Патент на изобретение №2276667
|
||||||||||||||||||||||||||
(54) 2-АРОИЛМЕТИЛЕН-2, 4-ДИГИДРО-1Н-3,1-БЕНЗОКСАЗИН-4-ОНЫ, ПРОЯВЛЯЮЩИЕ ФЛУОРЕСЦЕНТНЫЕ СВОЙСТВА, И СПОСОБ ИХ ПОЛУЧЕНИЯ
(57) Реферат:
Изобретение относится к области органической химии, а именно к новым индивидуальным соединениям класса бензоксазинов и к способу их получения, которые проявляют флуоресцентные свойства и могут быть использованы в качестве исходных продуктов для синтеза новых гетероциклических систем. Описываются 2-ароилметилен-2,4-дигидро-1Н-3,1-бензоксазин-4-оны формулы I, где R=H (а), СН3 (б), ОСН3 (в), ОС2Н5 (г), Cl (д), Br (е), проявляющие флуоресцентные свойства, которые устойчивы в УФ свете. Описывается также способ получения вышеуказанных соединений. 2 н. и 2 з.п. ф-лы.
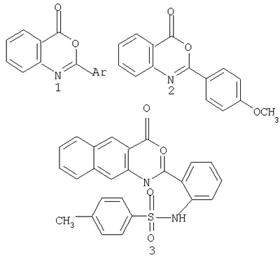
Изобретение относится к области органической химии, а именно к новым индивидуальным соединениям класса бензоксазинов и к способу их получения, которые проявляют флуоресцентные свойства и могут быть использованы в качестве продуктов для синтеза новых гетероциклических систем. Из литературы известны ближайшие аналоги заявленных соединений – производные феноксазинов, в частности 2-арил-4Н-3,1-бензоксазин-4-оны (1), 2-(4-метоксифенил)-4Н-3,1-бензоксазин-4-оны (2), 2-(2-тозиламинофенил)-4Н-нафто-[2,3-d]-1,3-оксазин-4-оны (3), обладающие флуоресцентными свойствами. Способ получения данных производных феноксазинонов заключается во взаимодействии антраниловой кислоты или ее замещенных с хлорангидридом п-метоксибензойной кислоты или п-толуолсульфохлоридом (Б.М.Красовицкий и др. Органические люминофоры. – М., X., 1984, с.122-124). Задачей изобретения является разработка простого, одностадийного способа получения неописанных в литературе 2-ароилметилен-2,4-дигидро-1Н-3,1-бензоксазин-4-онов, проявляющих флуоресцентные свойства. Поставленная задача осуществляется путем кипячения о-карбоксианилидов ароилуксусных кислот (Ia-е) с дициклогексилкарбодиимидом в инертном апротонном растворителе по схеме: I, II: R=Н (а), СН3 (б), СН3О (в), С2Н5O (г), Cl (д), Br (е). Процесс ведут при температуре 82-84°С, а в качестве инертного апротонного растворителя используют 1,2-дихлорэтан. Соединения (IIa-e) в твердом состоянии обладают устойчивой флуоресценцией (излучение в области желтого света при Из патентной и технической литературы не были выявлены способы получения 2-ароилметилен-2,4-дигидро-1Н-3,1-бензоксазин-4-онов, имеющие сходные признаки с заявляемым способом, а именно не использовались исходные продукты, растворители, в которых проходит реакция, и интервал температур, на основании чего можно сделать вывод о соответствии заявленного технического решения критерию патентоспособности «новизна» и «изобретательский уровень». Изобретение иллюстрируется следующими примерами. Пример 1. 2-бензоилметилен-2,4-дигидро-1Н-3,1-бензоксазин-4-он IIa. Раствор 0.95 г (3.35 ммоль) о-карбоксианилида бензоилуксусной кислоты (соединение Ia) и 0,69 г (3.35 ммоль) дициклогексилкарбодиимида в 20 мл 1,2-дихлорэтана кипятят в течение 1 часа, охлаждают, осадок дициклогексилмочевины отфильтровывают, маточник испаряют, остаток кристаллизуют из пропанола-2. Получают 0.89 г (100%). Соединение IIa. С16Н11МО3, т.пл. 141-142°С. Найдено, %: С 72.39, Н 4.15, N 5.30. Вычислено, %: С 72.41, Н 4.17, N 5.28. Остальные соединения получены аналогично. Соединение IIб. 2-п-толуоилметилен-2,4-дигидро-1Н-3,1-бензоксазин-4-он. Выход 100%.С17Н13О3, т.пл. 178-179°С. Найдено, %: С 73,10, Н 4,67, N 5,03. Вычислено, %: С 73,11, Н 4,69, N 5,01. Соединение IIв. 2-(4-метоксибензоилметилен)-2,4-дигидро-1 Н-3,1-бензоксазин-4-он. Выход 100%. C17H13NO4, т.пл. 164-165°С. Найдено, %: С 69.17, Н 4.46, N 4.75. Вычислено, %: С 69.15, Н 4.44, N 4.74. Соединение IIг. 2-(4-этоксибензоилметилен)-2,4-дигидро-1Н-3,1-бензоксазин-4-он. Выход 100%. C18H15NO4, т.пл. 165-166°С. Найдено, %: С 69,90, Н 4,88, N 4,55. Вычислено, %: С 69,89, Н 4,89, N 4,53. Соединение IIд. 2-(4-хлорбензоилметилен)-2,4-дигидро-1Н-3,1 -бензоксазин-4-он. Выход 100%. С16Н10ClNOз, т.пл. 204-205°С. Найдено, %: С 64.10, Н 3.34, Cl 11.85, N 4.68. Вычислено, %: С 64.11, Н 3.32, Cl 11.83, N 4.68. Соединение IIe. 2-(4-бромбензоилметилен)-2,4-дигидро-1Н-3,1 -бензоксазин-4-он. Выход 100%. C16H10BrNO3, т.пл. 204-205°С. Найдено, %: С 55,83, Н 2.95, Br 23,25, N 4.05. Вычислено, %: С 55,84, Н 2,93, Br 23,22, N 4,07. Соединения (IIa-e) – бледно-желтые кристаллические вещества, растворимые в ацетоне, хлороформе, 1,2-дихлорэтане, диметилсульфоксиде, плохо растворимые в алканах, спиртах, нерастворимые в воде. Устойчивы при хранении в обычных условиях. В ИК спектрах соединений (IIa-e), снятых в вазелиновом масле, присутствует полоса поглощения лактонной карбонильной группы бензоксазинонового цикла в области 1758-1768 см-1 и широкая полоса поглощения кетонной ароильной группы, вовлеченной в образование внутримолекулярной водородной связи Н-хелатного типа в области 1630-1635 см-1. В спектрах ПМР соединений (IIa-e), снятых в дейтерированном хлороформе, помимо группы сигналов ароматических протонов и сигналов протонов заместителей R, присутствуют синглет протона группы NH в области 14.24-14.27 м.д. и синглет винильного протона в области 5.88-5.92 м.д. Предлагаемый способ прост в осуществлении, одностадиен и позволяет получить неописанные в литературе 2-ароилметилен-2,4-дигидро-1Н-3,1-бензоксазин-4-оны с количественным выходом.
Формула изобретения
1. 2-Ароилметилен-2,4-дигидро-1Н-3,1-бензоксазин-4-оны общей формулы R=H (а), СН3 (б), СН3О (в), С2H5О (г), Cl (д), Br (e), проявляющие флуоресцентные свойства. 2. Способ получения 2-ароилметилен-2,4-дигидро-1Н-3,1-бензоксазин-4-онов по п.1, характеризующийся тем, что о-карбоксианилид ароилуксусной кислоты подвергают взаимодействию с дициклогексилкарбодиимидом в среде инертного апротонного растворителя с последующим выделением целевого продукта. 3. Способ по п.2, отличающийся тем, что процесс ведут при температуре 82-84°С. 4. Способ по пп.2 и 3, отличающийся тем, что в качестве инертного апротонного растворителя используют 1,2-дихлорэтан.
MM4A – Досрочное прекращение действия патента СССР или патента Российской Федерации на изобретение из-за неуплаты в установленный срок пошлины за поддержание патента в силе
Дата прекращения действия патента: 10.11.2006
Извещение опубликовано: 10.07.2008 БИ: 19/2008
|
||||||||||||||||||||||||||




=580-595 нм) при облучении УФ лампой 