|
|
(21), (22) Заявка: 2004134048/09, 22.11.2004
(24) Дата начала отсчета срока действия патента:
22.11.2004
(45) Опубликовано: 20.05.2006
(56) Список документов, цитированных в отчете о поиске:
ГАБЕ И.Р., ЛЕБЕДЕВ Ю.М., ОПАРИНСКИЙ П.П., СЕМЕНОВИЧ Д.И. Использование адаптивных блоковых корректирующих кодов в информационных каналах с помехами. Вопросы изобретательства. Серия ОВР, вып.14, 1990, с.25. RU 2169431, С1, 20.06.2001. RU 2235598, C2, 10.02.2004. RU 2236090, C1, 10.09.2004. US 5446747, A, 29.08.1995. DE 19918507, A1, 26.10.2000. EP 1168633, A2, 02.01.2002.
Адрес для переписки:
248650, г.Калуга, ул. К. Маркса, 4, ФГУП “КНИИТМУ”
|
(72) Автор(ы):
Зимихин Дмитрий Анатольевич (RU), Квашенников Владислав Валентинович (RU), Кухарев Александр Дмитриевич (RU), Манкевич Дмитрий Михайлович (RU)
(73) Патентообладатель(и):
Федеральное государственное унитарное предприятие “Калужский научно-исследовательский институт телемеханических устройств” (RU)
|
(54) СПОСОБ ПЕРЕДАЧИ ИНФОРМАЦИИ С ИСПОЛЬЗОВАНИЕМ АДАПТИВНОГО ПОМЕХОУСТОЙЧИВОГО КОДИРОВАНИЯ
(57) Реферат:
Способ передачи информации с использованием адаптивного помехоустойчивого кодирования относится к области техники связи и может быть использован для передачи дискретной информации, защищенной помехоустойчивым кодом, в частности помехоустойчивым каскадным кодом. Технический результат – повышение достоверности принимаемой информации в канале связи и упрощении аппаратной и программной реализации способа. Технический результат достигается за счет того, что сначала осуществляют контроль качества канала связи. По результатам контроля качества канала связи выбирают помехоустойчивый код с переменными параметрами, которым на передающей стороне кодируют исходную информацию. Далее информацию, защищенную помехоустойчивым кодом, передают в канал связи. На приемной стороне помехоустойчивый код декодируют с обнаружением и исправлением ошибок. При этом исходную информацию кодируют на передающей стороне помехоустойчивым каскадным кодом, контроль качества канала связи осуществляют на приемной стороне по результатам декодирования слов внутреннего кода помехоустойчивого каскадного кода. Причем при декодировании внутреннего кода помехоустойчивого каскадного кода оценивают вероятность безошибочного приема слов внутреннего кода помехоустойчивого каскадного кода. Далее вычисляют параметры, характеризующие качество канала связи. Затем определяют вероятности правильного приема, стирания и трансформации слов внутреннего кода помехоустойчивого каскадного кода. После этого осуществляют выбор переменных параметров помехоустойчивого каскадного кода, обеспечивающих необходимую вероятность правильного приема помехоустойчивого каскадного кода. 1 з.п. ф-лы.
Изобретение относится к области техники связи и может быть использовано для передачи дискретной информации защищенной помехоустойчивым кодом, в частности помехоустойчивым каскадным кодом.
Одним из основных свойств большинства реальных каналов связи является их нестационарность или изменение состояния канала связи во времени. В системах связи, в которых параметры используемого помехоустойчивого кода являются постоянными, выбор кода и метода декодирования обычно производят исходя из некоторого среднего или из наихудшего состояния канала связи. Такой подход к выбору кода для реальных каналов приводит, как правило, к уменьшению скорости передачи информации из-за выбора кода с большой избыточностью и нерационального использования этой избыточности в каждом из возможных состояний канала связи. Одним из путей устранения этого недостатка является переход к адаптивным системам связи с переменными параметрами, в которых способы передачи сообщений и способы их приема автоматически и целенаправленно изменяются по мере изменения состояния канала связи, то есть изменения условий передачи информации в канале связи.
Известен способ передачи информации по протоколу МNP4 (или схожему по возможностям протоколу Международного Союза электросвязи ITU-TV.42), предусматривающий исправление ошибок в процедуре адаптивной сборки пакетов информации, при котором передают пакеты информации различной длины, защищенные помехоустойчивыми кодами. Пакет может содержать 32, 64, 128, 192 или 256 байт информации. При большом уровне шумов в канале связи, информацию передают пакетами меньших размеров. В результате этого повышается вероятность правильного приема пакета информации. По каналам связи высокого качества передают пакеты информации, имеющие большие размеры, чем пакеты информации, передаваемые по каналам связи низкого качества. При этом уменьшается количество служебной информации, что приводит к увеличению скорости передачи информации. Контроль за ошибками в пакетах информации осуществляют с помощью помехоустойчивого кода, используемого в режиме обнаружения ошибок (Лагутенко О.И. Модемы. Справочник пользователя. Оформление А.Лурье. СПб. Лань. 1997, стр.184).
Недостатком этого способа является снижение достоверности принимаемой информации, так как декодирование помехоустойчивого кода осуществляется только с обнаружением ошибок и при этом не выдерживается оптимальное соотношение между количеством исправляемых и обнаруживаемых ошибок, которое соответствует состоянию канала связи в текущий момент времени.
Известен также способ передачи информации с использованием адаптивного помехоустойчивого кодирования, в соответствии с которым на передающей стороне осуществляют непрерывный контроль за состоянием канала связи (например за уровнем шумов, помехи и т.д.). Результаты контроля качества канала связи используются для выбора наилучших помехоустойчивых кодов, при этом используются две схемы кодирования: первая из них осуществляет кодирование информации с помощью циклического помехоустойчивого кода с обнаружением ошибок, а вторая – с помощью кода с исправлением ошибок. Далее выбранный помехоустойчивый код передают в канал связи. На приемной стороне помехоустойчивый код декодируется с обнаружением или исправлением ошибок в зависимости от используемого кода (Пат. №6044485 США, МПК 7 G 06 F 11/10, опубл. 2000).
Недостатком этого способа также является невысокая достоверность принимаемой информации, обусловленная тем, что решения о выборе помехоустойчивого кода и алгоритма его декодирования принимаются на передающей стороне канала связи. Известно, что качество канала связи на передающей стороне может отличаться от качества канала на приемной стороне (особенно в каналах связи большой протяженности), что может привести к неоптимальному приему информации, защищенной помехоустойчивым кодом.
Наиболее близким к предлагаемому способу (прототип) является способ передачи информации с использованием адаптивного помехоустойчивого кодирования, при котором сначала осуществляют контроль качества канала связи. По результатам контроля качества канала связи выбирают помехоустойчивый код с переменными параметрами, которым на передающей стороне кодируют исходную информацию. Далее информацию, защищенную помехоустойчивым кодом, передают в канал связи. На приемной стороне помехоустойчивый код декодируют с обнаружением и исправлением ошибок в зависимости от корректирующей способности выбранного кода (Габе И.Р., Лебедев Ю.М., Опаринский П.П., Семенович Д.И. Использование адаптивных блоковых корректирующих кодов в информационных каналах с помехами. Вопросы радиоэлектроники. Сер. ОВР, вып.14, 1990, стр.25).
Недостаток известного способа заключается в снижении достоверности принимаемой информации и высокой сложности способа. Этот недостаток обусловлен тем, что оценку качества канала связи выполняют при декодировании специальных служебных сигналов с заранее известной структурой. При этом данные о качестве приема слов помехоустойчивого кода не используют для оптимизации параметров помехоустойчивого кода.
Цель изобретения – увеличение достоверности принятой информации и упрощение способа за счет того, что оценку качества канала связи и выбор оптимальных параметров помехоустойчивого кода осуществляют по результатам приема помехоустойчивого кода с учетом статистических характеристик неискаженного приема слов внутреннего кода помехоустойчивого каскадного кода.
Для достижения цели предложен способ передачи информации с использованием адаптивного помехоустойчивого кодирования, при котором сначала осуществляют контроль качества канала связи. По результатам контроля качества канала связи выбирают помехоустойчивый код с переменными параметрами, которым на передающей стороне кодируют исходную информацию. Далее информацию, защищенную помехоустойчивым кодом, передают в канал связи. На приемной стороне помехоустойчивый код декодируют с обнаружением и исправлением ошибок в зависимости от корректирующей способности выбранного кода. Новым является то, что исходную информацию кодируют на передающей стороне помехоустойчивым каскадным кодом, контроль качества канала связи осуществляют на приемной стороне по результатам декодирования слов внутреннего кода помехоустойчивого каскадного кода. Причем при декодировании внутреннего кода помехоустойчивого каскадного кода оценивают вероятность безошибочного приема слов внутреннего кода помехоустойчивого каскадного кода. Далее вычисляют параметры, характеризующие качество канала связи. Затем определяют вероятности правильного приема, стирания и трансформации слов внутреннего кода помехоустойчивого каскадного кода. После этого осуществляют выбор переменных параметров помехоустойчивого каскадного кода, обеспечивающих необходимую вероятность правильного приема помехоустойчивого каскадного кода, и далее эти параметры помехоустойчивого каскадного кода сообщают на передающую сторону. При этом целесообразно качество канала связи описывать двумя параметрами: средней вероятностью ошибки на бит и коэффициентом группирования ошибок по модифицированной модели канала связи Пуртова.
Предлагаемый способ передачи информации с использованием адаптивного кодирования реализуется следующим образом.
На передающей стороне формируют помехоустойчивый каскадный код, например каскадный код, внешним кодом которого является код Рида-Соломона, а внутренним – двоичный код Боуза-Чоудхури-Хоквинхема (БЧХ-коды). Для этого на передающей стороне исходное сообщение, объемом k m-ичных (m>1) символов, вначале кодируют m-ичным помехоустойчивым кодом Рида-Соломона. Код Рида-Соломона является внешним кодом или кодом первой ступени помехоустойчивого каскадного кода.
В результате кодирования информации получают кодовое слово кода Рида-Соломона (n, k), информационная длина которого равна k, а блоковая – n символов.
Далее информацию кодируют двоичным кодом БЧХ. Код БЧХ является внутренним кодом или кодом второй ступени помехоустойчивого каскадного кода. Код БЧХ имеет параметры: nl – блоковая длина кода, kl – информационная длина кода.
Исходной информацией для каждого слова двоичного кода БЧХ являются символы кода Рида-Соломона, рассматриваемые как последовательность двоичных символов. В результате кодирования кодом БЧХ будет получено n двоичных слов кода БЧХ (nl, kl), которые далее с выхода передающей стороны передают в канал связи.
В начале работы на передающей стороне канала связи информацию кодируют с помощью помехоустойчивого каскадного кода, параметры которого могут изменяться. Наиболее просто, с точки зрения аппаратной и программной реализации, могут изменяться параметры внешнего кода помехоустойчивого каскадного кода или кода Рида-Соломона: информационная k и блоковая n длины кода. Эти параметры определяют избыточность каскадного кода, и значит, его минимальное кодовое расстояние и помехоустойчивость.
Далее символы каскадного кода, преобразованные в сигналы, поступают в канал связи. В канале связи под воздействием помех передаваемые сигналы искажаются. Это может привести к тому, что каскадный код будет принят с ошибками.
На приемной стороне осуществляют декодирование каскадного кода. Каскадный код, поступающий на вход приемника, содержит n слов внутреннего кода каскадного кода. Декодирование каскадного кода начинают с декодирования слов внутреннего кода каскадного кода с обнаружением и исправлением ошибок.
В результате декодирования слов внутреннего кода каскадного кода получают символы внешнего кода каскадного кода. Если количество принятых символов внешнего кода каскадного кода достаточно для декодирования внешнего кода, осуществляют декодирование внешнего кода каскадного кода с исправлением ошибок и стираний.
При декодировании внутреннего кода каскадного кода несложно определить количество слов внутреннего кода m, принятых без ошибок. Оценка для вероятности безошибочного приема слов внутреннего кода – P1(0) записывается в виде

где Р3(0) – вероятность трансформации кодового слова с нулем ошибок,
N – общее число принятых слов внутреннего кода.
Вероятность трансформации кодового слова с нулем ошибок оценивается формулой
P3(0)= (0)P1(0),
при этом коэффициент , и поскольку обычно n-k>1, то величиной вероятности трансформации с допустимой погрешностью можно пренебречь.
Вероятности безошибочного приема слов внутреннего кода помехоустойчивого каскадного кода P1(0) позволяют вычислить параметры, характеризующие качество канала связи.
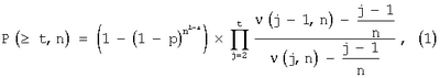
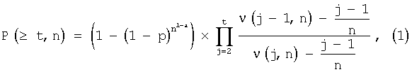
Для канала связи с группированием ошибок согласно модифицированной модели канала Пуртова вероятность t и более ошибок (t 2) в блоке длины n бит выражается формулой (Самойлов В.М. Обобщенная аналитическая модель канала с групповым распределением ошибок. Вопросы радиоэлектроники, сер. ОВР, вып.6, 1990, стр.151)

где 
р – средняя вероятность ошибки на бит в канале связи,
a – коэффициент группирования ошибок (0 a 1).
Вероятность искажения кодовой комбинации

Для канала с группированием ошибок вероятность безошибочного приема слов внутреннего кода помехоустойчивого каскадного кода Р1(0) записывают в виде

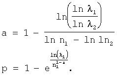
Из последней формулы при наличии статистики безошибочного приема слов для двух различных длин блоков символов n1 и n2 (например, для блоков с длиной, равной длине слова внутреннего кода n1=n, и длиной, равной двойной длине этих слов n2=2×n) можно записать два уравнения, позволяющие определить оба параметра канала связи с группированием ошибок р и а

где 1=P1(0)
2 – вероятности безошибочного приема двух соседних слов внутреннего кода помехоустойчивого каскадного кода.
Из двух последних формул параметры, характеризующие качество канала связи, запишутся в виде

Затем определяют вероятности правильного приема, стирания и трансформации слов внутреннего кода помехоустойчивого каскадного кода.
Для канала с группирующимися ошибками, в частности канала, соответствующего модифицированной модели канала Пуртова, вероятность правильного приема Рп.п символов внешнего кода каскадного кода при исправлении внутренним кодом t ошибок будет равна
Pп.п=1-P(j t+1, n),
где P(j t+1, n) – вероятность более t ошибок в блоке длины n символов, вычисляемая по формуле (1).
Вероятность стирания Рст символов внешнего кода каскадного кода при обнаружении внутренним кодом s (s t) ошибок будет равна

где коэффициент трансформаций , равный отношению числа трансформированных слов к числу стертых слов внутреннего кода, приближенно по “объему сфер” коэффициент трансформаций выражается в виде

Вероятность трансформации Ртр символов внешнего кода каскадного кода запишется в виде
Pст=1-Pп.п-Pст
Далее осуществляют выбор переменных параметров помехоустойчивого каскадного кода, обеспечивающих необходимую вероятность правильного приема помехоустойчивого каскадного кода.
Известна формула, связывающая вероятность правильного приема помехоустойчивого каскадного кода с вероятностями правильного приема, стирания и трансформации символов внешнего кода помехоустойчивого каскадного кода (Мериминский И. А. Сравнительный анализ помехоустойчивости двух каскадных кодов методом моделирования на ЭВМ. Техника средств связи. Сер. ТРС, 1986, вып.6, стр.13). Вероятность правильного приема P1 помехоустойчивого каскадного кода записывается в виде

где число ошибок t, исправляемых внешним кодом помехоустойчивого каскадного кода, выражается формулой , обозначение [r] для некоторого числа r означает ближайшее целое, не превосходящее r.
Используя приведенную выше формулу (2), рассчитывают параметры каскадного кода n и k, обеспечивающие вероятность правильного приема Р1 помехоустойчивого каскадного кода, то есть вероятность правильного приема сообщения не хуже заданной величины.
Далее по каналу обратной связи значения параметров каскадного кода n и k, необходимые для правильного приема информации с заданной вероятностью, сообщаются на передающую сторону. На передающей стороне формируют новый каскадный код с блоковой и информационной длиной, равной соответственно n и k. Затем этот каскадный код передают на приемную сторону.
В предлагаемом изобретении за счет контроля качества канала связи по результатам оценки неискаженного приема слов внутреннего кода помехоустойчивого каскадного кода обеспечивается высокая достоверность оценки параметров кода. При этом, в отличие от прототипа, не требуется передача специальных служебных сигналов для оценки качества канала, что позволяет увеличить корректирующую способность помехоустойчивого каскадного кода и, следовательно, достоверность принимаемой информации при одинаковой скорости передачи информации в канале связи. При оценке качества приема слов внутреннего кода помехоустойчивого каскадного кода используется информация, которую получают при декодировании этого кода и при этом затрачивается незначительное число дополнительных операций и оборудования, что упрощает программную или аппаратную реализацию предлагаемого способа.
Достигаемым техническим результатом способа передачи информации с использованием адаптивного помехоустойчивого кодирования является увеличение достоверности принимаемой информации и упрощение способа.
Формула изобретения
1. Способ передачи информации с использованием адаптивного помехоустойчивого кодирования, заключающийся в том, что сначала осуществляют контроль качества канала связи, по результатам контроля качества канала связи выбирают помехоустойчивый код с переменными параметрами, которым на передающей стороне кодируют исходную информацию, далее информацию, защищенную помехоустойчивым кодом, передают в канал связи, на приемной стороне помехоустойчивый код декодируют с обнаружением и исправлением ошибок в зависимости от корректирующей способности выбранного кода, отличающийся тем, что исходную информацию кодируют на передающей стороне помехоустойчивым каскадным кодом, контроль качества канала связи осуществляют на приемной стороне по результатам декодирования слов внутреннего кода помехоустойчивого каскадного кода, причем при декодировании внутреннего кода помехоустойчивого каскадного кода оценивают вероятность безошибочного приема слов внутреннего кода помехоустойчивого каскадного кода, далее вычисляют параметры, характеризующие качество канала связи, затем определяют вероятности правильного приема, стирания и трансформации слов внутреннего кода помехоустойчивого каскадного кода, после этого осуществляют выбор переменных параметров помехоустойчивого каскадного кода, обеспечивающих необходимую вероятность правильного приема помехоустойчивого каскадного кода, и далее эти параметры помехоустойчивого каскадного кода сообщают на передающую сторону.
2. Способ по п.1, отличающийся тем, что качество канала связи описывают средней вероятностью ошибки на бит и коэффициентом группирования ошибок по модифицированной модели канала связи Пуртова.
|
|