|
|
(21), (22) Заявка: 2004126667/09, 03.09.2004
(24) Дата начала отсчета срока действия патента:
03.09.2004
(45) Опубликовано: 10.05.2006
(56) Список документов, цитированных в отчете о поиске:
RU 2215326 С2, 27.10.2003. RU 2218601 С2, 10.12.2003. US 6307554 В1, 23.10.2001. US 6133921 А, 17.10.2000. ЕР 1445736 А2, 11.08.2004. JP 2003-058896 А, 28.02.2003.
Адрес для переписки:
129010, Москва, ул. Б. Спасская, 25, стр.3, ООО “Юридическая фирма Городисский и Партнеры”, пат.пов. Ю.Д.Кузнецову, рег.№ 595
|
(72) Автор(ы):
КИМ Кеун-хо (KR), ДЗУНГ Сеок-Йоон (KR), Вяткин Сергей Иванович (RU)
(73) Патентообладатель(и):
САМСУНГ ЭЛЕКТРОНИКС КО., ЛТД (KR)
|
(54) УСТРОЙСТВО И СПОСОБ ОБРАБОТКИ ТРЕХМЕРНОГО ОБЪЕКТА С ИСПОЛЬЗОВАНИЕМ ФУНКЦИИ ВОЗМУЩЕНИЙ
(57) Реферат:
Изобретение относится к устройствам обработки изображений. Его использование обеспечивает возможность обработки трехмерного объекта с высокоэффективным сжатием. Этот результат достигается благодаря тому, что получают информацию о позиции поверхности входного трехмерного объекта, упрощают эту поверхность во множество базовых полигонов, получают информацию о позиции упрощенной поверхности входного трехмерного объекта и генерируют информационную карту поверхности на основе информации о позиции поверхности входного трехмерного объекта до упрощения и информации о позиции упрощенной поверхности входного трехмерного объекта; разбивают поверхность каждого базового полигона в информационной карте поверхности на множество областей и получают функцию возмущений для каждой области; получают ошибку между объектом на основе функций возмущений и заданным трехмерным объектом; определяют, меньше ли эта ошибка, чем пороговое значение; и если ошибка меньше порогового значения, устанавливают соответствие между коэффициентами функций возмущений для базовых полигонов и информацией о базовых полигонах, при этом информационная карта поверхности есть информация о поверхности входного трехмерного объекта, а если ошибка не меньше порогового значения, то поверхность объекта, представленную информационной картой, разбивают более мелко по сравнению с предыдущим разбиением. 2 н. и 9 з.п. ф-лы, 13 ил.
ОБЛАСТЬ ТЕХНИКИ, К КОТОРОЙ ОТНОСИТСЯ ИЗОБРЕТЕНИЕ
Настоящее изобретение относится к устройству для обработки изображений, таким как персональный компьютер (PC), персональное цифровое информационное устройство (PDA), сотовый телефон или подобным им, а в частности к устройству и способу для обработки изображений, включающих в себя трехмерный объект.
ОПИСАНИЕ ПРЕДШЕСТВУЮЩЕГО УРОВНЯ ТЕХНИКИ
Раскрыты несколько известных способов моделирования трехмерного (3-D) объекта.
Одним из известных способов является способ отображения “капельных объектов” (Blobby objects), раскрытый в работе “A Generalization of Algebraic Surface Drawing”, Blinn J, которая была опубликована в журнале ‘ACM Transactions on Graphics’ vol. 1,No. 3, pp. 135-256, 1982.
Другим таким способом является способ отображения объектов-метасфер (Metaballs object), раскрытый в работе “Object Modeling by Distributed Function and a Method of Image Generation”, Nishimura H., Hirai M., Kawai T., Kawata T., Shirakawa I. и Omura K., которая была опубликована в журнале ‘Transactions of IECE of Japan’, vol. J68-D, No. 4, pp. 718-725, 1985. Еще одним из таких способов является способ отображения “мягких объектов”, раскрытый в работе “Data Structure for Soft Objects”, Wyvill G., McPheeters C., and Wyvill B., которая была опубликована в журнале ‘The Visual Computer’, vol. 2, No. 4, pp. 227-234, 1986. В упомянутых выше способах отображения “капельных объектов”, “метасфер” и “мягких объектов” объект представляется в виде неявной функции. Таким образом эти способы не подходят для моделирования формы в машинной графике.
Еще одним из традиционных способов является способ отображения поверхностей свертки, раскрытый в работе “Creating and Rendering Convolution Surfaces”, McCormack J. и Sherstyuk A., которая была опубликована в журнале ‘Computer Graphics Forum’, vol. 17, No. 2, pp. 113-120, 1998.
Еще одним из традиционных способов является способ отображения объемных сплайнов на основе функции Грина, раскрытый в книге “Spline Functions: Theory, Algorithms and Programs”, Vasilenko V.A., опубликованной издательством Наука, Новосибирск в 1983 г. на русском языке.
В системе, построенной на основе способа отображения поверхностей свертки и способа отображения объемных сплайнов, структура данных не компактна и вычисления не просты.
Еще одним из традиционных способов является способ отображения пространственных фрагментов, раскрытый в работе “Representation of Real-life 3D Models by Spatial Patches”, Denis V. Ivanov и Yevgenity P. Kuzmin. В этом традиционном способе соседние пространственные фрагменты в моделях пространственно не связаны между собой. Таким образом, видимые искажения (артефакты) изображения образуются в местах перекрывания нескольких фрагментов.
СУЩНОСТЬ ИЗОБРЕТЕНИЯ
Настоящее изобретение обеспечивает устройство для обработки трехмерного объекта для высокоэффективного сжатия данных на поверхности трехмерного объекта при помощи функции возмущений.
Настоящее изобретение также обеспечивает устройство для обработки трехмерного объекта, восстанавливающее исходный трехмерный объект из трехмерного объекта, сжатого с высокой эффективностью при помощи функции возмущений.
Настоящее изобретение также обеспечивает способ обработки трехмерного объекта для высокоэффективного сжатия данных на поверхности трехмерного объекта при помощи функции возмущений.
Настоящее изобретение также обеспечивает способ обработки трехмерного объекта для восстановления исходного трехмерного объекта из трехмерного объекта, сжатого с высокой эффективностью при помощи функции возмущений.
В соответствии с аспектом настоящего изобретения, обеспечивается устройство для обработки трехмерного объекта, включающее в себя: генератор информационной карты поверхности, который получает информацию о позиции поверхности входного трехмерного объекта, упрощает поверхность входного трехмерного объекта во множество базовых полигонов и генерирует информационную карту поверхности на основе информации о позиции поверхности входного трехмерного объекта, до упрощения, и информации о позиции упрощенной поверхности входного трехмерного объекта; генератор функции возмущений, который разбивает поверхность каждого из упомянутых базовых полигонов, представленных информационной картой поверхности, на множество областей и генерирует функцию возмущений для каждой из упомянутых областей; средство проверки ошибок, которое выполняет проверку в отношении того, меньше ли ошибка между объектом, сформированным на основе сгенерированных функций возмущений, и входным трехмерным объектом, чем некоторое пороговое значение и выдает результат проверки как управляющий сигнал; и модуль сохранения, который, в ответ на управляющий сигнал, устанавливает соответствие между коэффициентами функций возмущений, сгенерированными для базовых полигонов, и информацией о базовых полигонах, соответствующих этим коэффициентам, и сохраняет согласованные результаты. Информационная карта поверхности есть информация о поверхности входного трехмерного объекта, и генератор функции возмущений более мелко делит поверхность объекта, представленную информационной картой поверхности, в ответ на управляющий сигнал, по сравнению с предыдущим разбиением.
В соответствии с другим аспектом настоящего изобретения, устройство для обработки трехмерного объекта может дополнительно включать в себя: селектор данных, который принимает согласованные и сохраненные результаты и выбирает часть из принятых результатов; модуль восстановления данных, который восстанавливает функции возмущений базовых полигонов и информацию о базовых полигонах с использованием результатов, выбранных селектором данных; и модуль восстановления объекта, который восстанавливает трехмерный объект на основе функций возмущений, восстановленных для базовых полигонов, и восстановленной информации о базовых полигонах и выдает восстановленный трехмерный объект.
В соответствии с еще одним аспектом настоящего изобретения, обеспечивается способ обработки трехмерного объекта, включающий в себя этапы, на которых: получают информацию о позиции поверхности входного трехмерного объекта, упрощают поверхность входного трехмерного объекта во множество базовых полигонов, получают информацию о позиции упрощенной поверхности входного трехмерного объекта и генерируют информационную карту поверхности на основе информации о позиции поверхности входного трехмерного объекта, до упрощения, и информации о позиции упрощенной поверхности входного трехмерного объекта; разбивают поверхность каждого из упомянутых базовых полигонов, представленных информационной картой поверхности, на множество областей и получают функцию возмущений для каждой из упомянутых областей; получают ошибку между объектом, сформированным на основе сгенерированных функций возмущений, и заданным трехмерным объектом; определяют, меньше ли эта ошибка, чем некоторое пороговое значение; и если определено, что ошибка меньше этого порогового значения, устанавливают соответствие между коэффициентами функций возмущений, сгенерированными для базовых полигонов, и информацией о базовых полигонах, соответствующих этим коэффициентам, и сохраняют согласованные результаты. Информационная карта поверхности есть информация о поверхности входного трехмерного объекта. Если определено, что ошибка не меньше, чем пороговое значение, то поверхность объекта, представленная информационной картой поверхности, разбивают более мелко по сравнению с предыдущим разбиением.
В соответствии с еще одним аспектом настоящего изобретения, способ обработки трехмерного объекта может дополнительно включать в себя этапы, на которых: выбирают часть согласованных и сохраненных результатов, полученных из внешнего источника; восстанавливают функции возмущений для базовых полигонов и информацию о базовых полигонах на основе результата выбора; и восстанавливают трехмерный объект на основе функций возмущений, восстановленных для базовых полигонов, и восстановленной информации о базовых полигонах.
ПЕРЕЧЕНЬ ФИГУР ЧЕРТЕЖЕЙ
Описанные выше и другие признаки и преимущества настоящего изобретения станут более очевидными после детального описания иллюстративных вариантов осуществления настоящего изобретения со ссылкой на прилагаемые чертежи, на которых:
Фиг. 1 – структурная схема устройства для обработки трехмерного объекта, использующего функцию возмущений, в соответствии с вариантом осуществления настоящего изобретения;
Фиг. 2 – блок-схема последовательности операций, поясняющая способ обработки трехмерного объекта с использованием функции возмущений, в соответствии с вариантом осуществления настоящего изобретения;
Фиг. 3A и 3B – иллюстрации для пояснения процесса упрощения трехмерного объекта, в соответствии с вариантом осуществления настоящего изобретения;
Фиг. 4A, 4B и 4C – иллюстрации для пояснения информационной карты поверхности, в соответствии с вариантом осуществления настоящего изобретения;
Фиг. 5A и 5B – иллюстрации для пояснения внутренних и краевых вершин, в соответствии с вариантом осуществления настоящего изобретения;
Фиг. 6A и 6B – иллюстрации примеров первой и второй итерации разбиения форм по Фиг. 4C;
Фиг. 7 – структурная схема устройства для обработки трехмерного объекта, использующего функцию возмущений, в соответствии с другим вариантом осуществления настоящего изобретения; и
Фиг. 8 – блок-схема последовательности операций, поясняющая способ обработки трехмерного объекта, с использованием функции возмущений, в соответствии с другим вариантом осуществления настоящего изобретения.
ДЕТАЛЬНОЕ ОПИСАНИЕ ИЗОБРЕТЕНИЯ
Здесь и далее, структура и работа устройства для обработки трехмерного объекта, в соответствии с настоящим изобретением, и способа обработки трехмерного объекта, выполняемого устройством для обработки трехмерного объекта, будут описаны подробно со ссылкой на прилагаемые чертежи.
На Фиг. 1 представлена структурная схема устройства для обработки трехмерного объекта, использующего функцию возмущений, в соответствии с вариантом осуществления настоящего изобретения. В соответствии с Фиг. 1, прибор для обработки трехмерного объекта содержит редактор 10, генератор 12 информационной карты поверхности, генератор 14 функции возмущения, средство 16 проверки ошибок и модуль 18 сохранения.
На Фиг. 2 представлена блок-схема последовательности операций, поясняющая способ обработки трехмерного объекта с использованием функции возмущений, в соответствии с вариантом осуществления настоящего изобретения. Здесь способ обработки трехмерного объекта включает в себя этап 30 редактирования данных, этапы 32, 34, 36 и 38 сжатия результатов редактирования и этап 40 сохранения результатов сжатия.
Здесь обработка трехмерного объекта подразумевает выполнение, по меньшей мере, одной операции редактирования, сжатия и восстановления трехмерного объекта.
На этапе 30 редактор 10 принимает базовое трехмерное изображение или сеточные данные через узел ввода IN1, редактирует трехмерное базовое изображение или сеточные данные и выдает результаты редактирования в виде трехмерного объекта на генератор 12 информационной карты поверхности. Например, редактор 10 может редактировать трехмерное базовое изображение или сеточные данные посредством сдвига, масштабирования, вращения или перемещения трехмерного базового изображения или сеточных данных. Трехмерное изображение, передаваемое редактору 10 через узел ввода IN1, может представлять собой куб, сферу, эллипсоид или нечто подобное. Также термин “сеточные данные” обозначает данные об изображении, таком как изображение кролика, изображение оружия или нечто подобного, предварительно сгенерированные проектировщиком.
В соответствии с настоящим изобретением, редактор 10 может генерировать сеточные данные посредством редактирования трехмерного базового изображения, введенного через узел ввода IN1, вместо того, чтобы получать сеточные данные из внешнего источника.
После этапа 30 на этапах 32, 34, 36 и 38 модуль 20 сжатия сжимает результаты редактирования. Для выполнения операции сжатия модуль 20 сжатия включает в себя генератор 12 информационной карты поверхности, генератор 14 функции возмущений и средство 16 проверки ошибок. Здесь модуль 22 моделирования может включать в себя редактор 10 и модуль 20 сжатия. Модуль 22 моделирования моделирует базовое трехмерное изображение или сеточные данные, введенные через узел ввода IN1.
Сначала, на этапе 32, генератор 12 информационной карты поверхности упрощает поверхность трехмерного объекта, полученного от редактора 10, до множества базовых полигонов, генерирует, в качестве информационной карты поверхности, информацию о поверхности трехмерного объекта на основе информации о позиции упрощенной поверхности трехмерного объекта и позиции неупрощенной поверхности трехмерного объекта и выдает сгенерированную информационную карту поверхности на генератор 14 функции возмущений. Здесь базовый полигон может быть плоской фигурой, такой как треугольник, четырехугольник, пятиугольник, шестиугольник, восьмиугольник и так далее, в которой углы образованы линейными отрезками. Информационная карта поверхности включает в себя информацию о расстоянии и высоте, которая будет детально описана ниже.
В соответствии с настоящим изобретением, устройство для обработки трехмерного объекта, изображенное на Фиг. 1, также может быть реализовано без редактора 10. В этом случае генератор 12 информационной карты поверхности принимает трехмерный объект из внешнего источника через узел ввода IN2.
На Фиг. 3A и 3B объясняется процесс упрощения трехмерного объекта в соответствии с вариантом осуществления настоящего изобретения. Фиг. 3A иллюстрирует неупрощенный трехмерный объект, а Фиг. 3B – упрощенный.
Генератор 12 информационной карты поверхности может упростить поверхность трехмерного объекта, такого как объект, представленный на Фиг. 3A, заменой поверхности трехмерного объекта базовыми полигонами, например треугольниками. Например, если число треугольников, образующих поверхность трехмерного объекта по Фиг. 3A, составляет 69451, то генератор 12 информационной карты поверхности может упростить поверхность трехмерного объекта по Фиг. 3A при помощи уменьшения числа треугольников, образующих поверхность трехмерного объекта до 100, как показано на Фиг. 3B.
Генератор 12 информационной карты поверхности упрощает поверхность трехмерного объекта посредством применения нескольких традиционных способов. Один из традиционных способов описан в работе “Optimal Triangulation and Quadric-Based Surface Simplification”, Paul S. Heckbert и Michael Garland, Journal of Computational Geometry; Theory and Applications, 25 октября 1999.
Фиг. 4A, 4B и 4C поясняют информационную карту поверхности, в соответствии с вариантом осуществления настоящего изобретения. На Фиг. 4A представлена информационная карта поверхности трехмерного объекта, изображенного на Фиг. 3A, на Фиг. 4B представлена информационная карта поверхности, соответствующая фрагменту информационной карты поверхности, изображенной на Фиг. 4A, с базовыми полигонами треугольной формы, и на Фиг. 4C представлен пример информационной карты поверхности. Здесь термин “фрагмент” включает каждый базовый полигон, образующий упрощенную поверхность трехмерного объекта, представленного на Фиг. 3B.
После упрощения поверхности трехмерного объекта генератор 12 информационной карты поверхности может вычесть упрощенную поверхность трехмерного объекта по Фиг. 3B из неупрощенной поверхности трехмерного объекта по Фиг. 3A и определить результат вычитания как информационную карту поверхности по отношению к поверхности трехмерного объекта по Фиг. 3A.
Информационная карта поверхности будет обсуждаться ниже.
Предполагается, что поверхность возмущенной формы включает в себя внутренние вершины 62, обозначенные черными точками, и краевые вершины 64, обозначенные белыми точками. Вершина называется внутренней, если количество вершин, соседних с вершиной v, равно количеству треугольников, включающих вершину v. Когда количество вершин, соседних с вершиной v, не равно количеству треугольников, включающих вершину v, вершина называется краевой.
Фиг. 5A и 5B иллюстрируют внутренние и краевые вершины, в соответствии с вариантом осуществления настоящего изобретения. Другими словами, на Фиг. 5A показана внутренняя вершина, а на Фиг. 5B – краевая.
Из Фиг. 5A видно, что вершина v является внутренней вершиной, так как у нее имеется пять соседних вершин, и пять треугольников включают вершину v. Однако вершина на Фиг. 5B является краевой вершиной, так как у нее имеется пять соседних вершин, но только четыре треугольника включают вершину v.
Здесь информация о расстоянии включает в себя информацию о расстоянии между каждыми внутренней и краевой вершинами, и информация о высоте включает в себя информацию о высоте каждой внутренней и краевой вершины над плоскостью базового полигона.
После этапа 32 на этапе 34 генератор 14 функции возмущений разбивает поверхность объекта, полученную от генератора 12 информационной карты поверхности в виде информационной карты поверхности, на множество областей и генерирует функцию возмущений для каждой области разбиения. Здесь, функция возмущений может представлять собой одну из нескольких полигональных форм.
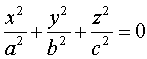
В соответствии с аспектом настоящего изобретения, каждая функция возмущений может быть представлена в виде уравнения 1:
…(1)
где F(x,y,z) обозначает функцию возмущений, A11, A22, A33, A12, A13, A23, A14, A24, A34 и A44 обозначают коэффициенты функции возмущений, и x, y и z обозначают оси в трехмерном пространстве. Форма полигона, определяемого данной функцией возмущений, определяется в зависимости от значений коэффициентов функции возмущений. Например, когда {A11, A22, A33, A12, A13, A23, A14, A24, A34, A44} есть {-1, 0, 0, 0, 0, 0, 0, 1, 0, 0}, функция возмущений имеет параболическую форму. Когда {A11, A22, A33, A12, A13, A23, A14, A24, A34, A44} есть {-1, 1, 0, 0, 0, 0, 0, 0, 0, 1}, функция возмущений имеет гиперболическую форму. Когда {A11, A22, A33, A12, A13, A23, A14, A24, A34, A44} есть {-1, -1, 0, 0, 0, 0, 0, 0, 0, 1}, функция возмущений имеет цилиндрическую форму. Когда {A11, A22, A33, A12, A13, A23, A14, A24, A34, A44} есть {-1, 1, 0, 0, 0, 0, 0, 0, 0, 0}, функция возмущений имеет вид F(x, y, z)=-x2+y2. Когда {A11, A22, A33, A12, A13, A23, A14, A24, A34, A44} есть {0, -1, 0, 0, 0, 0, 0, 0, 0, 1}, функция возмущений имеет слоистую форму. Когда {A11, A22, A33, A12, A13, A23, A14, A24, A34, A44} есть {0, 0, 0, 0, 0, 0, 0, 1, 0, 0}, функция возмущений имеет форму плоскости. Когда {A11, A22, A33, A12, A13, A23, A14, A24, A34, A44} есть {-1, -1, -1, 0, 0, 0, 0, 0, 0, 1}, функция возмущений имеет эллиптическую форму. Когда {A11, A22, A33, A12, A13, A23, A14, A24, A34, A44} есть {-1, 1, -1, 0, 0, 0, 0, 0, 0, 0}, функция возмущений имеет коническую форму. Когда {A11, A22, A33, A12, A13, A23, A14, A24, A34, A44} есть {-1, -1, 0, 0, 0, 0, 0, 0, 1, 0}, функция возмущений имеет эллиптически параболическую форму. Когда {A11, A22, A33, A12, A13, A23, A14, A24, A34, A44} есть {-1, 1, -1, 0, 0, 0, 0, 0, 0, 1}, функция возмущений имеет одногиперболическую форму. Когда {A11, A22, A33, A12, A13, A23, A14, A24, A34, A44} есть {-1, 1, -1, 0, 0, 0, 0, 0, 0, -1}, функция возмущений имеет дуально гиперболическую форму. Когда {A11, A22, A33, A12, A13, A23, A14, A24, A34, A44} есть {0, 0, 0, 0, 0, 0, 0, 1, 1, 1}, функция возмущений имеет треугольную форму.
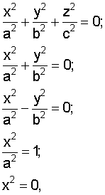
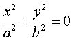
В соответствии с еще одним аспектом настоящего изобретения, каждая функция возмущений может быть выражена в одной из следующих форм (уравнения 2-6):
…(2)
…(3)
…(4)
…(5)
…(6)
где x, y и z обозначают оси координат в трехмерном пространстве, и a, b и c представляют собой коэффициенты функции возмущений, соответствующие произвольным величинам на осях.
Например, когда функция возмущений выражена в форме уравнения 2, она представляет собой точку. Когда функция возмущений выражена в форме уравнения 3, она представляет собой прямую. Когда функция возмущений выражена в форме уравнения 4, она представляет собой пару пересекающихся плоскостей. Когда функция возмущений выражена в форме уравнения 5, она представляет собой пару параллельных плоскостей. Когда функция возмущений выражена в форме уравнения 5, она представляет собой одну вещественную плоскость.
В случае, когда информационная карта поверхности включает в себя четыре типа форм 80, 82, 84 и 86, как показано на Фиг. 4C, генератор 14 функции возмущений разбивает каждую из форм 80, 82, 84 и 86 информационной карты поверхности на множество областей. Например, когда базовое тело, представленное при помощи функции возмущений, является эллипсоидом, то есть каждая область из множества областей есть эллипсоид, генератор 14 функции возмущений может разбить каждую из форм 80, 82, 84 и 86 на множество эллипсоидов разной формы и сгенерировать функции возмущений для эллипсоидов разной формы, соответствующих множеству областей. Здесь вместо эллипсоида, базовое тело может быть кубом, сферой или другим подобным объектом.
После этапа 34 на этапе 36 средство 16 проверки ошибок определяет ошибку между объектом, сформированным на основе функций возмущений, сгенерированных генератором 14 функции возмущений, и трехмерным объектом, полученным от редактора 10 или через узел ввода IN2.
После этапа 36 на этапе 38 средство 16 проверки ошибок проверяет, меньше ли величина ошибки, чем заданное пороговое значение и выдает результат проверки в виде управляющего сигнала на модуль 18 сохранения и генератор 14 функции возмущений. В соответствии с настоящим изобретением, пороговое значение может быть определено с учетом разрешения или размера устройства воспроизведения изображений (не показано на чертежах) для отображения изображения, содержащего трехмерный объект. Например, в случае высокого разрешения и большого размера устройства воспроизведения изображений, пороговое значение может принимать наименьшее из возможных значений. Тем не менее, когда разрешение низкое или мал размер устройства воспроизведения изображений, пороговое значение может принимать максимальное из возможных значений.
Если на этапе 38 выясняется посредством управляющего сигнала, что ошибка не меньше порогового значения, то процесс возвращается на этап 34, с тем чтобы генератор 14 функции возмущений более мелко разбил поверхность объекта, представленную информационной картой поверхности, по сравнению с предыдущим разбиением.
На Фиг. 6A и 6B представлены примеры первой и второй итераций процесса разбиения форм 80, 82, 84 и 86 по Фиг. 4C. Другими словами, Фиг. 6A показывает результат первого разбиения форм 80, 82, 84 и 86, а Фиг. 6B показывает результат второго разбиения форм 80, 82, 84 и 86. Здесь каждый из квадратов, представленных на Фиг. 6A и 6B, может быть одной из нескольких базовых форм.
Исходя из Фиг. 4C, 6A и 6B, формы 80, 82, 84 и 86 могут быть разбиты на области 100, 102, 104 и 106, соответственно. Затем, в случае если ошибка не меньше порогового значения, формы 80, 82, 84 и 86 могут быть переразбиты на области 120, 122, 124 и 126, соответственно. Например, Фиг. 6A соответствует результату, полученному после однократного выполнения этапов 34 и 36, а Фиг. 6B соответствует результату, полученному после двукратного выполнения этапов 34 и 36. Области 120, 122, 124 и 126 по Фиг. 6B были получены выполнением еще одной итерации для получения более мелкого разбиения, по сравнению с областями 100, 102, 104 и 106 по Фиг. 6A.
Если на этапе 38 выясняется посредством управляющего сигнала, что ошибка меньше порогового значения, то на этапе 40 модуль 18 сохранения устанавливает соответствие между коэффициентами функций возмущений, сгенерированными для базовых полигонов и полученными от генератора 14 функции возмущений, и информацией о базовых полигонах, соответствующих данным коэффициентам, сохраняет согласованные результаты и выводит сохраненные результаты через узел вывода OUT1. Другими словами, модуль 18 сохранения может сохранять согласованные результаты, как показано уравнением 7:
…(7)
где F(x,y,z) обозначает функцию возмущений для каждого базового полигона, R(x,y,z) обозначает информацию о базовом полигоне, соответствующем данной функции возмущений [F(x,y,z)], а F'(x,y,z) обозначает результат объединения коэффициентов функции возмущений F(x,y,z) с информацией R(x,y,z). Здесь информация о базовом полигоне может включать в себя информацию о позиции, указывающую на расположение базового полигона на поверхности трехмерного объекта.
В соответствии с настоящим изобретением, информация о базовом полигоне может быть представлена в виде функций возмущений или значений координат.
На Фиг. 7 представлена структурная схема устройства для обработки трехмерного объекта, использующего функцию возмущений, в соответствии с другим вариантом осуществления настоящего изобретения. Из Фиг. 7 видно, что устройство для обработки трехмерного объекта включает в себя селектор 200 данных, модуль 202 восстановления данных и модуль 204 восстановления объекта.
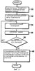
На Фиг. 8 представлена блок-схема последовательности операций, поясняющая способ обработки трехмерного объекта с использованием функции возмущений, в соответствии с другим вариантом осуществления настоящего изобретения. Здесь способ обработки трехмерного изображения включает в себя этап 220 выбора данных и этапы 222 и 224 восстановления объекта с использованием выбранных данных.
Устройство и способ для обработки трехмерного объекта по Фиг. 1 и 2 служат для сжатия и сохранения трехмерного объекта, в то время как устройство и способ для обработки трехмерного объекта по Фиг. 7 и 8 служат для восстановления трехмерного объекта на основе сжатых и сохраненных данных.
На этапе 220 селектор 200 данных по Фиг. 7 принимает данные, которые были согласованы и сохранены модулем 18 сохранения, через узел ввода IN3. Например, принятыми данными могут быть коэффициенты функций возмущений, полученные для базовых полигонов, и информация о базовых полигонах, согласованных с этими коэффициентами. Селектор 200 данных выбирает часть из принятых данных в ответ на ввод системной информации от внешнего источника через узел ввода IN4 и выводит результат выбора модулю 202 восстановления данных. Здесь системной информацией может быть информация о разрешении или размере устройства воспроизведения изображений (не показано на чертежах), включающего в себя прибор для обработки трехмерного объекта по Фиг. 7. Например, если из системной информации следует что, разрешение и/или размер устройства воспроизведения изображений высоки и/или велики, то селектор 200 данных выбирает и выдает данные в объеме, наибольшем из возможных, для мгновенного отображения. Тем не менее, если из системной информации следует, что разрешение и/или размер устройства воспроизведения изображений низки и/или малы, то селектор 200 данных выбирает и выводит данные в объеме, наименьшем из возможных.
После этапа 220 на этапе 222 модуль 202 восстановления данных восстанавливает функции возмущений для базовых полигонов и информацию о базовых полигонах на основе результата, выбранного селектором 200 данных, и выводит функции возмущений и восстановленную информацию о базовых полигонах модулю 204 восстановления объекта.
После этапа 222 на этапе 224 модуль 204 восстановления объекта принимает восстановленные функции возмущений для базовых полигонов и восстановленную информацию о базовых полигонах от модуля 202 восстановления данных, восстанавливает трехмерный объект на основе принятых функций возмущений и восстановленной информации и выдает восстановленный трехмерный объект через узел вывода OUT2.
Как описано выше, в устройстве и способе для обработки трехмерного объекта, в соответствии с настоящим изобретением, трехмерный объект может быть отредактирован, сжат и сохранен вне зависимости от формы трехмерного объекта. Также устройство и способ для обработки трехмерного объекта могут преодолеть ограничения неявного моделирования и быть пригодными для моделирования форм. Более того, данные о поверхности трехмерного объекта могут быть сжаты с высокой эффективностью, для того чтобы сделать структуру оборудования более простой и компактной. Сверх того, необходимое количество функций возмущений может быть получено таким образом, чтобы оно было приемлемо для разрешения или размера устройства воспроизведений на экране (не показан на чертежах). Кроме того, необходимое количество функций возмущений может быть считано. В результате объем данных, требующих сохранения или прочтения, может быть определен с высокой эффективностью.
Несмотря на то, что настоящее изобретение было подробным образом показано и описано со ссылкой на его иллюстративные варианты осуществления, специалисту в данной области техники должно быть понятно, что различные изменения в форме и деталях настоящего изобретения могут быть сделаны без выхода за пределы объема и сущности настоящего изобретения, определяемых нижеследующей формулой изобретения.
Формула изобретения
1. Устройство для обработки трехмерного объекта, содержащее:
генератор информационной карты поверхности, который получает информацию о позиции поверхности входного трехмерного объекта, упрощает поверхность входного трехмерного объекта во множество базовых полигонов, получает информацию о позиции упрощенной поверхности входного трехмерного объекта и генерирует информационную карту поверхности на основе информации о позиции поверхности входного трехмерного объекта до упрощения и информации о позиции упрощенной поверхности входного трехмерного объекта;
генератор функции возмущений, который разбивает поверхность каждого из упомянутых базовых полигонов, представленных информационной картой поверхности, на множество областей и генерирует функцию возмущений для каждой из упомянутых областей;
средство проверки ошибок, которое выполняет проверку в отношении того, меньше ли ошибка между объектом, сформированным на основе сгенерированных функций возмущений, и входным трехмерным объектом, чем некоторое пороговое значение, и выдает результат проверки как управляющий сигнал; и
модуль сохранения, который в ответ на управляющий сигнал устанавливает соответствие между коэффициентами функций возмущений для базовых полигонов и информацией о базовых полигонах, соответствующих данным коэффициентам, и сохраняет согласованные результаты,
при этом информационная карта поверхности есть информация о поверхности входного трехмерного объекта, и генератор функции возмущений более мелко делит поверхность объекта, представленную информационной картой поверхности в ответ на управляющий сигнал, по сравнению с предыдущим разбиением.
2. Устройство для обработки трехмерного объекта по п.1, дополнительно включающее в себя:
редактор, который редактирует трехмерное изображение или сеточные данные и выдает результаты редактирования в виде трехмерного объекта на генератор информационной карты поверхности.
3. Устройство для обработки трехмерного объекта по п.1, дополнительно включающее в себя:
селектор данных, который принимает согласованные и сохраненные результаты и выбирает часть из принятых результатов;
модуль восстановления данных, который восстанавливает функции возмущений базовых полигонов и информацию о базовых полигонах с использованием результата, выбранного селектором данных; и
модуль восстановления объекта, который восстанавливает трехмерный объект на основе функций возмущений, восстановленных для базовых полигонов, и восстановленной информации о базовых полигонах и выдает восстановленный трехмерный объект.
4. Устройство для обработки трехмерного объекта по п.1, в котором информация о базовых полигонах представляет собой функции возмущений или значения координат.
5. Способ обработки трехмерного объекта, включающий в себя этапы, на которых:
получают информацию о позиции поверхности входного трехмерного объекта, упрощают поверхность входного трехмерного объекта во множество базовых полигонов, получают информацию о позиции упрощенной поверхности входного трехмерного объекта и генерируют информационную карту поверхности на основе информации о позиции поверхности входного трехмерного объекта до упрощения и информации о позиции упрощенной поверхности входного трехмерного объекта;
разбивают поверхность каждого из упомянутых базовых полигонов, представленных информационной картой поверхности, на множество областей и получают функцию возмущений для каждой из упомянутых областей;
получают ошибку между объектом, сформированным на основе сгенерированных функций возмущений, и заданным трехмерным объектом;
определяют, меньше ли эта ошибка, чем некоторое пороговое значение; и,
если ошибка меньше этого порогового значения, устанавливают соответствие между коэффициентами функций возмущений, полученных для базовых полигонов, и информацией о базовых полигонах, основывающихся на этих коэффициентах, и сохраняют согласованные результаты,
при этом информационная карта поверхности есть информация о поверхности входного трехмерного объекта, и если определено, что ошибка не меньше, чем пороговое значение, то поверхность объекта, представленную информационной картой поверхности, разбивают более мелко по сравнению с предыдущим разбиением.
6. Способ обработки трехмерного объекта по п.5, дополнительно включающий в себя этап, на котором
редактируют заданное трехмерное базовое изображение или сеточные данные,
при этом результат редактирования соответствует заданному трехмерному объекту.
7. Способ обработки трехмерного объекта по п.6, в котором сеточные данные генерируют посредством редактирования заданного трехмерного базового изображения.
8. Способ обработки трехмерного объекта по п.6, дополнительно включающий в себя этапы, на которых:
выбирают часть согласованных и сохраненных результатов, полученных из внешнего источника;
восстанавливают функции возмущений для базовых полигонов и информацию о базовых полигонах на основе результата выбора и
восстанавливают трехмерный объект на основе функций возмущений, восстановленных для базовых полигонов, и восстановленной информации о базовых полигонах.
9. Способ обработки трехмерного объекта по п.6, в котором каждая из функций возмущений имеет вид:
F(x, y,z)=А11х2+А22у2+A33z2+А12ху+A13xz+A23yz+А14х+А24у+A34z+А44,
где F(x,y,z) обозначает функцию возмущений, А11, А22, А33, A12, а13, А23, A14, А24, А34 и А44 обозначают коэффициенты функции возмущений, и х, у и z обозначают оси в трехмерном пространстве соответственно.
10. Способ обработки трехмерного объекта по п.6, в котором функции возмущений выражены посредством следующих уравнений:

где х, у, и z обозначают оси координат в трехмерном пространстве, a, b и с обозначают произвольные величины на осях.
11. Способ обработки трехмерного объекта по п.5, в котором информация о базовых полигонах представляет собой функции возмущений или значения координат.
РИСУНКИ
MM4A – Досрочное прекращение действия патента СССР или патента Российской Федерации на изобретение из-за неуплаты в установленный срок пошлины за поддержание патента в силе
Дата прекращения действия патента: 04.09.2009
Извещение опубликовано: 20.07.2010 БИ: 20/2010
|
|