|
|
(21), (22) Заявка: 2004112586/09, 27.04.2004
(24) Дата начала отсчета срока действия патента:
27.04.2004
(43) Дата публикации заявки: 20.10.2005
(45) Опубликовано: 10.05.2006
(56) Список документов, цитированных в отчете о поиске:
СТЕПАНОВ О.А., КОШАЕВ Д.А. Исследование методов решения задачи ориентации с использованием спутниковых систем. “Гироскопия и навигация”, 1999, №2, с.30-55. RU 98114364 А, 10.05.2000. RU 2215299 С2, 27.10.2003. RU 2141118 C1, 10.11.1999. US 5198822 А, 30.03.1993. EP 0679901 A2, 02.11.1995.
Адрес для переписки:
300600, г.Тула, пр. Ленина, 92, ТулГУ, патентно-лицензионный сектор
|
(72) Автор(ы):
Богданов Максим Борисович (RU), Прохорцов Алексей Вячеславович (RU), Савельев Валерий Викторович (RU)
(73) Патентообладатель(и):
ТУЛЬСКИЙ ГОСУДАРСТВЕННЫЙ УНИВЕРСИТЕТ (ТулГУ) (RU)
|
(54) СПОСОБ ОПРЕДЕЛЕНИЯ УГЛОВОЙ ОРИЕНТАЦИИ ОБЪЕКТА
(57) Реферат:
Изобретение относится к области космической радионавигации и может быть использовано для определения углового положения объектов в пространстве. Достигаемым техническим результатом изобретения является повышение надежности системы путем уменьшения числа спутников, необходимых для определения ориентации объекта. Поставленная задача решается за счет того, что антенны количеством не менее трех расположены на объекте так, чтобы они не лежали на одной прямой, при этом антенны принимают сигналы от спутников, на основе которых определяются координаты спутников и разности фаз несущей частоты сигналов, принимаемых от спутников на разнесенные антенны, в которых (разностях фаз) содержится информация об углах между направлениями на спутники и векторами, образованными антеннами, на основе которой с привлечением информации о расположении антенн относительно объекта, о координатах объекта, о координатах спутников решается задача ориентации, при этом антенны принимают сигналы только от двух спутников (а не от трех и более), а информацию о координатах объекта получают от инерциальной навигационной системы или используют информацию о координатах точки старта. 1 ил.
Предлагаемое изобретение относится к области космической радионавигации и может быть использовано для определения углового положения объектов в пространстве.
Известен способ определения ориентации объектов по сигналам космических аппаратов глобальных навигационных спутниковых систем, основанный на приеме сигналов космических аппаратов каждым из четырех антенно-приемных устройств, расположенных на осях объектов, выделении сигнала с частотой Доплера, определении набега фаз колебаний с частотой Доплера путем интегрирования их на мерном интервале и определении углового положения объектов (Патент РФ N 2022294, МПК3 G 01 S 5/00).
Недостатком способа является длительное время, необходимое для проведения измерения углового положения. Это связано с тем, что для решения задачи ориентации необходимо, чтобы космические аппараты, излучающие сигналы, за время измерения существенно переместились в пространстве. Для космических аппаратов глобальных навигационных спутниковых систем, а в настоящее время существуют две системы: российская система ГЛОНАСС и американская – CPS, период обращения вокруг Земли которых составляет около 12 ч, необходимое время измерения соответствует десяткам минут – часам. Это существенно ограничивает возможность применения этого способа.
Недостатком способа является необходимость для определения ориентации объекта решать также навигационную задачу, т.е. определять координаты объекта, с помощью спутниковой навигационной системы, для чего необходимо получать сигналы минимум от трех спутников, что накладывает ограничение на число спутников, используемых для определения ориентации объекта, их должно быть не менее трех.
Задачей изобретения является повышение надежности системы путем уменьшения числа спутников, необходимых для определения ориентации объекта.
Поставленная задача решается таким образом, антенны количеством не менее трех, расположенные на объекте так, чтобы они не лежали на одной прямой, при этом антенны принимают сигналы от спутников, на основе которых определяются координаты спутников и разности фаз несущей частоты сигналов, принимаемых от спутников на разнесенные антенны, в которых (разностях фаз) содержится информация об углах между направлениями на спутники и векторами, образованными антеннами, на основе которой с привлечением информации о расположении антенн относительно объекта, о координатах объекта, о координатах спутников решается задача ориентации, при этом антенны принимают сигналы только от двух спутников (а не от трех и более), а информацию о координатах объекта получают от инерциальной навигационной системы или используют информацию о координатах точки старта.
Погрешность определения угловой ориентации, вследствие неточности знания координат объекта, будет невысокой, что объясняется тем, что спутники находятся на высоких орбитах (20000 км), (так если имеется информации только о точке старта объекта, но нет информации o текущих координатах объекта и объект летит на дальности не более 20 км, то погрешность в определении ориентации составит ± 3 угловые минуты).
Сущность способа заключается в следующем.
На объекте устанавливают, например, четыре антенны А, В, С, D (антенн может быть три и более, но для простоты понимания рассматриваются четыре антенны), причем направления векторов и совпадают с направлением осей связанной с объектом системы координат (антенн может быть три и более, но для простоты понимания сущности предлагаемого способа рассмотрим четыре антенны, они могут располагаться на объекте произвольным образом, главное чтобы все они не лежали на одной прямой). Антенны принимают сигналы от двух спутников S1 и S2.
Потом определяются углы между направлениями на спутники S1 и S2 и базами антенн АВ и CD:


где 1 – угол между АВ и направлением на спутник S1;
2 – угол между АВ и направлением на спутник S2;
1 – угол между CD и направлением на спутник S1;
2 – угол между CD и направлением на спутник S2;
1 – длина волны сигналов излучаемым спутником S1;
2 – длина волны сигналов излучаемым спутником S2;
 11 – разница фаз сигналов, принимаемых антеннами А и В от спутника S1;
 21 – разница фаз сигналов, принимаемых антеннами А и В от спутника S2;
 12 – разница фаз сигналов, принимаемых антеннами С и D от спутника S1;
 22 – разница фаз сигналов, принимаемых антеннами С и D от спутника S2;
d1 – расстояние между антеннами А и В;
d2 – расстояние между антеннами С и D.
Зная координаты спутников S1(x1,y1,z1) и S2(x2,y2,z2) в базовой системе координат и примерные координаты точки О (x,y,z) (определяемые либо с помощью инерциальной навигационной системы, либо используя информацию о точке старта) в базовой системе координат, вычисляем векторы {x1-x;y1-y;z1-z} и {x2-x;y2-y;z2-z}.
Зададим векторы, определяющие положение и т.е. положение двух осей связанной с объектом системы координат:
{l1; m1; n1}, {l2; m2; n2}
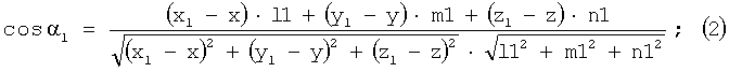
Запишем выражения, характеризующие углы между векторами , и , :
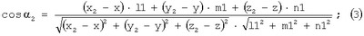
между и :

между и 

между и :

между и :

Из условия перпендикулярности между и запишем:

Запишем условие того, что вектора и имеют определенную длину d1 и d2:

Решая систему уравнений (2)-(7) с учетом (1), находим l1, m1, n1 и l2, m2, n2 вектора {l1; m1; n1}, {l2; m2; n2}, которые совпадают с осями связанной с объектом системы координат, и определяют их положение в базовой системе координат.
Положение третьей оси связанной системы координат можно найти как векторное произведение векторов и :
, т.е.

Таким образом, есть три компланарных вектора , и , которые совпадают с осями связанной с объектом системы координат, и определяют ориентацию объекта относительно выбранной базовой системы координат.
Таким образом, можно составить матрицу направляющих косинусов, характеризующую разворот связанной с объектом системы координат O  , (причем положительное направление оси O совпадает с направлением , положительное направление оси О совпадает с направлением , а положительное направление оси О совпадает с направлением ) относительно базовой системы координат Oxyz:
| |
х |
У |
Z |
 |
С11 |
С12 |
С13 |
 |
С21 |
С22 |
С23 |
 |
С31 |
С32 |
C33 |
где





Тогда углы курса, тангажа и крена , , можно найти:

Проведенное математическое моделирование подтвердило эффективность предлагаемого способа определения угловой ориентации объекта при приеме радиосигналов только от двух спутников.
Формула изобретения
Способ определения угловой ориентации объекта, основанный на приеме сигналов от космических аппаратов глобальных навигационных спутниковых систем на разнесенные антенны количеством не менее трех, расположенные на объекте так, чтобы они не лежали на одной прямой, при этом антенны принимают сигналы от спутников, на основе которых определяются координаты спутников и разности фаз несущей частоты сигналов, принимаемых от спутников на разнесенные антенны, в которых (разностях фаз) содержится информация об углах между направлениями на спутники и векторами, образованным антеннами, на основе которой с привлечением информации о расположении антенн относительно объекта, о координатах объекта, о координатах спутников решается задача ориентации, отличающийся тем, что антенны принимают сигналы только от двух спутников (а не от трех и более), а информацию о координатах объекта получают от инерциальной навигационной системы или используют информацию о координатах точки старта.
РИСУНКИ
MM4A – Досрочное прекращение действия патента СССР или патента Российской Федерации на изобретение из-за неуплаты в установленный срок пошлины за поддержание патента в силе
Дата прекращения действия патента: 28.04.2006
Извещение опубликовано: 10.12.2007 БИ: 34/2007
|
|