|
|
(21), (22) Заявка: 2003121233/09, 13.12.2001
(24) Дата начала отсчета срока действия патента:
13.12.2001
(30) Конвенционный приоритет:
14.12.2000 US 09/738,586
(43) Дата публикации заявки: 10.01.2005
(45) Опубликовано: 10.05.2006
(56) Список документов, цитированных в отчете о поиске:
RU 2142197 C1, 27.11.1999. RU 2138910 C1, 27.09.1999. WO 99/65182 A1, 16.12. 1999. US 5214687 A, 25.05.1993.
(85) Дата перевода заявки PCT на национальную фазу:
14.07.2003
(86) Заявка PCT:
US 01/47758 (13.12.2001)
(87) Публикация PCT:
WO 02/49221 (20.06.2002)
Адрес для переписки:
129010, Москва, ул. Б. Спасская, 25, стр.3, ООО “Юридическая фирма Городисский и Партнеры”, пат.пов. Ю.Д.Кузнецову, рег.№ 595
|
(72) Автор(ы):
МОНТОХО Хуан (US), СИНДХУШАЯНА Нагабхушана (US), БЛЭК Питер (US)
(73) Патентообладатель(и):
КВЭЛКОММ ИНКОРПОРЕЙТЕД (US)
|
(54) СПОСОБ И УСТРОЙСТВО ДЛЯ ИЗМЕРЕНИЯ КАЧЕСТВА ФОРМЫ СИГНАЛА
(57) Реферат:
Изобретение относится к способу и устройству измерения качества формы сигнала. Сущность изобретения заключается в том, что реальный сигнал, представляющий собой форму сигнала, разделенную на отдельные каналы по времени и по кодам, вырабатывается, например, с помощью образцовой системы связи высокоскоростной передачи данных. Контрольно-измерительная аппаратура вырабатывает идеальную форму сигнала, соответствующую реальной форме сигнала. Эта аппаратура вырабатывает оценку сдвигов между параметрами реальной формы сигнала и идеальной формы сигнала, затем производит оценку различных измерений качества формы сигнала с использованием измерений качества компенсированной реальной формы сигнала. Приведены примеры обработки реальной формы сигнала и соответствующей идеальной формы сигнала с помощью контрольно-измерительной аппаратуры. Раскрытые способ и устройства можно использовать с любой формой сигнала, разделенного на каналы по времени и по кодам, независимо от аппаратуры, которая вырабатывает форму сигнала. Технический результат – обеспечить повышение точности измерения качества формы сигналов, которые разделены на каналы во временной области и кодовой области. 3 н. и 52 з.п. ф-лы, 3 ил.
Область техники
Настоящее изобретение относится к обеспечению качества. Более конкретно, настоящее изобретение относится к способу и устройству для измерения качества формы сигнала.
Предшествующий уровень техники
За последние годы были разработаны системы связи, позволяющие передавать сигналы от станции источника сообщения к отличающейся по существу станции назначения. При передаче сигнала от станции источника сообщения по линии связи сигналу вначале придается форма, обеспечивающая эффективную передачу по линии связи. Используемая линия связи содержит среды, по которым передается сигнал. Преобразование или модуляция сигнала включает в себя изменение параметра несущей сигнала в соответствии с сигналом таким способом, чтобы спектр полученной в результате модулированной несущей ограничивался в пределах ширины полосы пропускания линии связи. В станции назначения первоначальный сигнал воспроизводится из версии модулированной несущей, принятой по линии связи. Такое воспроизведение достигается, в общем, с использованием обратимого процесса модуляции, используемого станцией источника сообщения.
Модуляция также облегчает множественный доступ, то есть одновременную передачу и/или прием нескольких сигналов по общей линии связи. Системы связи с множественным доступом часто включают в себя множество удаленных абонентских модулей, требующих периодического обслуживания с относительно короткой продолжительностью, а не непрерывный доступ к общей линии связи. В технике известно несколько методов многостанционного или множественного доступа, таких как множественный доступ с временным разделением каналов (TDMA), множественный доступ с частотным разделением каналов (FDMA) и амплитудная модуляция (АМ). Другим типом метода множественного доступа является множественный доступ с кодовым разделением каналов (CDMA) в системе с расширением спектра, которая соответствует “Стандарту совместимости “мобильная станция – базовая станция” TIA/BIA/IS-95 для двухрежимной широкополосной сотовой системы с расширением спектра”, который в дальнейшем упоминается как стандарт IS-95. Применение методов CDMA в системе связи с множественным доступом раскрыто в патенте США № 4901307 “Система связи с множественным доступом и расширением спектра, использующая спутниковые или наземные ретрансляторы” и в патенте США № 5103459 “Система и способ получения форм сигналов в сотовой телефонной системе CDMA”, каждая из которых принадлежит авторам настоящего изобретения и включена в настоящее описание в качестве ссылки.
На фиг. 1 изображена идеальная форма сигнала 100 варианта осуществления системы связи с кодовым разделением в соответствии со стандартом IS-95. В этом документе форма сигнала служит для проявления, представления или визуализации сигнала, импульса или перехода. Идеализированная форма сигнала 100 содержит параллельные каналы 102, которые отличаются друг от друга кодом покрытия. Код покрытия в системе связи согласно стандарту IS-95 содержит коды Уолша. Идеальная форма сигнала 100 затем подвергается квадратурному расширению по спектру, фильтрации в основной полосе частот и преобразованию с повышением частоты относительно несущей частоты. Результирующая модулированная форма сигнала 100, выражается как:

где с – номинальная частота несущей формы сигнала, i – индекс суммирования кодовых каналов, Ri(t) – комплексная огибающая идеального i-го кодового канала.
Аппаратура, например передатчик системы связи с кодовым разделением, вырабатывает действительную форму сигнала x(t), которая отличается от идеальной формы сигнала. Такая действительная форма сигнала x(t) выражается как:

где bi – амплитуда идеальной формы сигнала по отношению к идеальной форме сигнала для i-го кодового канала, i – смещение по времени идеальной формы сигнала по отношению к идеальной форме сигнала для i-го кодового канала,  – смещение круговой частоты сигнала, i – сдвиг по фазе идеальной формы сигнала относительно идеальной формы сигнала для i-го кодового канала, Ei(t) – комплексная огибающая ошибки (отклонение от идеальной) действительного сигнала передачи для i-го кодового канала.
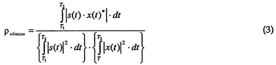
Разность между идеальной формой сигнала s(t) и действительной формой сигнала x(t) измеряется в виде допустимого отклонения частоты, допустимого отклонения по времени пилот-сигнала и совместимости по форме сигнала. Один из способов выполнения такого измерения заключается в том, чтобы определить точность модуляции, которая определяется как доля мощности действительной формы сигнала x(t), которая коррелирует с идеальной формой сигнала s(t), когда в передатчике модуляция производится с помощью кодовых каналов. Точность модуляции выражается в виде:

где T1 – начало периода интеграции, T2 – конец периода интеграции.
Для систем дискретного времени, где s(t) и x(t) являются дискретными сигналами в точках tk идеальной дискретизации, уравнение (3) можно записать в виде

где Xk = x[k] = x(tk) – k-я дискрета действительной формы сигнала, Sk = s[k] = s(tk) – соответствующая k-я дискрета идеальной формы сигнала.
Система связи с множественным доступом позволяет передавать голосовые сигналы и/или данные. Примером системы связи, передающей голосовые сигналы и данные, является система, соответствующая стандарту IS-95, которая точно определяет передачу голосового сигнала и данных по линии связи. Способ передачи данных во фреймах кодового канала установленного размера подробно описан в патенте США № 5504773 “Способ и устройство для форматирования данных для передачи”, который принадлежит авторам настоящего изобретения и включен в настоящее описание в качестве ссылки. В соответствии со стандартом IS-95, данные или голосовые сигналы разбиваются на фреймы кодового канала с длительностью по 20 миллисекунд со скоростями передачи данных до 14,4 кбит/с. Дополнительные примеры систем связи, передающих голосовые сигналы и данные, содержат системы связи, соответствующие “Совместному проекту 3-го поколения” (3GPP), воплощенному в наборе документов, включающих в себя документы № 3G TS 25.211, 3G TS 25.212, 3G TS 25.213 и 3G TS 25.214 (стандарт Ш-МДРК) или “Стандарт физического уровня TR-45.5 для систем с расширением спектра МДРК-2000” (стандарт IS-2000). Такие системы связи используют форму сигнала, подобную той, которая была описана выше.
В последнее время разработана система связи, предназначенная только для передачи данных с высокой скоростью (ВСПД (HDR)). Такая система связи раскрыта в находящейся на рассмотрении заявке № 08/963386 “Способ и устройство для передачи пакетных данных с высокой скоростью” от 11.03.1997, которая принадлежит авторам настоящего изобретения и включена в описание в качестве ссылки. Система связи ВСПД определяет набор скоростей передачи данных в диапазоне от 38,4 кбит/с до 2,4 Мбит/с, с которыми вызывающий терминал (точка доступа, АР) может посылать пакеты данных в приемный терминал (терминал доступа, ТД (АТ)). В системе ВСПД используется форма сигнала с каналами, которые отличаются во временной области и кодовой области.
На фиг. 2 изображена такая форма сигнала 200, смоделированная на основе формы сигнала прямой линии связи вышеупомянутой системы ВСПД. Форма сигнала 200 определяется на основе фреймов 202. (На фиг. 2 показаны только фреймы 202a, 202b, 202c.) Согласно одному из вариантов осуществления, фрейм содержит 16 временных слотов 204, причем каждый временной слот 204 имеет длину 2048 чипов (“элементарных сигналов”), соответствующих длительности слота 1,67 миллисекунды и, следовательно, длительности фрейма 26,67 мс. Каждый слот 204 разделен на два полуслота 204a, 204b, при этом пилот-пакеты 206a, 206b передаются в пределах каждого полуслота 204a, 204b. Согласно одному из вариантов осуществления, каждый пилот-пакет 206a, 206b имеет длину 96 чипов и сосредоточен в середине своего связанного полуслота 204a, 204b. Пилот-пакеты 206a, 206b содержат сигнал пилот-канала, защищенный покрытием Уолша с индексом 0. Пилот-канал используется в целях синхронизации. Прямой канал 208 управления доступом к среде (УДС (MAC)) формирует два пакета 208a и два пакета 208b, каждый из которых имеет длину 64 чипа. Пакеты 208a, 208b УДС передаются непосредственно перед передачей пилот-пакетов 206a, 206b каждого слота 204 и после их передачи. Согласно одному из вариантов осуществления, УДС состоит из вплоть до 63 кодовых каналов, которые ортогонально защищены 64-ричными кодами Уолша. Каждый кодовый канал идентифицируют с помощью индекса УДС, который имеет значение между 0 и 63 и идентифицирует уникальное 64-ричное покрытие Уолша. Индексы прямого канала управления доступа к среде УДС 0 и 1 резервируют. Обратный канал управления мощностью (КУМ (RFC)) используется для регулировки мощности сигналов обратной линии связи для каждой абонентской станции. Обратный канал управления мощностью КУМ назначается одному из имеющихся УДС с индексом УДС 5-63. УДС с индексом УДС 4 используется для канала обратной активности (ОА (RA)), который выполняет управление потоком по обратному каналу трафика. Канал трафика прямой линии связи и полезная нагрузка канала управления посылаются в оставшихся частях 210a первого полуслота 204a и в оставшихся частях 210b второго полуслота 204b. Прямой канал трафика и данные канала управления кодируют, скремблируют и перемежают. По мере необходимости данные с чередованием модулируют, повторяют и перфорируют. Затем результирующие последовательности символов модуляции демультиплексируют для того, чтобы сформировать 16 пар (синфазных и со сдвигом по фазе на 90°) параллельных потоков. Каждый из параллельных потоков закрывают отдельным 16-ричным покрытием Уолша, вырабатывая различимый по кодам канал 212.
Идеальную форму сигнала 200 затем квадратурно расширяют по спектру, фильтруют в основной полосе частот и преобразовывают с повышением частоты на частоте несущей. Полученная в результате модулированная форма сигнала 200 выражается в виде:

где с – номинальная частота несущей формы сигнала, i(t) – индекс кодовых каналов. Индекс зависит от времени, так как число кодовых каналов изменяется во времени, и Ri(t) – комплексная огибающая идеального i-го кодового канала, представленного в виде:

где ai – амплитуда i-го кодового канала, g(t) – единичная импульсная характеристика фильтра при передаче в основной полосе частот, i,k – фаза k-го чипа для i-го кодового канала, имеющего место в дискретный период времени tk = kTc, Tc – продолжительность чипа.
Передатчик системы связи ВСПД вырабатывает действительную форму сигнала x(t), представленного в виде:

где bi – амплитуда идеальной формы сигнала относительно идеальной формы сигнала для i-го кодового канала, i – временной сдвиг идеальной формы сигнала относительно идеальной формы сигнала для i-го кодового канала,  – сдвиг круговой частоты сигнала, i – фазовый сдвиг идеальной формы сигнала относительно идеальной формы сигнала для i-го кодового канала, Ei(t) – комплексная огибающая ошибки (отклонение от идеальной формы сигнала) фактического сигнала передачи для i-го кодового канала.
Исходя из комплексной временной области и разделения каналов в кодовой области формы сигнала 200, способы измерения качества формы сигнала, основанные на формировании каналов в кодовой области, являются непригодными. Следовательно, в технике имеется потребность в способе и устройстве для измерения качества формы сигнала для форм сигнала, которые разделены на каналы во временной области и кодовой области.
Раскрытие изобретения
В основу настоящего изобретения поставлена задача разработки новых способа и устройства для измерения качества формы сигнала. В соответствии со способом вырабатывают реальный сигнал, представляющий собой форму сигнала, разделенную на каналы во временной области и кодовой области. Такую действительную форму сигнала можно выработать, например, с помощью системы связи. Контрольно-измерительная аппаратура вырабатывает идеальную форму сигнала, соответствующую действительной форме сигнала. Контрольно-измерительная аппаратура затем вырабатывает критерии оценки смещений между параметрами действительной формы сигнала и идеальной формы сигнала и использует смещения для компенсации действительной формы сигнала. В одном из вариантов осуществления производится оценка полной точности модуляции в соответствии с компенсированной идеальной формой сигнала и идеальной формой сигнала.
В другом варианте осуществления оценена точность модуляции для конкретного канала с разделением по времени формы сигнала. Компенсированная действительная форма сигнала обрабатывается для реализации конкретного канала с разделением по времени. Согласно одному из вариантов выполнения, этап обработки включает в себя назначение компенсированного действительного сигнала, значение которого отлично от нуля в интервалах, где в другом месте конкретный канал с разделением по времени определен и отличен от нуля. Согласно еще одному варианту выполнения, этап обработки включает в себя умножение компенсированной действительной формы сигнала на функцию со значением, которое отлично от нуля в интервалах, где конкретный канал с разделением по времени определен, и в других случаях равен нулю. В одном варианте выполнения идеальную форму сигнала обрабатывают тем же самым способом. В другом варианте выполнения сразу вырабатывают идеальную форму сигнала, содержащую конкретный канал с разделением по времени. Точность модуляции для конкретного канала с разделением по времени оценивают в соответствии с обработанной компенсированной действительной формой сигнала и обработанной идеальной формой сигнала.
В другом варианте осуществления произведена оценка коэффициентов мощности кодовой области для конкретного кодового канала. Конкретный канал с разделением по времени, который содержит конкретный кодовый канал, с компенсированной действительной формой сигнала получен в соответствии с вышеописанными способами. В одной реализации идеальную форму сигнала обрабатывают тем же самым способом. В другой реализации сразу вырабатывают идеальную форму сигнала, содержащую конкретный кодовый канал конкретного канала с разделением по времени. Точность модуляции для конкретного канала с разделением по времени оценивается в соответствии с обработанной компенсированной действительной формой сигнала и обработанной идеальной формой сигнала.
Краткое описание чертежей
Особенности, задачи и преимущества настоящего изобретения в дальнейшем поясняются описанием вариантов его осуществления со ссылками на фигуры сопровождающих чертежей, в числе которых:
фиг. 1 изображает идеализированную форму сигнала системы связи с кодовым разделением;
фиг. 2 изображает идеализированную форму сигнала системы связи высокоскоростной передачи данных (ВСПД) и
фиг. 3 изображает концепцию устройства с возможностью реализации измерения качества формы сигнала в соответствии с принципами настоящего изобретения.
Подробное описание предпочтительных вариантов осуществления
На фиг. 3 изображена концепция устройства с возможностью реализации измерения качества формы сигнала для форм сигнала, разделенных на каналы во временной области и в кодовой области, таких как образцовая форма сигнала 200 (фиг. 2).
В одном варианте осуществления реальный сигнал x(t) (представляющий собой форму сигнала 200, показанную на фиг. 2) вводится в блок 302 компенсации. Блок 302 компенсации также позволяет оценивать смещения действительной формы сигнала x(t) по отношению к идеальной форме сигнала s(t), поступающего из блока 304 оптимизации. Блок 302 компенсации использует оценки смещения для получения компенсированной формы сигнала y(t). Компенсированная форма сигнала y(t) подается в блок 306 преобразования с понижением частоты. Сигнал, преобразованный с понижением частоты, затем подается в дополнительный блок 308 дискретизации. Дискретизированная форма сигнала z[k] подается в дополнительный блок 310 преобразования основной полосы частот. Выходная форма сигнала z[k] из дополнительного блока 310 преобразования основной полосы частот подается в блок 312 обработки.
В соответствии с одним из вариантов осуществления, идеальная форма сигнала s(t) вырабатывается с помощью генератора 314 сигналов. Идеальный сигнал s(t) подается в дополнительный блок 316 дискретизации. Дискретный сигнал s[k] подается в дополнительный блок 318 преобразования основной полосы частот. Выходной сигнал r[k] из дополнительного блока 318 преобразования основной полосы частот подается в блок 312 обработки. В другом варианте осуществления генератор 314 сигналов генерирует непосредственно цифровой сигнал r[k]. Следовательно, в этом варианте осуществления нет необходимости в блоке 316 дискретизации и дополнительном блоке 318 преобразования основной полосы частот.
Блок 312 обработки использует сигналы z[k] и r[k] для вычисления характеристик формы сигналов.
Как было показано выше, реальная форма сигнала x(t) будет смещена относительно идеальной формы сигнала s(t) по частоте, времени и фазе. Измерение качества формы сигнала определяется для наилучшего выравнивания в пределах реальной формы сигнала x(t), которая будет смещена относительно идеальной формы сигнала s(t). Следовательно, измерение качества формы сигнала оценивается для множества комбинаций сдвигов по частоте, времени и фазе, максимум таких оценок принимается в качестве критерия качества. Функция блока 304 оптимизации заключается в том, чтобы вырабатывать множество комбинаций сдвигов по частоте, времени и фазе.
Функция блока 302 компенсации заключается в том, чтобы оперировать формой сигнала x(t) для получения компенсированной формы сигнала y(t), представленной с помощью уравнения (7):

где – оценка сдвига круговой частоты сигнала x(t) по отношению к сигналу s(t), – оценка сдвига по времени сигнала x(t) по отношению к сигнал s(t), – оценка сдвига по фазе сигнала x(t) по отношению к сигналу s(t).
Параметры , и подают в блок 302 компенсации с помощью блока 304 оптимизации.
Как было показано выше, форма сигнала x(t) была преобразована с повышением частоты на несущей частоте, назначение блока 306 преобразования с понижением частоты заключается в том, чтобы преобразовать с понижением частоты компенсированную форму сигнала y(t) в форму сигнала z(t) основной полосы частот.
В одном из вариантов осуществления дополнительный блок 308 дискретизации создает дискретную версию z[k] формы сигнала z(t) путем дискретизации формы сигнала z(t) в точках tk идеальной дискретизации:

В другом варианте осуществления дополнительный блок 308 дискретизации отсутствует, и дискретизация выполняется с помощью блока 312 обработки после преобразования основной полосы частот.
Как было показано ранее, перед передачей форма сигнала 200 фильтруется в основной полосе частот. Следовательно, дополнительный блок 310 преобразования основной полосы частот используется для удаления межсимвольной интерференции (МИ (ISI)), которую вносит фильтр передатчика. Для того чтобы выполнить эту операцию, передаточная функция блока 310 преобразования основной полосы частот является обратно и комплексно сопряженной передаточной функцией идеального фильтра передатчика.
Блок 312 обработки обрабатывает сигналы z[k] и r[k] для выполнения требуемого измерения качества формы сигнала, как будет подробно описано ниже. Согласно одному из вариантов осуществления, когда отсутствует дополнительный блок 308 дискретизации, блок 312 обработки создает дискретную версию z[k] сигнала z(t) путем дискретизации сигнала z(t) в точках tk идеальной дискретизации в соответствии с уравнением (9).
При рассмотрении вышеописанного устройства специалисты могут изменять блок-схемы для различного представления форм сигналов x(t) и s(t). Например, если форма сигнала x(t) представлена в виде сигнала основной полосы частот в цифровой области, блок 306 преобразования с понижением частоты и дополнительный блок 308 дискретизации могут отсутствовать. Кроме того, если форму сигнала x(t) не нужно фильтровать, может отсутствовать дополнительный блок 310 преобразования основной полосы частот. Кроме того, специалисты могут изменять блок-схемы в соответствии с типом выполняемого измерения. Например, если бы было установлено влияние фильтра основной полосы частот, то блоки 310 и 318 преобразования основной полосы частот можно было бы не использовать, таким образом, в блок 312 обработки подавался бы сигнал идеальной формы и сигнал идеальной формы из блоков 308 и 316 дискретизации.
Измерение точности модуляции
Точность модуляции определяется как доля мощности в реальном сигнале z[k], который коррелирует по форме с идеальным сигналом r[k], когда в передатчике осуществляется модуляция по меньшей мере одним каналом в сигнале.
Полная точность модуляции определяется как доля мощности в реальном сигнале z[k], который коррелирует по форме с идеальным сигналом r[k], когда в передатчике осуществляется модуляция всеми каналами в сигнале. В одном из вариантов осуществления системы связи высокоскоростной передачи данных эти каналы содержат пилот-канал, канал УДС и прямой канал трафика или управления. Первая общая точность модуляции определяется следующим образом:

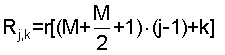
где общая-1 – первая общая точность модуляции, j – индекс, обозначающий элементарный элемент формы сигнала, N – предел суммирования, обозначающий число элементарных элементов, k – индекс, обозначающий дискрету в элементарном элементе, М – предел суммирования, обозначающий число дискрет в элементарном элементе, Zj,k = z [М(j-1)+k] – k-я дискрета в j-м элементарном элементе реальной формы сигнала, и Rj,k = r[М(j-1)+k] – k-я дискрета в j-м элементарном элементе реальной формы сигнала.
Элементарный элемент определяется как минимальный интервал формы сигнала, определяющий полную структуру канала. Значение предела суммирования N выбирают таким образом, чтобы шумовая дисперсия измерения была ниже требуемого значения.
Применяя уравнение (10) к форме сигнала 200 прямой линии связи системы ВСПД, элементарный элемент представляет собой полуслот, следовательно, предел суммирования М = 1024. Первая дискрета z(t1) имеет место в первом чипе полуслота, и конечная дискрета z(t1024N) имеет место в последнем чипе полуслота. Значение предела суммирования N определено равным, по меньшей мере, 2.
Первая общая точность модуляции не дает объяснения возможному отсутствию непрерывности параметров формы сигнала на границах элементарных элементов. Следовательно, вторая общая точность модуляции определяется следующим образом:

где общая-2 – вторая общая точность модуляции, j – индекс, обозначающий элементарный элемент формы сигнала, N – предел суммирования, обозначающий число элементарных элементов, k – индекс, обозначающий дискрету в элементарном элементе, М – предел суммирования, обозначающий число дискрет в элементарном элементе, Zj,k = z[(М+ +1)·(j-1)+k] – k-я дискрета в j-м элементарном элементе реальной формы сигнала, Rj,k = r[(М+ +1)·(j-1)+k] – k-я дискрета в j-м элементарном элементе реальной формы сигнала.
Применяя уравнение (11) к форме сигнала 200 прямой линии связи системы высокоскоростной передачи данных, элементарный элемент представляет собой полуслот, следовательно, предел суммирования М = 1024. Первая дискрета z(t531) имеет место в 513-м чипе полуслота, и конечная дискрета z(t1536N) имеет место в 513-м чипе последнего полуслота. Значение предела суммирования N определено равным, по меньшей мере, 2.
Точность модуляции канала с разделением по времени (РВ_канал) определяется как доля мощности в реальном сигнале z[k], который коррелирует по форме с идеальным сигналом r[k], когда в передатчике осуществляется модуляция конкретным РВ_каналом формы сигнала. Согласно одному из вариантов осуществления системы ВСПД высокоскоростной передачи данных, каналы содержат пилот-канал, прямой канал управления доступом к среде УДС и прямой канал трафика или управления. Точность модуляции РВ_канала определяется следующим образом:

где РВ_канал – точность модуляции для канала с разделением по времени, j – индекс, обозначающий элементарный элемент формы сигнала, N – предел суммирования, обозначающий число элементарных элементов, k – индекс, обозначающий дискрету в элементарном элементе, М – предел суммирования, обозначающий число дискрет в элементарном элементе, Zj,k = z[(М(j-1)+k] – k-я дискрета в j-м элементарном элементе реального РВ_канала, Rj,k = r[(М(j-1)+k] – k-я дискрета в j-м элементарном элементе идеального РВ_канала.
Концепция обработки реальной формы сигнала z[k] и идеальной формы сигнала r[k] для получения конкретного РВ_канала описана ниже. Функция gРВ_канал определяется как:

где mp (k modL mp+1) для p = 1,2,…n определяет интервалы, где форма сигнала не равна нулю для конкретного РВ_канала, L – интервал элементарного элемента сигнала z[k].
Затем реальную форму сигнала z[k] и идеальную форму сигнала r[k] умножают на функцию gРВ_канал[k] для выработки конкретных РВ_каналов:

Специалистам будет ясно, что реализация концепции может изменяться. Согласно одному из вариантов осуществления, обработка реализована в виде умножения формы сигнала на функцию со значением, которое отлично от нуля, в интервалах, где определен конкретный канал с разделением по времени, и равно нулю во всех остальных случаях. В другом варианте осуществления, обработка содержит назначение форме сигнала значения, которое отлично от нуля, в интервалах, где определен конкретный канал с разделением по времени, и равно нулю во всех остальных случаях. В еще одном варианте осуществления процессор, реализующий уравнение (12), сконфигурирован с возможностью переноса внутреннего суммирования следующим образом:

где mp (k mod L mp+1) для p = 1,2,…n определяет интервалы, на которых форма сигнала не равна нулю для конкретного РВ_канала, L – интервал элементарного элемента сигналов z[k] и r[k].
Измерение кодовой области
Мощность кодовой области определяется как доля мощности сигнала z(tk), которая коррелирует с каждым кодовым каналом Ri(tk), когда в передатчике осуществляется модуляция в соответствии с известной последовательностью символов кода. Концепция обработки формы сигнала для получения каждого кодового канала Ri(tk) описана ниже. Вначале получают конкретный РВ_канал, содержащий каждый кодовый канал Ri(tk), с использованием любого из вышеупомянутых способов. Например, уравнение (13) используется для получения функции gРВ_канал[k] для конкретного РВ_канала. Функция gРВ_канал[k] затем используется для воздействия на реальную форму сигнала z[k] и i-й кодовый канал Ri(tk) идеального сигнала r[k] для того, чтобы получить формы сигналов:

Коэффициенты РВ_канал,i мощности кодовой области качества формы сигнала для конкретного РВ_канала затем определяют для каждого кодового канала Ri(tk) следующим образом:

где MPB_канал,i – коэффициент кодовой области для канала с разделением по времени, идентифицированного индексом МРВ_канала, и кодового канала Ri(tk), идентифицированного индексом i, w1 – первый кодовый канал для канала МРВ с разделением по времени, wv – последний кодовый канал для канала МРВ с разделением по времени, j – индекс, обозначающий элементарный элемент форм сигнала, N – предел суммирования, обозначающий число элементарных элементов, k – индекс, обозначающий дискрету в элементарном элементе, М – предел суммирования, обозначающий число дискрет в элементарном элементе, Zj,k=z[(M(j-1)+k] – k-я дискрета в j-м элементарном элементе фильтрованного сигнала, R’i,j,k=R’i[(M(j-1)+k] – k-я дискрета в j-м элементарном элементе i-го кодового канала идеального сигнала.
Например, применяя вышеописанный способ для оценки удс,i формы сигнала 200 прямой линии связи системы ВСПД, элементарный элемент равен полуслоту, следовательно, предел суммирования М = 1024. Из уравнения (13) и фиг. 2 следует:

где (k mod 1024) = 1 имеет место в первом чипе каждого полуслота. Затем из уравнения (16) следует:

Следующие коэффициенты УДС,i мощности кодовой области определяют для канала УДС с помощью уравнения (17):

Значение N для измерения УДС,i для i 4 было определено равным, по меньшей мере, 16. Первая дискрета z(t1) имеет место в первом чипе полуслота, конечная дискрета z(t1024N) имеет место в последнем чипе полуслота.
Специалистам будет ясно, что различные приведенные в качестве примеров логические блоки, модули, схемы и этапы алгоритма, описанные совместно с вариантами осуществления, раскрытыми в описании, могут быть реализованы в виде электронных аппаратных средств, программного обеспечения компьютеров или их комбинаций. Различные примеры компонент, блоков, модулей, схем и этапов были описаны, в целом, в терминах их функциональных возможностей. Реализация функциональных возможностей в виде аппаратных средств или программного обеспечения зависит от конкретного применения и ограничений конструкции, наложенных на всю систему в целом. В компетенции специалиста находится возможность идентификации взаимозаменяемости аппаратных и программных средств в данном случае и реализации описанных функциональных возможностей для каждого конкретного применения.
Например, различные проиллюстрированные логические блоки, модули, схемы и этапы алгоритма, описанные совместно с вариантами осуществления, раскрытыми в данном описании, могут быть реализованы или выполнены с помощью процессора для цифровой обработки сигналов (ПЦОС (DSP)), специализированной интегральной схемы (СИС (ASIC)), программируемой пользователем вентильной матрицы (ППВМ (FPGA)) или другого программируемого логического устройства, дискретных вентилей или транзисторной логики, дискретных компонентов аппаратных средств, таких, например, как регистры и устройства обратного магазинного типа, процессора, выполняющего набор микропрограммных команд, любого известного программируемого модуля программного обеспечения и процессора или любой их комбинации. В качестве процессора может быть использован преимущественно микропроцессор, но также любой известный процессор, контроллер, микроконтроллер или любая машина состояний. Модуль программного обеспечения может размещаться в памяти ОЗУ, флэш-памяти, памяти ПЗУ, регистрах, на жестком диске, сменном диске, КД-ПЗУ (CD-ROM) или на любом другом по форме известном в технике носителе информации. Специалистам будет ясно, что данные, инструкции, команды, сигналы, биты, символы и чипы, упомянутые в описании, преимущественно представляют собой напряжения, токи, электромагнитные волны, магнитные поля или частицы, оптические поля или частицы или любую их комбинацию.
Вышеприведенное описание предпочтительных вариантов осуществления с использованием систем связи, которые служат примером измерения качества формы сигнала, позволяет любому специалисту выполнить или использовать настоящее изобретение. Различные модификации вариантов осуществления будут ясны специалистам, и родовые принципы, определенные в описании, можно применить к другим вариантам осуществления без использования изобретательной деятельности. В частности, специалистам будет ясно, что раскрытые родовые принципы применимы в равной степени к любой форме сигнала, независимо от аппаратуры, которая вырабатывает эту форму сигнала. Таким образом, настоящее изобретение не должно ограничиваться приведенными вариантами осуществления, а представляет собой наиболее широкую концепцию, изложенную в описании.
Формула изобретения
1. Способ измерения качества формы сигнала, содержащий этапы, в соответствии с которыми
формируют множество сдвигов параметров реального сигнала по отношению к идеальному сигналу,
компенсируют реальный сигнал с помощью множества сдвигов для формирования компенсированного реального сигнала,
фильтруют компенсированный реальный сигнал с получением фильтрованного сигнала,
изменяют идеальный сигнал таким образом, чтобы он соответствовал фильтрованному сигналу, с получением измененного сигнала, и
измеряют качество формы сигнала в соответствии с измененным идеальным сигналом и фильтрованным сигналом.
2. Способ по п.1, согласно которому на этапе формирования множества сдвигов формируют сдвиг по частоте, сдвиг по времени и сдвиг по фазе.
3. Способ по п.1, согласно которому на этапе компенсации реального сигнала с множеством сдвигов производят компенсацию в соответствии со следующим уравнением:

где y(t) – компенсированный реальный сигнал, x(t) – реальный сигнал, t – время, j – мнимая единица, – сдвиг по частоте, – сдвиг по времени, – сдвиг по фазе.
4. Способ по п.1, согласно которому на этапе фильтрации присваивают компенсированному реальному сигналу значение, равное нулю в фильтруемых интервалах и отличное от нуля в других интервалах.
5. Способ по п.4, согласно которому на этапе фильтрации присваивают компенсированному реальному сигналу значение, отличное от нуля на всем элементарном элементе реального сигнала.
6. Способ по п.4, согласно которому на этапе присвоения компенсированному реальному сигналу значения определяют функцию с помощью значения, равного нулю в фильтруемых интервалах и отличного от нуля в других интервалах, и умножают компенсированный реальный сигнал на функцию.
7. Способ по п.6, согласно которому на этапе определения функции определяют функцию с помощью значения, отличного от нуля на всем элементарном элементе реального сигнала.
8. Способ по п.1, согласно которому на этапе изменения идеального сигнала формируют измененный идеальный сигнал, равный нулю в интервалах, где фильтрованный сигнал имеет значение, равное нулю, и отличный от нуля в других интервалах.
9. Способ по п.1, согласно которому на этапе изменения идеального сигнала идеальному сигналу присваивают значение, равное нулю, в интервалах, где фильтрованный сигнал имеет значение, равное нулю и отличное от нуля в других интервалах.
10. Способ по п.9, согласно которому на этапе присвоения идеальному сигналу некоторого значения определяют функцию с помощью значения, которое равно нулю в интервалах, в которых фильтрованный сигнал имеет значение, равное нулю и отличное от нуля в других интервалах, и умножают компенсированный реальный сигнал на функцию.
11. Способ по п.5, согласно которому на этапе определения качества формы сигнала вычисляют первую общую точность модуляции.
12. Способ по п.11, согласно которому первую точность модуляции вычисляют в соответствии со следующим уравнением:

где общая-1 – первая общая точность модуляции, j – индекс, обозначающий элементарный элемент сигналов, N – предел суммирования, обозначающий число элементарных элементов, k – индекс, обозначающий дискрету в элементарном элементе, М – предел суммирования, обозначающий число дискрет в элементарном элементе, Zj,k=z[M(j-1)+k] – k-я дискрета в j-м элементарном элементе фильтрованного сигнала, и Rj,k=r[M(j-1)+k] – k-я дискрета в j-м элементарном элементе идеального сигнала.
13. Способ по п.11, согласно которому дополнительно вычисляют вторую общую точность модуляции.
14. Способ по п.13, согласно которому вторую точность модуляции вычисляют в соответствии со следующим уравнением:

где общая-2 – вторая точность модуляции, j – индекс, обозначающий элементарный элемент сигналов, N – предел суммирования, обозначающий число элементарных элементов, k – индекс, обозначающий дискрету в элементарном элементе, М – предел суммирования, обозначающий число дискрет в элементарном элементе, – k-я дискрета в j-м элементарном элементе фильтрованного сигнала и – k-я дискрета в j-м элементарном элементе идеального сигнала.
15. Способ по п.4, согласно которому на этапе определения качества формы сигнала вычисляют точность модуляции для канала с разделением по времени.
16. Способ по п.15, согласно которому точность модуляции для канала с разделением по времени вычисляют в соответствии со следующим уравнением:

где МРВ_канал – точность модуляции для канала МРВ_канал с разделением по времени, j – индекс, обозначающий элементарный элемент сигналов, N – предел суммирования, обозначающий число элементарных элементов, k – индекс, обозначающий дискрету в элементарном элементе, М – предел суммирования, обозначающий число дискрет в элементарном элементе, Zj,k=z[(M(j-1)+k] – k-я дискрета в j-м элементарном элементе фильтрованного сигнала, и Rj,k=r[(M(j-1)+k] – k-я дискрета в j-м элементарном элементе идеального сигнала.
17. Способ по п.4, согласно которому на этапе определения измерения качества формы сигнала вычисляют коэффициенты мощности кодовой области.
18. Способ по п.17, согласно которому коэффициенты мощности кодовой области вычисляют в соответствии со следующим уравнением:

где MPB_канал,i – коэффициент кодовой области для канала МРВ_канал с разделением по времени и кодового канала i, w1 – первый кодовый канал для канала МРВ_канал с разделением по времени, wv – последний кодовый канал для канала МРВ_канал с разделением по времени, j – индекс, обозначающий элементарный элемент сигналов, N – предел суммирования, обозначающий число элементарных элементов, k – индекс, обозначающий дискрету в элементарном элементе, М – предел суммирования, обозначающий число дискрет в элементарном элементе, Zj,k=z[(M(j-1)+k] – k-я дискрета в j-м элементарном элементе фильтрованного сигнала, и R’i,j,k=R’i[(M(j-1)+k] – k-я дискрета в j-м элементарном элементе i-го кодового канала идеального сигнала.
19. Устройство для измерения качества формы сигнала, содержащее
первое средство, выполненное с возможностью обеспечения множества сдвигов параметров реального сигнала по отношению к идеальному сигналу,
второе средство, выполненное с возможностью компенсирования реального сигнала с помощью множества сдвигов с получением компенсированного реального сигнала,
третье средство, выполненное с возможностью фильтрации компенсированного реального сигнала с получением фильтрованного сигнала,
четвертое средство, выполненное с возможностью изменения идеального сигнала, соответствующего фильтрованному сигналу, с получением измененного сигнала, и
пятое средство, выполненное с возможностью измерения качества формы сигнала в соответствии с измененным идеальным сигналом и фильтрованным сигналом.
20. Устройство по п.19, в котором первое средство, второе средство, третье средство, четвертое средство и пятое средство содержат контрольно-измерительную аппаратуру.
21. Устройство по п.19, в котором первое средство сформировано с возможностью обеспечения множества сдвигов для обеспечения сдвига по частоте, сдвига по времени и сдвига по фазе.
22. Устройство по п.19, в котором второе средство сформировано с возможностью компенсирования реального сигнала с помощью множества сдвигов для оценки следующего уравнения:

где y(t) – компенсированный реальный сигнал, x(t) – реальный сигнал, t – время, j – мнимая единица, – сдвиг по частоте, – сдвиг по времени, – сдвиг по фазе.
23. Устройство по п.19, в котором третье средство выполнено с возможностью фильтрации для присвоения компенсированному реальному сигналу значения, равного нулю в фильтруемых интервалах и отличного от нуля в других интервалах.
24. Устройство по п.23, в котором третье средство выполнено с возможностью фильтрации для присвоения компенсированному реальному сигналу значения, отличного от нуля на всем элементарном элементе реального сигнала.
25. Устройство по п.23, в котором третье средство выполнено с возможностью присвоения компенсированному реальному сигналу некоторого значения для определения функции со значением, равным нулю в фильтруемых интервалах и отличным от нуля в других интервалах, и для умножения компенсированного реального сигнала на функцию.
26. Устройство по п.25, в котором третье средство выполнено с возможностью определения функции с помощью значения, отличного от нуля на всем элементарном элементе реального сигнала.
27. Устройство по п.19, в котором четвертое средство выполнено с возможностью изменения идеального сигнала с получением измененного идеального сигнала для того, чтобы иметь значение, равное нулю в интервалах, где фильтрованный сигнал имеет значение, равное нулю и отличное от нуля в других интервалах.
28. Устройство по п.19, в котором четвертое средство выполнено с возможностью изменения идеального сигнала с присвоением идеальному сигналу значения, которое равно нулю в интервалах, в которых фильтрованный сигнал имеет значение, равное нулю и отличное от нуля в других интервалах.
29. Устройство по п.28, в котором четвертое средство выполнено с возможностью присвоения идеальному сигналу некоторого значения для определения функции с помощью указанного значения, которое равно нулю в интервалах, где фильтрованный сигнал имеет значение, равное нулю и отличное от нуля в других интервалах, и умножения компенсированного реального сигнала на указанную функцию.
30. Устройство по п.24, в котором пятое средство выполнено с возможностью определения качества формы сигнала для вычисления первой общей точности модуляции.
31. Устройство по п.30, в котором пятое средство выполнено с возможностью вычисления первой точности модуляции для оценки следующего уравнения:

где общая-1 – первая общая точность модуляции, j – индекс, обозначающий элементарный элемент сигналов, N – предел суммирования, обозначающий число элементарных элементов, k – индекс, обозначающий дискрету в элементарном элементе, М – предел суммирования, обозначающий число дискрет в элементарном элементе, Zj,k=z[M(j-1)+k] -k-я дискрета в j-м элементарном элементе фильтрованного сигнала, и Rj,k=r[M(j-1)+k] – k-я дискрета в j-м элементарном элементе идеального сигнала.
32. Устройство по п.30, в котором пятое средство выполнено с возможностью вычисления второй общей точности модуляции.
33. Устройство по п.32, в котором пятое средство выполнено с возможностью вычисления второй точности модуляции для оценки следующего уравнения:

где общая-2 – вторая общая точность модуляции, j – индекс, обозначающий элементарный элемент сигналов, N – предел суммирования, обозначающий число элементарных элементов, k – индекс, обозначающий дискрету в элементарном элементе, М – предел суммирования, обозначающий число дискрет в элементарном элементе, – k-я дискрета в j-м элементарном элементе фильтрованного сигнала, и – k-я дискрета в j-м элементарном элементе идеального сигнала.
34. Устройство по п.23, в котором пятое средство выполнено с возможностью определения качества формы сигнала для вычисления точности модуляции для канала с разделением по времени.
35. Устройство по п.34, в котором пятое средство выполнено с возможностью вычисления точности модуляции для канала с разделением по времени для оценки следующего уравнения:

где MPB_канал – точность модуляции для канала с разделением по времени, j – индекс, обозначающий элементарный элемент сигналов, N -предел суммирования, обозначающий число элементарных элементов, k -индекс, обозначающий дискрету в элементарном элементе, М – предел суммирования, обозначающий число дискрет в элементарном элементе, Zj,k=z[(M(j-1)+k] – k-я дискрета в j-м элементарном элементе фильтрованного сигнала, и Rj,k=r[(M(j-1)+k] – k-я дискрета в j-м элементарном элементе идеального сигнала.
36. Устройство по п.23, в котором пятое средство выполнено с возможностью определения параметров измерения качества формы сигнала с вычислением коэффициентов мощности кодовой области.
37. Устройство по п.36, в котором пятое средство выполнено с возможностью вычисления коэффициентов мощности кодовой области для оценки следующего уравнения:

где MPB_канал,i – коэффициент кодовой области для канала МРВ_канал с разделением по времени и кодового канала i, w1 – первый кодовый канал для канала МРВ_канал с разделением по времени, wv – последний кодовый канал для канала МРВ_канал с разделением по времени, j – индекс, обозначающий элементарный элемент сигналов, – предел суммирования, обозначающий число элементарных элементов, k – индекс, обозначающий дискрету в элементарном элементе, М – предел суммирования, обозначающий число дискрет в элементарном элементе, Zj,k=z[(M(j-1)+k] – k-я дискрета в j-м элементарном элементе фильтрованного сигнала, и R’i,j,k=R’i[(M(j-1)+k] – k-я дискрета в j-м элементарном элементе i-го кодового канала идеального сигнала.
38. Устройство для измерения качества формы сигнала, содержащее
процессор и
носитель информации, связанный с процессором и содержащий набор команд, выполняемых процессором для
обеспечения множества сдвигов параметров реального сигнала по отношению к идеальному сигналу,
компенсации реального сигнала с помощью множества сдвигов для выработки компенсированного реального сигнала,
фильтрации компенсированного реального сигнала для выработки фильтрованного сигнала,
изменения идеального сигнала, соответствующего фильтрованному сигналу, с получением измененного сигнала и
измерения качества формы сигнала в соответствии с измененным идеальным сигналом и фильтрованным сигналом.
39. Устройство по п.38, в котором процессор обеспечивает множество сдвигов путем выполнения команд для обеспечения сдвига по частоте, сдвига по времени и сдвига по фазе.
40. Устройство по п.38, в котором процессор компенсирует реальный сигнал с помощью множества сдвигов посредством выполнения команд в виде

где y(t) – компенсированный реальный сигнал, x(t) – реальный сигнал, t – время, j – мнимая единица, – сдвиг по частоте, – сдвиг по времени, – сдвиг по фазе.
41. Устройство по п.38, в котором процессор осуществляет фильтрацию путем выполнения команд для присвоения компенсированному реальному сигналу значения, которое равно нулю в фильтруемых интервалах и отлично от нуля в других интервалах.
42. Устройство по п.41, в котором процессор осуществляет фильтрацию путем выполнения команд для присвоения компенсированному реальному сигналу значения, которое отлично от нуля на всем элементарном элементе реального сигнала.
43. Устройство по п.41, в котором процессор присваивает компенсированному реальному сигналу некоторое значение путем выполнения команд для определения функции с помощью значения, которое равно нулю в фильтруемых интервалах и отлично от нуля в других интервалах, и умножения компенсированного реального сигнала на указанную функцию.
44. Устройство по п.43, в котором процессор определяет функцию путем выполнения команд для определения функции с помощью значения, отличного от нуля на всем элементарном элементе реального сигнала.
45. Устройство по п.38, в котором процессор изменяет идеальный сигнал путем выполнения команд с получением измененного идеального сигнала для получения значения, равного нулю в интервалах, где фильтрованный сигнал имеет значение, равное нулю и отличное от нуля в других интервалах.
46. Устройство по п.38, в котором процессор изменяет идеальный сигнал путем выполнения команд для присвоения идеальному сигналу значения, равного нулю в интервалах, где фильтрованный сигнал имеет значение, равное нулю и отличное от нуля в других интервалах.
47. Устройство по п.46, в котором процессор присваивает идеальному сигналу некоторое значение путем выполнения команды для определения функции с помощью значения, равного нулю в интервалах, где фильтрованный сигнал имеет значение, равное нулю и отличное от нуля в других интервалах, и умножения компенсированного реального сигнала на функцию.
48. Устройство по п.42, в котором процессор определяет качество формы сигнала путем выполнения команд для вычисления первой общей точности модуляции.
49. Устройство по п.48, в котором процессор вычисляет первую точность модуляции путем выполнения команд для оценки следующего уравнения:

где общая-1 – первая общая точность модуляции, j – индекс, обозначающий элементарный элемент сигналов, N – предел суммирования, обозначающий число элементарных элементов, k – индекс, обозначающий дискрету в элементарном элементе, М – предел суммирования, обозначающий число дискрет в элементарном элементе, Zj,k=z[M(j-1)+k] – k-я дискрета в j-м элементарном элементе фильтрованного сигнала, и Rj,k=r[M(j-1)+k] – k-я дискрета в j-м элементарном элементе идеального сигнала.
50. Устройство по п.48, в котором процессор дополнительно сконфигурирован с возможностью выполнения команд для вычисления второй общей точности модуляции.
51. Устройство по п.50, в котором процессор вычисляет вторую точность модуляции путем выполнения команд для оценки следующего уравнения:

где общая-2 – вторая точность модуляции, j – индекс, обозначающий элементарный элемент сигналов, N – предел суммирования, обозначающий число элементарных элементов, k – индекс, обозначающий дискрету в элементарном элементе, М – предел суммирования, обозначающий число дискрет в элементарном элементе, – k-я дискрета в j-м элементарном элементе фильтрованного сигнала, и – k-я дискрета в j-м элементарном элементе идеального сигнала.
52. Устройство по п.41, в котором процессор определяет качество формы сигнала путем выполнения команд для вычисления точности модуляции для канала с разделением по времени.
53. Устройство по п.52, в котором процессор вычисляет точность модуляции для канала с разделением по времени путем выполнения команд для оценки следующего уравнения:

где MPB_канал – точность модуляции для канала МРВ_канал с разделением по времени, j – индекс, обозначающий элементарный элемент сигналов, N – предел суммирования, обозначающий число элементарных элементов, k – индекс, обозначающий дискрету в элементарном элементе, М – предел суммирования, обозначающий число дискрет в элементарном элементе, Zj,k=z[(M(j-1)+k] – k-я дискрета в j-м элементарном элементе фильтрованного сигнала, и Rj,k=r[(M(j-1)+k] – k-я дискрета в j-м элементарном элементе идеального сигнала.
54. Устройство по п.41, в котором процессор определяет параметры измерения качества формы сигнала путем выполнения команд для вычисления коэффициентов мощности кодовой области.
55. Устройство по п.54, в котором процессор вычисляет коэффициенты мощности кодовой области путем выполнения команд для оценки:

где MPB_канал,i – коэффициент кодовой области для канала МРВ_канал с разделением по времени и кодового канала i, w1 – первый кодовый канал для канала МРВ_канал с разделением по времени, wv – последний кодовый канал для канала МРВ_канал с разделением по времени, j – индекс, обозначающий элементарный элемент сигналов, N – предел суммирования, обозначающий число элементарных элементов, k – индекс, обозначающий дискрету в элементарном элементе, М – предел суммирования, обозначающий число дискрет в элементарном элементе, Zj,k=z[(M(j-1)+k] – k-я дискрета в j-м элементарном элементе фильтрованного сигнала, и R’i,j,k=R’i[(M(j-1)+k] – k-я дискрета в j-м элементарном элементе i-го кодового канала идеального сигнала.
РИСУНКИ
|
|