Патент на изобретение №2276696
|
||||||||||||||||||||||||||||||||||||||||||||||||||||||||||||||||||||||||||||
(54) СПОСОБ УЛУЧШЕНИЯ СПЛАВОВ 6ХХХ ПУТЕМ УМЕНЬШЕНИЯ КОЛИЧЕСТВА УЧАСТКОВ ИЗМЕНЕННОЙ ПЛОТНОСТИ
(57) Реферат:
Изобретение относится к изделиям из относительно прочных алюминиевых сплавов, предназначенных для изготовления панелей или частей авиационных фюзеляжей. Способ включает получение заготовки из алюминиевого сплава, содержащего следующие компоненты, мас.%: кремний 0,5-1,8, магний 0,5-1,5, медь до 1,2, алюминий и неизбежные примеси – остальное, нагрев заготовки, горячую прокатку для уменьшения толщины заготовки по меньшей мере на 30%, термообработку при 1010°F или выше горячекатаной на этапе заготовки, повторное проведение горячей прокатки заготовки для уменьшения ее толщины, термообработку на твердый раствор при температуре 1010°F или выше, закалку заготовки. Техническим результатом изобретения является уменьшение количества нежелательных элементов меньшей плотности в изделии из алюминиевого сплава, а также уменьшение скорости роста усталостных трещин в изделии. 8 н. и 35 з.п. ф-лы, 5 табл.
Настоящее изобретение относится к изделиям из относительно прочных алюминиевых сплавов, предназначенных для таких ответственных применений, как панели или части авиационных фюзеляжей, а также других применений, и к усовершенствованным способам их изготовления. Поддающиеся термообработке алюминиевые сплавы применяются часто там, где желательны высокая прочность и малый вес. Алюминиевые сплавы серии 7ХХХ (как известно, Алюминиевая ассоциация обозначает серии или семейства алюминиевых сплавов цифрами) обладают очень высокой прочностью и имеют типичные уровни предела текучести (ПТ) 70 или 80 ksi или выше. Единица измерения “ksi” означает тысячу фунтов на квадратный дюйм; 80 ksi равно 80000 фунтов на квадратный дюйм (psi). Термообработанные алюминиевые сплавы серии 6ХХХ не такие прочные, как сплавы 7ХХХ, но все же имеют хорошее отношение прочность/вес, достаточно высокую ударную вязкость и коррозионную стойкость, а также многие сплавы 6ХХХ обладают хорошей свариваемостью в том смысле, что после сварки сплавы 6ХХХ хорошо сохраняют свои механические свойства, например, более высокий процент сохранения свойств в зоне сварки, чем у обычно используемых сплавов 2ХХХ или 7ХХХ. Поддающиеся термообработке сплавы подвергают термообработке на твердый раствор при относительно высоких температурах, закаливают, например погружением в воду или орошением, а затем искусственно старятся для повышения их прочности, как хорошо известно специалистам. Такие изделия можно поставлять на рынок после закалки и перед искусственным старением в виде марки Т4 (термообработанной на твердый раствор, закаленной и достигшей стабильного естественно состаренного уровня). Материал в состоянии типа Т4 более легко поддается гибке и формовке, чем материал более прочной искусственно состаренной (путем термообработки) марки Т6. Сплавы серии 6ХХХ содержат магний (Mg) и кремний (Si) в качестве основных легирующих ингредиентов, а также часто содержат в меньших количествах как один, так и несколько элементов из числа меди (Cu), марганца (Mn), хрома (Cr) или других элементов. Сплав 6061 обычно используется для производства листов и пластин и поковок, а сплав 6063 традиционно является сплавом для экструзии в семействе 6ХХХ. К более новым сплавам относятся сплавы 6009 и 6010, описанные в патенте США 4082578 (Evancho), и еще более новый сплав 6013 описан в патенте США 4589932 (Park). Полное содержание обоих патентов США 4082578 и 4589932 включено в данное описание в качестве ссылки. Сплав 6013 получил применение в автомобильной и авиационной промышленности, а также в других областях. Признано, что он обладает высокой прочностью, ударной вязкостью, технологичностью, коррозионной стойкостью и свариваемостью, что делает его годным для многих применений. Согласно стандартам Алюминиевой ассоциации сплав 6013 содержит алюминий и 0,6-1% Si; 0,8-1,2% Mg; 0,6-1,1% Cu; 0,2-0,8% Mn; 0,5% max. Fe; 0,1% max. Cr; 0,25% max. Zn; 0,1% max. Ti и не более 0,05% любого другого элемента (0,15% других элементов в сумме), причем все проценты химического состава алюминиевых сплавов массовые, если не указано иное. Получение сплава 6013 обычно состоит из гомогенизации при очень высоких температурах, приблизительно 1040°F, за которой следует горячая прокатка, а для металла меньшей толщины – холодная прокатка, затем термообработка на твердый раствор при высокой температуре приблизительно 1040°F, закалка и искусственное старение. Предполагается, что сплав 6013 можно использовать в виде листов или пластин для больших коммерческих реактивных самолетов в качестве панелей для фюзеляжа, особенно для его нижней части и, возможно, еще других частей фюзеляжа, в том числе, его большей части или почти всего фюзеляжа. Однако этому потенциальному применению может препятствовать тот факт, что в листах и пластинах из сплава 6013 при 500-кратном увеличении наблюдаются микроскопические элементы, которые выглядят похожими на поры, хотя они не являются пустотами (поры – это пустоты). Эти элементы можно также обнаружить и в других сплавах 6ХХХ. Обычно эти элементы имеют размер от около 1-2 до около 5 микрон (мкм) или больше (большинство имеет размер 2-5 мкм) по их главной оси и могут быть обнаружены с помощью растровой электронной микроскопии (РЭМ), при которой они выглядят как микроскопические “элементы” или зоны меньшей плотности в том смысле, что они вызывают меньшее отражение или обратное рассеяние электронов, чем окружающий их металл, который выглядит как имеющий нормальную плотность. Таким образом, эти элементы могут выглядеть подобно порам или пустотам на первый взгляд, однако при более точном анализе они представляются элементами меньшей или измененной плотности, т.е. относительно сплошными, но менее плотными, чем окружающий металл. При анализе при помощи РЭМ эти элементы выглядят как темные пятна, что предполагает меньшую плотность или, по меньшей мере, меньшее отражение электронов по сравнению с окружающим металлом, который отражает больше электронов. В данном контексте упоминание элементов меньшей плотности относится к их появлению при исследовании методом РЭМ, предпочтительно при ускоряющем напряжении около 15 килоэлектронвольт (кэВ или, сокращенно, кВ в номенклатуре РЭМ), при котором эти элементы хорошо заметны. (При 5 кэВ заметить эти элементы гораздо труднее.) Использованные увеличения могут варьироваться от 500 до 10000-кратного, хотя 500-кратное увеличение вполне пригодно. Используется визуализация электронов обратного рассеяния вместо визуализации вторичных электронов, чтобы обеспечить больший контраст между элементами и окружающим металлом. Эти методы РЭМ хорошо известны. При анализе РЭМ с использованием электронов обратного рассеяния участок более высокой плотности (имеющий элементы с высоким атомным весом) отражает больше электронов (выглядит светлее), чем участок меньшей плотности, т.е. описанные здесь элементы меньшей плотности выглядят как более темные пятна. Частицы силицида магния (Mg2Si) могут также выглядеть как темные пятна при РЭМ, потому что атомный вес магния меньше, чем атомный вес алюминия, но их можно отличить от вышеупомянутых участков меньшей плотности при исследовании рентгеновских лучей, излучаемых образцом при методе РЭМ, используя стандартные методы рентгеноспектрального анализа на основе энергодисперсионного метода. По результатам рентгеноспектрального анализа химический состав элементов меньшей плотности существенно отличается от Mg2Si и больше похож на состав окружающего металла, хотя и имеет более низкую плотность. В промышленно выпускаемом сплаве 6013-Е6 типично может насчитываться от около 100 до более 250 элементов или тел на квадратный дюйм при 500-кратном увеличении в металлографически отполированном образце, пригодном для РЭМ. Образец можно снимать в средней по толщине плоскости или вблизи ее, хотя это не является обязательным. Предполагается, что эти элементы, по-видимому, могут действовать как слабые места во время распространения трещин, например, во время испытаний на вязкое разрушение или, что более вероятно, при испытании на скорость роста усталостной трещины (усталостная прочность), или могут оказывать иное отрицательное влияние, поэтому весьма желательно устранить или уменьшить количество этих элементов или дефектов. Следовательно, хотя листы или пластины из сплава типа 6013 являются хорошей продукцией, их можно существенно улучшить путем исключения вышеуказанных элементов и улучшения тем самым свойств, особенно за счет уменьшения скорости роста усталостной трещины. Согласно изобретению изделия из сплава 6ХХХ получают с помощью осуществления таких операций, как нагрев до предпочтительно высокой температуры, горячая прокатка, термообработка прокатанного материала при высокой температуре, предпочтительно около 1020°F или выше, повторная горячая прокатка, холодная прокатка (при необходимости), термообработка на твердый раствор, предпочтительно при температуре около 1020°F или выше, закалка и искусственное старение. Между закалкой и искусственным старением можно осуществить какую-либо операцию формовки, например гибку или протяжку. Улучшенные изделия, полученные таким способом, по существу не содержат или содержат, по меньшей мере, значительно меньшее количество нежелательных элементов меньшей плотности, а также имеют значительно лучшую (т.е. меньшую) скорость роста усталостной трещины. Изобретение предназначено предпочтительно для сплава 6013 и подобных сплавов. Сплав 6013 для целей настоящего изобретения состоит, по существу, из 0,8-1,2% Mg; 0,6-1% Si; 0,6-1,1% Cu; 0,20-0,8% Mn, остальное, по существу, алюминий и случайные элементы и примеси. Один предпочтительный вариант изобретения включает в себя сплавы типа 6013 и сплавы, подобные им во всем, кроме содержания Mn, например, состоящие, по существу, из около 0,5-1,3% Si; 0,6-1,3% Mg; 0,5-1,1% Cu; до 0,8% Mn; до 0,9% Zn; до 0,2% max Zr, остальное алюминий и случайные элементы и примеси. В значительно более широком смысле изобретение считается применимым для алюминиевых сплавов, состоящих, по существу, из 0,5-1,5% Mg; 0,5-1,8% Si; до 1,2% Cu; до 1% Mn; до 1% Zn (цинк); до 0,4% Cr (хром); до 0,5% Ag (серебро), до 0,3% Sc (скандий), до 0,2% V (ванадий), до 0,2% Zr (цирконий) до 0,2% Hf (гафний), остальное, по существу, алюминий и случайные элементы и примеси. Указание содержания элемента с предлогом “до” включает в себя ноль, за исключением тех случаев, когда элемент указан как присутствующий, в этих случаях ноль исключается, так как указано, что элемент присутствует. В указанных выше широких пределах: (1) кремний, предпочтительно, присутствует в количестве 0,6% или выше, но, предпочтительно, не намного больше, по существу, около 1,5 или 1,6%, более предпочтительно не более 1,3%; (2) магний предпочтительно присутствует в количестве 0,6% или выше, предпочтительно 0,7 или 0,8%, но предпочтительно не больше 1,3 или 1,4%; (3) медь предпочтительно присутствует в сплаве и предпочтительно присутствует в количествах 0,3 или 0,4%, более предпочтительно 0,5% или больше, но предпочтительно не больше, по существу, 0,9 или 1%; (4) – марганец предпочтительно присутствует в сплаве и присутствует в количествах 0,25 или 0,3% или больше, однако предпочтительно не больше 0,6 или 0,7%. В некоторых вариантах может присутствовать один или несколько элементов из следующей группы: 0,1-0,9% Zn, 0,05-0,35% Cr, 0,05-0,4 или 0,45% Ag, 0,03-0,3% Sc, 0,3-0,2% V, 0,03-0,2% Zr и 0,03-0,2% Hf, иногда бывает предпочтительным ограничить количество элементов из данной группы до 2, или 3, или максимум 4 элементов. Упомянутые выше случайные элементы могут включать относительно малые количества Ti, В и других элементов. Случайные элементы могут присутствовать в значительных количествах и, со своей стороны, добавлять желательные или другие характеристики, не выходя при этом за рамки объема изобретения, если только сплав сохраняет свою реакцию на предложенный процесс, а именно удаление тел или элементов измененной плотности, и если достигается преимущество изобретения, такое как уменьшение скорости роста усталостной трещины. Описанный сплав может быть получен в виде слитка или сляба методом разливки, включая используемые в настоящее время методы. Предпочтительным методом является полунепрерывная разливка больших слитков, например, толщиной 14 или 15 дюймов или больше, шириной 4 или более футов и длиной 15 или более футов. Такие слитки предпочтительны для осуществления изобретения, особенно для изготовления листов или пластин, предназначенных для использования в качестве массивных панелей, применяемых в фюзеляжах больших коммерческих самолетов. Исходный сплав, предпочтительно, подогревают или гомогенизируют при температуре по меньшей мере 1020°F перед первоначальной горячей прокаткой. Предпочтительная температура для сплава 6013 или других сплавов, имеющих подобное содержание элементов, составляет по меньшей мере 1030°F или больше, предпочтительно по меньшей мере 1035 или 1040°F. Время выдержки при данной температуре для массивного слитка может составлять, по существу, 2-20 часов или больше, предпочтительно около 2-6 часов, хотя при некоторых условиях может быть достаточной выдержка в течение короткого или даже возможно нулевого времени, так как процессы диффузии и растворения могут протекать быстро, особенно, когда температура поднимается выше 1000°F. В промышленных печах, в которых нагревается несколько массивных слитков, температура металла может подниматься достаточно медленно, чтобы значительное растворение произошло уже ко времени, когда достигается 1000°F. Хотя предпочтительно использовать более высокую температуру для подогрева или гомогенизации, по меньшей мере 1020 или 1030°F, тем не менее возможно, хотя это является менее предпочтительным для реализации изобретения, использовать менее высокую температуру, например, нагревать металл до температуры достаточно высокой для прокатки, например, 1000 или 1010°F, или даже около 980 или 950°F, после чего производить прокатку. Тем не менее, могут быть предпочтительны очень высокие температуры подогрева/гомогенизации, например, когда материал необходимо плакировать. Указания температур относятся к температурам металла, если не указано иное. Слиток или сляб (при необходимости, с обработанной поверхностью) можно, при необходимости, плакировать путем прокатки с одной или обеих сторон. Плакирование путем прокатки хорошо известно. В результате получается композит со средней частью из сплава 6013 или другого сплава 6ХХХ согласно изобретению и плакировкой на одной или обеих сторонах. Каждый слой плакировки предпочтительно составляет от около 1/2 или 1% до около 5% или больше толщины композита и наносится на одну или обе поверхности прокатки находящегося между ними металла (т.е. на большие плоские поверхности прокатки). Как известно, плакировка может быть из относительно чистого и нелегированного алюминия и служит для повышения коррозионной стойкости за счет защиты сплава под ней. Можно использовать для целей изобретения известные марки алюминия, предназначенные для плакировки (обычно сплавы 1ХХХ, такие как сплавы 10ХХ, 11ХХ, 12ХХ и др.), которые в данном контексте рассматриваются как по существу нелегированный алюминий. Другие пригодные плакировки для алюминия могут содержать Mg и Si, но, предпочтительно, в меньших количествах, чем в основном сплаве, или, возможно, Zn. Все такие плакирующие сплавы не должны содержать совсем или содержать немного Cu. Операции плакирования может предшествовать горячая прокатка основного металла, например, для увеличения ширины заготовки металла относительно ширины отлитого слитка. Процесс плакирования путем горячей прокатки может уменьшить толщину основного металла. Изобретение можно использовать и без плакировки, так как считается, что сплавы 6ХХХ имеют хорошую коррозионную стойкость. Однако плакировка может дополнительно повысить коррозионную стойкость. Сплав без плакировки или с плакировкой, в зависимости от конкретного случая, подвергают горячей прокатке для уменьшения его толщины, по меньшей мере, на 20% по сравнению с первоначальной толщиной (перед любой горячей прокаткой), предпочтительно на около 40 или 50% или больше, например, 60 или 65% или больше, или даже 75% или больше первоначальной толщины, когда используется массивная промышленная заготовка (например, толщиной около 15 или 20 дюймов или больше), с помощью реверсивного стана горячей прокатки, в котором металл прокатывается вперед и назад для обжатия по толщине. Следовательно, первоначальную горячую прокатку можно выполнять дифференциально с использованием различных прокатных станов, и она может включать плакирование сплава путем прокатки, которому предшествует и за которым следует другой цикл горячей прокатки. Она также может включать обычные операции подогрева до температуры около 850°F для восстановления тепловых потерь. После описанной выше стадии горячей прокатки заготовку (которая может быть охлаждена до комнатной температуры) нагревают по меньшей мере до 1000°F, предпочтительно, 1010°F или 1020°F и выше, более предпочтительно для сплавов типа 6013 до 1030°F или 1040°F или выше, например, 1050°F, предпочтительно, в течение значительного количества времени до температуры 1010°F или выше, предпочтительно в течение от около 1/4 или 1/2 часа до около 2 часов. Время выдержки при этих температурах может составлять до 24 часов или больше. Однако для плакированного изделия время выдержки при температуре выше 1010°F или 1020°F предпочтительно выбирать короче, например, от около 10, или 15, или 20 минут до около 1 часа, и предпочтительно используется высокая скорость подогрева; целью сокращения времени нагрева является уменьшение диффузии между основной частью и плакировкой. Термообработка в интервале между прокатками осуществляется для того, чтобы растворить крупные частицы Mg2Si, которые могли увеличиться в размере в предыдущих операциях, таких как горячая прокатка, или даже остаться после разливки, и нагрев желательно выполнять при температуре нагрева, достаточной для растворения, или, по существу, полного растворения, или практически всех, или, по меньшей мере, большинства (например, по меньшей мере 90%, предпочтительно 95% или больше) частиц, которые способны раствориться при используемых температурах, при этом следует помнить, что идеальное устранение может быть неосуществимым или экономически нецелесообразным. При этой обработке желательно достичь температуры растворения или более высокой, т.е. температуры, при которой могут по существу раствориться все растворимые компоненты. Эта температура колеблется для интервала составов сплава от около 1000°F до около 1060°F, причем для более легированного сплава обычно требуется более высокая температура. Если нагрев перед первоначальной горячей прокаткой происходит при очень высокой температуре, например, температуре растворения или выше, в течение значительного времени, то можно позволить меньшую по времени выдержку при высокой температуре при термообработке в интервале между прокатками, особенно, если металл прокатывается быстро. При использовании для нагрева металла больших промышленных нагревательных печей, в которых нагревается несколько массивных слябов металла, скорость нагрева металла позволяет устойчиво растворяться значительным количествам Mg2Si в процессе постепенного повышения температуры металла, особенно выше 1000°F. Когда металл достигает температуры выше приблизительно 1000°F или 1010°F, значительное количество Mg2Si уже растворилось. Поэтому при нагреве до высокой температуры, около 1040°F, время выдержки при 1040°F может быть исключительно коротким или практически нулевым из-за растворения, происходящего при относительно медленном подъеме температуры, особенно от около 1000°F, до конечной температуры, особенно с учетом того известного факта, что Mg2Si быстро растворяется в твердом состоянии (в особенности при температуре выше 1000 или 1010°F). Следует отметить, что при изготовлении сплавов 6ХХХ, таких как 6013, обычно используют повторный подогрев по горячей линии, однако это обычно делается для восстановления тепла, утраченного при прокатке, и часто применяется при температуре около 850°F. После описанной выше термообработки в интервале между прокатками сплав дополнительно подвергают горячей прокатке для уменьшения толщины металла, подвергнутого термообработке в интервале между прокатками, по меньшей мере на 20%, предпочтительно на 50%, и наиболее часто в реверсивном стане горячей прокатки. Эту операцию называют горячей прокаткой после обработки. Горячую прокатку, особенно горячую прокатку после обработки, предпочтительно выполняют очень быстро при высоких температурах на входе в прокатный стан, например, около 1000°F, и достаточно быстро, чтобы уменьшить время воздействия температур в интервале 850 до 950°F, так как эти температуры со временем могут вызывать рост частиц Mg2Si, а короткое воздействие не принесет большого вреда. Следовательно, предпочтительно не давать металлу выстаиваться в течение длительного периода перед началом стадии горячей прокатки после обработки (т.е. после термообработки в интервале между прокатками), и предпочтительно производить горячую прокатку сразу после термообработки в интервале между прокатками, по возможности избегая задержек. Если невозможно подвергнуть металл горячей прокатке непосредственно после термообработки в интервале между прокатками, в менее предпочтительном варианте изобретения осуществляют достаточно быстрое охлаждение после термообработки между прокатками, например, с помощью воздушных вентиляторов или даже мягкого водяного струйного охлаждения до более низкой температуры, например 700 или 750°F, перед горячей прокаткой, или очень быстрое охлаждение дальше до комнатной температуры с последующим нагревом до около 700 или 750°F перед горячей прокаткой. Тем не менее, обычно предпочтительно использовать описанную выше последовательность быстрой горячей прокатки при высоких температурах непосредственно после термообработки между прокатками. Описанную выше горячую прокатку обычно осуществляют в реверсивных станах горячей прокатки вперед и назад для уменьшения толщины заготовки металла и получения плоской пластины, которая может иметь толщину (обычно около 0,3-0,8 дюймов) или которую при необходимости можно подвергнуть горячей прокатке для получения более тонкого, обычно наматываемого, горячекатаного материала путем пропускания его через линию из нескольких прокатных клетей, причем эта непрерывная горячая прокатка обычно ведется при более низкой температуре (например, 650°F или меньше), чем на входе в реверсивный прокатный стан. Сплав после непрерывной горячей прокатки может при желании иметь готовую толщину, например, около 0,1-0,3 дюйма. Следовательно, горячая прокатка после термообработки между прокатками может включать прокатку в реверсивном прокатном стане до получения плоского катаного изделия (например, толщиной около 5/8 дюйма или больше) или включать последующую горячую прокатку до получения непрерывно горячекатаного, иногда наматываемого изделия (например, толщиной около 1/8 дюйма). В случае относительно тонкого готового изделия, например, толщиной 0,1 дюйм или меньше, подвергнутый непрерывной горячей прокатке, обычно наматываемый материал, можно подвергнуть холодной прокатке до толщины листа, например, от 0,02 до 0,1 или 0,2 дюйма, или возможно толще. При желании холодной прокатке может предшествовать отжиг по горячей линии, хотя предпочтительно его избежать. Катаные лист или пластина согласно изобретению могут обычно иметь толщину от 0,02 дюймов или даже еще меньше, даже 0,01 дюйм или меньше, до 0,8 дюйма или больше, до 1 дюйма или еще больше, хотя иногда предпочтительна толщина пластины от около 0,03 или 0,04 дюйма до около 0,2 или 0,25 дюйма и легковесного листа до около 1/2 или 5/8 или 0,7 или 0,8 дюйма. Сплав после прокатки подвергают термообработке на твердый раствор предпочтительно при высоких температурах, по меньшей мере 1000°F, предпочтительно, по меньшей мере 1010 или 1020°F, более предпочтительно, по меньшей мере 1030 или 1040°F для сплава 6013 или других сплавов 6ХХХ, которые могут выдержать такие температуры. Эти температуры соответствуют температуре растворения или, предпочтительно, превышают ее. При этом растворяется силицид магния (Mg2Si), который мог образоваться или укрупниться, и другие фазы, растворимые при температурах обработки. Типично, термообработка на твердый раствор может выполняться в течение от 1/4 до 1 часа или 2 часов для пластин (например, толщиной от 1/4 дюйма до дюйма или больше) и может выполняться в течение достаточно короткого времени для непрерывно термообработанного сматываемого листа (толщиной от 0,02 до 0,15 дюймов), например, около 3 или 4 минут при температурах термообработки на твердый раствор. Затем сплав быстро охлаждают путем закалки водой, например, с помощью орошения или погружения. После этого сплав можно подвергнуть растяжению для снятия коробления, например, вызванного закалкой. Для этой цели принято выполнять растяжение на около 1, или 2, или 3%. При необходимости лист или пластина из сплава могут быть подвергнуты формовке путем гибки, прокатки, вытяжки или других процедур формоизменения металла после закалки (и обычно после естественного старения до стабильного уровня механических свойств, т.е. условия Т4), так как металл в этом состоянии мягче и слабее, чем искусственно состаренное состояние Т6, и поэтому легче поддается формоизменению. Также улучшенные лист или пластину можно формовать со старением, т.е. путем операции формовки с одновременным нагревом или выдержкой при температурах искусственного старения. После закалки сплав (с формовкой после закалки или без нее) подвергают искусственному старению для получения требуемой высокой прочности. Это можно осуществить путем нагрева до температуры около 300° или 350° или 400°F, предпочтительно около 350-375°F, в течение времени от почти 8 до 4 часов. Обычно требуемая обработка старением длится около 4 часов при 375°F или 8 часов при 350°F. Искусственное старение описано через время выдержки при температуре, но, как известно, искусственное старение может происходить в программируемых печах, в которых учитываются эффекты искусственного старения при нагреве и охлаждении в интервале температур дисперсионного твердения. Такие эффекты известны и описаны в патенте США 3645804 (Ponchel), полное содержание которого упоминается в качестве ссылки. Следовательно, указание времени искусственного старения при температуре охватывает эквивалентные эффекты дисперсионного твердения при линейном повышении и понижении эффективных температур искусственного старения, которые могут сократить или даже исключить время выдержки при одной заданной температуре. Также, как отмечалось выше, изделие из улучшенного листа или пластины можно формовать во время искусственного старения. Методы формовки во время старения известны. Может быть целесообразным проводить искусственное старение в две или три стадии обработки, например, при около 340°F, затем при около 400°F и с третьей стадией при около 340°F или без нее, что может повысить коррозионную стойкость без негативных побочных эффектов, таких как избыточная потеря прочности. Полученное изделие имеет значительно меньшее количество микроструктурных элементов меньшей/измененной плотности описанного выше типа. Улучшенный готовый сплав 6013 при исследовании методом РЭМ, как было описано выше, демонстрирует практическое отсутствие описанных выше элементов низкой плотности или по меньшей мере значительно меньшее их количество. Практическое отсутствие этих элементов в данном контексте означает не более 50 элементов низкой плотности размером 1 мкм или больше по главной оси на квадратный дюйм. Однако, в более широком аспекте, типичные улучшенные изделия могут иметь не более чем 80 таких элементов, при исследовании методом РЭМ, на квадратный дюйм, предпочтительно не более 65 или 60 таких элементов на квадратный дюйм, что существенно отличается от изделия из известного 6013, типично содержащего около 100-250 таких элементов на квадратный дюйм. Как будет более подробно поясняться ниже, пять действительных измерений при 500-кратном увеличении могут в сумме дать площадь около 0,1575 квадратного дюйма. Затем элементы, посчитанные в пяти действительных подсчетах, применяются к общей площади 0,1575 квадратного дюйма. После этого для удобства выполняется преобразование в квадратный дюйм. Следовательно, упоминание числа элементов на квадратный дюйм или эквивалент квадратного дюйма подразумевает измерение меньшей площади (или возможно большей), чем кумулятивный квадратный дюйм (обычно в очень малых площадях наблюдения), с преобразованием в квадратный дюйм путем вычислений. Улучшенные изделия, полученные в соответствии с изобретением, имеют лучшие усталостные свойства, особенно меньшую скорость роста трещины в усталостных условиях (замедленный рост усталостных трещин). Равно важным является тот факт, что данное улучшение достигается без таких чрезмерных побочных негативных эффектов, как снижение прочности, или ударной вязкости, или коррозионной стойкости. Улучшенный материал в сплавах типа 6013 имеет по существу такие же высокие прочность и коррозионную стойкость и такие же или более высокие характеристики вязкости разрушения, что и известные изделия типа 6013. Для получения материала, имеющего хорошую вязкость разрушения, конструктор должен переключить внимание с устойчивости к повреждениям на скорость роста усталостной трещины. Сопротивление усталостному растрескиванию является очень желательным свойством. Усталостное растрескивание возникает в результате повторяющихся циклов нагрузки и разгрузки или циклического изменения между высокой и низкой нагрузкой, например, когда фюзеляж расширяется при герметизации и сжимается при разгерметизации. Нагрузки во время усталости находятся ниже статического предела прочности или сопротивления растяжению материала, измеренных в испытаниях на растяжение, и они обычно ниже предела текучести материала. Если в конструкции присутствует трещина или трещинообразный дефект, то повторяющаяся циклическая или усталостная нагрузка может вызвать рост трещины. Это явление называется распространением усталостной трещины. Распространение трещины в результате усталости может привести к образованию достаточно большой трещины, распространяющейся катастрофически, когда размер трещины и нагрузка в совокупности достаточны, чтобы преодолеть сопротивление развитию трещины. Следовательно, увеличение сопротивления материала распространению трещин из-за усталости вносит существенный вклад в долговечность и надежность авиационных конструкций. Чем медленнее распространяется трещина, тем лучше. Быстро распространяющаяся трещина в авиационном конструктивном элементе может привести к катастрофическому разрушению, не обеспечив при этом адекватного времени на обнаружение, тогда как медленно распространяющаяся трещина дает время на обнаружение и коррективное действие или ремонт. Испытания скорости роста усталостной трещины известны. Например, такое испытание описано в ASTM Е647-99. На скорость, с которой распространяется трещина в материале во время циклической нагрузки, влияет длина трещины. Другим важным фактором является разность между максимальной и минимальной нагрузками на конструкцию, между которыми происходит циклическое изменение. Одно измерение, включающее эффекты роста трещины и разности между максимальной и минимальной нагрузками, называется “диапазон коэффициента интенсивности циклических напряжений”, или Скорость распространения усталостных трещин можно измерить для материала с использованием образца, содержащего трещину. Типичный опытный образец представляет собой прямоугольный лист с надрезом или вырезом в центре, простирающимся в поперечном направлении (через середину ширины, перпендикулярно длине), причем надрез имеет острые концы. Опытный образец подвергают циклической нагрузке, и трещина растет от концов надреза. После того как трещина достигает заданной длины, длину трещины периодически измеряют. Скорость роста трещины можно вычислить для данного приращения протяженности трещины путем деления изменения длины трещины ( При испытании с постоянной амплитудой нагрузки растягивающая нагрузка или тянущая сила для высокой нагрузки и низкой нагрузки одинаковы в течение всего циклического усталостного изменения. Это вызывает увеличение уровня Еще один метод испытаний заключается в использовании постоянного градиента Испытание на скорость роста усталостной трещины, используемое в данном изобретении, выполняют на образце шириной 15,75 дюймов (400 мм) с надрезом посередине М(Т) согласно ASTM-Е647-99. Свободная длина образца между зажимами составляет по меньшей мере 24 дюйма, а исходная длина надреза 2ai=1,417 дюйма (“а” – половина длины “трещины” или надреза, 2а – полная длина). Конечная длина трещины составляет около 2аf=5,2 дюйма. Образец зажимают по всей ширине клиновыми захватами на болтах. Нагрузки прикладываются при коэффициенте асимметрии цикла R=0,1 с использованием возрастающего градиента Длина трещины измеряется с использованием метода соответствий, и испытание контролируется обычной системой роста усталостной трещины, которая была модифицирована для обеспечения возможности применения Измерения соответствия и счет циклов автоматически регистрируются во время испытания. В конце испытания образец разрывают и осуществляют измерения длины видимой трещины от центральной линии образца к обоим концам трещины. Допустимое различие между отдельными измерениями окончательной длины трещины в ASTM E647-99 составляет 0,025W или около 0,394 дюйма. Если измеренная разность превосходит этот предел, то выполняется линейная оценка, чтобы определить, при какой длине трещины был превышен предел. Если длина трещины превышает эту оценку в любой точке скорости роста усталостной трещины, то эти данные не используются. Измерения соответствия корректируются, как описано в ASTM E647-99, чтобы первоначальная и конечная длина трещины соответствия согласовались с первоначальной и конечной длиной видимой трещины. В ASTM E647-99 используется инкрементальный полиномиальный метод по семи точкам для вычисления скорости роста усталостной трещины (da/dN) при различной длине трещины. Составляется таблица счета циклов, приложенной нагрузки, da/dN и Для определения значения da/dN при целевом Скорости распространения усталостных трещин для листов или пластин согласно изобретению намного меньше, чем у известных листов или пластин из сплава 6013-Т6, полученных стандартными методами, при испытании с растягиванием плоского образца с центральной трещиной, и испытанных при коэффициентах интенсивности циклических напряжений Пример Отливали несколько слитков промышленного размера из сплава 6013, пригодных для прокатки в лист или пластину. Слитки толщиной более 20 дюймов гомогенизировали при температуре около 1040°F в течение почти 8 часов, а затем подвергали горячей прокатке в реверсивном прокатном стане сразу после печи, начиная при температуре прокатки около 810°F. На стадии первоначальной горячей прокатки увеличивали ширину металла, затем обрабатывали его поверхность, снова нагревали до 850°F и плакировали путем горячей прокатки со сплавом 1145 и снова подвергали горячей прокатке до толщины около 7 дюймов, при этом общее уменьшение толщины составило более 50% от исходной толщины слитка. Затем металл нагревали до 1040°F в течение 9 часов и сразу подвергали горячей прокатке в реверсивном стане до толщины около 1 дюйма, затем подвергали непрерывной горячей прокатке до толщины около 1/4 дюйма и холодной прокатке до толщины около 0,18 дюйма. Металл подвергали термообработке на твердый раствор и растягивали для снятия коробления. Лист, произведенный таким образом в соответствии с изобретением, содержал в среднем около 17 элементов меньшей плотности в вычисленном эквиваленте квадратного дюйма, что заметно меньше, чем в обычных изделиях из сплава 6013, имеющих химический состав, очень близкий к улучшенному материалу, которые имели около 729 таких элементов в вычисленном эквиваленте квадратного дюйма. Большинство или все элементы меньшей плотности имели размер 2 мкм или больше. В любом случае для материала делали пять измерений при 500-кратном увеличении с подсчетом элементов меньшей плотности в средней по толщине плоскости листа или вблизи нее на образце, взятом из центра ширины листа, и суммировали их, и еще пять измерений делали возле края и тоже суммировали. Суммарная площадь пяти таких измерений составила около 0,1575 квадратного дюйма. Суммарное количество дефектов в каждой группе из пяти измерений показано в таблице 1 вместе со сравнением с обычным сплавом 6013. В таблицу 1 также включен расчет количества элементов меньшей плотности на эквивалент квадратного дюйма. Указание количества элементов на эквивалент квадратного дюйма включает в себя количество отдельных подсчетов, например, при 500-кратном увеличении от 3 или 4 подсчетов до около 20 (или больше), и их преобразование в квадратный дюйм путем вычислений.
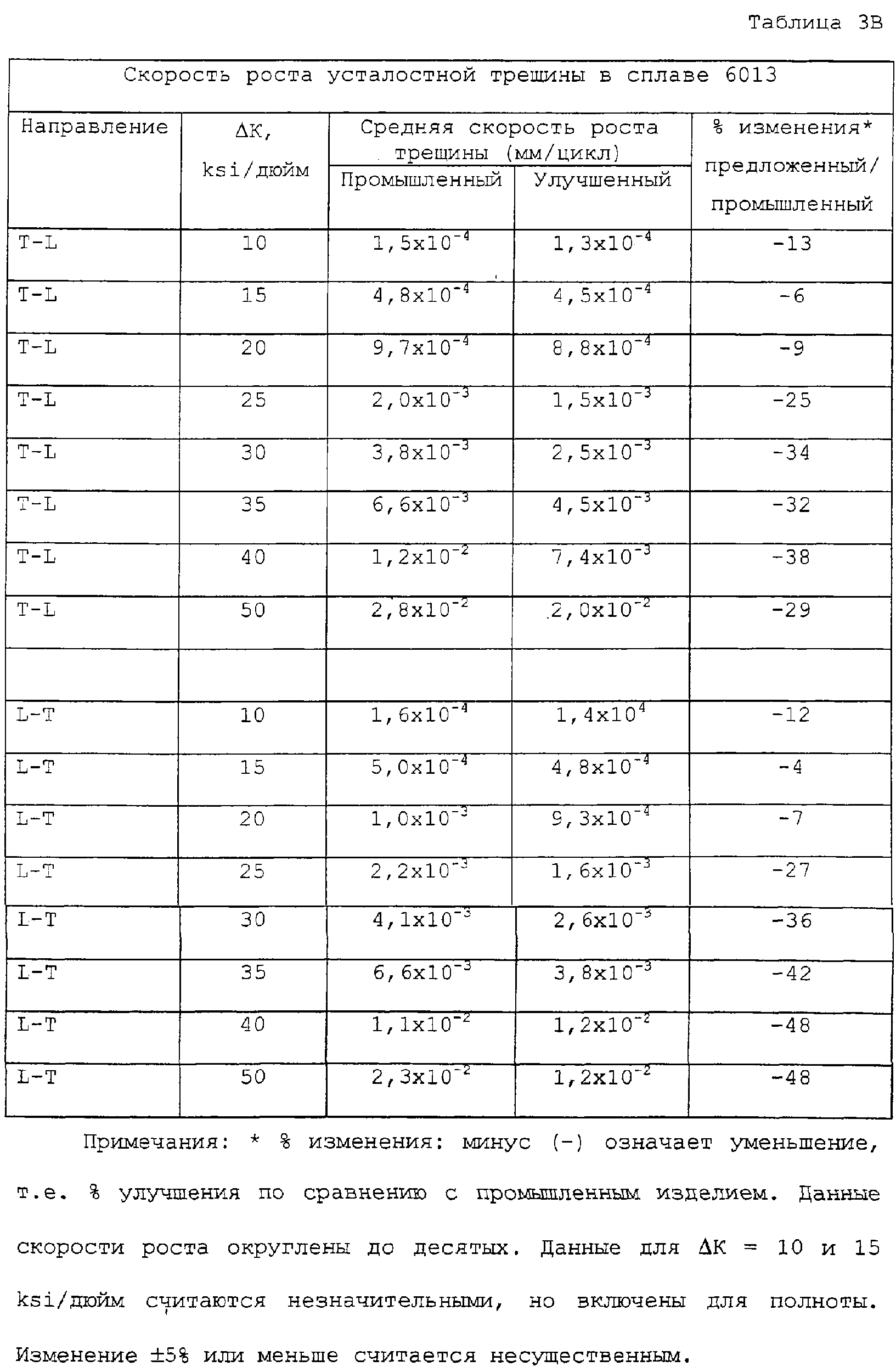
В таблице 2 приведены прочностные свойства для листа марки Т6, полученного в соответствии с изобретением, а в таблицах 3А и 3В приведены скорости роста усталостной трещины и дано сравнение с промышленным листом из плакированного дюралюминия серии 6013-Т6. Можно заметить, что значения предела прочности и предела текучести при растяжении и сжатии у предложенного изделия и промышленного 6013 похожи. Однако вязкость разрушения предложенного изделия несколько выше (или, по меньшей мере, не ниже), а усталостные свойства намного лучше. Скорость роста усталостной трещины снижена на 25 или 30% или больше при достаточно высоких значениях Уменьшение скорости роста усталостной трещины при уровнях
Уменьшение количества микроскопических элементов измененной или меньшей плотности в результате реализации изобретения и связанное с этим уменьшение скорости роста усталостной трещины, особенно с учетом малого или несущественного негативного “побочного эффекта” ухудшения других свойств, таких как коррозионная стойкость или прочность, делает предложенные изделия очень полезными для таких применений, как массивные панели для фюзеляжей больших самолетов, включая панели для нижней части фюзеляжа. Такие панели имеют лучшие усталостные свойства, выражающиеся в меньшей скорости роста усталостной трещины. Панели из листов и пластин из улучшенного сплава свариваемые, что позволяет приварить к ним стрингеры для их укрепления (вместо закрепления удлиненных стрингеров на панелях с помощью заклепочных швов, как делается в большинстве случаев) и получать упрочненную стрингерами панель. Панели, например перед привариванием стрингеров, можно обработать механически или протравить химически, чтобы снять металл и уменьшить толщину на выбранных участках для образования удлиненных ребер между удлиненными участками химически вытравленных или механически снятых полос. Выступающие ребра создают подходящие участки для приваривания к ним стрингеров для упрочнения. Если фюзеляжный лист выполнен из сплава 6013, стрингеры могут быть прессованными элементами или катаными листовыми элементами из сплава 6013 или другого сплава типа 6ХХХ. Следовательно, изобретение позволяет получать улучшенные катаные листы или пластины для применения в авиации, например, в качестве панелей для обшивки фюзеляжа, а также для улучшенных авиационных фюзеляжей и их частей и частей сборных деталей для больших реактивных самолетов, например, коммерческих пассажирских и грузовых самолетов. Степень обеспечиваемого изобретением улучшения по сравнению с промышленным 6013-Т6, выражающаяся в уменьшении (снижении) скорости роста усталостной трещины, весьма значительная, особенно при уровнях Указание улучшений по сравнению со сплавами 6ХХХ или 6013 или 6013-Т6 относится в общем и предпочтительно к аналогичным сплавам и формам изделий, например, пластина сравнивается с пластиной, плакированный лист сравнивается с плакированным листом, или по меньшей мере, к формам изделий из сплава 6ХХХ, сплава 6013, которые предположительно будут иметь уровни свойств, аналогичные уровням свойств сравниваемого изделия. Помимо очевидного преимущества, связанного с надежностью, другое преимущество в результате более низкой скорости роста усталостных трещин, обеспечиваемой изобретением, состоит в том, что оно позволяет потребителям в авиации увеличивать интервалы между осмотрами на наличие трещин и дефектов, снижая тем самым расходы на осмотры и эксплуатационные расходы и повышая ценность авиатранспорта для потребителя. Предложенное изделие также позволяет увеличить количество циклов герметизации/разгерметизации и других стрессовых циклов, что дополнительно снижает эксплуатационные расходы и совершенствует авиатранспорт. Хотя измерение и испытание на усталостную прочность было описано с некоторой степенью конкретизации, понятно, что это испытание должно проиллюстрировать улучшение уровня свойств с помощью изобретения, однако не ограничивает данное изобретение. Например, со временем могут быть разработаны другие методы испытаний и они также могут быть использованы для измерения положительных характеристик изобретения. Предполагается, что свойства предложенного изделия, которые в общем или по существу эквивалентны описанным результатам испытаний, можно продемонстрировать и с помощью других методов испытаний. Согласно изобретению предложены изделия, пригодные для использования на больших самолетах, например, больших коммерческих пассажирских и грузовых самолетах, или на других воздушных или космических транспортных средствах. Эти изделия, как таковые, обычно имеют большой размер – длину несколько футов, например, от 5 или 10 футов до 25 или 30 футов, или даже 50 футов или больше, и ширину 2-6 или 7 футов или больше. Однако даже при таких больших размерах предложенные изделия обеспечивают хорошие комбинации свойств. Следовательно, особым преимуществом изобретения является возможность получения достаточно больших изделий, пригодных для основных конструктивных элементов самолета, например, основных элементов фюзеляжа и, возможно, других элементов. Предложенные листы и пластины (вместе именуемые как катаный материал) можно формовать в виде элемента самолета, например, элемента или панели фюзеляжа, при этом в самолете будут использованы описанные выше преимущества изобретения. Формовка может включать гибку, растяжение, механическую обработку, химическое травление и другие операции формовки и их комбинации, обычно применяемые для формовки панелей и других элементов воздушных, космических и других транспортных средств. Формовку, которая включает гибку и другую пластическую деформацию, можно выполнять при комнатной температуре или при повышенных температурах, например 200° или 400°. Если при формовке используются повышенные температуры, их можно использовать для искусственного старения, как было описано выше. Элемент может также содержать такие упрочняющие элементы, как конструкционные балки, прикрепленные к нему сваркой или другими средствами. При упоминании больших реактивных самолетов имеются в виду самолеты, имеющие габариты, как у Боинга (Boeing) 747, 767, 757, 737, 777 и Аэробуса (Airbus) A319, А320, А318, А340, А380 и военных самолетов С17 и КС135. Хотя изобретение особенно пригодно для обшивок фюзеляжа больших реактивных самолетов, оно также обеспечивает значительные преимущества для меньших самолетов, таких как региональные или личные/служебные самолеты и, возможно, даже еще меньших летательных аппаратов. Хотя изобретение особенно хорошо подходит для обшивок фюзеляжей, оно также может найти применение в других областях, например, в листовых элементах автотранспорта, железнодорожных вагонов или быть использовано по-другому. Если не указано иное, следующие определения в данном описании имеют следующие значения: (a) ksi означает килофунт на квадратный дюйм; (b) Проценты химического состава означают мас.; (c) Термин “полученный из слитка” означает затвердевший из жидкого металла с применением известного или разработанного в будущем процесса разливки в отличие от методов порошковой металлургии. Этот термин включает, не ограничиваясь перечисленным, прямое литье в кокиль, электромагнитное непрерывное литье и их любые варианты; (d) Указание числового диапазона содержания элемента в химическом составе или температуры или другого параметра процесса или степени улучшения или другого параметра, кроме и дополнительно к обычным правилам округления цифр, конкретизирует каждое число, включая все простые и/или десятичные дроби между указанным минимумом и максимумом в приведенном интервале. (Например, интервал 1-10 включает в себя 1,1; 1,2…1,9; 2; 2,1; 2,2… и т.д. до 10, включая любое число и простую или десятичную дробь между ними.) Выражение “до x”, например, в отношении элемента, который указан как присутствующий в сплаве, или другого объекта, указанного как присутствующий или выполняемый, означает “x” и любое другое число меньше “x”, например, “до 5” будет охватывать 0,01…; 0,1…; 1 и т.д. до 5, тогда как выражение “до x” в отношении элемента или другого объекта, не указанного как действительно присутствующий, будет означать то же самое, включая нуль. Выражение “по меньшей мере у” (или “у или выше”) означает “у” и любое реальное значение или число выше “у”. Например, температура “по меньшей мере 1020°F” (или 1020°F или выше) означает 1020°F и более высокие температуры, но не температуры разрушения структуры, например, температуру плавления или другой вредный перегрев. (e) Несмотря на предыдущий пункт (d), упоминание минимума (например, прочности или ударной вязкости) или максимума (например, скорости роста усталостной трещины) применительно к уровню механического свойства относится к уровню, который можно записать в технические условия для материалов, или уровень, который можно гарантировать для материала, или уровень, на который может полагаться авиаконструктор при проектировании. В некоторых случаях этот уровень может иметь статистическую основу, например, когда 99% продукции соответствует или предположительно соответствует ему с уверенностью на 95% при использовании стандартных статистических методов. (f) Указание конкретных номеров обсуждаемых сплавов, например 6013, относится к сплавам Алюминиевой ассоциации (АА). Упоминание обозначений класса сплава, например, класс АА, например, для сплавов 6ХХХ или типа 6ХХХ, относится к алюминиевым сплавам, содержащим магний и кремний в качестве основных легирующих добавок, независимо от того, был ли данный сплав зарегистрирован в Алюминиевой ассоциации. Несмотря на представленное выше описание вариантов, являющихся предпочтительными в настоящее время, понятно, что изобретение может быть реализовано иным образом в рамках объема прилагаемой формулы изобретения.
Формула изобретения
1. Способ изготовления листового или пластинчатого изделия, включающий (a) получение заготовки из алюминиевого сплава, содержащего следующие компоненты, мас.%: кремний 0,5-1,8, магний 0,5-1,5, медь до 1,2, алюминий и неизбежные примеси – остальное, (b) нагрев заготовки, (c) горячую прокатку для уменьшения толщины заготовки по меньшей мере на 30%, (d) термообработку при 1010°F или выше горячекатаной на этапе (с) заготовки, (e) повторное проведение горячей прокатки заготовки для дальнейшего уменьшения ее толщины, (f) термообработку на твердый раствор при температуре 1010°F или выше, (g) закалку заготовки. 2. Способ по п.1, в котором используют сплав, дополнительно содержащий марганец в количестве до 1%. 3. Способ по п.2, в котором используют сплав, содержащий следующие компоненты, мас.%: кремний 0,5-1,4, магний 0,7-1,4, медь 0,5-1,1 и марганец 0,2-0,8, алюминий – остальное. 4. Способ по п.2, в котором используют сплав, содержащий следующие компоненты, мас.%: кремний 0,6-1,2, магний 0,8-1,2, медь 0,6-1,1 и марганец 0,2-0,8, алюминий – остальное. 5. Способ по п.1, в котором используют сплав, содержащий 0,4-1 мас.% меди. 6. Способ по п.2, в котором используют сплав, дополнительно содержащий цинк и хром при следующем соотношении компонентов, мас.%: кремний 0,6-1,2, магний 0,8-1,2, медь 0,6-1, цинк 0,5-0,9 и хром 0,2-0,4, алюминий – остальное. 7. Способ по п.2, в котором используют сплав, дополнительно содержащий один или несколько элементов из следующей группы, мас.%: марганец до 1, цинк до 1, хром до 0,4, серебро до 0,5, скандий до 0,3, ванадий до 0,2, гафний до 0,2 и цирконий до 0,2. 8. Способ по п.2, в котором используют сплав, дополнительно содержащий один или несколько элементов из следующей группы, мас.%: марганец 0,2-1, цинк 0,1-0,9, хром 0,1-0,35, серебро 0,05-0,5, скандий 0,03-0,3, ванадий 0,03-0,2, цирконий 0,03-0,2, гафний 0,03-0,2. 9. Способ по п.1, в котором на этапе (b) заготовку нагревают до 1010°F или выше в течение по меньшей мере 1 ч. 10. Способ по п.6, в котором на этапе (b) заготовку нагревают до 1035°F или выше в течение по меньшей мере 1 ч. 11. Способ по п.1, в котором при горячей прокатке на этапе (с) уменьшают толщину заготовки по меньшей мере на 40%, предпочтительно по меньшей мере на 50%, более предпочтительно по меньшей мере на 60%. 12. Способ по п.1, в котором термообработку на этапе (d) проводят при 1020°F или выше. 13. Способ по п.12, в котором термообработку на этапе (d) проводят при 1030°F или выше. 14. Способ по п.1, в котором после горячей прокатки на этапе (е) проводят холодную прокатку заготовки. 15. Способ по п.1, в котором после закалки сплав формуют, а затем проводят искусственное старение. 16. Способ по п.1, в котором перед термообработкой на этапе (d) проводят плакирование заготовки на одной или обеих поверхностях путем прокатки с металлом, имеющим отличный от состава сплава заготовки состав. 17. Способ по п.1, в котором при горячей прокатке на этапе (е) уменьшают толщину металла по меньшей мере на 25%, предпочтительно по меньшей мере на 40%. 18. Способ по любому из пп.1-17, в котором изготавливают изделие в виде листа толщиной не более 0,25 дюйма. 19. Способ по любому из пп.1-17, в котором изготавливают изделие в виде листа толщиной не более 0,8 дюйма. 20. Способ изготовления листового или пластинчатого изделия, включающий (a) получение заготовки из алюминиевого сплава, содержащего следующие компоненты, мас.%: кремний 0,6-1,6, магний 0,6-1,4, медь 0,3-1, алюминий и неизбежные примеси – остальное, (b) нагрев заготовки до 1020°F или выше, (c) горячую прокатку для уменьшения толщины заготовки по меньшей мере на 40%, (d) термообработку при 1020°F или выше горячекатаной на этапе (с) заготовки, (e) повторную горячую прокатку заготовки для дальнейшего уменьшения ее толщины по меньшей мере на 30%, (f) термообработку на твердый раствор при 1020°F или выше, (g) закалку сплава. 21. Способ по п.20, в котором используют сплав, дополнительно содержащий 0,25-0,8 мас.% марганца. 22. Способ по п.20, в котором используют сплав, дополнительно содержащий 0,5-9 мас.% цинка, 0,2-0,35 мас.% хрома. 23. Способ по любому из пп.20-22, в котором изделие изготавливают в виде листа толщиной не более 0,25 дюйма. 24. Способ по любому из пп.20-22, в котором изделие изготавливают в виде листа толщиной не более 0,8 дюйма. 25. Способ изготовления листового или пластинчатого изделия, включающий (a) получение заготовки из алюминиевого сплава, содержащего следующие компоненты, мас.%: кремний 0,5-1,8, магний 0,5-1,5, медь 0,5-1,2, и любой из (i) марганец 0,2-0,9 или (ii) цинк 0,5-0,9 и хром 0,2-0,4, алюминий и неизбежные примеси – остальное, (b) нагрев заготовки, (c) горячую прокатку для уменьшения толщины заготовки по меньшей мере на 40%, (d) термообработку при 1020°F или выше горячекатаной на этапе (с) заготовки, (e) повторную горячую прокатку заготовки для дальнейшего уменьшения ее толщины по меньшей мере на 25%, (f) термообработку на твердый раствор при Т 1020°F или выше, (g) закалку. 26. Способ по п.25, в котором используют сплав, содержащий марганец. 27. Способ по п.25, в котором используют сплав, содержащий цинк и хром. 28. Способ по п.26 или 27, в котором после этапа (е) проводят холодную прокатку. 29. Способ изготовления листового или пластинчатого изделия, включающий (a) получение заготовки из алюминиевого сплава, содержащего следующие компоненты, мас.%: кремний 0,6-1, магний 0,8-1,2, медь 0,6-1,1, марганец 0,2-0,8, алюминий и неизбежные примеси – остальное, (b) нагрев заготовки до 1020°F или выше, (c) горячую прокатку заготовки для уменьшения толщины заготовки по меньшей мере на 40%, (d) термообработку при 1035°F или выше горячекатаного на этапе (с) сплава, (e) повторную горячую прокатку заготовки для дальнейшего уменьшения ее толщины по меньшей мере на 30% (f) термообработку на твердый раствор при температуре 1030°F или выше, (g) закалку, (h) искусственное старение. 30. Способ по п.29, в котором формование заготовки осуществляют после искусственного старения. 31. Способ по п.29, в котором формование заготовки осуществляют во время искусственного старения. 32. Способ изготовления листового или пластинчатого изделия, включающий (а) получение заготовки из алюминиевого сплава, содержащего следующие компоненты, мас.%: кремний 0,6-1, магний 0,8-1,2, медь 0,6-1,1, марганец 0,2-0,8, алюминий и неизбежные примеси – остальное, (b) нагрев заготовки до 1020°F или выше, (c) горячую прокатку для уменьшения толщины заготовки по меньшей мере на 40%, (d) термообработку при 1030°F или выше горячекатаной на этапе (с) заготовки, (e) повторное проведение горячей прокатки заготовки для дальнейшего уменьшения ее толщины по меньшей мере на 30%, (f) термообработку на твердый раствор при температуре 1030°F или выше, (g) закалку. 33. Способ по п.32, отличающийся тем, что сплав дополнительно содержит по меньшей мере один, но не более трех элементов из следующей группы, мас.%: цинк 0,5-0,9, хром 0,1-0,35, серебро 0,05-0,5, скандий 0,03-0,3, ванадий 0,03-0,2, цирконий 0,03-0,2 и гафний 0,03-0,2. 34. Способ изготовления листового или пластинчатого изделия, включающий (a) получение заготовки из алюминиевого сплава, содержащего следующие компоненты, мас.%: кремний 0,6-1, магний 0,8-1,2, медь 0,6-1,1, марганец 0,2-0,8, алюминий и неизбежные примеси – остальное, (b) нагрев заготовки до 1020°F или выше, (c) горячую прокатку для уменьшения толщины заготовки, (d) плакирование заготовки путем соединения горячей прокаткой одной или обеих поверхностей заготовки и плакирующего сплава, (e) повторное проведение горячей прокатки и дополнительное уменьшение толщины заготовки, при этом уменьшение толщины заготовки на этапах (с), (d) и (e) составляет в сумме по меньшей мере 40%, (f) термообработку при 1020°F или выше горячекатаного сплава, (g) последующую горячую прокатку для дальнейшего уменьшения толщины заготовки по меньшей мере на 30%, (h) термообработку на твердый раствор при температуре 1030°F или выше, (i) закалку сплава. 35. Способ по п.34, в котором используют плакирующий сплав, содержащий магний и кремний. 36. Способ по п.34, в котором используют плакирующий сплав, по существу являющийся чистым алюминием. 37. Способ по п.34, в котором используют плакирующий сплав, содержащий цинк. 38. Способ по любому из пп.34-37, в котором для изготовления катаного листового изделия уменьшение толщины на этапах (с), (d) и (е) составляет в сумме по меньшей мере 50%, термообработку на этапе (f) осуществляют при 1030°F или выше, и сплав подвергают холодной прокатке после дополнительной горячей прокатки на этапе (g). 39. Способ изготовления профилированного элемента авиационной обшивки, включающий формование листового или пластинчатого изделия, изготовленного путем (a) получения заготовки из алюминиевого сплава, содержащего следующие компоненты, мас.%: кремний 0,5-1, магний 0,5-1,2, медь 0,5-1,1, марганец 0,2-0,8, алюминий и неизбежные примеси – остальное, (b) нагрева заготовки, (c) горячей прокатки для уменьшения толщины заготовки по меньшей мере на 40%, (d) термообработки при 1020°F или выше горячекатаной на этапе (с) заготовки, (e) повторной горячей прокатки заготовки для дальнейшего уменьшения ее толщины по меньшей мере на 30%, (f) термообработки на твердый раствор при 1020°F или выше, (g) закалки. 40. Способ по п.39, в котором в качестве элемента авиационной обшивки изготавливают элемент фюзеляжа. 41. Способ по п.39, в котором в качестве элемента авиационной обшивки изготавливают элемент нижней части фюзеляжа. 42. Способ по п.39, отличающийся тем, что после этапа (е) и перед термообработкой на твердый раствор проводят холодную прокатку. 43. Способ изготовления фюзеляжа самолета, образованного профилированными элементами из алюминиевых листов или пластин, включающий формование элементов из алюминиевого листового или пластинчатого изделия, изготовленного путем (a) получения заготовки из алюминиевого сплава, содержащего, следующие компоненты, мас.%: кремний 0,6-1,2, магний 0,8-1,2, медь 0,5-1,2 и любого из (i) марганец 0,2-0,8 или (ii) цинк 0,5-0,9 и хром 0,2-0,4, алюминий и неизбежные примеси – остальное, (b) нагрева заготовки, (c) горячей прокатки для уменьшения толщины заготовки по меньшей мере на 50%, (d) термообработки при 1020°F или выше горячекатаной на этапе (с) заготовки, (e) повторной горячей прокатки заготовки для дальнейшего уменьшения ее толщины по меньшей мере на 20%, (f) термообработки на твердый раствор при 1020°F или выше, (h) закалки.
|
||||||||||||||||||||||||||||||||||||||||||||||||||||||||||||||||||||||||||||

К, и измеряется в ksi/дюйм, аналогично коэффициенту интенсивности напряжений, используемому для измерения сопротивления развитию трещины. Диапазон коэффициента интенсивности напряжений (

