|
(21), (22) Заявка: 2003119072/04, 27.11.2000
(24) Дата начала отсчета срока действия патента:
27.11.2000
(43) Дата публикации заявки: 27.12.2004
(45) Опубликовано: 10.05.2006
(56) Список документов, цитированных в отчете о поиске:
US 4857512, 15.08.1989. RU 2104016, 10.02.1998.
(85) Дата перевода заявки PCT на национальную фазу:
27.06.2003
(86) Заявка PCT:
IB 00/01946 (27.11.2000)
(87) Публикация PCT:
WO 02/42335 (30.05.2002)
Адрес для переписки:
103735, Москва, ул. Ильинка, 5/2, ООО “Союзпатент”, пат.пов. А.П.Агурееву
|
(72) Автор(ы):
ФРИАС ПЕНА Хосе Мануэль (ES)
(73) Патентообладатель(и):
БОМСУНД ГРУПО АСЕСОР, С.Л. (ES)
|
(54) ПОЛИСАХАРИД С ИММУНОСТИМУЛИРУЮЩЕЙ АКТИВНОСТЬЮ, СПОСОБ ЕГО ПОЛУЧЕНИЯ И ПРИМЕНЕНИЕ
(57) Реферат:
Описан полисахарид формулы I

где n=7-8 и где Araf означает арабинофуранозу, Galp означает галактопиранозу и Rhap означает рамнопиранозу, предназначенный для применения в качестве лекарственного средства для лечения иммуносупрессорных заболеваний, а также способ получения этого полисахарида, включающий отделение цветков растения Calendula officinalis, обработку их по способу экстракции, включающему очистку цветков; измельчение цветков; обработку измельченных цветков лазерным излучением; суспендирование в воде полученной смеси мацерацию суспензии и отделение полученной жидкости; а также обработку полученной жидкости по способу выделения, включающему осаждение метанолом, центрифугирование и хроматографическое разделение, направляемое биоанализом. 4 н. и 12 з.п. ф-лы, 26 ил., 2 табл.
Область техники, к которой относится изобретение
Настоящее изобретение относится к полисахариду формулы I, обнаруживающему иммуностимулирующую активность, к способу его получения, к его применению при лечении иммуносупрессорных заболеваний и к содержащим его фармацевтическим композициям.
Уровень техники
Иммунную систему можно определить как собрание молекул, клеток и органов, чьи сложные взаимодействия образуют эмерджентную систему, как правило, способную защитить индивидуум как от внешних посягательств, так и от собственных измененных клеток.
Иммунную систему можно разделить на две функционально различные части: часть, элементы которой являются врожденными, и часть, элементы которой являются приобретенными. Врожденный иммунитет относят на счет иммунных элементов, которые неспецифические и неадаптивные. Они способны различать инородные ткани/организмы, но не способны распознавать определенного посягателя. Приобретенный иммунитет относят на счет элементов, которые специфичны и адаптивны. Они способны отличать инородные клетки от собственных и могут отличать один инородный антиген от другого. Приобретенный иммунитет обладает памятью. Это делает возможными иммунизацию и сопротивление повторному заражению тем же микроорганизмом. Клетками, ответственными за иммунитет, являются лимфоциты, у которых существует два подкласса – В- и Т-клетки.
Приобретенного иммунитета можно добиться или путем естественного заражения или вакцинации (активным путем), или путем введения иммуноцитов (пассивным путем). В то время как на первом пути обнаруживается длительное действие, которое даже может стать постоянным, на последнем действие не является длительным.
Пациентов с иммуносупрессорными заболеваниями лечат иммуностимуляторами для того, чтобы активировать их иммунную систему. Различные иммуностимуляторы известны из US 4801578, US 5417979, WO 9851319. Иммуностимуляторы на основе полисахаридов известны из DE 18917177 и ЕР 0225496. В указанных патентах описываются полисахариды с иммуностимулирующей активностью и их получение из культур растительных клеток. В качестве растений используют Echinacea purpurea, Echinacea angustifolia и Calendula officinalis.
Однако ни один из указанных стимуляторов не обнаруживает удовлетворительной активности в случае иммуносупрессорных заболеваний. Таким образом сохраняется потребность в других иммуностимуляторах, обнаруживающих улучшенную активность в широком спектре.
Сущность изобретения
Настоящее изобретение относится к полисахариду формулы I, обнаруживающему иммуностимулирующую активность, способу его получения, его применению при лечении иммуносупрессорных заболеваний и к содержащим его фармацевтическим композициям.
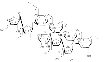
В одном аспекте изобретение относится к полисахаридам формулы I:
Схема I

где n=7-8.
Во втором аспекте изобретение относится к способу получения полисахарида формулы I. Указанный способ включает, во-первых, получение водного экстракта из растения Calendula officinalis согласно способу, описанному в находящейся в процессе одновременного рассмотрения заявке авторов данного изобретения, и, во-вторых, выделение полисахарида с использованием сочетания методов разделения, направляемых биоанализом.
В другом аспекте изобретение относится к применению полисахарида формулы I настоящего изобретения в качестве лечебного средства при лечении иммуносупрессорных заболеваний, таких как рак, туберкулез, грипп, насморк, аллергии, красная волчанка, псориаз и СПИД.
В другом аспекте изобретение относится к фармацевтическим композициям, содержащим полисахарид формулы I.
Настоящая заявка включает представленные фигуры и таблицы.
Фигура 1 представляет собой схему выделения PF2.
Фигура 2 представляет собой схему выделения PF2R.
Фигура 3 представляет собой спектр 1Н-ЯМР PF2RS8A.
Фигура 4 представляет собой спектр 13С-ЯМР PF2RS8A.
Фигура 5 представляет собой ТСХ продуктов гидролиза PF2RS8A ТФК и других моносахаридов.
Фигура 6 представляет собой схему выделения PF2RS8B2, т.е. полисахарида формулы I.
Фигура 7 представляет собой профиль ВЭЖХ PF2RS8B2 с испарительным детектором светорассеяния.
Фигура 8 представляет собой профиль ВЭЖХ PF2RS8B2 с фотодиодным УФ-детектором.
Фигура 9 представляет собой спектр 1Н-ЯМР PF2RS8B2.
Таблица 1 отражает действие образцов PF2RS8A и PF2RS8B2 на трансформацию лимфоцитов.
Фигура 10 представляет собой спектр 13С-ЯМР PF2RS8B2, т.е. полисахарида формулы I.
Фигура 11 представляет собой спектр DEPT-135 PF2RS8B2.
Фигура 12 представляет собой спектр DEPT-90 PF2RS8B2.
Фигура 13 представляет собой спектр HMQC PF2RS8B2.
Фигура 14 представляет собой спектр 1H-1H-COSY PF2RS8B2.
Фигура 15 представляет собой спектр 1H-1H-COSY PF2RS8B2.
Фигура 16 представляет собой спектр HMQC PF2RS8B2.
Таблица 2 отражает спектр 13С-ЯМР PF2RS8B2.
Фигура 17 представляет собой спектр НМВС PF2RS8B2.
Фигура 18 представляет собой спектр НМВС PF2RS8B2.
Фигура 19 представляет собой ТСХ продуктов гидролиза PF2RS8B2 ТФК и других моносахаридов.
Фигура 20 представляет собой диаграмму измерения молекулярной массы.
Подробное описание изобретения
Как указывалось выше, в первом аспекте изобретение относится к полисахариду формулы I:
Схема I

где n=7-8.
Конфигурационная структура соединения формулы I отражается схемой II:
Схема II

где n=7-8.
Полисахарид имеет молекулярную массу примерно 10000.
Во втором аспекте изобретение относится к способу получения полисахарида формулы I. Данный способ включает, во-первых, получение водного экстракта из растения Calendula officinalis согласно способу, описанному в находящейся в процессе одновременного рассмотрения заявке авторов данного изобретения “Способ получения водных экстрактов растений и экстракты, полученные таким способом”, и зарегистрированной одновременно с настоящей заявкой, и, во-вторых, выделение полисахарида с использованием сочетания методов разделения, направляемых биоанализом.
Водный экстракт Calendula officinalis получают, подвергая цветки указанного растения описанному далее процессу.
a) Очистка цветков.
b) Измельчение цветков.
c) Обработка измельченных цветков лазерным излучением.
d) Суспендирование в воде смеси, полученной на стадии c).
e) Мацерация суспензии, полученной на стадии d).
f) Отделение полученной жидкости.
Очистку (стадия а) осуществляют, промывая цветки Calendula officinalis водой. Количество воды, используемой на данной стадии, не определяется и может изменяться в зависимости от степени загрязнения растений. Хотя более высокие и более низкие температуры не исключаются, температура воды должна быть между 10 и 40°С, предпочтительно – между 20 и 35°С, и наиболее предпочтительно -28°С. Можно использовать моечную камеру для облегчения данной стадии. Как количество воды, так и время пребывания растительного сырья в моечной камере не определяется и может, следовательно, изменяться в зависимости от степени загрязнения растений. Стадию промывки можно осуществлять несколько раз со стадией сушки в промежутках. Такую стадию сушки предпочтительно осуществлять, размещая растительное сырье на солнце.
Как только цветки тщательно очищены, их измельчают (стадия b) обычными способами, такими как с применением машины для измельчения или даже вручную. Хотя более высокие и более низкие температуры не исключаются, температура, при которой цветки измельчают, должна составлять от 10 до 40°С.
Затем измельченные цветки подвергают обработке лазерным излучением (стадия c). В качестве источника лазерного излучения используют предпочтительно красный линейный лазерный диод, способный генерировать излучение при длине волны в интервале 150-810 нм. Предпочтительно длина волны лазерного излучения составляет 200-400 нм и наиболее предпочтительно – 250 нм. Мощность лазерного излучения составляет предпочтительно 1-60 Вт, предпочтительнее – 10-30 Вт и наиболее предпочтительно – 20 Вт. Пятно имеет диаметр предпочтительно 1-6 мм, предпочтительнее – 2-5 нм и наиболее предпочтительно – 4 мм. На измельченное растительное сырье воздействуют лазерным излучением таким образом, чтобы облучалась вся смесь или ее большая часть. Этого достигают или перемещая вручную лазерный генератор в растительном сырье или пропуская измельченный материал на ленточном конвейере через набор из нескольких лазерных генераторов. Предпочтительно каждый килограмм измельченного материала обрабатывают лазерным излучением в течение 3-10 мин, предпочтительнее – в течение 5 мин. Хотя более высокие и более низкие температуры не исключаются, температура, при которой измельченное растительное сырье обрабатывают лазерным излучением, должна составлять от 10 до 40°С.
Затем обработанный лазерным излучением материал суспендируют в воде (стадия d). На данной стадии можно использовать любую коммерческую минеральную воду. Суспендирование осуществляют таким образом, чтобы присутствовало 50-300, предпочтительно – 100-250 г обработанного лазером материала на 1 л воды. Хотя более высокие и более низкие температуры не исключаются, температура, при которой суспендируют измельченное растительное сырье, должна составлять от 10 до 40°С.
Затем суспензию выдерживают в течение 5-25 сут, предпочтительно – 7-15 сут, при температуре от 2 до 10°С, предпочтительно – от 4 до 8°С, с тем, чтобы произошла мацерация (стадия е).
Наконец, после стадии мацерации осуществляют отделение жидкой фазы от твердой фазы (стадия f). Отделения можно достичь одной декантацией или предпочтительно декантацией с последующей фильтрацией. Фильтрацию осуществляют предпочтительно под давлением. Наиболее предпочтительно осуществлять последовательно три фильтрации под давлением через фильтры 5 мкм, 1 мкм и 0,22 мкм. Хотя более высокие и более низкие температуры не исключаются, температура, при которой осуществляют отделение, должна составлять от 10 до 40°С.
Наконец, получают водный экстракт коричневато-желтого цвета.
Затем полученный экстракт подвергают процессу выделения, который включает осаждение метанолом, центрифугирование и хроматографическое разделение, направлямое биоанализом. Применяемый бионанализ осуществляют in vitro, добавляя образцы лимфоцитов, выделенных из крови мыши, согласно способу, описанному в литературе: Мах W. et al., Journal of Natural Products, vol.54, no.6, pp.1531-1542 (1991). Контролируют включение тимидина, что означает репликацию ДНК. Такое включение свидетельствует как о повышении числа лимфоцитов, так и о повышении активности лимфоцитов. Указанные используемые способы выделения включают повторное осаждение этанолом, центрифугирование, диализ и/или колоночную хроматографию.
Таким образом, лиофилизуют 112 л полученного предварительно водного экстракта и получают 800 г желтовато-коричневого порошка (“PF2”). Полученный порошок фракционируют на фракцию, растворимую в МеОН, и остаток, нерастворимый в MeOH (PF2R, 350 г), который обнаруживает активность трансформации лейкоцитов. Часть (80 г) такого материала подвергают осаждению MeOH, центрифугированию, диализу и/или колоночной хроматографии на сефадексе DEAE, что ведет к выделению нескольких кристаллических веществ, которые определяют как неактивные неорганические соли (фигура 1).
Часть (270 г) PF2R, которую подвергают осаждению MeOH до конечных концентраций 25, 50 и 67%, приводит к активным преципитатам. Наиболее активным материалом является преципитат, полученный из 50% раствора MeOH (PF2RS8, 51,2 г, LT=+1059%). Обработка части в 5 г PF2RS8 путем растворения в воде с последующим центрифугированием и хроматографическое разделение супернатанта на сефадексе G-25 приводит к активному полисахариду, обогащенному фракцией, названной PF2RS8A (0,13 г, LT=+1074%). Затем из второй части (6 г) преципитата 50% MeOH получают PF2RS8A’ (0,3 г). Как показано на фигуре 2, выделяют ряд других фракций и кристаллических веществ, однако все они не показывают уровень активности PF2RS8A.
PF2RS8A характеризуют методами спектроскопии (спектры 1Н-, 13С-ЯМР и DEPT (неискаженное усиление переносом поляризации (Distortionless Enhancement by Polarization Transfer)) и химического анализа (гидролиз с ТФК и анализ методом ТСХ на силикагеле). См. фигуры 3, 4 и 5.
Более активную смесь полисахаридов PF2RS8A (1,4 г) выделяют из остального преципитата 50% MeOH (PF2RS8). В то же время обработка части (2,0 г) нерастворимой фракции 67% раствора MeOH (PF2RS9A; LT=+735%) приводит к выделению смеси полисахаридов (PF2RS9A, 0,3 г), которую анализом методом 1Н-ЯМР идентифицируют как PF2RS8A. Поэтому PF2RS9A (0,2 г) объединяют с PF2RS8A (1,4 г), и смесь, названную “PF2RS8B”, подвергают дальнейшему разделению на сефадексе G-50 (20-80 мм), как показано на фигуре 6. Элюирование водой дает шесть фракций (PF2RS8B 1, 2, 3, 4, 5 и 6), анализ методом ВЭЖХ которых показывает, что только основной изолят PF2RS8B2 является гомогенным при детекции как с испарительным детектором светорассеяния, так и с УФ-детектором (фигуры 7 и 8). Спектральный анализ методами 1Н- и 13С-ЯМР (фигуры 9 и 10) дает спектры указанного изолята, которые весьма схожи со спектрами, полученными для PF2RS8A (фигуры 2 и 4), что предполагает, что он является основным полисахаридом в смеси. Следовательно, фракция PF2RS8B2 состоит из полисахарида формулы I и воды. Последнюю можно удалить способами, известными в технике.
Биоанализ гомогенного изолята PF2RS8B2 и исходной для него смеси PF2RS8A при таком же анализе показывает активность трансформации лейкоцитов (LT) 6203% и 3532% соответственно (табл.1). Более высокий уровень активности, показанный изолятом, предполагает, что данный полисахарид является основной активной составляющей для биологического действия экстракта настоящего изобретения.
Активный полисахарид PF2RS8B2 (полисахарид формулы I) характеризуют методами спектроскопии (спектры 1Н-, 13С-ЯМР, HMQC (гетероядерная множественная квантовая когерентность (Heteronuclear Multiple Quantum Coherence)) и 2D 1Н-1Н COSY (двумерная протон-протонная корреляционная спектроскопия ядерного магнитного резонанса (2-Dimensional proton-proton NMR correlation spectroscopy)) и химического анализа (гидролиз с ТФК и анализ методом ТСХ на силикагеле). Так, сигналы 1Н-ЯМР (фигура 9) при 5,3 и 3,2 м.д. указывают на полисахарид. Сигналы 13С-ЯМР (фигуры 10-12) при 111,9 (д), 110,1 (д) м.д. приписываются аномерным углеродам 1 3, связанным с -L-арабинофуранозой и концевой -L-арабинофуранозой (обозначенными Araf и Araf‘, соответственно). Сигналы при 106,1 (д) и 105,9 (д) приписываются аномерным углеродам 1 6, связанным с -D-галактопиранозой, и 1 3, 1 6, связанным с -D-галактопиранозой (обозначенными Galp’ и Galp соответственно), в то время как сигнал при 100,2 (д) м.д. приписывается аномерным углеродам -L-рамнопиранозы (обозначенной Rhap). Сигналы аномерных протонов (Н-1) также легко распознаются из-за их относительного слабопольного сдвига в спектрах 1Н-ЯМР. Прямая корреляция между сигналами протона и углерода-13, наблюдаемая в спектре HMQC (фигура 13), определяет сигналы 1Н-ЯМР 5,08 (ушс), 5,23 (ушс), 4,47 (д, J=7,9 Гц), 4,53 (д, J=7,3 Гц) и 5,1 (ушс) м.д., соответствующие аномерным протонам -L-арабинофуранозы (Araf‘), -L-арабинофуранозы (Araf), -D-галактопиранозы (Galp’) и -L-рамнопиранозы (Rhap). Используя указанные сигналы в качестве стандарта, можно обнаружить другие сигналы протонов, анализируя спектры 2D 1Н-1Н COSY (фигуры 14, 15). Подобным образом по спектрам HMQC определяют соответствующие сигналы углеродов (фигуры 13, 16 и табл.2). Последовательность звеньев сахаров определяют следующим образом. Слабопольный сдвиг сигнала при С-3 Araf ( 79,4) и Galp ( 82,8) и сигналы С-6 Galp и Galp’ ( 69,2) предполагают, что указанные углероды связаны с другими углеводными звеньями. Наблюдение широкой корреляции между С-1 Araf и С-6 Galp и Galp’ в спектре НМВС (гетероядерная множественная корреляция связей (Heteronuclear Multiple Bond Correlation)) (фигура 17) предполагает 1 6, связанный с главной цепью -D-галактопиранозы. Из наблюдений широкой корреляции между С-1 Araf и С-3 Galp (фигура 18) Araf является 1 3, связанным с Galp. Из спектра 1Н-ЯМР (фигура 9) вычисляют соотношение сахаров согласно интеграционным величинам пиков аномерных протонов, соответствующее Araf:Araf’:Galp:Galp’:Rhap / 3:1:2:2:1.Поэтому PF2RS8B2 рассматривают как полисахарид с крупными боковыми цепями с первичной структурой, показанной формулой I (схема I). Схема II представляет ту же структуру, показывающую стереохимическую конфигурацию отдельных сахаров.
Для того чтобы подтвердить идентичность составляющих его сахаров, PF2RS8B2 гидролизуют с ТФК (0,5 М, 100-120°С), осуществляя затем анализ методом ТСХ (фигура 19). Наличие основных сахаров -L-арабинофуранозы и -D-галактопиранозы легко устанавливается, в то время как наличие дополнительного сахара -L-рамнопиранозы определяется труднее, вероятно, из-за количества гидролизата, наносимого на пластину для ТСХ.
Молекулярную массу PF2RS8B2 оценивают методом гельпроникающей (по размеру) хроматографии. Средняя молекулярная масса PF2RS8B2, оцененная таким образом, составляет 10000 (см. фигуру 20).
Полисахарид формулы I неожиданно обнаруживает очень высокую активность как иммуностимулятор, что отражается в примерах, приведенных ниже. Третий аспект изобретения таким образом относится к применению полисахарида формулы I при лечении иммуносупрессорных заболеваний, таких как рак, туберкулез, грипп, насморк, аллергии, красная волчанка, псориаз и СПИД. Не являющимися ограничительными примерами раковых заболеваний являются рак печени, рак легких, рак почек, рак толстой кишки, рак молочной железы, рак предстательной железы или аденокарцинома предстательной железы; раковые заболевания головного мозга, такие как астроцитома и глиобластома; рак шейки матки и рак мочевого пузыря.
Четвертый аспект изобретения относится к фармацевтическим композициям, содержащим полисахарид формулы I.
Полисахарид по настоящему изобретению можно вводить или отдельно в виде чистого вещества или в форме фармацевтических препаратов, хотя предпочтительно соединение изобретения вводят в комбинированной форме. Комбинация лекарственного средства предпочтительно имеет форму композиции, которая (1) содержит один полисахарид по изобретению; (2) содержит одно или несколько соответствующих связующих, носителей и/или вспомогательных веществ и (3) может также содержать дополнительные терапевтически активные вещества.
Носители, связующие вещества и/или вспомогательные вещества должны быть фармакологически переносимыми с тем, чтобы их можно было комбинировать с другими компонентами композиции или препарата и не оказывать вредного действия на организм, который лечат.
К таким композициям относятся композиции, подходящие для перорального и парентерального (в том числе подкожного, интрадермального, внутримышечного и внутривенного) введения, хотя наилучший способ введения зависит от состояния пациента.
Композиции могут находиться в форме однократных доз. Композиции получают согласно способам, известным в области фармакологии. Соответствующие количества активных веществ, подходящие для введения, могут изменяться как функция конкретной области терапии. Вообще концентрация активного вещества в композиции в форме однократной дозы составляет от 5% до 95% всей композиции.
Применение изобретения иллюстрируется приведенными ниже примерами.
Пример 1. Получение водного экстракта цветков Calendula oficinalis согласно способу изобретения.
Цветки Calendula oficinalis (500 г) помещают в моечную камеру и подвергают промывке водой при примерно 28°С. Затем цветки измельчают с помощью машины для измельчения. Полученные 500 г измельченного материала подвергают обработке излучением красного линейного лазерного диода, способного генерировать излучение с длиной волны 250 нм, мощностью 20 Вт и диаметром пятна 4 мм. Обработку осуществляют вручную, перемещая лазерный генератор по измельченному материалу в течение 2,5 мин, так что облучается вся смесь или ее большая часть. Затем материал, обработанный лазером, суспендируют в 2 л воды при температуре примерно 20°С. Затем суспензию выдерживают в течение 12 сут при температуре 4°С. Наконец, осуществляют разделение жидкой и твердой фазы сначала декантацией жидкости (твердое вещество прессуют для облегчения отделения) и затем последовательными тремя фильтрациями под давлением через фильтры 5, 1 и 0,22 мкм при температуре примерно 20°С. Способ дает приблизительно 1,7 л раствора (водный экстракт) коричневато-желтого цвета.
Пример 2. Выделение полисахарида формулы I осуществляют так, как описывается ранее в описании.
Пример 3. Полисахарид формулы I испытывают с целью определения его активности как иммуностимулятора путем количественной оценки активности трансформации лейкоцитов (LTA). Под активностью трансформации лейкоцитов подразумевается тот факт, что лимфоциты переходят из пассивного состояния в активное, что необходимо для борьбы с болезнями через иммунологический механизм, или для восстановления иммунной системы, которую могли ослабить различные факторы. Испытания осуществляют согласно описанному в литературе способу (Max W. et al., Journal of Natural Products, vol.54, no.6, pp.1531-1542 (1991)), добавляя in vitro раствор полисахарида изобретения к лимфоцитам, выделенным из организма мыши. Контролируют включение тимидина, что означает репликацию ДНК. Такое включение свидетельствует как о повышении числа лимфоцитов, так и о повышении активности лимфоцитов.
Полисахарид формулы I дает LTA +6203% относительно нестимулированных лимфоцитов.
Пример 4. Испытание полисахарида по изобретению на токсичность
Материалы и методы
Протокол испытаний на безопасность in vivo
Для испытаний на биологическую безопасность животных разделяли на три группы по 10 животных в каждой. Животным вводили перорально при помощи назогастрального зонда различные дозы полисахарида настоящего изобретения (ЕС) каждые 48 ч в течение 30 дней. По истечении этого периода оставшихся животных содержали еще в течение 1 месяца для оценки отдаленных токсических эффектов после введения испытываемого соединения.
Лабораторные животные
Мыши
Эксперименты проводили на трех линиях мышей BALB/c, CBA и C57/BL6. Животных каждой линии распределяли на 5 групп по 10 мышей в каждой и после введения каждую из групп обозначали следующим образом:
Контроль: вводили 200 мкл воды
ЕС-А: вводили дозу ЕС 2750 мг/кг веса в объеме 200 мкл (5х раствор)
ЕС-В: каждому животному вводили дозу ЕС 550 мг/кг веса в объеме 200 мкл (1х раствор)
ЕС-С: каждому животному вводили дозу ЕС 55 мг/кг веса в объеме 200 мкл (0,1х раствор)
EC-D: каждому животному вводили дозу ЕС 11 мг/кг веса в объеме 200 мкл (0,02х раствор).
Крысы
Животных разделяли на 4 группы:
Контроль: вводили 1 мл воды
ЕС-А: вводили дозу ЕС 2750 мг/кг веса в объеме 1 мл (5х раствор)
ЕС-В: каждому животному вводили дозу ЕС 550 мг/кг веса в объеме 1 мл (1х раствор)
ЕС-С: каждому животному вводили дозу ЕС 55 мг/кг веса в объеме 1 мл (0,1х раствор).
Протокол испытаний на модели пролиферации лимфоцитов периферической крови человека in vitro.
Для установления эффекта на лимфоциты периферической крови (ЛПК) человека строили зависимость типа «доза-ответ».
Лимфоциты выделяли из цельной периферической крови с использованием градиента плотности Ficoll Isopaque (Histopaque 1077, Sigma Diagnostics). Кровь разводили PBS (забуференный фосфатом физиологический солевой раствор) и добавляли в пробирку с 3 мл Ficoll. Пробирку центрифугировали в течение 30 мин при 400 g при комнатной температуре. После центрифугирования непрозрачную интерфазу между Ficoll и плазмой, содержащей мононуклеарные клетки, отсасывали при помощи пастеровской пипетки (фиг. 21).
ЛПК обрабатывали в течение 72 ч различными концентрациями ЕС (от 2 мг до 15 мкг на мл) или иными доступными в настоящее время веществами, обладающими мощным иммуномодуляторным эффектом in vitro, но проявляющими сильную токсичность in vivo такими как конканавалин А и фитогемагглютинин (ФГА) в концентрациях в диапазоне от 10 мкг до 1,25 мкг на 1 мл.
Для проведения этого анализа использовали набор для колориметрического измерения пролиферации клеток (Anti-Brdu colorimetric kit. Cell Proliferation ELISA (Roche Diagnostics)), который является альтернативой анализу включения радиоактивного [3Н]-тимидина в синтезируемую ДНК.
– Клетки культивировали в 96-луночном планшете при 37°С в течение 48 ч при плотности 5×104 клеток на лунку. Эксперимент проводили в, по меньшей мере, трехкратной повторности для каждой лунки. В качестве культуральной среды использовали RPMI 1640 (Sigma).
– Затем в каждую лунку вносили по 15 мкл раствора 5-бром-2-дезоксиуридина (BrdU) и оставляли в инкубаторе дополнительно на 24 ч.
– Спустя 72 ч с начала инкубации клетки центрифугировали при 300 g в течение 10 мин, фиксировали нагреванием (60°С в течение 1 ч), и ДНК денатурировали добавлением Fix Denat (200 мкл на лунку). Денатурация ДНК необходима для улучшения связывания антитела против BrdU.
– В каждую лунку добавляли по 100 мкл раствора антител AntiBrdU и оставляли инкубироваться на 90 мин при 15-25°С. При этом происходит связывание антител antiBrdU с BrdU, включившимся в состав ДНК.
– Образовавшиеся иммунные комплексы детектируют после добавления 100 мкл раствора субстрата в каждую лунку. В качестве останавливающего раствора используют 1 М серную кислоту в количестве 25 мкл на лунку.
– Количественную оценку реакции проводят с использованием многолуночного спектрофотометра (планшет-ридер для ELISA, установленный на длину волны 450 нм). Интенсивность окрашивания (т.е. оптическая плотность) коррелирует с количеством синтезированной ДНК, т.е. с пролиферацией клеток в микрокультурах.
Протокол испытаний на модели цитотоксичности естественных киллеров (NK)
Для оценки индукции цитотоксической активности клеток NK мышам линии BALB/C ежедневно в течение 7 дней вводили перорально суточную дозу ЕС в диапазоне 1,1-0,22 мг на животное.
Клетки селезенки этих животных использовали в качестве эффекторных клеток, а клетки линии лимфомы YAC-1 использовали в качестве клеток-мишеней. Количественную оценку проводили с помощью стандартного способа анализа цитотоксичности NK с использованием 51Cr. В качестве положительного контроля использовали соединение тилорон, который известен как индуктор цитотоксической активности клеток NK. Его вводили так же, как и ЕС.
Результаты испытаний
Испытания безопасности in vivo на мышах
В испытаниях на биологическую безопасность на мышах BALB/C (фиг.22) ни в контрольной группе, ни в группах, получавших ЕС в дозах 55 мг/кг веса (0,1х концентрация) и 11 мг/кг веса (0,02х концентрация), в течение 30 дней исследования и в течение последующих 30 дней наблюдения после окончания исследования среди животных гибели отмечено не было. При дозе 550 мг/кг веса (1х концентрация) спустя 15 дней после начала исследования 50% животных погибло (ЛД50), тогда как остальные 50% остались живыми. При дозе 2750 мг/кг веса (5х концентрация) спустя 20 дней после начала исследования 80% животных погибло, тогда как остальные 20% оставались живыми до конца исследования. Данный эксперимент был повторен трижды, и полученные результаты были во всех случаях сходными, что свидетельствует о репрезентативности проведенного анализа.
В анализе на токсичность на мышах СВА (фиг.23) в контрольной группе и в группах, получавших ЕС в дозе 55 мг/кг веса (0,1х концентрация) и в дозе 11 мг/кг веса (0,02х концентрация), смертности не наблюдалось после 30 дней исследования. Напротив, в группе, получавшей 550 мг/кг веса, на 20 день наблюдалась 50% смертность, тогда как оставшиеся 50% мышей оставались живыми до конца исследования.
Наивысшая смертность наблюдалась в группе, получавшей ЕС в дозе 2750 мг/кг веса (5х концентрация), в которой 7 мышей погибли к 20 дню, а остальные 3 оставались живыми до конца исследования.
В группах мышей линии С57/В16, которым перорально давали воду (контроль), а также ЕС в дозе 55 мг/кг веса (0,1х концентрация) или 11 мг/кг веса (0,02х концентрация), смертности не наблюдалось.
Напротив, в группе мышей С57/В16, которым вводили количество ЕС, эквивалентное 550 мг/кг веса (1х концентрация), наблюдалась гибель 60% животных к 20 дню, тогда как остальные животные оставались живыми до конца исследования.
Наивысшая смертность наблюдалась в группе, получавшей ЕС в дозе 2750 мг/кг веса (5х концентрация). Как видно из фиг.24, смертность в этой группе составляла 80% к 20 дню, тогда как остальные 20% животных оставались живыми до конца исследования.
Испытания безопасности in vivo на крысах
В испытаниях безопасности на крысах линии Wistar смертности не наблюдалось в контрольной группе и в группах, получавших ЕС в дозе 55 мг/кг веса (0,1х концентрация) и 550 мг/кг веса (1х концентрация). Однако в группе крыс, получавших ЕС в дозе 2750 мг/кг веса (5х концентрация), была отмечена гибель 6 животных (60% от всей группы) к 15 дню (ЛД50), тогда как остальные 4 животных оставались живыми до конца исследования (фиг.25). Данный эксперимент был повторен трижды, и полученные результаты были во всех случаях сходными, что свидетельствует о репрезентативности проведенного анализа.
Как можно видеть, результаты исследований биологической безопасности были весьма сходными в случае трех различных линий мышей (BALB/C, СВА, C57/BL6), не отмечалось каких-либо достоверных различий, и для всех трех линий 50% летальная доза (ЛД50) была одинаковой и составляла 55 мг/кг веса (1х концентрация). Следовательно, дозы, соответствующие 0,1х и 0,02х концентрации, могут быть безопасно использованы в последующих экспериментах, поскольку они являются нетоксичными.
Напротив, в опытах по острой токсичности на крысах 50% летальная доза (ЛД50) была 2750 мг/кг веса (5х концентрация), а не 550 мг/кг (1х концентрация), при которой смертности вообще не отмечалось.
Таким образом, можно сделать вывод о том, что сколь либо достоверных различий в летальной дозе между линями одного вида лабораторных животных (мышь) не наблюдалось, тогда как между различными видами животных наблюдались достоверные различия в 50% летальных дозах, причем более высокие летальные дозы наблюдались на крысах.
Следует отметить, что всех мышей и крыс, которые выжили в ходе исследований острой токсичности в течение 30 дней (введение ЕС через день), наблюдали дополнительно еще в течение 30 дней для оценки отдаленных эффектов после введения исследуемого соединения. Гибели животных или каких-либо физических изменений в этот период времени отмечено не было.
На погибших животных проводили аутопсию, и как показало предварительное заключение, наиболее пораженным органом оказалась печень (некроз).
Эти эксперименты по острой токсичности полисахарида изобретения проводились как на мышах, так и на крысах в, по меньшей мере, трехкратной повторности с получением очень близких результатов. Представлены данные, полученные в одном из экспериментов.
Исследование цитотоксичности естественных киллеров
На фиг. 26 показан лизис клеток YAC-1 (в процентном выражении), измеряемый по высвобождению 51Cr, при использовании в качестве эффекторных клеток селезенки мышей линии BALB/c, которым вводили перорально в течение 7 дней ЕС в дозе 55 мг/кг веса тела или 11 мг/кг веса.
Как можно видеть, лизис клеток (в процентах) не превышает 10%, что позволяет сделать вывод о том, что исследуемое соединение не индуцирует цитотоксичности естественных киллеров.
Эти эксперименты проводились в трехкратной повторности с получением очень близких результатов. Представлены данные, полученные в одном из экспериментов (см. табл.1, 2).
| Концентрация соединения |
Образец |
| Без КоН A |
Без КоН A |
| PF2RS8A |
PF2RS8B2 |
|
|
 |
% |
 |
% |
 |
% |
 |
% |
| 0 |
165±31 |
0 |
197±51 |
0 |
|
|
|
|
| 0.01 |
311±41 |
+91 |
205±49 |
+24 |
|
|
|
|
| 0.1 |
371±51 |
+127 |
361±76 |
+83 |
|
|
|
|
| 1 |
556±26 |
+237 |
649±48 |
+229 |
|
|
|
|
| 10 |
3829±380 |
+2220 |
2348±305 |
+1092 |
|
|
|
|
| 100 |
5993±1760 |
+3532 |
12417±3153 |
+6203 |
|
|
|
|
| Кон А 8 мкг/мл |
1762±349 |
|
1507±250 |
|
|
|
|
|
| Влияние образцов PF2RS8A и PF2RS8B2 на трансформацию лимфоцитов (самка мыши SMC). |
| Таблица 1. |
| |
C-1 |
С-2 |
С-3 |
С-4 |
С-5 |
С-6 |
Araf-(1 |
110.1 д |
85.0 д |
74.5 д |
86.7 д |
63.2 т |
– |
| |
|
84.7 д |
|
|
|
|
3)-Araf-(1 |
111.9 д |
84.0 д |
79.4 д |
86.5 д |
63.9 т |
– |
| |
|
83.9 д |
|
|
63.7 т |
|
| |
|
83.7 д |
|
|
64.8 т |
|
6)-Galp-(1 |
106.1 д |
72.9 д |
75.3 д |
72.2 д |
76.4 д |
69.2 т |
3) |
105.9 д |
73.5 д |
82.8 д |
73.5 д |
76.1 д |
69.2 т |
 |
105.8 д |
|
|
|
|
|
6) |
|
|
|
|
|
|
Rhap-(1 |
100.2 д |
72.2 д |
73.5 д |
72.5 д |
71.1 д |
19.2 к |
| Данные 13С-ЯМР PF2RS8B-2 (125 МГц, D2O, относительно DSS) |
| Таблица 2. |
Формула изобретения
1. Полисахарид формулы I

где n=7-8 и где Araf означает арабинофуранозу, Galp означает галактопиранозу и Rhap означает рамнопиранозу.
2. Полисахарид по п.1 для применения в качестве лекарственного средства для лечения иммуносупрессорных заболеваний.
3. Полисахарид по п.1 для применения при лечении иммуносупрессорных заболеваний.
4. Полисахарид по п.1 для применения при лечении иммуносупрессорных заболеваний, таких как рак, туберкулез, грипп, насморк, аллергии, красная волчанка, псориаз и СПИД.
5. Полисахарид по п.1 для применения при лечении рака печени, рака легких, рака почек, рака толстой кишки, рака молочной железы, рака предстательной железы или аденокарциномы предстательной железы; раковых заболеваний головного мозга, таких как астроцитома и глиобластома; рака шейки матки и рака мочевого пузыря.
6. Способ получения соединения по п.1, включающий 1) отделение цветков растения Calendula officinalis, 2) обработку их по способу экстракции, включающему
a) очистку цветков;
b) измельчение цветков;
c) обработку измельченных цветков лазерным излучением;
d) суспендирование в воде смеси, полученной на стадии с);
e) мацерацию суспензий, полученной на стадии d);
f) отделение полученной жидкости;
и 3) обработку жидкости, полученной на стадии f), по способу выделения, включающему осаждение метанолом, центрифугирование и хроматографическое разделение, направляемое биоанализом.
7. Способ по п.6, где стадия 3) включает
g) лиофилизацию жидкости, полученной на стадии f),
h) осаждение метанолом лиофилизованного вещества, полученного на стадии g),
i) отделение твердой фазы от жидкой фазы,
j) осаждение твердой фазы, полученной на стадии i), метанолом с конечной концентрацией 25%, 50% и 67%,
k) растворение в воде преципитатов, полученных на стадии j) при 50% и 67%, центрифугирование и осуществление хроматографического разделения супернатанта;
l) идентификацию активной фракции биоанализом;
m) осуществление второго хроматографического разделения активной фракции;
n) идентификацию активной фракции биоанализом;
о) удаление элюента.
8. Способ по пп.6 и 7, где осуществляют обработку лазерным излучением с помощью красного линейного лазерного диода, способного к генерации излучения с длиной волны в интервале 150-810 нм, мощностью 1-60 Вт и диаметром пятна 1-6 мм.
9. Способ по п.8, где длина волны находится в интервале 200-400 нм, предпочтительно, составляет 250 нм, при мощности 20 Вт и диаметре пятна 4 мм.
10. Способ по любому из предшествующих пунктов, где каждый килограмм измельченного материала обрабатывают лазерным излучением в течение 3-10 мин, предпочтительно в течение 5 мин.
11. Применение полисахарида по п.1 для получения лечебного средства для лечения иммуносупрессорных заболеваний.
12. Применение по п.11 для получения лечебного средства для лечения рака, туберкулеза, гриппа, насморка, аллергий, красной волчанки, псориаза и СПИДа.
13. Применение по п.12 для получения лечебного средства для лечения рака печени, рака легких, рака почек, рака толстой кишки, рака молочной железы, рака предстательной железы или аденокарциномы предстательной железы; раковых заболеваний головного мозга, таких как астроцитома и глиобластома; рака шейки матки и рака мочевого пузыря.
14. Фармацевтический препарат для лечения иммуносупрессорных заболеваний, содержащий полисахарид по п.1.
15. Фармацевтический препарат по п.14, дополнительно включающий фармацевтически приемлемый носитель.
16. Фармацевтический препарат по п.14 или 15, дополнительно включающий, по меньшей мере, еще одно фармацевтически активное соединение.
РИСУНКИ
MM4A Досрочное прекращение действия патента из-за неуплаты в установленный срок пошлины за
поддержание патента в силе
Дата прекращения действия патента: 28.11.2008
Дата публикации: 10.01.2011
|