|
|
(21), (22) Заявка: 2003122190/04, 21.12.2001
(24) Дата начала отсчета срока действия патента:
21.12.2001
(30) Конвенционный приоритет:
23.12.2000 (пп.1-4) EP 00128487.6
(43) Дата публикации заявки: 27.02.2005
(45) Опубликовано: 10.05.2006
(56) Список документов, цитированных в отчете о поиске:
WO 9855449 A1, 10.12.1998. WO 9002119 A1, 08.03.1990. WO 9815525 A1, 16.04.1998. SU 1551245 A3, 15.03.1990.
(85) Дата перевода заявки PCT на национальную фазу:
23.07.2003
(86) Заявка PCT:
EP 01/15390 (21.12.2001)
(87) Публикация PCT:
WO 02/051842 (04.07.2002)
Адрес для переписки:
101000, Москва, М.Златоустинский пер., 10, кв.15, ЕВРОМАРКПАТ, пат.пов. Н.И. Пивницкой, рег. № 0483
|
(72) Автор(ы):
ГЕОРГЕС Гай (DE), ГРОССМАНН Адельберт (DE), МУНДИГЛЬ Олаф (DE), ФОН-ДЕР-САЛЬ Вольфганг (DE), САТТЕЛЬКАУ Тим (DE)
(73) Патентообладатель(и):
Ф.ХОФФМАНН-ЛЯ РОШ АГ (CH)
|
(54) ПРОИЗВОДНЫЕ ТЕТРАГИДРОПИРИДИНА И ФАРМАЦЕВТИЧЕСКАЯ КОМПОЗИЦИЯ НА ИХ ОСНОВЕ
(57) Реферат:
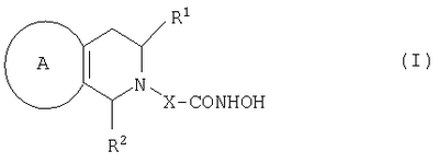
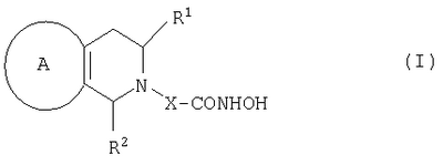
Изобретение относится к новым производным тетрагидропиридина формулы I

где

(а) означает фенильную группу, которая является незамещенной или замещенной 1, 2 или 3 заместителями, независимо выбранными из С1-С4алкокси, или (б) означает индолильную группу, которая является незамещенной, R1 и R2 являются одинаковыми или различными и означают водород, С1-С4алкил или фенильную группу, Х означает алкиленовую группу с прямой цепью, содержащую 5, 6, 7 атомов углерода, а также к фармацевтически приемлемым солям. Изобретение также относится к фармацевтической композиции, обладающей ингибирующей активностью в отношении ГДАЦ, на основе этих соединений. Технический результат – получение новых соединений и фармацевтической композиции на их основе в целях стимуляции антипролиферативного действия у теплокровного животного, такого как человек. 2 н. и 2 з.п. ф-лы, 1 табл.
Изобретение относится к производным тетрагидропиридина или к их фармацевтически приемлемым солям, которые обладают антипролиферативной активностью, такой как противоопухолевая активность, и, следовательно, могут использоваться в способах лечения человека или животных. Кроме того, изобретение относится к способу получения указанных производных тетрагидропиридина, к фармацевтическим композициям, содержащим эти соединения, и к их применению при изготовлении лекарственных средств, предназначенных для стимуляции антипролиферативного действия у теплокровного животного, такого как человек.
Уровень техники
Регуляция транскрипции является основным событием в клеточной дифференциации, пролиферации и апоптозе. Транскрипционная активация ряда генов определяет дальнейшую судьбу клетки и поэтому сама транскрипция строго регулируется множеством факторов. Один из ее регуляторных механизмов включает способ изменения третичной структуры ДНК, что оказывает влияние на транскрипцию за счет изменения доступности тех сегментов ДНК, которые являются мишенями для факторов транскрипции. Степень интеграции нуклеосом регулируется степенью ацетилирования гистонов кора. При пониженном уровне ацетилирования нуклесомы упакованы достаточно плотно и, следовательно, процесс транскрипции невозможен. С другой стороны, при ацетилировании гистонов кора нуклеосомы релаксируют, что позволяет развиваться процессу транскрипции. Степень ацетилирования гистонов зависит от баланса активности гистонацетилтрансферазы (ГАТ) и гистондеацетилазы (ГДАЦ). В последнее время установлено, что ингибиторы ГДАЦ останавливают рост и вызывают апоптоз некоторых типов опухолевых клеток, включая клетки толстой кишки, Т-клеточной лимфомы и эритролейкемических клеток. Если предположить, что решающим фактором (остановки) опухолевой прогрессии является апоптоз, то ингибиторы ГДАЦ являются перспективными реагентами для терапии опухолей в качестве эффективных индукторов апоптоза (Koyama Y. и др., Blood, 96, 1490-1495 (2000)).
Идентифицировано несколько структурных классов ингибиторов ГДАЦ, которые рассматриваются в обзоре Marks P.M., J. Natl. Cancer. Inst. 92, 1210-1216 (2000). Более конкретно, в WO 98/55449 и US 5369108 описаны алканоилгидроксаматы, обладающие ингибирующей активностью в отношении ГДАЦ.
В последнее время установлено, что некоторые производные тетрагидропиридина обладают антипролиферативными свойствами, которые превосходят активность соединений, описанных в цитируемой литературе. Эти свойства обусловлены наличием ингибирующей активности в отношении ГДАЦ.
Описание изобретения
В настоящем изобретении предлагается производное тетрагидропиридина формулы I
где

(а) означает фенильную группу, которая является незамещенной или замещенной 1, 2 или 3 заместителями, независимо выбранными из ряда галоген, C1-С4алкил-, трифторметил-, гидрокси-, С1-С4алкокси-, бензилокси-, C1-С3алкилендиокси-, нитро-, амино-, С1-С4алкиламино-, ди(С1-С4алкил)амино-, С1-С4алканоиламино-, или фенильную группу, которая является незамещенной или замещенной 1, 2 или 3 заместителями, независимо выбранными из ряда хлор, С1-С4алкил-, трифторметил-, гидрокси-, С1-С4алкокси-, C1-С3алкилендиокси-, нитро-, амино-, C1-С4алкиламино-, ди(С1-С4алкил)амино- и С1-С4алканоиламиногруппа, или
(б) группу индолил, которая является незамещенной или замещенной 1, 2 или 3 заместителями, независимо выбранными из ряда галоген, С1-С4алкил-, трифторметил-, гидрокси-, С1-С4алкокси-, бензилокси-, C1-С4алкилендиокси-, нитро-, амино-, С1-С4алкиламино-, ди(С1-С4алкил)амино- или С1-С4алканоиламиногруппа,
R1 и R2 являются идентичными или различными и означают водород, C1-С4алкил-, трифторметил- или арилгруппу,
Х означает алкиленовую группу с прямой цепью, содержащую 5, 6 или 7 атомов углерода, где одна СН2 группа возможно замещена атомом кислорода или серы или где 2 атома углерода образуют С=С двойную связь, которая является незамещенной или замещенной одним или двумя заместителями, выбранными из ряда С1-С4алкил и галоген,
его энантиомеры, диастереоизомеры, рацематы и их смеси, а также фармацевтически приемлемые соли.
Приемлемыми значениями заместителя галоген являются, например, фтор, хлор, бром и иод; приемлемыми заместителями С1-С4алкил являются, например, метил, этил, пропил, изопропил, бутил, изобутил, втор-бутил; приемлемыми заместителями С1-С4алкокси являются, например, метокси, этокси, пропокси, изопропокси или бутокси; приемлемыми заместителями С1-С4алкиламино являются, например, метиламино, этиламино или пропиламино; приемлемыми заместителями ди(С1-С4алкил)амино являются, например, диметиламино, N-этил-N-метиламино, диэтиламино, N-метил-N-пропиламино или дипропиламино; приемлемыми заместителями С1-С4алканоиламино являются, например, формиламидо, ацетамидо, пропионамидо или бутирамидо; приемлемыми заместителями C1-С3алкилендиокси являются, например, метилендиокси, этилендиокси или пропилендиокси.
Пригодной фармацевтически приемлемой солью тетрагидропиридин-производного по изобретению является, например, кислотно-аддитивная соль, например, неорганической или органической кислоты, например хлористоводородной, бромистоводородной, серной, фосфорной, трифторуксусной, лимонной или малеиновой кислоты.
Аннелированные циклические системы с включением тетрагидропиридина предпочтительно включают 3,4-дигидро-1H-изохинолин или 1,2,4,5-тетрагидропиридо[4,3-b]индол или 1,3,4,5-тетрагидро- -карболин.
Предпочтительными соединениями по изобретению являются тетрагидропиридин-производные формулы I

где

означает фенил, который является незамещенным или замещенным 1 или 2 заместителями, независимо выбранными из ряда гидрокси, C1-C4алкокси, бензилокси или фенил, или

означает индолил, который является незамещенным или замещенным галогеном.
R1 и R2 являются идентичными или различными и означают водород, C1-С4алкил-, трифторметил- или фенилгруппу,
Х означает алкиленовую группу с прямой цепью, содержащую 5, 6 или 7 атомов углерода, где одна СН2 группа возможно замещена атомом кислорода или серы или где 2 атома углерода образуют С=С двойную связь, которая является незамещенной или замещенной одним или двумя заместителями, выбранными из ряда метил, фтор и хлор,
их энантиомеры, диастереоизомеры, рацематы и их смеси, а также фармацевтически приемлемые соли.
Получение соединений по изобретению
Тетрагидропиридин-производные формулы I или их фармацевтически приемлемые соли можно получать любым способом, который применяется для получения близких в структурном отношении соединений. Такие способы, если они используются для получения тетрагидропиридин-производных формулы I или их фармацевтически приемлемых солей, также являются объектом настоящего изобретения и иллюстрируются следующими типичными примерами, в которых, если не указано иное, А, R1, R2 и Х имеют любое из значений, указанных выше. Необходимые исходные материалы можно получить обычными методами органической химии. Получение таких исходных материалов описано, без ограничения перечисленным, в сопутствующих примерах. В альтернативном варианте необходимые исходные материалы можно получить по методикам, аналогичным описанным в тексте заявки, которые известны специалисту в области органической химии.
(а) Первым предпочтительным способом получения соединений формулы I является удаление защитной группы в соединениях формулы II

где Y означает соответствующую защитную группу. Соединения формулы II являются новыми и включены в объем настоящего изобретения.
Пригодными защитными группами являются бензил-, пара-метоксибензил-, трет-бутилоксикарбонил-, тритил- или силилгруппы, такие как триметилсилил- или диметил-трет-бутилсилил-. Реакции проводят в условиях, которые зависят от типа защитной группы. Если защитная группа означает бензил- или пара-метоксибензил-, реакцию проводят гидрогенолизом в инертном растворителе, таком как спирт метанол или этанол, в присутствии катализатора на основе благородного металла, такого как палладий, на соответствующем носителе, таком как уголь, сульфат бария или карбонат бария, при комнатной температуре и атмосферном давлении. Если защитная группа означает трет-бутилоксикарбонил-, тритил- или силил-, такую как триметилсилил- или диметил-трет-бутилсилил-, реакцию проводят в присутствии кислот при температуре от -20°С до 60°С, предпочтительно от 0°С до комнатной температуры. Кислота может представлять собой раствор соляной кислоты в инертном растворителе, таком как диэтиловый эфир или диоксан, или трифторуксусной кислоты в дихлорметане. Если защитная группа означает силилгруппу, такую как триметилсилил- или диметил-трет-бутилсилил-, реакцию предпочтительно проводят в присутствии соединения фтора, такого как фторид натрия или фторид тетрабутиламмония, в инертном растворителе, таком как дихлорметан.
Тетрагидропиридин-производное формулы I можно получить этим способом в форме свободного основания или в другом варианте его можно получить в форме соли. Если из соли необходимо получить свободное основание, соль обрабатывают соответствующим основанием, например карбонатом или гидроксидом щелочного или щелочно-земельного металла, например карбонатом натрия, карбонатом калия, карбонатом кальция, гидроксидом натрия или гидроксидом калия.
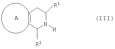
Соединения формулы II можно получить взаимодействием тетрагидропиридина формулы III

где A, R1 и R2 имеют значения, указанные выше, с соединением формулы IV

где Z означает уходящую группу, а Х и Y имеют значения, указанные выше, в отсутствии или в присутствии соответствующего основания.
Пригодной уходящей группой Z является, например, галоген или сульфонилоксигруппа, например хлор, бром, метансульфонилокси- или пара-толуолсульфонилокси-. Пригодным основанием является, например органический амин, например пиридин, 2,6-лутидин, коллидин, 4-диметиламинопиридин, триэтиламин, морфолин, N-метилморфолин или диазабицикло[5.4.0]ундец-7-ен, или, например карбонат или гидроксид щелочного или щелочно-земельного металла, например карбонат натрия, карбонат калия, карбонат кальция, гидроксид натрия или гидроксид калия.
Обычно реакцию проводят в соответствующем инертном растворителе или разбавителе, например в спирте или сложном эфире, таком как метанол, этанол, изопропанол или этилацетат, галогенированном растворителе, таком как хлористый метилен, хлороформ или четыреххлористый углерод, в простом эфире, таком как тетрагидрофуран или 1,4-диоксан, ароматическом растворителе, таком как толуол, или полярном апротонном растворителе, таком как N,N-диметилформамид, N,N-диметилацетамид, N-этилпирролидин-2-он или диметилсульфоксид. Обычно реакцию проводят при температуре от 10°С до 250°C, предпочтительно от 40°С до 200°С.
(б) Другим предпочтительным способом получения соединений формулы I является взаимодействие соединений формулы V

где A, R1, R2 и Х имеют значения, указанные выше, с гидроксиламином. Обычно эту реакцию проводят в две стадии в одной колбе. На первой стадии активируют карбоксилат формулы V. Эту реакцию проводят в инертном растворителе или разбавителе, например, в дихлорметане, диоксане или тетрагидрофуране, в присутствии активирующего агента. Пригодным реакционно-способным производным кислоты является, например, ацилгалогенид, например ацилхлорид, полученный при взаимодействии кислоты с хлорангидридом неорганической кислоты, например с тионилхлоридом; смешанный ангидрид, например ангидрид, полученный взаимодействием кислоты с хлорформиатом, таким как изобутилхлорформиат; активированный сложный эфир, например, полученный при взаимодействии кислоты с фенолом, таким как пентафторфенол; сложным эфиром, таким как пентафторфенилтрифторацетат, или со спиртом, таким как метанол, этанол, изопропанол, бутанол или N-гидроксибензотриазол; ацилазид, например азид, полученный при взаимодействии кислоты с азидом, таким как дифенилфосфорилазид; ацилцианид, например цианид, полученный при взаимодействии кислоты с цианидом, таким как диэтилфосфорилцианид; или продукт реакции кислоты с карбодиимидом, таким как дициклогексилкарбодиимид. Реакцию проводят при температуре от -30°С до 60°С, обычно при 0°С или ниже. На второй стадии к раствору добавляют гидроксиламин при температуре активации и температуру медленно повышают до комнатной температуры.
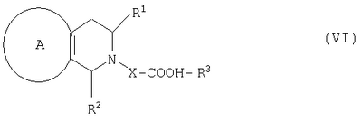
Соединения формулы V получают гидролизом соединений формулы VI

где A, R1, R2 и X имеют значения, указанные выше, a R означает группу алкил, например метил, этил или трет-бутил или бензил. Условия реакции гидролиза зависят от природы группы R3. Если R3 означает метил или этил, реакцию проводят в присутствии основания, например гидроксида лития, гидроксида натрия или гидроксида калия в инертном растворителе или разбавителе, например в метаноле или этаноле. Если R3 означает трет-бутил, реакцию проводят в присутствии кислоты, например раствора соляной кислоты в инертном растворителе, таком как диэтиловый эфир или диоксан, или трифторуксусной кислоты в дихлометане. Если R3 означает бензил, реакцию проводят гидрогенолизом в присутствии катализатора на основе благородного металла, такого как палладий, на соответствующем носителе, таком как уголь.
Соединения формулы VI получают из соединений формулы III

где А, R1 и R2 имеют значения, указанные выше, при взаимодействии с соединениями формулы VII

где Z, Х и R3 имеют значения, указанные выше, в отсутствии или в присутствии соответствующего основания.
Пригодным основанием является, например, органический амин, такой, например, как пиридин, 2,6-лутидин, коллидин, 4-диметиламинопиридин, триэтиламин, морфолин, N-метилморфолин или диазабицикло[5.4.0]ундец-7-ен, или, например карбонат или гидроксид щелочного или щелочно-земельного металла, например карбонат натрия, карбонат калия, карбонат кальция, гидроксид натрия или гидроксид калия.
Обычно реакцию проводят в присутствии пригодного инертного растворителя или рарбавителя, например спирта или сложного эфира, такого как метанол, этанол, изопропанол или этилацетат, в галогенированном растворителе, таком как хлористый метилен, хлороформ или четыреххлористый углерод, в простом эфире, таком как тетрагидрофуран или 1,4-диоксан, в ароматическом растворителе, таком как толуол, или полярном апротонном растворителе, таком как N,N-диметилформамид, N,N-диметилацетамид, N-этилпирролидин-2-он или диметилсульфоксид. Обычно реакцию проводят при температуре от 10°С до 250°С, предпочтительно от 40°С до 200°С.
Соединения формулы III можно получить известными методами, например, описанными Hoshino О. и др. The Chemistry of Heterocyclic Compounds, E.C.Taylor, ed. т.38, часть 3, от с.225, Wiley, New York (1995), или Сох E.D. и Cook J.M., Chem. Rev., 95, 1797-1842 (1995), или Badia D. и др. Trends Heterocycl. Chem., 2, 1-11 (1991).
(в) Третьим предпочтительным способом получения соединений формулы I является взаимодействие соединений формулы VIII

где A, R1, R2 и Х имеют значения, указанные выше, a R4 означает С1-С4алкил, например метил или этил, с гидроксиламином в присутствии соответствующего основания.
Реакцию проводят в инертном растворителе или разбавителе, таком как метанол или этанол, при температуре от 0°С до 100°С, обычно при комнатной или приблизительно при комнатной температуре, и при рН от 9 до 11.
Пригодным основанием является, например, алкоголят, например метилат натрия.
(г) Соединения формулы I, в которых один из заместителей означает аминогруппу, получают восстановлением производного соединения формулы I, где заместитель означает нитрогруппу. Обычно восстановление проводят по любой из множества известных методик, применяющихся для такой модификации. Например, восстановление можно проводить гидрированием раствора нитросоединения в инертном растворителе или разбавителе, указанном выше, в присутствии соответствующего катализатора на основе металла, такого как палладий или платина. Другим восстанавливающим агентом является, например, активированный металл, такой как активированное железо (полученное обработкой порошкообразного железа разбавленной кислотой, такой как хлористоводородная кислота). Таким образом, восстановление можно проводить, например, нагреванием смеси нитросоединения и активированного металла в соответствующем растворителе или разбавителе, таком как смесь воды и спирта, например метанола или этанола, при температуре, например, от 50°С до 150°С, обычно при комнатной или приблизительно при комнатной температуре.
д) Указанные соединения формулы I, где один из заместителей означает C1-С4аканоиламиногруппу, получают ацилированием производного формулы I, где один из заместителей означает аминогруппу. Пригодным ацилирующим агентом является, например, любой агент, известный в данной области техники, который ацилирует аминогруппу с образованием ациламиногруппы, например ацилгалогенид, например алканоилхлорид или алканоилбромид, обычно в присутствии соответствующего основания, указанного выше, ангидрид алкановой кислоты или смешанный ангидрид, например уксусный ангидрид, или смешанный ангидрид, полученный при взаимодействии алкановой кислоты с алкоксикарбонилгалогенидом, например алкоксикарбонилхлоридом, в присутствии соответствующего основания, указанного выше. В общем случае ацилирование проводят в соответствующем инертном растворителе или разбавителе, указанном выше, при температуре, например, от -30°С до 120°С, обычно при комнатной или приблизительно комнатной температуре.
В качестве еще одного объекта в изобретении предлагается фармацевтическая композиция, которая включает тетрагидропиридин-производное формулы I или его фармацевтически приемлемую соль, указанную выше, в смеси с фармацевтически приемлемым разбавителем или носителем. Композицию можно изготовить в форме для перорального введения, например в форме таблетки или капсулы, для парентеральной инъекции (включая внутривенное, подкожное, внутримышечное, внутрисосудистое введение или вливание) в форме стерильного раствора, суспензии или эмульсии, для местного введения в форме мази или крема, или для ректального введения в виде суппозитория. В общем случае указанные композиции можно изготовить в смеси с обычными эксципиентами. Тетрагидропиридин обычно вводят теплокровному животному в виде стандартной дозы, которая содержит от 5 до 5000 мг на квадратный метр площади тела животного, т.е. приблизительно 0,1-100 мг/кг, обычно это составляет терапевтически эффективную дозу. Стандартная доза в форме таблетки или капсулы обычно содержит, например, 1-250 мг активного ингредиента. Предпочтительная суточная доза составляет от 1 до 50 мг/кг. Однако суточная доза может изменяться в зависимости от пациента, способа введения и тяжести заболевания. Оптимальную дозу определяет практикующий врач, который лечит конкретного пациента.
В качестве еще одного объекта в настоящем изобретении предлагается применение тетрагидропиридин-производного формулы I, имеющего значения, указанные выше, в способе лечения человека или животного. В настоящее время неожиданно установлено, что соединения по настоящему изобретению обладают антипролиферативными свойствами благодаря наличию ингибиторной активности в отношении гистондеацетилазы. Следовательно, соединения по настоящему изобретению можно использовать в способе подавления пролиферации злокачественных клеток. Следовательно, предполагается, что соединения по настоящему изобретению можно использовать при лечении опухолевых заболеваний благодаря наличию антипролиферативного действия, прежде всего при лечении рака молочных желез, легких, толстой кишки, прямой кишки, желудка, предстательной железы, мочевого пузыря, поджелудочной железы и яичника. Кроме того, предполагается, что соединение по настоящему изобретению может обладать активностью в отношении ряда лейкозов, злокачественных образований лимфоидных тканей и солидных опухолей, таких как карциномы и саркомы тканей, таких как печень, почки, предстательная железа и поджелудочная железа.
Таким образом, в качестве указанного объекта в изобретении предлагается применение тетрагидропиридин-производного формулы I или его фармацевтически приемлемой соли, имеющего значения, указанные выше, при изготовлении лекарственного средства для применения с целью стимуляции антипролиферативнго действия в организме теплокровного животного, такого как человек.
Кроме того, в качестве указанного объекта в изобретении предлагается способ стимуляции антипролиферативного действия в организме теплокровного животного, такого как человек, которое нуждается в таком лечении, причем указанный способ включает введение указанному животному эффективного количества тетрагидропиридин-производного, указанного выше.
Вышеуказанное антипролиферативное лечение можно осуществлять при лечении одним препаратом или совместно с одним или более других противоопухолевых веществ, например, выбранных из группы, включающей ингибиторы митоза, например винбластин; алкилирующие агенты, например цис-платин, карбоплатин и циклофосфамид; ингибиторы сборки микротрубочек, например паклитаксел или другие таксаны; антиметаболиты, например 5-фторурацил, капецитабин, арабинозид цитозина и гидроксимочевина, или, например, интеркалирущие антибиотики, например адриамицин и блеомицин; иммуномодуляторы, например трастузумаб; ингибитор синтеза ДНК, например гемцитабин; ферменты, например аспарагиназа; ингибиторы топоизомеразы, например этопозид; модуляторы биологического ответа, например интерферон; антигормоны, например антиэстрогены, такие как тамоксифен, или, например, антиандрогены, такие как 4′-циано-3-(4-фторфенилсульфонил)-2-гидрокси-2-метил-3′-(трифторметил)пропионанилид, или другие терапевтические агенты или средства, описанные, например, DeVita V.T., Jr., Hellmann S., Rosenberg S.A., Cancer: Principles and Practice of Oncology, 5th ed., Lippincott-Raven Publishers (1997). Такую сочетанную терапию можно проводить при одновременном, последовательном или раздельном введении индивидуальных компонентов. В качестве такого объекта в изобретении предлагается фармацевтический продукт, включающий тетрагиропиридин-производное формулы I, указанной выше, и дополнительное вышеуказанное противоопухолевое вещество, для сочетанной терапии опухолевых заболеваний.
Изобретение иллюстрируется следующими, без ограничения перечисленным, примерами, причем, если не указано иное, в указанных примерах:
(I) упаривание проводят в вакууме на роторном испарителе, а последующую обработку проводят после отделения твердого материала, такого как осушители, фильтрованием;
(II) реакции проводятся при комнатной температуре, т.е. от 18°C до 25°С, и в атмосфере инертного газа, такого как аргон или азот;
(III) хроматографию (экспресс-хроматографию) и жидкостную хроматографию высокого разрешения (ЖХВР) проводят на силикагеле (Kieselgel фирмы Merck) или на силикагеле для обращенно-фазовой хроматографии (Lichroprep RP-18) (фирмы Е.Merck, Дармштадт, Германия);
(IV) выходы приводятся только для иллюстрации и необязательно означают максимально возможный выход;
(V) температуры плавления определяли на приборе для автоматического определения температуры плавления Mettler SP62, при нагревании на масляной бане или на столике Кофлера;
(VI) структуру конечных продуктов формулы I подтверждали методами ядерного (обычно протонного) магнитного резонанса (ЯМР) и масс-спектрометрии (масс-спектрометр Micromass Platform II с использованием APCI или масс-спектрометр Micromass Platform ZMD с использованием электроспрея);
(VII) промежуточные соединения обычно характеризовали лишь некоторыми параметрами, а очистку проводили тонкослойной хроматографией (ТСХ).
Пример 1

Гидроксиамид 8-(3,4-дигидро-1Н-изохинолин-2-ил)октановой кислоты
(а) К суспензии 3,2 г (20 ммолей) гидрохлорида O-бензилгидроксиламина в 150 мл дихлорметана на ледяной бане добавляли 14 мл триэтиламина и перемешивали до образования прозрачного раствора. Затем добавляли 4,5 г (20 ммолей) омега-бромоктановой кислоты и 5,6 г (22 ммоля) бис(2-оксо-3-оксазолидинил)фосфорилхлорида и перемешивали при комнатной температуре в течение 18 ч. Раствор дважды порциями по 150 мл экстрагировали 1 М соляной кислотой и дважды порциями по 150 мл 1 М водным раствором бикарбоната натрия. Органический растворитель выпаривали в вакууме, при этом получали 5,1 г (78%) бензилоксиамида 8-бромоктановой кислоты в виде бесцветного масла. МС: 330 (М+Н+).
(б) Раствор 0,39 мл (3,12 ммоля) 1,2,3,4-тетрагидроизохинолина, 1,08 г (3,3 ммоля) бензилоксиамида 8-бромоктановой кислоты и 0,46 г (3,3 ммоля) карбоната калия в 12 мл ацетонитрила кипятили с обратным холодильником в течение 2 ч. После охлаждения до комнатной температуры добавляли воду и экстрагировали этилацетатом. Органическую фазу промывали водой, сушили над сульфатом натрия, фильтровали и выпаривали растворитель. Остаток очищали обращенно-фазовой ЖХВР при элюировании метанолом, при этом получали 1 г (84%) бензилоксиамида 8-(3,4-дигидро-1Н-изохинолин-2-ил)октановой кислоты в виде бесцветного масла. МС: 381 (М+Н+).
(в) 200 мг (0,53 ммоля) бензилоксиамида 8-(3,4-дигидро-1Н-изохинолин-2-ил)октановой кислоты в 30 мл метанола гидрогенировали в присутствии палладия на сульфате бария при комнатной температуре и атмосферном давлении в течение 1 ч. Катализатор отделяли фильтрованием и выпаривали растворитель. При этом получали 150 мг (98%) гидроксиамида 8-(3,4-дигидро-1Н-изохинолин-2-ил)октановой кислоты в виде аморфного твердого вещества. МС: 291 (М+Н+).
Пример 2

Гидроксиамид 8-(6,7-диметокси-3,4-дигидро-1Н-изохинолин-2-ил)октановой кислоты
(а) Бензилоксиамид 8-(6,7-диметокси-3,4-дигидро-1Н-изохинолин-2-ил)октановой кислоты получали в виде почти бесцветного воска (0,28 г, выход 49%), МС: 441 (М+Н+), при взаимодействии 0,3 г (1,3 ммоля) бензилоксиамида 8-бромоктановой кислоты (полученного, как описано в примере 1(а)) с 0,43 г (1,3 ммоля) гидрохлорида 6,7-диметокси-1,2,3,4-тетрагидроизохинолина в ДМФ в присутствии карбоната калия (0,18 г, 1,4 ммоля) аналогично тому, как описано в примере 1 (б). Продукт очищали хроматографией на колонке с силикагелем (элюент: этилацетат/метанол, 9:1).
(б) Указанное в заголовке содинение получали в виде аморфного твердого вещества (выход 98%), МС: 351 (М+Н+), гидрогенированием бензилоксиамида 8-(6,7-диметокси-3,4-дигидро-1Н-изохинолин-2-ил)октановой кислоты аналогично тому, как описано в примере 1(в).
Пример 3

Гидроксиамид 8-(1-изопропил-6,7-диметокси-3,4-дигидро-1Н-изохинолин-2-ил)октановой кислоты
(а) Бензилоксиамид 8-(1-изопропил-6,7-диметокси-3,4-дигидро-1Н-изохинолин-2-ил)октановой кислоты получали в виде почти бесцветного воска (0,1 г, выход 20%), МС: 483 (М+Н+), при взаимодействии 0,3 г (1,1 ммоля) бензилоксиамида 8-бромоктановой кислоты (полученного, как описано в примере 1(а)) с 0,3 г (1,1 ммоля) гидрохлорида 1-изопропил-6,7-диметокси-1,2,3,4-тетрагидроизохинолина в ДМФ в присутствии карбоната калия (0,15 г, 1,1 ммоля) аналогично тому, как описано в примере 1 (б). Продукт очищали хроматографией на колонке с силикагелем (элюент: этилацетат).
(б) Указанное в заголовке соединение получали в виде аморфного твердого вещества, МС: 393 (М+Н+), гидрогенированием бензилоксиамида 8-(1-изопропил-6,7-диметокси-3,4-дигидро-1Н-изохинолин-2-ил)октановой кислоты аналогично тому, как описано в примере 1(в).
Пример 4

Гидроксиамид 8-(6,7-диметокси-3-метил-3,4-дигидро-1Н-изохинолин-2-ил)октановой кислоты
(а) Бензилоксиамид 8-(6,7-диметокси-3-метил-3,4-дигидро-1Н-изохинолин-2-ил)октановой кислоты получали в виде почти бесцветного воска (0,35 г, выход 37%), МС: 455 (М+Н+), при взаимодействии 0,7 г (2,1 ммоля) бензилоксиамида 8-бромоктановой кислоты (полученного, как описано в примере 1(а)) с 0,5 г (2,1 ммоля) гидрохлорида 6,7-диметокси-3-метил-1,2,3,4-тетрагидроизохинолина в ДМФ в присутствии карбоната калия (0,3 г, 2,2 ммоля) аналогично тому, как описано в примере 1 (б). Продукт очищали хроматографией на колонке с силикагелем (элюент: этилацетат/метанол, 95:5).
(б) Указанное в заголовке содинение получали в виде почти бесцветного масла (выход 98%), МС: 365 (М+Н+), гидрогенированием бензилоксиамида 8-(6,7-диметокси-3-метил-3,4-дигидро-1Н-изохинолин-2-ил)октановой кислоты аналогично тому, как описано в примере 1(в).
Пример 5

Гидроксиамид 8-(6,7-диэтокси-3,4-дигидро-1Н-изохинолин-2-ил)октановой кислоты
(а) Бензилоксиамид 8-(6,7-диэтокси-3,4-дигидро-1Н-изохинолин-2-ил)октановой кислоты получали в виде почти бесцветного воска (0,15 г, выход 27%), МС: 469 (М+Н+), при взаимодействии 0,38 г (1,2 ммоля) бензилоксиамида 8-бромоктановой кислоты (полученного, как описано в примере 1(а)) с 0,3 г (1,2 ммоля) гидрохлорида 6,7-диэтокси-1,2,3,4-тетрагидроизохинолина в ДМФ в присутствии карбоната калия (0,16 г, 1,2 ммоля) аналогично тому, как описано в примере 1 (б). Продукт очищали хроматографией на колонке с силикагелем (элюент: этилацетат/метанол, 9:1).
(б) Указанное в заголовке содинение получали в виде аморфного твердого вещества (выход 98%), МС: 379 (М+Н+), гидрогенированием бензилоксиамида 8-(6,7-диэтокси-3,4-дигидро-1Н-изохинолин-2-ил)октановой кислоты аналогично тому, как описано в примере 1(в).
Пример 6

Гидроксиамид 8-(6,7-диметокси-1-фенил-3,4-дигидро-1Н-изохинолин-2-ил)октановой кислоты
(а) Бензилоксиамид 8-(6,7-диметокси-1-фенил-3,4-дигидро-1Н-изохинолин-2-ил)октановой кислоты в виде аморфного твердого вещества (0,12 г, выход 23%), МС: 517 (М+Н+), при взаимодействии 0,3 г (1,1 ммоля) бензилоксиамида 8-бромоктановой кислоты (полученного, как описано в примере 1(а)) с 0,32 г (1 ммоль) гидрохлорида 6,7-диметокси-1-фенил-1,2,3,4-тетрагидроизохинолина в ДМФ в присутствии карбоната калия (0,14 г, 1 ммоль) аналогично тому, как описано в примере 1 (б). Продукт очищали хроматографией на колонке с силикагелем (элюент: этилацетат/гептан, 1:1).
(б) Указанное в заголовке соединение получали в виде аморфного твердого вещества (выход 98%), МС: 427 (М+Н+), гидрогенированием бензилоксиамида 8-(6,7-диметокси-1-фенил-3,4-дигидро-1Н-изохинолин-2-ил)октановой кислоты аналогично тому, как описано в примере 1(в).
Пример 7

Гидроксиамид 8-(1,3,4,9-тетрагидро-(3-карболин-2-ил)октановой кислоты
(а) Бензилоксиамид 8-(1,3,4,9-тетрагидро- -карболин-2-ил)октановой кислоты получали в виде аморфного твердого вещества (0,18 г, выход 30%), МС: 420 (М+Н+), при взаимодействии 0,5 г (1,5 ммоля) бензилоксиамида 8-бромоктановой кислоты (полученного, как описано в примере 1(а)) с 0,25 г (1,4 ммоля) 1,2,3,4-тетрагидро-9Н-пиридо[3,4-b]индола в ДМФ в присутствии карбоната калия (0,2 г, 1,4 ммоля) аналогично тому, как описано в примере 1(б). Продукт очищали хроматографией на колонке с силикагелем (элюент: этилацетат).
(б) Указанное в заголовке содинения получали в виде аморфного твердого вещества (выход 98%), МС: 330 (М+Н+), гидрогенированием бензилоксиамида 8-(1,3,4,9-тетрагидро- -карболин-2-ил)октановой кислоты аналогично тому, как описано в примере 1(в).
Пример 8
Следующие соединения получали аналогично тому, как описано в примерах 1-7:
(а) гидроксиамид 7-(3,4-дигидро-1Н-изохинолин-2-ил)гептановой кислоты,

(б) гидроксиамид 6-(3,4-дигидро-1Н-изохинолин-2-ил)гексановой кислоты,

(в) гидроксиамид 8-(3,4-дигидро-6-фенил-1Н-изохинолин-2-ил)октановой кислоты,

(г) гидроксиамид 8-(3,4-дигидро-7-фенил-1Н-изохинолин-2-ил)октановой кислоты,

(д) гидроксиамид 8-(1-трифторметил-1,3,4,9-тетрагидро- -карболин-2-ил)октановой кислоты

(е) гидроксиамид 8-(6-фтор-1,3,4,5-тетрагидропиридо[4,3-b]индол-2-ил)октановой кислоты,

(ж) гидроксиамид 7-(3,4-дигидро-1Н-изохинолин-2-ил)-5-метилгептановой кислоты,

(з) гидроксиамид 7-(3,4-дигидро-1Н-изохинолин-2-ил)-4-метилгептановой кислоты,

(и) гидроксиамид 7-(3,4-дигидро-1Н-изохинолин-2-ил)-3-метилгептановой кислоты,

(к) гидроксиамид 7-(3,4-дигидро-1Н-изохинолин-2-ил)-2-метилгептановой кислоты,

(л) гидроксиамид 7-(3,4-дигидро-1Н-изохинолин-2-ил)-2-хлоргептановой кислоты,

(м) гидроксиамид 7-(3,4-дигидро-1Н-изохинолин-2-ил)-2,2-диметилгептановой кислоты,

(н) гидроксиамид 7-(3,4-дигидро-1Н-изохинолин-2-ил)-2,2-дихлоргептановой кислоты,
(о) гидроксиамид 8-(3,4-дигидро-1Н-изохинолин-2-ил)-2-метилоктановой кислоты,

(п) гидроксиамид 6-(3,4-дигидро-1Н-изохинолин-2-ил)-2-метилгексановой кислоты,

(р) гидроксиамид 7-(3,4-дигидро-1Н-изохинолин-2-ил)-4-оксагептановой кислоты,

(с) гидроксиамид 7-(3,4-дигидро-1Н-изохинолин-2-ил)-3-метил-4-оксагептановой кислоты,

(т) гидроксиамид 7-(3,4-дигидро-1Н-изохинолин-2-ил)-3-оксагептановой кислоты,

(у) гидроксиамид 7-(3,4-дигидро-1Н-изохинолин-2-ил)-3-окса-5-цис-гептеновой кислоты,

(ф) гидроксиамид 7-(3,4-дигидро-1Н-изохинолин-2-ил)-3-окса-5-транс-гептеновой кислоты,

(х) гидроксиамид 7-(3,4-дигидро-1Н-изохинолин-2-ил)-2-метил-3-окса-гептановой кислоты.

Пример 9
Определение ингибирующих свойств соединений по изобретению в отношении ГДАЦ
Для определения ингибирующих свойств соединений по изобретению в отношении ГДАЦ было разработано тестирование с использованием в качестве субстрата фермента аминокумарин- -ацетиллизина. Более подробно этот анализ описан Hoffman К. и др. Nucleic Acids Research, 27, 2057-2058 (1999). В описанной методике ингибирующее действие новых соединений определяли при концентрации 10 нМ. Степень ингибирования, определенная для отдельных соединений, приведена в таблице 1.
| Таблица 1 |
| Соединение, указанное в заголовке примера № |
Ингибирующее действие (%) при концентрации 10 нМ |
| 1 |
54 |
| 5 |
26 |
| 6 |
26 |
| 7 |
26 |
Фармацевтические композиции
Ниже приведены предпочтительные фармацевтические композиции
а) Состав для таблеток (Влажная грануляция)
| Пор. номер |
Ингредиенты |
мг/табл. |
| 1. |
Соединение формулы I |
5 |
25 |
100 |
500 |
| 2. |
Безводн. лактоза DTG |
125 |
105 |
30 |
150 |
| 3. |
Крахм.-Rx 1500 |
6 |
6 |
6 |
30 |
| 4. |
Микрокрист.целлюлоза |
30 |
30 |
30 |
150 |
| 5. |
Стеарат магния |
1 |
1 |
1 |
1 |
| |
Общий |
167 |
167 |
167 |
831 |
Методика получения:
Смешивают ингредиенты 1, 1, 3 и 4 и гранулируют с очищенной водой, сушат гранулы при 50°С, пропускают гранулы через подходящее измельчающее устройство, затем добавляют компонент 5 и перемешивают в течение трех минут. После чего таблетируют обычным образом с использованием прессования.
| б) Капсулирование |
| Пор. номер |
Ингредиенты |
мг/капс. |
| 1. |
Соединение формулы I |
5 |
25 |
100 |
500 |
| 2. |
Водная лактоза |
159 |
123 |
148 |
– |
| 3. |
Крахмал кукурузный |
25 |
35 |
40 |
70 |
| 4. |
Тальк |
10 |
15 |
10 |
25 |
| 5. |
Стеарат магния |
1 |
2 |
2 |
5 |
| |
Общий |
200 |
200 |
300 |
600 |
Методика получения:
Смешивают ингредиенты 1, 2 и 3 в подходящем смесителе в течение 30 минут, затем добавляют компоненты 4 и 5 и перемешивают еще 3 минуты. Полученной смесью заполняют капсулы.
Литература
Badia D. и др. Trends Heterocycl. Chem., 2, 1-11 (1991).
Сох E.D. и Cook J.M., Chem. Rev., 95, 1797-1842 (1995).
DeVita V.T., Jr., Hellmann S., Rosenberg S.A., Cancer: Principles and Practice of Oncology, 5th ed., Lippincott-Raven Publishers (1997).
Hoffman К. и др. Nucleic Acids Research, 27, 2057-2058 (1999).
Hoshino О. и др. The Chemistry of Heterocyclic Compounds, E.C.Taylor, ed. т.38, часть 3, с.225 и далее, Wiley, New York (1995).
Koyama Y. и др. Blood, 96, 1490-1495 (2000).
Marks P.M., J. Natl. Cancer. Inst. 92, 1210-1216 (2000).
US 5369108.
WO 98/55449.
Формула изобретения
1. Производные тетрогидропиридина формулы I

где

(а) означает фенильную группу, которая является незамещенной или замещенной 1, 2 или 3 заместителями, независимо выбранными из С1-С4алкокси, или
(б) означает индолильную группу, которая является незамещенной, R1 и R2 являются одинаковыми или различивши и означают водород, С1-С4алкильную или фенильную группу,
Х означает алкиленовую группу с прямой цепью, содержащую 5, 6, 7 атомов углерода, а также фармацевтически приемлемые соли.
2. Соединение формулы I по п.1, где

означает фенильную группу, которая является незамещенной или замещенной 1 или 2 заместителями, независимо выбранными из С1-С4алкоксигруппы, или

означает незамещенную индолильную группу,
R1 и R2 являются одинаковыми или различными и означают водород, С1-С4алкильную или
фенильную группу,
Х означает алкиленовую группу с прямой цепью, содержащую 5, 6 или 7 атомов углерода, а также фармацевтически приемлемые соли.
3. Соединение формулы I по п.1 или 2, выбранное из группы, включающей
гидроксиамид 8-(3,4-дигидро-1Н-изохинолин-2-ил)октановой кислоты,
гидроксиамид 8-(6,7-диметокси-3,4-дигидро-1Н-изохинолин-2-ил)октановой кислоты,
гидроксиамид 8-(1-изопропил-6,7-диметокси-3,4-дигидро-1Н-изохинолин-2-ил)октановой кислоты,
гидроксиамид 8-(6,7-диметокси-3-метил-3,4-дигидро-1Н-изохинолин-2-ил)октановой кислоты,
гидроксиамид 8-(6,7-диэтокси-3,4-дигидро-1Н-изохинолин-2-ил)октановой кислоты,
гидроксиамид 8-(6,7-диметокси-1-фенил-3,4-дигидро-1Н-изохинолин-2-ил)октановой кислоты,
гидроксиамид 8-(1,3,4,9-тетрагидро- -карболин-2-ил)октановой кислоты.
4. Фармацевтическая композиция, обладающая ингибирующей активностью в отношении ГДАЦ, содержащая в качестве активного ингредиента соединение формулы I по пп.1-3, в смеси с фармацевтически приемлемьм эксципиентом или разбавителем.
|
|