|
|
(21), (22) Заявка: 2003137836/04, 29.05.2002
(24) Дата начала отсчета срока действия патента:
29.05.2002
(30) Конвенционный приоритет:
31.05.2001 (пп.1-15) HU P01 02279
(43) Дата публикации заявки: 27.05.2005
(46) Опубликовано: 20.06.2006
(56) Список документов, цитированных в отчете о поиске:
CHEMICAL ABSTRACTS, vol.116, no.25, 22.06.1992, abstract no.255453f. WO 95/11244 A1, 27.04.1995. EP 1180518 A1, 20.02.2000. SU 305652 A, 04.06.1971. SU 1470183 A3, 30.03.1989.
(85) Дата перевода заявки PCT на национальную фазу:
31.12.2003
(86) Заявка PCT:
HU 02/00048 (29.05.2002)
(87) Публикация PCT:
WO 02/096879 (05.12.2002)
Адрес для переписки:
129010, Москва, ул. Б.Спасская, 25, стр.3, ООО “Юридическая фирма Городисский и Партнеры”, пат.пов. Е.Е.Назиной
|
(72) Автор(ы):
АРАНЬИ Петер (HU), БАЛАЖ Ласло (HU), БАЛОГ Мария (HU), БАТА Имре (HU), БАТОРИ Шандор (HU), Т. НАДЬ Лайош (HU), ТИМАРИ Геза (HU), БОЭР Кинга (HU), ФИНАНС Оливье (FR), КАПУИ Зольтан (HU), МИКУШ Эндре (HU), САМОСВЕЛЬДЬИ Жужанна (HU), СЕЛЕЦКИ Габор (HU), УРБАН-САБО Каталин (HU)
(73) Патентообладатель(и):
САНОФИ-АВЕНТИС (FR)
|
(54) ПРОИЗВОДНЫЕ АМИНОХИНОЛИНА И АМИНОПИРИДИНА И ИХ ПРИМЕНЕНИЕ В КАЧЕСТВЕ ЛИГАНДОВ АДЕНОЗИНА A3
(57) Реферат:
Изобретение относится к новым биологически активным производным аминохинолина и аминопиридина. Описываются соединения общей формулы (I), где R1 является атомом водорода или прямой или разветвленной С1-4 алкильной группой; R2 является атомом водорода или прямой или разветвленной С1-4 алкильной группой; R3 является атомом водорода или прямой или разветвленной С1-4 алкильной группой, или фенильной группой, тиенильной группой или фурильной группой, необязательно замещенной одной или более прямой или разветвленной С1-4 алкильной группой, прямой или разветвленной С1-4 алкоксигруппой или атомом галогена; R4 и R5 вместе образуют 1,3-бутадиенильную группу, необязательно замещенную метилендиоксигруппой или одной или более прямой или разветвленной С1-4 алкильной группой, прямой или разветвленной С1-4 алкоксигруппой, гидроксигруппой или атомом галогена; R6 является атомом водорода или цианогруппой; R7 является атомом водорода или прямой или разветвленной С1-4 алкильной группой, фенильной группой, бензильной группой, тиенильной группой или фурильной группой, необязательно замещенной метилендиоксигруппой или одной или более прямой или разветвленной С1-4 алкильной группой, прямой или разветвленной С1-4 алкоксигруппой, гидроксигруппой, трифторметильной группой, цианогруппой или атомом галогена; Х является -NH-группой, -NR8-группой или атомом серы или атомом кислорода или сульфогруппой или сульфоксигруппой, где R8 является прямой или разветвленной С1-4 алкильной группой или С3-6 циклоалкильной группой; n равно нулю, 1 или 2, и их соли. Также описываются способ получения соединений формулы (I), фармацевтическая композиция на их основе, применение соединений формулы (I) в качестве антагонистов рецептора А3 для изготовления фармацевтической композиции для лечения различных заболеваний (варианты), соединения формулы (IA), (II), (III) и (IV). Технический результат – получены новые соединения, обладающие полезными биологическими свойствами. 9 н. и 6 з.п. ф-лы, 6 ил., 6 табл.
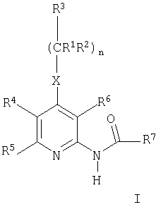
Данное изобретение относится к лигандам рецептора аденозина А3 общей формулы (I), предпочтительно антагонистам, а также к их солям, сольватам и изомерам, и к содержащим их фармацевтическим композициям, к применению соединений общей формулы (I), а также их солей, сольватов и изомеров, к получению соединений общей формулы (I) и их солей, сольватов и изомеров, а также к новым промежуточным соединениям общих формул (II), (III) и (IV) и к их получению.
Аденозин является хорошо известным компонентом нескольких эндогенных молекул (АТФ, НАД+, нуклеиновые кислоты). Кроме того, он играет важную регулирующую роль во многих физиологических процессах. Действие аденозина на функцию сердца было обнаружено уже в 1929 (Drury and Szentgyörgyi, J. Physiol 68:213, 1929). Идентификация увеличивающегося количества физиологических функций, медиированных аденозином, и открытие новых подтипов рецептора аденозина предоставило возможность для терапевтического применения специфических лигандов (Poulse, S.A. and Quinn, R. J. Bioorganic and Medicinal Chemistry 6:619, 1998).
До настоящего времени рецепторы аденозина были классифицированы на три основных класса: А1, А2 и А3. Подтип А1 частично ответственен за ингибирование аденилатциклазы сочетанием с белком Gi мембраны, частично влияет на другие системы вторичного мессенджера. Подтип рецептора А2 может быть разделен на два дальнейших подтипа – А2а и А2b, которые стимулируют активность аденилатциклазы. Последовательность рецепторов аденозина А3 была недавно идентифицирована из библиотеки кДНК семенников крыс. Позднее было доказано, что она соответствует новому функциональному рецептору аденозина. Активация рецепторов А3 также связана с несколькими системами вторичного мессенджера: ингибирование аденилатциклазы, стимулирование фосфолипазы С и D.
Рецепторы аденозина найдены в нескольких органах и регулируют их функции. Оба рецептора А1 и А3 играют важные роли в центральной нервной системе и сердечно-сосудистой системе. В ЦНС аденозин ингибирует выделение синаптических трансмиттеров, данное действие медиировано рецепторами А1. В сердце также рецепторы А1 медиируют отрицательное инотропное, хронотропное и дромотропное действие аденозина. Рецепторы аденозина А2а, расположенные относительно в больших количествах в полосатом теле, демонстрируют функциональное взаимодействие с рецепторами допамина в регулировании синаптической трансмиссии. Рецепторы аденозина А2а на клетках эндотелия и гладких мышц ответственны за индуцированную аденозином вазодилатацию.
На основе идентификации мРНК рецепторы аденозина А2b широко распространены в различных тканях. Они были обнаружены практически в каждом типе клеток, но их наибольшая экспрессия наблюдается в кишечнике и мочевом пузыре. Этот подтип, вероятно, также имеет важную регулирующую функцию в регулировании сосудистого тонуса и играет роль в функционировании мастоцитов.
В отличие от рецепторов А1 и А2A, распределение которых в тканях определяется на уровне белка, присутствие рецепторов А2b и А3 определяется на основе их уровня мРНК. Экспрессия уровней для рецепторов аденозина А3 относительно медленная по сравнению с другими подтипами и в большой степени зависит от видов. Рецепторы аденозина А3 экспрессируются в первую очередь в центральную нервную систему, семенники, иммунную систему и, по всей вероятности, вовлечены в модулирование выделения медиатора из мастоцитов в реакции прямой гиперчувствительности.
Антагонисты А3, описанные в литературе на настоящий момент, принадлежат к группам флавоноидов, производных 1,4-дигидропиридина, триазолохиназолинов, тиазолонафтиридинов и тиазолопиримидинов. Данное изобретение относится к новому типу эффективных антагонистов А3, которые имеют аминохинолиновую структуру.
Для терапевтического применения важно быть уверенным в том, что молекула не присоединяется или присоединяется только в случае очень высокой концентрации к А1, А2а и А2b подтипам рецептора аденозина. Данное изобретение относится к соединениям общей формулы (I), а также к их солям, сольватам и изомерам, которые имеют большую селективность к подтипу А3 рецептора аденозина.
Целью данного изобретения является получение лигандов А3 которые в первую очередь все имеют хинолиновую структуру, предпочтительно антагонистов, которые обладают сильным антагонистическим действием и показывают высокую селективность к рецептору А3, т.е. они ингибируют рецептор А3 в намного более низкой концентрации, чем они ингибируют рецепторы А1, А2а и А2b. Другой целью является получение такой стабильности, биодоступности, терапевтического индекса и токсичности, которые позволяют применять новые соединения в лекарственных веществах, которые благодаря их хорошей абсорбции в тонкий кишечник могут вводиться перорально.
Обнаружено, что соединения общей формулы (I), где
R1 является атомом водорода или прямой или разветвленной С1-4 алкильной группой;
R2 является атомом водорода или прямой или разветвленной С1-4 алкильной группой;
R3 является атомом водорода или прямой или разветвленной С1-4 алкильной группой, или фенильной группой, тиенильной группой или фурильной группой, необязательно замещенной одной или более прямой или разветвленной С1-4 алкильной группой, прямой или разветвленной С1-4 алкоксигруппой или атомом галогена, или является 5- или 6-членным гетероароматическим кольцом, содержащим один, два или три атома азота, или один атом азота и один атом кислорода, или один атом азота и один атом серы, необязательно замещенным одной или более прямой или разветвленной С1-4 алкильной группой, прямой или разветвленной
С1-4 алкоксигруппой или атомом галогена;
R4 и R5 является атомом водорода, или вместе они образуют 1,3-бутадиенильную группу, необязательно замещенную метилендиоксигруппой или одной или более прямой или разветвленной С1-4 алкильной группой, прямой или разветвленной
С1-4 алкоксигруппой, гидроксигруппой или атомом галогена;
R6 является атомом водорода или цианогруппой, аминокарбонильной группой, С1-4 алкоксикарбонильной группой или карбоксигруппой;
R7 является атомом водорода или прямой или разветвленной С1-4 алкильной группой или фенильной группой, бензильной группой, тиенильной группой или фурильной группой, необязательно замещенной метилендиоксигруппой или одной или более прямой или разветвленной С1-4 алкильной группой, прямой или разветвленной
С1-4 алкоксигруппой, гидроксигруппой, трифторметильной группой, цианогруппой или атомом галогена, или является 5- или 6-членным гетероароматическим кольцом, содержащим один, два или три атома азота или один атом азота и один атом кислорода или один атом азота и один атом серы, необязательно замещенным одной или более прямой или разветвленной С1-4 алкильной группой, прямой или разветвленной С1-4 алкоксигруппой или атомом галогена,
Х является -СН2– группой, -NH- группой, -NR8– группой или атомом серы или атомом кислорода или сульфогруппой, или сульфоксигруппой, где R8 является прямой или разветвленной С1-4 алкильной группой или С3-6 циклоалкильной группой;
n равно нулю, 1 или 2,
и их соли, сольваты и изомеры, и соли, сольваты последних отвечают этому критерию.
Точные значения перечисленных выше заместителей являются следующими.
Под прямой или разветвленной С1-4 алкильной группой понимают метил-, этил-, пропил-, изопропил-, бутил-, изобутил-, втор-бутил-, трет-бутил-, предпочтительно этил- или метильную группу.
Под прямой или разветвленной С1-4 алкоксигруппой понимают метокси-, этокси-, пропокси-, изопропокси-, бутокси-, изобутокси-, втор-бутокси-, трет-бутокси, предпочтительно этокси- или метоксигруппу.
Под С3-6 циклоалкильной группой понимают циклопропил-, циклобутил-, циклопентил- или циклогексильную группу.
Под 1,3-бутадиенильной группой понимают (-СН=СН-СН=СН-) группу, например пиридиновое кольцо, замещенное R4 и R5 заместителями, является бензопиридиновым кольцом или, если называть его тривиальным названием, хинолиновым кольцом.
Гетероароматическое кольцо, содержащее один, или два, или три атома азота, включает пиррол, имидазол, пиразол, 1,2,3-триазол, 1,2,4-триазол, пиридин, пиримидин, пиридазин, пиразин и 1,3,4-триазиновое кольцо. Кольцо необязательно замещено С1-4 алкилом или алкоксигруппой или атомом галогена.
Гетероароматическое кольцо, содержащее один атом азота и один атом кислорода или серы, включает оксазол, изоксазол, тиазол, изотиазол. Кольцо необязательно замещено С1-4 алкилом или алкоксигруппой, или атомом галогена.
Соли соединений общей формулы (I) включают соли, полученные с неорганическими и органическими кислотами и основаниями. Предпочтительными солями являются соли, полученные с фармацевтически приемлемыми кислотами, например хлористоводородной кислотой, серной кислотой, этансульфокислотой, винной кислотой, янтарной кислотой, фумаровой кислотой, яблочной кислотой, лимонной кислотой, и основаниями, такими как, например, гидроксид натрия, гидроксид калия, этаноламин.
Сольваты означают сольваты, полученные с различными растворителями, например с водой или этанолом.
Соединения общей формулы (I) имеют геометрический и оптический изомеризм, поэтому данное изобретение также относится к смесям геометрических изомеров, к рацемическим или оптически активным геометрическим изомерам, а также к их солям и сольватам.
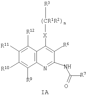
Предпочтительную группу соединений общей формулы (I) составляют соединения общей формулы (IA) в которой
R1 является атомом водорода или прямой или разветвленной С1-4 алкильной группой;
R2 является атомом водорода или прямой или разветвленной С1-4 алкильной группой;
R3 является атомом водорода или прямой или разветвленной С1-4 алкильной группой, или фенильной группой, тиенильной группой или фурильной группой, необязательно замещенной одной или более прямой или разветвленной С1-4 алкильной группой, прямой или разветвленной С1-4 алкоксигруппой или атомом галогена, или является 5- или 6-членным гетероароматическим кольцом, содержащим один, два или три атома азота или один атом азота и один атом кислорода или один атом азота и один атом серы, необязательно замещенным одной или более прямой или разветвленной С1-4 алкильной группой, прямой или разветвленной
С1-4 алкоксигруппой или атомом галогена;
R9, R10, R11 и R12 независимо являются атомом водорода или прямой или разветвленной С1-4 алкильной группой, прямой или разветвленной С1-4 алкоксигруппой, гидроксигруппой или атомом галогена, или
R9 и R12 являются атомом водорода и R10 и R11 вместе образуют метилендиоксигруппу;
R6 является атомом водорода или цианогруппой, аминокарбонильной группой, С1-4 алкоксикарбонильной группой или карбоксигруппой;
R7 является атомом водорода или прямой или разветвленной С1-4 алкильной группой или фенильной группой, бензильной группой, тиенильной группой, фурильной группой, необязательно замещенной метилендиоксигруппой или одной или более прямой или разветвленной С1-4 алкильной группой, прямой или разветвленной
С1-4 алкоксигруппой, гидроксигруппой, трифторметильной группой, цианогруппой или атомом галогена, или является 5- или 6-членным гетероароматическим кольцом, содержащим один, два или три атома азота или один атом азота и один атом кислорода или один атом азота и один атом серы, необязательно замещенным одной или более прямой или разветвленной С1-4 алкильной группой, прямой или разветвленной С1-4 алкоксигруппой или атомом галогена,
Х является -СН2– группой, -NH- группой, -NR8– группой или атомом серы или атомом кислорода или сульфогруппой или сульфоксигруппой, где R8 является прямой или разветвленной С1-4 алкильной группой или С3-6 циклоалкильной группой;
n равно нулю, 1 или 2,
и их соли, сольваты и изомеры, и соли, сольваты последних.
Предпочтительную группу соединений общей формулы (IA) составляют соединения, в которых
R1 является атомом водорода или метильной группой;
R2 является атомом водорода или метильной группой;
R3 является фенильной, тиенильной или фурильной группой;
R9, R10, R11 и R12 независимо являются атомом водорода или прямой или разветвленной С1-4 алкильной группой, прямой или разветвленной С1-4 алкоксигруппой, гидроксигруппой или атомом галогена, или
R9 и R12 являются атомом водорода и R10 и R11 вместе образуют метилендиоксигруппу;
R6 является атомом водорода или цианогруппой;
R7 является 4-метоксифенильной, 3-метилфенильной, 3-метоксифенильной, 3-тиенильной или 3-фурильной группой,
Х является -NH- группой или атомом кислорода и
n равно 1,
и их соли, сольваты и изомеры, и соли, сольваты последних.
Особенно предпочтительными являются следующие соединения, отвечающие представленным выше критериям:
3-метил-N-(4-бензиламино-3-цианохинолин-2-ил)бензамид;
4-метокси-N-(4-бензиламино-3-цианохинолин-2-ил)бензамид;
3-метокси-N-(4-бензиламино-3-цианохинолин-2-ил)бензамид;
3,4-метилендиокси-N-(4-бензиламино-3-цианохинолин-2-ил)бензамид;
N-(4-бензиламино-3-цианохинолин-2-ил)тиофен-2-карбоксамид;
N-(4-[2-тиенилметиламино]-3-цианохинолин-2-ил)тиофен-3-карбоксамид;
4-метокси-N-(4-[2-тиенилметиламино]-3-цианохинолин-2-ил)бензамид;
3,4-метилендиокси-N-(4-[2-тиенилметиламино]-3-цианохинолин-2-ил)бензамид;
N-(4-[2-фурилметиламино]-3-цианохинолин-2-ил)фуран-2-карбоксамид;
N-(4-[2-фурилметиламино]-3-цианохинолин-2-ил)тиофен-3-карбоксамид,
и их соли, сольваты и изомеры, и их соли, сольваты.
Согласно другому аспекту данное изобретение также относится к фармацевтическим композициям, содержащим в качестве активного ингредиента соединения общей формулы (I) или их изомеры, соли и сольваты, которые предпочтительно являются композициями для перорального применения, но объектом данного изобретения также являются ингаляционные, парентеральные и чрескожные композиции. Указанные выше фармацевтические композиции могут быть твердыми или жидкими, такими как таблетки, пилюли, капсулы, пластыри, растворы, суспензии или эмульсии. Твердые композиции, прежде всего таблетки и капсулы, являются предпочтительными фармацевтическими формами.
Указанные выше фармацевтические композиции получают добавлением обычных фармацевтических наполнителей с применением стандартных методов.
Соединения общей формулы (I) могут применяться при лечении патологий, в развитии которых играет роль рецептор А3.
Соединения в соответствии с данным изобретением, имеющие селективную активность в отношении рецептора А3, могут применяться для терапевтического и/или профилактического лечения дисфункций сердца, почек, дыхательной системы, центральной нервной системы. Они ингибируют защитное действие аденозина в растущих опухолевых клетках, предотвращают дегрануляцию мастоцитов, ингибируют продуцирование цитокина, снижают внутриглазное давление, ингибируют выделение TNF , ингибируют миграцию эозинофилов, нейтрофилов и других иммунных клеток, ингибируют бронхостеноз и транссудацию плазмы.
Принимая во внимание описанное выше действие, антагонисты рецептора аденозина А3 в соответствии с данным изобретением могут терапевтически применяться в качестве противовоспалительных агентов, антиастматических агентов, противоишемических агентов, антидепрессантов, антиаритмических агентов, защитных почечных агентов, противоопухолевых агентов, антипаркинсонических агентов и агентов, улучшающих познавательную способность. Они также могут применяться при лечении или профилактике миокардиального реперфузионного повреждения, хронического обструктивного заболевания легких (ХОЗЛ) и респираторного дистресс-синдрома у взрослых (РДСВ), включая хронический бронхит, легочную эмфизему или одышку, аллергических реакций (например, ринита, реакции на ядовитый плющ, крапивницы, склеродермы, артрита), других аутоиммунных заболеваний, воспаления кишечника, болезни Аддисона, болезни Крона, псориаза, ревматизма, гипертензии, расстройств неврологической функции, глаукомы и диабета (K.N. Klotz, Naunyn-Schmiedberg’s Arch. Pharmacol. 362:382, 2000; P.G. Baraldi and P.A. Borea, TiPS 21:456, 2000).
Соединения в соответствии с данным изобретением предпочтительно могут применяться для лечения заболеваний, таких как астма, ХОЗЛ и РДСВ, глаукомы, опухоли, аллергических и воспалительных заболеваний, ишемии, гипоксии, аритмии и заболеваний почек.
Согласно другому аспекту данное изобретение относится к применению соединений общей формулы (I) для лечения указанных выше патологий. Предлагаемая ежедневная доза составляет от 1 до 100 мг активного ингредиента в зависимости от природы и тяжести заболевания и пола, веса и т.д. пациента.
Другим объектом данного изобретения является получение соединений общей формулы (I) и промежуточных соединений общих формул (II), (III) и (IV).
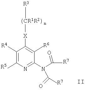
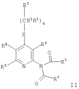
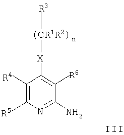
Промежуточные соединения общих формул (II), (III) и (IV), которые применяют в процессе получения в соответствии с данным изобретением, частично являются новыми. Заместители в общих формулах (II), (III) и (IV) имеют указанные выше значения.
В способе в соответствии с данным изобретением бис-карбоксамид общей формулы (II) селективно гидролизуют и полученное соединение общей формулы (I), при желании, превращают в его соли, сольваты или выделяют из его соли, сольвата и разделяют на геометрические или оптические изомеры.
Заместители соединений общей формулы (I) могут быть превращены друг в друга известными методами.
Селективный гидролиз проводят с применением спиртового раствора, предпочтительно раствора гидроксида щелочного металла в метаноле, предпочтительно растворов гидроксида калия и/или натрия, но также могут применяться другие агенты, способствующие гидролизу амидов.
Селективный гидролиз может проводиться в широком диапазоне температур, предпочтительно при 20-100°С.
Соединения общей формулы (II), в которых значения R1, R2, R3, R4, R5, R6, R7, R8, Х и n такие, как определены выше, могут быть получены несколькими известными методами, один из которых показан на схеме 1 (фиг.6), ацилированием соединений формулы (III) с применением метода ацилирования, известного в области органической химии. В качестве ацилирующего агента может применяться ацилхлорид, в качестве связующего кислоту агента – триэтиламин и/или пиридин, также могут применятся другие агенты, связывающие кислоту.
Соединения общей формулы (III), в которых значения R1, R2, R3, R4, R5, R6, R8, Х и n такие, как определены выше, могут быть получены из соединений формулы (IV) методами, известными в данной области техники (Nan Zhang, Bioorg. and Med. Chem. Lett., 10, 2825, 2000).
Соединения общей формулы (IV), в которых значения R4, R5 и R6 такие, как определены выше, могут быть получены из соединений формулы (V) методами, известными в данной области техники (D.L. Leysen, J. Heterocyclic Chem., 24, 1611, 1987).
Соединения общей формулы (V), в которых значения R4, R5 и R6 такие, как определены выше, могут быть получены из соединений формулы (VI) методами, известными в данной области техники (Pfizer (Inc) USP 4175193).
Соединения в соответствии с данным изобретением общих формул (I), (II), (III) и (IV), их получение и биологическая активность продемонстрированы в представленных ниже примерах, не ограничивающих объем формулы данного изобретения.
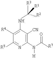
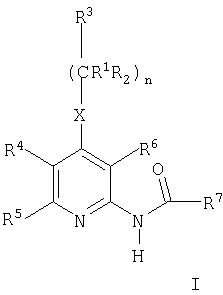
На фиг.1 показана общая формула (I), на фиг.2 показана общая формула (IA), на фиг.3 показана общая формула (II), на фиг.4 показана общая формула (III) и на фиг.5 показана общая формула (IV), на фиг.6 показана схема 1, ход реакции получения соединений общей формулы (I).
ПРИМЕРЫ
Пример 1
3-Метил-N-(4-бензиламино-3-цианохинолин-2-ил)бензамид:
В общей формуле (I) R1 и R2 являются атомами водорода, R3 является фенильной группой, R4 и R5 вместе образуют 1,3-бутадиенильную группу, R6 является цианогруппой, R7 является 3-метилфенильной группой, Х является -NH группой, n равно 1.
а) 2-Амино-3-циано-4-хлорхинолин:
Смесь 10 г 2-амино-3-циано-4-гидроксихинолина и 15 мл фосфорилхлорида нагревают при перемешивании при температуре 110°С. Реакционную смесь охлаждают, выливают в 100 мл смеси лед-вода и нейтрализуют 60 мл 10% раствора гидроксида натрия. Полученный желтый осадок отфильтровывают, промывают 50 мл воды. После сушки получают 7,5 г указанного в заголовке соединения, т. пл. 210°С.
ЯМР, н (400 MHz, DMSO-d6): 7,21 ч/млн, (с, 2Н, NH2), 7,35-7,40 ч/млн, (дд, 1Н, 6-Н), 7,53-7,57 ч/млн, (д, 1Н, 5-Н), 7,70-7,75 ч/млн, (дд, 1Н, 7-Н), 7,93-7,98 ч/млн, (д, 1Н, 8-Н)
b) 2-Амино-3-циано-4-бензиламинохинолин:
5 г 2-Амино-3-циано-4-хлорхинолина и 11 мл бензиламина нагревают при перемешивании при температуре 130°С. Реакционную смесь выливают в 50 мл воды, полученный осадок отфильтровывают, промывают 50 мл воды. Бледно-желтый осадок перекристаллизовывают из диметилформамида с получением 5,2 г указанного в заголовке соединения.
Т. пл. 206°С.
ЯМР, н (400 MHz, DMSO-d6): 5,02-5,03 ч/млн, (д, 2Н, N-CH2), 6,22 ч/млн, (с, 2Н, NH2), 7,14-7,16 ч/млн, (дд, 1Н, 6-Н), 7,24-7,26 ч/млн, (дд, 1Н, 5-Н), 7,30 ч/млн, (с, 5Н, Ph), 7,50-7,52 ч/млн, (дд, 1Н, 7-Н), 8,16-8,19 ч/млн, (д, 1Н, 8-Н), 8,30-8,33 ч/млн, (т, 1Н, NH).
Применяя вместо бензиламина 2-аминометилпиридин или 3-аминометилпиридин или 4-аминометилпиридин можно получить соответствующие соединения формулы III.
с) 3-Метил-N-(3-метилбензоил)-N-(4-бензиламино-3-цианохинолин-2-ил)бензамид:
К раствору 5 г 2-амино-3-циано-4-бензиламинохинолина в 30 мл пиридина по каплям добавляют 6 мл 3-метилбензоилхлорида при перемешивании при температуре 0°С. Реакционную смесь перемешивают при температуре 80°С в течение 8 часов, затем ее выливают в 150 мл смеси лед-вода. Осадок отфильтровывают, промывают дважды 40 мл воды. Полученное белое кристаллическое вещество перекристаллизовывают из 200 мл этанола с получением 9,2 г указанного в заголовке соединения, т. пл. 234°С.
Применяя пиридин-3-карбонилхлорид в качестве ацилирующего агента, можно получить соответствующее соединение общей формулы II.
d) 3-Метил-N-(4-бензиламино-3-цианохинолин-2-ил)бензамид
К раствору 5 г 3-метил-N-(3-метилбензоил)-N-(4-бензиламино-3-цианохинолин-2-ил)бензамида в 80 мл ацетонитрила добавляют 20 мл 1Н раствора гидроксида калия в метаноле. Реакционную смесь кипятят с обратным холодильником в течение 3 минут, затем добавляют 3 мл ледяной уксусной кислоты, затем смесь нейтрализуют 50 мл 1М раствора гидрокарбоната натрия и полученные кристаллы отфильтровывают. Белое кристаллическое вещество перекристаллизовывают из 130 мл ацетонитрила с получением 3,1 г указанного в заголовке соединения общей формулы (I). Т. пл. 230°С.
Пример 2
4-Метокси-N-(4-бензиламино-3-цианохинолин-2-ил)бензамид
В общей формуле (I) R1 и R2 являются атомами водорода, R3 является фенильной группой, R4 и R5 вместе образуют 1,3-бутадиенильную группу, R6 является цианогруппой, R7 является 4-метоксифенильной группой, Х является -NH-группой, n равно 1.
2-Амино-3-циано-4-бензиламинохинолин, полученный, как описано в примере 1, превращают, при применении 4-метоксибензоилхлорида по аналогии с примером 1, в 4-метокси-N-(4-метоксибензоил)-N-(4-бензиламино-3-цианохинолин-2-ил)бензамид, который после селективного гидролиза методом, описанным в примере 1, дает указанное в заголовке соединение общей формулы (I). Температура плавления указанного в заголовке соединения 188°С.
Натриевую соль указанного в заголовке соединения получают следующим методом:
4-Метокси-N-(4-бензиламино-3-цианохинолин-2-ил)бензамид растворяют в метаноле и к нему добавляют эквивалентное количество гидроксида натрия в метаноле. Осажденное белое кристаллическое вещество отфильтровывают. Т. пл. 255°С.
Этансульфонат указанного в заголовке соединения получают следующим методом:
4-Метокси-N-(4-бензиламино-3-цианохинолин-2-ил)бензамид растворяют в метаноле и к нему добавляют эквивалентное количество этансульфокислоты. Осажденное белое кристаллическое вещество отфильтровывают. Т. пл. 223°С.
Пример 3
3-Метокси-N-(4-бензиламино-3-цианохинолин-2-ил)бензамид
В общей формуле (I) R1 и R2 являются атомами водорода, R3 является фенильной группой, R4 и R5 вместе образуют 1,3-бутадиенильную группу, R6 является цианогруппой, R7 является 3-метоксифенильной группой, Х является -NH группой, n равно 1.
2-Амино-3-циано-4-бензиламинохинолин, полученный, как описано в примере 1, превращают, при применении 3-метоксибензоилхлорида по аналогии с примером 1, в 3-метокси-N-(3-метоксибензоил)-N-(4-бензиламино-3-цианохинолин-2-ил)бензамид, который после селективного гидролиза методом, описанным в примере 1, дает указанное в заголовке соединение общей формулы (I). Температура плавления указанного в заголовке соединения 186°С.
Пример 4
3,4-Метилендиокси-N-(4-бензиламино-3-цианохинолин-2-ил)бензамид
В общей формуле (I) R1 и R2 являются атомами водорода, R3 является фенильной группой, R4 и R5 вместе образуют 1,3-бутадиенильную группу, R6 является цианогруппой, R7 является 3,4-метилендиоксифенильной группой, Х является -NH группой, n равно 1.
2-Амино-3-циано-4-бензиламинохинолин, полученный, как описано в примере 1, превращают, при применении 4-метоксибензоилхлорида по аналогии с примером 1, в 3,4-метилендиокси-N-(3,4-метилендиоксибензоил)-N-(4-бензиламино-3-цианохинолин-2-ил)бензамид, который после селективного гидролиза методом, описанным в примере 1, дает указанное в заголовке соединение общей формулы (I). Температура плавления указанного в заголовке соединения 231°С.
Пример 5
N-(4-бензиламино-3-цианохинолин-2-ил)тиофен-2-карбоксамид
В общей формуле (I) R1 и R2 являются атомами водорода, R3 является фенильной группой, R4 и R5 вместе образуют 1,3-бутадиенильную группу, R6 является цианогруппой, R7 является 2-тиенильной группой, Х является -NH группой, n равно 1.
2-Амино-3-циано-4-бензиламинохинолин, полученный, как описано в примере 1, превращают, при применении тиофен-2-карбонилхлорида по аналогии с примером 1, в N-(2-тиофенкарбонил)-N-(4-бензиламино-3-цианохинолин-2-ил)тиофен-2-карбоксамид, который после селективного гидролиза методом, описанным в примере 1, дает указанное в заголовке соединение общей формулы (I). Температура плавления указанного в заголовке соединения 197°С.
Пример 6
N-(4-[2-тиенилметиламино]-3-цианохинолин-2-ил)тиофен-3-карбоксамид
В общей формуле (I) R1 и R2 являются атомами водорода, R3 является 2-тиенильной группой, R4 и R5 вместе образуют 1,3-бутадиенильную группу, R6 является цианогруппой, R7 является 3-тиенильной группой, Х является -NH группой, n равно 1.
а) 2-Амино-3-циано-4-(2-тиенилметиламино)хинолин
5 г 2-амино-3-циано-4-хлорхинолина, полученного, как описано в примере 1, перемешивают с 11 мл 2-тиенилметиламина при температуре 130°С в течение 3 часов. Реакционную смесь выливают в 50 мл воды, полученный осадок отфильтровывают, промывают 50 мл воды. Бледно-желтое вещество перекристаллизовывают из 25 мл этанола с получением 5,2 г указанного в заголовке соединения, т. пл. 208°С.
2-Амино-3-циано-4-(2-тиенилметиламино)хинолин, полученный, как описано выше, превращают, при применении тиофен-3-карбонилхлорида по аналогии с примером 1, в N-(3-тиофенкарбонил)-N-(4-[2-тиенилметиламино]-3-цианохинолин-2-ил)тиофен-3-карбоксамид, который после селективного гидролиза методом, описанным в примере 1, дает указанное в заголовке соединение общей формулы (I). Температура плавления указанного в заголовке соединения 223°С.
Пример 7
4-метокси-N-(4-[2-тиенилметиламино]-3-цианохинолин-2-ил)бензамид
В общей формуле (I) R1 и R2 являются атомами водорода, R3 является 2-тиенильной группой, R4 и R5 вместе образуют 1,3-бутадиенильную группу, R6 является цианогруппой, R7 является 4-метоксифенильной группой, Х является -NH группой, n равно 1.
2-Амино-3-циано-4-(2-тиенилметиламино)хинолин, полученный, как описано в примере 6, превращают, при применении 4-метоксибензоилхлорида методом, описанным в примере 1, в 4-метокси-N-(4-метоксибензоил)-N-(4-[2-тиенилметиламино]-3-цианохинолин-2-ил)бензамид, который после селективного гидролиза методом, описанным в примере 1, дает указанное в заголовке соединение общей формулы (I). Температура плавления указанного в заголовке соединения 173°С.
Пример 8
3,4-метилендиокси-N-(4-[2-тиенилметиламино]-3-цианохинолин-2-ил)бензамид
В общей формуле (I) R1 и R2 являются атомами водорода, R3 является 2-тиенильной группой, R4 и R5 вместе образуют 1,3-бутадиенильную группу, R6 является цианогруппой, R7 является 3,4-метилендиоксифенильной группой, Х является -NH группой, n равно 1.
2-Амино-3-циано-4-(2-тиенилметиламино)хинолин, полученный, как описано в примере 6, превращают, при применении 3,4-метилендиоксибензоилхлорида методом, описанным в примере 1, в 3,4-метилендиокси-N-(3,4-метилендиоксибензоил)-N-(4-[2-тиенилметиламино]-3-цианохинолин-2-ил)бензамид, который после селективного гидролиза методом, описанным в примере 1, дает указанное в заголовке соединение общей формулы (I). Температура плавления указанного в заголовке соединения 241°С.
Пример 9
N-(4-[2-фурилметиламино]-3-цианохинолин-2-ил)фуран-2-карбоксамид
В общей формуле (I) R1 и R2 являются атомами водорода, R3 является 2-фурильной группой, R4 и R5 вместе образуют 1,3-бутадиенильную группу, R6 является цианогруппой, R7 является 2-фурильной группой, Х является -NH группой, n равно 1.
а) 2-Амино-3-циано-4-(2-фурилметиламино)хинолин
5 г 2-амино-3-циано-4-хлорхинолина, полученного, как описано в примере 1, перемешивают с 1 мл 2-фурилметиламина (фурфуриламина) при температуре 130°С в течение 3 часов. Реакционную смесь выливают в 50 мл воды, полученный осадок отфильтровывают, промывают 50 мл воды. Бледно-желтое вещество перекристаллизовывают из 20 мл этанола с получением 4,8 г указанного в заголовке соединения, т. пл. 208°С.
2-Амино-3-циано-4-(2-фурилметиламино)хинолин, полученный, как описано выше, превращают, при применении фуран-2-карбонилхлорида по аналогии с примером 1, в N-(2-фуранкарбонил)-N-(4-[2-фурилметиламино]-3-цианохинолин-2-ил)фуран-2-карбоксамид, который после селективного гидролиза методом, описанным в примере 1, дает указанное в заголовке соединение общей формулы (I). Температура плавления указанного в заголовке соединения 196°С.
Пример 10
N-(4-[2-фурилметиламино]-3-цианохинолин-2-ил)тиофен-3-карбоксамид
В общей формуле (I) R1 и R2 являются атомами водорода, R3 является 2-фурильной группой, R4 и R5 вместе образуют 1,3-бутадиенильную группу, R6 является цианогруппой, R7 является 3-тиенильной группой, Х является -NH группой, n равно 1.
2-Амино-3-циано-4-(2-фурилметиламино)хинолин, полученный, как описано в примере 6, превращают, при применении тиофен-3-карбонилхлорида по аналогии с примером 1, в N-(3-тиофенкарбонил)-N-(4-[2-фурилметиламино]-3-цианохинолин-2-ил)тиофен-3-карбоксамид, который после селективного гидролиза методом, описанным в примере 1, дает указанное в заголовке соединение общей формулы (I). Температура плавления указанного в заголовке соединения 118°С.
Структура и физические характеристики других соединений общей формулы (I), полученных методом, описанным в примере 1, показаны в табл.I и II.











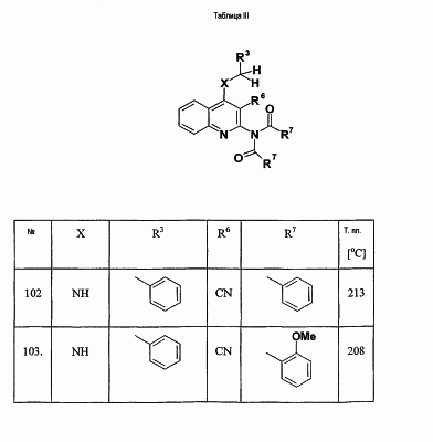
Структура и физические характеристики промежуточных соединений общей формулы (II), полученных методом, описанным в примере 1, показаны в табл.III.




Структура и физические характеристики промежуточных соединений общих формул (III) и (IIIa), полученных методом, описанным в примере 1, показаны в табл.IV.




Структура и физические характеристики промежуточных соединений общей формулы (V), полученных методом, описанным в примере 1, показаны в табл.V.


Пример 172
Таблетки, имеющие представленный ниже состав, получают известными методами, применяемыми в фармацевтической промышленности.
| Активный ингредиент |
25 мг |
| Лактоза |
50 мг |
| Авицель |
21 мг |
| Кросповидон |
3 мг |
| Стеарат магния |
1 мг |
Биологические испытания
Методы
Связывание человеческого рецептора аденозина А3
Получение суспензии мембраны: собирают клетки яичников китайского хомячка (СНО), экспрессирующие рецепторы hA3 трехкратной промывкой ледяным физиологическим раствором с фосфатным буфером (ФРФБ), центрифугируют при 1000Чg в течение 10 мин, гомогенизируют в течение 15 секунд в буфере (50 мМ Трис, 10 мМ MgCl2, 1 мМ ЭДТК, рН 8,0), центрифугируют при 43000Чg в течение 10 минут (Sigma 3K30), суспендируют препарат мембраны в буфере, упомянутом выше, хранят аликвоты при температуре -80°С.
Протокол связывания: инкубируют препарат мембран СНО-hA3 (содержание белка 2 мкг) в инкубационном буфере (50 мМ Трис, 10 мМ MgCl2, 1 мМ ЭДТК, 3 U/мл аденозиндеаминазы, рН 8,0) в присутствии 0,5 нМ [125I]AB-MECA (п-аминобензилметилкарбоксамидоаденозин) (100000 имп./мин) и 100 мкМ R-PIA (N6-[L-2-фенилизопропил]аденозин) для определения неспецифического связывания или тестируемого соединения в общем объеме 50 мкл в течение 1 часа при комнатной температуре. Фильтруют через фильтры из стекловолокна Whatman GF/B (предварительно пропитанными 0,5% полиэтиленимином в течение 3 часов), четырежды промывают 1 мл ледяного 50 мМ Трис, 10 мМ MgCl2, 1 мМ ЭДТК, (рН 8,0) в 96-ячеечном Brandel Cell Harvester. Определение активности: в счетчике гамма-излучения (1470 Wizard, Wallac). Ингибирование [%]=100-((активность в присутствии тестируемого соединения – неспецифическая
активность)/(общая активность – неспецифическая активность))*100.
Связывание человеческого рецептора аденозина А1
Получение суспензии мембраны: собирают клетки СНО, экспрессирующие рецепторы hA1 трехкратной промывкой с ледяным ФРФБ, центрифугируют при 1000Чg в течение 10 мин, гомогенизируют в течение 15 секунд в буфере (50 мМ Трис, рН 7,4), центрифугируют при 43000Чg в течение 10 минут (Sigma 3K30), суспендируют препарат мембраны в буфере, упомянутом выше, хранят аликвоты при температуре -80°С.
Протокол связывания: инкубируют препарат мембран CHO-hA1 (содержание белка 50 мкг) в инкубационном буфере (50 мМ Трис, 3 U/мл аденозиндеаминазы, рН 7,4), 10 нМ [3Н]ССРА (2-хлор-N6-циклопентиладенозин) (80000 расп./мин) и 10 мкМ R-PIA (N6-[L-2-фенилизопропил]аденозин) для определения неспецифического связывания или тестируемого соединения в общем объеме 100 мкл в течение 3 часов при комнатной температуре. Фильтруют через фильтры из стекловолокна Whatman GF/B (предварительно пропитанными 0,5% полиэтиленимином в течение 3 часов), четырежды промывают 1 мл ледяного 50 мМ Трис, (рН 7,4) в 96-ячеечном Brandel Cell Harvester. Определение активности: в 96-ячеечном планшете в присутствии HiSafe-3 коктейля в счетчике бета-излучения (1450 Microbeta, Wallac). Ингибирование [%]=100 – ((активность в присутствии тестируемого соединения – неспецифическая активность)/(общая активность – неспецифическая активность))*100.
Связывание человеческого рецептора аденозина А2а
Протокол связывания: инкубируют 7 мкг мембран (человеческие рецепторы аденозина A2а, трансфекцированные в клетки НЕК-293, источник: Receptor Biology, Inc.), буфер (50 мМ Трис-HCl, 10 мМ MgCl2, 1 мМ ЭДТК, 2 U/мл аденозиндеаминазы, рН 7,4), 20 нМ [3Н]CGS-21680 (2-[п-(2-карбонилэтил)фенилэтиламино]-5′-N-этилкарбоксамидо-аденозин) (200000 расп./мин) и 50 мкМ NECA (5′-N-этилкарбоксамидо-аденозин) для определения неспецифического связывания или тестируемого соединения в общем объеме 100 мкл в течение 90 минут при комнатной температуре. Фильтруют через фильтры из стекловолокна Whatman GF/B (предварительно пропитанными 0,5% полиэтиленимином), четырежды промывают 1 мл ледяного 50 мМ Трис, 10 мМ MgCl2, 1 мМ ЭДТК, 0,9% NaCl (рН 7,4) в 96-ячеечном Brandel Cell Harvester. Определение активности: в 96-ячеечном планшете в присутствии HiSafe-3 коктейля в счетчике бета-излучения (1450 Microbeta, Wallac). Ингибирование [%]=100 – ((активность в присутствии тестируемого соединения – неспецифическая активность)/(общая активность – неспецифическая активность))*100.
Связывание человеческого рецептора аденозина А2b
Протокол связывания: инкубируют 20,8 мкг мембран (человеческие рецепторы аденозина A2b, трансфекцированные в клетки НЕК-293, источник: Receptor Biology, Inc.), буфер (50 мМ Трис-HCl, 10 мМ MgCl2, 1 мМ ЭДТК, 0,1 мМ бензамидина, 2 U/мл аденозиндеаминазы, рН 6,5), 32,4 нМ [3Н]DPCPX (8-циклопентил-1,3-дипропилксантин) (800000 расп./мин) и 100 мкМ NECA (5′-N-этилкарбоксамидоаденозин) для определения неспецифического связывания или тестируемого соединения в общем объеме 100 мкл в течение 30 минут при комнатной температуре. Фильтруют через фильтры из стекловолокна Whatman GF/B (предварительно пропитанными 0,5% полиэтиленимином), четырежды промывают 1 мл ледяного 50 мМ Трис-HCl (рН 6,5) в 96-ячеечном Brandel Cell Harvester. Определение активности: в 96-ячеечном планшете в присутствии HiSafe-3 коктейля в счетчике бета-излучения (1450 Microbeta, Wallac). Ингибирование [%]=100 – ((активность в присутствии тестируемого соединения – неспецифическая активность)/(общая активность – неспецифическая активность))*100.
Результаты
Соединения считаются биологически активными, если они ингибируют связывание радиолиганда с человеческими рецепторами аденозина А3 с активностью более 80% при 1 мкМ в экспериментальных условиях.
Константа диссоциации (Kd) для [125I]AB-MECA на препарате мембран CHO-hA3 определяется с помощью исследования изотопного насыщения с помощью анализа Скатчарда (G. Scatchard, Ann. N. Y. Acad. Sci. 51:660, 1949). IC50 превращают в константу сродства (Ki) с помощью уравнения Ченга-Прусоффа (Y. J. Cheng and W. H. Prusoff, Biochem. Pharmacol. 22:3099, 1973).
Некоторые соединения общей формулы (I), (II), (III) и (IV) демонстрируют замечательное биологическое действие. Соединения общей формулы (IA), определенной в пункте 2 в качестве подгруппы соединений общей формулы (I), определенной в пункте 1, оказывают наиболее важное действие. За исключением 5 соединений их значения Ki не выше 20 нМ. Соединения, данные в качестве примеров, являются особенно предпочтительными. Их значения Ki, полученные в исследовании связывания человеческого рецептора аденозина А3, составляет от 0,19 до 0,69 нМ. Значения Ki наиболее предпочтительных соединений составляют от 0,14 до 0,15 нМ.
Соединения обладают подходящей биодоступностью и, по крайней мере, 10000-кратной селективностью по отношению к подтипам человеческого рецептора аденозина А2, А2а и А2b.
Далее, длительность их действия при внутривенном и пероральном введении достаточно велика, их значения ED50 низкие, их токсикологический профиль и профиль побочных эффектов преимущественные.
Данные по значениям IC50 в исследовании связывания человеческого рецептора аденозина А3 для ряда соединений формулы (I) представлены в Табл.VI.
Таблица VI
| Соединение Примера № |
IC50, нМ |
| 1 |
0,57 |
| 2 |
0,47 |
| 3 |
0,84 |
| 4 |
0,63 |
| 5 |
0,48 |
| 6 |
0,23 |
| 7 |
0,44 |
| 8 |
0,38 |
| 9 |
0,71 |
| 10 |
0,18 |
| 38 |
0,14 |
Представленные выше данные делают соединения общей формулы (I) подходящими для терапевтического применения.
Формула изобретения
1. Соединения общей формулы (I)

где R1 является атомом водорода или прямой или разветвленной C1-4 алкильной группой;
R2 является атомом водорода или прямой или разветвленной C1-4 алкильной группой;
R3 является атомом водорода или прямой или разветвленной C1-4 алкильной группой, или фенильной группой, тиенильной группой или фурильной группой, необязательно замещенной одной или более прямой или разветвленной C1-4 алкильной группой, прямой или разветвленной С1-4алкоксигруппой или атомом галогена;
R4 и R5 вместе образуют 1,3-бутадиенильную группу, необязательно замещенную метилендиоксигруппой или одной или более прямой или разветвленной С1-4 алкильной группой, прямой или разветвленной С1-4 алкоксигруппой, гидроксигруппой или атомом галогена;
R6 является атомом водорода или цианогруппой;
R7 является атомом водорода или прямой или разветвленной С1-4 алкильной группой, фенильной группой, бензильной группой, тиенильной группой или фурильной группой, необязательно замещенной метилендиоксигруппой или одной или более прямой или разветвленной С1-4 алкильной группой, прямой или разветвленной С1-4 алкоксигруппой, гидроксигруппой, трифторметильной группой, цианогруппой или атомом галогена;
Х является -NH-группой, -NR8-группой или атомом серы или атомом кислорода или сульфогруппой или сульфоксигруппой, где R8 является прямой или разветвленной С1-4 алкильной группой или С3-6 циклоалкильной группой;
n равно нулю, 1 или 2,
и их соли.
2. Соединения общей формулы (IA) по п.1

в которой R1 является атомом водорода или прямой или разветвленной С1-4 алкильной группой;
R2 является атомом водорода или прямой или разветвленной С1-4 алкильной группой;
R3 является атомом водорода или прямой или разветвленной С1-4 алкильной группой, или фенильной группой, тиенильной группой или фурильной группой, необязательно замещенной одной или более прямой или разветвленной С1-4 алкильной группой, прямой или разветвленной С1-4 алкоксигруппой или атомом галогена;
R9, R10, R11 и R12 независимо являются атомом водорода или прямой или разветвленной С1-4 алкильной группой, прямой или разветвленной С1-4 алкоксигруппой, гидроксигруппой или атомом галогена, или
R9 и R12 являются атомом водорода, и R10 и R11 вместе образуют метилендиоксигруппу;
R6 является атомом водорода или цианогруппой;
R7 является атомом водорода или прямой или разветвленной С1-4 алкильной группой, фенильной группой, бензильной группой, тиенильной группой или фурильной группой, необязательно замещенной метилендиоксигруппой или одной или более прямой или разветвленной C1-4 алкильной группой, прямой или разветвленной С1-4 алкоксигруппой, гидроксигруппой, трифторметильной группой, цианогруппой или атомом галогена;
Х является -NH-группой, -NR8-группой, или атомом серы или атомом кислорода или сульфогруппой или сульфоксигруппой, где R8 является прямой или разветвленной С1-4 алкильной группой или С3-6 циклоалкильной группой;
n равно нулю, 1 или 2,
и их соли.
3. Соединения формулы (IA) по п.2,
где R1 является атомом водорода или метильной группой;
R2 является атомом водорода или метильной группой;
R3 является фенильной, тиенильной или фурильной группой;
R9, R10, R11 и R12 независимо являются атомом водорода или прямой или разветвленной С1-4 алкильной группой, прямой или разветвленной С1-4 алкоксигруппой, гидроксигруппой или атомом галогена, или
R9 и R12 являются атомом водорода, и R10 и R11 вместе образуют метилендиоксигруппу;
R6 является атомом водорода или цианогруппой;
R7 является 4-метоксифенильной, 3-метилфенильной, 3-тиенильной или 3-фурильной группой,
Х является -NH-группой или атомом кислорода;
n равно 1,
и их соли.
4. Соединения по любому из пп.1-3, представляющие собой
3-метил-N-(4-бензиламино-3-цианохинолин-2-ил)бензамид;
4-метокси-N-(4-бензиламино-3-цианохинолин-2-ил)бензамид;
3-метокси-N-(4-бензиламино-3-цианохинолин-2-ил)бензамид;
3,4-метилендиокси-N-(4-бензиламино-3-цианохинолин-2-ил)бензамид;
N-(4-бензиламино-3-цианохинолин-2-ил)тиофен-3-карбоксамид;
N-(4-[2-тиенилметиламино]-3-цианохинолин-2-ил)тиофен-3-карбоксамид;
4-метокси-N-(4-[2-тиенилметиламино]-3-цианохинолин-2-ил)бензамид;
3,4-метилендиокси-N-(4-[2-тиенилметиламино]-3-цианохинолин-2-ил)бензамид;
N-(4-[2-фурилметиламино]-3-цианохинолин-2-ил)фуран-2-карбоксамид;
N-(4-[2-фурилметиламино]-3-цианохинолин-2-ил)тиофен-2-карбоксамид,
и их соли.
5. Способ получения соединения общей формулы (I)

и его солей, где R1, R2, R3, R4, R5, R6, R7, R8, Х и n имеют значения, определенные в п.1, включающей селективный гидролиз амида бис кислоты общей формулы (II)

где R1, R2, R3, R4, R5, R6, R7, R8, X и n имеют значения, определенные в п.1, и, при желании, превращение заместителей полученных таким образом соединений общей формулы (I) друг в друга, и/или превращение полученных таким образом соединений формулы (I) в их соли, или выделение их из их солей.
6. Способ по п.5, включающий проведение селективного гидролиза в спиртовой среде в присутствии гидроксида щелочного металла, предпочтительно, гидроксида калия или натрия.
7. Фармацевтическая композиция, применяемая при лечении заболеваний, в развитии которых играет роль рецептор А3, содержащая в качестве активного ингредиента одно или более соединений общей формулы (I), где R1, R2, R3, R4, R5, R6, R7, R8, X и n имеют значения, определенные в п.1, или их соли, в смеси с одним или более наполнителей, применяемых в фармацевтической промышленности.
8. Фармацевтическая композиция по п.7, содержащая в качестве активного ингредиента одно или более соединений общей формулы (IA), где R1, R2, R3, R6, R7, R8, R9, R10, R11, R12, X и n имеют значения, определенные в п.2, или их соли, в смеси с одним или более наполнителей, применяемых в фармацевтической промышленности.
9. Фармацевтическая композиция по п.8, содержащая в качестве активного ингредиента одно или более соединений по п.4.
10. Применение соединений общей формулы (I), где R1, R2, R3, R4, R5, R6, R7, R8, Х и n имеют значения, определенные в п.1, в качестве антагониста рецептора А3 для изготовления фармацевтической композиции для лечения заболеваний, таких как астма, хроническое обструктивное заболевание легких (ХОЗЛ), респираторный дистресс-синдром у взрослых (РДСВ), глаукома, опухоль, аллергические и воспалительные заболевания, ишемия, гипоксия, аритмия и заболевания почек.
11. Применение соединений общей формулы (IA), где R1, R2, R3, R6, R7, R8, R9, R10, R11, R12, Х и n имеют значения, определенные в п.2, в качестве антагониста рецептора А3 для изготовления фармацевтической композиции для лечения заболеваний, таких как астма, хроническое обструктивное заболевание легких (ХОЗЛ), респираторный дистресс-синдром у взрослых (РДСВ), глаукома, опухоль, аллергические и воспалительные заболевания, ишемия, гипоксия, аритмия и заболевания почек.
12. Соединения общей формулы (IA) и их соли, представляющие собой
3-Метил-N-(4-бензиламино-3-цианохинолин-2-ил)бензамид,
4-Метокси-N-(4-бензиламино-3-цианохинолин-2-ил)бензамид,
3-Метокси-N-(4-бензиламино-3-цианохинолин-2-ил)бензамид,
3,4-Метилендиокси-N-(4-бензиламино-3-цианохинолин-2-ил)бензамид,
N-(4-бензиламино-3-цианохинолин-2-ил)тиофен-2-карбоксамид,
N-(4-[2-тиенилметиламино]-3-цианохинолин-2-ил)тиофен-3-карбоксамид,
4-метокси-N-(4-[2-тиенилметиламино]-3-цианохинолин-2-ил)бензамид,
3,4-метилендиокси-N-(4-[2-тиенилметиламино]-3-цианохинолин-2-ил)бензамид,
N-(4-[2-фурилметиламино]-3-цианохинолин-2-ил)фуран-2-карбоксамид,
N-(4-[2-фурилметиламино]-3-цианохинолин-2-ил)тиофен-3-карбоксамид,
или соединения формулы

где
 
 
или соединения формулы

где

  
или соединения формулы


13. Соединения общей формулы (II),

где R1, R2, R3, R4, R5, R6, R7, R8, Х и n имеют значения, определенные в п.1.
14. Соединения общей формулы (III)

где R1, R2, R3, R4, R5, R6, R8, X и n имеют значения, определенные в п.1, при условии, что R3 не может быть фенильной группой, если R1 и R2 являются атомом водорода, n=1, X является -NH- группой, R4 и R5 вместе образуют 1,3-бутадиенильную группу и R6 является цианогруппой, при еще одном условии, что R3 не может быть прямой или разветвленной С1-4 алкильной группой или фенильной группой, замещенной прямой или разветвленной С1-4 алкоксигруппой, если n=0, X является -NH- или -NR8– группой, R8 имеет значения, указанные в п.1, R4 и R5 вместе образуют 1,3-бутадиенильную группу и R6 является цианогруппой.
15. Соединения общей формулы (IV)

где R4, R5 и R6 имеют значения, определенные в п.1, при условии, что R6 не может быть атомом водорода, если R4 и R5 являются атомом водорода.
РИСУНКИ
MM4A – Досрочное прекращение действия патента СССР или патента Российской Федерации на изобретение из-за неуплаты в установленный срок пошлины за поддержание патента в силе
Дата прекращения действия патента: 30.05.2008
Извещение опубликовано: 27.07.2010 БИ: 21/2010
|
|