1,4-бензоксазин-2-ил)метоксифенил]-2-этоксипропеновая кислота, этиловый эфир; (Е)-3-[4-(4-метил-3,4-дигидро-1,4-бензоксазин-2-ил)метоксифенил]-2-этоксипропеновая кислота, этиловый эфир; (Z)-3-[4-(4-метил-3,4-дигидро-1,4-бензоксазин-2-ил)метоксифенил]-2-этоксипропеновая кислота, этиловый эфир; (±)3-[4-(4-метил-3,4-дигидро-1,4-бензоксазин-2-ил)метоксифенил]-2-этоксипропановая кислота, метиловый эфир; (+)3-[4-(4-метил-3,4-дигидро-1,4-бензоксазин-2-ил)метоксифенил]-2-этоксипропановая кислота, метиловый эфир; (-)3-[4-(4-метил-3,4-дигидро-1,4-бензоксазин-2-ил)метоксифенил]-2-этоксипропановая кислота, метиловый эфир; (Е/Z)-3-[4-(4-бензил-3,4-дигидро-1,4-бензоксазин-2-ил)метоксифенил]-2-этоксипропеновая кислота, этиловый эфир; (Е)-3-[4-(4-бензил-3,4-дигидро-1,4-бензоксазин-2-ил)метоксифенил]-2-этоксипропеновая кислота, этиловый эфир; (Z)-3-[4-(4-бензил-3,4-дигидро-1,4-бензоксазин-2-ил)метоксифенил]-2-этоксипропеновая кислота, этиловый эфир; (±)3-[4-(4-бензил-3,4-дигидро-1,4-бензоксазин-2-ил)метоксифенил]-2-этоксипропановая кислота, метиловый эфир; (+)3-[4-(4-бензил-3,4-дигидро-1,4-бензоксазин-2-ил)метоксифенил]-2-этоксипропановая кислота, метиловый эфир; (-)3-[4-(4-бензил-3,4-дигидро-1,4-бензоксазин-2-ил)метоксифенил]-2-этоксипропановая кислота, метиловый эфир; (±)3-[4-[2-(2,3-дигидро-1,4-бензоксазин-4-ил)этокси]фенил]-2-этоксипропановая кислота и ее соли; (+)3-[4-[2-(2,3-дигидро-1,4-бензоксазин-4-ил)этокси]фенил]-2-этоксипропановая кислота и ее соли; (-)3-[4-[2-(2,3-дигидро-1,4-бензоксазин-4-ил)этокси]фенил]-2-этоксипропановая кислота и ее соли; (±)3-[2-(2,3-дигидро-1,4-бензоксазин-4-ил)метилбензофуран-5-ил]-2-этоксипропановая кислота и ее соли; (+)3-[2-(2,3-дигидро-1,4-бензоксазин-4-ил)метилбензофуран-5-ил]-2-этоксипропановая кислота и ее соли; (-)3-[2-(2,3-дигидро-1,4-бензоксазин-4-ил)метилбензофуран-5-ил]-2-этоксипропановая кислота и ее соли; (±)3-[2-(2,3-дигидро-1,4-бензотиазин-4-ил)метилбензофуран-5-ил]-2-этоксипропановая кислота и ее соли; (+)3-[2-(2,3-дигидро-1,4-бензотиазин-4-ил)метилбензофуран-5-ил]-2-этоксипропановая кислота и ее соли; (-)3-[2-(2,3-дигидро-1,4-бензотиазин-4-ил)метилбензофуран-5-ил]-2-этоксипропановая кислота и ее соли; (±)3-[4-[2-(2,3-дигидро-1,4-бензотиазин-4-ил)этокси]фенил]-2-этоксипропановая кислота и ее соли; (+)3-[4-[2-(2,3-дигидро-1,4-бензотиазин-4-ил)этокси]фенил]-2-этоксипропановая кислота и ее соли; (-)3-[4-[2-(2,3-дигидро-1,4-бензотиазин-4-ил)этокси]фенил]-2-этоксипропановая кислота и ее соли; (±)3-[4-[2-(2,3-дигидро-1,4-бензотиазин-4-ил)этокси]фенил]-2-этоксипропанамид; (+)3-[4-[2-(2,3-дигидро-1,4-бензотиазин-4-ил)этокси]фенил]-2-этоксипропанамид; (-)3-[4-[2-(2,3-дигидро-1,4-бензотиазин-4-ил)этокси]фенил]-2-этоксипропанамид; (±)N-метил-3-[4-[2-(2,3-дигидро-1,4-бензотиазин-4-ил)этокси]фенил]-2-этоксипропанамид; (+)N-метил-3-[4-[2-(2,3-дигидро-1,4-бензотиазин-4-ил)этокси]фенил]-2-зтоксипропанамид; (-)N-метил-3-[4-[2-(2,3-дигидро-1,4-бензотиазин-4-ил)этокси]фенил]-2-этоксипропанамид; (±)3-[4-[2-(2,3-дигидро-1,4-бензоксазин-4-ил)этокси]фенил]-2-этоксипропанамид; (+)3-[4-[2-(2,3-дигидро-1,4-бензоксазин-4-ил)этокси]фенил]-2-этоксипропанамид; (-)3-[4-[2-(2,3-дигидро-1,4-бензоксазин-4-ил)этокси]фенил]-2-этоксипропанамид; (±)N-метил-3-[4-[2-(2,3-дигидро-1,4-бензоксазин-4-ил)этокси]фенил]-2-этоксипропанамид; (+)N-метил-3-[4-[2-(2,3-дигидро-1,4-бензоксазин-4-ил)этокси]фенил]-2-этоксипропанамид; (-)N-метил-3-[4-[2-(2,3-дигидро-1,4-бензоксазин-4-ил)этокси]фенил]-2-этоксипропанамид; (±)N-бензил-3-[4-[2-(2,3-дигидро-1,4-бензоксазин-4-ил)этокси]фенил]-2-этоксипропанамид; (+)N-бензил-3-[4-[2-(2,3-дигидро-1,4-бензоксазин-4-ил)этокси]фенил]-2-этоксипропанамид; (-)N-бензил-3-[4-[2-(2,3-дигидро-1,4-бензоксазин-4-ил)этокси]фенил]-2-этоксипропанамид; (±)N-бензил-3-[4-[2-(2,3-дигидро-1,4-бензотиазин-4-ил)этокси]фенил]-2-этоксипропанамид; (+)N-бензил-3-[4-[2-(2,3-дигидро-1,4-бензотиазин-4-ил)этокси]фенил]-2-этоксипропанамид; (-)N-бензил-3-[4-[2-(2,3-дигидро-1,4-бензотиазин-4-ил)этокси]фенил]-2-этоксипропанамид; (±)2-метил-3-[4-[2-(2,3-дигидро-1,4-бензоксазин-4-ил)этокси]фенил]-2-этоксипропановая кислота и ее соли; (+)2-метил-3-[4-[2-(2,3-дигидро-1,4-бензоксазин-4-ил)этокси]фенил]-2-этоксипропановая кислота и ее соли; (-)2-метил-3-[4-[2-(2,3-дигидро-1,4-бензоксазин-4-ил)этокси]фенил]-2-этоксипропановая кислота и ее соли; (±)2-(2-фторобензил)-3-[4-[2-(2,3-дигидро-1,4-бензоксазин-4-ил)этокси] фенил]-2-этоксипропановая кислота и ее соли; (+)2-(2-фторобензил)-3-[4-[2-(2,3-дигидро-1,4-бензоксазин-4-ил)этокси]фенил]-2-этоксипропановая кислота и ее соли; (-)2-(2-фторобензил)-3-[4-[2-(2,3-дигидро-1,4-бензоксазин-4-ил)этокси]фенил]-2-этоксипропановая кислота и ее соли; (±)3-[4-[2-(3-оксо-2Н-1,4-бензоксазин-4-ил)этокси]фенил]-2-этоксипропановая кислота и ее соли; (+)3-[4-[2-(3-оксо-2Н-1,4-бензоксазин-4-ил)этокси]фенил]-2-этоксипропановая кислота и ее соли; (-)3-[4-[2-(3-оксо-2Н-1,4-бензоксазин-4-ил)этокси]фенил]-2-этоксипропановая кислота и ее соли; (±)3-[4-[2-(3-оксо-2Н-1,4-бензотиазин-4-ил)этокси]фенил]-2-этоксипропановая кислота и ее соли; (+)3-[4-[2-(3-оксо-2Н-1,4-бензотиазин-4-ил)этокси]фенил]-2-этоксипропановая кислота и ее соли; (-)3-[4-[2-(3-оксо-2Н-1,4-бензотиазин-4-ил)этокси]фенил]-2-этоксипропановая кислота и ее соли; (±)3-[6-[2-(2,3-дигидро-1,4-бензоксазин-4-ил)этокси]нафтил]-2-этоксипропановая кислота и ее соли; (+)3-[6-[2-(2,3-дигидро-1,4-бензоксазин-4-ил)этокси]нафтил]-2-этоксипропановая кислота и ее соли; (-)3-[6-[2-(2,3-дигидро-1,4-бензоксазин-4-ил)этокси]нафтил]-2-этоксипропановая кислота и ее соли; (±)3-[6-[2-(2,3-дигидро-1,4-бензотиазин-4-ил)этокси]нафтил]-2-этоксипропановая кислота и ее соли; (+)3-[6-[2-(2,3-дигидро-1,4-бензотиазин-4-ил)этокси]нафтил]-2-этоксипропановая кислота и ее соли; (-)3-[6-[2-(2,3-дигидро-1,4-бензотиазин-4-ил)этокси]нафтил]-2-этоксипропановая кислота и ее соли; (±)3-[4-[2-(2,3-дигидро-1,4-бензоксазин-4-ил)этокси]фенил]-2-гидроксипропановая кислота и ее соли; (+)3-[4-[2-(2,3-дигидро-1,4-бензоксазин-4-ил)этокси]фенил]-2-гидроксипропановая кислота и ее соли; (-)3-[4-[2-(2,3-дигидро-1,4-бензоксазин-4-ил)этокси]фенил]-2-гидроксипропановая кислота и ее соли; (±)3-[4-[2-(2,3-дигидро-1,4-бензотиазин-4-ил)этокси]фенил]-2-гидроксипропановая кислота и ее соли; (+)3-[4-[2-(2,3-дигидро-1,4-бензотиазин-4-ил)этокси]фенил]-2-гидроксипропановая кислота и ее соли; (-)3-[4-[2-(2,3-дигидро-1,4-бензотиазин-4-ил)этокси]фенил]-2-гидроксипропановая кислота и ее соли; (±)3-[4-[2-(2,3-дигидро-1,4-бензоксазин-4-ил)этокси]фенил]-2-бензилоксипропановая кислота и ее соли; (+)3-[4-[2-(2,3-дигидро-1,4-бензоксазин-4-ил)этокси]фенил]-2-бензилоксипропановая кислота и ее соли; (-)3-[4-[2-(2,3-дигидро-1,4-бензоксазин-4-ил)этокси]фенил]-2-бензилоксипропановая кислота и ее соли; (±)3-[4-[2-(2,3-дигидро-1,4-бензоксазин-4-ил)этокси]фенил]-2-бутоксипропановая кислота и ее соли; (+)3-[4-[2-(2,3-дигидро-1,4-бензоксазин-4-ил)этокси]фенил]-2-бутоксипропановая кислота и ее соли; (-)3-[4-[2-(2,3-дигидро-1,4-бензоксазин-4-ил)этокси]фенил]-2-бутоксипропановая кислота и ее соли; (±)3-[4-[2-(2,3-дигидро-1,4-бензоксазин-4-ил)этокси]фенил]-2-гексилоксипропановая кислота и ее соли; (+)3-[4-[2-(2,3-дигидро-1,4-бензоксазин-4-ил)этокси]фенил]-2-гексилоксипропановая кислота и ее соли; (-)3-[4-[2-(2,3-дигидро-1,4-бензоксазин-4-ил)этокси]фенил]-2-гексилоксипропановая кислота и ее соли; (±)3-[4-[2-(2,3-дигидро-1,4-бензоксазин-4-ил)этокси]фенил]-2-феноксипропановая кислота и ее соли; (+)3-[4-[2-(2,3-дигидро-1,4-бензоксазин-4-ил)этокси]фенил]-2-феноксипропановая кислота и ее соли; (-)3-[4-[2-(2,3-дигидро-1,4-бензоксазин-4-ил)этокси]фенил]-2-феноксипропановая кислота и ее соли; (±)3-[4-[2-(2,3-дигидро-1,4-бензотиазин-4-ил)этокси]фенил]-2-феноксипропановая кислота и ее соли; (+)3-[4-[2-(2,3-дигидро-1,4-бензотиазин-4-ил)этокси]фенил]-2-феноксипропановая кислота и ее соли; (-)3-[4-[2-(2,3-дигидро-1,4-бензотиазин-4-ил)этокси]фенил]-2-феноксипропановая кислота и ее соли; (±)2-метил-3-[4-[2-(2,3-дигидро-1,4-бензоксазин-4-ил)этокси]фенил]-2-феноксипропановая кислота, метиловый эфир; (+)2-метил-3-[4-[2-(2,3-дигидро-1,4-бензоксазин-4-ил)этокси]фенил]-2-феноксипропановая кислота, метиловый эфир; (-)2-метил-3-[4-[2-(2,3-дигидро-1,4-бензоксазин-4-ил)этокси]фенил]-2-феноксипропановая кислота, метиловый эфир; (±)2-метил-3-[4-[2-(2,3-дигидро-1,4-бензоксазин-4-ил)этокси]фенил]-2-феноксипропановая кислота и ее соли; (+)2-метил-3-[4-[2-(2,3-дигидро-1,4-бензоксазин-4-ил)этокси]фенил]-2-феноксипропановая кислота и ее соли; (-)2-метил-3-[4-[2-(2,3-дигидро-1,4-бензоксазин-4-ил)этокси]фенил]-2-феноксипропановая кислота и ее соли; (±)2-метил-3-[4-[2-(2,3-дигидро-1,4-бензотиазин-4-ил)этокси]фенил]-2-феноксипропановая кислота, метиловый эфир; (+)2-метил-3-[4-[2-(2,3-дигидро-1,4-бензотиазин-4-ил)этокси]фенил]-2-феноксипропановая кислота, метиловый эфир; (-)2-метил-3-[4-[2-(2,3-дигидро-1,4-бензотиазин-4-ил)этокси]фенил]-2-феноксипропановая кислота, метиловый эфир; (±)2-метил-3-[4-[2-(2,3-дигидро-1,4-бензотиазин-4-ил)этокси]фенил]-2-феноксипропановая кислота и ее соли; (+)2-метил-3-[4-[2-(2,3-дигидро-1,4-бензотиазин-4-ил)этокси]фенил]-2-феноксипропановая кислота и ее соли; (-)2-метил-3-[4-[2-(2,3-дигидро-1,4-бензотиазин-4-ил)этокси]фенил]-2-феноксипропановая кислота и ее соли; (±)3-[4-[2-(2,3-дигидро-1,4-бензотиазин-4-ил)этокси]фенил]-2-этоксипропановая кислота, 4-нитрофениловый эфир; (+)3-[4-[2-(2,3-дигидро-1,4-бензотиазин-4-ил)этокси]фенил]-2-этоксипропановая кислота, 4-нитрофениловый эфир; (-)3-[4-[2-(2,3-дигидро-1,4-бензотиазин-4-ил)этокси]фенил]-2-этоксипропановая кислота, 4-нитрофениловый эфир; (±)3-[4-(4-бензил-3,4-дигидро-1,4-бензоксазин-2-ил)метоксифенил]-2-этоксипропановая кислота и ее соли; (+)3-[4-(4-бензил-3,4-дигидро-1,4-бензоксазин-2-ил)метоксифенил]-2-этоксипропановая кислота и ее соли; (-)3-[4-(4-бензил-3,4-дигидро-1,4-бензоксазин-2-ил)метоксифенил]-2-этоксипропановая кислота и ее соли; (±)3-[4-(4-бензил-3,4-дигидро-1,4-бензоксазин-2-ил)метоксифенил]-2-этоксипропановая кислота, 4-нитрофениловый эфир; (+)3-[4-(4-бензил-3,4-дигидро-1,4-бензоксазин-2-ил)метоксифенил]-2-этоксипропановая кислота, 4-нитрофениловый эфир; (-)3-[4-(4-бензил-3,4-дигидро-1,4-бензоксазин-2-ил)метоксифенил]-2-этоксипропановая кислота, 4-нитрофениловый эфир. 15. Соединение по п.1, в котором фармацевтически приемлемая соль представляет собой соль Li, Na, К, Са, Mg, Fe, Cu, Zn, Mn, N,N’-диацетилэтилендиамина, бетаина, кофеина, 2-диэтиламиноэтанола, 2-диметиламиноэтанола, N-этилморфолина, N-этилпиперидина, глюкамина, глюкозамина, гидрабамина, изопропиламина, метилглюкамина, морфолина, пиперазина, пиперидина, прокаина, пуринов, теобромина, триэтиламина, триметиламина, трипропиламина, трометамина, диэтаноламина, меглумина, этилендиамина, N,N’-дифенилэтилендиамина, N,N’-дибензилэтилендиамина, N-бензилфенилэтиламина, холина, холина гидроксида, дициклогексиламина, бензиламина, фенилэтиламина, диалкиламина, триалкиламина, тиамина, аминопиримидина, аминопиридина, пурина, спермидина, алкилфениламина, глицинола, фенилглицинола, глицина, аланина, валина, лейцина, изолейцина, норлейцина, тирозина, цистина, цистеина, метионина, пролина, гидроксипролина, гистидина, орнитина, лизина, аргинина, серина, треонина, фенилаланина, гуанидина, замещенного гуанидина, аммония, замещенного аммония или алюминия. 16. Соединение по п.1 или 26, представляющее собой любую из солей Li, Na, К, Са, Mg, Fe, Cu, Zn, Mn, N,N’-диацетилэтилендиамина, бетаина, кофеина, 2-диэтиламиноэтанола, 2-диметиламиноэтанола, N-этилморфолина, N-этилпиперидина, глюкамина, глюкозамина, гидрабамина, изопропиламина, метилглюкамина, морфолина, пиперазина, пиперидина, прокаина, пуринов, теобромина, триэтиламина, триметиламина, трипропиламина, трометамина, диэтаноламина, меглумина, этилендиамина, N,N’-дифенилэтилендиамина, N,N’-дибензилэтилендиамина, N-бензилфенилэтиламина, холина, холингидроксида, дициклогексиламина, бензиламина, фенилэтиламина, диалкиламина, триалкиламина, тиамина, аминопиримидина, аминопиридина, пурина, спермидина, алкилфениламина, глицинола, фенилглицинола, глицина, аланина, валина, лейцина, изолейцина, норлейцина, тирозина, цистина, цистеина, метионина, пролина, гидроксипролина, гистидина, орнитина, лизина, аргинина, серина, треонина, фенилаланина, гуанидина, замещенного гуанидина, аммония, замещенных аммонийных или алюминиевых солей, образованных (±)3-[4-[2-(2,3-дигидро-1,4-бензоксазин-4-ил)этокси]фенил]-2-этоксипропановой кислотой; любую из солей Li, Na, К, Са, Mg, Fe, Cu, Zn, Mn, N,N’-диацетилэтилендиамина, бетаина, кофеина, 2-диэтиламиноэтанола, 2-диметиламиноэтанола, N-этилморфолина, N-этилпиперидина, глюкамина, глюкозамина, гидрабамина, изопропиламина, метилглюкамина, морфолина, пиперазина, пиперидина, прокаина, пуринов, теобромина, триэтиламина, триметиламина, трипропиламина, трометамина, диэтаноламина, меглумина, этилендиамина, N,N’-дифенилэтилендиамина, N,N’-дибензилэтилендиамина, N-бензилфенилэтиламина, холина, холингидроксида, дициклогексиламина, бензиламина, фенилэтиламина, диалкиламина, триалкиламина, тиамина, аминопиримидина, аминопиридина, пурина, спермидина, алкилфениламина, глицинола, фенилглицинола, глицина, аланина, валина, лейцина, изолейцина, норлейцина, тирозина, цистина, цистеина, метионина, пролина, гидроксипролина, гистидина, орнитина, лизина, аргинина, серина, треонина, фенилаланина, гуанидина, замещенного гуанидина, аммония, замещенного аммония и алюминия, образованных (+)3-[4-[2-(2,3-дигидро-1,4-бензоксазин-4-ил)этокси]фенил]-2-этоксипропановой кислотой; любую из солей Li, Na, К, Са, Mg, Fe, Cu, Zn, Mn, N,N’-диацетилэтилендиамина, бетаина, кофеина, 2-диэтиламиноэтанола, 2-диметиламиноэтанола, N-этилморфолина, N-этилпиперидина, глюкамина, глюкозамина, гидрабамина, изопропиламина, метилглюкамина, морфолина, пиперазина, пиперидина, прокаина, пуринов, теобромина, триэтиламина, триметиламина, трипропиламина, трометамина, диэтаноламина, меглумина, этилендиамина, N,N’-дифенилэтилендиамина, N,N’-дибензилэтилендиамина, N-бензилфенилэтиламина, холина, холингидроксида, дициклогексиламина, бензиламина, фенилэтиламина, диалкиламина, триалкиламина, тиамина, аминопиримидина, аминопиридина, пурина, спермидина, алкилфениламина, глицинола, фенилглицинола, глицина, аланина, валина, лейпина, изолейцина, норлейцина, тирозина, цистина, цистеина, метионина, пролина, гидроксипролина, гистидина, орнитина, лизина, аргинина, серина, треонина, фенилаланина, гуанидина, замещенного гуанидина, аммония, замещенного аммония и алюминия, образованных (-)3-[4-[2-(2,3-дигидро-1,4-бензоксазин-4-ил)этокси]фенил]-2-этоксипропановой кислотой; любую из солей Li, Na, К, Са, Mg, Fe, Cu, Zn, Mn, N,N’-диацетилэтилендиамина, бетаина, кофеина, 2-диэтиламиноэтанола, 2-диметиламиноэтанола, N-этилморфолина, N-этилпиперидина, глюкамина, глюкозамина, гидрабамина, изопропиламина, метилглюкамина, морфолина, пиперазина, пиперидина, прокаина, пуринов, теобромина, триэтиламина, триметиламина, трипропиламина, трометамина, диэтаноламина, меглумина, этилендиамина, N,N’-дифенилэтилендиамина, N,N’-дибензилэтилендиамина, N-бензилфенилэтиламина, холина, холингидроксида, дициклогексиламина, бензиламина, фенилэтиламина, диалкиламина, триалкиламина, тиамина, аминопиримидина, аминопиридина, пурина, спермидина, алкилфениламина, глицинола, фенилглицинола, глицина, аланина, валина, лейцина, изолейцина, норлейцина, тирозина, цистина, цистеина, метионина, пролина, гидроксипролина, гистидина, орнитина, лизина, аргинина, серина, треонина, фенилаланина, гуанидина, замещенного гуанидина, аммония, замещенного аммония и алюминия, образованных (±)3-[2-(2,3-дигидро-1,4-бензоксазин-4-ил)метилбензофуран-5-ил]-2-этоксипропановой кислотой; любую из солей Li, Na, К, Са, Mg, Fe, Cu, Zn, Mn, N,N’-диацетилэтилендиамина, бетаина, кофеина, 2-диэтиламиноэтанола, 2-диметиламиноэтанола, N-этилморфолина, N-этилпиперидина, глюкамина, глюкозамина, гидрабамина, изопропиламина, метилглюкамина, морфолина, пиперазина, пиперидина, прокаина, пуринов, теобромина, триэтиламина, триметиламина, трипропиламина, трометамина, диэтаноламина, меглумина, этилендиамина, N,N’-дифенилэтилендиамина, N,N’-дибензилэтилендиамина, N-бензилфенилэтиламина, холина, холингидроксида, дициклогексиламина, бензиламина, фенилэтиламина, диалкиламина, триалкиламина, тиамина, аминопиримидина, аминопиридина, пурина, спермидина, алкилфениламина, глицинола, фенилглицинола, глицина, аланина, валина, лейцина, изолейцина, норлейцина, тирозина, цистина, цистеина, метионина, пролина, гидроксипролина, гистидина, орнитина, лизина, аргинина, серина, треонина, фенилаланина, гуанидина, замещенного гуанидина, аммония, замещенного аммония и алюминия, образованных (+)3-[2-(2,3-дигидро-1,4-бензоксазин-4-ил)метилбензофуран-5-ил]-2-этоксипропановой кислотой; любую из солей Li, Na, К, Са, Mg, Fe, Cu, Zn, Mn, N,N’-диацетилэтилендиамина, бетаина, кофеина, 2-диэтиламиноэтанола, 2-диметиламиноэтанола, N-этилморфолина, N-этилпиперидина, глюкамина, глюкозамина, гидрабамина, изопропиламина, метилглюкамина, морфолина, пиперазина, пиперидина, прокаина, пуринов, теобромина, триэтиламина, триметиламина, трипропиламина, трометамина, диэтаноламина, меглумина, этилендиамина, N,N’-дифенилэтилендиамина, N,N’-дибензилэтилендиамина, N-бензилфенилэтиламина, холина, холингидроксида, дициклогексиламина, бензиламина, фенилэтиламина, диалкиламина, триалкиламина, тиамина, аминопиримидина, аминопиридина, пурина, спермидина, алкилфениламина, глицинола, фенилглицинола, глицина, аланина, валина, лейцина, изолейцина, норлейцина, тирозина, цистина, цистеина, метионина, пролина, гидроксипролина, гистидина, орнитина, лизина, аргинина, серина, треонина, фенилаланина, гуанидина, замещенного гуанидина, аммония, замещенного аммония и алюминия, образованных (-)3-[2-(2,3-дигидро-1,4-бензоксазин-4-ил)метилбензофуран-5-ил]-2-этоксипропановой кислотой; любую из солей Li, Na, К, Са, Mg, Fe, Cu, Zn, Mn, N,N’-диацетилэтилендиамина, бетаина, кофеина, 2-диэтиламиноэтанола, 2-диметиламиноэтанола, N-этилморфолина, N-этилпиперидина, глюкамина, глюкозамина, гидрабамина, изопропиламина, метилглюкамина, морфолина, пиперазина, пиперидина, прокаина, пуринов, теобромина, триэтиламина, триметиламина, трипропиламина, трометамина, диэтаноламина, меглумина, этилендиамина, N,N’-дифенилэтилендиамина, N,N’-дибензилэтилендиамина, N-бензилфенилэтиламина, холина, холингидроксида, дициклогексиламина, бензиламина, фенилэтиламина, диалкиламина, триалкиламина, тиамина, аминопиримидина, аминопиридина, пурина, спермидина, алкилфениламина, глицинола, фенилглицинола, глицина, аланина, валина, лейцина, изолейцина, норлейцина, тирозина, цистина, цистеина, метионина, пролина, гидроксипролина, гистидина, орнитина, лизина, аргинина, серина, треонина, фенилаланина, гуанидина, замещенного гуанидина, аммония, замещенного аммония и алюминия, образованных (±)3-[2-(2,3-дигидро-1,4-бензотиазин-4-ил)метилбензофуран-5-ил]-2-этоксипропановой кислотой; любую из солей Li, Na, К, Са, Mg, Fe, Cu, Zn, Mn, N,N’-диацетилэтилендиамина, бетаина, кофеина, 2-диэтиламиноэтанола, 2-диметиламиноэтанола, N-этилморфолина, N-этилпиперидина, глюкамина, глюкозамина, гидрабамина, изопропиламина, метилглюкамина, морфолина, пиперазина, пиперидина, прокаина, пуринов, теобромина, триэтиламина, триметиламина, трипропиламина, трометамина, диэтаноламина, меглумина, этилендиамина, N,N’-дифенилэтилендиамина, N,N’-дибензилэтилендиамина, N-бензилфенилэтиламина, холина, холингидроксида, дициклогексиламина, бензиламина, фенилэтиламина, диалкиламина, триалкиламина, тиамина, аминопиримидина, аминопиридина, пурина, спермидина, алкилфениламина, глицинола, фенилглицинола, глицина, аланина, валина, лейцина, изолейцина, норлейцина, тирозина, цистина, цистеина, метионина, пролина, гидроксипролина, гистидина, орнитина, лизина, аргинина, серина, треонина, фенилаланина, гуанидина, замещенного гуанидина, аммония, замещенного аммония и алюминия, образованных (+)3-[2-(2,3-дигидро-1,4-бензотиазин-4-ил)метилбензофуран-5-ил]-2-этоксипропановой кислотой; любую из солей Li, Na, К, Са, Mg, Fe, Cu, Zn, Mn, N,N’-диацетилэтилендиамина, бетаина, кофеина, 2-диэтиламиноэтанола, 2-диметиламиноэтанола, N-этилморфолина, N-этилпиперидина, глюкамина, глюкозамина, гидрабамина, изопропиламина, метилглюкамина, морфолина, пиперазина, пиперидина, прокаина, пуринов, теобромина, триэтиламина, триметиламина, трипропиламина, трометамина, диэтаноламина, меглумина, этилендиамина, N,N’-дифенилэтилендиамина, N,N’-дибензилэтилендиамина, N-бензилфенилэтиламина, холина, холингидроксида, дициклогексиламина, бензиламина, фенилэтиламина, диалкиламина, триалкиламина, тиамина, аминопиримидина, аминопиридина, пурина, спермидина, алкилфениламина, глицинола, фенилглицинола, глицина, аланина, валина, лейцина, изолейцина, норлейцина, тирозина, цистина, цистеина, метионина, пролина, гидроксипролина, гистидина, орнитина, лизина, аргинина, серина, треонина, фенилаланина, гуанидина, замещенного гуанидина, аммония, замещенного аммония и алюминия, образованных (-)3-[2-(2,3-дигидро-1,4-бензотиазин-4-ил)метилбензофуран-5-ил]-2-этоксипропановой кислотой; любую из солей Li, Na, К, Са, Mg, Fe, Cu, Zn, Mn, N,N’-диацетилэтилендиамина, бетаина, кофеина, 2-диэтиламиноэтанола, 2-диметиламиноэтанола, N-этилморфолина, N-этилпилеридина, глюкамина, глюкозамина, гидрабамина, изопропиламина, метилглюкамина, морфолина, пиперазина, пиперидина, прокаина, пуринов, теобромина, триэтиламина, триметиламина, трипропиламина, трометамина, диэтаноламина, меглумина, этилендиамина, N,N’-дифенилэтилендиамина, N,N’-дибензилэтилендиамина, N-бензилфенилэтиламина, холина, холингидроксида, дициклогексиламина, бензиламина, фенилэтиламина, диалкиламина, триалкиламина, тиамина, аминопиримидина, аминопиридина, пурина, спермидина, алкилфениламина, глицинола, фенилглицинола, глицина, аланина, валина, лейцина, изолейцина, норлейцина, тирозина, цистина, цистеина, метионина, пролина, гидроксипролина, гистидина, орнитина, лизина, аргинина, серина, треонина, фенилаланина, гуанидина, замещенного гуанидина, аммония, замещенного аммония и алюминия, образованных (±)3-[4-[2-(2,3-дигидро-1,4-бензотиазин-4-ил)этокси]фенил]-2-этоксипропановой кислотой; любую из солей Li, Na, К, Са, Mg, Fe, Cu, Zn, Mn, N,N’-диацетилэтилендиамина, бетаина, кофеина, 2-диэтиламиноэтанола, 2-диметиламиноэтанола, N-этилморфолина, N-этилпиперидина, глюкамина, глюкозамина, гидрабамина, изопропиламина, метилглюкамина, морфолина, пиперазина, пиперидина, прокаина, пуринов, теобромина, триэтиламина, триметиламина, трипропиламина, трометамина, диэтаноламина, меглумина, этилендиамина, N,N’-дифенилэтилендиамина, N,N’-дибензилэтилендиамина, N-бензилфенилэтиламина, холина, холингидроксида, дициклогексиламина, бензиламина, фенилэтиламина, диалкиламина, триалкиламина, тиамина, аминопиримидина, аминопиридина, пурина, спермидина, алкилфениламина, глицинола, фенилглицинола, глицина, аланина, валина, лейцина, изолейцина, норлейцина, тирозина, цистина, цистеина, метионина, пролина, гидроксипролина, гистидина, орнитина, лизина, аргинина, серина, треонина, фенилаланина, гуанидина, замещенного гуанидина, аммония, замещенного аммония и алюминия, образованных (+)3-[4-[2-(2,3-дигидро-1,4-бензотиазин-4-ил)этокси]фенил]-2-этоксипропановой кислотой; любую из солей Li, Na, К, Са, Mg, Fe, Cu, Zn, Mn, N,N’-диацетилэтилендиамина, бетаина, кофеина, 2-диэтиламиноэтанола, 2-диметиламиноэтанола, N-этилморфолина, N-этилпиперидина, глюкамина, глюкозамина, гидрабамина, изопропиламина, метилглюкамина, морфолина, пиперазина, пиперидина, прокаина, пуринов, теобромина, триэтиламина, триметиламина, трипропиламина, трометамина, диэтаноламина, меглумина, этилендиамина, N,N’-дифенилэтилендиамина, N,N’-дибензилэтилендиамина, N-бензилфенилэтиламина, холина, холингидроксида, дициклогексиламина, бензиламина, фенилэтиламина, диалкиламина, триалкиламина, тиамина, аминопиримидина, аминопиридина, пурина, спермидина, алкилфениламина, глицинола, фенилглицинола, глицина, аланина, валина, лейцина, изолейцина, норлейцина, тирозина, цистина, цистеина, метионина, пролина, гидроксипролина, гистидина, орнитина, лизина, аргинина, серина, треонина, фенилаланина, гуанидина, замещенного гуанидина, аммония, замещенного аммония и алюминия, образованных (-)3-[4-[2-(2,3-дигидро-1,4-бензотиазин-4-ил)этокси]фенил]-2-этоксипропановой кислотой; любую из солей Li, Na, К, Са, Mg, Fe, Cu, Zn, Mn, N,N’-диацетилэтилендиамина, бетаина, кофеина, 2-диэтиламиноэтанола, 2-диметиламиноэтанола, N-этилморфолина, N-этилпиперидина, глюкамина, глюкозамина, гидрабамина, изопропиламина, метилглюкамина, морфолина, пиперазина, пиперидина, прокаина, пуринов, теобромина, триэтиламина, триметиламина, трипропиламина, трометамина, диэтаноламина, меглумина, этилендиамина, N,N’-дифенилэтилендиамина, N,N’-дибензилэтилендиамина, N-бензилфенилэтиламина, холина, холингидроксида, дициклогексиламина, бензиламина, фенилэтиламина, диалкиламина, триалкиламина, тиамина, аминопиримидина, аминопиридина, пурина, спермидина, алкилфениламина, глицинола, фенилглицинола, глицина, аланина, валина, лейцина, изолейцина, норлейцина, тирозина, цистина, цистеина, метионина, пролина, гидроксипролина, гистидина, орнитина, лизина, аргинина, серина, треонина, фенилаланина, гуанидина, замещенного гуанидина, аммония, замещенного аммония и алюминия, образованных (±)2-метил-3-[4-[2-(2,3-дигидро-1,4-бензоксазин-4-ил)этокси]-фенил]-2-этоксипропановой кислотой; любую из солей Li, Na, К, Са, Mg, Fe, Cu, Zn, Mn, N,N’-диацетилэтилендиамина, бетаина, кофеина, 2-диэтиламиноэтанола, 2-диметиламиноэтанола, N-этилморфолина, N-этилпиперидина, глюкамина, глюкозамина, гидрабамина, изопропиламина, метилглюкамина, морфолина, пиперазина, пиперидина, прокаина, пуринов, теобромина, триэтиламина, триметиламина, трипропиламина, трометамина, диэтаноламина, меглумина, этилендиамина, N,N’-дифенилэтилендиамина, N,N’-дибензилэтилендиамина, N-бензилфенилэтиламина, холина, холингидроксида, дициклогексиламина, бензиламина, фенилэтиламина, диалкиламина, триалкиламина, тиамина, аминопиримидина, аминопиридина, пурина, спермидина, алкилфениламина, глицинола, фенилглицинола, глицина, аланина, валина, лейцина, изолейцина, норлейцина, тирозина, цистина, цистеина, метионина, пролина, гидроксипролина, гистидина, орнитина, лизина, аргинина, серина, треонина, фенилаланина, гуанидина, замещенного гуанидина, аммония, замещенного аммония и алюминия, образованных (+)2-метил-3-[4-[2-(2,3-дигидро-1,4-бензоксазин-4-ил)этокси]-фенил]-2-этоксипропановой кислотой; любую из солей Li, Na, К, Са, Mg, Fe, Cu, Zn, Mn, N,N’-диацетилэтилендиамина, бетаина, кофеина, 2-диэтиламиноэтанола, 2-диметиламиноэтанола, N-этилморфолина, N-этилпиперидина, глюкамина, глюкозамина, гидрабамина, изопропиламина, метилглюкамина, морфолина, пиперазина, пиперидина, прокаина, пуринов, теобромина, триэтиламина, триметиламина, трипропиламина, трометамина, диэтаноламина, меглумина, этилендиамина, N,N’-дифенилэтилендиамина, N,N’-дибензилэтилендиамина, N-бензилфенилэтиламина, холина, холингидроксида, дициклогексиламина, бензиламина, фенилэтиламина, диалкиламина, триалкиламина, тиамина, аминопиримидина, аминопиридина, пурина, спермидина, алкилфениламина, глицинола, фенилглицинола, глицина, аланина, валина, лейцина, изолейцина, норлейцина, тирозина, цистина, цистеина, метионина, пролина, гидроксипролина, гистидина, орнитина, лизина, аргинина, серина, треонина, фенилаланина, гуанидина, замещенного гуанидина, аммония, замещенного аммония и алюминия, образованных (-)2-метил-3-[4-[2-(2,3-дигидро-1,4-бензоксазин-4-ил)этокси]-фенил]-2-этоксипропановой кислотой; любую из солей Li, Na, К, Са, Mg, Fe, Cu, Zn, Mn, N,N’-диацетилэтилендиамина, бетаина, кофеина, 2-диэтиламиноэтанола, 2-диметиламиноэтанола, N-этилморфолина, N-этилпиперидина, глюкамина, глюкозамина, гидрабамина, изопропиламина, метилглюкамина, морфолина, пиперазина, пиперидина, прокаина, пуринов, теобромина, триэтиламина, триметиламина, трипропиламина, трометамина, диэтаноламина, меглумина, этилендиамина, N,N’-дифенилэтилендиамина, N,N’-дибензилэтилендиамина, N-бензилфенилэтиламина, холина, холингидроксида, дициклогексиламина, бензиламина, фенилэтиламина, диалкиламина, триалкиламина, тиамина, аминопиримидина, аминопиридина, пурина, спермидина, алкилфениламина, глицинола, фенилглицинола, глицина, аланина, валина, лейцина, изолейцина, норлейцина, тирозина, цистина, цистеина, метионина, пролина, гидроксипролина, гистидина, орнитина, лизина, аргинина, серина, треонина, фенилаланина, гуанидина, замещенного гуанидина, аммония, замещенного аммония и алюминия, образованных (±)2-(2-фторобензил)-3-[4-[2-(2,3-дигидро-1,4-бензоксазин-4-ил)этокси]фенил]-2-этоксипропановой кислотой; любую из солей Li, Na, К, Са, Mg, Fe, Cu, Zn, Mn, N,N’-диацетилэтилендиамина, бетаина, кофеина, 2-диэтиламиноэтанола, 2-диметиламиноэтанола, N-этилморфолина, N-этилпиперидина, глюкамина, глюкозамина, гидрабамина, изопропиламина, метилглюкамина, морфолина, пиперазина, пиперидина, прокаина, пуринов, теобромина, триэтиламина, триметиламина, трипропиламина, трометамина, диэтаноламина, меглумина, этилендиамина, N,N’-дифенилэтилендиамина, N,N’-дибензилэтилендиамина, N-бензилфенилэтиламина, холина, холингидроксида, дициклогексиламина, бензиламина, фенилэтиламина, диалкиламина, триалкиламина, тиамина, аминопиримидина, аминопиридина, пурина, спермидина, алкилфениламина, глицинола, фенилглицинола, глицина, аланина, валина, лейцина, изолейцина, норлейцина, тирозина, цистина, цистеина, метионина, пролина, гидроксипролина, гистидина, орнитина, лизина, аргинина, серина, треонина, фенилаланина, гуанидина, замещенного гуанидина, аммония, замещенного аммония и алюминия, образованных (+)2-(2-фторобензил)-3-[4-[2-(2,3-дигидро-1,4-бензоксазин-4-ил)этокси]фенил]-2-этоксипропановой кислотой; любую из солей Li, Na, К, Са, Mg, Fe, Cu, Zn, Mn, N,N’-диацетилэтилендиамина, бетаина, кофеина, 2-диэтиламиноэтанола, 2-диметиламиноэтанола, N-этилморфолина, N-этилпиперидина, глюкамина, глюкозамина, гидрабамина, изопропиламина, метилглюкамина, морфолина, пиперазина, пиперидина, прокаина, пуринов, теобромина, триэтиламина, триметиламина, трипропиламина, трометамина, диэтаноламина, меглумина, этилендиамина, N,N’-дифенилэтилендиамина, N,N’-дибензилэтилендиамина, N-бензилфенилэтиламина, холина, холингидроксида, дициклогексиламина, бензиламина, фенилэтиламина, диалкиламина, триалкиламина, тиамина, аминопиримидина, аминопиридина, пурина, спермидина, алкилфениламина, глицинола, фенилглицинола, глицина, аланина, валина, лейцина, изолейцина, норлейцина, тирозина, цистина, цистеина, метионина, пролина, гидроксипролина, гистидина, орнитина, лизина, аргинина, серина, треонина, фенилаланина, гуанидина, замещенного гуанидина, аммония, замещенного аммония и алюминия, образованных (-)2-(2-фторобензил)-3-[4-[2-(2,3-дигидро-1,4-бензоксазин-4-ил)этокси]фенил]-2-этоксипропановой кислотой; любую из солей Li, Na, К, Са, Mg, Fe, Cu, Zn, Mn, N,N’-диацетилэтилендиамина, бетаина, кофеина, 2-диэтиламиноэтанола, 2-диметиламиноэтанола, N-этилморфолина, N-этилпиперидина, глюкамина, глюкозамина, гидрабамина, изопропиламина, метилглюкамина, морфолина, пиперазина, пиперидина, прокаина, пуринов, теобромина, триэтиламина, триметиламина, трипропиламина, трометамина, диэтаноламина, меглумина, этилендиамина, N,N’-дифенилэтилендиамина, N,N’-дибензилэтилендиамина, N-бензилфенилэтиламина, холина, холингидроксида, дициклогексиламина, бензиламина, фенилэтиламина, диалкиламина, триалкиламина, тиамина, аминопиримидина, аминопиридина, пурина, спермидина, алкилфениламина, глицинола, фенилглицинола, глицина, аланина, валина, лейцина, изолейцина, норлейцина, тирозина, цистина, цистеина, метионина, пролина, гидроксипролина, гистидина, орнитина, лизина, аргинина, серина, треонина, фенилаланина, гуанидина, замещенного гуанидина, аммония, замещенного аммония и алюминия, образованных (±)3-[4-[2-(3-оксо-2Н-1,4-бензоксазин-4-ил)этокси] фенил]-2-этоксипропановой кислотой; любую из солей Li, Na, К, Са, Mg, Fe, Cu, Zn, Mn, N,N’-диацетилэтилендиамина, бетаина, кофеина, 2-диэтиламиноэтанола, 2-диметиламиноэтанола, N-этилморфолина, N-этилпиперидина, глюкамина, глюкозамина, гидрабамина, изопропиламина, метилглюкамина, морфолина, пиперазина, пиперидина, прокаина, пуринов, теобромина, триэтиламина, триметиламина, трипропиламина, трометамина, диэтаноламина, меглумина, этилендиамина, N,N’-дифенилэтилендиамина, N,N’-дибензилэтилендиамина, N-бензилфенилэтиламина, холина, холингидроксида, дициклогексиламина, бензиламина, фенилэтиламина, диалкиламина, триалкиламина, тиамина, аминопиримидина, аминопиридина, пурина, спермидина, алкилфениламина, глицинола, фенилглицинола, глицина, аланина, валина, лейцина, изолейцина, норлейцина, тирозина, цистина, цистеина, метионина, пролина, гидроксипролина, гистидина, орнитина, лизина, аргинина, серина, треонина, фенилаланина, гуанидина, замещенного гуанидина, аммония, замещенного аммония и алюминия, образованных (+)3-[4-[2-(3-оксо-2Н-1,4-бензоксазин-4-ил)этокси]фенил]-2-этоксипропановой кислотой; любую из солей Li, Na, К, Са, Mg, Fe, Cu, Zn, Mn, N,N’-диацетилэтилендиамина, бетаина, кофеина, 2-диэтиламиноэтанола, 2-диметиламиноэтанола, N-этилморфолина, N-этилпиперидина, глюкамина, глюкозамина, гидрабамина, изопропиламина, метилглюкамина, морфолина, пиперазина, пиперидина, прокаина, пуринов, теобромина, триэтиламина, триметиламина, трипропиламина, трометамина, диэтаноламина, меглумина, этилендиамина, N,N’-дифенилэтилендиамина, N,N’-дибензилэтилендиамина, N-бензилфенилэтиламина, холина, холингидроксида, дициклогексиламина, бензиламина, фенилэтиламина, диалкиламина, триалкиламина, тиамина, аминопиримидина, аминопиридина, пурина, спермидина, алкилфениламина, глицинола, фенилглицинола, глицина, аланина, валина, лейцина, изолейцина, норлейцина, тирозина, цистина, цистеина, метионина, пролина, гидроксипролина, гистидина, орнитина, лизина, аргинина, серина, треонина, фенилаланина, гуанидина, замещенного гуанидина, аммония, замещенного аммония и алюминия, образованных (-)3-[4-[2-(3-оксо-2Н-1,4-бензоксазин-4-ил)этокси]фенил]-2-этоксипропановой кислотой; любую из солей Li, Na, К, Са, Mg, Fe, Cu, Zn, Mn, N,N’-диацетилэтилендиамина, бетаина, кофеина, 2-диэтиламиноэтанола, 2-диметиламиноэтанола, N-этилморфолина, N-этилпиперидина, глюкамина, глюкозамина, гидрабамина, изопропиламина, метилглюкамина, морфолина, пиперазина, пиперидина, прокаина, пуринов, теобромина, триэтиламина, триметиламина, трипропиламина, трометамина, диэтаноламина, меглумина, этилендиамина, N,N’-дифенилэтилендиамина, N,N’-дибензилэтилендиамина, N-бензилфенилэтиламина, холина, холингидроксида, дициклогексиламина, бензиламина, фенилэтиламина, диалкиламина, триалкиламина, тиамина, аминопиримидина, аминопиридина, пурина, спермидина, алкилфениламина, глицинола, фенилглицинола, глицина, аланина, валина, лейцина, изолейцина, норлейцина, тирозина, цистина, цистеина, метионина, пролина, гидроксипролина, гистидина, орнитина, лизина, аргинина, серина, треонина, фенилаланина, гуанидина, замещенного гуанидина, аммония, замещенного аммония и алюминия, образованных (±)3-[4-[2-(3-оксо-2Н-1,4-бензотиазин-4-ил)этокси] фенил]-2-этоксипропановой кислотой; любую из солей Li, Na, К, Са, Mg, Fe, Cu, Zn, Mn, N,N’-диацетилэтилендиамина, бетаина, кофеина, 2-диэтиламиноэтанола, 2-диметиламиноэтанола, N-этилморфолина, N-этилпиперидина, глюкамина, глюкозамина, гидрабамина, изопропиламина, метилглюкамина, морфолина, пиперазина, пиперидина, прокаина, пуринов, теобромина, триэтиламина, триметиламина, трипропиламина, трометамина, диэтаноламина, меглумина, этилендиамина, N,N’-дифенилэтилендиамина, N,N’-дибензилэтилендиамина, N-бензилфенилэтиламина, холина, холингидроксида, дициклогексиламина, бензиламина, фенилэтиламина, диалкиламина, триалкиламина, тиамина, аминопиримидина, аминопиридина, пурина, спермидина, алкилфениламина, глицинола, фенилглицинола, глицина, аланина, валина, лейцина, изолейцина, норлейцина, тирозина, цистина, цистеина, метионина, пролина, гидроксипролина, гистидина, орнитина, лизина, аргинина, серина, треонина, фенилаланина, гуанидина, замещенного гуанидина, аммония, замещенного аммония и алюминия, образованных (+)3-[4-[2-(3-оксо-2Н-1,4-бензотиазин-4-ил)этокси]фенил]-2-этоксипропановой кислотой; любую из солей Li, Na, К, Са, Mg, Fe, Cu, Zn, Mn, N,N’-диацетилэтилендиамина, бетаина, кофеина, 2-диэтиламиноэтанола, 2-диметиламиноэтанола, N-этилморфолина, N-этилпиперидина, глюкамина, глюкозамина, гидрабамина, изопропиламина, метилглюкамина, морфолина, пиперазина, пиперидина, прокаина, пуринов, теобромина, триэтиламина, триметиламина, трипропиламина, трометамина, диэтаноламина, меглумина, этилендиамина, N,N’-дифенилэтилендиамина, N,N’-дибензилэтилендиамина, N-бензилфенилэтиламина, холина, холингидроксида, дициклогексиламина, бензиламина, фенилэтиламина, диалкиламина, триалкиламина, тиамина, аминопиримидина, аминопиридина, пурина, спермидина, алкилфениламина, глицинола, фенилглицинола, глицина, аланина, валина, лейцина, изолейцина, норлейцина, тирозина, цистина, цистеина, метионина, пролина, гидроксипролина, гистидина, орнитина, лизина, аргинина, серина, треонина, фенилаланина, гуанидина, замещенного гуанидина, аммония, замещенного аммония и алюминия, образованных (-)3-[4-[2-(3-оксо-2Н-1,4-бензотиазин-4-ил)этокси]фенил]-2-этоксипропановой кислотой; любую из солей Li, Na, К, Са, Mg, Fe, Cu, Zn, Mn, N,N’-диацетилэтилендиамина, бетаина, кофеина, 2-диэтиламиноэтанола, 2-диметиламиноэтанола, N-этилморфолина, N-этилпиперидина, глюкамина, глюкозамина, гидрабамина, изопропиламина, метилглюкамина, морфолина, пиперазина, пиперидина, прокаина, пуринов, теобромина, триэтиламина, триметиламина, трипропиламина, трометамина, диэтаноламина, меглумина, этилендиамина, N,N’-дифенилэтилендиамина, N,N’-дибензилэтилендиамина, N-бензилфенилэтиламина, холина, холингидроксида, дициклогексиламина, бензиламина, фенилэтиламина, диалкиламина, триалкиламина, тиамина, аминопиримидина, аминопиридина, пурина, спермидина, алкилфениламина, глицинола, фенилглицинола, глицина, аланина, валина, лейцина, изолейцина, норлейцина, тирозина, цистина, цистеина, метионина, пролина, гидроксипролина, гистидина, орнитина, лизина, аргинина, серина, треонина, фенилаланина, гуанидина, замещенного гуанидина, аммония, замещенного аммония и алюминия, образованных (±)3-[6-[2-(2,3-дигидро-1,4-бензоксазин-4-ил)этокси]нафтил]-2-этоксипропановой кислотой; любую из солей Li, Na, К, Са, Mg, Fe, Cu, Zn, Mn, N,N’-диацетилэтилендиамина, бетаина, кофеина, 2-диэтиламиноэтанола, 2-диметиламиноэтанола, N-этилморфолина, N-этилпиперидина, глюкамина, глюкозамина, гидрабамина, изопропиламина, метилглюкамина, морфолина, пиперазина, пиперидина, прокаина, пуринов, теобромина, триэтиламина, триметиламина, трипропиламина, трометамина, диэтаноламина, меглумина, этилендиамина, N,N’-дифенилэтилендиамина, N,N’-дибензилэтилендиамина, N-бензилфенилэтиламина, холина, холингидроксида, дициклогексиламина, бензиламина, фенилэтиламина, диалкиламина, триалкиламина, тиамина, аминопиримидина, аминопиридина, пурина, спермидина, алкилфениламина, глицинола, фенилглицинола, глицина, аланина, валина, лейцина, изолейцина, норлейцина, тирозина, цистина, цистеина, метионина, пролина, гидроксипролина, гистидина, орнитина, лизина, аргинина, серина, треонина, фенилаланина, гуанидина, замещенного гуанидина, аммония, замещенного аммония и алюминия, образованных (+)3-[6-[2-(2,3-дигидро-1,4-бензоксазин-4-ил)этокси]нафтил]-2-этоксипропановой кислотой; любую из солей Li, Na, К, Са, Mg, Fe, Cu, Zn, Mn, N,N’-диацетилэтилендиамина, бетаина, кофеина, 2-диэтиламиноэтанола, 2-диметиламиноэтанола, N-этилморфолина, N-этилпиперидина, глюкамина, глюкозамина, гидрабамина, изопропиламина, метилглюкамина, морфолина, пиперазина, пиперидина, прокаина, пуринов, теобромина, триэтиламина, триметиламина, трипропиламина, трометамина, диэтаноламина, меглумина, этилендиамина, N,N’-дифенилэтилендиамина, N,N’-дибензилэтилендиамина, N-бензилфенилэтиламина, холина, холингидроксида, дициклогексиламина, бензиламина, фенилэтиламина, диалкиламина, триалкиламина, тиамина, аминопиримидина, аминопиридина, пурина, спермидина, алкилфениламина, глицинола, фенилглицинола, глицина, аланина, валина, лейцина, изолейцина, норлейцина, тирозина, цистина, цистеина, метионина, пролина, гидроксипролина, гистидина, орнитина, лизина, аргинина, серина, треонина, фенилаланина, гуанидина, замещенного гуанидина, аммония, замещенного аммония и алюминия, образованных (-)3-[6-[2-(2,3-дигидро-1,4-бензоксазин-4-ил)этокси]нафтил]-2-этоксипропановой кислотой; любую из солей Li, Na, К, Са, Mg, Fe, Cu, Zn, Mn, N,N’-диацетилэтилендиамина, бетаина, кофеина, 2-диэтиламиноэтанола, 2-диметиламиноэтанола, N-этилморфолина, N-этилпиперидина, глюкамина, глюкозамина, гидрабамина, изопропиламина, метилглюкамина, морфолина, пиперазина, пиперидина, прокаина, пуринов, теобромина, триэтиламина, триметиламина, трипропиламина, трометамина, диэтаноламина, меглумина, этилендиамина, N,N’-дифенилэтилендиамина, N,N’-дибензилэтилендиамина, N-бензилфенилэтиламина, холина, холингидроксида, дициклогексиламина, бензиламина, фенилэтиламина, диалкиламина, триалкиламина, тиамина, аминопиримидина, аминопиридина, пурина, спермидина, алкилфениламина, глицинола, фенилглицинола, глицина, аланина, валина, лейцина, изолейцина, норлейцина, тирозина, цистина, цистеина, метионина, пролина, гидроксипролина, гистидина, орнитина, лизина, аргинина, серина, треонина, фенилаланина, гуанидина, замещенного гуанидина, аммония, замещенного аммония и алюминия, образованных (±)3-[6-[2-(2,3-дигидро-1,4-бензотиазин-4-ил)этокси]нафтил]-2-этоксипропановой кислотой; любую из солей Li, Na, К, Са, Mg, Fe, Cu, Zn, Mn, N,N’-диацетилэтилендиамина, бетаина, кофеина, 2-диэтиламиноэтанола, 2-диметиламиноэтанола, N-этилморфолина, N-этилпиперидина, глюкамина, глюкозамина, гидрабамина, изопропиламина, метилглюкамина, морфолина, пиперазина, пиперидина, прокаина, пуринов, теобромина, триэтиламина, триметиламина, трипропиламина, трометамина, диэтаноламина, меглумина, этилендиамина, N,N’-дифенилэтилендиамина, N,N’-дибензилэтилендиамина, N-бензилфенилэтиламина, холина, холингидроксида, дициклогексиламина, бензиламина, фенилэтиламина, диалкиламина, триалкиламина, тиамина, аминопиримидина, аминопиридина, пурина, спермидина, алкилфениламина, глицинола, фенилглицинола, глицина, аланина, валина, лейцина, изолейцина, норлейцина, тирозина, цистина, цистеина, метионина, пролина, гидроксипролина, гистидина, орнитина, лизина, аргинина, серина, треонина, фенилаланина, гуанидина, замещенного гуанидина, аммония, замещенного аммония и алюминия, образованных (+)3-[6-[2-(2,3-дигидро-1,4-бензотиазин-4-ил)этокси]нафтил]-2-этоксипропановой кислотой; любую из солей Li, Na, К, Са, Mg, Fe, Cu, Zn, Mn, N,N’-диацетилэтилендиамина, бетаина, кофеина, 2-диэтиламиноэтанола, 2-диметиламиноэтанола, N-этилморфолина, N-этилпиперидина, глюкамина, глюкозамина, гидрабамина, изопропиламина, метилглюкамина, морфолина, пиперазина, пиперидина, прокаина, пуринов, теобромина, триэтиламина, триметиламина, трипропиламина, трометамина, диэтаноламина, меглумина, этилендиамина, N,N’-дифенилэтилендиамина, N,N’-дибензилэтилендиамина, N-бензилфенилэтиламина, холина, холингидроксида, дициклогексиламина, бензиламина, фенилэтиламина, диалкиламина, триалкиламина, тиамина, аминопиримидина, аминопиридина, пурина, спермидина, алкилфениламина, глицинола, фенилглицинола, глицина, аланина, валина, лейцина, изолейцина, норлейцина, тирозина, цистина, цистеина, метионина, пролина, гидроксипролина, гистидина, орнитина, лизина, аргинина, серина, треонина, фенилаланина, гуанидина, замещенного гуанидина, аммония, замещенного аммония и алюминия, образованных (-)3-[6-[2-(2,3-дигидро-1,4-бензотиазин-4-ил)этокси]нафтил]-2-этоксипропановой кислотой; любую из солей Li, Na, К, Са, Mg, Fe, Cu, Zn, Mn, N,N’-диацетилэтилендиамина, бетаина, кофеина, 2-диэтиламиноэтанола, 2-диметиламиноэтанола, N-этилморфолина, N-этилпиперидина, глюкамина, глюкозамина, гидрабамина, изопропиламина, метилглюкамина, морфолина, пиперазина, пиперидина, прокаина, пуринов, теобромина, триэтиламина, триметиламина, трипропиламина, трометамина, диэтаноламина, меглумина, этилендиамина, N,N’-дифенилэтилендиамина, N,N’-дибензилэтилендиамина, N-бензилфенилэтиламина, холина, холингидроксида, дициклогексиламина, бензиламина, фенилэтиламина, диалкиламина, триалкиламина, тиамина, аминопиримидина, аминопиридина, пурина, спермидина, алкилфениламина, глицинола, фенилглицинола, глицина, аланина, валина, лейцина, изолейцина, норлейцина, тирозина, цистина, цистеина, метионина, пролина, гидроксипролина, гистидина, орнитина, лизина, аргинина, серина, треонина, фенилаланина, гуанидина, замещенного гуанидина, аммония, замещенного аммония и алюминия, образованных (±)3-[4-[2-(2,3-дигидро-1,4-бензоксазин-4-ил)этокси]фенил]-2-гидроксипропановой кислотой; любую из солей Li, Na, К, Са, Mg, Fe, Cu, Zn, Mn, N,N’-диацетилэтилендиамина, бетаина, кофеина, 2-диэтиламиноэтанола, 2-диметиламиноэтанола, N-этилморфолина, N-этилпиперидина, глюкамина, глюкозамина, гидрабамина, изопропиламина, метилглюкамина, морфолина, пиперазина, пиперидина, прокаина, пуринов, теобромина, триэтиламина, триметиламина, трипропиламина, трометамина, диэтаноламина, меглумина, этилендиамина, N,N’-дифенилэтилендиамина, N,N’-дибензилэтилендиамина, N-бензилфенилэтиламина, холина, холингидроксида, дициклогексиламина, бензиламина, фенилэтиламина, диалкиламина, триалкиламина, тиамина, аминопиримидина, аминопиридина, пурина, спермидина, алкилфениламина, глицинола, фенилглицинола, глицина, аланина, валина, лейцина, изолейцина, норлейцина, тирозина, цистина, цистеина, метионина, пролина, гидроксипролина, гистидина, орнитина, лизина, аргинина, серина, треонина, фенилаланина, гуанидина, замещенного гуанидина, аммония, замещенного аммония и алюминия, образованных (+)3-[4-[2-(2,3-дигидро-1,4-бензоксазин-4-ил)этокси]фенил]-2-гидроксипропановой кислотой; любую из солей Li, Na, К, Са, Mg, Fe, Cu, Zn, Mn, N,N’-диацетилэтилендиамина, бетаина, кофеина, 2-диэтиламиноэтанола, 2-диметиламиноэтанола, N-этилморфолина, N-этилпиперидина, глюкамина, глюкозамина, гидрабамина, изопропиламина, метилглюкамина, морфолина, пиперазина, пиперидина, прокаина, пуринов, теобромина, триэтиламина, триметиламина, трипропиламина, трометамина, диэтаноламина, меглумина, этилендиамина, N,N’-дифенилэтилендиамина, N,N’-дибензилэтилендиамина, N-бензилфенилэтиламина, холина, холингидроксида, дициклогексиламина, бензиламина, фенилэтиламина, диалкиламина, триалкиламина, тиамина, аминопиримидина, аминопиридина, пурина, спермидина, алкилфениламина, глицинола, фенилглицинола, глицина, аланина, валина, лейцина, изолейцина, норлейцина, тирозина, цистина, цистеина, метионина, пролина, гидроксипролина, гистидина, орнитина, лизина, аргинина, серина, треонина, фенилаланина, гуанидина, замещенного гуанидина, аммония, замещенного аммония и алюминия, образованных (-)3-[4-[2-(2,3-дигидро-1,4-бензоксазин-4-ил)этокси]фенил]-2-гидроксипропановой кислотой; любую из солей Li, Na, К, Са, Mg, Fe, Cu, Zn, Mn, N,N’-диацетилэтилендиамина, бетаина, кофеина, 2-диэтиламиноэтанола, 2-диметиламиноэтанола, N-этилморфолина, N-этилпиперидина, глюкамина, глюкозамина, гидрабамина, изопропиламина, метилглюкамина, морфолина, пиперазина, пиперидина, прокаина, пуринов, теобромина, триэтиламина, триметиламина, трипропиламина, трометамина, диэтаноламина, меглумина, этилендиамина, N,N’-дифенилэтилендиамина, N,N’-дибензилэтилендиамина, N-бензилфенилэтиламина, холина, холингидроксида, дициклогексиламина, бензиламина, фенилэтиламина, диалкиламина, триалкиламина, тиамина, аминопиримидина, аминопиридина, пурина, спермидина, алкилфениламина, глицинола, фенилглицинола, глицина, аланина, валина, лейцина, изолейцина, норлейцина, тирозина, цистина, цистеина, метионина, пролина, гидроксипролина, гистидина, орнитина, лизина, аргинина, серина, треонина, фенилаланина, гуанидина, замещенного гуанидина, аммония, замещенного аммония и алюминия, образованных (±)3-[4-[2-(2,3-дигидро-1,4-бензотиазин-4-ил)этокси]фенил]-2-гидроксипропановой кислотой; любую из солей Li, Na, К, Са, Mg, Fe, Cu, Zn, Mn, N,N’-диацетилэтилендиамина, бетаина, кофеина, 2-диэтиламиноэтанола, 2-диметиламиноэтанола, N-этилморфолина, N-этилпиперидина, глюкамина, глюкозамина, гидрабамина, изопропиламина, метилглюкамина, морфолина, пиперазина, пиперидина, прокаина, пуринов, теобромина, триэтиламина, триметиламина, трипропиламина, трометамина, диэтаноламина, меглумина, этилендиамина, N,N’-дифенилэтилендиамина, N,N’-дибензилэтилендиамина, N-бензилфенилэтиламина, холина, холингидроксида, дициклогексиламина, бензиламина, фенилэтиламина, диалкиламина, триалкиламина, тиамина, аминопиримидина, аминопиридина, пурина, спермидина, алкилфениламина, глицинола, фенилглицинола, глицина, аланина, валина, лейцина, изолейцина, норлейцина, тирозина, цистина, цистеина, метионина, пролина, гидроксипролина, гистидина, орнитина, лизина, аргинина, серина, треонина, фенилаланина, гуанидина, замещенного гуанидина, аммония, замещенного аммония и алюминия, образованных (+)3-[4-[2-(2,3-дигидро-1,4-бензотиазин-4-ил)этокси]фенил]-2-гидроксипропановой кислотой; любую из солей Li, Na, К, Са, Mg, Fe, Cu, Zn, Mn, N,N’-диацетилэтилендиамина, бетаина, кофеина, 2-диэтиламиноэтанола, 2-диметиламиноэтанола, N-этилморфолина, N-этилпиперидина, глюкамина, глюкозамина, гидрабамина, изопропиламина, метилглюкамина, морфолина, пиперазина, пиперидина, прокаина, пуринов, теобромина, триэтиламина, триметиламина, трипропиламина, трометамина, диэтаноламина, меглумина, этилендиамина, N,N’-дифенилэтилендиамина, N,N’-дибензилэтилендиамина, N-бензилфенилэтиламина, холина, холингидроксида, дициклогексиламина, бензиламина, фенилэтиламина, диалкиламина, триалкиламина, тиамина, аминопиримидина, аминопиридина, пурина, спермидина, алкилфениламина, глицинола, фенилглицинола, глицина, аланина, валина, лейцина, изолейцина, норлейцина, тирозина, цистина, цистеина, метионина, пролина, гидроксипролина, гистидина, орнитина, лизина, аргинина, серина, треонина, фенилаланина, гуанидина, замещенного гуанидина, аммония, замещенного аммония и алюминия, образованных (-)3-[4-[2-(2,3-дигидро-1,4-бензотиазин-4-ил)этокси]фенил]-2-гидроксипропановой кислотой; любую из солей Li, Na, К, Са, Mg, Fe, Cu, Zn, Mn, N,N’-диацетилэтилендиамина, бетаина, кофеина, 2-диэтиламиноэтанола, 2-диметиламиноэтанола, N-этилморфолина, N-этилпиперидина, глюкамина, глюкозамина, гидрабамина, изопропиламина, метилглюкамина, морфолина, пиперазина, пиперидина, прокаина, пуринов, теобромина, триэтиламина, триметиламина, трипропиламина, трометамина, диэтаноламина, меглумина, этилендиамина, N,N’-дифенилэтилендиамина, N,N’-дибензилэтилендиамина, N-бензилфенилэтиламина, холина, холингидроксида, дициклогекеиламина, бензиламина, фенилэтиламина, диалкиламина, триалкиламина, тиамина, аминопиримидина, аминопиридина, пурина, спермидина, алкилфениламина, глицинола, фенилглицинола, глицина, аланина, валина, лейцина, изолейцина, норлейцина, тирозина, цистина, цистеина, метионина, пролина, гидроксипролина, гистидина, орнитина, лизина, аргинина, серина, треонина, фенилаланина, гуанидина, замещенного гуанидина, аммония, замещенного аммония и алюминия, образованных (±)3-[4-[2-(2,3-дигидро-1,4-бензоксазин-4-ил)этокси]фенил]-2-бензилоксипропановой кислотой; любую из солей Li, Na, К, Са, Mg, Fe, Cu, Zn, Mn, N,N’-диацетилэтилендиамина, бетаина, кофеина, 2-диэтиламиноэтанола, 2-диметиламиноэтанола, N-этилморфолина, N-этилпиперидина, глюкамина, глюкозамина, гидрабамина, изопропиламина, метилглюкамина, морфолина, пиперазина, пиперидина, прокайна, пуринов, теобромина, триэтиламина, триметиламина, трипропиламина, трометамина, диэтаноламина, меглумина, этилендиамина, N,N’-дифенилэтилендиамина, N,N’-дибензилэтилендиамина, N-бензилфенилэтиламина, холина, холингидроксида, дициклогексиламина, бензиламина, фенилэтиламина, диалкиламина, триалкиламина, тиамина, аминопиримидина, аминопиридина, пурина, спермидина, алкилфениламина, глицинола, фенилглицинола, глицина, аланина, валина, лейцина, изолейцина, норлейцина, тирозина, цистина, цистеина, метионина, пролина, гидроксипролина, гистидина, орнитина, лизина, аргинина, серина, треонина, фенилаланина, гуанидина, замещенного гуанидина, аммония, замещенного аммония и алюминия, образованных (+)3-[4-[2-(2,3-дигидро-1,4-бензоксазин-4-ил)этокси]фенил]-2-бензилоксипропановой кислотой; любую из солей Li, Na, К, Са, Mg, Fe, Cu, Zn, Mn, N,N’-диацетилэтилендиамина, бетаина, кофеина, 2-диэтиламиноэтанола, 2-диметиламиноэтанола, N-этилморфолина, N-этилпиперидина, глюкамина, глюкозамина, гидрабамина, изопропиламина, метилглюкамина, морфолина, пиперазина, пиперидина, прокаина, пуринов, теобромина, триэтиламина, триметиламина, трипропиламина, трометамина, диэтаноламина, меглумина, этилендиамина, N,N’-дифенилэтилендиамина, N,N’-дибензилэтилендиамина, N-бензилфенилэтиламина, холина, холингидроксида, дициклогексиламина, бензиламина, фенилэтиламина, диалкиламина, триалкиламина, тиамина, аминопиримидина, аминопиридина, пурина, спермидина, алкилфениламина, глицинола, фенилглицинола, глицина, аланина, валина, лейцина, изолейцина, норлейцина, тирозина, цистина, цистеина, метионина, пролина, гидроксипролина, гистидина, орнитина, лизина, аргинина, серина, треонина, фенилаланина, гуанидина, замещенного гуанидина, аммония, замещенного аммония и алюминия, образованных (-)3-[4-[2-(2,3-дигидро-1,4-бензоксазин-4-ил)этокси]фенил]-2-бензилоксипропановой кислотой; любую из солей Li, Na, К, Са, Mg, Fe, Cu, Zn, Mn, N,N’-диацетилэтилендиамина, бетаина, кофеина, 2-диэтиламиноэтанола, 2-диметиламиноэтанола, N-этилморфолина, N-этилпиперидина, глюкамина, глюкозамина, гидрабамина, изопропиламина, метилглюкамина, морфолина, пиперазина, пиперидина, прокаина, пуринов, теобромина, триэтиламина, триметиламина, трипропиламина, трометамина, диэтаноламина, меглумина, этилендиамина, N,N’-дифенилэтилендиамина, N,N’-дибензилэтилендиамина, N-бензилфенилэтиламина, холина, холингидроксида, дициклогексиламина, бензиламина, фенилэтиламина, диалкиламина, триалкиламина, тиамина, аминопиримидина, аминопиридина, пурина, спермидина, алкилфениламина, глицинола, фенилглицинола, глицина, аланина, валина, лейцина, изолейцина, норлейцина, тирозина, цистина, цистеина, метионина, пролина, гидроксипролина, гистидина, орнитина, лизина, аргинина, серина, треонина, фенилаланина, гуанидина, замещенного гуанидина, аммония, замещенного аммония и алюминия, образованных (±)3-[4-[2-(2,3-дигидро-1,4-бензоксазин-4-ил)этокси]фенил]-2-бутоксипропановой кислотой; любую из солей Li, Na, К, Са, Mg, Fe, Cu, Zn, Mn, N,N’-диацетилэтилендиамина, бетаина, кофеина, 2-диэтиламиноэтанола, 2-диметиламиноэтанола, N-этилморфолина, N-этилпиперидина, глюкамина, глюкозамина, гидрабамина, изопропиламина, метилглюкамина, морфолина, пиперазина, пиперидина, прокаина, пуринов, теобромина, триэтиламина, триметиламина, трипропиламина, трометамина, диэтаноламина, меглумина, этилендиамина, N,N’-дифенилэтилендиамина, N,N’-дибензилэтилендиамина, N-бензилфенилэтиламина, холина, холингидроксида, дициклогексиламина, бензиламина, фенилэтиламина, диалкиламина, триалкиламина, тиамина, аминопиримидина, аминопиридина, пурина, спермидина, алкилфениламина, глицинола, фенилглицинола, глицина, аланина, валина, лейцина, изолейцина, норлейцина, тирозина, цистина, цистеина, метионина, пролина, гидроксипролина, гистидина, орнитина, лизина, аргинина, серина, треонина, фенилаланина, гуанидина, замещенного гуанидина, аммония, замещенного аммония и алюминия, образованных (+)3-[4-[2-(2,3-дигидро-1,4-бензоксазин-4-ил)этокси]фенил]-2-бутоксипропановой кислотой; любую из солей Li, Na, К, Са, Mg, Fe, Cu, Zn, Mn, N,N’-диацетилэтилендиамина, бетаина, кофеина, 2-диэтиламиноэтанола, 2-диметиламиноэтанола, N-этилморфолина, N-этилпиперидина, глюкамина, глюкозамина, гидрабамина, изопропиламина, метилглюкамина, морфолина, пиперазина, пиперидина, прокаина, пуринов, теобромина, триэтиламина, триметиламина, трипропиламина, трометамина, диэтаноламина, меглумина, этилендиамина, N,N’-дифенилэтилендиамина, N,N’-дибензилэтилендиамина, N-бензилфенилэтиламина, холина, холингидроксида, дициклогексиламина, бензиламина, фенилэтиламина, диалкиламина, триалкиламина, тиамина, аминопиримидина, аминопиридина, пурина, спермидина, алкилфениламина, глицинола, фенилглицинола, глицина, аланина, валина, лейцина, изолейцина, норлейцина, тирозина, цистина, цистеина, метионина, пролина, гидроксипролина, гистидина, орнитина, лизина, аргинина, серина, треонина, фенилаланина, гуанидина, замещенного гуанидина, аммония, замещенного аммония и алюминия, образованных (-)3-[4-[2-(2,3-дигидро-1,4-бензоксазин-4-ил)этокси]фенил]-2-бутоксипропановой кислотой; любую из солей Li, Na, К, Са, Mg, Fe, Cu, Zn, Mn, N,N’-диацетилэтилендиамина, бетаина, кофеина, 2-диэтиламиноэтанола, 2-диметиламиноэтанола, N-этилморфолина, N-этилпиперидина, глюкамина, глюкозамина, гидрабамина, изопропиламина, метилглюкамина, морфолина, пиперазина, пиперидина, прокаина, пуринов, теобромина, триэтиламина, триметиламина, трипропиламина, трометамина, диэтаноламина, меглумина, этилендиамина, N,N’-дифенилэтилендиамина, N,N’-дибензилэтилендиамина, N-бензилфенилэтиламина, холина, холингидроксида, дициклогексиламина, бензиламина, фенилэтиламина, диалкиламина, триалкиламина, тиамина, аминопиримидина, аминопиридина, пурина, спермидина, алкилфениламина, глицинола, фенилглицинола, глицина, аланина, валина, лейцина, изолейцина, норлейцина, тирозина, цистина, цистеина, метионина, пролина, гидроксипролина, гистидина, орнитина, лизина, аргинина, серина, треонина, фенилаланина, гуанидина, замещенного гуанидина, аммония, замещенного аммония и алюминия, образованных (±)3-[4-[2-(2,3-дигидро-1,4-бензоксазин-4-ил)этокси]фенил]-2-гексилоксипропановой кислотой; любую из солей Li, Na, К, Са, Mg, Fe, Cu, Zn, Mn, N,N’-диацетилэтилендиамина, бетаина, кофеина, 2-диэтиламиноэтанола, 2-диметиламиноэтанола, N-этилморфолина, N-этилпиперидина, глюкамина, глюкозамина, гидрабамина, изопропиламина, метилглюкамина, морфолина, пиперазина, пиперидина, прокаина, пуринов, теобромина, триэтиламина, триметиламина, трипропиламина, трометамина, диэтаноламина, меглумина, этилендиамина, N,N’-дифенилэтилендиамина, N,N’-дибензилэтилендиамина, N-бензилфенилэтиламина, холина, холингидроксида, дициклогексиламина, бензиламина, фенилэтиламина, диалкиламина, триалкиламина, тиамина, аминопиримидина, аминопиридина, пурина, спермидина, алкилфениламина, глицинола, фенилглицинола, глицина, аланина, валина, лейцина, изолейцина, норлейцина, тирозина, цистина, цистеина, метионина, пролина, гидроксипролина, гистидина, орнитина, лизина, аргинина, серина, треонина, фенилаланина, гуанидина, замещенного гуанидина, аммония, замещенного аммония и алюминия, образованных (+)3-[4-[2-(2,3-дигидро-1,4-бензоксазин-4-ил)этокси]фенил]-2-гексилоксипропановой кислотой; любую из солей Li, Na, К, Са, Mg, Fe, Cu, Zn, Mn, N,N’-диацетилэтилендиамина, бетаина, кофеина, 2-диэтиламиноэтанола, 2-диметиламиноэтанола, N-этилморфолина, N-этилпиперидина, глюкамина, глюкозамина, гидрабамина, изопропиламина, метилглюкамина, морфолина, пиперазина, пиперидина, прокаина, пуринов, теобромина, триэтиламина, триметиламина, трипропиламина, трометамина, диэтаноламина, меглумина, этилендиамина, N,N’-дифенилэтилендиамина, N,N’-дибензилэтилендиамина, N-бензилфенилэтиламина, холина, холингидроксида, дициклогексиламина, бензиламина, фенилэтиламина, диалкиламина, триалкиламина, тиамина, аминопиримидина, аминопиридина, пурина, спермидина, алкилфениламина, глицинола, фенилглицинола, глицина, аланина, валина, лейцина, изолейцина, норлейцина, тирозина, цистина, цистеина, метионина, пролина, гидроксипролина, гистидина, орнитина, лизина, аргинина, серина, треонина, фенилаланина, гуанидина, замещенного гуанидина, аммония, замещенного аммония и алюминия, образованных (-)3-[4-[2-(2,3-дигидро-1,4-бензоксазин-4-ил)этокси]фенил]-2-гексилоксипропановой кислотой; любую из солей Li, Na, К, Са, Mg, Fe, Cu, Zn, Mn, N,N’-диацетилэтилендиамина, бетаина, кофеина, 2-диэтиламиноэтанола, 2-диметиламиноэтанола, N-этилморфолина, N-этилпиперидина, глюкамина, глюкозамина, гидрабамина, изопропиламина, метилглюкамина, морфолина, пиперазина, пиперидина, прокаина, пуринов, теобромина, триэтиламина, триметиламина, трипропиламина, трометамина, диэтаноламина, меглумина, этилендиамина, N,N’-дифенилэтилендиамина, N,N’-дибензилэтилендиамина, N-бензилфенилэтиламина, холина, холингидроксида, дициклогексиламина, бензиламина, фенилэтиламина, диалкиламина, триалкиламина, тиамина, аминопиримидина, аминопиридина, пурина, спермидина, алкилфениламина, глицинола, фенилглицинола, глицина, аланина, валина, лейцина, изолейцина, норлейцина, тирозина, цистина, цистеина, метионина, пролина, гидроксипролина, гистидина, орнитина, лизина, аргинина, серина, треонина, фенилаланина, гуанидина, замещенного гуанидина, аммония, замещенного аммония и алюминия, образованных (±)3-[4-[2-(2,3-дигидро-1,4-бензоксазин-4-ил)этокси]фенил]-2-феноксипропановой кислотой; любую из солей Li, Na, К, Са, Mg, Fe, Cu, Zn, Mn, N,N’-диацетилэтилендиамина, бетаина, кофеина, 2-диэтиламиноэтанола, 2-диметиламиноэтанола, N-этилморфолина, N-этилпиперидина, глюкамина, глюкозамина, гидрабамина, изопропиламина, метилглюкамина, морфолина, пиперазина, пиперидина, прокаина, пуринов, теобромина, триэтиламина, триметиламина, трипропиламина, трометамина, диэтаноламина, меглумина, этилендиамина, N,N’-дифенидэтилендиамина, N,N’-дибензилэтилендиамина, N-бензилфенилэтиламина, холина, холингидроксида, дициклогекеиламина, бензиламина, фенилэтиламина, диалкиламина, триалкиламина, тиамина, аминопиримидина, аминопиридина, пурина, спермидина, алкилфениламина, глицинола, фенилглицинола, глицина, аланина, валина, лейцина, изолейцина, норлейцина, тирозина, цистина, цистеина, метионина, пролина, гидроксипролина, гистидина, орнитина, лизина, аргинина, серина, треонина, фенилаланина, гуанидина, замещенного гуанидина, аммония, замещенного аммония и алюминия, образованных (+)3-[4-[2-(2,3-дигидро-1,4-бензоксазин-4-ил)этокси]фенил]-2-феноксипропановой кислотой; любую из солей Li, Na, К, Са, Mg, Fe, Cu, Zn, Mn, N,N’-диацетилэтилендиамина, бетаина, кофеина, 2-диэтиламиноэтанола, 2-диметиламиноэтанола, N-этилморфолина, N-этилпиперидина, глюкамина, глюкозамина, гидрабамина, изопропиламина, метилглюкамина, морфолина, пиперазина, пиперидина, прокаина, пуринов, теобромина, триэтиламина, триметиламина, трипропиламина, трометамина, диэтаноламина, меглумина, этилендиамина, N,N’-дифенилэтилендиамина, N,N’-дибензилэтилендиамина, N-бензилфенилэтиламина, холина, холингидроксида, дициклогексиламина, бензиламина, фенилэтиламина, диалкиламина, триалкиламина, тиамина, аминопиримидина, аминопиридина, пурина, спермидина, алкилфениламина, глицинола, фенилглицинола, глицина, аланина, валина, лейцина, изолейцина, норлейцина, тирозина, цистина, цистеина, метионина, пролина, гидроксипролина, гистидина, орнитина, лизина, аргинина, серина, треонина, фенилаланина, гуанидина, замещенного гуанидина, аммония, замещенного аммония и алюминия, образованных (-)3-[4-[2-(2,3-дигидро-1,4-бензоксазин-4-ил)этокси]фенил]-2-феноксипропановой кислотой; любую из солей Li, Na, К, Са, Mg, Fe, Cu, Zn, Mn, N,N’-диацетилэтилендиамина, бетаина, кофеина, 2-диэтиламиноэтанола, 2-диметиламиноэтанола, N-этилморфолина, N-этилпиперидина, глюкамина, глюкозамина, гидрабамина, изопропиламина, метилглюкамина, морфолина, пиперазина, пиперидина, прокаина, пуринов, теобромина, триэтиламина, триметиламина, трипропиламина, трометамина, диэтаноламина, меглумина, этилендиамина, N,N’-дифенилэтилендиамина, N,N’-дибензилэтилендиамина, N-бензилфенилэтиламина, холина, холингидроксида, дициклогексиламина, бензиламина, фенилэтиламина, диалкиламина, триалкиламина, тиамина, аминопиримидина, аминопиридина, пурина, спермидина, алкилфениламина, глицинола, фенилглицинола, глицина, аланина, валина, лейцина, изолейцина, норлейцина, тирозина, цистина, цистеина, метионина, пролина, гидроксипролина, гистидина, орнитина, лизина, аргинина, серина, треонина, фенилаланина, гуанидина, замещенного гуанидина, аммония, замещенного аммония и алюминия, образованных (±)3-[4-[2-(2,3-дигидро-1,4-бензотиазин-4-ил)этокси]фенил]-2-феноксипропановой кислотой; любую из солей Li, Na, К, Са, Mg, Fe, Cu, Zn, Mn, N,N’-диацетилэтилендиамина, бетаина, кофеина, 2-диэтиламиноэтанола, 2-диметиламиноэтанола, N-этилморфолина, N-этилпиперидина, глюкамина, глюкозамина, гидрабамина, изопропиламина, метилглюкамина, морфолина, пиперазина, пиперидина, прокаина, пуринов, теобромина, триэтиламина, триметиламина, трипропиламина, трометамина, диэтаноламина, меглумина, этилендиамина, N,N’-дифенилэтилендиамина, N,N’-дибензилэтилендиамина, N-бензилфенилэтиламина, холина, холингидроксида, дициклогексиламина, бензиламина, фенилэтиламина, диалкиламина, триалкиламина, тиамина, аминопиримидина, аминопиридина, пурина, спермидина, алкилфениламина, глицинола, фенилглицинола, глицина, аланина, валина, лейцина, изолейцина, норлейцина, тирозина, цистина, цистеина, метионина, пролина, гидроксипролина, гистидина, орнитина, лизина, аргинина, серина, треонина, фенилаланина, гуанидина, замещенного гуанидина, аммония, замещенного аммония и алюминия, образованных (+)3-[4-[2-(2,3-дигидро-1,4-бензотиазин-4-ил)этокси]фенил]-2-феноксипропановой кислотой; любую из солей Li, Na, К, Са, Mg, Fe, Cu, Zn, Mn, N,N’-диацетилэтилендиамина, бетаина, кофеина, 2-диэтиламиноэтанола, 2-диметиламиноэтанола, N-этилморфолина, N-этилпиперидина, глюкамина, глюкозамина, гидрабамина, изолропиламина, метилглюкамина, морфолина, пиперазина, пиперидина, прокаина, пуринов, теобромина, триэтиламина, триметиламина, трипропиламина, трометамина, диэтаноламина, меглумина, этилендиамина, N,N’-дифенилэтилендиамина, N,N’-дибензилэтилендиамина, N-бензилфенилэтиламина, холина, холингидроксида, дициклогексиламина, бензиламина, фенилэтиламина, диалкиламина, триалкиламина, тиамина, аминопиримидина, аминопиридина, пурина, спермидина, алкилфениламина, глицинола, фенилглицинола, глицина, аланина, валина, лейцина, изолейцина, норлейцина, тирозина, цистина, цистеина, метионина, пролина, гидроксипролина, гистидина, орнитина, лизина, аргинина, серина, треонина, фенилаланина, гуанидина, замещенного гуанидина, аммония, замещенного аммония и алюминия, образованных (-)3-[4-[2-(2,3-дигидро-1,4-бензотиазин-4-ил)этокси]фенил]-2-феноксипропановой кислотой; любую из солей Li, Na, К, Са, Mg, Fe, Cu, Zn, Mn, N,N’-диацетилэтилендиамина, бетаина, кофеина, 2-диэтиламиноэтанола, 2-диметиламиноэтанола, N-этилморфолина, N-этилпиперидина, глюкамина, глюкозамина, гидрабамина, изопропиламина, метилглюкамина, морфолина, пиперазина, пиперидина, прокаина, пуринов, теобромина, триэтиламина, триметиламина, трипропиламина, трометамина, диэтаноламина, меглумина, этилендиамина, N,N’-дифенилэтилендиамина, N,N’-дибензилэтилендиамина, N-бензилфенилэтиламина, холина, холингидроксида, дициклогексиламина, бензиламина, фенилэтиламина, диалкиламина, триалкиламина, тиамина, аминопиримидина, аминопиридина, пурина, спермидина, алкилфениламина, глицинола, фенилглицинола, глицина, аланина, валина, лейцина, изолейцина, норлейцина, тирозина, цистина, цистеина, метионина, пролина, гидроксипролина, гистидина, орнитина, лизина, аргинина, серина, треонина, фенилаланина, гуанидина, замещенного гуанидина, аммония, замещенного аммония и алюминия, образованных (±)2-метил-3-[4-[2-(2,3-дигидро-1,4-бензоксазин-4-ил)этокси]-фенил]-2-феноксипропановой кислотой; любую из солей Li, Na, К, Са, Mg, Fe, Cu, Zn, Mn, N,N’-диацетилэтилендиамина, бетаина, кофеина, 2-диэтиламиноэтанола, 2-диметиламиноэтанола, N-этилморфолина, N-этилпиперидина, глюкамина, глюкозамина, гидрабамина, изопропиламина, метилглюкамина, морфолина, пиперазина, пиперидина, прокаина, пуринов, теобромина, триэтиламина, триметиламина, трипропиламина, трометамина, диэтаноламина, меглумина, этилендиамина, N,N’-дифенилэтилендиамина, N,N’-дибензилэтилендиамина, N-бензилфенилэтиламина, холина, холингидроксида, дициклогексиламина, бензиламина, фенилэтиламина, диалкиламина, триалкиламина, тиамина, аминопиримидина, аминопиридина, пурина, спермидина, алкилфениламина, глицинола, фенилглицинола, глицина, аланина, валина, лейцина, изолейцина, норлейцина, тирозина, цистина, цистеина, метионина, пролина, гидроксипролина, гистидина, орнитина, лизина, аргинина, серина, треонина, фенилаланина, гуанидина, замещенного гуанидина, аммония, замещенного аммония и алюминия, образованных (+)2-метил-3-[4-[2-(2,3-дигидро-1,4-бензоксазин-4-ил)этокси]-фенил]-2-феноксипропановой кислотой; любую из солей Li, Na, К, Са, Mg, Fe, Cu, Zn, Mn, N,N’-диацетилэтилендиамина, бетаина, кофеина, 2-диэтиламиноэтанола, 2-диметиламиноэтанола, N-этилморфолина, N-этилпиперидина, глюкамина, глюкозамина, гидрабамина, изопропиламина, метилглюкамина, морфолина, пиперазина, пиперидина, прокаина, пуринов, теобромина, триэтиламина, триметиламина, трипропиламина, трометамина, диэтаноламина, меглумина, этилендиамина, N,N’-дифенилэтилендиамина, N,N’-дибензилэтилендиамина, N-бензилфенилэтиламина, холина, холингидроксида, дициклогексиламина, бензиламина, фенилэтиламина, диалкиламина, триалкиламина, тиамина, аминопиримидина, аминопиридина, пурина, спермидина, алкилфениламина, глицинола, фенилглицинола, глицина, аланина, валина, лейцина, изолейцина, норлейцина, тирозина, цистина, цистеина, метионина, пролина, гидроксипролина, гистидина, орнитина, лизина, аргинина, серина, треонина, фенилаланина, гуанидина, замещенного гуанидина, аммония, замещенного аммония и алюминия, образованных (-)2-метил-3-[4-[2-(2,3-дигидро-1,4-бензоксазин-4-ил)этокси]-фенил]-2-феноксипропановой кислотой; любую из солей Li, Na, К, Са, Mg, Fe, Cu, Zn, Mn, N,N’-диацетилэтилендиамина, бетаина, кофеина, 2-диэтиламиноэтанола, 2-диметиламиноэтанола, N-этилморфолина, N-этилпиперидина, глюкамина, глюкозамина, гидрабамина, изопропиламина, метилглюкамина, морфолина, пиперазина, пиперидина, прокаина, пуринов, теобромина, триэтиламина, триметиламина, трипропиламина, трометамина, диэтаноламина, меглумина, этилендиамина, N,N’-дифенилэтилендиамина, N,N’-дибензилэтилендиамина, N-бензилфенилэтиламина, холина, холингидроксида, дициклогексиламина, бензиламина, фенилэтиламина, диалкиламина, триалкиламина, тиамина, аминопиримидина, аминопиридина, пурина, спермидина, алкилфениламина, глицинола, фенилглицинола, глицина, аланина, валина, лейцина, изолейцина, норлейцина, тирозина, цистина, цистеина, метионина, пролина, гидроксипролина, гистидина, орнитина, лизина, аргинина, серина, треонина, фенилаланина, гуанидина, замещенного гуанидина, аммония, замещенного аммония и алюминия, образованных (±)2-метил-3-[4-[2-(2,3-дигидро-1,4-бензотиазин-4-ил)этокси]-фенил]-2-феноксипропановой кислотой; любую из солей Li, Na, К, Са, Mg, Fe, Cu, Zn, Mn, N,N’-диацетилэтилендиамина, бетаина, кофеина, 2-диэтиламиноэтанола, 2-диметиламиноэтанола, N-этилморфолина, N-этилпиперидина, глюкамина, глюкозамина, гидрабамина, изопропиламина, метилглюкамина, морфолина, пиперазина, пиперидина, прокаина, пуринов, теобромина, триэтиламина, триметиламина, трипропиламина, трометамина, диэтаноламина, меглумина, этилендиамина, N,N’-дифенилэтилендиамина, N,N’-дибензилэтилендиамина, N-бензилфенилэтиламина, холина, холингидроксида, дициклогексиламина, бензиламина, фенилэтиламина, диалкиламина, триалкиламина, тиамина, аминопиримидина, аминопиридина, пурина, спермидина, алкилфениламина, глицинола, фенилглицинола, глицина, аланина, валина, лейцина, изолейцина, норлейцина, тирозина, цистина, цистеина, метионина, пролина, гидроксипролина, гистидина, орнитина, лизина, аргинина, серина, треонина, фенилаланина, гуанидина, замещенного гуанидина, аммония, замещенного аммония и алюминия, образованных (+)2-метил-3-[4-[2-(2,3-дигидро-1,4-бензотиазин-4-ил)этокси]-фенил]-2-феноксипропановой кислотой; любую из солей Li, Na, К, Са, Mg, Fe, Cu, Zn, Mn, N,N’-диацетилэтилендиамина, бетаина, кофеина, 2-диэтиламиноэтанола, 2-диметиламиноэтанола, N-этилморфолина, N-этилпиперидина, глюкамина, глюкозамина, гидрабамина, изопропиламина, метилглюкамина, морфолина, пиперазина, пиперидина, прокаина, пуринов, теобромина, триэтиламина, триметиламина, трипропиламина, трометамина, диэтаноламина, меглумина, этилендиамина, N,N’-дифенилэтилендиамина, N,N’-дибензилэтилендиамина, N-бензилфенилэтиламина, холина, холингидроксида, дициклогексиламина, бензиламина, фенилэтиламина, диалкиламина, триалкиламина, тиамина, аминопиримидина, аминопиридина, пурина, спермидина, алкилфениламина, глицинола, фенилглицинола, глицина, аланина, валина, лейцина, изолейцина, норлейцина, тирозина, цистина, цистеина, метионина, пролина, гидроксипролина, гистидина, орнитина, лизина, аргинина, серина, треонина, фенилаланина, гуанидина, замещенного гуанидина, аммония, замещенного аммония и алюминия, образованных (-)2-метил-3-[4-[2-(2,3-дигидро-1,4-бензотиазин-4-ил)этокси]-фенил]-2-феноксипропановой кислотой; любую из солей Li, Na, К, Са, Mg, Fe, Cu, Zn, Mn, N,N’-диацетилэтилендиамина, бетаина, кофеина, 2-диэтиламиноэтанола, 2-диметиламиноэтанола, N-этилморфолина, N-этилпиперидина, глюкамина, глюкозамина, гидрабамина, изопропиламина, метилглюкамина, морфолина, пиперазина, пиперидина, прокаина, пуринов, теобромина, триэтиламина, триметиламина, трипропиламина, трометамина, диэтаноламина, меглумина, этилендиамина, N,N’-дифенилэтилендиамина, N,N’-дибензилэтилендиамина, N-бензилфенилэтиламина, холина, холингидроксида, дициклогексиламина, бензиламина, фенилэтиламина, диалкиламина, триалкиламина, тиамина, аминопиримидина, аминопиридина, пурина, спермидина, алкилфениламина, глицинола, фенилглицинола, глицина, аланина, валина, лейцина, изолейцина, норлейцина, тирозина, цистина, цистеина, метионина, пролина, гидроксипролина, гистидина, орнитина, лизина, аргинина, серина, треонина, фенилаланина, гуанидина, замещенного гуанидина, аммония, замещенного аммония и алюминия, образованных (±)3-[4-(4-бензил-3,4-дигидро-2Н-1,4-бензоксазин-2-ил)метоксифенил]-2-этоксипропановой кислотой; любую из солей Li, Na, К, Са, Mg, Fe, Cu, Zn, Mn, N,N’-диацетилэтилендиамина, бетаина, кофеина, 2-диэтиламиноэтанола, 2-диметиламиноэтанола, N-этилморфолина, N-этилпиперидина, глюкамина, глюкозамина, гидрабамина, изопропиламина, метилглюкамина, морфолина, пиперазина, пиперидина, прокаина, пуринов, теобромина, триэтиламина, триметиламина, трипропиламина, трометамина, диэтаноламина, меглумина, этилендиамина, N,N’-дифенилэтилендиамина, N,N’-дибензилэтилендиамина, N-бензилфенилэтиламина, холина, холингидроксида, дициклогексиламина, бензиламина, фенилэтиламина, диалкиламина, триалкиламина, тиамина, аминопиримидина, аминопиридина, пурина, спермидина, алкилфениламина, глицинола, фенилглицинола, глицина, аланина, валина, лейцина, изолейцина, норлейцина, тирозина, цистина, цистеина, метионина, пролина, гидроксипролина, гистидина, орнитина, лизина, аргинина, серина, треонина, фенилаланина, гуанидина, замещенного гуанидина, аммония, замещенного аммония и алюминия, образованных (+)3-[4-(4-бензил-3,4-дигидро-2Н-1,4-бензоксазин-2-ил)метоксифенил]-2-этоксипропановой кислотой; любую из солей Li, Na, К, Са, Mg, Fe, Cu, Zn, Mn, N,N’-диацетилэтилендиамина, бетаина, кофеина, 2-диэтиламиноэтанола, 2-диметиламиноэтанола, N-этилморфолина, N-этилпиперидина, глюкамина, глюкозамина, гидрабамина, изопропиламина, метилглюкамина, морфолина, пиперазина, пиперидина, прокаина, пуринов, теобромина, триэтиламина, триметиламина, трипропиламина, трометамина, диэтаноламина, меглумина, этилендиамина, N,N’-дифенилэтилендиамина, N,N’-дибензилэтилендиамина, N-бензилфенилэтиламина, холина, холингидроксида, дициклогексиламина, бензиламина, фенилэтиламина, диалкиламина, триалкиламина, тиамина, аминопиримидина, аминопиридина, пурина, спермидина, алкилфениламина, глицинола, фенилглицинола, глицина, аланина, валина, лейцина, изолейцина, норлейцина, тирозина, цистина, пистеина, метионина, пролина, гидроксипролина, гистидина, орнитина, лизина, аргинина, серина, треонина, фенилаланина, гуанидина, замещенного гуанидина, аммония, замещенного аммония, и алюминия, образованных (-)3-[4-(4-бензил-3,4-дигидро-2Н-1,4-бензоксазин-2-ил)метоксифенил]-2-оксипропановой кислотой. 17. Фармацевтическая композиция, обладающая свойством агониста PPAR 18. Фармацевтическая композиция, включающая соединение формулы (I) по любому из пп.1, 14 или 16, а также ингибиторы HMG:CoA-редуктазы, фибраты, никотиновую кислоту, холестирамин, колестипол или пробукол или их комбинацию вместе с фармацевтически приемлемым носителем, разбавителем, наполнителем или сольватом. 19. Фармацевтическая композиция по п.17 или 18 в виде таблеток, капсул, порошка, сиропа или суспензии. 20. Фармацевтическая композиция по п.17 или 18 для лечения и/или профилактики диабета II типа, нетолерантности к глюкозе, устойчивости к лептину, дислипидемии, заболеваний, связанных с синдромом X, таких как гипертензия, ожирение, устойчивость к инсулину, атеросклероз, гиперлипидемия, ишемическая болезнь сердца, гломерулосклероза, псориаза, ксантомы или рака. 21. Способ профилактики или лечения гиперхолестеринемии и ожирения, оказывающий положительное действие на гиперлипемию, гипергликемию, ожирение, нетолерантность к глюкозе, устойчивость к инсулину и на те заболевания, при которых основным патофизиологическим механизмом является устойчивость к инсулину, включающий введение нуждающемуся в этом пациенту соединения формулы (I) по любому из пп.1, 11-13 или соединения по п.14 или 16 или фармацевтической композиции по п.17 или 18. 22. Способ по п.21, в котором заболеванием является диабет II типа, нарушение толерантности к глюкозе, дислипидемия, заболевания, связанные с синдромом X, такие как гипертензия, ожирение, устойчивость к инсулину, атеросклероз, гиперлипидемия, ишемическая болезнь сердца, гломерулосклероз, псориаз, ксантома или рак. 23. Способ по п.21 для профилактики и/или лечения заболеваний, связанных с синдромом X, включающий введение нуждающемуся в этом пациенту агониста PPAR 24. Способ снижения общего холестерина, веса тела, уровня глюкозы, триглицеридов, ЛНП, ЛОНП и свободных жирных кислот в плазме крови, включающий введение нуждающемуся в этом пациенту соединения формулы (I) по любому из пп.1, 11-13 или соединения по п.14 или 16 или фармацевтической композиции по п.17 или 18. 25. Способ профилактики или лечения гиперлипемии, гиперхолестеринемии, гипергликемии, ожирения, нетолерантности к глюкозе, устойчивости к лептину, устойчивости к инсулину или заболеваний, при которых основным патофизиологическим механизмом является устойчивость к инсулину, включающий введение нуждающемуся в этом пациенту эффективного количества соединения формулы (I), определенному в любом из пп.1, 11-13 или соединения по п.14 или 16 или фармацевтической композиции по п.17 или 18 в сочетании/одновременно с ингибиторами HMG:СоА-редуктазы, фибратами, никотиновой кислотой, холестирамином, колестиполом или пробуколом или их комбинацией в такой период времени, чтобы они оказывали синергетическое действие. 26. Способ по п.25, в котором заболеванием является диабет II типа, нарушение толерантности к глюкозе, дислипидемия, заболевания, связанные с синдромом X, такие как гипертензия, ожирение, атеросклероз, гиперлипидемия, ишемическая болезнь сердца, гломерулосклероз, псориаз, ксантома и рак. 27. Способ по п.25, для лечения и/или профилактики заболеваний, связанных с синдромом X, включающий введение нуждающемуся в этом пациенту агониста PPAR 28. Способ снижения уровня глюкозы, триглицеридов, общего холестерина, ЛНП, ЛОНП и свободных жирных кислот в плазме крови, включающий введение нуждающемуся в этом пациенту соединения формулы (I) по любому из пп.1, 11-13 или соединения по п.14 или 16 или фармацевтической композиции по п.17 или 18 в сочетании/одновременно с ингибиторами HMG:СоА-редуктазы, фибратами, никотиновой кислотой, холестирамином, колестиполом или пробуколом, которые можно вводить совместно или в такой период времени, чтобы они оказывали синергетическое действие. 29. Соединение формулы (I) по любому из пп.1, 11-13 или соединения по п.14 или 16 для профилактики или лечения гиперлипидемии, гиперхолестеринемии, гипергликемии, ожирения, нетолерантности к глюкозе, устойчивости к лептину, устойчивости к инсулину или заболеваний, при которых основным патофизиологическим механизмом является устойчивость к инсулину. 30. Соединение формулы (I) по любому из пп.1, 11-13 или соединения по п.14 или 16 для профилактики или лечения таких заболеваний как диабет II типа, нарушение толерантности к глюкозе, дислипидемия, заболеваний, связанных с синдромом X, таких как гипертензия, ожирение, атеросклероз, гиперлипидемия, ишемическая болезнь сердца, гломерулосклероза, псориаза, ксантомы и рака. 31. Соединение формулы (I) по любому из пп.1, 11-13 или соединения по п.14 или 16 для снижения уровня глюкозы, триглицеридов, общего холестерина, ЛНП, ЛОНП и свободных жирных кислот в плазме крови. 32. Соединение формулы (I) по любому из пп.1, 11-13 или соединения по п.14 или 16 в сочетании/одновременно с ингибиторами HMG:СоА-редуктазы, фибратами, никотиновой кислотой, холестирамином, колестиполом или пробуколом, которые можно вводить нуждающемуся в этом пациенту совместно или в такой период времени, чтобы они оказывали синергетическое действие для профилактики или лечения гиперлипидемии, гиперхолестеринемии, гипергликемии, ожирения, нетолерантности к глюкозе, устойчивости к лептину, устойчивости к инсулину или заболеваний, при которых основным патофизиологическим механизмом является устойчивость к инсулину. 33. Соединение формулы (I) по любому из пп.1, 11-13 или соединения по п.14 или 16 в сочетании/одновременно с ингибиторами HMG:CoA-редуктазы, фибратами, никотиновой кислотой, холестирамином, колестиполом или пробуколом, которые можно вводить нуждающемуся в этом пациенту совместно или в такой период времени, чтобы они оказывали синергетическое действие для профилактики или лечения таких заболеваний как диабет II типа, нарушение толерантности к глюкозе, дислипидемия, заболеваний, связанных с синдромом X, таких как гипертензия, ожирение, атеросклероз, гиперлипидемия, ишемическая болезнь сердца, гломерулосклероза, псориаза, ксантомы и рака. 34. Соединение формулы (I) по любому из пп.1, 11-13 или соединения по п.14 или 16 в сочетании/одновременно с ингибиторами HMG:СоА-редуктазы, фибратами, никотиновой кислотой, холестирамином, колестиполом или пробуколом для снижения уровня глюкозы, триглицеридов, общего холестерина, ЛНП, ЛОНП или свободных жирных кислот в плазме крови. 35. Соединение формулы (I) по любому из пп.1, 11-13 или соединения по п.14 или 16 для изготовления лекарства предназначенного для профилактики или лечения гиперлипидемии, гиперхолестеринемии, гипергликемии, ожирения, нетолерантности к глюкозе, устойчивости к лептину, устойчивости к инсулину или заболеваний, при которых основным патофизиологическим механизмом является устойчивость к инсулину. 36. Соединение формулы (I) по любому из пп.1, 11-13 или соединения по п.14 или 16 для изготовления лекарства предназначенного для профилактики или лечения такого заболевания как диабет II типа, нарушение толерантности к глюкозе, дислипидемия, заболеваний, связанных с синдромом X, таких как гипертензия, ожирение, атеросклероз, гиперлипидемия, ишемическая болезнь сердца, гломерулосклероза, псориаза, ксантомы и рака. 37. Соединение формулы (I) по любому из пп.1, 11-13 или соединения по п.14 или 16 для изготовления лекарства, предназначенного для снижения уровня глюкозы, триглицеридов, общего холестерина, ЛНП, ЛОНП или свободных жирных кислот в плазме крови. 38. Соединения формулы (I) по любому из пп.1, 11-13 или соединения по п.14 или 16 для изготовления лекарства в сочетании с ингибиторами HMG:СоА-редуктазы, фибратами, никотиновой кислотой, холестирамином, колестиполом или пробуколом, предназначенного для профилактики или лечения гиперлипемии, гиперхолестеринемии, гипергликемии, ожирения, нетолерантности к глюкозе, устойчивости к лептину, устойчивости к инсулину или заболеваний, при которых основным патофизиологическим механизмом является устойчивость к инсулину. 39. Соединение формулы (I) по любому из пп.1, 11-13 или соединения по п.14 или 16 для изготовления лекарства в сочетании с ингибиторами HMG:СоА-редуктазы, фибратами, никотиновой кислотой, холестирамином, колестиполом или пробуколом, предназначенного для профилактики или лечения такого заболевания как диабет II типа, нарушение толерантности к глюкозе, дислипидемия, заболеваний, связанных с синдромом X, таких как гипертензия, ожирение, атеросклероз, гиперлипидемия, ишемическая болезнь сердца, гломерулосклероза, псориаза, ксантомы и рака. 40. Соединение формулы (I) по любому из пп.1, 11-13 или соединения по п.14 или 16 для изготовления лекарства в сочетании с ингибиторами HMG:СоА-редуктазы, фибратами, никотиновой кислотой, холестирамином, колестиполом или пробуколом, предназначенного для снижения уровня глюкозы, триглицеридов, общего холестерина, ЛНП, ЛОНП или свободных жирных кислот в плазме крови. 41. Фармацевтическая композиция по п.17 или 18, предназначенная для профилактики или лечения гиперлипидемии, гиперхолестеринемии, гипергликемии, ожирения, нетолерантности к глюкозе, устойчивости к лептину, устойчивости к инсулину или заболеваний, при которых основным патофизиологическим механизмом является устойчивость к инсулину. 42. Фармацевтическая композиция по п.17 или 18, предназначенная для профилактики или лечения таких заболеваний как диабет II типа, нетолерантность к глюкозе, дислипидемия, заболеваний, связанных с синдромом X, таких как гипертензия, ожирение, атеросклероз, гиперлипидемия, ишемическая болезнь сердца, гломерулосклероза, псориаза, ксантомы или рака. 43. Фармацевтическая композиция по п.17 или 18, предназначенная для снижения уровня глюкозы, триглицеридов, общего холестерина, ЛНП, ЛОНП или свободных жирных кислот в плазме крови. 44. Фармацевтическая композиция по п.17 или 18 для изготовления лекарства в сочетании с ингибиторами HMG:СоА-редуктазы, фибратами, никотиновой кислотой, холестирамином, колестиполом или пробуколом, предназначенного для профилактики или лечения гиперлипемии, гиперхолестеринемии, гипергликемии, остеопороза, ожирения, нетолерантности к глюкозе, устойчивости к лептину, устойчивости к инсулину или заболеваний, при которых основным патофизиологическим механизмом является устойчивость к инсулину. 45. Фармацевтическая композиция по п.17 или 18 в сочетании/одновременно с ингибиторами HMG:СоА-редуктазы, фибратами, никотиновой кислотой, холестирамином, колестиполом или пробуколом, которые можно вводить нуждающемуся в этом пациенту совместно или в такой период времени, чтобы они оказывали синергическое действие, для профилактики или лечения такого заболевания как диабет II типа, нарушение толерантности к глюкозе, дислипидемия, заболеваний, связанных с синдромом X, таких как гипертензия, ожирение, атеросклероз, гиперлипидемия, ишемическая болезнь сердца, гломерулосклероза, псориаза, ксантомы и рака. 46. Фармацевтическая композиция по п.17 или 18 в сочетании/одновременно с ингибиторами HMG:СоА-редуктазы, фибратами, никотиновой кислотой, холестирамином, колестиполом или пробуколом для снижения уровня глюкозы, триглицеридов, общего холестерина, ЛНП, ЛОНП или свободных жирных кислот в плазме крови. 47. Фармацевтическая композиция по п.17 или 18 для изготовления лекарства, предназначенного для профилактики или лечения гиперлипидемии, гиперхолестеринемии, гипергликемии, остеопороза, ожирения, нетолерантности к глюкозе, устойчивости к лептину, устойчивости к инсулину или заболеваний, при которых основным патофизиологическим механизмом является устойчивость к инсулину. 48. Фармацевтическая композиция по п.17 или 18 для изготовления лекарства, предназначенного для профилактики или лечения такого заболевания как диабет II типа, нарушение толерантности к глюкозе, дислипидемия, заболеваний, связанных с синдромом X, таких как гипертензия, ожирение, атеросклероз, гиперлипидемия, ишемическая болезнь сердца, гломерулосклероза, псориаза, ксантомы и рака. 49. Фармацевтическая композиция по п.17 или 18 для изготовления лекарства, предназначенного для снижения уровня глюкозы, триглицеридов, общего холестерина, ЛНП, ЛОНП или свободных жирных кислот в плазме крови. 50. Фармацевтическая композиция по п.17 или 18 для изготовления лекарства в сочетании с ингибиторами HMG:СоА-редуктазы, фибратами, никотиновой кислотой, холестирамином, колестиполом или пробуколом, предназначенного для профилактики или лечения такого заболевания как диабет II типа, нарушение толерантности к глюкозе, дислипидемия, заболеваний, связанных с синдромом X, таких как гипертензия, ожирение, атеросклероз, гиперлипидемия, ишемическая болезнь сердца, гломерулосклероза, псориаза, ксантомы и рака. 51. Фармацевтическая композиция по п.17 или 18 для изготовления лекарства в сочетании с ингибиторами HMG:СоА-редуктазы, фибратами, никотиновой кислотой, холестирамином, колестиполом или пробуколом предназначенного для снижения уровня глюкозы, триглицеридов, общего холестерина, ЛНП, ЛОНП или свободных жирных кислот в плазме крови. 52. Способ получения соединения формулы (I) его таутомерных форм, стереоизомеров, полиморфных форм, фармацевтически приемлемых солей, фармацевтически приемлемых сольватов, где группы R1, R2, R3, R4 и группы R5 и R6, когда они связаны с атомами углерода, представляют собой водород, галоген, гидрокси, алкил, алкокси; R5 и R6, один или оба, также могут представлять собой оксогруппу, когда они связаны с атомом углерода; когда R5 и R6 связаны с атомом азота, они представляют собой водород, гидрокси или незамещенную группу, выбранную из алкила, алкокси, аралкила; Х означает гетероатом, выбранный из кислорода или серы; Ar означает незамещенный двухвалентный фенилен, нафтилен или бензофурил; R7 означает атом водорода, алкокси, низший алкил или образует связь с соседней группой R8; R8 означает водород, низший алкил, незамещенный или замещенный аралкил, или образует связь с R7; R9 означает водород или незамещенную группу, выбранную из алкила, арила; R10 означает водород; Y означает кислород или NR12, где R12 означает водород, алкил; n – целое число от 1 до 4; m – целое число 1, включающий гидролиз соединения формулы (I), где R10 означает незамещенную группу, выбранную из алкила, арила; R1, R2, R3, R4, R5, R6, R7, R8, R9, Ar, X, n и m имеют вышеуказанные значения.
MM4A – Досрочное прекращение действия патента СССР или патента Российской Федерации на изобретение из-за неуплаты в установленный срок пошлины за поддержание патента в силе
Дата прекращения действия патента: 26.04.2008
Извещение опубликовано: 20.09.2010 БИ: 26/2010
|
||||||||||||||||||||||||||||||||||||||||||||||||||||||||||||||||||||||||||||||||||||||||||||||||||


-арил-
-оксизамещенных алкилкарбоновых кислот общей формулы (I), их производных, аналогов, таутомерных форм, стереоизомеров, полиморфных форм, фармацевтически приемлемых солей, фармацевтически приемлемых сольватов и их содержащих фармацевтически приемлемых композиций.
) участвует в регуляции дифференцировки адипоцитов (Endocrinology, 135 (1994) 798-800) и в энергетическом гомеостазе (Cell, 83 (1995) 803-812), тогда как альфа-изоформа (PPAR






















4,37 (s, 4Н), 4,62 (s, 2H), 6,96-7,26 (комплекс, 6Н), 7,82 (d, J=8,40 Гц, 2H), 9,89 (s, 1H).






























































































