|
|
(21), (22) Заявка: 2004118056/04, 18.12.2002
(24) Дата начала отсчета срока действия патента:
18.12.2002
(30) Конвенционный приоритет:
20.12.2001 JP 2001-387578
(43) Дата публикации заявки: 27.02.2006
(46) Опубликовано: 20.06.2006
(56) Список документов, цитированных в отчете о поиске:
ЕР 945437 А1, 29.09.1999. JP 10-158107, 16.06.1998. JP 10-130106, 10.05.1998. SU 581838, 24.11.1977.
(85) Дата перевода заявки PCT на национальную фазу:
20.07.2004
(86) Заявка PCT:
JP 02/13245 (18.12.2002)
(87) Публикация PCT:
WO 03/053937 (03.07.2003)
Адрес для переписки:
121087, Москва, а/я 33, пат.пов. В.В.Курышеву
|
(72) Автор(ы):
ХИРОХАРА Йоджи (JP), ИКУТА Эйджи (JP), ОСАНАИ Сайо (JP), НАКАШИМА Хидеки (JP), ИШИИ Терухико (JP)
(73) Патентообладатель(и):
СДС БИОТЕК К.К. (JP)
|
(54) НОВЫЕ ЗАМЕЩЕННЫЕ ПРОИЗВОДНЫЕ ПИРАЗОЛА, СПОСОБ ИХ ПОЛУЧЕНИЯ И ГЕРБИЦИДНЫЕ КОМПОЗИЦИИ, СОДЕРЖАЩИЕ ЭТИ ПРОИЗВОДНЫЕ
(57) Реферат:
Описываются новые замещенные производные пиразола общей формулы

в которой n является 0 или 1; независимо группа А представляет собой атом водорода, алкильную группу с 1-4 атомами углерода, галогеналкильную группу с 1-4 атомами углерода, циклоалкильную группу с 3-6 атомами углерода или фенильную группу, необязательно имеющую замещающие группы; группа D представляет собой атом водорода, алкильную группу с 1-4 атомами углерода, галогеналкильную группу с 1-4 атомами углерода, алкенильную группу с 2-4 атомами углерода, алкокси группу с 1-4 атомами углерода, циклоалкильную группу с 3-6 атомами углерода, атом галогена, алкоксикарбонильную группу с 1-4 атомами углерода, алкилсульфонильную группу с 1-4 атомами углерода или фенильную группу; группа Е представляет собой атом водорода, атом галогена или фенильную группу; группы R1 и R2 обе представляют собой атом галогена; группа R3 представляет собой атом водорода, алкильную группу с 1-4 атомами углерода, галогеналкильную группу с 1-4 атомами углерода, алкенильную группу с 2-4 атомами углерода, алкинильную группу с 2-4 атомами углерода или бензильную группу; группы R4 и R5 являются одинаковыми и различными и каждая представляет собой атом водорода, алкильную группу с 1-4 атомами углерода, галогеналкильную группу с 1-4 атомами углерода, циклоалкильную группу с 3-8 атомами углерода, которая может быть замещена алкильной группой с 1-4 атомами углерода, алкенильную группу с 2-4 атомами углерода, алкинильную группу с 2-4 атомами углерода, цианометильную группу, или фенильную группу; или группа R4 и R5 каждая является бензильной группой; или группа R4 и R5 каждая представляет собой – или -фенэтильную группу, необязательно имеющую замещающие группы на бензольном кольце, указанные замещающие группы являются алкоксигруппами с 1-4 атомами углерода, где указанные замещающие группы замещают атом водорода в 0-2 произвольных положениях бензольного кольца; или группы R4 и R5 вместе образуют пятичленное или шестичленное алифатическое кольцо, в котором указанное кольцо может быть замещено алкильными группами с 1-4 атомами углерода и указанное кольцо может содержать один или два гетероатома, выбранные из азота, кислорода и серы, способ их получения. Описывается также гербицидные композиции на основе соединения формулы (1). Технический результат – гербицидные композиции оказывают высокое гербицидное действие и широкий гербицидный спектр. 6 н. и 1 з.п. ф-лы, 6 табл.
ОБЛАСТЬ ИЗОБРЕТЕНИЯ
Настоящее изобретение относится к новым замещенным производным пиразола, способу их получения и гербицидным композициям, содержащим это производное(ые) в качестве активного ингредиента(ов). Более конкретно изобретение относится к замещенным производным пиразола, полезным в качестве гербицидов, способу их получения и гербицидным композициям, содержащим производное(ые) в качестве активного ингредиента(ов). Они применимы в химической промышленности и сельском хозяйстве, особенно в области производства сельскохозяйственных химических средств.
ПРЕДПОСЫЛКИ ИЗОБРЕТЕНИЯ
Разрабатываемые и используемые гербициды очень многочисленны. Однако существует много видов сорняков, рост которых нужно контролировать, и появление сорняков длится длительный период времени. Поэтому ни одно из многих гербицидных средств не может удовлетворять всем требованиям в отношении, например, гербицидной активности, гербицидного спектра, селективности к зерновым культурам, безопасности для людей и для окружающей среды.
При культивировании особенно важных зерновых культур, таких как пшеница, кукуруза, соя и рис, необходим гербицид, который имеет эффективную гербицидную активность даже в маленькой дозе, широкий гербицидный спектр, достаточную остаточную эффективность и превосходную селективность к зерновым культурам.
Попытки обнаружить пиразолы, имеющие гербицидную активность для применения в гербицидах, не были успешными. Настоящим заявителем раскрыты замещенные производные пиразола в качестве фунгицидов и способ их получения (патентные документы 1-3). Однако эти документы не имеют никакого описания относительно гербицидной активности этих производных.
Патентный документ 1: JP-A-H10-130106
Патентный документ 2: JP-A-H10-158107
Патентный документ 3: ЕР 00945437 А1
РАСКРЫТИЕ ИЗОБРЕТЕНИЯ
Заявители синтезировали новые замещенные производные пиразола, представленные следующей формулой (1), и провели его различные испытания. В результате было обнаружено, что производные имеют превосходные гербицидные действия на широкий ряд сорняков, включая неконтролируемые сорняки, и показывают достаточную безопасность для некоторых важных зерновых культур. Основываясь на этих результатах, было сделано настоящее изобретение.

Целью настоящего изобретения является получение новых соединений, которые являются безопасными для зерновых культур и имеют высокие гербицидные действия. Задачей изобретения является получение новых замещенных производных пиразола следующей формулы (1) (в дальнейшем “соединения по изобретению”) и гербицидных композиций, содержащих это производное(ые) в качестве активного ингредиента(ов).
Сущность изобретения состоит в следующем.
Соединение по изобретению представляет собой замещенное производное пиразола, обладающее гербицидной активностью и представленное формулой (1):

в котором
n является 0 или 1; независимо
группа А представляет собой атом водорода, разветвленную или неразветвленную алкильную группу с 1-4 атомами углерода, разветвленную или неразветвленную галогеналкильную группу с 1-4 атомами углерода, циклоалкильную группу с 3-6 атомами углерода или фенильную группу, необязательно имеющую замещающие группы;
причем указанные замещающие группы являются одинаковыми или отличными друг от друга и выбираются из разветвленных или неразветвленных алкильных групп с 1-4 атомами углерода, разветвленных или неразветвленных галогеналкильных групп с 1-4 атомами углерода, разветвленных или неразветвленных алкоксигрупп с 1-4 атомами углерода, гидроксильной группы, разветвленных или неразветвленных галогеналкоксигрупп с 1-4 атомами углерода, разветвленных или неразветвленных алкилкарбонилоксигрупп с 1-4 атомами углерода, разветвленных или неразветвленных диалкиламинокарбонилоксигрупп с 1-4 атомами углерода, разветвленных или неразветвленных диалкиламиносульфонилоксигрупп с 1-4 атомами углерода, разветвленных или неразветвленных алкилтиогрупп с 1-4 атомами углерода, разветвленных или неразветвленных галогеналкилтиогрупп с 1-4 атомами углерода, разветвленных или неразветвленных алкилсульфонильных групп с 1-4 атомами углерода,
атомов галогена, цианогруппы, нитрогруппы, фенильной группы, фенокси группы и бензилокси;
указанные замещающие группы замещают атом водорода в 0-3 произвольных положениях фенильной группы;
группа D представляет собой атом водорода, разветвленную или неразветвленную алкильную группу с 1-4 атомами углерода, разветвленную или неразветвленную галогеналкильную группу с 1-4 атомами углерода, алкенильную группу с 2-4 атомами углерода, разветвленную или
неразветвленную алкоксигруппу с 1-4 атомами углерода, циклоалкильную группу с 3-6 атомами углерода, атом галогена, разветвленную или неразветвленную алкоксикарбонильную группу с 1-4 атомами углерода, разветвленную или неразветвленную алкилсульфонильную группу с 1-4 атомами углерода или фенильную группу.
группы R1 и R2 обе представляют собой атом галогена;
группа R3 представляет собой атом водорода, разветвленную или неразветвленную алкильную группу с 1-4 атомами углерода, разветвленную или неразветвленную галогеналкильную группу с 1-4 атомами углерода, алкенильную группу с 2-4 атомами углерода, алкинильную группу с 2-4 атомами углерода или бензильную группу;
группы R4 и R5 являются одинаковыми или различными и каждая представляет собой атом водорода, разветвленную или неразветвленную алкильную группу с 1-4 атомами углерода, разветвленную или неразветвленную галогеналкильную группу с 1-4 атомами углерода, циклоалкильную группу с 3-8 атомами углерода, которая может быть замещена разветвленной или неразветвленной алкильной группой с 1-4 атомами углерода, алкенильную группу с 2-4 атомами углерода, алкинильную группу с 2-4 атомами углерода, цианометильную группу или фенильную группу;
или группа R4 и R5 каждая является бензильной группой;
или группа R4 и R5 каждая представляет собой – или -фенэтильную группу, необязательно имеющую замещающие группы на бензольном кольце, указанные замещающие группы являются разветвленными или неразветвленными алкоксигруппами с 1-4 атомами углерода, где указанные
замещающие группы замещают атом водорода в 0-2 произвольных положениях бензольного кольца;
или группы R4 и R5 вместе образуют пятичленное или шестичленное алифатическое кольцо, в котором указанное кольцо может быть замещено разветвленными или неразветвленными алкильными группами с 1-4 атомами углерода, и указанное кольцо может содержать один или два гетероатома.
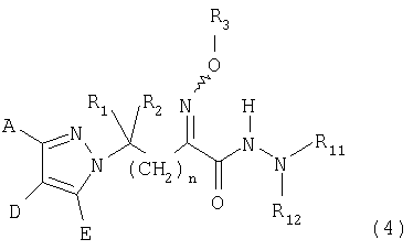
Замещенные производные пиразола, обладающие гербицидной активностью, согласно настоящему изобретению имеют указанную выше формулу (1), в которой R4 представляет собой атом водорода и R5 представляет собой замещенную аминогруппу N(R11,R12), и имеет следующую формулу (4):

где n является 0 или 1;
А представляет собой фенил; Е, R1 и R2 представляют собой атом водорода;
D и R3 независимо обозначают разветвленную или неразветвленную алкильную группу с 1-4 атомами углерода; и
группы R11 и R12 являются одинаковыми или различными и каждая обозначает атом водорода, разветвленную или неразветвленную алкильную группу с 1-4 атомами углерода, разветвленную или неразветвленную алкоксикарбонильную группу с 1-4 атомами углерода.
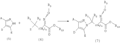
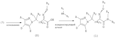
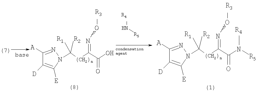
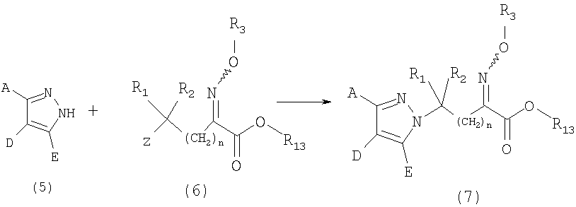
Способ получения замещенных производных пиразола формулы (1) включает реакцию производного пиразола формулы (5) с эфирным производным галогеноксима формулы (6) с получением эфирного производного пиразола формулы (7):

и гидролиз эфирной группы эфирного производного пиразола формулы (7) в присутствии основания, получая производное карбоновой кислоты формулы (8) и реакцию производного карбоновой кислоты с амином R4-NH-R5 в присутствии конденсирующего агента:

где в формулах (5)-(8) n является 0 или 1, группа Z представляет собой атом галогена, группа R13 представляет собой метильную или этильную группу и каждая группа A, D, Е, R1, R2, R3, R4 и R5 обозначает независимо те же самые замещающие группы, что и для формулы (1).
Гербицидная композиция в соответствии с настоящим изобретением включает соединение, выбранное из замещенных производных пиразола формулы (1) в качестве активного ингредиента.
Гербицидная композиция согласно настоящему изобретению включает соединение, выбранное из замещенных производных пиразола формулы (4) в качестве активного ингредиента.
Соединение по изобретению представляет собой замещенное производное пиразола, обладающее гербицидной активностью, предпочтительно представленное следующей формулой (1)

где n является 0 или 1; независимо
группа А представляет собой атом водорода, разветвленную или неразветвленную алкильную группу с 1-4 атомами углерода, разветвленную или неразветвленную галогеналкильную группу с 1-4 атомами углерода, циклоалкильную группу с 3-6 атомами углерода или фенильную группу, замещенную 0-3 замещающими группами (0 замещающих групп означает незамещенную фенильную группу);
указанные замещающие группы являются одинаковыми или отличными друг от друга и выбираются из алкильных групп с 1-4 атомами углерода, галогеналкильных групп с 1-4 атомами углерода, алкоксигрупп с 1-4 атомами углерода, галогеналкоксигрупп с 1-4 атомами углерода, алкилкарбонилоксигрупп с 1-4 атомами углерода, диалкиламинокарбонилоксигрупп с 1-4 атомами углерода, алкилтиогрупп с 1-4 атомами углерода, галогеналкилтиогрупп с 1-4 атомами углерода, атомов галогена, гидроксильной группы, цианогруппы, фенильной группы, феноксигруппы и бензилоксигруппы;
группа D представляет собой атом водорода, атом галогена, разветвленную или неразветвленную алкильную группу с 1-4 атомами углерода, разветвленную или неразветвленную галогеналкильную группу с 1-4 атомами углерода, алкинильную группу с 2-4 атомами углерода, разветвленную или неразветвленную алкоксигруппу с 1-4
атомами углерода, алкоксикарбонильную группу с 1-4 атомами углерода, или фенильную группу;
группа Е представляет собой атом водорода, атом галогена или фенильную группу;
группа R1 и R2 обе представляют собой атом водорода;
группа R3 представляет собой атом водорода, разветвленную или неразветвленную алкильную группу с 1-4 атомами углерода, алкинильную группу с 2-4 атомами углерода, фторметильную группу или бензольную группу;
группы R4 и R5 вместе образуют пятичленное или шестичленное алифатическое кольцо, которое может содержать 1 или 2 гетероатома и которое может быть замещено алкильной группой с 1-4 атомами углерода, или независимо
группа R4 представляет собой атом водорода или разветвленную или неразветвленную алкильную группу с 1-4 атомами углерода, и
группа R5 представляет собой атом водорода, разветвленную или неразветвленную алкильную группу с 1-4 атомами углерода, разветвленную или неразветвленную галогеналкильную группу с 1-4 атомами углерода, разветвленную или неразветвленную цианоалкильную группу с 1-4 атомами углерода, циклоалкильную группу с 3-6 атомами углерода, которая может быть замещена разветвленной или неразветвленной алкильной группой с 1-4 атомами углерода, алкенильной группой с 2-4 атомами углерода, алкинильной группой с 2-4 атомами углерода, фенильной группой, бензильной группой или – или -фенэтильной группой, необязательно имеющей (разветвленную или неразветвленную) алкоксигруппу с 1-4 атомами углерода в бензольном кольце.
Гербицидная композиция согласно настоящему изобретению включает соединение, выбранное из вышеупомянутых замещенных пиразолов предпочтительно в качестве активного ингредиента.
Гербицидная композиция согласно настоящему изобретению включает один или более видов замещенных производных пиразола в качестве активных ингредиентов.
ПОДРОБНОЕ ОПИСАНИЕ ИЗОБРЕТЕНИЯ
Замещенные производные пиразола (также называемые “соединения по изобретению”) являются новыми соединениями, проявляющими достаточную безопасность для важных зерновых культур и имеющими превосходную гербицидную активность и обладающими структурой, представленной формулой (1) или (4). Они имеют общий фрагмент, состоящий из замещенного пиразольного кольца и N-оксим кислотного амида. Замещенное производное пиразола формулы (4) представляет собой производное соединение формулы (1). Соединения по изобретению представлены ниже как соединения, имеющие конкретные группы, но не ограничивающиеся ими.


Объем настоящего изобретения включает также другие заявленные соединения, обладающие гербицидной активностью, а именно производные соединения по изобретению, имеющие различные замещающие группы, соли (например, соли натрия, соли калия, соли магния, соли кальция, соли алюминия, соли цинка), гидраты, сольваты и кристаллические полиморфы соединений. Далее возможны стереоизомеры, когда соединения по изобретению содержат асимметричный углерод (например, когда R1 и R2 в формуле (1) или (4) являются отличными друг от друга). Соединения по изобретению включают все возможные изомеры и смеси, содержащие два или более изомеров в произвольных долях.
Далее описаны в указанном порядке подробные структуры соединений по изобретению (1) и (4), способы получения, гербицидные действия, составы и способы их применения.
Замещенные производные пиразола
Соединения по изобретению являются замещенными производными пиразола, включающими замещенное пиразольное кольцо и N-оксим кислотный амид, как указано в формуле (1), и его производные (представленные формулой (4)). В формулах
(1) и (4) n является 0 или 1. В любом случае кислотные амиды (1) и их гидразидные производные (4) настоящего изобретения могут содержать атом водорода и другие группы, описанные ниже в качестве замещающих групп A, D, Е, R1-R5, R11 и R12.
Группа А в формуле (1) представляет собой атом водорода, разветвленную или неразветвленную алкильную группу с 1-4 атомами углерода, разветвленную или неразветвленную галогеналкильную группу с 1-4 атомами углерода, циклоалкильную группу с 3-6 атомами углерода или фенильную группу, необязательно имеющую одну или более замещающих групп, представленных ниже.
Замещающие группы фенильной группы могут быть одинаковыми или отличными друг от друга и выбираются из разветвленных или неразветвленных алкильных групп с 1-4 атомами углерода, разветвленных или неразветвленных галогеналкильных групп с 1-4 атомами углерода, разветвленных или неразветвленных алкоксигрупп с 1-4 атомами углерода, разветвленных или неразветвленных галогеналкоксигрупп с 1-4 атомами углерода, разветвленных или неразветвленных алкилкарбонилоксигрупп с 1-4 атомами углерода, разветвленных или неразветвленных диалкиламинокарбонилоксигрупп с 1-4 атомами углерода, разветвленных или неразветвленных диалкиламиносульфонилоксигрупп с 1-4 атомами углерода, разветвленных или неразветвленных алкилтиогрупп с 1-4 атомами углерода, разветвленных или неразветвленных галогеналкилтиогрупп с 1-4 атомами углерода, разветвленных или неразветвленных алкилсульфонильных групп с 1-4 атомами углерода, атомов галогена, гидроксильной группы, цианогруппы, фенокси группы и бензилокси.
Эти примерные замещающие группы могут замещать атом водорода в 0-3 произвольных положениях фенильной группы.
Конкретные примеры указанных выше групп представлены ниже без ограничения объема изобретения.
Разветвленные или неразветвленные алкильные группы с 1-4 атомами углерода включают метильную, этильную, пропильную и бутильную группы и их изомерные группы.
Разветвленные или неразветвленные галогеналкильные группы с 1-4 атомами углерода включают фторметильную, дифторметильную, трифторметильную, дихлорэтильную и бромпропильную группы и их изомерные группы.
Циклоалкильные группы с 3-6 атомами углерода включают циклопропильную, циклобутильную, циклопентильную и циклогексильную группы.
“Фенильная группа, необязательно имеющая одну или более замещающих групп”, представленная как примерная группа А в формуле (1), относится к фенильной группе, замещенной одинаковыми или различными замещающими группами в 0-5 произвольных положениях. Примеры замещающих групп включают разветвленные или неразветвленные алкильные группы с 1-4 атомами углерода, разветвленные или неразветвленные галогеналкильные группы с 1-4 атомами углерода, разветвленные или неразветвленные алкоксигруппы с 1-4 атомами углерода, разветвленные или неразветвленные галогеналкоксигруппы с 1-4 атомами углерода, разветвленные или неразветвленные алкилкарбонилоксигруппы с 1-4 атомами углерода, разветвленные или неразветвленные диалкиламинокарбонилоксигруппы с 1-4 атомами углерода, разветвленные или неразветвленные диалкиламиносульфонилоксигруппы с 1-4 атомами углерода, разветвленные или неразветвленные алкилтиогруппы с 1-4 атомами углерода, разветвленные или неразветвленные галогеналкилтиогруппы с 1-4 атомами углерода. разветвленные или неразветвленные алкилсульфонильные группы с 1-4 атомами углерода, атомы галогена, гидроксильную группу, цианогруппу. Конкретные примеры алкильных групп и галогеналкильных групп включают, но не ограничиваются ими, группы, описанные выше.
Разветвленные или неразветвленные алкоксигруппы с 1-4 атомами углерода включают метокси, этокси, пропокси и бутокси группы и их изомерные группы.
Разветвленные или неразветвленные галогеналкоксигруппы с 1-4 атомами углерода включают монофторметокси и хлорпропокси группы и их изомерные группы.
Разветвленные или неразветвленные алкилкарбонилоксигруппы с 1-4 атомами углерода включают метилкарбонилокси, этилкарбонилокси, пропилкарбонилокси и бутилкарбонилокси группы.
Разветвленные или неразветвленные диалкиламинокарбонилоксигруппы с 1-4 атомами углерода включают диметиламинокарбонилокси и диэтиламинокарбонилокси группы.
Разветвленные или неразветвленные диалкиламиносульфонилоксигруппы с 1-4 атомами углерода включают диметиламиносульфонилокси и диэтиламиносульфонилокси группы.
Разветвленные или неразветвленные алкилтиогруппы с 1-4 атомами углерода включают метилтио, этилтио, пропилтио и бутилтио группы и их изомерные группы.
Разветвленные или неразветвленные галогеналкилтиогруппы с 1-4 атомами углерода включают монохлорметилтио и трифторметилтио группы.
Разветвленные или неразветвленные алкилсульфонильные группы с 1-4 атомами углерода включают метилсульфонильную, этилсульфонильную, пропилсульфонильную и бутилсульфонильную группы и их изомерные группы.
Атомы галогена включают атомы фтора, хлора, брома и йода.
Произвольные замещающие группы в фенильной группе каждая может представлять фенильную группу, необязательно имеющую далее одну или более замещающих групп (эти замещающие группы являются теми же, что и вышеупомянутые замещающие группы), фенокси группу, необязательно имеющую одну или более замещающих групп в бензольном кольце (эти замещающие группы являются теми же, что и вышеупомянутые замещающие группы) или бензилоксигруппу, необязательно имеющую одну или более замещающих групп в бензольном кольце (эти замещающие группы являются теми же, что и вышеупомянутые замещающие группы). Конкретные примеры таких замещенных фенильных групп (имеющих одну или более замещающих групп в бензольном кольце) включают метилфенильную группу, хлорфенильную группу, дихлорфенильную группу, 3-(1-(хлорбензилоксиимино)-этил)фенильную группу, 3-(бензилокси)фенильную группу, 3-(метилбензилокси)фенильную группу, 3-(хлорбензилокси)фенильную группу, 3-(цианобензилокси)фенильную группу, 3-(диметилбензилокси)фенильную группу, 3-(дихлорбензилокси)фенильную группу, 3-(пиридилметокси)фенильную группу, 3-(бензоилокси)фенильную группу, 3-(хлорбензоилокси)фенильную группу, бензильную группу, феноксиметильную группу, метилфеноксиметильную группу, фенилтиометильную группу, метилфенилтиометильную группу, 1-феноксиэтильную группу, 1-(метилфенокси)этильную группу, 1-фенилтиоэтильную группу, 1-(метилфенилтио)этильную группу, феноксигруппу, 2-метилфеноксигруппу, 3-метилфеноксигруппу, 4-метилфеноксигруппу, 2-хлорфеноксигруппу, 3-хлорфеноксигруппу, 4-хлорфеноксигруппу, 2-трифторметилфеноксигруппу, 2,5-диметилфеноксигруппу, 2,5-дихлорфеноксигруппу, 2-хлор-5-трифторметилфеноксигруппу, фенилтиогруппу, 2-метилфенилтиогруппу, бензилоксигруппу, 2-метилбензилоксигруппу, 3-метилбензилоксигруппу, 4-метилбензилоксигруппу, 2-хлорбензилоксигруппу,3-хлорбензилоксигруппу, 4-хлорбензилоксигруппу, 2-трифторметилбензилоксигруппу, 2,5-диметилбензилоксигруппу, 2,5-дихлорбензилоксигруппу, 2-хлор-5-трифторметилбензилоксигруппу, бензилтиогруппу, 2-метилбензилтиогруппу, бензилоксииминометильную группу, 2-метилбензилоксииминометильную группу, 3-метилбензилоксииминометильную группу и 4-метилбензилоксииминометильную группу.
Разветвленные или неразветвленные алкильные группы с 1-4 атомами углерода для вышеупомянутых групп (R6, R7, R8, R9 и R10) включают алкильные группы, указанные выше, но не ограничиваются ими.
Для представленной выше группы А особенно предпочтительными являются атом водорода, метильная группа, этильная группа, н-пропильная группа, изо-пропильная группа, н-бутильная группа, трет-бутильная группа, трифторметильная группа, циклопропильная группа, циклобутильная группа, циклопентильная группа, циклогексильная группа, фенильная группа, 2-фторфенильная группа, 3-фторфенильная группа, 4-фторфенильная группа, 2-хлорфенильная группа, 3-хлорфенильная группа, 4-хлорфенильная группа, 2-бромфенильная группа, 3-бромфенильная группа, 4-бромфенильная группа, 2,3-дифторфенильная группа, 2,4-дифторфенильная группа, 2,5-дифторфенильная группа, 2,6-дифторфенильная группа, 3,4-дифторфенильная группа, 3,5-дифторфенильная группа, 2,5-дихлорфенильная группа, 2-фтор-4-хлорфенильная группа, 3-фтор-4-хлорфенильная группа, 4-фтор-2-хлорфенильная группа, 4-фтор-3-бромфенильная группа, 4-цианофенильная группа, 2-метилфенильная группа, 3-метилфенильная группа, 4-метилфенильная группа, 3,4-диметилфенильная группа, 3-фтор-4-метилфенильная группа, 4-фтор-3-метилфенильная группа, 2-фтор-3-трифторметилфенильная группа, 2-фтор-4-трифторметилфенильная группа, 2-фтор-5-трифторметилфенильная группа, 3-фтор-4-трифторметилфенильная группа, 3-фтор-5-трифторметилфенильная группа, 4-фтор-2-трифторметилфенильная группа, 4-фтор-3-трифторметилфенильная группа, 4-изопропилфенильная группа, 4-трифторметилфенильная группа, 4-гидроксифенильная группа, 4-ацетилоксифенильная группа, диметиламинокарбонилоксифенильная группа, диметиламиносульфинилоксифенильная группа, 4-метилтиофенильная группа, 4-метилсульфинилфенильная группа, 4-трифторметилтиофен ильная группа, 4-метоксифенильная группа, 2,3-диметоксифенильная группа, 3-фтор-4-метоксифенильная группа, 4-фтор-3-метоксифенильная группа, 2-хлор-4-метоксифенильная группа, 3-хлор-4-метоксифенильная группа, 4-дифторметоксифенильная группа, 4-трифторметоксифенильная группа, 4-(2,1,1-трифторэтокси)фенильная группа, 2-дифторметокси-4-метоксифенильная группа, 3,5-дифтор-4-метоксифенильная группа, 4-фенилфенильная группа, 3-феноксифенильная группа, 4-феноксифенильная группа, 4-бензилоксифенильная группа, 4-(N-гидроксиимино)фенильная группа, 4-(N-метоксиимино)фенильная группа и 4-(N,N-диметиламиноксиимино)фенильная группа.
Группа D в формуле (1) представляет собой атом водорода, разветвленную или неразветвленную алкильную группу с 1-4 атомами углерода, разветвленную или неразветвленную галогеналкильную группу с 1-4 атомами углерода, алкенильную группу с 2-4 атомами углерода, разветвленную или неразветвленную алкоксигруппу с 1-4 атомами углерода, циклоалкильную группу с 3-6 атомами углерода, атом галогена, разветвленную или неразветвленную алкоксикарбонильную группу с 1-4 атомами углерода,
разветвленную или неразветвленную алкилсульфонильную группу с 1-4 атомами углерода или фенильную группу.
Алкенильные группы с 2-4 атомами углерода включают винильную, пропенильную и бутенильную группы. Для последних двух групп возможны изомерные группы на основе двойной связи.
Разветвленные или неразветвленные алкоксикарбонильные группы с 1-4 атомами углерода включают метоксикарбонильную, этоксикарбонильную и пропоксикарбонильную группы.
Конкретные примеры других групп для группы D включают вышеупомянутые группы, но не ограничиваются ими.
Для вышеупомянутых групп D предпочтительными являются атом водорода, атом хлора, метильная группа, этильная группа, этинильная группа, трифторметильная группа, метилсульфинильная группа, этоксикарбонильная группа и фенильная группа.
Группа Е в формуле (1) представляет собой атом водорода, атом галогена или фенильную группу. Конкретные примеры этих групп включают упомянутые выше группы, но не ограничиваются ими.
Для представленных выше групп Е предпочтительными являются атом водорода, атом галогена и фенильная группа.
Группы R1 и R2 обе представляют собой атом галогена. Конкретные примеры этих групп включают группы, упомянутые выше, но не ограничиваются ими.
Группа R3 представляет собой атом водорода, разветвленную или неразветвленную алкильную группу с 1-4 атомами углерода, разветвленную или неразветвленную галогеналкильную группу с 1-4 атомами углерода, алкенильную группу с 2-4 атомами углерода, алкинильную группу с 2-4 атомами углерода или бензильную группу. Конкретные примеры этих групп описаны выше, но не ограничиваются ими. Для групп R3 предпочтительными являются атом водорода, разветвленная или неразветвленная алкильная группа с 1-4 атомами углерода, алкенильная группа с 2-4 атомами углерода, алкинильная группа с 2-4 атомами углерода.
Группы R4 и R5 могут быть одинаковыми или отличными друг от друга, и каждая обозначает атом водорода, разветвленную или неразветвленную алкильную группу с 1-4 атомами углерода, разветвленную или неразветвленную галогеналкильную группу с 1-4 атомами углерода, циклоалкильную группу с 3-8 атомами углерода, которые могут быть замещены разветвленной или неразветвленной алкильной группой с 1-4 атомами углерода, алкенильной группой с 2-4 атомами углерода, алкинильной группой с 2-4 атомами углерода, цианометильной группой или фенильной группой, замещенной 0-5 произвольными замещающими группами, указанными выше.
Кроме того, группа R4 и R5 каждая может являться – или -фенэтильной группой, необязательно имеющей одну или более замещающих групп в бензольном кольце. Замещающие группы выбираются из разветвленных или неразветвленных алкоксигрупп с 1-4 атомами углерода. Примерные замещающие группы могут замещать атом водорода в 0-2 произвольных положениях бензольного кольца – или -фенэтильной группы.
Примеры разветвленных или неразветвленных алкенильных групп с 2-4 атомами углерода, алкинильных групп с 2-4 атомами углерода, разветвленных или неразветвленных алкоксиалкильных групп с 1-4 атомами углерода, разветвленных или неразветвленных галогеналкильных групп с 1-4 атомами углерода, атомов галогена и замещенных фенильных групп включают описанные выше группы, но не ограничиваются ими.
Примеры замещенной или незамещенной аминогруппы включают аминогруппу и замещенные аминогруппы, такие как диметиламиногруппа, диэтиламиногруппа, дипропиламиногруппа, дибутиламиногруппа, этилметиламиногруппа, дифениламиногруппа, анилиногруппа, анизидиногруппа, фенетидиногруппа, толуидиногруппа, ксилидиногруппа, метоксикарбониламиногруппа, циклопропиламиногруппа и этиниламиногруппа.
Примеры циклоалкильных групп с 3-8 атомами углерода, которые могут быть замещены разветвленной или неразветвленной алкильной группой с 1-4 атомами углерода, включают циклопропильную группу, циклобутильную группу, циклопентильную группу, циклогексильную группу, циклогептильную группу, циклооктильную группу и эти же ациклические группы, замещенные разветвленной или неразветвленной алкильной группой с 1-4 атомами углерода.
Для представленных выше групп R4 предпочтительными являются атом водорода, метильная группа и этильная группа. Для представленных выше групп R5 предпочтительными являются атом водорода, разветвленная или неразветвленная алкильная группа с 1-4 атомами углерода, разветвленная или неразветвленная галогеналкильная группа с 1-4 атомами углерода, разветвленная или неразветвленная цианоалкильная группа с 1-4 атомами углерода, циклоалкильная группа с 3-6 атомами углерода, которые могут быть замещены алкильной группой, замещенной или незамещенной фенильной группой, замещенной или незамещенной бензильной группой и замещенной или незамещенной фенэтильной группой.
Кроме того, группы R4 и R5 могут вместе образовывать пятичленное или шестичленное алифатическое кольцо. Кольцо может модержать один или два гетероатома. Гетероатомы в алифатическом кольце влючают азот, кислород, серу, фосфор и мышьяк. Пятичленное или шестичленное кольцо может быть замещено группой, выбранной из алкильных групп с 1-4 атомами углерода, разветвленных или неразветвленных галогеналкильных групп с 1-4 атомами углерода, разветвленных или неразветвленных алкоксигрупп с 1-4 атомами углерода, галогеналкоксигрупп с 1-4 атомами углерода, атомов галогена, цианогруппы и нитрогруппы.
В особенно предпочтительном воплощении соединений по изобретению R4 и R5 вместе образуют гетероалициклическую группу, такую как пятичленное или шестичленное кольцо, содержащее один атом азота, или шестичленное кольцо, содержащее один атом азота и один атом кислорода или серы (например, соединения 118-122 в Таблице 1 из представленных далее Примеров).
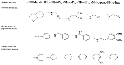
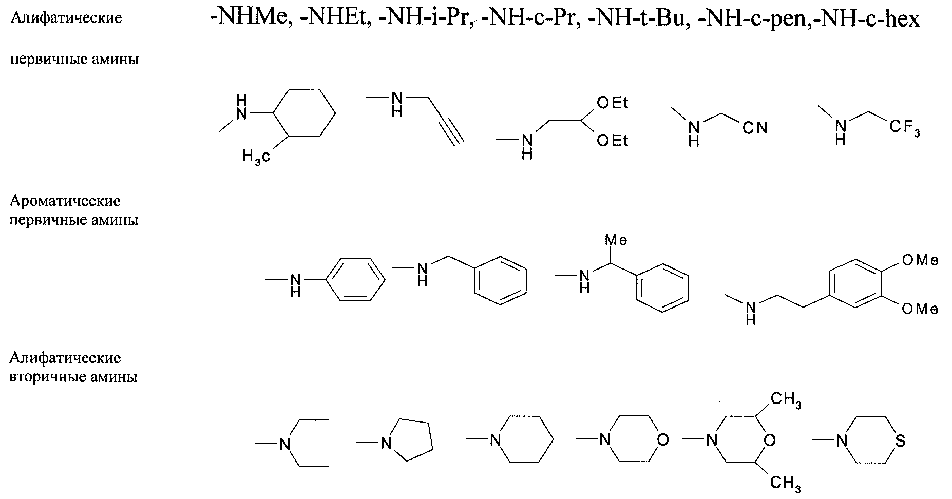
Конкретные примеры группы -N(R4R5) в формуле (1) представлены ниже, включая случаи, когда R4 и R5 вместе образуют пятичленное или шестичленное алифатическое кольцо, замещенное алкильной группой с 1-4 атомами углерода и т.д. В приведенных ниже формулах Me, Et, Pr, Bu, i, t, pen и hex обозначают метил, этил, пропил, бутил, изо-, трет-, пентил и гексил, соответственно.


ПРЕДПОЧТИТЕЛЬНЫЕ ВОПЛОЩЕНИЯ ИЗОБРЕТЕНИЯ
В Таблице 1 представлены соединения 1-124, синтезируемые в Примерах (описанных далее) в качестве типичных примеров замещенных производных пиразола формулы (1) согласно настоящему изобретению. Однако соединения по изобретению не ограничены ими.
Когда R4 представляет собой атом водорода и R5 является замещенной аминогруппой -N(R11,R12) в формуле (1), в частности соединение по изобретению представляет собой замещенное гидразидное производное пиразола, представленное формулой (4):

где n является 0 или 1;
А представляет собой фенил; Е, R1 и R2 представляют собой атом водорода;
D и R3 независимо обозначают разветвленную или неразветвленную алкильную группу с 1-4 атомами углерода; и
группы R11 и R12 могут быть одинаковыми или различными и каждая обозначает атом водорода, разветвленную или неразветвленную алкильную группу с 1-4 атомами углерода, разветвленную или неразветвленную алкоксикарбонильную группу с 1-4 атомами углерода.
Конкретные примеры вышеупомянутых групп описаны выше, но не ограничиваются ими.
В замещенных производных пиразола формулы (4) предпочтительно, чтобы группа А представляла собой фенильную группу, замещенную 0-3 замещающими группами (0 замещающих групп означает незамещенную фенильную группу), группа D представляет собой группу, выбранную из разветвленных или неразветвленных алкильных групп с 1-4 атомами углерода, циклоалкильных групп с 3-6 атомами углерода и атомов галогена, группа Е представляет собой атом водорода, группы R1 и R2 обе представляют собой атом галогена, группа R3 представляет собой группу, выбранную из разветвленных или неразветвленных алкильных групп с 1-4 атомами углерода, алкенильных групп с 2-4 атомами углерода, алкинильных групп с 2-4 атомами углерода и группы R11 и R12 были бы одинаковыми или различными и выбраны из атома водорода, разветвленных или неразветвленных алкильных групп с 1-4 атомами углерода.
Соединения 123 и 124, представленные в Таблице 1 Примеров (приведенной далее), являются типичными примерами замещенных производных пиразола формулы (4). Однако соединения по изобретению не ограничиваются ими.
Способ получения замещенных производных пиразола
Далее описан способ получения соединений по изобретению. Для получения соединения по изобретению (1) должны быть выполнены следующие стадии реакции:
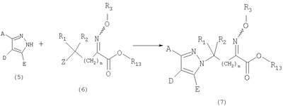
Стадия (а): Производное пиразола формулы (5) реагирует с эфирным производным галогеналкиленоксима (то есть производное оксима галогенпирувата) формулы (6) в присутствии основания с получением эфирного производного формулы (7):
Стадия (а):

где Z представляет собой атом галогена и R13 представляет собой метильную или этильную группу.
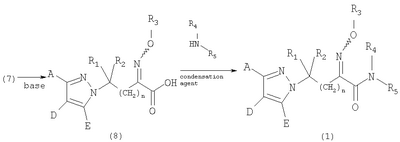
Стадия (b): Эфирную группу эфирного производного (формула 7) гидролизуют основанием для получения производного карбоновой кислоты, представленного формулой (8).
Стадия (с): Производное карбоновой кислоты реагирует с амином R4-NH-R5 в присутствии конденсирующего агента с получением соединения по изобретению (формула 1):
1):
Стадия (b):

где R4 и R4 обозначают одинаковые группы как описано выше.
Примерные конденсирующие агенты для использования на Стадии (с) включают карбонилдиимидазол, тионилдиимидазол, дикарбоксикарбодиимид и гидрохлорид 1-этил-3-(3-диметиламинопропил)-карбодиимида.
Некоторые виды аминов могут воздействовать на эфирное производное формулы (7) для прямого синтеза соединений по изобретению формулы (1).
Примерные основания, используемые в реакции между производным пиразола формулы (5) и эфирным производным галогеналкиленоксима формулы (6), включают неорганические основания, такие как гидрид натрия, гидрокарбонат натрия, карбонат натрия, карбонат калия и карбонат цезия, и органические основания, такие как триэтиламин и 1,8-диазабицикло(5,4,0)-ундека-7-ен (DBU).
Относительно количеств реагентов, подвергаемых реакции, используется около 1-5 эквивалентов, предпочтительно 1-3 эквивалента эфирного производного галогеналкиленоксима формулы (6) и около 1-5 эквивалентов, предпочтительно 1-3 эквивалента основания на эквивалент производного пиразола, представленного формулой (5).
В вышеупомянутой реакции обычно используется растворитель. Пригодные растворители включают эфиры, такие как диэтиловый эфир, 1,2-диметоксиэтан, тетрагидрофуран, этиленоксид и 1,4-диоксан; кислотные амиды, такие как N,N-диметилформамид и N-метилпирролидон; кетоны, такие как ацетон, метилэтилкетон, метилизобутилкетон и циклогексанон; и ацетонитрил.
Температура реакции и время реакции на стадии (а) составляют обычно приблизительно от 0 до 150°С, предпочтительно от 10 до 100°С, и от 10 минут до 24 часов соответственно. Реакция может сопровождаться обычными способами обработки и очистки колоночной хроматографией, перекристаллизацией и т.д., что требуется для получения конечных соединений.
Примерные основания, применяемые на стадии (b), включают гидроксид лития, гидроксид калия и гидроксид натрия.
Относительно количества конденсирующего агента, подвергаемого реакции, используются приблизительно 1-5 эквивалентов, предпочтительно 1-3 эквивалента, а также приблизительно 1-5 эквивалентов, предпочтительно 1-3 эквивалента основания используются на эквивалент эфирного производного, представленного формулой (7).
В указанной выше реакции обычно используется смесь воды и спиртового растворителя. Пригодные растворители включают метанол, этанол, пропанол и бутанол. Растворитель и вода используются в равных количествах.
После реакции реакционная смесь может быть обработана обычным методом, и продукт реакции может быть выделен колоночной хроматографией, перекристаллизацией и т.д.
Температура реакции и время реакции на стадии (с) составляют обычно приблизительно от 0 до 100°С, предпочтительно от 10 до 80°С, и от 10 минут до 24 часов соответственно.
Замещенное пиразольное кольцо, представленное формулой (5), может синтезироваться из различных производных пиразола, имеющих замещающие группы. Примерные способы синтеза приведены ниже для пиразольных колец, в которых группы D и Е являются атомами водорода или являются замещенными, или в которых группа D является атомом галогена.
Замещенное пиразольное кольцо формулы (5), в котором Е представляет собой атом водорода, может быть получено по реакции -формилкетона следующей формулы (9) с гидразингидратом (стадия (d)). Оно также получается по реакции енаминового производного формулы (10) с гидразингидратом (стадия (е)).

В отношении количеств реактивов, подвергаемых реакции, используются приблизительно 1-5 эквивалентов гидразингидрата на эквивалент -формилкетона формулы (9) или енаминового производного формулы (10).
В вышеупомянутой реакции обычно используется растворитель. Подходящие растворители включают эфиры, такие как диэтиловый эфир, 1,2-диметоксиэтан и тетрагидрофуран; кислотные амиды, такие как N,N-диметилформамид и N-метилпирролидон; спирты, такие как метанол и этанол; органические кислоты, такие как уксусная кислота и ароматические углеводороды, такие как бензол и толуол.
Температура реакции и время реакции на стадии (d) составляют обычно приблизительно от 0 до 150°С и от 10 минут до 24 часов соответственно. Реакция может сопровождаться обычными способами обработки и очистки колоночной хроматографией, перекристаллизацией и т.д., что требуется для получения конечных соединений.
-Формилкетон, представленный формулой (9), может быть получен конденсацией Кляйзена между производным кетона формулы (11) и форматом HCOOR14 (где R14 представляет собой метильную или этильную группу) в присутствии основания (Стадия (f)).
Стадия (f):

Примерные основания, применяемые в вышеупомянутой реакции, включают гидрид натрия, метилат натрия и этилат натрия.
Относительно количеств реагентов, подвергаемых реакции, используются приблизительно 1-20 эквивалентов формата и приблизительно 1-2 эквивалента основания на эквивалент производного кетона, представленного формулой (11).
В вышеупомянутой реакции обычно используется растворитель. Пригодные растворители включают форматы. Растворитель может быть необязательно разбавлен эфиром, таким как диэтиловый эфир, 1,2-диметоксиэтан или тетрагидрофуран.
Температура реакции и время реакции на стадии (f) составляют обычно приблизительно от 0 до 100°С и от 10 минут до 24 часов соответственно. Реакция может сопровождаться обычными способами обработки и очистки колоночной хроматографией, перекристаллизацией и т.д., что требуется для получения конечных соединений.
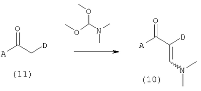
Енаминовая производная формулы (10) может быть получена по реакции производного кетона формулы (11) с N,N-диметилформамиддиметилацеталем (Стадия (g)).
Стадия (g):

Относительно количеств реагентов, подвергаемых реакции, используются 1-10 эквивалентов N,N-диметилформамиддиметилацеталя на эквивалент производного кетона, представленного формулой (11).
В вышеупомянутой реакции обычно используется растворитель. Примерные растворители включают ароматические углеводороды, такие как бензол и толуол, и эфиры, такие как 1,2-диметоксиэтан и тетрагидрофуран.
Температура реакции и время реакции на стадии (g) составляют обычно приблизительно от 0 до 150°С и от 10 минут до 24 часов соответственно. Реакция может сопровождаться обычными способами обработки и очистки колоночной хроматографией, перекристаллизацией и т.д., что требуется для получения конечных соединений.
Замещенное пиразольное кольцо формулы (5), в котором Е является замещающей группой, может быть получено по реакции производного дикетона следующей формулы (12) с гидразингидратом (Стадия (h)).
Стадия (h):

Относительно количеств реагентов, подвергаемых реакции, используются 1-5 эквивалентов гидразингидрата на эквивалент производного кетона формулы (12).
В вышеупомянутой реакции обычно используется растворитель. Подходящие растворители включают эфиры, такие как диэтиловый эфир, 1,2-диметоксиэтан и тетрагидрофуран; кислотные амиды, такие как N,N-диметилформамид и N-метилпирролидон; спирты, такие как метанол и этанол; органические кислоты, такие как уксусная кислота; и ароматические углеводороды, такие как бензол и толуол.
Температура реакции и время реакции на стадии (h) составляют обычно приблизительно от 0 до 150°С и от 10 минут до 24 часов соответственно. Реакция может сопровождаться обычными способами обработки и очистки колоночной хроматографией, перекристаллизацией и т.д., что требуется для получения конечных соединений.
Производное кетона, представленное формулой (12), может быть получено конденсацией Кляйзена между производным кетона формулы (11) и карбоксилатом в присутствии основания (Стадия (i)). R15 представляет собой С1-4 алкильную группу.
Стадия (i):

Примерные основания, используемые в вышеупомянутой реакции, включают гидрид натрия, метилат натрия и этилат натрия.
Относительно количеств реагентов, подвергаемых реакции, используются приблизительно 1-20 эквивалентов карбоксилата и приблизительно 1-2 эквивалента основания на эквивалент производного кетона, представленного формулой (11).
В вышеупомянутой реакции обычно используется растворитель. Примерные растворители включают эфиры, такие как диэтиловый эфир, 1,2-диметоксиэтан и тетрагидрофуран; и кислотные амиды, такие как N,N-диметилформамид и N-метилпирролидон.
Температура реакции и время реакции на стадии (i) составляют обычно приблизительно от 0 до 100°С и от 10 минут до 24 часов соответственно. Реакция может сопровождаться обычными способами обработки и очистки колоночной хроматографией, перекристаллизацией и т.д., что требуется для получения конечных соединений.
Замещенное пиразольное кольцо формулы (5), в котором D и Е оба являются атомами водорода, может быть получено по реакции производного енамина следующей формулы (13) с гидразингидратом (Стадия (j)) с получением производного пиразола формулы (5), в котором D и Е оба являются атомами водорода.
Стадия (j):

Относительно количеств реагентов, подвергаемых реакции, используются приблизительно 1-5 эквивалентов гидразингидрата на эквивалент производного енамина формулы (13).
В вышеупомянутой реакции обычно используется растворитель. Подходящие растворители включают эфиры, такие как диэтиловый эфир, 1,2-диметоксиэтан и тетрагидрофуран; кислотные амиды, такие как N,N-диметилформамид и N-метилпирролидон;
спирты, такие как метанол и этанол; органические кислоты, такие как уксусная кислота; и ароматические углеводороды, такие как бензол и толуол.
Температура реакции и время реакции на стадии (j) составляют обычно приблизительно от 0 до 150°С и от 10 минут до 24 часов соответственно. Реакция может сопровождаться обычными способами обработки и очистки колоночной хроматографией, перекристаллизацией и т.д., что требуется для получения конечных соединений.
Замещенное пиразольное кольцо формулы (5), в котором D является атомом водорода, может быть получено по реакции производного дикетона следующей формулы (14) с гидразингидратом (Стадия (k)).
Стадия (k):

Относительно количеств реагентов, подвергаемых реакции, используются приблизительно 1-5 эквивалентов гидразингидрата на эквивалент производного дикетона формулы (14).
В вышеупомянутой реакции обычно используется растворитель. Подходящие растворители включают эфиры, такие как диэтиловый эфир, 1,2-диметоксиэтан и тетрагидрофуран; кислотные амиды, такие как N,N-диметилформамид и N-метилпирролидон; и ароматические углеводороды, такие как бензол и толуол.
Температура реакции и время реакции на стадии (k) составляют обычно приблизительно от 0 до 150°С и от 10 минут до 24 часов соответственно. Реакция может сопровождаться обычными способами обработки и очистки колоночной хроматографией, перекристаллизацией и т.д., что требуется для получения конечных соединений.
Производное дикетона, представленное формулой (14), может быть получено конденсацией Кляйзена между производным кетона формулы (15) и карбоксилатом в присутствии основания (Стадия (1)). R16 является С1-4 алкильной группой.
Стадия (1)

Относительно количеств реагентов, подвергаемых реакции, используются приблизительно 1-20 эквивалентов карбоксилата и приблизительно 1-2 эквивалента основания на эквивалент производного кетона, представленного формулой (14).
Примеры оснований, применимых в вышеупомянутой реакции, включают гидрид натрия, метилат натрия и этилат натрия.
В вышеупомянутой реакции обычно используется растворитель. Подходящие растворители включают эфиры, такие как диэтиловый эфир, 1,2-диметоксиэтан и тетрагидрофуран; и кислотные амиды, такие как N,N-диметилформамид и N-метилпирролидон.
Температура реакции и время реакции на стадии (1) составляют обычно приблизительно от 0 до 100°С и от 10 минут до 24 часов соответственно. Реакция может сопровождаться обычными способами обработки и очистки колоночной хроматографией, перекристаллизацией и т.д., что требуется для восстановления конечного соединения.
Замещенное пиразольное кольцо формулы (5), в котором D является атомом галогена (X), может быть получено по реакции галогенирующего агента с производным пиразола следующей формулы (16) (Стадия (m)). X представляет собой атом хлора, брома или йода.
Стадия (m):

Относительно количеств реагентов, подвергаемых реакции, используются 1-10 эквивалентов галогенирующего агента на эквивалент производного пиразола формулы (16).
Примерные галогенирующие агенты включают газообразный хлор, N-хлорсукцинимид, 1,5-дихлор-5,5-диметилгидантоин, бром, N-бромсукцинимид и 1,5-дибром-5,5-диметилгидантоин.
В вышеупомянутой реакции обычно используется растворитель. Пригодные растворители включают галогенированные растворители, такие как дихлорметан, хлороформ, четыреххлористый углерод и 1,2-дихлорэтан.
Температура реакции и время реакции на стадии (m) составляют обычно приблизительно от 0 до 30°С и от 10 минут до 24 часов соответственно. Реакция может сопровождаться обычными способами обработки и очистки колоночной хроматографией, перекристаллизацией и т.д., что требуется для получения конечного соединения.
Эфирное производное галогеналкиленоксима, представленное формулой (6), может быть получено по реакции производного гидроксиламина формулы (19) с производным галогенпирувата формулы (18) (Стадия (n)).
Стадия (n):

Относительно количеств реагентов, подвергаемых реакции, используются 1-3 эквивалента, предпочтительно 1-1.5 эквивалентов гидроксиламина формулы (19) на эквивалент производного галогенпирувата формулы (18).
В вышеупомянутой реакции обычно используется растворитель. Пригодные растворители включают спирты, такие как метанол, этанол, нормальный пропанол, изопропанол, нормальный бутанол и бензиловый спирт; и ароматические углеводороды, такие как бензол, толуол, ксилол, хлорбензол и этилбензол. Из них предпочтительными являются метанол, этанол, бензол и толуол.
Реакция может сопровождаться обычными методами обработки и конечный продукт реакции может быть подвергнут следующей реакции без очистки.
Температура реакции и время реакции на указанной выше стадии составляют обычно приблизительно от 0 до 150°С, предпочтительно от 20 до 100°С, и от 10 минут до 24 часов соответственно. Реакция может сопровождаться обычной обработкой и конечный продукт реакции может быть подвергнут следующей реакции без очистки.
Соединения по изобретению (4) могут быть получены согласно подобному вышеупомянутому способу стадии синтеза (с). В этом синтезе производное карбоновой кислоты формулы (8) конденсируется с замещенным гидразином, имеющим замещающие группы R11 и R12 (то есть H2NNR11R12) вместо амина R4-NH-R5. Условия реакции являются теми же, что и для стадии (с). Некоторые виды производных гидразина могут взаимодействовать с эфирным производным формулы (7) для непосредственного синтеза соединений по изобретению.
Гербицидные действия
Гербицидный спектр (нагорная область)
Некоторые виды соединений по изобретению являются полезными в качестве гербицидов для нагорных областей и необработанных земель. Они в любой твердой обработке почвы, комплексной обработке почвы и обработке листьев могут оказывать в маленьких дозах высокие гербицидные действия на различные виды полевых сорняков. Контролируемыми сорняками являются, например, широколистные сорняки, включая сорняки Solanaceae, такие как Solanum nigrum и Datura stramonium, сорняки Malvaceae, такие как Abutilon theophrasti и Sida spinosa, сорняки Convolvulaceae, такие как Ipomoea spps. (например, Ipomoea purpurea) и Calystegia spps., сорняки Amaranthaceae, такие как Amaranthus lividus и Amaranthus retroflexus, сорняки Compositae, такие как Xanthium pensylvanicum, Ambrosia artemisiaefolia, Helianthus annuus, Galinsoga ciliata, Cirsium arvenser, Senecio vulgaris и Erigeron annus, сорняки Cruciferae, такие как Rorippa indica, Sinapis arvensis и Capsella Bursapastoris, сорняки Polygonaceae, такие как Polygonum Blumei и Polygonum convolvulus, сорняки Portulacaceae, такие как Portulaca oleracea, Cher. сорняки Chenopodiaceae, такие как Chenopodium album, Chenopodium ficifolium и Kochia scoparia, сорняки Caryophyllaceae, такие как Stellaria media, сорняки Scrophulariaceae, такие как Veronica persica, сорняки Commelinaceae, такие как Commelina communis, сорняки Labiatae, такие как Lamium amplexicaule и Lamium purpureum, сорняки Euphorbiaceae, такие как Euphorbia supina и Euphorbia maculata, сорняки Rubiaceae, такие как Galium spurium и Rubia akane, сорняки Violaceae, такие как Viola mandshurica и бобовые сорняки, такие как Sesbania exaltata и Cassia obtusifolia; и другие сорняки, включая злаковые сорняки, такие как Sorghum bicolor, Panicum dichotomiflorun, Sorghum halepense, Echinochloa crus-galli var. crus-galli, Echinochloa crus-galli var. praticola, Echinochloa utilis, Digitaria adscendens, Avenafatua, Eleusine indica, Setaria viridis, Alopecurus aegualis и Роа аппиа, и сорняки Cyperaceous, такие как Cyperus rotundus (Cyperus esculentus).
Далее соединения по изобретению могут подавлять широко распространенные сорняки, такие как сорняки, появляющиеся на жатвенных полях, землях под паром, землях под постоянными зерновыми культурами, пастбищах, лужайках, по сторонам железной дороги, спортивных площадках, свободных землях, лесах, сельских угодьях, дамбах и других необрабатываемых землях.
Селективность к урожаю (нагорные области)
Некоторые виды соединений по изобретению не затрагивают рост главных зерновых культур, таких как Orysa sativa, Triticum aestivum, Hordeum vulgare, Sorghum bicolor, Arachis hypogaea, Zea mays, Glycine max, Gossypium spp. и Beat vulgaris, газонные травы, такие как Zoysia japonica и Zoysia matrella, и садовые культуры, такие как цветы, декоративные растения и овощные культуры, включая Raphanus sativus и Brassica napus.
Гербицидный спектр (рисовые поля)
Некоторые виды соединений по изобретению полезны в качестве гербицидов рисовых полей. Они в любой обработке как воды так и листвы, могут оказывать в маленькой дозе высокие гербицидные действия на различные разновидности рисовых сорняков. Такие сорняки, например, сорняки Alismatceae, такие как Alisma canaliculatum, Sagittaria trifolia и Sagittaria pygmaea, сорняки Cyperaceous, такие как Cyperus difformis, Cyperus serotinus, Scirpus juncoides, Eleocharis kuroguwai и Eleocharis acicularis, сорняки Scrophulariaceae, такие как Lindernia pyxidaria, сорняки Pontederiaceae, такие как Monochoria vaginalis, сорняки Potamogetonaceae, такие как Potamogeton distinctus, сорняки Umbelliferae, такие как Oenanthe javanica, сорняки Lythraceae, такие как Rotala indica и Ammannia multiflora, сорняки Elatinaceae, такие как Elatine triandra и сорняки Graminaceous, такие как Echinochloa oryzicola, Echinochloa crus-galli var. formosensis и Echinochloa crus-galli. Var. crus-galli.
Селективность к урожаю (рисовые поля)
Соединения по изобретению не проявляют значительной химической опасности при пересадке риса или прямой посадке риса.
Действия на водные растения
Соединения по изобретению оказывают действие на морские водоросли, такие как сине-зеленые морские водоросли и водные сорняки, такие как Eichnomia crassipes, которые появляются в ручьях, каналах, озерах, болотах, водоемах и водных бассейнах.
Составы
Гербицидные композиции согласно настоящему изобретению содержат один или более видов соединений по изобретению в качестве активных ингредиентов. В составах композиций активный ингредиент(ы) объединен с твердым или жидким носителем и необязательно с поверхностно-активным веществом и другим адъювантом, и смесь готовится в обычные формы сельскохозяйственных химических веществ, таких как влажные порошки, порошки, гранулы, шарики, концентрированные жидкости, аэрозоли, растворимые в воде порошки, концентраты эмульсий, концентраты суспензий, текучие вещества и брикеты. В частности, для применения на рисовых полях гербицидная композиция желательно составляется в гранулы и упаковывается в водорастворимую полимерную пленку, как будет описано далее.
Для получения гербицидных композиций может использоваться любой способ, обычно используемый для получения сельскохозяйственных химических веществ. При необходимости активные ингредиенты для сельскохозяйственных химических веществ могут тонко распыляться заранее воздушной мельницей или ударной мельницей и смешиваться с носителем, поверхностно-активным веществом и т.д. Для получения составов не в виде порошков может осуществляться подходящая обработка в зависимости от вида конечного состава. В случае гранулированных составов, например, необходимые ингредиенты могут быть смешаны, измельчены и гранулированы до необходимого размера с помощью экструдера согласно общей методике гранулирования сельскохозяйственных химических веществ. Для получения суспензионных составов активный ингредиент(ы) может быть диспергирован в воду, содержащую носитель и поверхностно-активное вещество в качестве увлажняющего агента, диспергирующий агент и суспензирующий агент, и суспендированные частицы могут быть пропущены через влажную мельницу, такую как DYNO-Mill, или песчаную дробилку и необязательно смешаны с адъювантом и т.д. Растворимые в воде порошки и влажные порошки могут быть растворены или суспендированы в воде для применения. Концентраты эмульсий могут быть получены смешением активного ингредиента(ов) с соответствующим эмульсифицирующим агентом с помощью гомогенизатора, эмульсификатора под давлением или DYNO-Mill.
Добавки
В практическом применении соединений по изобретению соединения могут использоваться отдельно. Они могут также использоваться в виде композиций в комбинации с полезными добавками, обычно используемыми для составов, такими как носители, поверхностно-активные вещества, растворители и адъюванты, эффективные для повышения дисперсности и для улучшения других свойств активных ингредиентов (например, наполняющие агенты, антизамерзающие агенты, антивспенивающие агенты, антисептические агенты, стабилизирующие агенты и красители).
Примеры твердых носителей или разбавителей включают тонко измельченные порошки или гранулы растительных веществ, волокнистых материалов, синтетических пластических порошков, глины (такой как каолин, бентонит, земляная глина, диатомовая земля и глина Фубасами), талька, неорганических материалов (пемзы, порошковой серы, активированного угля и карбоната кальция) и химических удобрений (таких как сульфат аммония, фосфат аммония и мочевина). Примеры жидких носителей или разбавителей включают воду, спирты, кетоны, эфиры, ароматические углеводороды, алифатические углеводороды, эфиры, нитрилы, амиды (N,N-диметилформамид, диметилсульфоксид) и галогенированные углеводороды.
Примеры поверхностно-активных веществ включают алкильные эфиры серной кислоты, алкилсульфонаты, алкиларилсульфоновые кислоты, алкиларильные эфиры, эфиры полиэтиленгликоля, эфиры полигидрированных спиртов и производные спиртов сахаров.
Примеры рассеивающих или диспергирующих агентов включают казеин, желатин, порошок крахмала, карбоксиметилцеллюлозу, гуммиарабик, альгиновую кислоту, лигнин, бентонит, поливиниловый спирт, пальмовое масло, патоку, агар и т.д.
Примеры стабилизаторов включают смеси изопропилфосфата, трикресилфосфат, высшие масла, эпоксимасла, поверхностно-активные агенты, жирные кислоты и их эфиры. Как будет описано далее, составы согласно настоящему изобретению могут содержать другие фунгициды, инсектициды, гербициды или удобрения в дополнение к вышеупомянутым ингредиентам.
Концентрации активных ингредиентов
Концентрации активных ингредиентов в гербицидных композициях по изобретению могут изменяться в зависимости от типа описанного выше состава. В случае влажных порошков концентрация активного ингредиента находится в диапазоне от 5 до 90% и предпочтительно приблизительно от 10 до 85%. Для концентратов эмульсий концентрация активного ингредиента находится в диапазоне от 3 до 70% и предпочтительно приблизительно от 5 до 60%. Для гранул концентрация активного ингредиента находится в диапазоне от 0.01 до 50% и предпочтительно от 0.05 до 40%.
Применение (дозировка и способ применения)
Полученные таким образом влажные порошки или концентраты эмульсий могут распыляться или разбавляться водой до нужной концентрации суспензии или эмульсии, перед или после разрастания подавляемых сорняков. Гранулированные составы могут применяться непосредственно или вводиться также до или после разрастания подавляемых сорняков. В практическом применении гербицидной композиции по изобретению в качестве гербицида она будет соответственно использоваться в таких количествах, которые позволяют получить не менее 0.1 г активного ингредиента(ов) на гектар.
Когда соединение по изобретению используется в качестве активного ингредиента гербицида, его количество составляет обычно от 10 г до 8000 г, предпочтительно от 10 г до 2000 г на гектар, хотя оно изменяется в зависимости от метеорологических условий, типа состава, времени применения, способов применения, состояния почвы, культивирования зерновых культур, подавляемых сорняков и т.д. В случае эмульсифицированных концентратов, влажных порошков, концентратов суспензий, концентратов эмульсий, водорастворимых гранул, жидких составов и т.п. данные количества таких составов применяются обычно после растворения 10-1000 литрами воды (необязательно содержащей адъюванты, такие как наполнители) на гектар. С другой стороны, гранулы и некоторые виды концентратов суспензий и жидких составов обычно применяются без растворения. Примеры адъювантов включают поверхностно-активные вещества, описанные выше, полиоксиэтиленовые жирные кислоты (эфиры), лигнинсульфонаты, абиетаты, динафтилметандисульфонаты и растительные масла, такие как концентрат масла, масло сои, кукурузное масло, хлопковое масло и подсолнечное масло.
Применение композиции
Гербицидные композиции по изобретению могут использоваться в виде смеси с одним или более агентами для защиты растений, таких как фунгициды, инсектициды, гербициды, нематициды, акарициды, бактерициды, регуляторы роста растений, удобрения и улучшители почвы.
Соединения по изобретению могут использоваться в сочетании с соединением(ями), которые контролируют рост или регулируют активности на ценные растения, такие как зерновые культуры, декоративные растения и плодовые деревья. Такие соединения, контролирующие рост растения, включают, но не ограничиваются ими, этефон, индолеацитовая кислота, этиклозат, клоксифонак, дихлорпроп, 1-нафтилацетамид, 4-САР, бензиламинопурин, форхлорфенурон, гиббереллин, малеиновый гидразид, инабенфид, униконазол-Р, хлормекуат, паклобутразол, флурпримидол, мепикуатхлорид, прогексадион кальция, тринексапакэтил, даминозид, мефлуидид, изопротиолан и сульфат оксина. Они могут использоваться отдельно или в виде смеси двух или более видов.
Примеры фунгицидов включают, но не ограничиваются ими, фталид, флутоланил, мепронил, S-658, пирокуилон, трициклазол, пробеназол, изопротиолан, ипробенфос, теклофталам и беномил. Примеры инсектицидов включают, но не ограничиваются ими, изоксатион, трихлорофон, пропафос, диазинон, формотион, дисульфотон, диметоат, монокротофос, ацефат, карбофуран, карбосульфан, тиоциклам, картап, бенсултап, бенфуракарб, фуратиокарб, карбарил, бупрофезин, фенобукарб, метолкарб, пропоксур, метомил, имидаклоприд, нитенпирам, циклопротрин, этофенпрокс и силафлуофен. Они могут использоваться отдельно или в виде смеси двух или более видов.
Гербицидная смесь
Применение гербицидной композиции, смешанной далее с другим гербицидным ингредиентом, вызывает уменьшение применяемой дозы и рабочей силы для применения. Благодаря синергетическим эффектам таких смешанных гербицидов может ожидаться более широкий гербицидный спектр и более высокая гербицидная активность в описанных здесь гербицидных композициях. Гербицидная композиция может смешиваться с двумя или более известными гербицидами. Такие гербициды включают атразин, цианазин, диметаметрин, метрибузин, прометрин, симазин, симетрин, хлортолурон, диурон, даимурон, флуометурон, изопротурон, линурон, метабензтиазурон, амикарбазон, бромоксинил, иоксинил, эталфлуралин, пендиметалин, трифлуралин, ацифлуорфен, ацифлуорфен-натрий, бифенокс, хлометоксинил, фомезафен, лактофен, оксадиазон, оксадиаргил, оксифлуорфен, карфентразон-этил, флумиклорак-пентил, флумиоксазин, флутиацет-метил, сульфентразон, тидиазимин, азафендин, пирафлуфен-этил, цинидон-этил, дифензокуат, дикуат, паракуат, 2,4-D, 2,4-DB, DCPA, МСРА, МСРВ, кломепроп, клопиралид, дикамба, дитиопир, флуроксипир, мекопроп, наплоанилид, фенотиол, куинолорак, триклопир, тиазопир, ацетохлор, алахлор, бутахлор, диэтатил-этил, метолахлор, претилахлор, пропахлор, бенсульфурон-метил, хлорсульфурон, хлоримурон-этил, галосульфурон-метил, метсульфурон-метил, никосульфурон, примисульфурон-метил, пиразосульфурон-этил, сульфометурон-этил, тифенсульфурон-метил, триасульфурон, трибенурон-метил, оксасульфурон, азимсульфурон, хлорансулам-метил, циклосульфамурон, флуметсулам, флорасулам, флупирсульфурон, флазасульфурон, имазосульфурон, метосулам, диклосулам, просульфурон, римсульфурон, трифлусульфурон-метил, этоксисульфурон, сульфосульфурон, флукарбазон-натрий, прокарбазон-натрий (МКН-6561), имазаметабенз-метил, имазапир, имазакуин, имазетапир, имазамет, имазамокс, биспирибак-натрий, пириминобак-метил, пиритиобак-натрий, аллоксидим-натрий, клетодим, сетоксидим, тралкоксидим, тепралоксидим, профоксидим (BAS-625H), диклофоп-метил, феноксапроп-этил, феноксапроп-р-этил, флуазифоп-бутил, флуазифоп-р-бутил, галоксифоп-метил, куизалофоп-р-этил, цихалофоп-бутил, клодинафоп-пропаргил, бензофенап, кломазон, дифлуфеникан, норфлуразон, пиразолат, пиразоксифен, пиколинафен, бефлубутамид, флуртамон, изоксафлутол, сулкотрион, бензобициклон, мезотрион, глуфосинат-аммоний, глифозат, бентазон, бентиокарб, бромбутид, бутамифос, бутилат, димепиперат, диметенамид, DSMA, ЕРТС, эспрокарб, изоксабен, мефенацет, молинат, MSMA, пиперофос, пирибутикарб, просульфокарб, пропанил, пиридат, триаллат, кафенстрол, флупоксам, флуфенацет, дифлуфензопир, триазифлам, пентоксазон, инданофан, метобензурон, оксазикломефон и фентразамид.
Эти соединения описаны в каталоге Farm Chemical Handbook (Meister Publishing Company) (1997), SHIBUYA INDEX (8-е издание) (1999, The Pesticide Manual (British crop protection council) 12-е издание (2000) и Herbicide research conspectus (Hakuyu-sha). Представленные выше соединения приведено для иллюстрации, а не для исключения. Соединения могут использоваться отдельно или в виде смеси двух или более видов.
Соответствующее соотношение смеси между соединением по изобретению и другим гербицидом(ами) может изменяется в зависимости от типа активных ингредиентов дополнительного гербицида(ов). Однако оно обычно находится в диапазоне от 1:0.01 до 1:10 по весу. Когда гербицидные композиции по изобретению используются с вышеупомянутыми другими гербицидами, способ получения состава конкретно не ограничен. Например, соединение по изобретению и другой активный ингредиент(ы), такие как вышеупомянутый дополнительный гербицид(ы), каждый предварительно смешивается с твердым носителем, жидким носителем, поверхностно-активным веществом или другим адъювантом для получения концентратов эмульсии, влажных порошков, концентратов суспензии, растворимых в воде гранул, растворимых в воде порошков, водных растворов, водно-дисперсионных гранул или т.п., с последующим смешиванием вместе. Также возможно, чтобы соединение по изобретению предварительно смешивалось с дополнительным гербицидом(ами) и после этого смесь смешивалась с твердым носителем, жидким носителем, поверхностно-активным веществом или другим адъювантом состава для получения эмульсифицированного концентрата, влажного порошка, концентрата суспензии, гранул, концентрата эмульсии, водорастворимых гранул или т.п. Полученные составы будут содержать соединение по изобретению и другие гербициды в качестве активных ингредиентов в общем количестве от 0.5 до 80% по весу, предпочтительно от 1.5 до 70% по весу.
Способ применения
Полученные композиции настоящего изобретения могут использоваться на растениях, которые нужно подавлять непосредственно или после растворения водой или т.п. Применение может осуществляться согласно различным методам. Примерными способами применения являются распыление или распространение, применение кремообразных или пастообразных гербицидов, применение пара и применение гранулированных гербицидов медленного выпуска.
Гербицидные композиции по изобретению могут применяться на растения при непосредственном распылении, распространении или нанесении на цель, или распространении или введении в почву вокруг растений, рисовых полей и т.д. В случае рисовых полей могут использоваться любые способы применения, такие как перенос гербицидной композиции потоком сельскохозяйственной воды от водного источника, понижение уровня дамбы в рисовых полях и распространения, или внесение композиции на пересаживающую рассаду риса машину способом, пригодным для применения гербицида.
Когда гербицидная композиция должна применяться на водную поверхность, предпочтительным является воплощение изобретения, где гербицидная композиция заполняется и упаковывается в растворимой в воде или разрушаемой в воде емкости для обработки и применения. Когда такие плавучие емкости рассеяны на затопленном поле, они плавают на поверхности воды и распространяются далеко. Следовательно, активные гербицидные ингредиенты могут быть рассеяны поверх или внутрь рисового поля. Поэтому может достигаться снижение рабочей силы применяемого гербицида и фитотоксичность и может ожидаться устойчивое действие.
Для того чтобы гербицидная композиция могла плавать на водной поверхности, необходимо, чтобы определенная плотность композиции составляла менее 1.0, предпочтительно 0.95 или менее, или чтобы композиция содержала поверхностный агент, такой как карбонат и растворимую в воде твердую кислоту.
В применении гербицидного состава по изобретению, в котором гербицидная композиция упакована в растворимой в воде или разрушаемой в воде емкости, желаемая цель может быть достигнута только при введении состава непосредственно в затопленное поле в отношении от 3 до 20 емкостей на 10 а. Введенные в воду эти емкости распространяются по водной поверхности, погружаясь однажды, но не всплывая на поверхность, и распространяясь по водной поверхности, или распространяются повторно, погружаясь и вскоре всплывая, то есть они погружаются, но вскоре всплывают на поверхность и распространяются по водной поверхности снова и снова. Вообще плавучие гербицидные композиции такого типа, когда они погружаются и затем всплывают, способны к быстрому всплытию и вряд ли будут оставлены на поверхности почвы. Как описано выше, составы настоящего изобретения имеют отличное свойство распространения (диффузионное свойство) и распространяются равномерно по рисовым полям. Эти свойства позволяют достигать однородной дисперсии составов даже без попадания на рисовое поле и рабочая сила может быть уменьшена. Соответственно вышеупомянутые плавающие составы гербицидной композиции являются предпочтительным воплощением настоящего изобретения.
ПРИМЕРЫ
Настоящее изобретение далее описано следующими примерами и тестируемыми примерами, но они никоим образом не должны рассматриваться как ограничивающие данное изобретение.
В следующем описании термин “часть(и)” обозначает “часть(и) по весу”.
Синтез пиразольных производных
Далее подробными примерами иллюстрирован синтез соединений по изобретению, представленных формулой (1) или (4).
Пример получения 1
Синтез этил-2-метоксиимино-3-бромпропионата (представленного формулой (6) на Стадии (n), в которой n является 0, R1 и R2 оба являются атомами водорода, Z представляет собой атом брома, R3 представляет собой метоксигруппу и R13 представляет собой этил.
Этилбромпируват (чистота 80%), 38.9 г (200 ммоль, как рассчитано для чистоты 100%) растворяли в 100 мл этанола. При комнатной температуре к раствору добавляли 16.6 г (200 ммоль) гидрохлорида метоксиамина, далее нагревая при кипячении с обратным холодильником в течение 2 часов. После окончания реакции этанол упаривали и к остатку добавляли 200 мл этилацетата. Продукт реакции промывали последовательно насыщенным водным раствором гидрокарбоната натрия и водным раствором хлорида натрия и затем высушивали над безводным сульфатом магния. После фильтрации и последующей дистилляции для удаления растворителя получали 36,9 г (165 ммоль) этил-2-метоксиимино-3-бромпропионата в виде светло-желтого маслянистого вещества. Выход составлял 80%. Синтезируемый продукт подвергали следующей реакции без дополнительной очистки.
Пример получения 2
Синтез N-метиламида-2-метоксиимино-3-((4′-метоксифенил)-4-метил-пиразол)-1-ил-пропановой кислоты (Соединение 41, представленное формулой (1), в которой n является 0, А представляет собой 4-метоксифенил, D представляет собой метил, Е представляет собой атом водорода, R1 и R2 оба представляют собой атомы водорода, R3 представляет собой метил, R4 представляет собой атом водорода и R5 представляет собой метил).
(Стадия 1)
10 г (60.9 ммоль) 4′-метоксипропиофенона растворяли в 100 мл метилформата. При комнатной температуре в раствор по каплям добавляли 15.3 г (79.2 ммоль) метоксида натрия в концентрации 28% в метанольном растворе в течение 30 минут с последующим перемешиванием при той же температуре в течение 6 часов. К реакционной смеси добавляли 100 мл воды и рН раствора доводили до 1 с помощью концентрированной соляной кислоты, далее перемешивая в течение 1 часа. Далее реакционную смесь три раза экстрагировали 100 мл этилацетата. Органическую фазу промывали насыщенным водным раствором хлорида натрия и затем высушивали над безводным сульфатом магния. После фильтрации и последующего упаривания для удаления растворителя получали 9.8 г (51.0 ммоль) 2-формил-4′-метоксипропиофенона в виде светло-желтых кристаллов. Выход составлял 84%. Синтезируемый продукт подвергали следующей реакции без дополнительной очистки.
(Стадия 2)
9.8 г (51.0 ммоль) 2-формил-4′-метоксипропиофенона, синтезированного на Стадии 1, растворяли в 150 мл этанола. При комнатной температуре к раствору по каплям добавляли 3.8 г (61.2 ммоль) 80% гидразингидрата, далее перемешивая при той же температуре в течение 1 часа и затем нагревая при кипячении с обратным холодильником в течение 2 часов. После окончания реакции реакционную смесь охлаждали до комнатной температуры и растворитель упаривали. В результате получали 8.4 г (44.9 ммоль) 3-(4′-метоксифенил)-4-метилпиразола в виде оранжевого маслянистого вещества. Выход составлял 88%. Синтезируемый продукт подвергали следующей реакции без дополнительной очистки.
(Стадия 3)
1.6 г (8.5 ммоль) 3-(4′-метоксифенил)-4-метилпиразола, синтезированного на Стадии 2, растворяли в 30 мл N,N-диметилформамида. При комнатной температуре к раствору последовательно добавляли 1.4 г (10.2 ммоль) карбоната натрия и 2.9 г (10.2 ммоль) этил-2-метоксиимино-3-бромпропионата, синтезированного в Примере получения 1, далее нагревая до 110°С при перемешивании в течение 4 часов. После окончания реакции реакционную смесь выливали в 100 мл воды и экстрагировли три раза 50 мл диэтилового эфира. Органическую фазу промывали насыщенным водным раствором хлорида натрия и затем высушивали над безводным сульфатом магния. После фильтрации и последующего упаривания для удаления растворителя получали 2.6 г (7.4 ммоль) этил-2-метоксиимино-3-((4′-метоксифенил)-4-метил-пиразол)-1-ил-пропаноата в трехгорлой колбе на 100 мл. Выход составлял 87%. Синтезируемый продукт подвергали следующей реакции без дополнительной очистки.
(Стадия 4)
1.1 г (3.1 ммоль) этил-2-метоксиимино-3-((4′-метоксифенил)-4-метил-пиразол)-1-ил-пропаноата, синтезированного на Стадии 3, объединяли с метанольным раствором 40%-ного метиламина, далее перемешивая при комнатной температуре в течение 4 часов. После окончания реакции растворитель упаривали. Полученный остаток очищали с помощью колоночной хроматографии на силикагеле с использованием хлороформа в качестве элюэнта. Далее растворитель удаляли упариванием, получая 0.96 г (2.9 ммоль) N-метиламида 2-метоксиимино-3-((4′-метоксифенил)-4-метил-пиразол)-1-ил-пропановой кислоты в виде белых кристаллов. Выход составлял 94%.
Пример получения 3
Синтез N-метиламида 2-метоксиимино-3-((2′,6′-дифторфенил)-4-метил-пиразол)-1-ил-пропановой кислоты (Соединение 58, представленное формулой (1), в которой n является 0, А представляет собой 2,6-дифторфенил, D представляет собой метил, Е представляет собой атом водорода, R1 и R2 оба являются атомами водорода, R3 представляет собой метил, R4 представляет собой атом водорода и R5 представляет собой метил).
(Стадия 1)
4.9 г (29.0 ммоль) 2,6-дифторпропиофенона растворяли в 100 мл толуола. К раствору добавляли 6.9 г (58.0 ммоль) N,N-диметилформамиддиметилацеталя, далее, нагревая при кипячении с обратным холодильником в течение 8 часов и затем перемешивая при той же температуре в течение 6 часов. После окончания реакции толуол и избыток N,N-диметилформамиддиметилацеталя упаривали, получая 6.2 г (27.5 ммоль) 1-(2′,6′-дифторфенил)-2-метил-3-N,N-диметиламино-2-пропена в виде оранжевого смолистого вещества. Выход составлял 95%.
(Стадия 2)
6.2 г (27.5 ммоль) 1-(2′,6′-дифторфенил)-2-метил-3-N,N-диметиламино-2-пропена, синтезированного на Стадии 1, растворяли в 150 мл этанола. При комнатной температуре к раствору по каплям добавляли 2.4 г (37.7 ммоль) 80% гидразингидрата, далее перемешивая при той же температуре в течение 1 часа и затем нагревая при кипячении с обратным холодильником в течение 2 часов. После окончания реакции реакционную смесь охлаждали до комнатной температуры и растворитель упаривали. В результате получали 4.8 г (24.7 ммоль) 3-(2′,6′-дифторфенил)-4-метилпиразола в виде оранжевого маслянистого вещества. Выход составлял 85%. Синтезированный продукт использовали в следующей реакции без дополнительной очистки.
(Стадия 3)
2.0 г (10.0 ммоль) 3-(2′,6′-дифторфенил)-4-метилпиразола, синтезированного на Стадии 2, растворяли в 40 мл N,N-диметилформамида. При комнатной температуре к раствору последовательно добавляли 1.7 г (12.0 ммоль) карбоната натрия и 3.5 г (12.4 ммоль) этил-2-метоксиимино-3-бромпропионата, синтезированного в Примере получения 1, далее нагревая до 110°С при перемешивании в течение 4 часов. После окончания реакции реакционную смесь выливали в 100 мл воды и экстрагировали три раза 50 мл диэтилового эфира. Органическую фазу промывали насыщенным водным раствором хлорида натрия и затем высушивали над безводным сульфатом магния. После фильтрации и последующего упаривания для удаления растворителя получали 2.6 г (7.7 ммоль) этил-2-метоксиимино-3-((2′,6′-дифторфенил)-4-метил-пиразол)-1-ил-пропаноата. Выход составлял 62%. Синтезированный продукт использовали в следующей реакции без дополнительной очистки.
(Стадия 4)
2.6 г (7.7 ммоль) этил-2-метоксиимино-3-((2′,6′-дифторфенил)-4-метил-пиразол)-1-ил-пропаноата, синтезированного на Стадии 3, объединяли с 30 мл метанольного раствора 40%-ного метиламина, затем перемешивая при комнатной температуре в течение 4 часов. После окончания реакции растворитель упаривали. Остаток очищали с помощью колоночной хроматографии на силикагеле, используя хлороформ в качестве элюэнта. Далее растворитель удаляли упариванием, получая 2.0 г (6.2 ммоль) N-метиламида 2-метоксиимино-3-((2′,6′-дифторфенил)-4-метил-пиразол)-1-ил-пропановой кислоты в виде белых кристаллов. Выход составлял 81%.
Пример получения 4
Синтез N-циклопропиламида 3-(фенил-4-метил-пиразол)-1-ил-пропановой кислоты (Соединение 21, представленное формулой (1), в которой n является 0, А представляет собой фенил, D представляет собой метил, Е представляет собой атом водорода, R1 и R2 оба представляют собой атом водорода, R3 представляет собой метил, R4 представляет собой атом водорода и R5 представляет собой циклопропил).
(Стадия 1)
5.0 г (37.3 ммоль) пропиофенона растворяли в 100 мл метилформата. При комнатной температуре к раствору по каплям добавляли 8.6 г (44.7 ммоль) метанольного раствора 28% метоксида натрия в течение 30 минут, далее перемешивая при той же температуре в течение 6 часов. К реакционной смеси добавляли 100 мл воды и рН раствора доводили до 1 с помощью концентрированной соляной кислоты, далее перемешивая еще в течение 1 часа. После этого реакционную смесь три раза экстрагировали 100 мл этилацетата. Органическую фазу промывали насыщаемым водным раствором гидрохлорида натрия и затем высушивали над безводным сульфатом магния. После фильтрации и последующего упаривания для удаления растворителя получали 5.7 г (35.4 ммоль) 2-формилпропиофенона в виде светло-желтых кристаллов. Выход составлял 95%. Синтезированный продукт использовали в следующей реакции без дополнительной очистки.
(Стадия 2)
5,7 г (35.4 ммоль) 2-формилпропиофенона, синтезированного на Стадии 1, растворяли в 150 мл этанола. При комнатной температуре к раствору по каплям добавляли 2.4 г (37.7 ммоль) 80% гидразингидрата, далее перемешивая при той же температуре в течение 1 часа и далее нагревая при кипячении с обратным холодильником в течение 2 часов. После окончания реакции реакционную смесь охлаждали до комнатной температуры и растворитель упаривали. В результате получали 5.2 г (33.2 ммоль) 3-фенил-4-метилпиразола в виде белых кристаллов. Выход составлял 88%. Синтезированный продукт использовали в следующей реакции без дополнительной очистки.
(Стадия 3)
2.0 г (12.7 ммоль) 3-фенил-4-метилпиразола, синтезированного на Стадии 2, растворяли в 40 мл N,N-диметилформамида. При комнатной температуре к раствору последовательно добавляли 2.1 г (15.2 ммоль) карбоната натрия и 3.4 г (15.2 ммоль) этил-2-метоксиимино-3-бромпропионата, синтезированного в Примере получения 1, далее нагревая до 110°С при перемешивании в течение 4 часов. После окончания реакции реакционную смесь выливали в 100 мл воды и экстрагировали три раза 50 мл диэтилового эфира. Органическую стадию промывали насыщенным водным раствором гидрохлорида натрия и затем высушивали над безводным сульфатом магния. После фильтрации и последующего упаривания для удаления растворителя получали 2.9 г (9.6 ммоль) этил-2-метоксиимино-3-(фенил-4-метил-пиразол)-1-ил-пропаноата. Выход составлял 63%. Синтезированный продукт использовали в следующей реакции без дополнительной очистки.
(Стадия 4)
2.9 г (9.6 ммоль) этил-2-метоксиимино-(3-фенил-4-метил-пиразол)-1-ил-пропаноата, синтезированного на Стадии 3, растворяли в смеси растворителей, состоящей из 20 мл этанола и 20 мл воды. При комнатной температуре к раствору добавляли 0.5 г (9.6 ммоль) порошка гидроксида натрия (85%), далее перемешивая при той же температуре в течение 1 часа. После окончания реакции рН реакционной смеси доводили до 1 с помощью концентрированной соляной кислоты. После этого реакционную смесь экстрагировали три раза 50 мл этилацетата. Органическую стадию промывали насыщенным водным раствором гидрохлорида натрия и затем высушивали над безводным сульфатом магния. После фильтрации и последующего упаривания для удаления растворителя получали 2.6 г (9.5 ммоль) 2-метоксиимино-3-(фенил-4-метилпиразол)-1-ил-пропановой кислоты. Выход составлял 99%. Синтезированный продукт использовали в следующей реакции без дополнительной очистки.
(Стадия 5)
2.1 г (7.7 ммоль) 2-метоксиимино-3-(фенил-4-метилпиразол)-1-ил-пропановой кислоты, синтезированной на Стадии 4, растворяли в 30 мл тетрагидрофурана. При комнатной температуре к раствору добавляли 1.9 г (11.5 ммоль) карбонилдиимидазола, далее перемешивая при той же температуре в течение 30 минут. Затем добавляли 1.3 г (23,1 ммоль) циклопропиламина и смесь перемешивали при той же температуре в течение 2 часов. После окончания реакции реакционную смесь выливали в 50 мл воды и экстрагировали три раза 50 мл диэтилового эфира. Органическую фазу высушивали над безводным сульфатом магния, с последующей фильтрацией и упариванием для удаления растворителя. Остаток очищали колоночной хроматографией на силикагеле, используя хлороформ в качестве элюэнта. Впоследствии растворитель удаляли упариванием, получая 1.0 г (3.2 ммоль) N-циклопропиламида 3-(фенил-4-метил-пиразол)-1-ил-пропановой кислоты в виде белых кристаллов. Выход составлял 42%.
Соединения 1-20, 22-40, 42-57 и 59-124, представленные в таблице 1, далее получают по аналогии с получением соединений 41 (Пример получения 2), 58 (Пример получения 3) и 21 (Пример получения 4). Они были синтезированы с помощью методик, представленных в Примерах получения 1-4, за исключением того, что соединения исходных материалов имеют группы, соответствующие группам целевых соединений. Данные ЯМР-спектра и физические свойства этих соединений представлены в таблицах 2 и 3 соответственно.
В таблице 1 Ph, Me, Et, Bn, Pr, Bu, Pen, Hex, l, с и t обозначают фенил, метил, этил, бензил, пропил, бутил, пентил, гексил линейный, циклический и третичный соответственно.
  
| Таблица 1-2 |
| Циклические амины |
| No |
A |
D |
E |
R1, R2 |
R3 |
R4-R5 |
n |
| 118 |
Ph |
Me |
H |
H |
Me |
G1 |
0 |
| 119 |
Ph |
Me |
H |
H |
Me |
G2 |
0 |
| 120 |
Ph |
Me |
H |
H |
Me |
G3 |
0 |
| 121 |
Ph |
Me |
H |
H |
Me |
G4 |
0 |
| 122 |
Ph |
Me |
H |
H |
Me |
G5 |
0 |
 |
| Таблица 1-3 |
| № |
А |
D |
E |
R1 |
R2 |
R3 |
R11 |
R12 |
n |
| 123 |
Ph |
Me |
H |
H |
H |
Me |
H |
CO2Me |
0 |
| 124 |
Ph |
Me |
H |
H |
H |
Me |
Me |
Me |
0 |
| Таблица 2-1 |
| |
величина (ppm, растворитель: COCl3, внутренний стандарт: тетраметилсилан) |
| 1 |
2.03(3H,s),2.89(3H,d),4.01(3H,s),5.17(2H,s),6.62(1H,bs),7.22(1H,s) |
| 11 |
1.00-2.20(11H,m),1.99(3H,s),2.89(3H,d),4.00(3H,s),5.03(2H,s),6.97(1H,bs),7.18(1H,s) |
| 13 |
2.89(3H,d),4.02(3H,s),5.27(2H,s),6.49(1H,d),7.24-7.82(5H,m) |
| 14 |
2.87(3H,d),4.01(3H,s),5.20(2H,s),6.70(1H,bs),7.22-7.91(6H,m) |
| 15 |
2.88(3H,d),3.14(1H,s),4.05(3H,s),5.20(2H,s),6.67(1H,bs),7.07(2H,t),7.73(1H,s),8.03(2H,dd) |
| 16 |
2.20(3H,s),4.07(3H,s),5.18(2H,s),5.43(1H,bs),6.67(1H,bs),7.20-7.73(6H,m) |
| 17 |
2.17(3H,s),4.07(3H,s),5.17(2H,s),6.60(2H,bs),7.25-7.64(5H,m) |
| 18 |
2.21 (3H,s),2.84(3H,d),5.18(2H,s),6.74(1H,bs),7.24-7,66(6H,m) |
| 19 |
1.15(3H,t),2.19(3H,s),3.35(2H,q),4.06(3H,s),5.17(2H,s),6.72(1H,bs),7.27-7.65(6H,m) |
| 20 |
2.27(3H,s),2.58(6H,s),4.00(3H,s),5.17(2H,s),7.21-7.70(7H,m) |
| 21 |
0.61-0.89(4H,m),2.14(3H,s),2.62-2.85(1H,m),4.02(3H,s),5.19(2H,s),6.89(1H,s),7.38-7.69(6H,m) |
| 22 |
1.38(9H,s),2.10(3H,s),4.04(2H,s),5.16(2H,s),6.57(1H,bs),7.25-7.65(6H,m) |
| 23 |
1.21-2.06(8H,m),2.18(3H,s),3.86-4.29(1H,m),4.02(3H,s),5.17(2H,s),6.65(1H,bs),7.21-7.58(6H,m) |
| 24 |
1.16-1.94(10H,m),2.18(3H,s),3.65-4.08(1H,m),4.04(3H,s),5.17(2H,s),6.52(1H,bs),7.25-7.67(6H,m) |
| 25 |
0.84-2.03( 13H,m),2.20(3H,s),4.02(3H,s),5.20(2H,s),5.20(2H,s),6.49(1H,bs),7.21-7.70(7H,m) |
| 26 |
2.19(3H,s),4.03(3H,s),5.20(2H,s),5.06-5.30(4H,m),5.63-6.07(1H,m),6.82(1H,m),7.22-7.70(6H,m) |
| 27 |
2.19(3H,s),2.21(1H,s),4.08(3H,s),4.17(2H,d),5.18(2H,s),6.99(1H,bs),7.23-7.72(6H,m) |
| 28 |
2.10(3H,s),3.35-4.19(4H,m),4.51(1H,t),5.20(2H,s),6.90(1H,bs),7.25-7.70(7H,m) |
| 29 |
2.28(3H,s),4.21(3H,s),4.51,5.30(2H,s),7.00-7.85(11H,m),8.21(1H,bs) |
| 30 |
2.20(3H,s),4.00(3H,s),4.50(2H,d),5.21(2H,s),6.95-7.70(12H,m) |
| 31 |
1.50(3H,d),2.19(3H,s),4.01(3H,s),5.19(2H,s),7.01(1H,d),7.34-7.71(12H,m) |
| 32 |
2.18(3H,s),2.69(2H,t),3.53(2H,q),3.82(6H,s),4.00(3H,s),5.18(2H,s),6.68-7.70(10H,m) |
| 33 |
2.14(3H,s),4.00(3H,s),4.79(2H,s),5.17(2H,s),6.98(1H,bs),7.25-7.70(5H,m) |
| 34 |
2.19(3H,s),3.78-4.14(2H,m),4.09(3H,s),5.20(2H,s),7.07(1H,bs),7.24-7.65(6H,m) |
| 35 |
1.93(3H,s),2.22(3H,s),2.87(3H,d),4.00(3H,s),5,20(2H,s),6.70(1H,bs),7.10-7.25(4H,m),7.37(1H,s) |
| 36 |
2.18(3H,s),2.37(3H,s),2.87(3H,d),4.03(3H,s),5.20(2H,s),6.75(1H,bs),7.00-7.53(5H,m) |
| 37 |
2.14(3H,s),2.38(3H,s),2.90(3H,d),4.05(3H,s),5.19(2H,s),6.78(1H,bs),7.14-7.78(5H,m) |
| 38 |
1.28(6H,s),2.00(1H,m),2.00(3H,s),2.90(3H,d),4.01(3H,s),5.19(2H,s),6.56-7.80(6H,m) |
| 39 |
2.21(3H,s),2.86(3H,d),4.02(3H,s),5.20(2H,s),6.48-7.92(l1H,m) |
| 40 |
2.22(3H,s),2.88(3H,d),4.04(3H,s),5.21(2H,s),6.70(1H,bs),7.37(1H,s),7.68(4H,q) |
| 41 |
2.16(3H,s),2.85(3H,d),3.79(3H,s),4.05(3H,s),5.18(2H,s),6.91(1H,bs),6.85-7.62(5H,m) |
| 42 |
2.04(3H,d),2.84(3H,d),4.00(3H,s),5.19(2H,s),6.75(1H,bs),6.97-7.56(5H,m) |
| 43 |
2.20(3H,s),2.90(3H,d),4.03(3H,s),5.20(2H,s),6.60-7.13(2H,m),7.20-7.60(4H,m) |
| 44 |
2.17(3H,s),2.88(3H,d),4.02(3H,s),5.20(2H,s),6.70(1H,bs),6.90-7.70(5H,m) |
| 45 |
1.98(3H,s),2.85(3H,d),4.00(3H,s),5.20(2H,s),6.41-7.80(6H,m) |
| 46 |
2.20(3H,s),2.88(3H,d),4.02(3H,s),5.19(2H,s),6.37-8.20(6H,m) |
| 47 |
2.17(3H,s),4.03(3H,s),5.18(2H,s),6.75(1H,bs),7.23-764(5H,m) |
| 48 |
1.97(3H,s),2.87(3H,d),4.01(3H,s),5.20(2H,s),6.32-7.99(6H,m) |
| 49 |
2.20(3H,s),2.87(3H,d),4.03(3H,s),5.20(2H,s),6.38-8.09(6H,m) |
| 50 |
2.18(3H,s),2.89(3H,d),4.02(3H,s),5.18(2H,s),6.49-7.82(6H,m) |
| 51 |
2.20(3H,s),2.87(3H,d),4.03(3H,s),5.20(2H,s),6.80(1H,bs),7.40(1H,s),7.60(2H,d),7.80(2H,d) |
| 52 |
2.13(3H,s),2.85(3H,d),4.00(3H,s),5.17(2H,s),6.72(1H,bs),6.83-7.47(10H,m) |
| 53 |
2.18(3H,s),2.86(3H,d),4.04(3H,s),5.19(2H,s),6.72(1H,bs),6.95-7.70(10H,m) |
| 54 |
2.18(3H,s),2.85(3H,d),4.00(3H,s),5.08(2H,s),5.18(2H,s),6.56-7.31(11H,m) |
| 55 |
1.98(3H,s),2.85(3H,d),4.00(3H,s),5.21(2H,s),6.68(1H,bs),7.00-7.39(4H,m) |
| 56 |
2.01(3H,s),2.90(3H,d),4.02(3H,s),5.21(2H,s),6.71-7.59(5H,m) |
| 57 |
2.01(3H,d),2.98(3H,d),4.05(3H,s),5.19(2H,s),6.70(1H,bs),6.91-7.39(4H,m) |
| 58 |
1.95(3H,s),2.85(3H,d),3.83(3H,s),5.01(2H,s),6.62(1H,bs),6.92-7.55(5H,m) |
| 59 |
2.10(3H,s),2.90(3H,d),4.03(3H,s),5.19(2H,s),6.67(1H,bs),6.95-7.63(4H,m) |
| 60 |
2.10(3H,s),2.88(3H,d),4.05(3H,s),5.18(2H,s),6.32-7.36(4H,m),8.01(1H,bs) |
| 61 |
2.13(3H,s),2.90(3H,d),4.01 (3H,s),5.19(2H,s),6.40-7.62(6H,m) |
| 62 |
2.19(3H,s),2.29(3H,s),4.01 (3H,s),5.18(2H,s),6.50-7.80(6H,m) |
| 63 |
2.12(3H,s),2.83(3H,d),3.68(3H,s),4.01(3H,s),5.19(2H,s),6.62-7.70(6H,m) |
| 65 |
2.20(3H,s),2.90(3H,d),4.10(3H,s),5.20(2H,s),6.50(1H,t),6.60-6.90(1H,m),7.25(1H,s),7.40(4H,q) |
| 66 |
2.20(3H,s),2.90(3H,d),4.05(3H,s),5.20(2H,s),6.50-6.95(1H,m),7.21(1H,s),7.38(1H,s),7.80(2H,s) |
| 67 |
2.20(3H,s),2.90(3H,d),4.05(3H,s),5.20(2H,s),5.90(1H,t),6.60-6.80(1H,m),7.25(1H,s),7.50(4H,q) |
| 68 |
2.20(3H,s),2.50(3H,s),2.90(3H,d),4.00(3H,s),5.20(2H,s),6.60-6.80(1H,m),7.20(1H,s),7.40(4H,q) |
| 69 |
2.20(3H,s),2.90(3H,d),3.00(3H,s),4.05(3H,s),5.20(2H,s),6.60-6.80(1H,m),7.40(1H,s),7.80-7.90(4H,bs) |
| 70 |
2.18(3H,s),2.85(3H,d),4.03(3H,s),5.18(2H,s),6.70(1H,bs),7,35-7,84(5H,m) |
| 71 |
2.18(3H,s),2.30(6H,s),2.89(3H,d),4.03(3H,s),5.18(2H,s),6.53-7.57(6H,m) |
| 72 |
2.02(3H,s),2.90(3H,d),3.59(3H,s),3.90(3H,s),5.22(2H,s),6.73(1H,bs),6.85-7.36(4H,m) |
| 73 |
2.00(3H,s),2.90(3H,d),4.15(3H,s),5.21(2H,s),6.70(1H,bs),7.18-7.41(4H,m) |
| 74 |
2.16(3H,s),2.29(3H,s),2.82(3H,d),4.00(3H,s),5.18(2H,s),6.50-7.59(5H,m) |
| 75 |
2.17(3H,s),2.35(3H,d),2.86(2H,d),4.05(3H,s),5.19(2H,s),6.70(1H,bs),6.84-7.51(4H,m) |
| 76 |
2.10(3H,s),2.90(3H,d),3.90(3H,s),4.00(3H,s),5.20(2H,s),6.60-6.80(1H,m),7.25(1H,s),7.20-7.50(3H,m) |
| 77 |
2.20(3H,s),2.82(3H,d),3.90(3H,s),4.00(3H,s),5.20(2H,s),6.60-6.80(1H,m),7.00-7.25(3H,m),7.30(1H,s) |
| 78 |
2.10(3H,s),2.90(3H,d),3.90(3H,s),4.00(3H,s),5.20(2H,s),6.60-7.00(2H,m),7.25(1H,s),7.40-7.90(2H,m) |
| 79 |
1.90(3H,s),2.80(3H,d),3.80(3H,s),4.00(3H,s),5.20(2H,s),6.60-7.00(2H,m),7.18(1H,s),7.20-7.40(2H,m) |
| 80 |
2.20(3H,s),2.88(3H,d),4.04(3H,s),5.19(2H,s),6.66(1H,bs),7.25-7.55(4H,m) |
| 81 |
2.00-2.10(3H,m),2.85(3H,d),4.05(3H,s),5.20(2H,s),7.20(1H,s),7.00-7.50(3H,m) |
| 82 |
1.90(3H,s),2.85(3H,d),4.00(3H,s),5.20(2H,s),6.60-6.80(1H,m),7.15(1H,s),6.90-7.40(3H,m) |
| 83 |
2.20(3H,s),2.90(3H,d),4.06(3H,s),5.20(2H,s),5.25(2H,s),6.70(1H,bs),7.00-7.88(4H,m) |
| 84 |
2.04(3H,s),2.89(3H,d),4.02(3H,s),5.20(2H,s),6.41-7.89(5H,m) |
| 85 |
2.01(3H,s),2.90(3H,d),4.01(3H,s),5.22(2H,s),6.44-7.98(5H,m) |
| 86 |
2.23(3H,s),2.90(3H,d),4.01 (3H,s),5.21 (2H,s).6.37-8.10(5H,m) |
| 87 |
2.21(3H,s),2.90(3H,d),4.05(3H,s),5.20(2H,s),6.40-8.01(5H,m) |
| 88 |
2.20(3H,s),2.88(3H,d),4.00(3H,s),5.20(2H,s),6.37-8.23(5H,m) |
| 89 |
1.83(3H,s),2.90(3H,d),3.99(3H,s),5.19(2H,s),6.41-7.79(5H,m) |
| 90 |
2.43(3H,s),3.20(3H,d),4.52(3H,s),5.75(2H,s),7.40(1H,bs),7.82-8.57(4H,m) |
| 91 |
2.20(3H,s),2.85(3H,d),3.85(3H,s),4.08(3H,s),5.20(2H,s),6.60(1H,t),7.00(1H,s),7.22(1H,s),7.28-7.50(2H,m) |
| 92 |
2.17(3H,s),2.87(3H,d),4.00(3H,s),4.05(3H,s),5.17(2H,s),6.70(1H,bs),7.27(1H,s),7.35(1H,s) |
| 93 |
2.19(3H,s),2.64(3H.s),2.81(3H,s),3.99(3H,s),5.20(2H,s),6.90-7.65(5H,m) |
| 94 |
0.82(3H,t),1.05(3H,t),2.17(3H,s),3.26(4H,q),5.20(2H,s),7.22-7.68(6H,m) |
| 95 |
1.27(3H,t),2.90(3H,d),4.05(3H,s),4.21(2H,q),6.67(1H,bs),7.22-8.07(6H,m) |
| 96 |
2.80(3H,s),2.84-2.87(3H,d),4.10(3H,s),5.25(2H,s),6.64(1H,bs),7.40-7.95(5H,m),8.10(1H,s) |
| 97 |
2.97(3H,d),3.80(3H,s),3.83(3H,s),5.16(2H,s),6.65(1H,s),7.20-8.00(5H,m) |
| 98 |
1.19(3H,d),2.61(2H,q),4.01 (3H,s),5.20(2H,s),6.76(1H,bs),7.21-7.68(6H,m) |
| 99 |
2.90(5H,d),4.02(3H,s),5.22(2H,s),6.71(1H,bs),7.10-7.70(11H,m) |
| 100 |
2.90(3H,d),4.00(3H,s),5.20(2H,s),6.37-8.04(7H,m) |
| 101 |
2.82(3H,d),3.89(3H,s),5.19(2H,s),6.71(1H,bs),7.71-7.81(11H,m) |
| 102 |
2.24(3H,s),2.83(3H,d),3.12(1H,bs),5.26(2H,s),6.81-7.68(6H,m) |
| 103 |
2.22(3H,s),2.91(3H,d),5.24(2H,s),5.75(2H,d),6.70(1H,bs),7.24-7.90(6H,m) |
| 104 |
2.18(3H,s),2.90(3H,d),5.24(2H,s),5.75(2H,d),6.70(1H,bs),6.92-7.70(5H,m) |
| 105 |
2.18(3H,s),2.83(3H,d),2.67(2H,m),5.16-5.38(2H,m),5.19(2H,s),6.82(1H,bs),7.26-7.64(6H,m) |
| 106 |
2.18(3H,s),2.83(3H,d),5.23(2H,s),5.25(2H,s),6.66(1H,bs),7.30-7.62(l1H,m) |
| 107 |
2.17(3H,s),2.51(1H,t),2.85(3H,d),4.78(2H,d),5.21(2H,s),6.80(1H,bs),7.25-7.70(6H,m) |
| 108 |
2.41(3H,s),2.84(3H,d),4.05(3H,s),5.16(2H,s),6.77( 1H,bs),7.19-7.65(6H,m) |
| 109 |
2.08(3H,s),2.10(2H,t),2.89(3H,d),3.99(3H,s),4.02(2H,t),7.18-7.96(6H,m) |
| 110 |
2.20(3H,s),2.88(3H,d),4.03(3H,s),5.20(2H,s),5.60(1H,bs),7.37(1H,s),7.47-7.80(4H,m),8.13(1H,s) |
| 111 |
2.20(3H,s),2.85(3H,d),3.97(3H,s),4.03(3H,s),5.17(2H,s),6.77(1H,bs),7.35(1H,s),7.40-7.80(4H,m),8.05(1H,s) |
| 112 |
2.20(3H,s),2.85(9H,m),4.05(3H,s),5.20(2H,s),6.60-6.80(1H,m),7.20(1H,s),7.25(1H,s),7.35-7.95(4H,m) |
| 118 |
1.62-1.99(4H,m),2.10(3H,s),3.10(2H,t),3.37(2H,t),3.99(3H,s),5.21 (2H,s),7.22-7.68(6H,m) |
| 119 |
1.18-1.61(5H,m),2.20(3H,s),3.00-3.43(4H,m),3.98(3H,s),5.21 (2H,s),7.21-7.70(6H,m) |
| 120 |
2.21(3H,s),3.18-3-78(4H,m),3.97(3H,s),5.21(2H,s),7.22-7.68(6H,m) |
| 121 |
0.92(3H,d),1.10(3H,d),2.20(3H,s),2.00-3,38(6H,m),3.98(3H,s),5.05(2H,s),7.21-7.72(6H,m) |
| 122 |
2.18(3H,s),2.35-2.55(4H,m),3.70-3.80(4H,m),3.94(3H,s),5.20(2H,s),7.25-7.67(6H,m) |
| 123 |
2.18(3H,s),3.78(3H,s),4.02(3H,s),5.09(2H,s),6.72(1H,bs),7.22-7.77(6H,m),8.48(1H,bs) |
| 124 |
2.27(3H,s),2.58(6H,s),4.00(3H,s),5.17(2H,s),7.21-7.70(7H,m) |
| Таблица 3-1 |
Таблица 3-2 |
| Соединение |
Свойства |
|
Соединение |
Свойства |
| № |
|
|
№ |
|
| 1 |
т.пл. 117-118°С |
|
66 |
т.пл. 91-92°С |
| 11 |
т.пл. 90-92°С |
|
67 |
т.пл. 108-109°С |
| 13 |
Маслянистое |
|
68 |
т.пл. 136-137°С |
| 14 |
т.пл.117-119°С |
|
69 |
т.пл. 118-119°С |
| 15 |
т.пл. 81-82°С |
|
70 |
т.пл. 103-104°С |
| 16 |
т.пл. 167-168°С |
|
71 |
т.пл. 140-141°С |
| 17 |
т.пл.>200°С |
|
72 |
т.пл. 134-135°С |
| 18 |
т.пл. 139-140°С |
|
73 |
т.пл. 139-140°С |
| 19 |
Маслянистое |
|
74 |
т.пл. 93-94°С |
| 20 |
т.пл. 81-82°С |
|
75 |
т.пл. 86-87°С |
| 21 |
т.пл. 95-96°С |
|
76 |
т.пл. 96-97°С |
| 22 |
Маслянистое |
|
77 |
т.пл. 99-100°С |
| 23 |
т.пл.>200°С |
|
78 |
т.пл. 117-118°С |
| 24 |
Смолистое вещество |
|
79 |
т.пл. 112-113°С |
| 25 |
Смолистое вещество |
|
80 |
т.пл. 135-136°С |
| 26 |
Маслянистое |
|
81 |
т.пл. 81-82°С |
| 27 |
т.пл. 40-4 1°С |
|
82 |
т.пл. 115-116°С |
| 28 |
Маслянистое |
|
83 |
т.пл. 94-95°С |
| 29 |
т.пл. 170-171°С |
|
84 |
т.пл.117-119°С |
| 30 |
т.пл. 93-94°С |
|
85 |
т.пл. 101-103°С |
| 31 |
Смолистое вещество |
|
86 |
т.пл.119-121°С |
| 32 |
Маслянистое |
|
87 |
т.пл. 108-109°С |
| 33 |
т.пл. 85-86°С |
|
88 |
т.пл. 110-111°С |
| 34 |
т.пл. 102-103°С |
|
89 |
т.пл. 140-142°С |
| 35 |
т.пл. 128-129°С |
|
90 |
т.пл. 121-122°С |
| 36 |
Смолистое вещество |
|
91 |
т.пл. 109-110°С |
| 37 |
т.пл. 99-100°С |
|
92 |
т.пл. 117-118°С |
| 38 |
т.пл. 100-101°С |
|
93 |
Маслянистое |
| 39 |
т.пл. 124-125°С |
|
94 |
Маслянистое |
| 40 |
т.пл. 128-129°С |
|
95 |
т.пл. 118-119°С |
| 41 |
т.пл. 99-100°С |
|
96 |
т.пл.111-112°С |
| 42 |
т.пл. 102-103°С |
|
97 |
т.пл. 182-183°С |
| 43 |
т.пл. 118-119°С |
|
98 |
т.пл. 49-50°С |
| 44 |
т.пл. 84-85°С |
|
99 |
т.пл. 112-113°С |
| 45 |
т.пл. 108-111°С |
|
100 |
т.пл. 103-104°С |
| 46 |
т.пл. 76-78°С |
|
101 |
Смолистое вещество |
| 47 |
т.пл. 119-121°С |
|
102 |
т.пл. 151-152°С |
| 48 |
Маслянистое |
|
103 |
т.пл. 98-99°С |
| 49 |
т.пл. 94-96°С |
|
104 |
Смолистое вещество |
| 50 |
т.пл.110-112°С |
|
105 |
Смолистое вещество |
| 51 |
т.пл. 133-134°С |
|
106 |
Маслянистое |
| 52 |
Смолистое вещество |
|
107 |
Смолистое вещество |
| 53 |
Маслянистое |
|
108 |
т.пл. 154-155°С |
| 54 |
т.пл. 122-123°С |
|
109 |
Маслянистое |
| 55 |
т.пл.115-116°С |
|
110 |
Маслянистое |
| 56 |
т.пл. 113-114°С |
|
111 |
Смолистое вещество |
| 57 |
т.пл.133-134°С |
|
112 |
т.пл. 64-65°С |
| 58 |
т.пл. 131-132°С |
|
118 |
Маслянистое |
| 59 |
т.пл. 77-78°С |
|
119 |
Маслянистое |
| 60 |
т.пл.108-110°С |
|
120 |
Маслянистое |
| 61 |
т.пл. 161-162°С |
|
121 |
Маслянистое |
| 62 |
т.пл. 115-116°С |
|
122 |
Маслянистое |
| 63 |
т.пл. 156-157°С |
|
123 |
т.пл. 166-167°С |
| 65 |
т.пл. 140-141°С |
|
124 |
Маслянистое |
Составы
Пример состава 1
Получение влажного порошка
Смешивали 10 частей каждого соединения, показанного в Таблице 1 (Соединения 11-124), 83 части глины, 2 части белой сажи, 2 части лигнинсульфоновой кислотной соды и 3 части алкилнафталенсульфоновой кислотной соды и распыляли для получения влажного порошка.
Пример состава 2
Получение гранул
Смешивали 2.5 части каждого соединения, показанного в Таблице 1 (Соединения 11-124), 28 частей бентонита, 52 части талька, 2 части додецилбензолсульфоновой кислотной соды и 2 части лигнинсульфоновой кислотной соды. К смеси добавляли 13.5 части воды. Полученную смесь смешивали, гранулировали в грануляторе и затем высушивали и формовали для получения гранул.
Пример состава 3
Получение плавающего вещества
Хорошо смешивают 5 частей каждого соединения, показанного в Таблице 1 (Соединения 11-124), 11 частей пропиленгликоля, 3 части SORPOL 7290P (торговая марка, доступная от ТОНО Chemical Industry Co., Ltd.), 0.1 части TOXANONE N100 (торговая марка, доступная от Sanyo Chemical Industries, Ltd.), 0.2 части ANTIFOAM E-20 (торговая марка, доступная от КАО Corporation), 1.5 части KUNIPIA F (торговая марка, доступная от Kunimine Industries Co,. Ltd.) и 79.2 части воды. Смесь распыляли влажной пульверизацией до размера частиц 5 мкм или менее. Таким образом получали плавающее вещество.
Пример состава 4
Получение концентрата эмульсии
5 частей каждого соединения, показанного в Таблице 1 (Соединения 11-124), растворяли в 50.5 частях N-метилпирролидона. Раствор объединяли с 24.5 частями SAS 296 (торговая марка, доступная от NIPPON PETROCHEMICALS COMPANY, LTD) и 20 частями SORPOL 3880L (торговая марка, доступная от ТОНО Chemical Industry Co., Ltd.). Смесь перемешивали с получением однородного раствора. Таким образом получали концентрат эмульсии.
Тест на гербицидное действие
Примеры тестирования гербицидного действия гербицидных композиций по изобретению приведены ниже, но следует учесть, что изобретение никоим образом не ограничивается этими тестируемыми примерами.
Тестируемый пример 1
Обработка листвы нагорных полей
Пластмассовую емкость на 130 см2 заполняли нагорной почвой. Впоследствии высевали и покрывали слоем почвы толщиной приблизительно 1 см семена сорняков Setaria viridis, Digitaria adscendens, Chenopodium album и Stellaria media, семена сои (Glycine max) и пшеницы (Triticum aestivum). На 14-й день после посева влажный порошок, полученный в Примере состава 1, разбавляли водой так, что количество активного ингредиента составляло 1 кг на гектар, и затем однородно наносили на поверхность листьев растения. На 21-й день после применения проводили наблюдение и оценку согласно описанным ниже критериям.
Результаты представлены в Таблице 4.
Тестируемый пример 2
Обработка нагорных почв
Пластмассовую емкость на 130 см2 заполняли нагорной почвой. Впоследствии высевали и покрывали слоем почвы толщиной приблизительно 1 см семена сорняков Setaria viridis, Digitaria adscendens, Chenopodium album и Stellaria media, семена сои (Glycine max) и пшеницы (Triticum aestivum). На следующий день после посева влажный порошок, полученный в Примере состава 1, разбавляли водой так, что количество активного ингредиента составляло 1 кг на гектар, и затем однородно наносили на поверхность почвы. На 21-й день после применения проводили наблюдение и оценку согласно описанным выше критериям.
Результаты представлены в Таблице 5.
Тестируемый пример 3
Обработка рисовых полей
Пластмассовую емкость на 130 см2 наполняли почвой с рисом и почву регулировали до глубины 4 см. Впоследствии высевали семена Echinochloa crusgalli, Monochoria vaginalis, Ammannia multiflora и Scirpus juncoides и пересаживали рис (Oryza sative, разновидность: Koshihikari) в возрасте двух листьев в количестве 2 растений риса на 1 емкость на глубину 3 см. На 10-й день после пересадки влажный порошок, полученный в Примере состава 1, растворяли водой так, что количество активного ингредиента составляло 1 кг на гектар, и затем разбрасывали по водной поверхности. На 21-й день после разбрасывания проводили наблюдение и оценку согласно описанным выше критериям.
Результаты представлены в Таблице 6.
Критерии оценки
Гербицидную активность оценивали на основании следующих критериев:
Индекс: 0-5
5: гербицидное действие не менее чем 90% или фитотоксичность 90% или более;
4: гербицидное действие не менее чем 70% и менее чем 90% или фитотоксичность 70% или более и менее чем 90%;
3: гербицидное действие не менее чем 50% и менее чем 70% или фитотоксичность 50% или более и менее чем 70%;
2: гербицидное действие не менее чем 30%, и менее чем 50% или фитотоксичность 30% или более и менее чем 50%;
1: гербицидное действие не менее чем 10% и менее чем 30% или фитотоксичность 10% или более и менее чем 30%;
0: гербицидное действие не менее чем 0% и менее чем 10% или фитотоксичность 0% или более и менее чем 10%;
| Таблица 4-1 |
Таблица 4-2 |
| Соединение № |
Гербицидная активность |
|
Соединение № |
Гербицидная активность |
| S |
D |
С |
S |
G |
Т |
|
S |
D |
С |
S |
G |
Т |
| V |
А |
А |
М |
М |
А |
|
V |
А |
А |
М |
М |
А |
| 11 |
3 |
5 |
5 |
3 |
0 |
0 |
|
57 |
5 |
5 |
5 |
5 |
0 |
0 |
| 13 |
3 |
4 |
4 |
4 |
0 |
0 |
|
59 |
5 |
5 |
5 |
5 |
0 |
0 |
| 14 |
5 |
5 |
5 |
5 |
0 |
0 |
|
65 |
5 |
5 |
5 |
5 |
0 |
0 |
| 17 |
5 |
5 |
5 |
5 |
0 |
0 |
|
67 |
4 |
5 |
5 |
4 |
0 |
0 |
| 18 |
5 |
5 |
5 |
5 |
0 |
0 |
|
70 |
4 |
5 |
5 |
4 |
0 |
0 |
| 19 |
5 |
5 |
5 |
5 |
0 |
0 |
|
74 |
5 |
5 |
5 |
5 |
0 |
0 |
| 20 |
2 |
3 |
5 |
5 |
0 |
0 |
|
75 |
5 |
5 |
5 |
5 |
0 |
0 |
| 21 |
5 |
5 |
5 |
5 |
0 |
0 |
|
77 |
3 |
5 |
5 |
3 |
0 |
0 |
| 23 |
3 |
3 |
4 |
4 |
0 |
0 |
|
81 |
5 |
5 |
5 |
5 |
0 |
0 |
| 24 |
4 |
3 |
4 |
4 |
0 |
0 |
|
82 |
3 |
5 |
4 |
4 |
0 |
0 |
| 26 |
4 |
5 |
5 |
5 |
0 |
0 |
|
83 |
3 |
5 |
4 |
4 |
0 |
0 |
| 27 |
5 |
5 |
5 |
5 |
0 |
0 |
|
85 |
4 |
4 |
5 |
5 |
0 |
0 |
| 28 |
3 |
3 |
4 |
3 |
0 |
0 |
|
86 |
3 |
5 |
4 |
4 |
0 |
0 |
| 30 |
3 |
4 |
4 |
3 |
0 |
0 |
|
88 |
4 |
5 |
5 |
5 |
0 |
0 |
| 33 |
4 |
5 |
4 |
4 |
0 |
0 |
|
92 |
5 |
5 |
5 |
5 |
0 |
0 |
| 34 |
4 |
5 |
4 |
4 |
0 |
0 |
|
94 |
3 |
3 |
5 |
5 |
0 |
0 |
| 36 |
4 |
5 |
5 |
4 |
0 |
0 |
|
98 |
3 |
4 |
4 |
4 |
0 |
0 |
| 37 |
5 |
5 |
5 |
5 |
0 |
0 |
|
103 |
3 |
4 |
5 |
5 |
0 |
0 |
| 41 |
5 |
5 |
5 |
5 |
1 |
0 |
|
104 |
3 |
4 |
5 |
5 |
0 |
0 |
| 42 |
5 |
5 |
5 |
5 |
0 |
0 |
|
105 |
6 |
5 |
5 |
5 |
0 |
0 |
| 43 |
5 |
5 |
5 |
5 |
0 |
0 |
|
106 |
3 |
3 |
3 |
3 |
0 |
0 |
| 44 |
5 |
5 |
5 |
5 |
0 |
0 |
|
111 |
4 |
4 |
5 |
5 |
0 |
0 |
| 46 |
5 |
5 |
5 |
5 |
0 |
0 |
|
118 |
3 |
4 |
4 |
5 |
0 |
0 |
| 47 |
5 |
5 |
5 |
5 |
0 |
0 |
|
120 |
4 |
4 |
5 |
4 |
0 |
0 |
| 53 |
4 |
5 |
5 |
4 |
0 |
0 |
|
122 |
4 |
4 |
4 |
4 |
0 |
0 |
| 54 |
4 |
5 |
4 |
4 |
0 |
0 |
|
124 |
3 |
3 |
4 |
4 |
0 |
0 |
| 56 |
5 |
5 |
5 |
5 |
0 |
0 |
|
57 |
5 |
5 |
5 |
5 |
0 |
0 |
| SV: Setaria viridis |
| DA: Digitaria adscendens |
| CA: Chenopodium album |
| SM Stellaria media |
| GM: Соя (Glycine max) |
| ТА: Пшеница (Triticum aestivum) |
| Таблица 5-1 |
Таблица 5-2 |
| Соединение № |
Гербицидная активность |
|
Соединение № |
Гербицидная активность |
| S |
D |
С |
S |
G |
Т |
|
S |
D |
С |
S |
G |
Т |
| V |
А |
А |
М |
М |
А |
|
V |
А |
А |
М |
М |
А |
| 13 |
4 |
4 |
5 |
5 |
0 |
0 |
|
56 |
5 |
5 |
5 |
5 |
1 |
0 |
| 14 |
5 |
5 |
5 |
5 |
1 |
0 |
|
57 |
5 |
5 |
5 |
5 |
0 |
0 |
| 17 |
4 |
4 |
4 |
4 |
0 |
0 |
|
59 |
5 |
5 |
5 |
5 |
0 |
0 |
| 18 |
5 |
5 |
5 |
5 |
0 |
0 |
|
65 |
5 |
5 |
5 |
5 |
0 |
0 |
| 19 |
5 |
5 |
5 |
5 |
0 |
0 |
|
67 |
4 |
4 |
5 |
5 |
0 |
0 |
| 20 |
3 |
4 |
3 |
4 |
0 |
0 |
|
70 |
3 |
3 |
4 |
4 |
0 |
0 |
| 21 |
4 |
4 |
5 |
5 |
0 |
0 |
|
74 |
4 |
5 |
5 |
5 |
1 |
0 |
| 23 |
4 |
4 |
5 |
4 |
0 |
0 |
|
75 |
4 |
4 |
5 |
5 |
1 |
0 |
| 24 |
4 |
3 |
5 |
4 |
0 |
0 |
|
77 |
4 |
5 |
5 |
5 |
0 |
0 |
| 26 |
4 |
5 |
5 |
5 |
0 |
0 |
|
81 |
5 |
5 |
5 |
5 |
1 |
0 |
| 27 |
5 |
5 |
5 |
5 |
1 |
0 |
|
82 |
4 |
5 |
4 |
5 |
0 |
0 |
| 28 |
3 |
4 |
4 |
3 |
0 |
0 |
|
83 |
5 |
5 |
5 |
5 |
0 |
0 |
| 30 |
4 |
3 |
4 |
3 |
0 |
0 |
|
86 |
4 |
5 |
5 |
5 |
1 |
0 |
| 33 |
4 |
5 |
5 |
5 |
0 |
0 |
|
88 |
4 |
4 |
5 |
5 |
0 |
0 |
| 34 |
4 |
5 |
5 |
5 |
0 |
0 |
|
92 |
5 |
5 |
5 |
5 |
0 |
0 |
| 36 |
4 |
4 |
5 |
5 |
1 |
0 |
|
94 |
3 |
3 |
5 |
4 |
0 |
0 |
| 37 |
5 |
5 |
5 |
5 |
0 |
0 |
|
98 |
3 |
4 |
4 |
5 |
0 |
0 |
| 41 |
5 |
5 |
5 |
5 |
1 |
0 |
|
103 |
4 |
5 |
5 |
5 |
0 |
0 |
| 43 |
5 |
5 |
5 |
5 |
1 |
0 |
|
104 |
4 |
5 |
5 |
5 |
0 |
0 |
| 44 |
5 |
5 |
5 |
5 |
0 |
0 |
|
105 |
4 |
4 |
4 |
4 |
0 |
0 |
| 46 |
5 |
5 |
5 |
5 |
1 |
0 |
|
106 |
3 |
4 |
4 |
4 |
0 |
0 |
| 47 |
5 |
5 |
5 |
5 |
0 |
0 |
|
111 |
4 |
4 |
5 |
5 |
0 |
0 |
| 51 |
4 |
4 |
4 |
4 |
0 |
0 |
|
118 |
3 |
3 |
4 |
4 |
0 |
0 |
| 53 |
3 |
5 |
4 |
4 |
0 |
0 |
|
120 |
3 |
4 |
4 |
4 |
0 |
0 |
| 54 |
3 |
4 |
5 |
5 |
0 |
0 |
|
122 |
3 |
3 |
4 |
4 |
0 |
0 |
| 55 |
5 |
5 |
5 |
5 |
0 |
0 |
|
124 |
3 |
3 |
5 |
4 |
0 |
0 |
| SV: Setaria viridis |
| DA: Digitaria adscendens |
| CA: Chenopodium album |
| SM: Stellaria media |
| GM: Соя (Glycine max) |
| ТА: Пшеница (Triticum aestivum) |
| Таблица 6-1 |
Таблица 6-2 |
| Соединение № |
Гербицидная активность |
|
Соединение № |
Гербицидная активность |
| Е |
S |
М |
А |
О |
|
Е |
S |
М |
А |
О |
| С |
J |
V |
М |
S |
|
С |
J |
V |
М |
S |
| 11 |
5 |
5 |
5 |
5 |
1 |
|
55 |
5 |
5 |
5 |
5 |
0 |
| 14 |
5 |
5 |
5 |
5 |
1 |
|
56 |
5 |
5 |
5 |
5 |
0 |
| 17 |
4 |
4 |
5 |
5 |
0 |
|
57 |
5 |
5 |
5 |
5 |
0 |
| 18 |
5 |
5 |
5 |
5 |
0 |
|
58 |
5 |
5 |
5 |
5 |
1 |
| 19 |
5 |
5 |
5 |
5 |
0 |
|
59 |
5 |
5 |
5 |
5 |
0 |
| 20 |
5 |
4 |
5 |
4 |
0 |
|
60 |
5 |
5 |
5 |
5 |
0 |
| 21 |
5 |
5 |
5 |
5 |
0 |
|
65 |
5 |
5 |
5 |
5 |
0 |
| 23 |
4 |
4 |
5 |
5 |
0 |
|
67 |
5 |
5 |
5 |
4 |
0 |
| 24 |
4 |
4 |
5 |
4 |
0 |
|
73 |
5 |
4 |
5 |
4 |
0 |
| 26 |
5 |
5 |
5 |
5 |
0 |
|
76 |
5 |
5 |
5 |
5 |
0 |
| 27 |
5 |
5 |
5 |
5 |
0 |
|
77 |
5 |
5 |
5 |
5 |
0 |
| 30 |
4 |
4 |
5 |
4 |
0 |
|
81 |
5 |
5 |
5 |
5 |
0 |
| 31 |
3 |
4 |
5 |
4 |
0 |
|
86 |
5 |
4 |
5 |
5 |
0 |
| 33 |
5 |
4 |
5 |
5 |
0 |
|
87 |
5 |
5 |
5 |
5 |
0 |
| 34 |
5 |
5 |
5 |
5 |
1 |
|
90 |
5 |
4 |
5 |
5 |
0 |
| 35 |
5 |
4 |
4 |
4 |
0 |
|
91 |
5 |
4 |
5 |
5 |
0 |
| 37 |
5 |
5 |
5 |
5 |
1 |
|
92 |
5 |
5 |
5 |
5 |
0 |
| 38 |
5 |
5 |
5 |
5 |
0 |
|
98 |
5 |
4 |
5 |
4 |
0 |
| 40 |
5 |
5 |
5 |
5 |
0 |
|
103 |
5 |
5 |
5 |
5 |
0 |
| 41 |
5 |
5 |
5 |
5 |
0 |
|
105 |
4 |
4 |
5 |
5 |
0 |
| 42 |
5 |
5 |
5 |
5 |
0 |
|
111 |
5 |
5 |
5 |
5 |
0 |
| 43 |
5 |
5 |
5 |
5 |
1 |
|
118 |
3 |
4 |
4 |
4 |
0 |
| 44 |
5 |
5 |
5 |
5 |
1 |
|
119 |
3 |
3 |
4 |
4 |
0 |
| 47 |
5 |
5 |
5 |
5 |
0 |
|
120 |
3 |
3 |
4 |
4 |
0 |
| 49 |
5 |
5 |
5 |
5 |
1 |
|
122 |
4 |
3 |
4 |
4 |
0 |
| 53 |
5 |
5 |
5 |
5 |
0 |
|
123 |
3 |
3 |
4 |
4 |
0 |
| EC: Echinochloa crusgalli |
| SJ: Scirpus juncoides |
| MV: Monochoria vagynalis |
| AM: Ammannia multiflora |
| OS: Рис (Oryza saliva) |
Как показано в Таблицах 4-6, влажный порошок гербицидов, содержащий соединение по изобретению формулы (1) или (4), оказывает превосходное гербицидное действие на различные сорняки нагорных полей или сорняки рисовых полей. Они не проявляют существенной фитотоксичности на пшеницу (Triticum aestivum), сою (Glycine max) и рис (Oryza sativa) с гербицидной активностью, оцененную, главным образом, индексом 0.
ПРОМЫШЛЕННАЯ ПРИМЕНИМОСТЬ
Замещенные пиразольные соединения настоящего изобретения являются новыми веществами, синтезируемыми из пиразольного производного и эфирного производного галогеналкиленоксима. Они обладают отличной гербицидной активностью.
Гербицидные композиции, содержащие замещенные пиразольные соединения в качестве активных ингредиентов, оказывают высокое гербицидное действие и широкий гербицидный спектр, могут применяться в достаточно низких дозах и безопасны для зерновых культур. Поэтому гербициды, содержащие эти соединения в качестве активных ингредиентов, полезны в сельском хозяйстве, садоводстве и многих других областях.
Формула изобретения
1. Замещенное производное пиразола, представленное формулой (I)

в которой n является 0 или 1; независимо
группа А представляет собой атом водорода, разветвленную или неразветвленную алкильную группу с 1-4 атомами углерода, разветвленную или неразветвленную галогеналкильную группу с 1-4 атомами углерода, циклоалкильную группу с 3-6 атомами углерода или фенильную группу, необязательно имеющую замещающие группы;
причем указанные замещающие группы являются одинаковыми или отличными друг от друга и выбираются из разветвленных или неразветвленных алкильных групп с 1-4 атомами углерода, разветвленных или неразветвленных галогеналкильных групп с 1-4 атомами углерода, разветвленных или неразветвленных алкоксигрупп с 1-4 атомами углерода, гидроксильной группы, разветвленных или неразветвленных галогеналкоксигрупп с 1-4 атомами углерода, разветвленных или неразветвленных алкилкарбонилоксигрупп с 1-4 атомами углерода, разветвленных или неразветвленных диалкиламинокарбонилоксигрупп с 1-4 атомами углерода, разветвленных или неразветвленных диалкиламиносульфонилоксигрупп с 1-4 атомами углерода, разветвленных или неразветвленных алкилтиогрупп с 1-4 атомами углерода, разветвленных или неразветвленных галогеналкилтиогрупп с 1-4 атомами углерода, разветвленных или неразветвленных алкилсульфонильных групп с 1-4 атомами углерода, атомов галогена, цианогруппы, фенильной группы, фенокси и бензилокси;
указанные замещающие группы замещают атом водорода в 0-3 произвольных положениях фенильной группы;
группа D представляет собой атом водорода, разветвленную или неразветвленную алкильную группу с 1-4 атомами углерода, разветвленную или неразветвленную галогеналкильную группу с 1-4 атомами углерода, алкинильную группу с 2-4 атомами углерода, разветвленную или неразветвленную алкокси группу с 1-4 атомами углерода, атом галогена, разветвленную или неразветвленную алкоксикарбонильную группу с 1-4 атомами углерода, разветвленную или неразветвленную алкилсульфонильную группу с 1-4 атомами углерода или фенильную группу;
группа Е представляет собой атом водорода, атом галогена или фенильную группу;
группы R1 и R2 обе представляют собой атом водорода;
группа R3 представляет собой атом водорода, разветвленную или неразветвленную алкильную группу с 1-4 атомами углерода, разветвленную или неразветвленную галогеналкильную группу с 1-4 атомами углерода, алкенильную группу с 2-4 атомами углерода, алкинильную группу с 2-4 атомами углерода или бензильную группу;
группы R4 и R5 являются одинаковыми или различными и каждая представляет собой атом водорода, разветвленную или неразветвленную алкильную группу с 1-4 атомами углерода, разветвленную или неразветвленную галогеналкильную группу с 1-4 атомами углерода, циклоалкильную группу с 3-8 атомами углерода, которая может быть замещена разветвленной или неразветвленной алкильной группой с 1-4 атомами углерода, алкенильную группу с 2-4 атомами углерода, алкинильную группу с 2-4 атомами углерода, цианометильную группу, замещенную аминогруппу N(R11R12), где группы R11 и R12 являются одинаковыми или различными и каждая обозначает атом водорода, разветвленную или неразветвленную алкильную группу с 1-4-атомами углерода, разветвленную или неразветвленную алкоксикарбонильную группу с 1-4-атомами углерода или фенильную группу;
или группа R4 и R5 каждая является бензильной группой;
или группа R4 и R5 каждая представляет собой – или -фенэтильную группу, необязательно имеющую замещающие группы на бензольном кольце, указанные замещающие группы являются разветвленными или неразветвленными алкоксигруппами с 1-4 атомами углерода, где указанные замещающие группы замещают атом водорода в 0-2 произвольных положениях бензольного кольца;
или группы R4 и R5 вместе образуют пятичленное или шестичленное алифатическое кольцо, в котором указанное кольцо может быть замещено разветвленными или неразветвленными алкильными группами с 1-4 атомами углерода и указанное кольцо может содержать один или два гетероатома, включая азот, кислород и серу.
2. Замещенные производные пиразола, обладающие гербицидной активностью, по п.1, имеющие формулу (1), в которой R4 представляет собой атом водорода и R5 представляет собой замещенную аминогруппу – N(R11,R12), и имеющее следующую формулу (4):

где n является 0 или 1;
А представляет собой фенил;
Е, R1 и R2 представляют собой водород;
D и R3 независимо обозначают разветвленную или неразветвленную алкильную группу с 1-4 атомами углерода и
группы R11 и R12 являются одинаковыми или различными и каждая обозначает атом водорода, разветвленную или неразветвленную алкильную группу с 1-4 атомами углерода, разветвленную или неразветвленную алкоксикарбонильную группу с 1-4 атомами углерода.
3. Способ получения замещенных производных пиразола формулы (1), который включает реакцию производного пиразола формулы (5) с эфирным производным галогеноксима формулы (6) с получением эфирного производного пиразола формулы (7)

и гидролиз эфирной группы эфирного производного пиразола формулы (7) в присутствии основания, получая производное карбоновой кислоты формулы (8), и реакцию производного карбоновой кислоты с амином R4-NH-R5 в присутствии конденсирующего агента

где в формулах (5)-(8) n является 0 или 1, группа Z представляет собой атом галогена, группа R13 представляет собой метильную или этильную группу и каждая группа A, D, Е, R1, R2, R3, R4 и R5 обозначает независимо те же самые замещающие группы, что и для формулы (1).
4. Гербицидная композиция, включающая соединение, выбранное из замещенных производных пиразола по п.1 в качестве активного ингредиента.
5. Гербицидная композиция, включающая соединение, выбранное из замещенных производных пиразола по п.2 в качестве активного ингредиента.
6. Замещенное производное пиразола, обладающие гербицидной активностью и представленное следующей формулой (I):

где n является 0 или 1; независимо
группа А представляет собой атом водорода, разветвленную или неразветвленную алкильную группу с 1-4 атомами углерода, разветвленную или неразветвленную галогеналкильную группу с 1-4 атомами углерода, циклоалкильную группу с 3-6 атомами углерода или фенильную группу, замещенную 0-3 замещающими группами (0 замещающих групп означает незамещенную фенильную группу);
указанные замещающие группы являются одинаковыми или отличными друг от друга и выбираются из алкильных групп с 1-4 атомами углерода, галогеналкильных групп с 1-4 атомами углерода, алкоксигрупп с 1-4 атомами углерода, галогеналкоксигрупп с 1-4 атомами углерода, алкилкарбонилоксигрупп с 1-4 атомами углерода, диалкиламинокарбонилоксигрупп с 1-4 атомами углерода, алкилтиогрупп с 1-4 атомами углерода, галогеналкилтиогрупп с 1-4 атомами углерода, атомов галогена, гидроксильной группы, цианогруппы, фенильной группы, феноксигруппы и бензилоксигруппы;
группа D представляет собой атом водорода, атом галогена, разветвленную или неразветвленную алкильную группу с 1-4 атомами углерода, разветвленную или неразветвленную галогеналкильную группу с 1 -4 атомами углерода, алкинильную группу с 2-4 атомами углерода, разветвленную или неразветвленную алкоксигруппу с 1-4 атомами углерода, алкоксикарбонильную группу с 1-4 атомами углерода, или фенильную группу;
группа Е представляет собой атом водорода, атом галогена или фенильную группу;
группа R1 и R2 обе представляет собой атом водорода;
группа R3 представляет собой атом водорода, разветвленную или неразветвленную алкильную группу с 1-4 атомов углерода, алкинильную группу с 2-4 атомами углерода, фторметильную группу или бензильную группу;
группы R4 и R5 вместе образуют пятичленное или шестичленное алифатическое кольцо, которое может содержать 1 или 2 гетероатома, включая азот, кислород и серу, и которое может быть замещено алкильной группой с 1-4 атомами углерода, или независимо
группа R4 представляет собой атом водорода или разветвленную или неразветвленную алкильную группу с 1-4 атомами углерода, и
группа R5 представляет собой атом водорода, разветвленную или неразветвленную алкильную группу с 1-4 атомами углерода, разветвленную или неразветвленную галогеналкильную группу с 1-4 атомами углерода, разветвленную или неразветвленную цианоалкильную группу с 1-4 атомами углерода, циклоалкильную группу с 3-6 атомами углерода, которая может быть замещена разветвленной или неразветвленной алкильной группой с 1-4 атомами углерода, алкенильной группой с 2-4 атомами углерода, алкинильной группой с 2-4 атомами углерода, фенильной группой, бензильной группой или – или -фенэтильной группой, необязательно имеющей (разветвленную или неразветвленную) алкоксигруппу с 1-4 атомами углерода в бензольном кольце.
7. Гербицидная композиция, включающая соединение, выбранное из замещенных производных пиразола по п.6 в качестве активного ингредиента.
MM4A – Досрочное прекращение действия патента СССР или патента Российской Федерации на изобретение из-за неуплаты в установленный срок пошлины за поддержание патента в силе
Дата прекращения действия патента: 19.12.2008
Извещение опубликовано: 20.07.2010 БИ: 20/2010
|
|