Патент на изобретение №2276666
|
||||||||||||||||||||||||||||||||||||||||||||||||||||||||||||||||||||||||||||||||||||||||||||||||||||||||||||||||||||||||||||||||||||||||||||||||||||||||||||||||||||||||||||||||||||||||||||||||||||||||||||||||||||||||||||||||||||||||||||||||||||||||||||||||||||||||||||||||||||||||||||||||||||||||||||||
(54) ПРОИЗВОДНЫЕ ТЕТРАЗОЛА, ГЕРБИЦИДНАЯ КОМПОЗИЦИЯ НА ИХ ОСНОВЕ И ПРОМЕЖУТОЧНЫЕ СОЕДИНЕНИЯ
(57) Реферат:
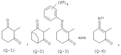
Описываются новые производные тетразола общей формулы (I) где R1 независимо означает галоген, метил, метоксил, C1-3-алкилсульфонил, нитро- или цианогруппу, R2 означает С1-6-алкил, С3-6-ииклоалкил, C1-4-галогеналкил или С2-6-алкенил, m равно 0, 1 или 2, n равно 1 или 2, Q означает одну из следующих групп где R9 означает водород, галоген или С1-4алкил, k означает 1 R11 означает галоген, фунгицидная композиция на их основе и промежуточное соединение формулы где R1, R2, m и n такие, как определено в п.1, W означает гидроксил, C1-4-алкоксил или группу 3 н. и 4 з.п., 6 табл.
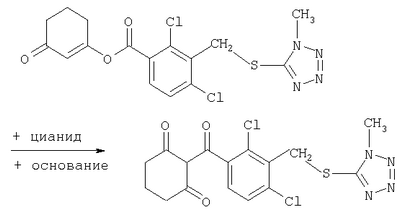
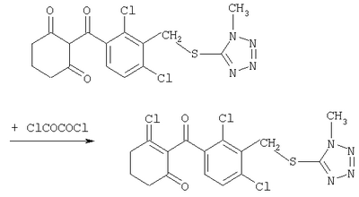
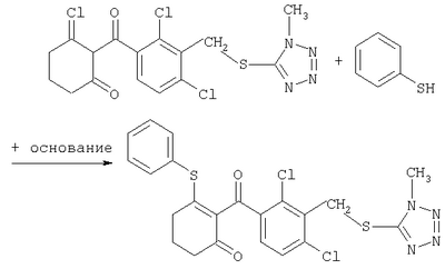
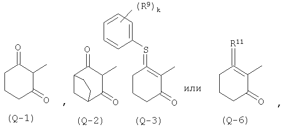
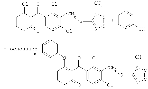
Настоящее изобретение относится к новым производным тетразола, к способам их получения, к их использованию в качестве гербицидов и к содержащим их новым гербицидным композициям, предназначенным для использования на рисовых полях. Известно, что некоторые типы производных тетразола обнаруживают гербицидную активность (см. публикации патентных заявок Японии №12275/1999, №21280/1999 и др.). Кроме того, известно, что некоторые типы гетероциклических производных обладают гербицидной активностью (см. патент США №5834402, №5846906, DE-A-19846792, WO 99/10327 и др.). Теперь обнаружены новые производные тетразола формулы (I) где R1 означает галоген, метил, этил, галогенметил, метоксил, этоксил, С1-2-галогеналкоксил, метилтиоил, этилтиоил, С1-3-алкилсульфонил, метилсульфонилоксил, этилсульфонилоксил, нитро- или цианогруппу, R2 означает C1-6-алкил или С3-6-циклоалкил, который необязательно может содержать в качестве заместителей галоген или C1-3-алкил, или означает С1-4-галогеналкил, C2-6-алкенил или фенил, который необязательно может содержать в качестве заместителей галоген, С1-3-алкил, С1-2-галогеналкил или нитрогруппу, m равно 0, 1 или 2, и два заместителя R1 могут быть одинаковыми или разными, если m равно 2, то n равно 1 или 2, Q означает следующие группы или где R3, R4, R5, R6, R7 и R8 являются одинаковыми или разными, и каждая из них означает атом водорода или метил, R9 означает атом водорода, галоген, C1-3-алкил, галогенметил, метоксил или нитро-группу, R10 означает С1-6-алкил, R11 означает галоген k равно 1 или 2. Соединения формулы (I), соответствующие настоящему изобретению, можно получить способом, в котором а) в случае получения соединений формулы (I), где Q означает группы (Q-1) или (Q-2): соединения формулы (II) где R1, R2, m и n являются такими, как определено выше, и Т1 означает одну из следующих групп или где R3, R4, R5, R6, R7 и R8 являются такими, как определено выше, вводят в реакцию перегруппировки в присутствии инертных растворителей и, если это является подходящим, в присутствии основания и цианида, и, если это является подходящим, в присутствии межфазного катализатора, или b) в случае получения соединений формулы (I), где Q означает группы (Q-6) или (Q-7) и в указанных группах R11 означает хлор или бром: соединения формулы (Ib) где R1, R2, m и n являются такими, как определено выше, и Qb означает одну из следующих групп или где R3, R4, R5, R6, R7 и R8 являются такими, как определено выше, вводят в реакцию с галогенирующим реагентом в присутствии инертных растворителей, или с) в случае получения соединений формулы (I), где Q означает группы (Q-3), (Q-4) или (Q-5): соединения формулы (Ic) где R1, R2, m и n являются такими, как определено выше, и Qc означает одну из следующих групп или где R3, R4, R5, R6, R7 и R8 являются такими, как определено выше, R11c означает хлор или бром, вводят в реакцию с соединениями формулы (III)
где R12 означает следующую группу или R10, где R9, R10 и k являются такими, как определено выше, в присутствии инертных растворителей и, если это является подходящим, в присутствии кислотного связывающего реагента. Производные тетразола формулы (I), предоставляемые настоящим изобретением, обнаруживают более значительную гербицидную активность, чем соединения, описанные в указанных выше ссылочных документах, относящихся к предшествующему уровню техники. В формулах: “Галоген” означает фтор, хлор, бром или йод, а предпочтительно означает фтор, хлор или бром. “Алкил” может обладать линейной цепью или разветвленной цепью и в качестве примеров можно указать метил, этил, н- и изопропил, н-, изо-, втор- и трет-бутил, н-, изо-, нео- и трет-пентил, н- и изогексил. “Циклоалкил” включает циклопропил, циклобутил, циклопентил и циклогексил. Эти циклоалкилы необязательно могут содержать в качестве заместителей галоген (например, фтор, хлор, бром и т.п.), С1-3-алкил (например, метил, этил н- или изопропил и т.п.), а в случае наличия нескольких заместителей они могут быть одинаковыми или разными. В качестве конкретных примеров таких замещенных циклоалкилов можно указать 1-метилциклопропил, 1-этилциклопропил, 1-н-пропилциклопропил, 1-метил-2-фторциклопропил, 2-метилциклопропил, 2-фторциклопропил, 1-метил-2,2-дифторциклопропил, 1-метил-2,2-дихлорциклопропил, 2,2-дифторциклопропил, 2-метилциклопентил, 1-метилциклогексил, 2-метилциклогексил, 3-метилциклогексил, 4-метилциклогексил, 2,3-диметилциклогексил, 2,6-диметилциклогексил и 2,5-диметилциклогексил. В качестве “алкенила” можно указать, например, винил, аллил, 1-метилаллил, 1,1-диметилаллил и 2-бутенил. “Галогеналкил” означает алкил с линейной цепью или с разветвленной цепью, в котором хотя бы один атом водорода замещен на галоген, и можно указать, например, C1-4-алкил, содержащий в качестве заместителей 1-6 атомов фтора и/или хлора, конкретнее, дифторметил, трифторметил, 2,2,2-трифторэтил, дихлорметил, 2-хлор-1,1,2-трифторэтил, 3-фторпропил, 3-хлорпропил, 2,2,3,3,3-пентафторпропил и 1,2,2,3,3,3-гексафторпропил. Галогеналкильный фрагмент “галогеналкоксила” может означать то же, что и указанный выше “галогеналкил”, и в качестве “галогеналкоксила” можно указать, например, дифторметоксил, трифторметоксил, 2-фторэтоксил, 2-хлорэтоксил, 2-бромэтоксил, 2,2,2-трифторэтоксил и 3-хлорпропоксил. “Алкилсульфонил” означает группу алкил-SO2-, где алкильный фрагмент означает то же, что и выше, и, в частности, включает метилсульфонил, этилсульфонил, н- и изо-пропилсульфонил. В качестве предпочтительных определений для формулы (I) можно указать: R1 предпочтительно означает фтор, хлор, бром, метил, этил, трифторметил, метоксил, этоксил, С1-2-галогеналкоксил, метилтиоил, этилтиоил, метилсульфонил, этилсульфонил, метилсульфонилоксил, этилсульфонилоксил, нитро- или цианогруппу, R2 предпочтительно означает С1-3-алкил, циклопропил, который необязательно может содержать в качестве заместителей фтор, хлор, метил или этил, C1-3-галогеналкил, С2-4-алкенил или фенил, который необязательно может содержать в качестве заместителей фтор, хлор, метил, этил, трифторметил или нитрогруппу, m предпочтительно равно 1 или 2, n предпочтительно равно 1 или 2, R9 предпочтительно означает атом водорода, фтор, хлор, метил, этил или трифторметил, R10 предпочтительно означает метил или этил, R11 предпочтительно означает хлор или бром, k предпочтительно равно 1. В качестве более предпочтительных определений для формулы (I) можно указать: R1 более предпочтительно означает хлор, бром, метил или метилсульфонил, R2 более предпочтительно означает метил, этил, н-пропил, изопропил или циклопропил, m более предпочтительно равно 2 и в этом случае два заместителя R1 связаны соответственно с положением 2 и с положением 4 бензольного цикла и эти два заместителя R1 могут быть одинаковыми или разными, n более предпочтительно равно 1. В наиболее предпочтительной группе соединений, соответствующих настоящему изобретению, группа связана с положением 3 (в соответствии с формулой (I)) бензольного цикла. В другой наиболее предпочтительной группе соединений группа Q означает одну из следующих групп или Заместители разной степени предпочтительности можно комбинировать друг с другом без всяких ограничений. Однако в качестве предпочтительной группы соединений явно могут быть указаны соединения формулы (I), в которых заместители обладают указанными выше предпочтительными значениями, а в качестве более предпочтительной группы соединений явно могут быть указаны соединения формулы (I), в которых заместители обладают указанными выше более предпочтительными значениями. Отмеченный выше способ получения (а) можно проиллюстрировать следующей схемой реакции в случае использования в качестве исходного вещества, например, 3-оксо-1-циклогексенил-2,4-дихлор-3-{[(1-метил-1Н-тетразол-5-ил)-тио]-метил}-бензоата. Отмеченный выше способ получения (b) можно проиллюстрировать следующей схемой реакции в случае использования в качестве исходного вещества, например, 2-{2,4-дихлор-3-{[(1-метил-1Н-тетразол-5-ил)-тио]-метил}-бензоил}-циклогексан-1,3-диона, а в качестве хлорирующего реагента, например оксалилхлорида. Отмеченный выше способ получения (с) можно проиллюстрировать следующей схемой реакции в случае использования в качестве исходного вещества, например, 3-хлор-2-{2,4-дихлор-3-{[(1-метил-1Н-тетразол-5-ил)-тио]-метил}-бензоил}-2-циклогексен-1-она. Кроме того, отмечается, что группа (Q-1), указанная в качестве определения для Q в приведенной выше формуле (I), также может существовать в следующих двух таутомерных формах или Также отмечается, что группа (Q-2), указанная в качестве определения для Q в приведенной выше формуле (I), также может существовать в следующих двух таутомерных формах или Таким образом, соединения формулы (I), соответствующие настоящему изобретению, включают соединения формулы (I), в которых Q означает указанные выше таутомерные группы (Q-1a), (Q-1b), (Q-2a) или (Q-2b) в качестве групп Q-1 и Q-2 соответственно. Однако следует понимать, что в настоящем описании изобретения, если не указано иного, эти таутомерные группы приведены для иллюстративного представления группы (Q-1) или группы (Q-2). Соединения формулы (II), исходные вещества для указанного выше способа получения (а), также являются новыми соединениями, которые до настоящего времени не были описаны в литературе, и их можно получить в соответствии со способами, описанными в разных публикациях (например, в публикациях патентных заявок Японии №222/1990, №173/1990, №6425/1990 и т.п.), путем введения соединения формулы (IV) где R1, R2, m и n являются такими, как определено выше, и М означает галоген, в реакцию с соединениями формулы (V)
где Qa означает одну из следующих групп или где R3, R4, R5, R6, R7 и R8 являются такими, как определено выше, в подходящем растворителе, например дихлорметане, в присутствии подходящего конденсирующего реагента, например триэтиламина. Соединения формулы (IV), использующиеся в указанных выше реакциях, также являются новыми соединениями, которые до настоящего времени не были описаны в литературе, и их можно получить, например, по реакции соединений формулы (VI) где R1, R2, m и n являются такими, как определено выше, с галогенирующим реагентом, например оксихлоридом фосфора, оксибромидом фосфора, трихлоридом фосфора, трибромидом фосфора, фосгеном, оксалилдихлоридом, тионилхлоридом, тионилбромидом. Соединения формулы (V), использующиеся в качестве исходных веществ при получении соединений указанной выше формулы (II), сами по себе известны и имеются в продаже или же их можно легко получить в соответствии со способами, описанными в различных публикациях (например в публикациях патентных заявок Японии №6425/1990, №265415/1998, №265441/1998). Соединения формулы (VI), использующиеся при получении соединений указанной выше формулы (IV), также являются новыми соединениями, которые до настоящего времени не были описаны в литературе, и их можно легко получить, например, путем гидролиза соединений формулы (VII) где R1, R2, m и n являются такими, как определено выше, и Т2 означает С1-4-алкоксил, предпочтительно -метоксил или этоксил, в подходящем растворителе, например в водном растворе диоксана, в присутствии подходящего основания, например гидроксида натрия. Соединения указанной выше формулы (VII) также являются новыми соединениями и их можно легко получить, например, по реакции соединений формулы (VIII) где R2 являются такими, как определено выше, с соединениями формулы (IX) где R1, m и n являются такими, как определено выше, Т2 означает C1-4-алкил, предпочтительно метил или этил, и М означает галоген, в подходящем растворителе, например N,N-диметилформамиде, в присутствии подходящего конденсирующего реагента, например карбоната калия. Соединения указанной выше формулы (VIII) являются известными соединениями, описанными, например, в Berichte Vol.28, р.74-76 (1895), и их можно легко получить в соответствии со способами, описанными в указанной публикации. С другой стороны, соединения указанной выше формулы (IX), часть из которых является новыми соединениями, которые до настоящего времени не были описаны в литературе, можно легко получить в соответствии со способом, описанным, например, в публикации патентной заявки Японии №173/1990. Соединения формулы (II), исходные вещества в указанном выше способе получения (а), также можно легко получить из соединений указанной выше формулы (VI) в соответствии со способом, описанным, например, в WO 93/18031. В качестве типичных примеров соединений формулы (II), использующихся в качестве исходных веществ в указанном выше способе получения (а), можно указать следующие: 3-оксо-1-циклогексенил-2-{[(1-метил-1Н-тетразол-5-ил)-тио]-метил}-бензоат, 3-оксо-1-циклогексенил-2-{[(1-циклопропил-1Н-тетразол-5-ил)-тио]-метил}-4-фторбензоат, 3-оксо-1-циклогексенил-4-хлор-2-{[(1-метил-1Н-тетразол-5-ил)-тио]-метил}-бензоат, 3-оксо-1-циклогексенил-4-хлор-2-{[(1-этил-1Н-тетразол-5-ил)-тио]-метил}-бензоат, 3-оксо-1-циклогексенил-4-хлор-2-{[(1-циклопропил-1Н-тетразол-5-ил)-тио]-метил}-бензоат, 3-оксо-1-циклогексенил-2-бром-4-{[(1-метил-1Н-тетразол-5-ил)-тио]-метил}-бензоат, 3-оксо-1-циклогексенил-4-бром-2-{[(1-фенил-1Н-тетразол-5-ил)-тио]-метил}-бензоат, 3-оксо-1-циклогексенил-2-{[(1-метил-1Н-тетразол-5-ил)-тио]-метил}-4-трифторметилбензоат, 3-оксо-1-циклогексенил-2-{[(1-метил-1Н-тетразол-5-ил)-тио]-метил}-4-метилбензоат, 3-оксо-1-циклогексенил-2,4-дихлор-3-{[(1-метил-1Н-тетразол-5-ил)-тио]-метил}-бензоат, 3-оксо-1-циклогексенил-2,4-дихлор-3-{[(1-циклопропил-1Н-тетразол-5-ил)-тио]-метил}-бензоат, 3-оксо-1-циклогексенил-2,4-дихлор-3-{[(1-(2-хлорфенил)-1Н-тетразол-5-ил)-тио]-метил}-бензоат, 3-оксо-1-циклогексенил-2-хлор-3-{[(1-метил-1Н-тетразол-5-ил)-тио]-метил}-4-метилсульфонилбензоат, 3-оксо-1-циклогексенил-2-хлор-3-{[(1-циклопропил-1Н-тетразол-5-ил)-тио]-метил}-4-метилсульфонилбензоат, 3-оксо-1-циклогексенил-2-хлор-3-{[(1-(н-пентил)-1Н-тетразол-5-ил)-тио]-метил}-4-метилсульфонилбензоат, 3-оксо-1-циклогексенил-2-хлор-3-{[(1-(3-дифторметилфенил)-1Н-тетразол-5-ил)-тио]-метил}-4-метилсульфонилбензоат, 3-оксо-1-циклогексенил-4-хлор-3-{[(1-метил-1Н-тетразол-5-ил)-тио]-метил}-2-метилсульфонилбензоат, 3-оксо-1-циклогексенил-2,4-диметилсульфонил-3-{[(1-метил-1Н-тетразол-5-ил)-тио]-метил}-бензоат, 3-оксо-1-циклогексенил-4-хлор-3-{[(1-метил-1Н-тетразол-5-ил)-тио]-метил}-2-метилсульфонилбензоат, 3-оксо-1-циклогексенил-2-хлор-4-{[(1-метил-1Н-тетразол-5-ил)-тио]-метил}-бензоат, 3-оксо-1-циклогексенил-4-{[(1-метил-1Н-тетразол-5-ил)-тио]-метил}-2-метоксибензоат, 3-оксо-1-циклогексенил-4-{[(1-метил-1Н-тетразол-5-ил)-тио]-метил}-2-метилсульфонилоксибензоат, 3-оксо-1-циклогексекил-4-{[(1-метил-1Н-тетразол-5-ил)-тио]-метил}-2-нитробензоат, 3-оксо-1-циклогексенил-4-{[(1-этил-1Н-тетразол-5-ил)-тио]-метил}-2-нитробензоат, 5,5-диметил-3-оксо-1-циклогексенил-2-{[(1-метил-1Н-тетразол-5-ил)-тио]-метил}-4-трифторметилбензоат, 4,4-диметил-3-оксо-1-циклогексенил-2-бром-4-{[(1-метил-1Н-тетразол-5-ил)-тио]-метил}-бензоат, 4,4-диметил-3-оксо-1-циклогексенил-2,4-дихлор-3-{[(1-метил-1Н-тетразол-5-ил)-тио]-метил}-бензоат, 4-{4-хлор-2-{[(1-метил-1Н-тетразол-5-ил)-тио]-метил}-бензоилокси}-бицикло[3.2.1]-3-октен-2-он, 4-{2,4-дихлор-3-{[(1-циклопропил-1Н-тетразол-5-ил)-тио]-метил}-бензоилокси}-бицикло[3.2.1]-3-октен-2-он, 4-{2-хлор-3-{[(1-циклопропил-1Н-тетразол-5-ил)-тио]-метил}-4-метилсульфонилбензоилокси}-бицикло[3.2.1]-3-октен-2-он. В качестве типичных примеров соединений формулы (IV), использующихся в качестве исходных веществ при получении соединений указанной выше формулы (II), можно указать следующие: 4-хлор-2-{[(1-метил-1Н-тетразол-5-ил)-тио]-метил}-бензоилхлорид, 4-бром-2-{[(1-циклопропил-1Н-тетразол-5-ил)-тио]-метил}-бензоилхлорид, 2-{[(1-метил-1Н-тетразол-5-ил)-тио]-метил}-4-трифторметилбензоилхлорид, 2,4-дихлор-3-{[(1-метил-1Н-тетразол-5-ил)-тио]-метил}-бензоилхлорид, 2,4-дихлор-3-{[(1-циклопропил-1Н-тетразол-5-ил)-тио]-метил}-бензоилхлорид, 2-хлор-3-{[(1-метил-1Н-тетразол-5-ил)-тио]-метил}-4-метилсульфонилбензоилхлорид, 2-хлор-3-{[(1-циклопропил-1Н-тетразол-5-ил)-тио]-метил}-4-метилсульфонилбензоилхлорид, 2-хлор-4-{[(1-метил-1Н-тетразол-5-ил)-тио]-метил}-бензоилхлорид, 2-бром-4-{[(1-метил-1Н-тетразол-5-ил)-тио]-метил}-бензоилхлорид, 4-{[(1-метил-1Н-тетразол-5-ил)-тио]-метил}-2-нитробензоилхлорид, 2,4-дихлор-3-{[(1-метил-1Н-тетразол-5-ил)-тио]-метил}-бензоилбромид, 2-хлор-3-{[(1-метил-1Н-тетразол-5-ил)-тио]-метил}-4-метилсульфонилбензоилбромид, 2-хлор-3-{[(1-циклопропил-1Н-тетразол-5-ил)-тио]-метил}-4-метилсульфонилбензоилбромид. В качестве типичных примеров соединений формулы (VI), использующихся в качестве исходных веществ при получении соединений указанной выше формулы (IV), можно указать следующие: 4-хлор-2-{[(1-метил-1Н-тетразол-5-ил)-тио]-метил}-бензойную кислоту, 4-бром-2-{[(1-циклопропил-1Н-тетразол-5-ил)-тио]-метил}-бензойную кислоту, 2-{[(1-метил-1Н-тетразол-5-ил)-тио]-метил}-4-трифторметилбензойную кислоту, 2,4-дихлор-3-{[(1-метил-1Н-тетразол-5-ил)-тио]-метил}-бензойную кислоту, 2,4-дихлор-3-{[(1-циклопропил-1Н-тетразол-5-ил)-тио]-метил}-бензойную кислоту, 2-хлор-3-{[(1-метил-1Н-тетразол-5-ил)-тио]-метил}-4-метилсульфонилбензойную кислоту, 2-хлор-3-{[(1-циклопропил-1Н-тетразол-5-ил)-тио]-метил}-4-метилсульфонилбензойную кислоту, 2-хлор-4-{[(1-метил-1Н-тетразол-5-ил)-тио]-метил}-бензойную кислоту, 2-бром-4-{[(1-метил-1Н-тетразол-5-ил)-тио]-метил}-бензойную кислоту, 4-{[(1-метил-1Н-тетразол-5-ил)-тио]-метил}-2-нитробензойную кислоту. В качестве типичных примеров соединений формулы (VII), использующихся в качестве исходных веществ при получении соединений указанной выше формулы (VI), можно указать следующие: метил-4-хлор-2-{[(1-метил-1Н-тетразол-5-ил)-тио]-метил}-бензоат, метил-4-бром-2-{[(1-циклопропил-1Н-тетразол-5-ил)-тио]-метил}-бензоат, метил-2-{[(1-метил-1Н-тетразол-5-ил)-тио]-метил}-4-трифторметилбензоат, метил-2,4-дихлор-3-{[(1-метил-1Н-тетразол-5-ил)-тио]-метил}-бензоат, метил-2,4-дихлор-3-{[(1-циклопропил-1Н-тетразол-5-ил)-тио]-метил}-бензоат, метил-2-хлор-3-{[(1-метил-1Н-тетразол-5-ил)-тио]-метил}-4-метилсульфонилбензоат, метил-2-хлор-3-{[(1-циклопропил-1Н-тетразол-5-ил)-тио]-метил}-4-метилсульфонилбензоат, метил-2-хлор-4-{[(1-метил-1Н-тетразол-5-ил)-тио]-метил}-бензоат, метил-2-бром-4-{[(1-метил-1Н-тетразол-5-ил)-тио]-метил}-бензоат, метил-4-{[(1-метил-1Н-тетразол-5-ил)-тио]-метил}-2-нитробензоат, этил-2,4-дихлор-3-{[(1-метил-1Н-тетразол-5-ил)-тио]-метил}-бензоат, этил-2-хлор-3-{[(1-метил-1Н-тетразол-5-ил)-тио]-метил}-4-метилсульфонилбензоат, этил-2-хлор-3-{[(1-циклопропил-1Н-тетразол-5-ил)-тио]-метил}-4-метилсульфонилбензоат. Соединения формулы (Ib), исходные вещества для указанного выше способа получения (b), входят в число соединений формулы (I), соответствующих настоящему изобретению, и их можно легко получить в соответствии с указанным выше способом (а). В качестве типичных примеров соединений формулы (Ib), использующихся в качестве исходных веществ в указанном выше способе получения (b), можно указать следующие, входящие в число соединений формулы (I): 2-{4-хлор-2-{[(1-метил-1Н-тетразол-5-ил)-тио]-метил}-бензоил}-циклогексан-1,3-дион, 2-{4-бром-2-{[(1-циклопропил-1Н-тетразол-5-ил)-тио]-метил}-бензоил}-циклогексан-1,3-дион, 2-{2-{[(1-метил-1Н-тетразол-5-ил)-тио]-метил}-4-трифторметилбензоил}-циклогексан-1,3-дион, 2-{2,4-дихлор-3-{[(1-метил-1Н-тетразол-5-ил)-тио]-метил}-бензоил}-циклогексан-1,3-дион, 2-{2,4-дихлор-3-{[(1-циклопропил-1Н-тетразол-5-ил)-тио]-метил}-бензоил}-циклогексан-1,3-дион, 2-{2-хлор-3-{[(1-метил-1Н-тетразол-5-ил)-тио]-метил}-4-метилсульфонилбензоил}-циклогексан-1,3-дион, 2-{2-хлор-3-{[(1-циклопропил-1Н-тетразол-5-ил)-тио]-метил}-4-метилсульфонилбензоил}-циклогексан-1,3-дион, 2-{2-хлор-4-{[(1-метил-1Н-тетразол-5-ил)-тио]-метил}-бензоил}-циклогексан-1,3-дион, 2-{2-бром-4-{[(1-метил-1Н-тетразол-5-ил)-тио]-метил}-бензоил}-циклогексан-1,3-дион, 2-{4-{[(1-метил-1Н-тетразол-5-ил)-тио]-метил}-2-нитробензоил}-циклогексан-1,3-дион, 3-{2-хлор-3-{[(1-циклопропил-1Н-тетразол-5-ил)-тио]-метил}-4-метилсульфонилбензоил}-бицикло[3.2.1]октан-2,4-дион. В качестве галогенирующих реагентов, использующихся в реакции с соединениями формулы (Ib) в способе получения (b), можно указать, например, тионилхлорид, тионилбромид, оксалилдихлорид, оксалилдибромид и т.п. Соединения формулы (Ic), исходные вещества для указанного выше способа получения (с), входят в число соединений формулы (I), соответствующих настоящему изобретению, и их можно легко получить в соответствии с указанным выше способом (b). В качестве типичных примеров соединений формулы (Ic), использующихся в качестве исходных веществ в указанном выше способе получения (с), можно указать следующие, входящие в число соединений формулы (I): 3-хлор-2-{4-хлор-2-{[(1-метил-1Н-тетразол-5-ил)-тио]-метил}-бензоил}-2-циклогексен-1-он, 3-хлор-2-{4-бром-2-{[(1-циклопропил-1Н-тетразол-5-ил)-тио]-метил}-бензоил}-2-циклогексен-1-он, 3-хлор-2-{2-{[(1-метил-1Н-тетразол-5-ил)-тио]-метил}-4-трифторметилбензоил}-2-циклогексен-1-он, 3-хлор-2-{2,4-дихлор-3-{[(1-метил-1Н-тетразол-5-ил)-тио]-метил}-бензоил}-2-циклогексен-1-он, 3-хлор-2-{2,4-дихлор-3-{[(1-циклопропил-1Н-тетразол-5-ил)-тио]-метил}-бензоил}-2-циклогексен-1-он, 3-хлор-2-{2-хлор-3-{[(1-метил-1Н-тетразол-5-ил)-тио]-метил}-4-метилсульфонилбензоил}-2-циклогексен-1-он, 3-хлор-2-{2-хлор-3-{[(1-циклопропил-1Н-тетразол-5-ил)-тио]-метил}-4-метилсульфонилбензоил}-2-циклогексен-1-он, 3-хлор-2-{2-хлор-4-{[(1-метил-1Н-тетразол-5-ил)-тио]-метил}-бензоил}-2-циклогексен-1-он, 3-хлор-2-{2-бром-4-{[(1-метил-1Н-тетразол-5-ил)-тио]-метил}-бензоил}-2-циклогексен-1-он, 3-хлор-2-{4-{[(1-метил-1Н-тетразол-5-ил)-тио]-метил}-2-нитробензоил}-2-циклогексен-1-он, 4-хлор-2-{2-хлор-3-{[(1-циклопропил-1Н-тетразол-5-ил)-тио]-метил}-4-метилсульфонилбензоил}-бицикло[3.2.1]-3-октен-2-он. Соединения формулы (III), исходные вещества для указанного выше способа получения (с), являются тиольными соединениями, хорошо известными в органической химии, и в качестве типичных примеров соединений формулы (III) можно указать следующие: метилмеркаптан, этилмеркаптан, тиофенол, 4-фтортиофенол, 4-хлортиофенол, 2-метилтиофенол, 4-этилтиофенол, 4-трифторметилтиофенол и т.п. Все соединения формул (II), (IV), (VI) и (VII), использующиеся в указанных выше способах (а)-(с) в качестве исходных веществ или промежуточных продуктов для получения соединений формулы (I), соответствующих настоящему изобретению, являются новыми соединениями, которые до настоящего времени не были описаны в литературе. Совместно эти соединения можно описать следующей общей структурной формулой (X) где W означает Т1, гидроксил или Т2, где R1, R2, m, n, Т1, Т2 и М являются такими, как определено выше. Реакции указанного выше способа получения (а) можно проводить в подходящем растворителе. В качестве примеров таких растворителей можно указать алифатические, алициклические и ароматические углеводороды (которые необязательно могут быть хлорированы), например толуол, дихлорметан, хлороформ и 1,2-дихлорэтан; простые эфиры, например этиловый эфир, диметоксиэтан (ДМЭ) и тетрагидрофуран (ТГФ); кетоны, например метилизобутилкетон (МИБК); нитрилы, например ацетонитрил; сложные эфиры, например этилацетат; амиды кислот, например диметилформамид (ДМФ). Способ получения (а) можно осуществлять в присутствии цианида и основания. В качестве цианида, пригодного для использования в этом случае, можно указать, например, цианид натрия, цианид калия, циангидрин ацетона и цианистый водород. В качестве основания можно указать, например, в качестве неорганических оснований – гидроксиды и карбонаты щелочных металлов и щелочноземельных металлов, например карбонат натрия, карбонат калия, гидроксид лития, гидроксид натрия, гидроксид калия и гидроксид кальция; а в качестве органических оснований – третичные амины, диалкиламиноанилины и пиридины, например триэтиламин, пиридин, 4-диметиламинопиридин (ДМАП), 1,4-диазабицикло[2,2,2]октан (ДАБЦО) и 1,8-диазабицикло[5,4,0]ундец-7-ен (ДБУ). Указанный выше способ получения (а) также можно осуществлять при одновременном присутствии межфазного катализатора. В качестве примеров межфазного катализатора, пригодного для использования в этом случае, можно указать краун-эфиры, например дибензо-18-краун-6, 18-краун-6 и 15-краун-6. Реакцию указанного выше способа получения (а) можно проводить в достаточно широком диапазоне температур. Подходящие температуры обычно находятся в диапазоне от примерно -10 до примерно 80°С, предпочтительно – от примерно 5 до примерно 40°С. Указанные реакции предпочтительно проводить при нормальном давлении. Однако необязательно их можно проводить при повышенном давлении или при пониженном давлении. При осуществлении способа получения (а) в случае, когда Q означает группы (Q-1) или (Q-2), искомые соединения указанной выше формулы (I) можно получить, например, по реакции 1 моль соединения формулы (II) с 1-4 моль триэтиламина в растворителе, например в ацетонитриле, в присутствии от 0,01 до 0,5 моль циангидрина ацетона. При осуществлении способа получения (а) соединения формулы (I) можно получить путем проведения реакций, начиная с соединений указанной выше формулы (VI), непрерывно в одном сосуде без выделения соединений формул (IV) и (II). Реакцию указанного выше способа получения (b) можно проводить в подходящем растворителе. В качестве примеров таких растворителей можно указать алифатические, алициклические и ароматические углеводороды (которые необязательно могут быть хлорированы), например пентан, гексан, циклогексан, петролейный эфир, лигроин, бензол, толуол, ксилол, дихлорметан, хлороформ, тетрахлорид углерода, 1,2-дихлорэтан и хлорбензол; простые эфиры, например этиловый эфир, метилэтиловый эфир, изопропиловый эфир, бутиловый эфир, диоксан, диметоксиэтан (ДМЭ), тетрагидрофуран (ТГФ) и диметиловый эфир диэтиленгликоля (ДГМ); кетоны, например ацетон, метилэтилкетон (МЭК), метилизопропилкетон и метилизобутилкетон (МИБК); нитрилы, например ацетонитрил и пропионитрил; сложные эфиры, например этилацетат и амилацетат; амиды кислот, например диметилформамид (ДМФ), диметилацетамид (ДМА), N-метилпирролидон, 1,3-диметил-2-имидазолинон и триамид гексаметилфосфорной кислоты (ТГМФК). Реакцию указанного выше способа получения (b) можно проводить в достаточно широком диапазоне температур. Подходящие температуры обычно находятся в диапазоне от примерно -20 до примерно 100°С, предпочтительно – от примерно 0 до примерно 50°С. Указанные реакции предпочтительно проводить при нормальном давлении. Однако необязательно их можно проводить при повышенном давлении или при пониженном давлении. При осуществлении способа получения (b) в случае, когда Q означает группы (Q-6) или (Q-7), причем в указанной выше группе R11 означает хлор или бром, искомые соединения указанной выше формулы (I) можно получить, например, по реакции 1 моль соединения формулы (Ib) с 1-5 моль оксалилдихлорида в растворителе, например в дихлорметане. Реакции указанного выше способа получения (с) можно проводить в подходящем растворителе. В качестве примеров таких растворителей можно указать алифатические, алициклические и ароматические углеводороды (которые необязательно могут быть хлорированы), например пентан, гексан, циклогексан, петролейный эфир, лигроин, бензол, толуол, ксилол, дихлорметан, хлороформ, тетрахлорид углерода, 1,2-дихлорэтан, хлорбензол и дихлорбензол; простые эфиры, например этиловый эфир, метилэтиловый эфир, изопропиловый эфир, бутиловый эфир, диоксан, диметоксиэтан (ДМЭ), тетрагидрофуран (ТГФ) и диметиловый эфир диэтиленгликоля (ДГМ); кетоны, например ацетон, метилэтилкетон (МЭК), метилизопропилкетон и метилизобутилкетон (МИБК); нитрилы, например ацетонитрил, пропионитрил и акрилонитрил; сложные эфиры, например этилацетат и амилацетат; амиды кислот, например диметилформамид (ДМФ), диметилацетамид (ДМА) и N-метилпирролидон; сульфоны и сульфоксиды, например диметилсульфоксид (ДМСО) и сульфолан; основания, например пиридин. Способ получения (с) можно осуществлять в присутствии конденсирующего реагента. В качестве пригодного для использования конденсирующего реагента можно, например, указать, в качестве неорганических оснований – гидриды и карбонаты щелочных металлов, например гидрид натрия, гидрид лития, карбонат натрия и карбонат калия; а в качестве органических оснований – третичные амины, диалкиламиноанилины и пиридины, например триэтиламин, 1,1,4,4-тетраметилэтилендиамин (ТМЭДА), пиридин, 4-диметиламинопиридин (ДМАП), 1,4-диазабицикло[2,2,2]октан (ДАБЦО) и 1,8-диазабицикло[5,4,0]ундец-7-ен (ДБУ). Реакцию способа получения (с) можно проводить в достаточно широком диапазоне температур. Подходящие температуры обычно находятся в диапазоне от примерно -20 до примерно 140°С, предпочтительно – от примерно 0 до примерно 100°С. Указанные реакции предпочтительно проводить при нормальном давлении. Однако необязательно их можно проводить при повышенном давлении или при пониженном давлении. При осуществлении способа получения (с) в случае, когда Q означает группы (Q-3), (Q-4) или (Q-5), искомые соединения указанной выше формулы (I) можно получить, например, по реакции 1 моль соединения формулы (Ic) с 1 -5 моль тиофенола в присутствии от 1 до 5 моль триэтиламина. Активные соединения указанной выше формулы (I), соответствующие настоящему изобретению, обнаруживают, как показано в описанных ниже примерах биологических испытаний, превосходную гербицидную активность по отношению к различным сорнякам и могут использоваться в качестве гербицидов. В настоящем описании сорняки означают в самом широком смысле все растения, которые растут в местах, где они нежелательны. Соединения, соответствующие настоящему изобретению, в зависимости от концентрации внесенного средства, воздействуют как общеистребительные гербициды или как гербициды избирательного действия. Активные соединения, соответствующие настоящему изобретению, можно вносить, например, под следующие сорняки и культуры. Двудольные сорняки родов: Sinapis, Lepidium, Galium, Stellaria, Chenopodium, Urtica, Senecio, Amaranthus, Portulaca, Xanthium, Ipomoea, Polygonum, Ambrosia, Cirsium, Sonchus, Solanum, Rorippa, Lamium, Veronica, Datura, Viola, Galeopsis, Papaver, Centaurea, Galinsoga, Rotala, Lindernia и т.п. Двудольные культуры родов: Gossypium, Glycine, Beta, Daucus, Phaseolus, Pisum, Solanum, Linum, Ipomoea, Vicia, Nicotiana, Lycopersicon, Arachis, Brassica, Lactuca, Cucumis, Cucurbita и т.п. Однодольные сорняки родов: Echinochloa, Setaria, Panicum, Digitaria, Phleum, Poa, Festuca, Eleusine, Lolium, Bromus, Avena, Cyperus, Sorghum, Agropyron, Monochoria, Fimbnstylis, Sagittaria, Eleocharis, Scirpus, Paspalum, Ischaemum, Agrostis, Alopecurus, Cynodon и т.п. Однодольные культуры родов: Oryza, Zea, Triticum, Hordeum, Avena, Secale, Sorghum, Panicum, Saccharum, Ananas, Asparagus, Allium и т.п. Применение соединений, соответствующих настоящему изобретению, не ограничивается указанными выше культурами, и их можно таким же образом использовать для других растений. Активные соединения, соответствующие настоящему изобретению, в зависимости от используемой концентрации могут неизбирательно уничтожать сорняки и их можно применять, например, на участках, занятых промышленными предприятиями, железнодорожных путях, дорожках, участках, на которых посажены или не посажены деревья. Кроме того, активные соединения, соответствующие настоящему изобретению, можно использовать для уничтожения сорняков в посадках многолетних культур и применять, например, на лесонасаждениях, посадках декоративных деревьев, во фруктовых садах, на виноградниках, в цитрусовых садах, на ореховых посадках, банановых плантациях, плантациях кофе, плантациях чая, плантациях каучуконосов, плантациях масличной пальмы, плантациях какао, ягодных посадках, посадках хмеля и т.п. и их также можно вносить для избирательного уничтожения сорняков на посадках однолетних культур. В соответствии с настоящим изобретением можно обрабатывать все растения и части растений. Термин “растения” включает все растения и популяции растений, такие как полезные и вредные дикие растения и культивируемые растения (включая культивируемые природные сорта). Культивируемыми растениями могут быть сорта растений, полученные с помощью обычной селекции и способов оптимизации, или полученные с помощью способов биотехнологии и генной инженерии, или с помощью комбинации таких способов и методик, включая трансгенные растения и включая сорта растений, которые невозможно или возможно защитить патентами на растения или сорта растений. Частями растения являются все части и органы растений, располагающиеся ниже или выше поверхности почвы, например побеги, листья, иголки, черешки и стебли, стволы, цветки, плоды и семена, а также корни, клубни, луковицы и корневища. Термин “растение” также включает собранный урожай и посадочный материал, например черенки, клубни, луковицы, корневища, побеги и семена. В соответствии с настоящим изобретением растения и части растений обрабатывают с помощью обычных методик путем нанесения активных компонентов или содержащих их композиций непосредственно на растения или части растений или на их окружение (включая почву), или хранилище, например, путем погружения, опрыскивания, опыливания, аэрозольного орошения, разбрасывания, а в случае посадочного материала – путем нанесения одного или множества слоев. Активные соединения, соответствующие настоящему изобретению, могут быть приготовлены в виде традиционных композиций. В качестве таких композиций можно указать, например, растворы, смачивающиеся порошки, эмульсии, суспензии, порошки, диспергирующиеся в воде гранулы, таблетки, гранулы, концентраты суспензий-эмульсий, микрокапсулы в полимерных веществах, крупнотоннажные композиции и т.п. Эти композиции можно приготовить с помощью известных способов, например путем смешивания активного вещества с наполнителями, а именно с жидкими или твердыми растворителями или носителями и, необязательно, с поверхностно-активными веществами, а именно эмульгаторами и/или диспергирующими веществами, и/или вспенивающими реагентами. В качестве жидких растворителей или носителей можно указать, например, ароматические углеводороды (например, ксилол, толуол, алкилнафталин и т.п.), хлорированные ароматические и хлорированные алифатические углеводороды (например, хлорбензолы, этиленхлориды, метиленхлорид и т.п.), алифатические углеводороды [например, циклогексан и т.п. и парафины (например, фракции минерального масла и т.п.)], спирты (например, бутанол, гликоль и т.п.) и их простые эфиры, сложные эфиры и т.п., кетоны (например, ацетон, метилэтилкетон, метилизобутилкетон, циклогексанон и т.п.), высокополярные растворители (например, диметилформамид, диметилсульфоксид и т.п.) и воду. Если в качестве разбавителя используется вода, то в качестве вспомогательных растворителей можно использовать, например, органические растворители. В качестве твердых разбавителей или носителей можно указать, например, размолотые природные минералы (например, каолин, глину, тальк, мел, кварц, аттапульгит, монтмориллонит, диатомовую землю и т.п.), размолотые синтетические минералы (например, высокодисперсную кремниевую кислоту, оксид алюминия, силикаты и т.п.) и т.п. В качестве твердых носителей для гранул можно указать размолотые и фракционированные горные породы (например, кальцит, мрамор, пемзу, сепиолит, доломит и т.п.), синтетические гранулы из неорганической и органической муки, измельченные органические материалы (например, опилки, скорлупу кокосов, стержни кукурузных початков и черешки табака и т.п.) и т.п. В качестве эмульгаторов и/или вспенивающих реагентов можно указать, например, неионогенные и анионогенные эмульгаторы [например сложные эфиры полиоксиэтилена и жирных кислот, эфиры полиоксиэтилена и жирных спиртов, (например, алкиларилполигликолевые простые эфиры, алкилсульфонаты, арилсульфаты, арилсульфонаты и т.п.)], продукты гидролиза альбумина и т.п. Диспергирующие вещества включают, например, лигнинсульфитный отработанный щелок, метилцеллюлозу и т.п. В композициях (порошках, гранулах, эмульсиях) можно использовать вещества, придающие клейкость. В качестве указанных веществ, придающих клейкость, можно указать, например, карбоксиметилцеллюлозу, природные и синтетические полимеры (например, гуммиарабик, поливиниловый спирт, поливинилацетат и т.п.). Также можно использовать красители. В качестве указанных красителей можно указать неорганические пигменты (например, оксид железа, оксид титана, берлинскую лазурь и т.п.) и органические красители, такие как ализариновые красители, азокрасители и красители – фталоцианины металлов, и микроудобрения, такие как соли металлов, таких как железо, марганец, бор, медь, кобальт, молибден, цинк и т.п. Указанные композиции могут содержать активное соединение формулы (I) обычно в диапазоне от 0,1 до 85 мас.%, предпочтительно – от 0,5 до 90 мас.%. Для борьбы с сорняками активные соединения формулы (I), соответствующие настоящему изобретению, можно использовать сами по себе или в композициях. Их также можно использовать в качестве реагента, примешиваемого к известным гербицидам. Такой примешиваемый реагент можно предварительно приготовить в виде готовой композиции или можно приготовить в виде баковой смеси для случая использования. В качестве гербицидов, пригодных для использования в комбинации с соединениями формулы (I), соответствующими настоящему изобретению, в качестве примешиваемого реагента можно особо указать, например, следующие гербициды, для которых приведены общепринятые названия. Гербициды типа ацетамида, например претилахлор, бутахлор, тенихлор, алахлор и т.п.; гербициды типа амида, например кломепроп, этобензанид и т.п.; гербициды типа бензофурана, например бенфуресат и т.п.; гербициды типа индандиона, например инданофан и т.п.; гербициды типа пиразола, например пиразолат, бензофенап, пиразоксифен и т.п.; гербициды типа оксазинона, например оксазикломефон и т.п.; гербициды типа сульфонилмочевины, например бенсульфурон-метил, азимсульфурон, имазосульфурон, пиразосульфурон-этил, циклосульфамрон, этоксисульфурон, галосульфурон(-метил) и т.п.; гербициды типа тиокарбамата, например тиобенкарб, молинат, пирибутикарб и т.п.; гербициды типа триазина, например диметаметрин, симетрин и т.п.; гербициды типа триазола, например кафенстрол и т.п.; гербициды типа хинолина, например квинклорак и т.п.; гербициды типа изоксазола, например изоксафлутол и т.п.; гербициды типа дитиофосфата, например анилофос и т.п.; гербициды типа оксиацетамида, например мефенацет, флуфенацет и т.п.; гербициды типа тетразолинона, например фентразамид и т.п.; гербициды типа дикарбоксиимида, например пентоксазон и т.п.; гербициды типа триона, например сулкотрион бензобициклон и т.п.; гербициды типа феноксипропината, например цигалофоп-бутил и т.п.; гербициды типа бензойной кислоты, например пириминобак-метил и т.п.; гербициды типа дифенилового эфира, например хлометоксифен, оксифлуорфен и т.п.; гербициды типа пиридиндикарботиоата, например дитиопир и т.п.; гербициды феноксильного типа, например МСРА, МСРВ и т.п.; гербициды типа мочевины, например димрон, кумилурон и т.п.; гербициды типа нафталиндиона, например квинокламин и т.п.; гербициды типа изоксалидинона, например кломазон и т.п.; гербициды типа дифенилового эфира, например хлометоксифен, оксифлуорфен и т.п.; гербициды типа пиридиндикарботиоата, например дитиопир и т.п.; гербициды феноксильного типа, например МСРА, МСРВ и т.п.; гербициды типа мочевины, например димрон, кумилурон и т.п.; В дополнение к указанным выше гербицидам используются следующие гербициды, для которых приведены общепринятые названия, например ацетохлор, ацифлуорфен (-натрий), аклонифен, аллоксидим (-натрий), аметрин, амикарбазон, амидохлор, амидосульфурон, амитрол, асулам, атразин, азафенидин, бефлубутамид, беназолин (-этил), бентазон, бензфендизон, бензоилпроп (-этил), биалафос, бифенокс, биспирибак (-натрий), бромацил, бромобутид, бромофеноксим, бромоксинил, бутафенацил (-аллил), бутенахлор, бутралин, бутроксидим, бутилат, карбетамид, карфентразон (-этил), хлорамбен, хлоридазон, хлоримурон (-этил), хлорнитрофен, хлорсульфурон, хлортиамид, хлортолурон, цинидон (-этил), цинметилин, циносульфурон, клефоксидим, клетодим, клодинафоп (-пропаргил), клопиралид, клорансулам (-метил), цианазин, цибутрин, циклоат, циклоксидим, 2,4-D, 2,4-DB, десмедифам, диаллат, дикамба, дихлобенил, ди-хлорпроп (-Р), диклофоп (-метил), диклосулам, диэтатил (-этил), дифенопентен (-этил), дифензокват, дифлуфеникан, дифлуфензопир, дикегулак (-натрий), димефурон, димепиперат, диметахлор, диметенамид (-Р), димексифлам, динитрамин, дифенамид, дикват (-дибромид), диурон, эпроподан, ЕРТС, эспрокарб, эталфлуралин, этаметсульфурон (-метил), этиозин, этофумезат, этоксифен, феноксапроп (-Р-этил), флампроп (-М-изопропил, -М-метил), флазасульфурон, флорасулам, флуазифоп (-Р-бутил), флуазолат, флукарбазон (-натрий), флухлоралин, флуметсулам, флумиклорак (-пентил), флумиоксазин, флумипропин, флуометурон, флуохлоридон, флуогликофен (-этил), флупоксам, флупропацил, флурпирсульфурон (-метил, -натрий), флуоренол (-бутил), флу-ридон, флуроксипир (-буткосипропил, -метил), флурпримидол, флуртамон, флутиацет (-метил), фомезафен, форамсульфурон, глуфосинат (-аммоний), глифозат (-аммоний, -изопропиламмоний), галосафен, галоксифоп (-этоксиэтил, -Р-метил), гексазинон, имазаметабенз (-метил), имазаметапир, имазамокс, имазапик, имазапир, имазаквин, имазетапир, йодосульфурон (-метил, -натрий), иоксинил, изопропалин, изопротурон, изоурон, изоксабен, изоксахлортол, изоксадифен (-этил), изоксапирифоп, кетоспирадокс, лактофен, ленацил, линурон, мекопроп (-Р), мезотрион, метамирон, метазахлор, метабензтиазурон, метилдимрон, метобензурон, метобромурон, (S-) метолахлор, метосулам, метоксурон, метрибузин, метсульфурон (-метил), монолинурон, напроанилид, напропамид, небурон, никосульфурон, норфлуразон, орбенкарб, оризалин, оксадиаргил, оксадиазон, оксасульфурон, паракват, пеларгоновая кислота, пендиметалин, пендралин, пентоксамид, фенмедифам, пиколинафен, пиперофос, примисульфурон (-метил), профлуазол, профоксидим, прометрин, пропахлор, пропанил, пропаквизафоп, пропизохлор, пропоксикарбазон (-натрий), пропизамид, просульфокарб, просульфурон, пирафлуфен (-этил), пиразогил, пирибензоксим, пиридафол, пиридат, пиридатол, пирифталид, пиритиобак (-натрий), квинмерак, квизалофоп (-Р-этил, -Р-тефурил), римсульфурон, сетоксидим, симазин, сульфентразон, сульфометурон (-метил), сульфосат, сульфосульфурон, тебутам, тебутиурон, тепралоксидим, тербутилазин, тербутрин, тиазопир, тидиазимин, тифенсульфурон (-метил), тиокарбазил, тралкоксидим, триаллат, триасульфурон, трибенурон (-метил), триклопир, тридифан, трифлоксисульфурон, трифлуралин, трифлусульфурон (-метил), тритосульфурон. Указанные выше гербициды являются известными гербицидами, приведенными в работе “Pesticide Manual” 2000, которую опубликовал The British Crop Protect Coincil. Массовые соотношения групп активных веществ в смешанных композициям могут меняться в относительно широких пределах. Например, на мас.ч. (1) соединения формулы (I) используют от 0,2 до 14 мас.ч. гербицидов типа ацетамида, предпочтительно – от 0,66 до 5 мас.ч.; от 2 до 40 мас.ч. гербицидов типа амида, предпочтительно – от 3,96 до 16 мас.ч.; от 0,2 до 20 мас.ч. гербицидов типа бензофурана, предпочтительно – от 1,00 до 6 мас.ч.; от 0,2 до 8 мас.ч. гербицидов типа индандиона, предпочтительно – от 0,49 до 2 мас.ч.; от 0,06 до 4 мас.ч. гербицидов типа оксазинона, предпочтительно – от 0,20 до 0,8 мас.ч.; от 0,02 до 4 мас.ч. гербицидов типа сульфонилмочевины, предпочтительно – от 0,07 до 1,2 мас.ч.; от 1 до 100 мас.ч. гербицидов типа тиокарбамата, предпочтительно – от 2,47 до 40 мас.ч.; от 0,6 до 12 мас.ч. гербицидов типа триазина, предпочтительно – от 1,32 до 4,5 мас.ч.; от 0,1 до 8 мас.ч. гербицидов типа триазола, предпочтительно – от 0,33 до 3 мас.ч.; от 0,2 до 10 мас.ч. гербицидов типа дитиофосфата, предпочтительно – от 1,00 до 4 мас.ч.; от 0,2 до 50 мас.ч. гербицидов типа оксиацетамида, предпочтительно – от 1,00 до 12 мас.ч.; от 0,02 до 10 мас.ч. гербицидов типа тетразолинона, предпочтительно – от 0,17 до 3 мас.ч.; от 0,1 до 12 мас.ч. гербицидов типа дикарбоксиимида, предпочтительно – от 0,33 до 4,5 мас.ч.; от 0,2 до 12 мас.ч. гербицидов типа феноксипропината, предпочтительно – от 0,4 до 1,8 мас.ч.; от 0,6 до 20 мас.ч. гербицидов типа дифенилового эфира, предпочтительно – от 1,65 до 7,5 мас.ч.; от 0,02 до 14 мас.ч. гербицидов типа пиридиндикарботиоата, предпочтительно – от 0,20 до 5 мас.ч.; от 0,2 до 10 мас.ч. гербицидов феноксильного типа, предпочтительно – от 0,66 до 4 мас.ч.; и от 2 до 80 мас.ч. гербицидов типа мочевины, предпочтительно – от 4,95 до 25 мас.ч. Кроме того, активные соединения формулы (I), соответствующие настоящему изобретению, также можно смешать с детоксикантом, и их применение в качестве гербицидов избирательного действия можно расширить, понизив фитотоксичность и расширив спектр уничтожаемых сорняков за счет такого смешивания. В качестве примера детоксиканта можно указать следующие детоксиканты: AD-67, ВАЗ-145138, беноксакор, клоквинтоцет (-мексил), циометринил, 2,4-D, DKA-24, дихлормид, димрон, фенклорим, фенхлоразол (-этил), флуразол, флуксофеним, фурилазол, изоксадифен (-этил), МСРА, мекопроп (-Р), мефенпир (-диэтил), MG-191, ангидрид нафталинкарбоновой кислоты, оксабетринил, PPG-1292, R-29148. Указанные выше детоксиканты являются известными детоксикантами, приведенными в работе “Pesticide Manual” 2000, которую опубликовал The British Crop Protect Coincil. Массовые соотношения групп активных веществ в смешанных композициям могут меняться в относительно широких пределах. Например, на мас.ч. (1) соединения формулы (I) используют от 0,05 до 50 мас.ч. дихлормида, предпочтительно – от 0,1 до 10 мас.ч.; от 0,05 до 50 мас.ч. димрона, предпочтительно – от 0,1 до 10 мас.ч.; от 0,05 до 50 мас.ч. фенклорима, предпочтительно – от 0,1 до 10 мас.ч.; от 0,05 до 50 мас.ч. мефенпира(-диэтил), предпочтительно – от 0,1 до 10 мас.ч.; и от 0,05 до 50 мас.ч. ангидрида нафталинкарбоновой кислоты, предпочтительно – от 0,1 до 10 мас.ч. И, кроме того, указанные выше комбинации соединений формулы (I), соответствующих настоящему изобретению, и указанных выше гербицидов также можно смешать с указанными выше детоксикантами и их применение в качестве гербицидов избирательного действия можно расширить, понизив фитотоксичность и расширив спектр уничтожаемых сорняков путем прибавления детоксиканта и/или других гербицидов избирательного действия. Неожиданно было обнаружено, что для некоторых смешанных композиций, соответствующих настоящему изобретению, проявляются синергетические эффекты. В случае использования активных соединений формулы (I) и содержащих эти соединения смешанных композиций, соответствующих настоящему изобретению, их можно непосредственно использовать как таковые или использовать в виде составных форм, таких как готовые к применению растворы, эмульсии, таблетки, суспензии, порошки, пасты, гранулы, или использовать в виде форм, приготавливаемых путем последующего разбавления. Активные соединения, соответствующие настоящему изобретению, можно вносить, например, путем полива, разбрызгивания, распыления, внесения гранул и т.п. Активные соединения формулы (I) и содержащие эти соединения смешанные композиции, соответствующие настоящему изобретению, можно использовать на любых стадиях до и после начала роста растений. Их также можно вносить в почву до посева. Вносимое количество активных соединений формулы (I) и содержащих эти соединения смешанных композиций, соответствующих настоящему изобретению, может меняться в довольно широком диапазоне, и они принципиальным образом различаются в зависимости от природы необходимого эффекта. В случае использования в качестве гербицидов в качестве вносимого количества можно указать, например, диапазоны от примерно 0,01 до примерно 3 кг, предпочтительно – от примерно 0,05 до примерно 1 кг активных соединений на один гектар. Получение и использование соединений и содержащих эти соединения смешанных композиций, соответствующих настоящему изобретению, будет более подробно описано с помощью приведенных ниже примеров. Однако настоящее изобретение не будет каким-либо образом ограничиваться этими примерами. Пример синтеза 1 3-Оксо-1-циклогексенил-2-хлор-3-{[(1-этил-1Н-тетразол-5-ил)-тио]-метил}-4-метилсульфонилбензоат (0,83 г) растворяют в ацетонитриле (20 мл) и к этому прибавляют триэтиламин (0,35 г) и циангидрин ацетона (10 мг) и смесь 5 ч перемешивают при комнатной температуре. После отгонки растворителя смесь подкисляют путем прибавления разбавленной хлористоводородной кислоты и экстрагируют дихлорметаном (150 мл). Органический слой промывают насыщенным водным раствором хлорида натрия и сушат над безводным сульфатом магния. Дихлорметан отгоняют и получают искомый 2-{2-хлор-3-{[(1-этил-1Н-тетразол-5-ил)-тио]-метил}-4-метилсульфонилбензоил}-циклогексан-1,3-дион (0,75 г). Температура плавления (т.пл.): 67-71°С. Пример синтеза 2 К раствору 2-{2-хлор-4-метилсульфонил-3-{[(1-метил-1Н-тетразол-5-ил)-тио]-метил}-бензоил}-циклогексан-1,3-диона (1,0 г) в дихлорметане (100 мл) по каплям прибавляют оксалилхлорид (0,91 г) и 2 капли N,N-диметилформамида и смесь 3 ч кипятят с обратным холодильником. Остаток, полученный путем отгонки растворителя после завершения реакции, очищают хроматографией на колонке с силикагелем (элюент : этилацетат : гексан=7:3) и получают искомый 3-хлор-2-{2-хлор-4-метилсульфонил-3-{[(1-метил-1Н-тетразол-5-ил)-тио]-метил}-бензоил}-2-циклогексен-1-он (0,71 г). ИК-спектр (NaCl): 1662, 1310, 1279, 1150 см-1. Пример синтеза 3 3-Хлор-2-{2-хлор-4-метилсульфонил-3-{[(1-метил-1Н-тетразол-5-ил)-тио]-метил}-бензоил}-2-циклогексен-1-он (0,75 г) и тиофенол (0,19 г) растворяют в тетрагидрофуране (7 мл) и к этому при 5°С по каплям прибавляют раствор триэтиламина (0,19 г) в тетрагидрофуране (3 мл) и смесь 4 ч перемешивают при комнатной температуре. После завершения реакции к смеси прибавляют холодную воду, экстрагируют этилацетатом (50 мл) и сушат над безводным сульфатом магния. Остаток, полученный путем отгонки этилацетата, очищают хроматографией на колонке с силикагелем (элюент : этилацетат : гексан=7:3) и получают искомый 2-{2-хлор-4-метилсульфонил-3-{[(1-метил-1Н-тетразол-5-ил)-тио]-метил}-бензоил}-3-фенилтио-2-циклогексен-1-он (0,61 г). Т.пл.: 76-87°С. Соединения, полученные таким же образом, как и в приведенных выше Примерах синтеза 1-3, совместно с соединениями, синтезированными в Примерах синтеза 1-3, представлены в приведенных ниже таблицах 1-3. Примеры соединений в случае соединений формулы (I), соответствующих настоящему изобретению, представляемых формулой приведены в таблице 1, примеры соединений в случае, когда они представляются следующей формулой приведены в таблице 2, а примеры соединений в случае, когда они представляются следующей формулой приведены в таблице 3. В таблицах 1, 2 и 3 Q1a означает группу Q1b означает группу Q1c означает группу Q2 означает группу Q3a означает группу Q3b означает группу Q3c означает группу Q3d означает группу Q3e означает группу Q3f означает группу Q3g означает группу Q3h означает группу Q3i означает группу Q3j означает Q3k означает группу Q3l означает группу Q3m означает группу Q3n означает группу Q3o означает группу Q3p означает группу Q3q означает группу Q3r означает группу Q3s означает группу Q3t означает группу Q3u означает группу Q3v означает группу Q3w означает группу Q3x означает группу Q3y означает группу Q3z означает группу Q3za означает группу Q3zb означает группу Q3zc означает группу Q3zd означает группу Q4a означает группу Q4b означает группу Q4с означает группу Q4d означает группу Q5a означает группу Q5b означает группу Q5c означает группу Q5d означает группу Q5e означает группу Q5f означает группу Q6a означает группу Q6b означает группу Q7 означает группу Me означает метил, Et означает этил, n-Pr означает н-пропил, i-Pr означает изопропил, n-Bu означает н-бутил, t-Bu означает трет-бутил, n-Hex означает н-гексил, OMe означает метоксил, OEt означает этоксил, SMe означает метилтиоил, SEt означает этилтиоил, SO2Me означает метилсульфонил, SO2Et означает этилсульфонил, SO2n-Pr означает н-пропилсульфонил, OSO2Ме означает метилсульфонилоксил, OSO2Et означает этилсульфонилоксил и Ph означает фенил. Пример синтеза 4 2-Хлор-3-{[(1-этил-1Н-тетразол-5-ил)-тио]-метил}-4-метилсульфонилбензойную кислоту (0,77 г) и тионилхлорид (0,49 г) прибавляют к 1,2-дихлорметану (30 мл) и после прибавления 2 капель N,N-диметилформамида смесь 3 ч кипятят с обратным холодильником. После охлаждения остаток, полученный путем отгонки растворителя, растворяют в дихлорметане (10 мл) и смесь по каплям прибавляют к раствору 1,3-циклогександиона (0,28 г) и триэтиламина (0,28 г) в дихлорметане (10 мл) при 5°С и 6 ч перемешивают при комнатной температуре. Затем реакционную смесь экстрагируют дихлорметаном (100 мл), промывают разбавленной хлористоводородной кислотой и водным раствором гидрокарбоната натрия и сушат над безводным сульфатом магния. Остаток, полученный путем отгонки дихлорметана, очищают хроматографией на колонке с силикагелем (элюент: этилацетат:гексан=3:7) и получают искомый 3-оксо-1-циклогексенил-2-хлор-3-{[(1-этил-1Н-тетразол-5-ил)-тио]-метил}-4-метилсульфонилбензоат (0,83 г). Т.пл.: 122-123°С. Пример синтеза 5 К раствору метил-2-хлор-3-{[(1-этил-1Н-тетразол-5-ил)-тио]-метил}-4-метилсульфонилбензоата (0,83 г) в диоксане (15 мл) прибавляют 10 н. водный раствор гидроксида натрия (1,0 мл) и воду (2 мл) и смесь 3 ч перемешивают при комнатной температуре. Прибавляют воду (30 мл). Затем, после концентрирования при пониженном давлении, к концентрату прибавляют 10 н. водный раствор гидроксида натрия (1,0 мл) и концентрат промывают этилацетатом (100 мл). Водный слой подкисляют хлористоводородной кислотой и экстрагируют этилацетатом. Органический слой промывают насыщенным водным раствором хлорида натрия и сушат над безводным сульфатом магния. Этилацетат отгоняют и получают искомую 2-хлор-3-{[(1-этил-1Н-тетразол-5-ил)-тио]-метил}-4-метилсульфонилбензойную кислоту (0,80 г). Т.пл.: 193-195°С. Пример синтеза 6 1-Этил-5-меркаптотетразол (0,31 г) и метил-3-бромметил-2-хлор-4-метилсульфонилбензоат (0,80 г) суспендируют в ацетонитриле (20 мл) и после прибавления карбоната калия (0,32 г) суспензию 3 ч кипятят с обратным холодильником. После прибавления холодной воды после завершения реакции смесь экстрагируют этилацетатом (100 мл) и сушат над безводным сульфатом магния. Остаток, полученный путем отгонки этилацетата, перекристаллизовывают из смеси дихлорметан-гексан и получают искомый 2-хлор-3-{[(1-этил-1Н-тетразол-5-ил)-тио]-метил}-4-метилсульфонилбензоат (0,88 г). Т.пл.: 109-110°С. Пример исследования 1: Исследование гербицидного воздействия на сорняки рисового поля Приготовление композиции активного соединения Носитель: ацетон, 5 мас.ч. Эмульгатор: бензилоксиполигликолевый простой эфир, 1 мас.ч. Композицию активного вещества получают в виде эмульсии путем смешивания 1 мас.ч. активного соединения с указанными выше количествами носителя и эмульгатора. Предписанное количество композиции разбавляют водой. Способ исследования В парнике 3 сеянца риса-падди (сорт: Nipponbare) на стадии 2,5 листьев (высота 15 см) сажают в горшок площадью 500 см2, заполненный почвой затопляемого рисового поля. Затем сажают семена или клубни мелкоцветкового камыша, монохории, широколиственных сорняков (Lindernia pyridaria, роталы индийской, Elatine triandra, Dopatrium junceum Hamilt и др.) и Japanese ribbon wapato и заливают слоем воды глубиной примерно 2-3 см. Через 5 дней после посадки риса на поверхность воды наносят композицию каждого активного соединения, приготовленную в соответствии с указанным выше способом приготовления. Гербицидный эффект изучают через 3 недели после обработки и в течение этого периода глубину воды поддерживают равной 3 см. Гербицидный эффект считают равным 100% в случае полного исчезновения и 0% в случае отсутствия гербицидного эффекта. Обнаружено, что соединения №II-18, II-117, II-122, II-131, II-194, II-212 и III-71 при внесении в количестве 0,25 кг/га обладают по отношению к сорнякам риса-падди гербицидным эффектом, составляющим более 90%, и являются безопасными для сеянцев риса-падди. Пример исследования 2: Довсходовая обработка почвы против полевых сорняков Способ исследования В парнике поверхностный слой горшка площадью 120 см2 заполняют полевой почвой, а затем в нее высевают семена куриного проса, лисохвоста, амаранта обыкновенного и гореца и покрывают почвой. На поверхностный слой почвы каждого горшка равномерно наносят предписанное количество химикатов, приготовленных таким же образом, как и в приведенном выше Примере исследования 1. Гербицидный эффект изучают через 4 недели после обработки. Результаты: Обнаружено, что соединения №II-117, II-122 и II-194 при внесении в количестве 2,0 кг/га обладают по отношению к исследуемым сорнякам (куриному просу, лисохвосту, амаранту обыкновенному и горецу) гербицидным воздействием, составляющим более 90%. Пример исследования 3: Послевсходовая обработка листьев против полевых сорняков Способ исследования В парнике в горшки площадью 120 см2, заполненные полевой почвой, высевают семена куриного проса, лисохвоста, амаранта обыкновенного и гореца и покрывают почвой. Через 10 дней после посева и покрытия почвой (сорняки в среднем находятся в стадии 2 листьев) на листья исследуемых растений каждого испытательного горшка равномерно наносят предписанное количество химикатов, приготовленных таким же образом, как и в приведенном выше Примере исследования 1. Гербицидный эффект изучают через 3 недели после обработки. Обнаружено, что соединения №II-18, II-117, II-122, II-131, II-194, II-212 и II-276 при внесении в количестве 2,0 кг/га обладают по отношению к куриному просу, лисохвосту, амаранту обыкновенному и горецу гербицидным эффектом, составляющим более 90%. Пример исследования 4: Исследование синергетического эффекта при нанесении путем опрыскивания листьев Приготовление исследуемого раствора Носитель: ацетон, 5 мас.ч. Эмульгатор: бензилоксиполигликолевый простой эфир, 1 мас.ч. Одну часть активного соединения и указанные выше количества носителя и эмульгатора смешивают для получения композиции активного вещества в виде эмульсии. Для получения исследуемых растворов предписанное количество этой композиции разбавляют водой. Способ исследования В парнике почву затопляемого рисового поля помещают в горшки (250 см2) и в поверхностный слой почвы, находящейся в горшке во влажном состоянии, высевают семена сорняков (куриного проса, камыша, монохории и Lindernia pyridaria) и закрывают их почвой. Все виды сорняков высевают в каждый горшок по отдельности. Все горшки заливают слоем воды глубиной 2 см. После того как сорняки вырастают до стадии 1,5-2,2 листа (или двух листьев), после спуска воды из горшков на сорняки, находящиеся в горшках, путем разбрызгивания на листья наносят заранее заданное количество соединения в виде исследуемого раствора, приготовленного так, как указано выше. Через один день после нанесения горшки повторно заливают слоем воды глубиной 2 см. Гербицидный эффект изучают через 4 недели после нанесения по шкале от 0 (отсутствие активности) до 100 (полное исчезновение). Результаты исследований для Примера исследования 4 приведены в таблице 4. Пример исследования 5: Исследование синергетического эффекта при нанесении на поверхность воды. Способ исследования В парнике в горшки (250 см2) помещают почву затопляемого рисового поля и в поверхностный слой почвы, находящейся в горшке во влажном состоянии, высевают семена сорняков (куриного проса, камыша, монохории, Lmdernia pyridaria, роталы индийской, Elatine triandra и сыти) и закрывают их почвой. Все виды сорняков высевают в каждый горшок по отдельности. Все горшки заливают слоем воды глубиной 2 см и эту глубину поддерживают в течение всего периода исследования. После того как сорняки вырастают до стадии 1,5-2,2 листа (или двух листьев), способом обработки поверхности воды в горшки вносят заранее заданное количество соединения в виде исследуемого раствора, приготовленного так, как указано в приведенном выше Примере исследования 4. Гербицидный эффект изучают через 4 недели после внесения по такой же шкале, как и в способе исследования, описанном в Примере исследования 4. Результаты исследований для Примера исследования 5 приведены в таблице 5. Синергетическое воздействие для Примера исследования 4 и Примера исследования 5 оценивают с помощью уравнения Колби. Колби: Е=Х+{Y×(100-Х)]/100 Е: ожидаемая гербицидная активность при (р+q) г/га, X: гербицидная активность в % при р г/га, Y: гербицидная активность в % при q г/га. В таблице 4 и таблице 5 использованы следующие аббревиатуры: CYPSE означает Cyperus serotinus (сыть) ECHSS означает Echinochloa spp. (куриное просо) ELTPP означает Elatine triandra (повойничек трехлепестковый) LIDPY означает Lindernia pyridaria MOOVP означает Monochoria vaginalis (монохория влагалищная) ROTIN означает Rotala indica (ротала индийская) Соединения (1) в таблице 4 и таблице 5 обозначены с помощью номеров соединений, использованных ранее в таблицах 1, 2 и 3. В таблице 4 и таблице 5 другие известные гербициды обозначены прописными буквами в соответствии с приведенным ниже перечнем: А: 4-(2-хлорфенил)-N-циклогексил-N-этил-4,5-дигидро-5-оксо-1Н-тетразол-1-карбоксамид (фентразамид), В: 3′,4′-дихлорпропионанилид (пропанил), С: N,N-диэтил-3-мезитилсульфонил-1Н-1,2,4-триазол-1-карбоксамид (кафенстрол), D: 3-[1-(3,5-дихлорфенил)-1-метилэтил]-2,3-дигидро-6-метил-5-фенил-4Н-1,3-оксазин-4-он (оксазикломефон), Е: 2-хлор-2′,6;-диэтил-N-(2-пропоксиэтил)-ацетамид (претилахлор), F: 2-(1,3-бензотиазол-2-илокси)-N-метилацетанилид (мефенацет), G: (RS)-2-[2-(3-хлорфенил)-2,3-эпоксипропил]-2-этилиндан-1,3-дион (инданофан).
Пример исследования 6: Исследование детоксифицирующего воздействия на рис при нанесении на поверхность воды Способ исследования В парнике в горшки (1000 см2) помещают почву затопляемого рисового поля и в поверхностный слой почвы, находящейся в горшке во влажном состоянии, высевают семена риса (сорта Nipponbare). Через 7 дней после посева на стадии одного листа сеянцев рсса горшки заливают слоем воды глубиной 3 см и эту глубину поддерживают в течение всего периода исследования. Когда на 9-й день после посева сеянцы риса вырастают до стадии 1,5 листьев, способом обработки поверхности воды в горшки вносят заранее заданное количество соединения в виде исследуемого раствора, приготовленного так, как указано в приведенном выше Примере исследования 4. Фитотоксичность по отношению к сеянцам риса оценивают через 3 недели после внесения по шкале от 0 (отсутствие повреждений) до 100 (полное уничтожение). Результаты исследований для Примера исследования 6 приведены в таблице 6. Деткосифицирующее воздействие для Примера исследования 6 оценивают с помощью уравнения Колби. Колби: Е=Х+[Y×(100-Х)]/100 Е: ожидаемая фитотоксичность при (р+q) г/га, X: ожидаемая фитотоксичность при р г/га, Y: ожидаемая фитотоксичность при q г/га. Соединения (1) в таблице 6 обозначены с помощью номеров соединений, использованных ранее в таблицах 1, 2 и 3. В таблице 6 известные детоксиканты обозначены строчными буквами в соответствии с приведенным ниже перечнем: а: N,N-диаллил-2,2-дихлорацетамид (дихлормид), b: 4,6-дихлор-2-фенилпиримидин (фенклорин), с: диэтил-(RS)-1-(2,4-дихлорфенил)-5-метил-2-пиразолин-3,5-дикарбоксилат (мефенпир-диэтил), d: N-(4-метилфенил)-N’-(1-метил-1-фенилэтил)-мочевина (димрон), е: 2-(дихлорацетил)-2,2,5-триметилоксазолидин (R-29148), f: 1Н,3Н-нафто[1,8-cd]пиран-1,3-дион (ангидрид нафталинкарбоновой кислоты).
Пример композиции 1 (гранулы) К смеси соединения № II-18, соответствующего настоящему изобретению (2,5 ч.), бентонита (монтмориллонита) (30 ч.), талька (65,5 ч.) и лигнилсульфонатной соли (2 ч.) прибавляют воду (25 ч.). Смесь тщательно перемешивают и с помощью экструзионного гранулятора формуют гранулы размера 10-40 меш и для получения гранул сушат при 40-50°С. Пример композиции 2 (гранулы) Измельченную глину с размером частиц 0,2-2 мм (95 ч.) помещают в ротационный смеситель. Во время его работы в смеситель разбрызгивают соединение № II-117, соответствующее настоящему изобретению (5 ч.), совместно с жидким разбавителем, обеспечивая равномерное смачивание и для получения гранул сушат при 40-50°С. Пример композиции 3 (эмульгируемый концентрат) Соединение № II-122, соответствующее настоящему изобретению (30 ч.), ксилол (5 ч.), полиоксиэтиленалкилфениловый простой эфир (8 ч.) и алкилбензолсульфонат кальция (7 ч.) смешивают и перемешивают до образования эмульсии. Пример композиции 4 (смачивающийся порошок) Соединение № II-194, соответствующее настоящему изобретению (15 ч.), смесь “белой сажи” (тонкоизмельченный порошкообразный водный аморфный оксид кремния) и порошкообразной глины (1:5) (80 ч.), алкилбензолсульфонат натрия (2 ч.) и сополимер алкилнафталинсульфоната натрия с формалином (3 ч.) перемешивают в порошкообразном виде и превращают в смачивающийся порошок. Пример композиции 5 (диспергирующиеся в воде гранулы) Соединение № II-18, соответствующее настоящему изобретению (20 ч.), лигнинсульфонат натрия (30 ч.), бентонит (15 ч.) и прокаленную порошкообразную диатомовую землю (35 ч.) тщательно перемешивают, прибавляют воду, экструдируют с использованием сита с размером ячеек 0,3 мм и сушат, получая диспергирующиеся в воде гранулы.
Формула изобретения
1. Производное тетразола общей формулы (I) где R1 независимо означает галоген, метил, метоксил, С1-3-алкилсульфонил, нитро- или цианогруппу; R2 означает C1-6-алкил, С3-6-циклоалкил, С1-4-галогеналкил или С2-6-алкенил; m равно 0, 1 или 2, при этом в случае m равно 2, два заместителя R1 могут быть одинаковыми или разными; n равно 1 или 2; Q означает одну из следующих групп где R3, R4, R5, R6, R7 и R8 означают водород; где R4, R5, R6 и R7 означают водород; где R3, R4, R5, R6, R7 и R8 означают водород, а R9 означает водород, галоген или C1-4-алкил; k означает 1; или где R3, R4, R5, R6, R7 и R8 означают водород, a R11 означает галоген. 2. Производное тетразола общей формулы (I) по п.1, отличающееся тем, что R1 означает фтор, хлор, бром, метил, метоксил, метилсульфонил, этил-сульфонил, нитро- или цианогруппу; R2 означает С1-3-алкил, циклопропил, С1-3-галогеналкил или С2-4-алкенил; m равно 1 или 2, при этом в случае m равно 2, два заместителя R1 могут быть одинаковыми или разными; n равно 1 или 2, Q означает одну из следующих групп: где R3, R4, R5, R6, R7 и R8 означают водород; где R4, R5, R6 и R7 означают водород; где R3, R4, R5, R6, R7 и R8 означают водород, а R9 означает водород, фтор, хлор, метил или этил; или где R3, R4, R5, R6, R7 и R8 означают водород, а R11 означает хлор или бром. 3. Производное тетразола общей формулы (I) по п.1, отличающееся тем, что R1 означает хлор, бром, метил или метилсульфонил; R2 означает метил, этил, н-пропил, изопропил или циклопропил; m равно 2 и в этом случае два заместителя R1 связаны соответственно с положением 2 и с положением 4 бензольного цикла и эти два заместителя R1 могут быть одинаковыми или разными; n равно 1; группа связана с положением 3 бензольного цикла, и Q означает одну из следующих групп или 4. Гербицидная композиция, отличающаяся тем, что она, по меньшей мере, содержит одно соединение по п.1. 5. Гербицидная композиция по п.4, отличающаяся тем, что она дополнительно содержит, по меньшей мере, один известный гербицидно-активный компонент, выбранный из группы, включающей фентразамид, пропанил, кафенстрол, оксазикломефон, претилахлор, мефенацет и инданофан. 6. Гербицидная композиция по п.4, отличающаяся тем, что она дополнительно содержит, по меньшей мере, один антидот, выбранный из группы, включающей дихлормид, димрон, фенклорин, мефенпир-диэтил и R-29148. 7. Соединение формулы (X) где R1, R2, тип являются такими, как определено в п.1; W означает гидроксил, С1-4-алкоксил или группу
MM4A – Досрочное прекращение действия патента СССР или патента Российской Федерации на изобретение из-за неуплаты в установленный срок пошлины за поддержание патента в силе
Дата прекращения действия патента: 26.06.2008
Извещение опубликовано: 20.07.2010 БИ: 20/2010
|
||||||||||||||||||||||||||||||||||||||||||||||||||||||||||||||||||||||||||||||||||||||||||||||||||||||||||||||||||||||||||||||||||||||||||||||||||||||||||||||||||||||||||||||||||||||||||||||||||||||||||||||||||||||||||||||||||||||||||||||||||||||||||||||||||||||||||||||||||||||||||||||||||||||||||||||






























































































































