|
(21), (22) Заявка: 2004134793/28, 29.11.2004
(24) Дата начала отсчета срока действия патента:
29.11.2004
(45) Опубликовано: 20.05.2006
(56) Список документов, цитированных в отчете о поиске:
RU 2000100437 А, 27.11.2001. GB 2305252 A, 02.04.1997. GB 2307751 A, 04.06.1997. DE 3514412 A1, 23.10.1986. WO 90/00724 A1, 25.01.1990.
Адрес для переписки:
600007, г.Владимир, ул. Северная, 1а, ФГУП Владимирское производственное объединение “Точмаш”
|
(72) Автор(ы):
Жуков Олег Анатольевич (RU), Курицын Александр Николаевич (RU), Маликов Виктор Алексеевич (RU), Никитин Олег Рафаилович (RU), Полушин Петр Алексеевич (RU)
(73) Патентообладатель(и):
Федеральное государственное унитарное предприятие Владимирское производственное объединение “Точмаш” (RU)
|
(54) СИСТЕМА УЧЕТА РАСХОДА ГАЗА ИЛИ ЖИДКОСТИ
(57) Реферат:
Изобретение относится к контрольно-измерительной технике и может быть использовано для оперативного учета и оплаты потребленного энерго- или теплоносителя абонентами различного типа. Система выполнена в виде набора, включающего блок записи с первым разъемом ввода-вывода, снабженную вторым разъемом ввода-вывода кредитную карту абонента с записанной в ее блоке памяти информацией об оплаченном объеме газа или жидкости, и блок считывания с третьим разъемом ввода-вывода. Блок записи содержит первый генератор импульсов, первый блок управления (БУ), генератор случайных чисел, индикатор ошибки записи, индикатор готовности, дешифратор, наборное поле. Блок считывания содержит второй генератор импульсов, второй БУ, указатель неправильного считывания, индикатор, датчик расхода и термодатчик, подключенные соответственно к формирователю и АЦП. Выходы второго БУ через усилитель-формирователь подключены к управляющему входу клапана магистрали подачи газа или жидкости абоненту. Изобретение повышает удобство и точность контроля и учета потребления газа или жидкости. Использование кодирования обеспечивает секретность и защищенность передачи информации и предохраняет от использования поддельных карт. 6 ил.
Изобретение относится к контрольно-измерительной технике и может быть использовано для организации оперативной регистрации, учета и оплаты потребленного газа или жидкости абонентами различного типа.
Известны различные устройства измерения расхода газа или жидкости потребителями разного типа, описанные, например, в авторских свидетельствах (патентах) на изобретения: SU №1661579 Al на “Счетчик газа”; SU №1791712 А1 на “Устройство для измерения расхода газа”; SU №1696871 А1 на “Способ определения расхода газа и устройство для его осуществления”; SU №1770752 А1 на “Измеритель малого расхода газа”; SU №1790740 A3 на “Расходомер”.
Устройства содержат измерительные электроды, счетчики, датчики, логические блоки, формирователи, блоки регистрации, блоки сравнения, элементы задержки, термочувствительные элементы и предназначены для измерения и учета потребленного объема газа или жидкости (воды). Общим недостатком аналогов являются трудности с организацией оперативного контроля соответствующими коммунальными службами за превышением потребления абонентом оплаченного лимита газа или жидкости.
Наиболее близким по технической сущности к предлагаемому изобретению является устройство по SU №1790740 A3 “Расходомер”, МКИ G 01 F 1/90. Данный прототип содержит первичные преобразователи, усилитель-формирователь, элементы “И”, “ИЛИ”, генератор импульсов, счетчики импульсов, аналого-цифровой преобразователь, блок управления, наборное поле, устройство вывода, дешифратор и индикатор.
В данном прототипе сигналы первичных преобразователей усиливаются, преобразуются и объединяются в блоке “ИЛИ”. На их основе с учетом тактовых импульсов от генератора импульсов в блоке управления формируются фиксированные интервалы времени, в течение которых подсчитываются импульсы преобразователей. На основе этого по определенному алгоритму производится измерение частоты входного сигнала преобразователей и расход жидкости или газа. После дешифрации эта информация выводится на индикатор.
Описанное устройство не позволяет выполнить ряд важных в настоящее время функций. Типы абонентов, потребляющих газ или воду, очень разнообразны, это обуславливает разнообразие требований на порядок оплаты потребления, формы организации оплаты, учета и контроля. Известные устройства не дают возможности оплаты абонентом выбранного определенного лимита объема, контроля и учета исчерпания этого лимита, автоматического отключения потребителя от газовой сети или сети водоснабжения в случае невозобновления оплаты, а также организации отпуска электроэнергии абоненту по кредитной системе при кредите определенного объема.
Задачей настоящего изобретения является повышение удобства, точности и оперативности контроля и учета потребления электроэнергии.
Задача решается тем, что в систему учета расхода газа или жидкости, содержащую первый блок управления, первый генератор импульсов, дешифратор, наборное поле, аналого-цифровой преобразователь, индикатор и усилитель-формирователь, введены первый, второй и третий разъемы ввода-вывода, генератор случайных чисел, индикатор ошибки записи, индикатор готовности, блок памяти, второй генератор импульсов, второй блок управления, формирователь, датчик расхода, термодатчик, клапан и указатель неправильного считывания, причем система выполнена в виде набора, включающего блок записи, карту и блок считывания, при этом в блоке записи пусковой вход соединен с входом первого блока управления, выходы первого блока управления подключены к индикатору готовности, индикатору ошибки записи и через первый разъем ввода-вывода к карте, а другие входы блока управления соединены с выходами первого генератора импульсов, генератора случайных чисел и дешифратора, а его вход – с выходом наборного поля, в карте блок памяти соединен со вторым разъемом ввода-вывода, в блоке считывания к входам второго блока управления подсоединены вход запуска считывания, выходы третьего разъема ввода-вывода, второго генератора импульсов, формирователя и аналого-цифрового преобразователя, выходы второго блока управления подключены к указателю неправильного считывания, индикатору и через усилитель-формирователь к управляющему входу клапана, входная магистраль подачи газа или жидкости через последовательно соединенные клапан, термодатчик и датчик расхода подключены к абоненту, а измерительные выходы термодатчика и датчика расхода – к входам соответственно аналого-цифрового преобразователя и формирователя.
Выполнение системы учета расхода газа или жидкости в виде блока записи, карты и блока считывания позволяет повысить удобство, точность и оперативность контроля и учета потребления газа или жидкости (воды).
На фиг.1 представлена структурная схема блока записи.
На фиг.2 представлена структурная схема карты.
На фиг.3 представлена структурная схема блока считывания.
На фиг.4 представлен вариант структурной реализации генератора случайных чисел.
На фиг.5 представлена блок-схема алгоритма работы первого блока управления.
На фиг.6 представлена блок-схема алгоритма работы второго блока управления.
На фиг.1 обозначены карта 1, первый разъем ввода-вывода 2, первый блок управления 3, первый генератор импульсов 4, генератор случайных чисел 5, дешифратор 6, наборное поле 7, индикатор ошибки записи 8, индикатор готовности 9.
На фиг.2 обозначены блок памяти 10, второй разъем ввода-вывода 11.
На фиг.3 обозначены карта 12, третий разъем ввода-вывода 13, второй блок управления 14, второй генератор импульсов 15, индикатор 16, указатель неправильного считывания 17, формирователь 18, аналого-цифровой преобразователь 19, усилитель-формирователь 20, клапан 21, термодатчик 22, датчик расхода 23.
На фиг.4 обозначены генератор 24, счетчик 25.
На фиг.5 обозначены операция 26 пуска записи; операция 27 считывания числа К; операция 28 считывания чисел M1 и М2; операция 29 последовательного проведения логической обработки “Исключающее ИЛИ” каждого байта эталонной последовательности, начиная с байта номера М2, до байта номера M2+L. В каждом из этих байтов логическая операция “Исключающее ИЛИ” производится побитно между каждым битом каждого из L байтов эталонной последовательности и соответствующим битом одного и того же байта, равного числу M1. Операция 30 побитной обработки байта эталонной последовательности номера М2+L+1 с байтом – числом К; операция 31 записи полученной сформированной информационной последовательности длиной L+1 байт в память первого блока управления; операция 32 записи в последовательном коде в блок памяти карты сформированной информационной последовательности; операция 33 вызова из карты в последовательном коде записанной в нее перед этим информационной последовательности. Вызов при этом не стирает из блока памяти информационную последовательность. Операция 34 сравнения записанной ранее в памяти первого блока управления информационной последовательности и той информационной последовательности, которая перед этим вызвана с карты; операция 35 принятия решения о том, совпадают ли две сравниваемые последовательности; операция 36 индикации готовности карты к использованию; операция 37 индикации происшедшей ошибки при записи информации в карту; операция 38 завершения процесса записи.
На фиг.6 обозначены операция 39 проверки прихода сигнала от датчика расхода; операция 40 домножения сигнала на термокорректирующий коэффициент; операция 41 вычитания из текущего оплаченного объема порции, соответствующей сигналу датчика расхода; операция 42 проверки присутствия сигнала о запуске процесса считывания информации с карты; операция 43 сравнения оставшегося оплаченного объема с нулем – меньше ли он нуля? (или с кредитом в случае кредитной формы расчетов); операция 44 проверки, открыт ли клапан; операция 45 открытия клапана; операция 46 проверки, закрыт ли клапан; операция 47 закрытия клапана; операция 48 считывания с карты в последовательном коде информационной последовательности; операция 49 присвоения текущему номеру m величины m=0; операция 50 последовательной побитовой обработки логической функцией “Исключающее ИЛИ” байтов информационной последовательности с байтами эталонной последовательности, начиная с байта номера m; операция 51 проверки одинаковости L последовательно получаемых байтов в результате предыдущей операции; операция 52 обработки логической функцией “Исключающее ИЛИ” последнего L+1 байта информационной последовательности с байтом номера М2+L+1 эталонной последовательности (т.е. таким образом определение числа К); операция 53 прибавления нового оплаченного объема, соответствующего числу К, к текущему оставшемуся оплаченному объему; операция 54 прибавления к текущему номеру m единицы; операция 55 сравнения полученного числа m с максимальным числом mmax – больше ли m чем mmax? Операция 56 указания неправильного считывания; операция 57 инициирования при включении питания непрерывной поцикловой работы второго блока управления согласно описанному алгоритму; операция 58 стирания с карты ранее записанной в ней информационной последовательности.
На фиг.1 карта 1 вставляется в первый разъем ввода-вывода 2. Первый генератор импульсов 4 подключен к входу первого блока управления 3. К нему также подключен пусковой вход, многоканальные выходы генератора случайных чисел 5 и дешифратора 6, к многоканальному входу которого подсоединен многоканальный выход наборного поля 7. Выходы первого блока управления 3 соединены также с входами индикатора ошибки записи 8 и индикатора готовности 9.
На фиг.2 блок памяти 10 соединен с вторым разъемом ввода-вывода 11.
На фиг.3 в третий разъем ввода-вывода 13 вставляется карта 12.
Второй генератор импульсов 15 и третий разъем ввода-вывода 13 соединены со вторым блоком управления 14, с его входами также соединены вход формирователя 18 и многоканальные выходы аналого-цифрового преобразователя 19. Выходы второго блока управления 14 подключены к усилителю-формирователю 20, индикатору 16 и указателю неправильного считывания 17. Магистраль подачи газа или жидкости подключена через последовательно соединенные клапан 21, термодатчик 22 и датчик расхода 23 к абоненту. Выход усилителя-преобразователя 20 соединен с управляющим входом клапана 21. Информационные выходы термодатчика 22 и датчика расхода 24 соединены со входами соответственно аналого-цифрового преобразователя 19 и формирователя 18.
На фиг.4 выход генератора 24 соединен со счетчиком 25.
Блоки работают следующим образом.
В блоке записи (фиг.1) карта 1 для записи в нее информации об очередном оплаченном объеме газа или жидкости вставляется в первый разъем ввода-вывода 2, который служит для обмена информацией между первым блоком управления 3 и картой 1. Первый блок управления 3 запускается с пускового входа оператором коммунальной службы после вставления карты 1 в первый разъем ввода-вывода 3 и оплаты абонентом очередного объема и записывает в карту этот объем. В случае ошибки записи об этом подается сигнал на индикатор ошибки записи 8. В случае правильной записи на карту после проверки правильности записи сигнал об этом подается на индикатор готовности 9. Для осуществления записи информация о величинах очередного оплаченного объема вводится оператором коммунальной службы на наборном поле 7. Эта информация преобразуется в дешифраторе 6 в соответствующий параллельный двоичный код и подается в первый блок управления 3. На него подаются также в параллельном коде случайные многоразрядные числа с генератора случайных чисел 5 для зашифровывания записываемой в карту информации и пресечения использования поддельных карт или карт с поддельной информацией об оплаченном объеме.
В карте (фиг.2) на блок памяти 10 со второго разъема ввода-вывода 11 подаются сигналы, управляющие режимами записи в память, извлечения из памяти и стирания в памяти ненужной информации. Также через этот разъем осуществляется в последовательном коде подача в блок памяти записываемого информационного сигнала и извлечение записанной в памяти информации также в последовательном коде.
В блоке считывания (фиг.3) третий разъем ввода-вывода 13 служит для вставления в него карты. Все блоки, входящие в блок считывания, работают непрерывно после включения питания. Датчик расхода 23 измеряет текущую величину проходящих через него газа (жидкости). Выдаваемые им измерительные импульсы преобразуются в формирователе 18 в соответствующие сигналы и подаются во второй блок управления 14. В термодатчике 22 измеряется температура газа (жидкости) для внесения соответствующей коррекции в результаты измерения их расхода. В аналого-цифровом преобразователе 19 сигнал термодатчика преобразуется в соответствующий код, поступающий на второй блок управления 14. В случае необходимости со второго блока управления 14 через усилитель-формирователь 20 подаются управляющие сигналы на клапан 21 и либо открывают, либо закрывают его, тем самым разрешая подачу газа (жидкости) абоненту, либо прерывая подачу.
Со второго блока управления 14 также подаются сигналы на индикатор 16, непрерывно отображающий величину оставшегося оплаченного объема газа (жидкости).
При вставлении абонентом карты в третий разъем ввода-вывода 13 с целью добавления нового оплаченного объема и после запуска считывания из памяти карты во второй блок управления 14 переносится записанная там информация об объеме. В блоке управления производится раскодирование и проверка подлинности записи. В случае, если запись неверна (или карта повреждена), подается сигнал на указатель неправильного считывания. В случае, если информация подлинная, она стирается из памяти карты. При этом новый оплаченный объем прибавляется к оставшемуся в памяти второго блока управления на текущий момент.
В возможном варианте реализации генератора случайных чисел (фиг.4) импульсы постоянно работающего генератора 24 поступают на многоразрядный двоичный счетчик 25, также работающий непрерывно.
Принцип работы системы заключается в следующем. Когда абонент в соответствующей коммунальной службе оплачивает определенный объем газа или жидкости, оператор вставляет индивидуальную карту 1 этого абонента в приемное устройство – первый разъем ввода-вывода 2. После этого оператор набирает на наборном поле 7 величину оплаченного объема и запускает работу первого блока управления 3 (операция 26). (Запуск также может производиться автоматически по окончанию набора или по вставлению карты в разъем). В дешифраторе 6 набранная величина объема превращается в соответствующий двоичный код – некоторое двоичное число К.
Пусть в конкретном случае величина К будет равна байту (восемь бит). Это обеспечит 28=256 различных вариантов величины оплаченного объема. (Естественно, если требуется, то может быть выбрано любое другое значение размеров числа К).
Первый блок управления 3 считывает в свою память это число К, конкретное в каждом отдельном случае оплаты (операция 27). После этого первый блок управления 3 считывает с генератора случайных чисел 5 два случайных числа M1 и N2, также равные байту каждое (их величина тоже может быть выбрана другой) (операция 28).
В памяти первого блока управления 3 хранится эталонная последовательность чисел, записанная туда при программировании (блок управления может быть выполнен в виде однокристального контроллера). Эта эталонная последовательность представляет собой 256 байт (с целью повышения защищенности может быть выбрано и большее их количество). Каждый из байтов представляет собой независимое от других случайное число в двоичном коде, которое при программировании может быть получено или с помощью программы генерации случайных чисел, или взято из таблиц случайных чисел. (Эталонная последовательность сохраняется в памяти первого блока управления 3 неизменной в течение всего периода эксплуатации или может быть изменена при перепрограммировании памяти блоков в соответствующих газовых службах).
Далее (операция 29) в блоке управления выбирается L последовательно расположенных байтов эталонной последовательности, начиная с байта номера, равного М2. С каждым из этих L байтов производится логическая операция “Исключающее ИЛИ” с байтом, содержащим число M1. Операция “Исключающее ИЛИ” производится побитно, т.е. берется первый бит числа M1 и объединяется логической операцией с первым битом байта эталонной последовательности. Далее берется второй бит числа M1 и объединяется со вторым битом байта эталонной последовательности и т.д.
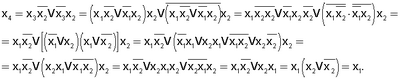
Если x1 – двоичное значение бита из числа M1 и х2 – двоичное значение соответствующего бита из байта эталонной последовательности, то результат x3 применения логической операции “Исключающее ИЛИ” будет равен где значком “V” обозначена логическая операция “ИЛИ”; чертой над переменными обозначена логическая операция “НЕ” (инверсия). Таким образом мы получаем группу из L байт, представляющую собой кодирующую часть информационной последовательности.
Далее (операция 30) берется следующий байт эталонной последовательности (номера М2+L+1) и с ним производится аналогичная побитовая обработка операцией “Исключающее ИЛИ” с байтом, содержащим число К. Этим формируется информационная часть информационной последовательности.
После этого (операция 31) в последовательном коде в память карты заносится L кодирующих байтов и информационный байт – т.е. вся информационная последовательность в целом (L+1 байт.).
Далее проводится проверка правильности записи. Для этого после записи в память карты эта информационная последовательность вновь вызывается из карты в блок управления (но при этом из памяти карты она не удаляется) (операция 33). Вызванная последовательность сравнивается с той, которая ранее записывалась (операция 34).
В случае их совпадения подается сигнал на индикатор готовности 9, в случае несовпадения подается сигнал на индикатор ошибки записи 8 (операции 35, 36, 37) и программа заканчивает работу (операция 38).
Если запись правильная, то карта с записанной информацией о новом оплаченном объеме отдается оператором абоненту. Если запись по каким-либо причинам оказалась повреждена, то всю процедуру записи оператор повторяет. Работа первого блока управления 3 тактируется первым генератором импульсов 4.
В карте (фиг.2) через второй разъем ввода-вывода 11 производится запись информации в блок памяти 10 и считывание из него.
В блоке считывания (фиг.3) производятся следующие действия.
После включения питания (операция 57) в блоке управления непрерывно производится следующий цикл операций.
Проверяется приход сигнала от датчика расхода (операция 39). Если пришел сигнал (импульс), это означает, что через датчик прошла очередная порция газа (жидкости). Поскольку при различной температуре окружающей среды один и тот де объем газа имеет разную массу, а значит и стоимость, то в операции 40 производится соответствующая термокоррекция домножением на необходимый коэффициент. В случае учета горячей воды производится коррекция ее цены с учетом реально имеющей место температуры.
Далее (операция 41) производится уменьшение текущего оплаченного объема на “цену” каждого импульса датчика расхода, соответствующей его порции (газа или жидкости).
В операции 42 проверяется, имеет ли место в данный момент запуск считывания с карты величины нового оплаченного объема. Если нет, то в операции 43 производится сравнение текущего оплаченного объема с нулем или кредитом, установленным коммунальными службами (в случае кредитной формы расчетов).
Если оплаченный объем больше нуля (больше минимального кредита), то в операции 44 проверяется, открыт ли в настоящий момент клапан 21. Если клапан открыт, то программа возвращается в начало цикла (в операцию 39), повторяя всю последовательность цикла вновь.
Если клапан закрыт, то операцией 45 он открывается (состояние открытости запоминается) и далее программа возвращается к операции 39.
Если в операции 43 текущий оплаченный объем оказался меньше нуля (меньше кредита), то операцией 46 проверяется, закрыт ли клапан. Если клапан закрыт, то программа возвращается к операции 39. Если клапан в текущий момент оказывается открытым, то операцией 47 он закрывается (состояние закрытости запоминается), после чего программа возвращается к операции 39.
Когда абонент собирается пополнить величину оплаченного объема новыми данными, записанными на его карту в коммунальных службах (после его оплаты), он вставляет карту 12 в третий разъем ввода-вывода 13 и подает на второй блок управления 14 сигнал считывания. (Сигнал считывания может подаваться автоматически при вставлении карты в разъем).
При этом в операции 42 будет зафиксирован факт запуска считывания и программа перейдет к операции 48. В операции 48 с карты 12 в память второго блока управления считывается записанная там информационная последовательность.
В память второго блока управления 14 при его программировании заносится та же эталонная последовательность, что и в память первого блока управления. В операции 50 с первым байтом информационной последовательности и первым байтом эталонной последовательности побитно производится логическая операция “Исключающее ИЛИ”.
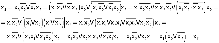
Каждый бит x3 информационной последовательности был ранее получен из соответствующих битов x1 и х2, операцией где x1 – бит, взятый из байта, содержащего число M1; x2 – бит, взятый из соответствующего байта эталонной последовательности.
В операции 50 х3 вновь обрабатывается с битом х2, взятым из такой же эталонной последовательности во втором блоке управления. Если первый бит информационной последовательности образован с помощью числа M1 из первого бита эталонной последовательности, то в результате побитового проведения операции «Исключающее ИЛИ» получаем х4

(учитывая, что 
Таким образом, после обработки всех битов в байте вновь получится байт, содержащий число М1. Это же число должно получаться при обработке операцией “Исключающее ИЛИ” второго байта информационной последовательности со вторым байтом эталонной последовательности, третьего с третьим и т.д. Таким образом, во всех L байтах должно после обработки получаться одинаковое число. (Величина L одинакова и для первого 3, и для второго 14 блоков управления и задается при первоначальном программировании). Факт одинаковости результатов при обработке всех L байтов кодирующей последовательности проверяется в операции 50. Номер байта эталонной последовательности, с которого начинается обработка, задается числом m. В операции 49 числу m присваивается значение “0”. (Первый байт эталонной последовательности имеет нулевой номер).
Если в операции 51 обнаружено, что результаты логической обработки байтов информационной последовательности с байтами эталонной последовательности дают различные числа для разных байтов, это означает, что запись в первом блоке управления 3 начиналась не с первого байта эталонной последовательности. В этом случае операцию 54 числу m присваивается величина m+1 и обработка операцией 50 повторяется (т.е. первый байт информационной последовательности обрабатывается со вторым байтом эталонной последовательности, второй с третьим и т.д.).
Если это опять дает разные результаты в разных байтах, то числу m вновь присваивается m+1 и все повторяется вновь. (Первый байт информационной последовательности обрабатывается с третьим байтом эталонной последовательности, второй с четвертым и т.д.).
Так продолжается до тех пор, пока не будет обнаружен тот номер m=М2, начиная с которого при записи брались байты эталонной последовательности. (На это укажет равенство всех L результатов побайтовой обработки).
Когда это случится (в операции 52), обработке “Исключающее ИЛИ” подвергается последний (L+1)-й байт информационной последовательности и (М2+L+1)-й байт эталонной последовательности и таким образом извлекается число К, указывающее на величину нового оплаченного абонентом объема.
В операции 53 эта новая величина оплаченного объема, соответствующая числу К, суммируется с оставшимся оплаченным объемом. Величина общего оплаченного объема непрерывно отображается на индикаторе 16. Далее в операции 58 из карты стирается записанная там информационная последовательность и программа возвращается к выполнению цикла (к операции 43).
После добавления в операции 54 единицы к текущему значению m полученное новое значение m сравнивается с максимальным числом mmax (записанным в память при первоначальном программировании). Величина mmax=N-(L+1), где N – длина (в байтах) эталонной последовательности. Если при выполнении этой операции (операция 55) окажется, что m>mmax, это означает, соответствие байтов не найдено и, что информационная последовательность, записанная в карте, раскодирована быть не может, т.е. является дефектной.
Если это так, то в операции 56 этот факт индицируется и программа возвращается в цикл к операции 43.
В этом случае абонент должен поместить в третий разъем ввода-вывода 13 вместо дефектной карты правильную карту и вновь повторить процесс переноса информации с карты в память второго блока управления 14.
На фиг.4 приведен пример реализации генератора случайных чисел. С генератора 24 на счетчик 25 непрерывно поступают импульсы. Счетчик 25 – двоичный, его объем определяется суммарной двоичной разрядностью чисел M1 и М2. (В рассматриваемом варианте реализации это два байта – 16 двоичных разрядов). После того как счетчик заполнится единицами во всех 16 разрядах, он перебрасывается в 0, опять начинает считать и т.д.
Генератор 24 достаточно высокочастотный, а моменты времени запроса первым блоком управления 3 чисел случайны, значит и сами числа будут случайны. 8 Разрядов счетчика 25 образуют число M1, другие 8 разрядов – число М2.
Использование кодирования обеспечивает секретность и защищенность передачи информации и предохраняет от использования поддельных карточек.
Применение системы учета расхода газа или жидкости позволяет повысить удобство, точность и оперативность контроля и учета потребления газа или жидкости абонентами различного типа и организовать в современной форме оплату в требуемом каждому абоненту объеме.
Формула изобретения
Система учета расхода газа или жидкости, содержащая первый блок управления, первый генератор импульсов, дешифратор, наборное поле, аналого-цифровой преобразователь, индикатор и усилитель-формирователь, отличающаяся тем, что в нее введены первый, второй и третий разъемы ввода-вывода, генератор случайных чисел, индикатор ошибки записи, индикатор готовности, блок памяти, второй генератор импульсов, второй блок управления, формирователь, датчик расхода, термодатчик, клапан и указатель неправильного считывания, причем система учета расхода газа или жидкости выполнена в виде набора, включающего блок записи, карту и блок считывания, при этом в блоке записи пусковой вход соединен со входом первого блока управления, выходы первого блока управления подключены к индикатору готовности, индикатору ошибки записи и через первый разъем ввода-вывода к карте, а другие входы блока управления соединены с выходами первого генератора импульсов, генератора случайных чисел и дешифратора, а его вход с выходом наборного поля, в карте блок памяти соединен со вторым разъемом ввода-вывода, в блоке считывания ко входам второго блока управления подсоединены вход запуска считывания, выходы третьего разъема ввода-вывода, второго генератора импульсов, формирователя и аналого-цифрового преобразователя, выходы второго блока управления подключены к указателю неправильного считывания, индикатору и через усилитель-формирователь к управляющему входу клапана, входная магистраль подачи газа или жидкости через последовательно соединенные клапан, термодатчик и датчик расхода подключена к абоненту, а измерительные выходы термодатчика и датчика расхода подключены ко входам соответственно аналого-цифрового преобразователя и формирователя.
РИСУНКИ
PD4A – Изменение наименования обладателя патента Российской Федерации на изобретение
(73) Новое наименование патентообладателя:
Открытое акционерное общество «Владимирское производственное объединение «Точмаш» (RU)
Адрес для переписки:
600007, г. Владимир, ул. Северная, 1 а, ОАО «ВПО «Точмаш»
Извещение опубликовано: 20.06.2009 БИ: 17/2009
|