|
| На основании пункта 3 статьи 13 Патентного закона Российской Федерации от 23 сентября 1992 г. № 3517-I патентообладатель обязуется передать исключительное право на изобретение (уступить патент) на условиях, соответствующих установившейся практике, лицу, первому изъявившему такое желание и уведомившему об этом патентообладателя и федеральный орган исполнительной власти по интеллектуальной собственности, – гражданину РФ или российскому юридическому лицу. |
|
(21), (22) Заявка: 2004130335/28, 15.10.2004
(24) Дата начала отсчета срока действия патента:
15.10.2004
(45) Опубликовано: 10.05.2006
(56) Список документов, цитированных в отчете о поиске:
SU 1380476 A1, 27.04.2004. SU 1619852 A1, 23.05.1993. US 5041778 A, 20.08.2001.
Адрес для переписки:
182000, Псковская обл., Куньинский р-н, ст. Жижица, пос. Наумово, 6, кв.27, О.Ф.Меньших
|
(72) Автор(ы):
Меньших Олег Фёдорович (RU)
(73) Патентообладатель(и):
Меньших Олег Фёдорович (RU)
|
(54) УСТРОЙСТВО ДЛЯ ИЗМЕРЕНИЯ “КРАСНОГО СМЕЩЕНИЯ” ПЛОСКОПОЛЯРИЗОВАННОГО КОГЕРЕНТНОГО ИЗЛУЧЕНИЯ
(57) Реферат:
Устройство содержит лазер непрерывного действия, установленные в интерферометр Фабри-Перо три идентичные ячейки с исследуемым веществом – гетеродинную и две сигнальных, причем последние установлены в квадруполях, возбуждаемых от высокочастотного генератора синус-косинусного напряжения с вращением поперечных электрических полей в противоположных направлениях, а после интерферометра Фабри-Перо в их оптических цепях установлены скрещенные к лазерному излучению поляроиды, а также оптический приемник двух сигнальных и гетеродинного пучков, электрически соединенный с анализатором спектра. Технический результат – усиление эффекта обнаружения “красного смещения” и повышение точности производимых измерений. 1 з.п. ф-лы, 4 ил.
Известен эффект Фарадея, состоящий во вращении плоскости поляризации света в изотропном оптически прозрачном веществе, помещенном в продольное по отношению к направлению распространения света магнитное поле. Известно также, что вращение плоскости поляризации осуществляется в одном и том же направлении независимо от того, с какой стороны вещество зондируется световым полем, так что многократное прохождение света в таким веществе во взаимно противоположных направлениях (вдоль и против вектора напряженности магнитного поля) приводит к накоплению углов сдвига плоскости поляризации исходного светового излучения. В частности, такое накопление может быть осуществлено в намагничиваемом веществе, помещенном в интерферометр Фабри-Перо.
В соответствии с концепцией так называемого вращательного электродинамического эффекта (ВЭДЭ) вращение плоскости поляризации света, адекватное фарадеевскому, имеет место при помещении вещества (изотропного, оптически прозрачного) во вращающееся поперечное электрическое поле, создаваемое, например, высокочастотным генератором синус-косинусного напряжения, создающего достаточную напряженность электрического поля в веществе, и при этом вектор электрического поля вращается с частотой колебаний этого генератора в плоскости, ортогональной направлению распространения света в веществе [1]. Гармонические колебания указанного генератора, сдвинутые друг к другу на угол 90°, подаются на две пары пластин квадрупольного конденсатора, внутри которого помещено оптически прозрачное изотропное вещество, зондируемое плоскополяризованной волной света вдоль оси симметрии указанного квадрупольного конденсатора. Это обеспечивает взаимодействие поперечного вращающегося электрического поля в веществе на всем протяжении вдоль направления распространения света в нем.
Известно устройство [2] для генерирования электрических колебаний СВЧ-спектра, действие которого основано на преобразовании части энергии электромагнитной волны (ЭМВ), сформированной в виде короткого мощного цуга волн излучения лазера и проходящей через анизотропное вещество, помещенное в волноводную структуру, фазовая скорость распространения СВЧ-волны в которой согласована с групповой скоростью света в данном анизотропном веществе, что позволяет когерентно накапливать парциальные излучения СВЧ-колебаний в конце волноводной структуры. Это устройство можно считать ближайшим аналогом для заявляемого в данной заявке устройства (прототипом).
Недостатком известного устройства является невозможность регистрации “красного смещения” в выходном потоке излучения ЭМВ в связи с чрезвычайной кратковременностью этого события (соизмеримого с длительностью фронта нарастания светового импульса лазерного излучения) и значительным уширением спектра “красного смещения” из-за быстро экспоненциально изменяющейся во времени величины “красного смещения” от заданной величины до нулевой, что связано с недостаточной разрешающей способностью соответствующего спектроанализатора оптических излучений в режиме кратковременного анализа. Поэтому о специфическом нестационарном взаимодействии ЭМВ со средой в этом устройстве судят по характеру вторичного СВЧ-излучения среды [3].
Известное устройство содержит оптически связанные импульсный лазер и анизотропную среду, помещенную в круглый волновод, согласованный на входном конце с поглощающей нагрузкой и имеющий на выходном конце петлевой зонд с коаксиально-волноводным переходом, связанный с чувствительным СВЧ-приемником с перестраиваемой частотой, а также источник постоянного тока, соединенный с электропрозрачными электродами, между которыми размещено электрооптическое вещество (например, химически чистый нитробензол). Напряженность электрического поля смещения выбирается из условия обеспечения равенства длины цикличности переполяризации падающего лазерного излучения (определяемой анизотропией вещества) длине волны СВЧ-колебаний, накапливающихся когерентно в волноводе.
Указанный выше недостаток известного устройства устранен в заявляемом техническом решении.
Целью изобретения является обеспечение возможности обнаружения “красного смещения” и повышение точности производимых измерений при установившемся нестационарном взаимодействии плоскополяризованного когерентного излучения с исследуемой оптически прозрачной средой.
Указанная цель достигается в заявляемом устройстве, содержащем оптически связанные лазер непрерывного действия и кювету с исследуемой средой и отличающимся тем, что в него включены дополнительно вторая и третья аналогичные кюветы с исследуемой средой, оптически параллельно связанные с выходом лазера непрерывного действия через первую систему полупрозрачных и “глухих” отражателей, причем все три кюветы с исследуемой средой помещены в интерферометр Фабри-Перо, оптические выходы интерферометра Фабри-Перо для первой и второй кювет с исследуемой средой связаны с первым и вторым поляроидами, скрещенными к поляризации излучения лазера непрерывного действия, и вместе с выходом интерферометра Фабри-Перо для третьей кюветы с исследуемой средой оптически связаны через вторую систему полупрозрачных и “глухих” отражателей со входом оптического приемника, электрический выход которого соединен с анализатором спектра, кроме того, в устройство включен высокочастотный генератор синус-косинусного напряжения, соединенный с квадрупольными конденсаторами первой и второй кюветы с исследуемой средой таким образом, чтобы направления вращения поперечного электрического поля в исследуемых средах первой и второй кювет были противоположными.
Аналогичная задача решается в модифицированном устройстве, отличающимся тем, что все три кюветы с исследуемой средой выполнены в виде трех отдельных и одинаковых интерферометров Фабри-Перо.
Поставленные задачи обнаружения “красного смещения” и повышения точности проводимых измерений достигнуты в заявляемом устройстве благодаря увеличению длительности спектрального анализа при выполнении условия установившейся (постоянной) во времени нестационарности процесса взаимодействия ЭМВ лазера непрерывного действия со средой и выбранной двухканальной сигнальной и гетеродинной оптическими схемами обработки выходных излучений с их когерентным фотосмешением. При этом фактор непрерывной и постоянной по величине нестационарности взаимодействия ЭВМ со средой достигнут путем воздействия поперечного вращающегося электрического поля на среды первой и второй кювет и постоянными амплитудой и частотой, а удвоение эффекта чувствительности достигнуто за счет вращения указанных электрических полей в противоположных направлениях.
Заявляемое устройство представлено на фиг.1, его модификация – на фиг.2. Схема кюветы с исследуемой средой, помещенной в электрическое поле квадрупольного конденсатора, указана на фиг.3, там же указан метод соединения с высокочастотным генератором синус-косинусного напряжения (при этом замена направления вращения поперечного электрического поля в кюветах достигается заменой концов смежных обкладок квадруполя). На фиг.4 изображен поперечный разрез кюветы с исследуемой средой (круглого сечения) с обкладками квадрупольного конденсатора для выполнения условия высокой электрической прочности квадруполя при высоковольтном возбуждении среды поперечным вращающимся электрическим полем.
Рассмотрим работу заявленного устройства, указанного на фиг.1.
Когерентное плоскополяризованное излучение лазера 1 непрерывного действия первой системой полупрозрачных 2 и 3 и “глухих” 4 и 5 отражателей разделяется на три оптических канала и подается на интерферометр Фабри-Перо 6, в котором размещены три кюветы с исследуемой средой 7, 8 и 9. Вторая 8 и первая 9 кюветы с исследуемой средой выполнены в виде квадрупольных конденсаторов 10 и 11, подключенных к выводам высокочастотного генератора синус-косинусного напряжения 12. Все три выходных оптических сигнала воздействуют на вход фотоприемного устройства 13 с помощью второй системы полупрозрачных 14 и 15 и “глухих” 16 и 20 отражателей, причем на оптических выходах интерферометра Фабри-Перо 6 второй и первой кювет с исследуемой средой установлены соответственно поляроиды 17 и 18, скрещенные к поляризации излучения лазера 1 непрерывного действия. На выходе фотоприемного устройства 13, осуществляющего когерентный гетеродинный прием всех трех оптических компонент (гетеродинным является оптический канал с третьей кюветой с исследуемой средой 7, не подверженной возмущению электрическим полем высокочастотного генератора синус-косинусного напряжения 12), возникает радиосигнал разностных частот. Такая схема обеспечивает когерентное сложение всех трех компонент оптического излучения с высокой степенью взаимной когерентности, что существенно важно с учетом влияния кратковременной нестабильности частоты излучения лазера 1 непрерывного действия на работу анализатора спектра 19, выполненного по одной из известных схем с использованием дисперсионных линий задержки или линий с длительным взаимодействием.
Схема на фиг.2 практически ничем не отличается от работы рассмотренной выше схемы, но может оказаться более технологичной в изготовлении.
Исходным утверждением для ВЭДЭ является вращение плоскости поляризации света в изотропном оптически прозрачном веществе, приведенном во вращательное механически движение относительно оси вращения, совпадающей с направлением распространения света в веществе, выполненного, например, в форме цилиндрического образца. Подобно тому, как механическое вращение лазера, создающего плоскополяризованное излучение, приводит к адекватному вращению плоскости поляризации этого излучения, что связано с механизмом возбуждения и испускания фотонов атомами активного вещества лазера, которые приведены во вращательное движение, аналогичное явление имеет место и при взаимодействии световой волны с вращающимся веществом, атомы которого, взаимодействующие в процессах поглощения-испускания фотонов зондирующего света, приводятся в механическое вращение. При этом величина поворота плоскости поляризации света во вращающемся веществе определяется угловой скоростью вращения вещества и временем t=ln/с прохождения в нем световой волны, где l – длина образца, n – показатель преломления вещества для заданной длины волны света, с – скорость света в вакууме (3*108 м/с), то есть угол поворота  = ln/c.
Приложение поперечного вращающегося электрического поля к веществу приводит к адекватному вращению атомных диполей в веществе, то есть к такому же взаимодействию светового поля с атомами вещества, которое имеет место при механическом вращении вещества вдоль оси, коллинеарной направлению распространения света в веществе. Однако применение электрически вихревого поля выгодно тем, что можно на несколько порядков увеличить частоту вращения по сравнению с возможностями механического вращения образца, но в выражении для угла поворота  плоскости поляризации света появляется дополнительный множитель =f(E), являющийся функцией напряженности Е поперечного электрического поля в веществе, то есть  = ln/c. Постоянная взаимодействия электрического поля с веществом определяется опытным путем и является характеристикой для данного вещества аналогично произведению постоянной Верде для фарадеевского вращения плоскости поляризации света в продольном магнитном поле на величину напряженности последнего. Несложно показать, что действие поперечного вращающегося электрического поля на атомную структуру вещества оказывает такое же влияние, какое оказывает на структуру движения микрочастиц вещества действие в последнем продольного постоянного магнитного поля.
Помещение вещества, к которому приложено на всей его длине поперечное вращающееся электрическое поле, в интерферометр Фабри-Перо приводит к накоплению сдвигов плоскости поляризации света на угол   =2 Nln/c, где N – эффективное число двойных проходов световой волны в интерферометре Фабри-Перо, определяемое коэффициентом отражения многослойных покрытий интерферометра и потерями световой волны в исследуемом веществе на заданной его длине. При этом в двух одинаковых образцах изотропного оптически прозрачного вещества, помещенного внутрь электрических квадрупольных конденсаторов, создающих вращающиеся поперечные электрические поля Е в веществе, возникают указанные результирующие сдвиги плоскости поляризации падающего на интерферометр Фабри-Перо от оптического квантового генератора плоскополяризованного когерентного излучения соответственно на   – для одного из образцов и на –   – для другого образца, что связано с тем, что указанные электрические поля в этих образцах вращаются в противоположные стороны за счет соответствующего подключения квадрупольных конденсаторов к выходам высокочастотного генератора синус-косинусного напряжения. Отметим, что аналогичный эффект мог быть получен для однопроходного зондирования образцов вещества с эквивалентной длиной 2Nl для каждого из образцов, однако это привело бы к увеличению габаритов прибора в целом и к существенному росту емкости квадрупольных конденсаторов, что привело бы к необходимости многократного увеличения мощности высокочастотного генератора синус-косинусного напряжения.
Использование интерферометра Фабри-Перо для накопления сдвигов плоскости поляризации падающего излучения приводит к тому, что на его выходах образуется “линейчатый спектр” оптических компонент с экспоненциально убывающими амплитудами и линейно возрастающими сдвигами плоскости поляризации (соответственно для двух образцов в противоположные стороны от исходной плоскости поляризации падающего на интерферометр излучения). Это естественно связано с тем, что часть светового поля при каждом из двойных проходов поля внутри интерферометра выходит из последнего в направлении к фотоприемному устройству. Следовательно, на выходе интерферометра Фабри-Перо образуется непрерывно во времени группа оптических колебаний, амплитуда которых убывает по экспоненциальному закону a(i)=рА0ехр(-i/N0), где i – целое положительное число (номер компоненты) от 1 до некоторого максимального номера m, A0 – амплитуда светового поля на входе интерферометра Фабри-Перо, p – амплитудное пропускание интерферометра, учитывающее отражающие покрытия его и потери в образце вещества, N0 – постоянная затухания экспоненты – некоторое число двойных проходов света в интерферометре, при котором амплитуда света на его выходе a(N0)=рА0/е (где е=2,71828 – основание натурального логарифма). При этом в каждой из этих компонент имеет место сдвиг плоскости поляризации на величину  (i)=2 iln/c соответственно в ту или другую стороны для двух образцов относительно исходной поляризации излучения.
Каждая из указанных компонент с амплитудой (i) и поляризационным сдвигом + (i) – для одного образца и соответственно со сдвигом – (i) – для другого образца проходят через поляроиды, скрещено ориентированные по отношению к поляризации излучения оптического квантового генератора. Известно, что световой поток на выходе поляроида, ориентированного под углом к направлению поляризации плоскополяризованной волны света, уменьшается пропорционально величине cos2 . В случае, когда угол поворота поляроида = /2, свет через поляроид практически не проходит. Следовательно, установка скрещенных поляроидов в оптических цепях рассматриваемых двух образцов приводит к перераспределению амплитуд оптических компонент на их выходах по закону a(i)вых=рА0ехр(-i/N0)sin(2 iln/c) с поляризацией этих компонент, указанной выше. Коэффициент передачи для указанных выходных амплитудных компонент K(i)=а(i)вых/pA0=ехр(-i/N0)sini , где =2 ln/c – некоторая постоянная, по переменной i выражается графиком функции F(x)=ехр(-x/N0)sin x при замене дискретного i на непрерывную переменную x. Эта функция образуется при перемножении спадающей экспоненты и возрастающей синусоидальной функции на ее начальном участке (до /4) в силу малости величины . Следовательно, эта функция F(x) имеет максимум при значении xopt, который вычисляется приравниванием нулю производной от этой функции. Нетрудно видеть, что F(x)|‘x=ехр(-x/N0)[ cos x-(1/N0)sin x]. Приравнивая нулю эту производную с учетом неравенства нулю стоящего за скобками сомножителя, находим, что cos xopt=(1/N0)sin xopt, откуда находим значение xopt=(1/ )arctg( N0). Как известно, функция арктангенса может быть представлена рядом вида

В предположении малости величины аргумента функции арктангенса можно с достаточной степенью точности полагать, что оптимальное значение величины xopt=N0. Таким образом, максимум амплитуды на выходах поляроидов достигается для компонент с номером N0, при котором значение амплитуды а(N0)вых=(2/e)pA0N0 ln/c, где =f(E) и лежит в пределах 0< <1. Так, в отсутствие поля Е имеем a(N0)=0.
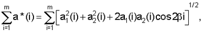
Сложение компонент световых волн, образующихся на выходе двух указанных поляроидов и имеющих поляризации, сдвинутые относительно исходной поляризации излучения оптического квантового генератора на различные углы a(i) симметрично в противоположных направлениях, образует суммарные компоненты с поляризациями, не отличающимися от исходной поляризации падающего на интерферометр Фабри-Перо светового потока. При этом после указанного почленного (то есть с одинаковыми номерами i) сложения компонент результирующие амплитуды представляют сумму вида:

где i=1, 2, 3…N0…m>N0, а индексы 1 и 2 при амплитудах a(i) указывают на компоненты, исходящие из рассматриваемых двух образцов в интерферометре Фабри-Перо, к которым приложено вращающееся поперечное электрическое поле.
В предположении малости угла 2 i< /4 указанные выше суммы можно записать в виде

Отметим, что максимальная амплитуда достигается при i=N0 и равна
a(N0)*вых=4pA0(1/e) N0ln/c, то есть вдвое больше амплитуды на выходе каждого из поляроидов в отдельности. Важно отметить, что, кроме удвоения амплитуды, использование двухканального преобразования светового потока приводит к восстановлению поляризации суммируемых попарно компонент до ее исходного значения, что положительно отражается на коэффициенте гетеродинного преобразования этих компонент в фотоприемном устройстве с участием в преобразовании опорного пучка света с выхода третьего образца, в котором не происходит изменения поляризации излучений оптического квантового генератора. При этом фотоприемное устройство работает в качестве оптического смесителя, выделяя разностные частоты между колебаниями 0 оптического квантового генератора (гетеродинного пучка света с выхода третьего образца, помещенного в интерферометр Фабри-Перо) и оптическими частотами спектра суммарных колебаний, образованных от сложения компонент с выходов поляроидов.
Аналогичный, но энергетически менее выгодный, эффект можно получить и при использовании только одного образца с квадрупольным возбуждением его вращающимся поперечным электрическим полем, вместо двух. Но при этом смешение оптических пучков (сигнального и гетеродинного) в фотоприемном устройстве будет осуществляться с оптическими колебаниями, имеющими разные поляризации, что снизит передаточную характеристику такого гетеродинного преобразования, хотя такой вариант конструктивно существенно проще рассмотренного выше и не требует фазовых юстировок при сложении оптических пучков с выходов поляроидов (элементы таких юстировок, например, фазовые пластинки, в рассматриваемой оптической трехканальной схеме не указывались).
В соответствии с законом сохранения поляризации электромагнитных волн всякое нестационарное взаимодействие поля с веществом, в результате которого электромагнитное поле вынуждено изменять свою первоначальную поляризацию, а в веществе происходит адекватное изменение структуры движения его микрочастиц, сопровождается изменением энергии соответствующей части электромагнитного поля, вследствие чего возникает вторичное излучение в веществе, а потеря части энергии в электромагнитной волне приводит к “красному смещению” (понижению частоты 0) для той части волнового поля, которая нестационарно взаимодействует с веществом. Если последнее не испытывает иных возмущающих структуру движения микрочастиц факторов, кроме действия электромагнитного поля, то в системе “волновое поле-вещество” устанавливается динамическое равновесие между деполяризующими свойствами среды и влиянием волны на изменение структуры движения микрочастиц среды. В результате установления такого динамического равновесия величина “красного смещения” экспоненциально убывает, после чего “красное смещение” более не возникает, пока среда не изменит своих деполяризующих свойств или электромагнитная волна не изменит свою поляризацию в силу каких-то причин, не зависящих от свойств среды, с которой волна взаимодействует.
Нетрудно понять, что при механическом вращении образца или при приложении к нему поперечного вращающегося электрического поля на всей его длине, вдоль которой такое взаимодействие поля с веществом можно назвать стационарно нестационарным, в силу закона сохранения поляризации электромагнитных волн при таком виде взаимодействия “красное смещение” также стационарно и может быть зарегистрировано при использовании высококогерентных источников света непрерывного действия, создающих одночастотные высокостабильные оптические плоскополяризованные колебания. Фактор непрерывности, стабильности и одночастотности таких колебаний существенен для выделения сигнальных компонент “красного смещения” на выходе фотоприемного устройства как гетеродинного фотосмесителя при соответствующей обработке полученного на выходе фотосмесителя сигнала “биений” (на частоте “красного смещения”)  (i)= 0– cv(i), где см(i) – оптические частоты компонент, образующихся в образцах рассматриваемой схемы (на выходе поляроидов) под действием приложенного к ним поперечного вращающегося электрического поля.
Физические основы возникновения “красного смещения” частоты электромагнитного поля при его нестационарном взаимодействии со средой составляют следующую причинно-следственную совокупность:
1. В результате взаимодействия электромагнитной волны (ЭМВ) со средой в последней возникает характерная структура движения микрочастиц среды, и в установившемся состоянии взаимодействия такая структура определяется поляризацией ЭМВ.
2. Изменение поляризации ЭМВ вызывает изменение структуры движения микрочастиц среды, и экспоненциальный процесс установления равновесного состояния происходит с определенным временным запаздыванием.
3. Для различных сред постоянная времени запаздывания в установлении равновесного (стационарного) состояния между структурой движения микрочастиц среды и поляризацией ЭМВ может быть различной.
4. Изменение структуры движения микрочастиц среды – есть процесс энергетический, связанный с затратой энергии со стороны той части ЭМВ, которая участвует в изменении структуры движения микрочастиц среды под действием изменившейся поляризации ЭМВ.
5. Уменьшение энергии части ЭМВ, связанной с изменением структуры движения микрочастиц среды, сопровождается “красным смещением” в этой ее части.
6. Дифференциал “красного смещения” для той части ЭМВ, которая вызывает изменение структуры движения микрочастиц среды, пропорционален величине запаздывания в установлении структуры движения микрочастиц среды по отношению к текущему значению поляризации ЭМВ в заданном дифференциальном объеме среды.
7. Величина “красного смещения” ЭМВ на выходе среды определяется путем интегрирования дифференциалов “красного смещения” по длине среды в направлении распространения в ней ЭМВ и прямо пропорциональна частоте колебаний ЭМВ.
8. В процессах взаимодействия ЭМВ со средой ее атомы (молекулы) поглощают или излучают квантованные порции энергии, пропорциональные произведению постоянной Планка на частоту колебаний ЭМВ, независимо от ее интенсивности, но в соответствии с калибровочным соотношением для данной конкретной среды, определяющим время возбуждения или излучения атомов (молекул) в зависимости от плотности потока мощности (вектора Пойнтинга), действующей в этой среде.
9. Электромагнитное поле – есть чисто волновой процесс передачи энергии как в свободном пространстве, так и в среде, с которой ЭМВ взаимодействует. Никакого квантования электромагнитного поля по энергии при взаимодействии его со средой не происходит, и все известные явления и эффекты, связанные с электромагнитными полями, могут быть объяснены в рамках волновой теории колебаний.
10. Вынужденное изменение поляризации ЭМВ при взаимодействии с анизотропной (оптически активной) средой сопровождается таким изменением структуры движения микрочастиц этой среды, которое стремится уменьшить деполяризующее влияние среды на ЭМВ в течение соответствующего переходного процесса.
11. Действие поляризации ЭМВ на структуру движения микрочастиц среды вызывает реакцию противодействия со стороны последней на поляризацию ЭМВ в процессе нестационарного взаимодействия ЭМВ со средой.
12. Вынужденное изменение структуры движения микрочастиц среды как результат взаимодействия с ЭМВ вызывает излучение средой вторичных ЭМВ и увеличение ее внутренней (тепловой) энергии.
13. Выделяющаяся в среде энергия в результате нестационарного взаимодействия ЭМВ со средой в соответствии с законом сохранения энергии равна энергии “красного смещения” соответствующей части ЭМВ.
14. Постоянное и однонаправленное изменение поляризации ЭМВ, зондирующей среду, при котором в среде возникает постоянное запаздывание в установлении структуры движения ее микрочастиц, соответствующей равновесному состоянию по отношению к текущему значению поляризации ЭМВ, вызывает постоянно действующее “красное смещение”, являющееся монохромным. Такой процесс стационарен в своей нестационарности и позволяет обнаружить аппаратурно эффект “красного смещения” ЭМВ.
15. Всякая ЭМВ стремится сохранить состояние поляризации неизменным, и в процессе нестационарного взаимодействия со средой она так изменяет структуру движения ее микрочастиц, что последняя минимизирует поляризационные изменения ЭМВ.
16. Динамика нестационарного процесса взаимодействия ЭМВ со средой определяется решением соответствующей системы дифференциально-разностных уравнений с переменными параметрами и запаздыванием.
Обнаружение частотных компонент “красного смещения”, имеющего постоянный устойчивый характер на фоне шума гетеродинирования, связанного с кратковременной нестабильностью частоты 0 оптического квантового генератора с конечной собственной спектральной шириной линии излучения, что маскирует сигналы “красного смещения”, возможно специальными методами обработки, в основе которых лежит принцип длительного накопления информации о наличии детерминированного сигнала в превалирующем по уровню шуме. Действие таких накопителей учитывает детерминированность полезного (обнаруживаемого) сигнала и случайный характер распределения шумовых компонент в совокупном сигнале, возникающем на выходе фотоприемного устройства.
Автором разработаны спектроанализаторы слабых детерминированных радиосигналов, работающие при отношении сигнал/шум существенно меньше единицы, с использованием для обработки дисперсионных ультразвуковых линий задержки, а также линий задержки с длительным взаимодействием [4-12]. Детерминированность сигнала “красного смещения” принимается априорно, хотя незнание точной величины частоты “красного смещения” приводит к необходимости использования поисковых итерационных перестраиваемых схем обработки, что хотя и осложняет процесс обнаружения, но принципиально обеспечивает выполнение задачи обнаружения.
К оптическому квантовому генератору должны быть предъявлены достаточно жесткие требования к длине когерентности излучения, поскольку использование интерферометра Фабри-Перо с помещенными в него тремя одинаковыми по параметрам образцами эквивалентно многократному увеличению длины каждого из них. Так, при использовании образцов с потерями в десятые доли одного процента (при высокой однородности и прозрачности образцов) и полупрозрачных селективных многослойных покрытий интерферометра с коэффициентами отражения порядка 0,99 можно получить порядка 100 эффективных переотражений волны света (N0=100) в интерферометре Фабри-Перо. Снижения потерь на торцах образцов, помещенных в интерферометр, можно добиться выполнением самих образцов как трех независимых интерферометров Фабри-Перо путем напыления отражающих многослойных покрытий непосредственно на плоскопараллельные торцы образцов, как это имеет место в технологии изготовления твердотельных лазеров. Третий из образцов – не возмущаемый внешним поперечным вращающимся электрическим полем – используется именно для существенного ослабления требований к длине когерентности лазерного излучения. Его идентичное исполнение с двумя другими образцами обеспечивает фотосмешение гетеродинной и сигнальной оптических компонент в условиях отсутствия временной задержки между смешиваемыми компонентами световых пучков, что существенно важно для снижения потерь сигнала, связанных с кратковременной нестабильностью лазерного излучения [13-15].
При заданном постоянном во времени темпе изменения структуры движения микрочастиц среды, в которой распространяются электромагнитные колебания, что характеризует ВЭДЭ, величина “красного смещения” линейно зависит от длины этой среды вдоль вектора Пойнтинга электромагнитного поля. Поэтому на выходе фотоприемного устройства будет зарегистрировано не одно “красно-смещенное” колебание, а линейчатый спектр таких “красно-смещенных” колебаний, что объясняется многократными переотражениями волн света в интерферометре Фабри-Перо, в результате чего на его выходе будут присутствовать составляющие оптического поля от однократного, двухкратного, трехкратного и т.д. прохождения световой волны внутри интерферометра Фабри-Перо с соответственно нарастающими сдвигами поляризации, о чем указано выше. Таким образом, в результате фотосмешения на выходе фотоприемного устройства образуется спектр “биений” следующего вида:

где Агет. – амплитуда гетеродинного пучка света на входе фотоприемного устройства, r – коэффициент преобразования при фотосмешении оптических компонент, @ – коэффициент “деполяризационного трения” вещества, из которого выполнены образцы в рассматриваемой оптической схеме, определяющий потери энергии волнового поля при его нестационарной деполяризации веществом и связывающий величину сдвига поляризации в данном веществе с величиной “красного смещения”.
В левой части этого равенства представлен эквидистантный спектр гармонических колебаний, образующихся на выходе фотоприемного устройства, явный вид которых определен суммой вида

где АKC – амплитуда радиосигнала “красно-смещенной” компоненты, пропорциональная амплитуде волнового поля а*(i), определяемая номером i эффективного переотражения света в интерферометре Фабри-Перо, i – начальная фаза колебаний в i-й гармонике.
Как было выяснено ранее, наиболее сильным является гармоническое колебание на частоте N0  , где смещение частоты волнового поля  реализуется при одном двойном проходе волны через образец. Все остальные гармонические составляющие справа и слева на частотной оси относительно данной частоты будут иметь спадающие амплитуды по мере удаления от этой центральной частоты радиочастотного “волнового пакета”. Поэтому спектроанализатор поискового типа с указанными средствами обработки сигнала, слабого по сравнению с шумом, должен настраиваться на данную частоту N0  , априорно неизвестную экспериментатору. При проведении поиска могут быть зафиксированы и другие радиочастотные компоненты (более слабые) в соответствии с рассмотренным алгоритмом их получения при исследовании “красного смещения”.
Следует отметить, что частота  “красного смещения” волнового поля никак не связана кратными отношениями с частотой f= /2 высокочастотного генератора синус-косинусного напряжения, образующего в квадруполях поперечное вращающееся электрическое поле. Эта частота зависит от рода вещества и степени его “возмущения” указанным электрическим полем – его напряженностью Е и круговой частотой , а также линейно зависит от эффективной длины (от времени) взаимодействия поля с веществом. По-видимому, вторичное излучение в веществе при этом столь мало, что фиксировать его традиционными средствами нецелесообразно, хотя теоретически оно должно существовать в той или иной физической форме.
Заявленная в качестве открытия закономерность сохранения поляризации электромагнитных волн (справка МААНОиИ №ВВ-155 от 17.10.2003 г.) экспериментально обосновывалась на опытной регистрации СВЧ импульсного излучения в качестве вторичной волны при зондировании анизотропной среды, помещенной в круглом согласованном волноводе, коротким мощным импульсом когерентного света, создаваемого импульсным лазером [2]. При этом было сложно зафиксировать факт наличия “красного смещения”, время существования которого было столь мало, что адекватный ему спектр такого сигнала был существенно шире частоты ожидаемого “красного смещения”. Кроме того, и сама частота “красного смещения” в таком процессе экспоненциально уменьшалась от некоторой малой величины до нулевой в течение промежутка нестационарности взаимодействия волнового поля со средой. При исследовании ВЭДЭ вышеописанным способом, наоборот, “красное смещение” стационарно и допускает процедуру его обнаружения специальными известными средствами, хотя вторичное излучение среды взаимодействия обнаружить сложно. Таким образом, предложенные два экспериментальных подхода дополняют друг друга и обосновывают существование как ВЭДЭ, так и рассматриваемой закономерности сохранения поляризации электромагнитных волн. Следует также указать, что возможность униполярного намагничения диамагнитных и парамагнитных веществ, помещенных во вращающееся электрическое поле, была предсказана автором в 1964 г. [16], что позволило в последующем заявить об аналогичном эффекте с использованием для намагничения оптически прозрачных веществ электромагнитной волны с циркулярной поляризацией [17-18].
Рассмотрим некоторые особенности конструкции заявляемого устройства.
Образцы 8 и 9 могут быть выполнены в форме длинных параллелепипедов с квадратным поперечным сечением, на боковые грани которого напылены металлические электроды квадрупольного конденсатора. Должна быть предусмотрена надежная изоляция между смежными пластинами-электродами для исключения электрического пробоя, поскольку к конденсаторным парам подводятся высокочастотные и высоковольтные гармонические колебания со сдвигом фаз 90°, и напряжение между смежными электродами в квадруполе может достигать значительных величин (до нескольких киловольт). Возможно также применение цилиндрических образцов (что проще в их изготовлении), помещаемых в изолированные каркасы, например, из вторпласта или полиуретана при уравнивании диэлектрических проницаемостей материала каркаса с веществом образцов для получения необходимой однородности электрического поля внутри последних (фиг.4).
Для получения вращающихся в противоположные стороны электрических полей в образцах 8 и 9 достаточно в одноименных смежных обкладках квадруполя поменять местами проводники подключения к генератору 12 синус-косинусного высокочастотного напряжения. Для получения двух колебаний с частотой , сдвинутых по фазе на 90°, следует связывать каждую из пар квадрупольного конденсатора с колебательным контуром с резонансной частотой через дополнительные реактивные элементы (соответственно – конденсатор и катушку индуктивности), определяющие расстройки контура в противоположные по частотной оси стороны на величину, соответствующую полуширине резонансной кривой колебательного контура, включенного в выходном каскаде высокочастотного генератора. Ёмкости пар квадрупольных конденсаторов, связанных с образцами 8 и 9, входят в состав реактивных элементов указанного колебательного контура высокочастотного генератора.
Задача поиска априорно неизвестной частоты “красного смещения” в сигнале, получаемом на выходе фотоприемного устройства, с помощью спектроанализатора, обнаруживающего слабый по сравнению с шумом, но детерминированный по частоте радиосигнал, существенно облегчается благодаря возможности перестройки частоты “красного смещения” путем вариации напряженности электрического поля Е в образцах 8 и 9 рассмотренного устройства регулировкой выходного напряжения высокочастотного генератора 12.
На фиг.4 дано поперечное сечение каркаса, выполненного из диэлектрического материала с высокой электрической прочностью (вторпласт, полиуретан), внутрь которого вводится образец цилиндрической формы либо заливается исследуемая жидкость. Для сохранения однородности электрического поля внутри исследуемой среды, диэлектрическая проницаемость последней должна быть близка к диэлектрической проницаемости материала каркаса. После наложения электродов с изолированными проводниковыми выводами в продольные пазы каркаса эти пазы заливают изоляционным компаундом для увеличения электрической прочности изделия.
Так, при ширине электрода 6 мм его длине 150 мм и расстоянии между оппозитными парами конденсаторов в квадруполе 10 мм (что позволяет иметь диаметр светового пучка до 5 мм) емкость каждого конденсатора составляет около 2 пФ. При использовании высокочастотного генератора с частотой генерирования 10 МГц индуктивность его выходного резонансного контура имеет порядок 62,5 мГн при работе на емкостную нагрузку двух указанных конденсаторов квадруполя. Элементы связи контура с квадрупольными секциями, обеспечивающие сдвиг фазы колебаний в конденсаторах квадруполя на 90°, имеют следующие параметры: последовательно включенная емкость 200 пФ в одной цепи и последовательно включенная индуктивность 625 мкГн – в другой. При этом в веществе создается напряженность поперечного вращающегося электрического поля в 10 кВ/см при добротности выходного резонансного колебательного контура порядка 100 при мощности высокочастотного генератора около 1 кВт. Может потребоваться схема охлаждения образцов исследуемого вещества. Возможны и другие варианты.
Устройство может быть использовано в лабораторных условиях для диагностики закономерностей взаимодействия ЭМВ с оптически прозрачными веществами, что расширит представления о природе материи.
Литература
1. О.Ф.Меньших. Вращательный электродинамический эффект. Заявка на открытие №32-ОТ-4488, приоритет от 29.05.1965 г.
2. О.Ф.Меньших. Способ генерирования электрических колебаний, Авторское свидетельство СССР №1380476 по заявке №3579112/40-25 от 15.04.83 г. (от ГОИ им. С.И.Вавилова), первоначально поданная заявка №1809470/26-9 от 07.07.72 г. (от предприятие п/я Г-4112), опубл. “Изобретения. Полезные модели”, №12 – 2004 г. от 24.04.2004 г. (прототип).
3. О.Ф.Меньших. Генерирование микроволн в анизотропных средах действием оптической ударной волны. Доклад на V Всесоюзном семинаре по оптоэлектронике. Институт проблем управления АН СССР, 22.04.1975 г., Москва.
4. О.Ф.Меньших. Способ спектрального анализа сигналов. Патент РФ №2071066 по заявке №4911885/21 от 15.02.91 г.
5. О.Ф.Меньших. Согласованный фильтр. Патент РФ №2016493 по заявке №4048045/22 от 24.06.91 г.
6. О.Ф.Меньших. Устройство для анализа спектра сигналов. Патент РФ №2040798 по заявке №5028254/10 от 20.02.92 г.
7. О.Ф.Меньших. Лазерный доплеровский локатор. Авторское свидетельство СССР №1829641 по заявке №4921467/09 от 25.03.91 г.
8. О.Ф.Меньших. Измеритель частоты сигналов лазерного доплеровского локатора. Авторское свидетельство СССР №1621728 по заявке №4410528/40-22 от 15.04.88 г.
9. О.Ф.Меньших. Измеритель частоты сигналов лазерного доплеровского локатора. Авторское свидетельство СССР №1621729 по заявке №4410535/40-22 от 14.04.88 г.
10. О.Ф.Меньших. Лазерный когерентный локатор. Авторское свидетельство СССР №248508 по заявке №3135142/22 от 27.01.86 (два соавтора).
11. О.Ф.Меньших. Исследование процессов оптимизации отношения сигнал/шум в спектроанализаторах лазерных доплеровских локаторов, выполненных на базе дисперсионных линий задержки и линий задержки с длительным взаимодействием, Монография. 2004 г. (подготавливается к печати).
12. О.Ф.Меньших. Спектроанализатор лазерного доплеровского локатора. Авторское свидетельство СССР №1595219 по заявке №4446277/24-21 от 14.04.88 г.
13. О.Ф.Меньших. Способ измерения кратковременной стабильности частоты излучения газовых лазеров. Авторское свидетельство СССР №1554719 по заявке №4325368/24-25 от 06.11.87 г.
14. О.Ф.Меньших. Устройство для измерения кратковременной стабильности частоты излучения в гетеродинной системе связанных СО2-лазеров. Авторское свидетельство СССР №1556291 по заявке №4408803/25-40 от 11.04.88 г.
15. О.Ф.Меньших, Ф.И.Хайтун. Адаптивный лазерный доплеровский локатор. Авторское свидетельство СССР №2012013 по заявке №4853357/21 от 24.07.90 г.
16. О.Ф.Меньших. Явление намагничивания материалов во вращающихся электрических полях. Заявка на открытие №32-ОТ-3703 от 15.04.1964 г.
17. О.Ф.Меньших. Светомагнитный эффект. Заявка на открытие №32-ОТ-4540 от 30.06.1965 г.
18. О.Ф.Меньших. Исследование оптических свойств веществ (кристаллов) на основе обратного эффекта Фарадея. Доклад на Всесоюзном симпозиуме по спектроскопии, 06.09.1966 г., Новосибирский научный центр.
Формула изобретения
1. Устройство для измерения “красного смещения” плоскополяризованного когерентного излучения, содержащее оптически связанные лазер непрерывного действия и кювету с исследуемой средой, отличающееся тем, что в него включены дополнительно вторая и третья аналогичные кюветы с исследуемой средой, оптически параллельно связанные с выходом лазера непрерывного действия через первую систему полупрозрачных и “глухих” отражателей, причем все три кюветы с исследуемой средой помещены в интерферометр Фабри-Перо, оптические выходы интерферометра Фабри-Перо для первой и второй кювет с исследуемой средой связаны с первым и вторым поляроидами, скрещенными к поляризации излучения лазера непрерывного действия, и вместе с выходом интерферометра Фабри-Перо для третьей кюветы с исследуемой средой оптически связаны через вторую систему полупрозрачных и “глухих” отражателей со входом оптического приемника, электрический выход которого соединен с анализатором спектра, кроме того, в устройство включен высокочастотный генератор синус-косинусного напряжения, соединенный с квадрупольными конденсаторами первой и второй кювет с исследуемой средой таким образом, чтобы направления вращения поперечного электрического поля в исследуемых средах первой и второй кювет были противоположными.
2. Устройство по п.1, отличающееся тем, что все три кюветы с исследуемой средой выполнены в виде трех отдельных и одинаковых интерферометров Фабри-Перо.
РИСУНКИ
|
|