|
(21), (22) Заявка: 2004125426/11, 17.08.2004
(24) Дата начала отсчета срока действия патента:
17.08.2004
(43) Дата публикации заявки: 27.01.2006
(45) Опубликовано: 20.05.2006
(56) Список документов, цитированных в отчете о поиске:
SU 529317 А, 22.12.1976. RU 2148742 C1, 10.05.2000. US 4044627 А, 30.08.1977. GB 1307607 A, 21.02.1973.
Адрес для переписки:
664074, г.Иркутск, ул. Чернышевского, 15, ИрГУПС, Патентно-информационный отдел, НИЧ О.В. Видякиной
|
(72) Автор(ы):
Гозбенко Валерий Ерофеевич (RU), Елисеев Сергей Викторович (RU), Димов Алексей Владимирович (RU), Драч Михаил Андреевич (RU)
(73) Патентообладатель(и):
Иркутский государственный университет путей сообщения (ИрГУПС) (RU)
|
(54) УСТРОЙСТВО ГАШЕНИЯ КРУТИЛЬНЫХ КОЛЕБАНИЙ
(57) Реферат:
Устройство относится к гасителям колебаний машин и приборов. Сущность изобретения заключается в том, что устройство гашения крутильных колебаний содержит вал, установленный на нем диск с отверстиями, расположенными по окружности, сателлиты, неподвижно закрепленные на осях, свободно сидящих в отверстиях диска, грузы, выполненные в виде центробежных маятников, установленных на осях сателлитов, полумуфту, неподвижно закрепленную на валу, и упругий элемент. Полумуфта состоит из двух частей. Верхняя часть имеет коническую поверхность по всему диаметру, входящую в зацепление с коническими сателлитами. Оси сателлитов имеют возможность продольного перемещения благодаря винтам с пружинами, подпирающими оси в отверстиях диска. Техническим результатом является обеспечение эффективности гашения крутильных колебаний в более низком диапазоне частот по сравнению с аналогом. 3 ил.
Данная модель принадлежит к гасителям колебаний машин и приборов, а именно к разделу гашения крутильных колебаний.
Колебания оказывают большое влияние на обеспечение надежности работы машин, приборов и оборудования, на безопасность работы оператора. Имеются различные конструкции устройств для динамического гашения крутильных колебаний.
Известен гаситель крутильных колебаний [1]. Сущность устройства заключается в том, что на валу расположен маховик с упругим элементом. Вал состоит из ведущего и ведомого полувалов, а в маховике выполнено сквозное отверстие, состоящее по длине из шлицевого, винтового и расположенного между ними цилиндрического участков. Ведущий и ведомый полувалы имеют на концах, соответственно, шлицевой и винтовой участки, взаимодействующие с соответствующими участками отверстия маховика, а в цилиндрическом участке отверстия маховика помещен упругий элемент.
При изменении нагрузки возникает разность угловых скоростей между ведущим и ведомым полувалами, что приводит в действие винтовую пару гасителя. При этом маховик накручивается на винтовой участок, деформируя на сжатие упругий элемент.
Данное устройство имеет узкий диапазон рабочих частот и требует предварительной настройки механизма.
Известны конструкции поглотителей колебаний с вязким трением [2].
Сущность конструкции заключается в том, что на вал, крутильные колебания которого требуется погасить, насажена втулка, втулка жестко связана с кожухом, внутри кожуха находится маховик, способный проскальзывать относительно втулки, благодаря вкладышу с малым коэффициентом трения. Малый зазор между кожухом и маховиком заполнен жидкостью с большой вязкостью.
Как показал опыт эксплуатации такие конструкции сложны в изготовлении и сравнительно ненадежны.
Имеются также поглотители колебаний с сухим трением [2, стр.345].
Конструкция поглотителя включает: ступицу, жестко соединенную с валом, вовлекаемым во вращение через фрикционные диски; маховик, насаженный на вал.
Регулировка величины сил сухого трения обеспечивается степенью сжатия пружины.
При колебаниях вала происходит относительное проскальзывание маховика и ступицы, приводящее к рассеянию энергии вследствие трения на фрикционных поверхностях.
Недостатком гасителей сухого трения является непостоянство момента трения вследствие износа и загрязнения трущихся поверхностей, а также возможность перекоса и заедания дисков, сложность конструкции.
К наиболее близкому аналогу можно отнести устройство [3].
Устройство содержит свободно установленный на валу диск с отверстиями, шестерни, неподвижно закрепленные на осях, свободно сидящих в отверстиях диска, грузы. Устройство снабжено неподвижно закрепленной на валу полумуфтой с внутренним зубчатым венцом, находящейся в зацеплении с шестернями и упругим элементом, связывающим диск с полумуфтой.
Устройство работает в широком диапазоне изменений с различной эффективностью.
Целью данной полезной модели является обеспечение эффективности гашения крутильных колебаний, начиная с более низких частот, по сравнению с аналогом.
Цель достигается тем, что полумуфта имеет внешнюю коническую поверхность по всему диаметру, входящую в зацепление с коническими поверхностями сателлитов, а оси сателлитов имеют возможность продольного перемещения.
Устройство поясняется чертежами.
На фиг.1 дан продольный разрез предлагаемой промышленной модели, на фиг.2 – разрез по А-А, на фиг.3 – график амплитудно-частотных характеристик для устройства с внешним и внутренним зацеплением.
Устройство содержит вал 1, диск 2, полумуфту 3, состоящую из двух частей, упругий элемент 4, оси 5 с сателлитами 6, грузы 7, разнесенные по окружности, коническую поверхность 8 верхней части полумуфты 3.
Устройство работает следующим образом.
При вращении вала 1 крутящий момент через муфту 3 и упругий элемент 4 передается диску 2. Вместе с диском вращаются грузы 7, которые под действием центробежных сил расходятся от оси вращения и поворачивают оси 5 с сателлитами 6, заставляя их обкатываться по внешней конической поверхности 8 полумуфты 3. Дополнительно прижатие сателлитов 6 внешней конической поверхности обеспечивается винтами с пружинами, упирающимися в оси 5.
При изменении частоты вращения изменяется расстояние от центров тяжести грузов 7 до оси вращения вала, тем самым увеличивая момент инерции конструкции, создавая дополнительное сжатие упругого элемента.
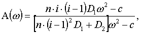
Для проверки предложенной конструкции была построена математическая модель:

где А( ) – амплитудно-частотная характеристика;
i – передаточное отношение между радиусом конической поверхности 8 полумуфты 3 и сателлитом 6, для внешнего зацепления для внутреннего – 
r1, r2 – радиусы конической поверхности 8 полумуфты 3 и сателлита соответственно;
с – крутильная жесткость упругого элемента 4;
D1=J2+J4+nm4b2; D2=J3+nm2a2;
J2 – момент инерции сателлита 6;
J3 – момент инерции диска 2;
J4 – момент инерции груза 7;
m2 – масса сателлита 6;
m4 – масса груза 7;
n – количество сателлитов с грузами;
a – расстояние от оси вращения вала до оси вращения сателлитов;
b – расстояние от оси вращения сателлита до центра тяжести груза;
По результатам исследования построен график амплитудно-частотных характеристик для устройств с внешним и с внутренним зацеплениями (фиг.3) при следующих параметрах: m2=0.4 кг, m4=0.2 кг, r1=0.08 м, r2=0.03 м, J2=1.8·10-4 кгм2, J3=1.25·10-3 кгм2, J4=4·10-5 кгм2, с=10; b=0.02 м, n=4.
Для определения эффективности виброизоляции устройства с внешним зацеплением необходимо проделано следующее: для заданного коэффициента виброизоляции (допустим А( )=0,5) проведена прямая параллельная оси абсцисс. Пересечение с кривыми А( ) выявило значение частоты, с которой устройство начинает эффективно работать, для устройства с внешним зацеплением =18,1 Гц, для внешнего – =31,4 Гц. Разница абсцисс точек пересечения кривых А( ) выявило эффективность применения устройства с внешним зацеплением.
Источники информации
1. Авторское свидетельство СССР №735849, F 16 F 15/18. Гаситель крутильных колебаний. Елисеев С.В., Лонцих П.А., Горчаков В.А., 29.01.1980.
2. Вибрации в технике. / Под ред. Фролова К.В. – М.: Машиностроение, 1981. – Т 6.- 456 с.
3. Авторское свидетельство СССР №529317, F 16 F 15/00. Способ гашения крутильных колебаний вала и устройство для его осуществления. Грудинин Г.В., Елисеев С.В., Ольков В.В., 28.05.1976.
Формула изобретения
Устройство для гашения крутильных колебаний вала, содержащее вал, установленный на нем диск с отверстиями, расположенными по окружности, сателлиты, неподвижно закрепленные на осях, свободно сидящих в отверстиях диска, грузы, выполненные в виде центробежных маятников, установленные на осях сателлитов, полумуфту, неподвижно закрепленную на валу, и упругий элемент, отличающееся тем, что полумуфта состоит из двух частей: верхняя часть имеет коническую поверхность по всему диаметру, входящую в зацепление с коническими сателлитами, причем оси сателлитов имеют возможность продольного перемещения благодаря пружинам и винтам, подпирающим оси в отверстиях диска.
РИСУНКИ
|