|
|
(21), (22) Заявка: 2002128751/04, 27.03.2001
(24) Дата начала отсчета срока действия патента:
27.03.2001
(30) Конвенционный приоритет:
27.03.2000 US 60/192,260
(43) Дата публикации заявки: 10.03.2004
(45) Опубликовано: 10.05.2006
(56) Список документов, цитированных в отчете о поиске:
RU 2134695 C1, 20.08.1999. RU 664560 А3, 25.05.1979. WO 99/49856 A2, 27.03.1999. US 4511504 A, 16.04.1985. WO 98/09957 A1, 12.03.1998. WO 98/03573 A1, 29.01.1998.
(85) Дата перевода заявки PCT на национальную фазу:
28.10.2002
(86) Заявка PCT:
US 01/09756 (27.03.2001)
(87) Публикация PCT:
WO 01/72699 (04.10.2001)
Адрес для переписки:
129010, Москва, ул. Б.Спасская, 25, стр.3, ООО “Юридическая фирма Городисский и Партнеры”, пат.пов. Е.Е.Назиной
|
(72) Автор(ы):
БОГЕР Дейл Л. (US), ЧЕРЕШ Дэвид А. (US)
(73) Патентообладатель(и):
ДЗЕ СКРИППС РИСЕРЧ ИНСТИТЬЮТ (US)
|
(54) СОЕДИНЕНИЯ, ФАРМАЦЕВТИЧЕСКАЯ КОМПОЗИЦИЯ И СПОСОБ ИНГИБИРОВАНИЯ ОПУХОЛЕВОГО РОСТА (ВАРИАНТЫ)
(57) Реферат:
Изобретение относится к новым соединениям структуры, указанной ниже, ингибирующим опухолевый рост и ангиогенез.
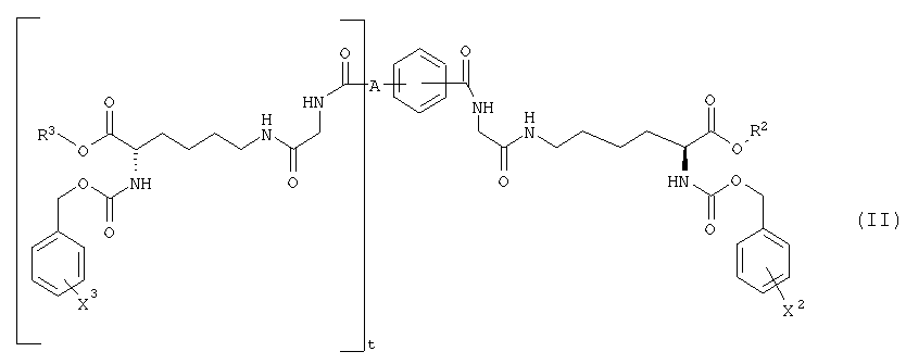
где R2 и R3, каждый, независимо, представляет собой Н, С1-С4 алкил; Х2 и Х3, каждый, независимо, представляет собой С1-С4 перфторалкил; А представляет собой Н или ковалентную связь; и t представляет собой целое число, имеющее значение 0 или 1; при условии, что когда А представляет собой Н, тогда t равно 0, и когда А представляет собой ковалентную связь, тогда t равно 1. Изобретение также относится к фармацевтической композиции и способам ингибирования. 7 н. и 25 з.п ф-лы, 5 ил, 1 табл.
Область изобретения
Настоящее изобретение относится к композициям, ингибирующим ангиогенез и опухолевый рост. В частности, изобретение относится к композициям, которые связываются с интегрином v 3 и блокируют взаимодействие интегрина v 3 и матричной металлопротеиназы 2 (MMP2). Изобретение также относится к способам ингибирования ангиогенеза и опухолевого роста, в которых используются селективные ингибиторы связывания интегрина v 3 и MMP2.
Предпосылки изобретения
Инвазивность сосудистых клеток в ткани требует согласованного взаимодействия большого количества факторов, в том числе протеиназ, которые изменяют структуру экстрацеллюлярного матрикса, а также молекул клеточной адгезии, которые узнают этот измененный матрикс. В сообщениях, сделанных недавно, указывалось, что 72 кДа матричная металлопротеиназа 2 (MMP2) играет ключевую роль в образовании новых сосудов и в ангиогенезе. Например, Kitoh et al. (J. Cell Sci., 109, 953-8 (1996)) сообщали о том, что присутствие MMP2 и его активатора мембранного типа 1-матричной металопротеиназы (MT1-MMP), которые взаимосвязано экспрессируются мезенхимальными клетками практически только при эмбриональном развитии, указывает на специфические перестройки связей в матриксе таких тканей. Кроме того, ангиогенез и соответствующий опухолевый рост снижен у мышей с выключенным геном MMP2 (смотри Itoh et al., Cancer Res., 58 1048-51 (1998)). Интересным фактом, на который указывают Saftor et al. (Proc. Natl. Acad. Sci. U.S.A., 89, 1557-61 (1992)), является то, что лигирование интегрина v 3, являющегося известным медиатором ангиогенеза, индуцирует продукцию MMP2, что говорит о согласованном взаимодействии этих двух молекул во время сосудистой перестройки, связанной с образованием кровяного сосуда (смотри также Bafetti et al, J. Biol. Chem., 273, 143-9 (1998)). Действительно, Brooks et al (Cell, 85, 683-93 (1996)) продемонстрировали непосредственное взаимодействие MMP2 и интегрина v 3. Позднее Brooks et al показали, что такая отрицательная регуляция MMP2 при сосудистой инвазии и формировании связана с экспрессией v 3 (Cell, 92, 391-400 (1998)).
Хотя было подтверждено, что природные, а также синтетические ингибиторы MMP, в том числе ингибиторы MMP2, ингибируют ангиогенез и попутно подавляют рост опухоли, введение таких методик в клиническое использование имело ограниченный успех, главным образом из-за вредного побочного действия, такого как широкий спектр ингибирования. Так как функционирование ММР в целом может быть необходимо для многих процессов, протекающих во взрослом организме, то ингибирование активного сайта ферментативной функции, вероятно, может иметь большой диапазон последствий на эффекты в различных биологических процессах, которые включают перестройку ткани, например, при заживлении ран. В самом деле, на стадии клинических испытаний было подтверждено, что лечение различных типов рака ингибиторами ММР с широким спектром действия вызывало серьезное побочное действие, включающее воспаление ткани сухожилия, полиартриты и синдромы мышечной боли, которые ограничивали дозу и зачастую сохранялись после прекращения лечения. Однако, имея ограниченное распределение интегрина v 3 во взрослом организме, можно предполагать, что целенаправленное взаимодействие ММР2 и v 3 в областях, в которых образуются новые сосуды, или в областях клеточной инвазии может, соответственно, ограничивать эффект такой токсичности, связанной с лечением. Действительно, рекомбинантный некаталитический гемопексиновый домен на карбоксиконце ММР2 (PEX), который опосредует связывание ММР2 с интегрином v 3, показал антиангиогенную и противоопухолевую активность in vivo. Возможное использование такого большого белкового фрагмента, сопровождающееся неудобствами (например, проблемы широкомасштабного производства, FDA (управление по контролю за продуктами и лекарствами США) контроль качества и безопасности выпуска и антигенность), предполагает необходимость более удобного решения этой проблемы.
Существует необходимость в химических соединениях, которые бы селективно ингибировали активность ММР в областях опухолевого роста, минимально ингибируя ММР в других областях организма.
Краткое описание изобретения
Настоящее изобретение относится к новым соединениям, используемым в качестве ингибиторов ангиогенеза и опухолевого роста. Настоящее изобретение также относится к способу ингибирования взаимодействия ММР2 и интегрина v 3 и способу ингибирования ангиогенеза в клетках, содержащих интегрин v 3. Кроме того, настоящее изобретение относится к способу ингибирования опухолевого роста путем введения ингибиторов ММР2- v 3 взаимодействия.
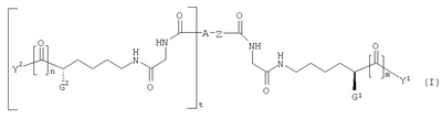
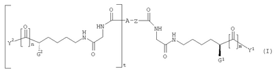
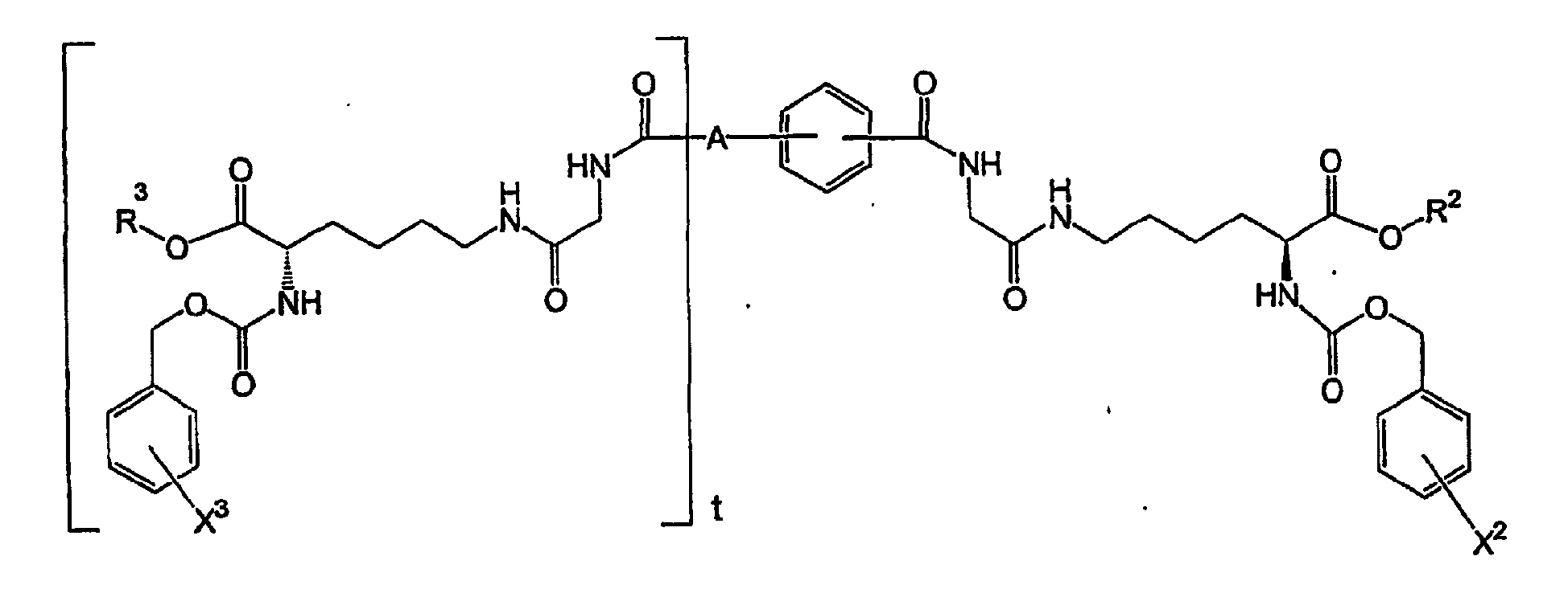
Соединения по настоящему изобретению представлены формулой (I) и включают в себя глициллизиновые производные, химически присоединенные к связывающей группе:

где G1 или G2 каждый независимо представляет собой -NH-C(O)-О-R1, -NH-C(О)-О-(CH2)v-(C6H4)-X1, -NH-C(О)-NH-(CH2)v-(C6H4)-X1, -O-C(O)-NH-(CH2)v-(C6H4)-X1, -O-C(O)-O-(CH2)v-(C6H4)-X1 или -NH-C(O)-CH2-(C6H4)-X1; Y1 и Y2 каждый независимо представляет собой OH, С1-С4 алкил, С1-С4 гидроксиалкил, С1-С4 алкокси, фенил, бензил или -NH2; R1 представляет собой С1-С4 алкил; X1 представляет собой галоген, нитро, С1-С4 алкил, С1-С4 алкокси или С1-С4 перфторалкил; Z представляет собой -С С-, -С6Н4-, цис -CH=CH-, транс -CH=CH-, цис -CH2-CH=CH-CH2-, транс -CH2-CH=CH-CH2-, 1,4-нафтил, цис-1,3-циклогексил, транс-1,3-циклогексил, цис-1,4-циклогексил или транс-1,4-циклогексил; A представляет собой H или ковалентную связь; m и n каждый независимо представляет собой целое число, имеющее значение 0 или 1; t представляет собой целое число, имеющее значение 0 или 1; и v представляет собой целое число, имеющее значение 1 или 2; при условии, что когда A представляет собой H, тогда t равно 0; когда A представляет собой ковалентную связь, тогда t равно 1; когда m равно 0, тогда Y1 представляет собой С1-С4 гидроксиалкил; и когда n равно 0, тогда Y2 представляет собой С1-С4 гидроксиалкил. Эти соединения связываются с v 3 и ингибируют взаимодействие ММР2 и v 3.
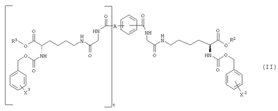
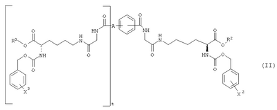
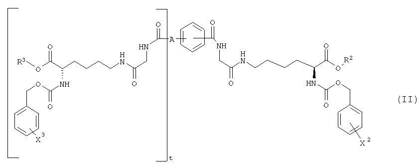
Предпочтительные соединения структурной формулы (I) представлены структурной формулой (II):

где R2 и R3, каждый, независимо представляет собой Н, С1-С4 алкил, фенил или бензил; Х2 и Х3 каждый независимо представляет собой галоген, нитро, С1-С4 алкокси, С1-С4 алкил или С1-С4 перфторалкил; А представляет собой Н или ковалентную связь; и t представляет собой целое число, имеющее значение 0 или 1; при условии, что когда А представляет собой Н, тогда t равно 0, и когда А представляет собой ковалентную связь, тогда t равно 1. Когда А представляет собой ковалентную связь и t равно 1, тогда группы глициллизинового производного могут быть присоединены к бензолсвязывающей группе в орто-, мета- или параположении.
Когда соединения формулы (I) и (II) вводятся в клетки, содержащие v 3, связывание v 3 и ММР2 ингибируется, что препятствует, таким образом, основному механизму ангиогенеза. Нарушение ангиогенеза также может ингибировать опухолевый рост путем предотвращения васкуляризации опухоли, таким образом, нарушая ее питание. Соединения по настоящему изобретению, которые ингибируют ангиогенез и опухолевый рост, таким образом, являются полезными терапевтическими агентами для лечения пациентов с опухолями и ангиогенными расстройствами. Так как настоящие соединения связываются с v 3, то эти соединения также могут быть использованы для подавления воспаления.
Соединения по настоящему изобретению могут находиться в композиции с подходящей фармацевтически приемлемой средой для использования фармацевтической композиции при лечении опухолей и других нарушений, связанных с нежелательным ангиогенезом.
В способе по настоящему изобретению фармацевтические соединения, содержащие соединение формулы (I) и (II), получают путем смешения соединения в фармацевтически приемлемым матриксом. Фармацевтические композиции активных соединений вводятся пациенту с опухолью для снижения или прекращения опухолевого роста. Активные соединения могут вводиться парентерально инъекцией или постепенным вливанием в течение времени или любым другим способом, подходящим для определенной лекарственной формы.
Краткое описание чертежей
Фиг.1 представляет собой схематический рисунок, отражающий взаимодействие MMP2 и интегрина v 3, и его роль в ангиогенезе, а также ингибирование взаимодействия MMP2 и v 3 антагонистом, таким как соединения по настоящему изобретению.
На фиг.2A графически представлено действие ингибиторных соединений формулы (I) на взаимодействие MMP2 и интегрина v 3 в твердофазном анализе связывания.
На фиг.2B представлено связывание соединений формулы (I) с интегрином v 3 и 5 1.
На фиг.2C приведено сравнение действия соединения по настоящему изобретению и контрольного соединения на связывание с v 3.
На фиг.2D приведено сравнение действия аминокислотных остатков RGD на связывание настоящего изобретения и v 3 с действием RGD на связывание bVN и v 3.
На фиг.3А графически изображена протеиназная активность в 3 положительных клетках и в 3 отрицательных клетках.
На фиг.3B показано связывание MMP2 и 3 положительных клеток и 3 отрицательных клеток.
Фиг.4A представляет собой наблюдаемую в микроскоп картину ингибирования ангиогенеза в ткани CAM цыпленка.
На фиг.4В графически показано ингибирование ангиогенеза в ткани CAM цыпленка.
На фиг.4С показан уровень ММР2 в обработанных и необработанных клетках.
Фиг.5А представляет собой наблюдаемую в микроскоп картину опухолевого роста и васкуляризации в ткани САМ цыпленка.
Фиг.5B представляет собой наблюдаемую в микроскоп картину интенсивности кровеносных сосудов в ткани CAM цыпленка.
На фиг.5C графически представлен вес опухоли в ткани САМ цыпленка.
На фиг.5D графически представлена васкуляризация ткани САМ цыпленка.
Фиг.5D представляет собой наблюдаемую в микроскоп картину количества опухолевых клеток в ткани CAM цыпленка.
Подробное описание изобретения
Связывание MMP2 и интегрина v 3 является важным механизмом в процессе ангиогенеза. Определенные ингибиторы этого связывания приводят к уменьшению васкуляризации растущих тканей, таких как опухолей, и, таким образом, замедлению опухолевого роста. Взаимодействие MMP2 и интегрина v 3 графически показано на фиг.1. Новый класс ингибиторов ангиогенеза и опухолевого роста представляет собой низкомолекулярные антагонисты, описанные ниже, которые, в частности, препятствуют связыванию MMP2 и интегрина v 3, таким образом, давая новый важный подход в лечении.
Некоторые соединения по настоящему изобретению могут обладать одним или несколькими центрами асимметрии и могут находиться в оптически активных формах. Дополнительные центры асимметрии могут присутствовать в группе заместителя, такой как алкильная группа. Чистые S-изомеры и чистые R-изомеры, рацемические смеси изомеров и их смеси входят в объем настоящего изобретения. Предполагаемые хиральные формы некоторых соединений по данному изобретению конкретно входят в объем настоящего изобретения.
Под термином “алкокси” подразумевается атом кислорода, связанный эфирной связью с определенной ниже алкильной группой указанного размера. Примерами алкоксигрупп являются метокси, этокси, трет-бутокси и тому подобное. Под термином “алкил” подразумеваются углеродные радикалы с прямой или разветвленной цепью указанного размера. Типичными представителями алкильных радикалов являются метил, этил, н-пропил, изопропил, н-бутил, втор-бутил, изобутил, трет-бутил, 2-этилгексил, н-октил, 2,4-диметилпентил и тому подобное. Под термином “гидроксиалкил” подразумевается определенная выше алкильная группа указанного размера, присоединенная к гидроксильной группе. Примеры включают гидроксиметил, 2-гидроксиэтил, 3-гидрокси-1-пропил, 2-гидрокси-1-пропил, 4-гидроксибутил и тому подобное.
Под термином “перфторалкил” подразумевается определенная ниже алкильная группа указанного размера, несущая фтор-заместители на месте каждого водорода, например трифторметил и пентафторэтил.
Термин “галоген” относится к брому, хлору, фтору и йоду.
Соединения по настоящему изобретению представлены формулой (I) и включают глициллизиновые производные, химически присоединенные к связывающей группе:

где G1 или G2 каждый независимо представляет собой -NH-C(O)-О-R1, -NH-C(О)-О-(CH2)v-(C6H4)-X1, -NH-C(О)-NH-(CH2)v-(C6H4)-X1, -O-C(O)-NH-(CH2)v-(C6H4)-X1, -O-C(O)-O-(CH2)v-(C6H4)-X1 или -NH-C(O)-CH2-(C6H4)-X1; Y1 и Y2 каждый независимо представляет собой OH, С1-С4 алкил, С1-С4 гидроксиалкил, С1-С4 алкокси, фенил, бензил или -NH2; R1 представляет собой С1-С4 алкил; X1 представляет собой галоген, нитро, С1-С4 алкил, С1-С4 алкокси или С1-С4 перфторалкил; Z представляет собой -С С-, -С6Н4-, цис -CH=CH-, транс -CH=CH-, цис -CH2-CH=CH-CH2-, транс -CH2-CH=CH-CH2-, 1,4-нафтил, цис-1,3-циклогексил, транс-1,3-циклогексил, цис-1,4-циклогексил или транс-1,4-циклогексил; A представляет собой H или ковалентную связь; m и n каждый независимо представляет собой целое число, имеющее значение 0 или 1; t представляет собой целое число, имеющее значение 0 или 1; и v представляет собой целое число, имеющее значение 1 или 2; при условии, что когда A представляет собой H, тогда t равно 0; когда A представляет собой ковалентную связь, тогда t равно 1; когда m равно 0, тогда Y1 представляет собой С1-С4 гидроксиалкил; и когда n равно 0, тогда Y2 представляет собой С1-С4 гидроксиалкил.
Предпочтительно G1 и G2 представляет собой -NH-C(О)-О-(CH2)v-(C6H4)-X1, Y1 и Y2 представляют собой OH, а m и n равны 1. Предпочтительно X1 представляет собой С1-С4 перфторалкил, более предпочтительно, трифторметил. Предпочтительные соединения, входящие в структурную формулу (I), представлены структурной формулой (II) и включают глицинлизиновые производные, присоединенные к бензольной связывающей группе либо в орто-, либо в мета-, либо в параположении:

где R2 и R3, каждый, независимо представляет собой Н, С1-С4 алкил, фенил или бензил; Х2 и Х3, каждый, независимо представляют собой галоген, нитро, С1-С4 алкокси, С1-С4 алкил или С1-С4 перфторалкил; А представляет собой Н или ковалентную связь; и t представляет собой целое число, имеющее значение 0 или 1; при условии, что когда А представляет собой Н, тогда t равно 0, и когда А представляет собой ковалентную связь, тогда t равно 1. Когда А представляет собой ковалентную связь и t равно 1, тогда группы глициллизинового производного могут быть присоединены к бензольной связывающей группе в орто-, мета- или параположении.
Предпочтительно заместители X2 и X3 присоединены к фенильному кольцу бензильной группы в 4-положении относительно бензильного CH2 (то есть, паразаместитель). Предпочтительными X2 и X3 группами являются С1-С4 перфторалкил, более предпочтительными являются паратрифторметил. Предпочтительными R2 и R3 группами являются водород и метил. Заместители X2 и X3 могут быть одинаковыми или различными и заместители R2 и R3 могут также быть одинаковыми или различными.
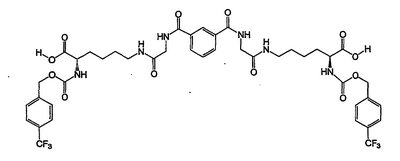
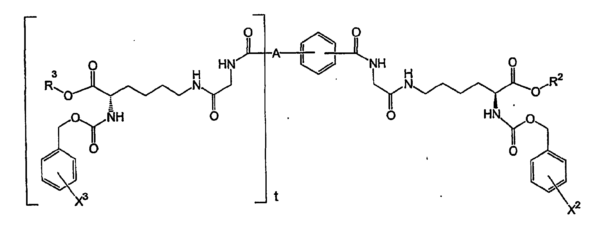
Особенно активным членом семейства соединений, представленных формулой (II), где A представляет собой ковалентную связь и t равно 1, является соединение, представленное соединением 1 ниже:

(Соединение 1)
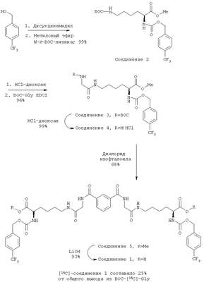
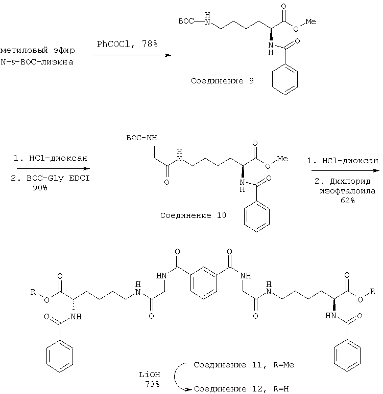
Соединения формул (I) и (II) могут быть синтезированы из уже доступных веществ с небольшим числом стадий синтеза. Например, на схеме 1 показан синтез соединения 1, и эта схема иллюстрирует общий способ получения соединений формулы (II), где A является ковалентной связью, R2 и R3 одинаковы, и Х2 и Х3 одинаковы. Схема 1 дополнительно иллюстрирует синтез соединений формулы (II), где Х2 и Х3 оба являются паратрифторметилом, а R2 и R3 оба являются либо метилом, либо водородом.
Схема 1

На схеме 1 показано, что п-трифторметилбензиловый спирт взаимодействует с карбонатом дисукцинимидила с образованием активированного промежуточного эфира, который в свою очередь взаимодействует с метиловым эфиром N- -BOC-лизина с получением соединения 2 с 99% выходом. Гидролиз BOC защитной группы и последующее связывание с BOC-глицином дает соединение 3 с 96% выходом. Кислотный гидролиз BOC защитной группы соединения 3 приводит к получению соединения 4 с выходом 99%. Связывание двух эквивалентов соединения 4 с дихлоридом изофталоила приводит к выходу 68% соединения 5, соответствующего формуле (II), где R2 и R3 представляют собой метил, X2 и X3 представляют собой п-трифторметил и A представляет собой ковалентную связь. Гидролиз соединения 5 с гидроксидом лития дает 93% выход соединения 1.
Синтез соединений формулы (I) и (II), которые аналогичны соединению 1, но имеют другие заместители R и X, могут быть получены путем внесения изменений в схему 1, и легко понятны специалисту в области химического синтеза. Использование бензилового спирта с заместителем, отличным от п-трифторметила (например, галогеном, нитро или другим С1-С4 перфторалкильными группами, находящимися либо в орто-, либо в мета-, либо в параположении относительно бензильного CH2), или использование защищенного лизинового эфира, имеющего эфирную группу, отличную от метила, позволит получить другие соединения формулы (II).
Синтез соединений формулы (I), имеющих Z группы, отличные от 1,3-фенила, возможен, например, путем замещения другими дикислотными дихлоридами, такими как бисхлоркарбонилацетилен, дихлорид фумарила, дихлорид фталоила, вместо хлорида изофталоила по схеме 1. Альтернативно, соответствующие кислоты могут использоваться вместо хлорангидридов кислот, и связывание кислоты с соответствующими аминами может достигаться путем обычного пептидного связывания, хорошо известного в данной области. Специалисты в данной области легко подберут другие химические вещества в качестве заместителей, которые могут быть в способах синтеза, проиллюстрированных на схеме 1 и 2, для синтеза других членов группы соединения, представленного формулой (I) и (II). Синтез подобных соединений и полезные химические методики для синтеза соединений формулы (I) и (II) описаны Boger et al. в J. Am. Chem. Soc. 123, 1280-1288 (2001).
Соединения формулы (II), где A представляет собой ковалентную связь, t равно 1 и либо R2, отличающийся от R3, либо X2, отличающийся от X3, или как R2/R3, так и X2/X3 отличны друг от друга, могут быть синтезированы, модифицируя способ, представленный на схеме 1, что будет легко понятно специалисту в данной области. Например, один эквивалент соединения 4 может взаимодействовать с дихлоридом изофталоила или любым другим подходящим галогенангидридом изофталевой кислоты или активным сложным эфиром, и вторая активированная кислотная группа может соответствующим образом взаимодействовать с аналогом соединения 4, который отличается либо Х группой, либо R группой, либо обеими этими группами. Подобным образом, два аналога соединения 4, которые отличаются либо X группой, либо R группой, либо обеими этими группами, могут соответствующим образом взаимодействовать с дихлоридом изофталоила или эквивалентным активированным изофталатом с образованием дополнительных аналогов соединения 1 с отличающейся X и R группами.
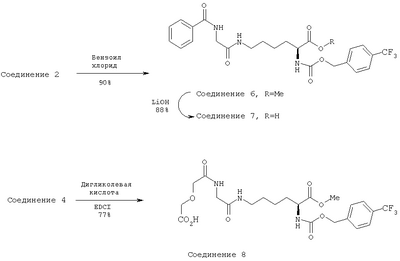
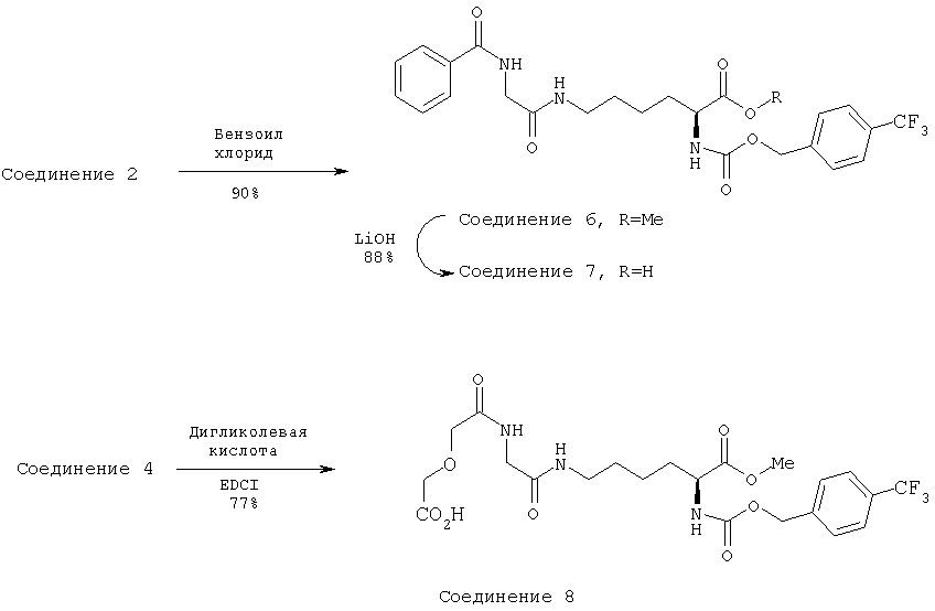
Синтез соединений формулы (II), где A представляет собой водород и t равно 0, показан на примере синтеза соединений 6 и 7 на схеме 2 ниже:
Схема 2

На схеме 2 соединение 4 схемы 1 взаимодействует с бензоилхлоридом с образованием соединения 6 (R2= метил; X2 = п-трифторметил) с выходом 90%. Гидролиз сложной эфирной группы соединения 6 гидроксидом лития давал соединение 7 (R2=H, X2 = п-трифторметил) с выходом 88%.
Бензоилирование аналогов соединения 4 с различными R группами (например, с другими С1-С4 алкильными группами) и/или с различными X заместителями на бензильной группе приводил к образованию других соединений формулы (II), имеющих A = H и t = 0.
На схеме 2 также показан синтез соединения 8, неактивного аналога соединений 6 и 7, в которых бензоильная группа, присоединенная к глициновому звену формулы (II), замещается группой дигликолевого амида. Соединение 9 получают с 77% выходом взаимодействием соединения 4 с дигликолевой кислотой.
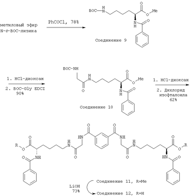
На схеме 3 ниже в качестве примера приведен синтез соединения 12, неактивного аналога соединения 1, в котором п-трифторметилбензилоксикарбонильная группа формулы (II) замещена бензоиламидом.
Схема 3

В аспекте способа по настоящему изобретению фармацевтические препараты соединений формул (I) и (II) могут быть получены смешением соединения и фармацевтически приемлемого вещества носителя. Фармацевтические композиции, включающие активные соединения формул (I) и (II), вводят в организм с опухолью для снижения или прекращения опухолевого роста. Активные соединения могут вводиться парентерально путем инъекции или постепенной инфузии в течение времени. Хотя подвергающуюся воздействию ткань чаще всего обрабатывают путем внутрибрюшинного или подкожного введения, активные соединения могут вводиться интраокулярно, внутривенно, внутримышечно, внутрисуставно, в полости, чрезкожно или также могут быть доставлены с помощью перистальтических инфузионных насосов.
В данном изобретении под используемым здесь термином “введение” соединения или композиции понимают систематический прием пероральным, парентеральным путями, с помощью спрея для ингаляций, назальным, ректальным или буккальным путями, или местным нанесением композиции в виде лекарственной формы, содержащей необходимые обычные нетоксичные фармацевтически приемлемые носители, адъюванты или растворители. Под используемым здесь термином “парентеральный” понимают внутривенную, внутримышечную, внутрибрюшинную, интрастернальную, подкожную и внутрисуставную инъекцию или способы инфузии.
“Фармацевтически приемлемые” означает такие соли, амиды и сложные эфиры, которые в рамках медицинских значений являются подходящими для взаимодействия с тканями человека и низших животных без неспецифической токсичности, повреждения, аллергического ответа и тому подобное, и соответствуют приемлемому отношению выгода/риск, эффективному для планируемого их применения при лечении опухолей и ангиогенных нарушений.
Фармацевтически приемлемые соли хорошо известны в данной области. Например, S. M. Berge et al. подробно описывают фармацевтически приемлемые соли в J. Pharmaceutical Sciences, 66: 1-19 (1977). Типичными представителями солей добавления кислот являются гидрохлорид, гидробромид, сульфат, бисульфат, ацетат, оксалат, валерат, олеат, пальмитат, стеарат, лаурат, борат, бензоат, лактат, фосфат, толуолсульфонат, метансульфонат, цитрат, малеат, фумарат, сукцинат, тартрат, аскорбат, глюкогептонат, лактобионат, лаурилсульфат и тому подобное. Типичными представителями солей щелочных или щелочноземельных металлов являются соли натрия, кальция, калия, магния и тому подобное.
Под используемым здесь термином “фармацевтически приемлемые носители” понимают нетоксичное, инертное твердое вещество, полутвердое или жидкое вещество наполнителя, разбавителя, инкапсулирующее вещество или вспомогательную композицию любого типа. Некоторые примеры веществ, которые могут служить фармацевтически приемлемыми носителями, включают сахара, такие как лактоза, глюкоза и сахароза; крахмалы, такие как кукурузный крахмал и картофельной крахмал; целлюлозу и ее производные, такие как натрий карбоксиметилцеллюлоза, этилцеллюлоза и ацетат целлюлозы; трагакант в порошке; солод; желатин; тальк; эксципиенты, такие как масло какао и воска для суппозиториев; масла, такие как арахисовое масло, хлопковое масло, сафлоровое масло, кунжутное масло, оливковое масло, кукурузное масло и соевое масло; гликоли, такие как пропиленгликоль; полиолы, такие как глицерин, сорбит, маннит и полиэтиленгликоль; сложные эфиры, такие как этилолеат и этиллаурат; агар; буферизирующие агенты, такие как гидроксид магния и гидроксид алюминия; альгиновую кислоту; воду без пирогенов; изотонический солевой раствор; раствор Рингера; этиловый спирт и забуференные фосфатом растворы, а также другие нетоксические сочетаемые вещества, используемые в фармакологических композициях.
В композиции также могут находиться увлажняющие агенты, эмульгаторы и смазывающие вещества, такие как лаурилсульфат натрия и стеарат магния, а также красители, разделительные вещества, покрывающие вещества, подсластители, вкусовые агенты и ароматизаторы, консерванты и антиоксиданты в соответствии с фармацевтическими нормами. Примеры фармацевтически приемлемых антиоксидантов включают антиоксиданты, растворимые в воде, такие как аскорбиновая кислота, цистеингидрохлорид, бисульфит натрия, метабисульфит натрия, сульфит натрия и тому подобное; антиоксиданты, растворимые в масле, такие как аскорбил пальмитат, бутилированный гидроксианизол (BHA), бутилированный гидрокситолуол (BHT), лецитин, пропилгаллат, альфа-токоферол и тому подобное; и металлхелатные добавки, такие как лимонная кислота, этилендиаминтетрауксусная кислота (EDTA), сорбит, винная кислота, фосфорная кислота и тому подобное.
Под “терапевтически эффективным количеством” агента или соединения по данному изобретению понимают достаточное количество соединения для лечения опухолей и ангиогенных нарушений с подходящим соотношением польза/риск для терапевтического использования. Понятно, однако, что общая дневная доза соединений и композиций по данному изобретению будет определена лечащим врачом в пределах медицинских норм. Уровень специфических терапевтически эффективных доз для любого конкретного больного будет зависеть от ряда факторов, в том числе от нарушения, на которое нацелено лечение, и тяжести нарушения; активности конкретных используемых соединений; используемой конкретной композиции; возраста, массы тела, общего состояния здоровья, пола и питания больного; время введения, пути введении и скорости экскреции используемого конкретного соединения; продолжительности лечения; лекарственных средств, используемых в сочетании или одновременно с используемым конкретным соединением; и тому подобными факторами, хорошо известными в области медицины.
Данное изобретение также относится к фармацевтическим композициям в стандартной лекарственной форме, которые включают терапевтически эффективное количество соединения (или соединений) по данному изобретению в сочетании с обычными фармацевтическими носителями. Препараты, вводимые с помощью инъекции, например, стерильные водные жидкости, вводимые инъекцией, или масляные суспензии могут быть получены в соответствии с известными в данной области способами, используя подходящие диспергирующие или увлажняющие агенты и суспендирующие агенты. Стерильный препарат, вводимый инъекцией, также может быть стерильным раствором, вводимым инъекцией, суспензией или эмульсией в нетоксическом разбавителе или растворителе, приемлемом для парентерального введения, например, в виде раствора 1,3-бутандиола. К приемлемым растворителям и транспортным средствам относятся вода, раствор Рингера, U.S.P. и изотоничный раствор хлорида натрия. Кроме того, в качестве растворителя или суспендирующей среды обычно используются стерильные твердые масла. Для этой цели может быть использовано любое твердое масло, в том числе синтетические моно- или диглицериды.
Кроме того, в препаратах, вводимых инъекцией, используются жирные кислоты, такие как олеиновая кислота. Композиции, вводимые инъекцией, могут быть стерилизованы, например, фильтрацией через фильтр, задерживающий бактерии, или путем смешения стерильных агентов в форме стерильных твердых веществ, которые могут быть растворены или разбавлены непосредственно перед использованием в стерильной воде или других стерильных средах для инъекций.
Для того чтобы продлить действие лекарства, часто желательно замедлить его всасывание при подкожной или внутримышечной инъекции. Наиболее простым способом для достижения такого замедления является введение суспензии кристаллического или аморфного вещества со слабой растворимостью в воде. Скорость всасывания лекарственного средства становится зависимой от скорости его растворения, что в свою очередь зависит от физического состояния лекарственного средства, например размера кристаллов и кристаллической формы. Другим подходом для задержки всасывания лекарственного средства является введение лекарственного средства в виде раствора или суспензии в масле. Также, формовкой микрокапсулярного вещества лекарства и биодеградируемых полимеров, таких как полилактид-полигликолид, может быть получена вводимая инъекцией форма с замедленным всасыванием. Скорость высвобождения лекарства может контролироваться в зависимости от соотношения лекарства и полимера и композиции полимера. Примеры других биодеградируемых полимеров включают полиортоэфиры и полиангидриды. Форма с замедленным всасыванием, вводимая инъекцией, также может быть получена включением лекарственного средства в липосомы или микроэмульсии, совместимые с тканями организма.
Суппозитории для ректального введения лекарственного средства могут быть получены смешением лекарства с подходящим нераздражающим эксципиентом, таким как масло какао и полиэтиленгликолем, который является твердым при обычной температуре и жидким при ректальной и, таким образом, будет растворяться в прямой кишке, высвобождая лекарство.
Твердые лекарственные формы для перорального введения могут включать в себя капсулы, таблетки, пилюли, порошки, шарики и гранулы. В каждой твердой лекарственной форме активное соединение может быть смешено, по крайней мере, с одним инертным разбавителем, таким как сахароза, лактоза и крахмал. Такие лекарственные формы могут также включать в себя в обычном применении дополнительные вещества помимо инертных разбавителей, например лубриканты для таблетирования и другие вспомогательные вещества, такие как стеарат магния и микрокристаллическая целлюлоза. В случае капсул, таблеток и пилюль лекарственные формы также могут включать в себя буферные агенты. Таблетки и пилюли могут дополнительно покрываться энтеросолюбильными покрытиями и другими покрытиями, контролирующими высвобождения лекарства. Твердые композиции подобного типа могут также использоваться в виде наполнителей в мягких и твердых желатиновых капсулах, используя такие эксципиенты, как лактоза или мальтоза, а также высокомолекулярные полиэтиленгликоли и тому подобное.
Жидкие лекарственные формы для перорального введения могут включать в себя фармацевтически приемлемые эмульсии, микроэмульсии, растворы, суспензии, сиропы и эликсиры, содержащие обычно используемые в данной области инертные разбавители, такие как вода. Такие композиции могут также включать в себя адъюванты, такие как увлажняющие агенты; эмульгирующие и суспендирующие агенты; подсластители, вкусовые агенты и ароматизаторы. При желании, соединения по настоящему изобретению могут вводиться в системы с замедленным высвобождением или нацеленные системы доставки, такие как полимерные матрицы, липосомы и микросферы. Они могут быть стерилизованы, например, фильтрацией через фильтр, задерживающий бактерии, или смешением стерилизованных агентов в виде стерильных твердых соединений, которые могут растворяться непосредственно перед использованием в стерильной воде или некоторых других стерильных средах, вводимых инъекцией. Активные соединения также могут быть микроинкапсулированы с одним или несколькими эксципиентами, как описано выше.
Твердые лекарственные формы в виде таблеток, драже, капсул, пилюль и гранул могут быть покрыты оболочками, такими как энтеросолюбильные покрытия и другие оболочки, хорошо известные в области фармацевтических композиций. Они могут необязательно содержать опалесцирующие агенты и также могут быть композициями, которые высвобождают только активный(ые) компонент(ы), или, предпочтительно, в определенной части кишечного тракта, необязательно замедленно. Примеры погруженных композиций, которые могут быть использованы, включают полимерные вещества и воски. Лекарственные формы для местного или чрезкожного введения соединения по данному изобретению включают масла, пасты, кремы, лосьоны, гели, порошки, растворы, спрей, ингаляции или пластыри. Активный компонент примешивают в стерильных условиях к фармацевтически приемлемому носителю и любым необходимым консервантам или буферам, если требуется.
Композиции для глаз, ушные капли, глазные мази, порошки и растворы также входят в рамки данного изобретения. Мази, пасты, кремы и гели могут содержать, кроме активного вещества по данному изобретению, эксципиенты, такие как животные и растительные жиры, масла, воска, парафины, крахмал, трагакант, производные целлюлозы, полиэтиленгликоли, силиконы, бентониты, кремниевая кислота, тальк и оксид цинка, или их смеси.
Порошки и спрей могут содержать, кроме соединений по данному изобретению, эксципиенты, такие как лактоза, тальк, кремниевую кислоту, гидроксид алюминия, силикаты кальция и полиамидный порошок, или смеси этих веществ. Спрей может дополнительно содержать обычно используемый пропеллент, такой как хлорфторуглеводороды.
Чрезкожные пластыри имеют дополнительно преимущество, обеспечивая подконтрольное высвобождение соединения в организм. Такие лекарственные формы могут быть получены растворением или диспергированием соединения в характерной среде. Абсорбция транспортных веществ может также использоваться для повышения потока через кожу. Скорость может контролироваться либо обеспечивающей скорость мембраной, либо дисперсией соединения в полимерную матрицу или гель.
Композиции, содержащие активные соединения, вводятся способом, совместимым с лекарственной формой и в терапевтически приемлемом количестве. Вводимое количество и время введения зависят от больного, способности системы больного использовать активное вещество и степени желаемого терапевтического эффекта. Определенное количество активного вещества, требуемого для введения, зависит от назначений лечащего врача и является специфическим для каждого случая.
Области подходящих доз для систематического приема описаны здесь и зависят от пути введения. Подходящие режимы введения также могут быть разными, но обычно включают первоначальное введение, затем введение повторяющихся доз с одним или несколькими заранее определенными интервалами времени последующих инъекций или другого пути введения.
Настоящее изобретение также относится к фармацевтическим композициям, которые применяются в обычных методах лечения, описанных здесь. Композиции содержат активное соединение, описанное здесь и выше, вместе с фармацевтически приемлемым носителем.
Препараты для парентерального введения соединений или композиций по настоящему изобретению включают стерильные водные или неводные растворы, суспензии и эмульсии. Примеры неводных растворов включают пропиленгликоль, полиэтиленгликоль, растительные масла, такие как оливковое масло, и сложные органические эфиры, которые можно вводить инъекцией, такие как этилолеат. Водные носители включают в себя воду, спиртовые/водные растворы, эмульсии или суспензии, в том числе насыщенный солевой раствор и забуференную среду. Парентеральные транспортные средства включают раствор хлорида натрия, раствор Рингера с декстрозой, раствор декстрозы и хлорида натрия, молочнокислый раствор Рингера или твердые масла. Внутривенные носители включают жидкие и пищевые добавки, электролитные добавки (такие, как на основе раствора Рингера с декстрозой) и тому подобное. Также могут присутствовать консерванты и другие добавки, такие как, например, антимикробные добавки, антиоксиданты, хелатирующие агенты, инертные газы и тому подобное.
Другой аспект настоящего изобретения относится к способу ингибирования взаимодействия MMP2 и v 3 и, таким образом, ингибирования ангиогенеза в опухолевой ткани. Способ ингибирования включает в себя введение больному композиции, содержащей количество ингибирующего ангиогенез соединения, описанного здесь и далее. Взаимодействие MMP2 и v 3 ингибируется реакцией v 3 с соединением по настоящему изобретению.
Ангиогенез представляет собой образование новой сосудистой сети из уже существующих сосудов организма и он необходим для роста опухоли более 1-2 мм3. Для целей настоящего изобретения ангиогенез ингибируется до тех пор, пока ангиогенез и симптомы болезни, вызванной ангиогенезом, не улучшатся.
Уровень доз активного соединения для введения больному зависит от определенного активного соединения и его эффективности в отношении определенной опухоли или интегрина. Специалист в данной области легко определит необходимую дозу для определенного активного соединения без ненужных экспериментов. Больным может быть любое млекопитающее. Доза должна быть достаточна для получения желаемого терапевтического эффекта, при котором ангиогенез и симптомы заболевания, связанные с ангиогенезом, улучшаются и обычно количество, достаточное для достижения уровня активного соединения в плазме, находится в области от около 0,01 до около 100 микромолей (мкМ), предпочтительно от около 0,2 до около 20 мкМ, более предпочтительно от около 1 до около 10 мкМ. Доза не должна быть настолько большой, чтобы обладать вредными подобными действиями. Доза на килограмм (кг) веса тела может изменяться от 1 до 20 мг на дозу на один или несколько приемов в день в течение одного или нескольких дней или неограниченно.
Для ингибирования ангиогенеза терапевтически эффективное количество равно количеству активного соединения, достаточного для получения умеренного ингибирования ангиогенеза в обрабатываемой ткани, то есть количества, ингибирующего ангиогенез, или количества, ингибирующего взаимодействие MMP2 и v 3. Ингибирование ангиогенеза может быть измерено in situ с помощью иммунногистохимии, как здесь описано, или любым другим способом, известным специалисту в данной области.
Настоящее изобретение, кроме того, относится к фармацевтическим композициям, используемым для обычных методов лечения, описанных здесь. Композиции содержат активное соединение, описанное здесь и выше, вместе с фармацевтически приемлемым носителем.
Настоящее изобретение также относится к способу индуцирования апоптоза в опухолевых клетках. Этот метод включает в себя введение пациенту терапевтически эффективного количества активного соединения, достаточного для инициирования апоптоза опухолевых клеток.
Для целей настоящего изобретения апоптоз опухолевых клеток индуцируется, когда наблюдается увеличение апоптоза опухолевых клеток в заданной опухоли, подвергающейся обработке. Апоптоз клеток может быть измерен любыми способами, описанными здесь или хорошо известными в данной области.
Следующие примеры, не ограничивающие изобретение, представлены для иллюстрации различных аспектов настоящего изобретения.
Материалы и методы
Клеточные антитела и реагенты. Ранее были описаны CS-1 клетки меланомы хомячка и CS-1 клетки, трансфицированные 3-интегриновой единицей человека ( 3CS-1 клетки) (Cell, 85, 683-93 (1996); Cell, 92, 391-400 (1998)). Пероксидазу хрена (HRP), конъюгированную с моноклональными антителами антибиотин mAb BN-34 и антиактин mAb AC-40, получали от Sigma (St. Louis, MO). Поликлональные антитела (pAb) против фактора фон Виллебранда (vWF) получали от DAKO (Glostrup, Denmark). Циклические пептиды cRGDfV и cRADfV и интегрин- v 3 были любезно предоставлены Merck KGaA (Darmstadt, Germany). Очищенные проMMP2 и интегрин- v 3 получали от Chemicon International (Temecula, CA). Очищенные активные MMP2 получали от Calbiochem (La Jolla, CA). Основной фактор для роста фибробластов (bFGF) был любезно предоставлен Scios (Mountain View, CA).
Синтез [14C]-соединений. [14C]-Меченное соединение 1 синтезировали с помощью незначительно измененной последовательности этапов, описанной ранее для немеченого вещества (схема 1), но используя N-BOC-[1-14C]-глицин (55 мКи/ммоль, American Radiolabeled Chemicals, St. Louis, MO). Полный выход [14C]-соединения 1 в четырехстадийном процессе составил 25%.
Пример 1. Твердофазный анализ связывания интегрина.
Очищенные интегрины абсорбировали в течение ночи на поверхность микротитровальных плашек (1-5 мкг/мл, 50 мкг/плашка), затем плашки блокировали казеином (Pierce, Rockford, IL). В плашки добавляли очищенную биотинилированную MMP2 (bMMP2, 3-5 нМ) в связывающем буфере (50 мМ Tris, pH 8,150 мМ NaCl, 1 мМ MgCl2, 0,5 мМ MnCl2) вместе или без соединения 1, соединения 12, циклического RGD или RAD пептидов, или добавляли только буфер. В контрольные плашки интегрин не добавляли. Биотинилированный витронектин (bVN, 1 мкг/мл) использовали в соответствии со ссылкой. Связывание белка определяли с HRP-антибиотин mAb и с помощью раствора 3,3′,5,5′-тетраметилбензидина (TMB; субстрат для пероксидазы) (BioRad, Hercules, CA) подсчитывали количество при 450 нм.
Для оценки прямого связывания интегрина с соединением 1, v 3 и 5 1 (10 мкг/мл, 50 мкл/плашка) наносили на микротитровальные плашки Immulon-4 (Dynatech Laboratories, Chantilly, VA), которые соответствующим образом блокировали и инкубировали с титром [14C]-соединения 1, затем добавляли 150 мкл связывающего буфера, содержащего 0,1% Tween-20, и отсасывали жидкость. Высушенные плашки разделяли и погружали в жидкую сцинциляционную смесь BetaMax (ICN Biochemicals, Costa Mesa, CA) для количественной оценки. По кривой связывания оценивали концентрацию субстрата (3 мкМ) [14C]-соединения 1 вместе или без 25-кратного молярного избытка (75 мкл) немеченого соединения 1 или соединения 12, или 100 мкМ циклического RGD или RAD пептидов. Контролем являлся bVN, используемый и определяемый, как описано выше.
Пример 2. Анализ деградации связывания MMP2 клеток и [3H]-коллагена IV.
CS-1 клетки или 3CS-1 клетки инкубировали в адгезивном буфере; основная среда фибробластов (FBM) с добавлением 0,5% альбумина бычьей сыворотки (BSA), 0,4 мМ MnCl2 и 10 мкг/мл апротинина; содержащем либо 4 нМ очищенной активированной MMP2, либо ее смесь с 10 мкМ соединения 1 или соединения 12, в течение 45 минут при 37°C, затем промывали и добавляли в плашки, покрытые [3H]-коллагеном IV. Плашки покрывали в течение ночи 50 мкл 0,414 мКи/мл [3H]-коллагена IV (ICN Biochemicals, Costa Mesa, CA) и тщательно промывали до достижения радиоактивности в растворах промывки фонового значения. Альтернативно, клетки обрабатывали, как описано выше, без добавления MMP2 или же раствор MMP2 непосредственно добавляли в плашки без клеток в качестве контрольных. Деградацию коллагена IV количественно определяли измерением радиоактивности в 50 мкл культуральной среды, которую определяли в сцинциляционном счетчике для жидкостей. Для оценки биотинилированного MMP2 связывания с CS-1 клетками клетки суспендировали в адгезионном буфере и инкубировали с 12 нМ bMMP2 в течение 45 минут при 37°C вместе или без 10 мкМ соединения 1 или соединения 12. Клетки промывали, затем лизировали, проводили SDS-PAGE и иммуноблотинг с антибиотиновыми mAb.
Пример 3. Анализ ангиогенеза в хорионаллантоисной мембране цыпленка (CAM).
Ангиогенез определяли так, как было описано ранее (Cell, 85, 683-93 (1996); Cell, 92, 391-400 (1998)). После стимуляции 3 мкг/мл основного фактора роста фибробастов (bFGF) 10-дневную CAM эмбриона цыпленка обрабатывали 20 мкл 3 мкМ соединения 1 или соединения 12. Через три дня после индукции CAM количественно оценивали слепым способом оценки. CAM каждой группы объединяли, гомогенизировали и экстрагировали 50 мМ Tris, 150 нМ NaCl, 0,1% Triton X-100, содержащим смесь ингибиторов протеиназы марки COMPLETE без EDTA (Boehringer, Mannheim, Germany), затем проводили анализ с помощью зимографии.
Пример 4. SDS-PAGE, иммуноблотинг и зимография.
Иммуноблотинг. Одинаковые количества белка разделяли с помощью SDS-PAGE с восстановительными агентами и проводили электроблоттинг на мембрану Immobilon-P Millipore, Bedford, MD). Мембрану блокировали и перенесенные белки определяли инкубацией с антиген-специфичными первичными антителами, а затем с HRP-конъюгированными вторичными антителами, как это требуется. Полосу визуализировали с помощью хемилюминесцентного вещества PS-3 (Lumigen, Inc., Southfield, MI).
Зимография. Лизаты CAM цыпленка получали, как описано выше, и одинаковые количества белка разделяли в отсутствие восстановительных агентов или при кипячении полиакриламидных гелей с 0,2% желатином. Гели промывали 2% Triton X-100, затем тщательно промывали водой, после чего инкубировали в течение ночи при 37°C в коллагеназном буфере (50 мМ Tris 7,4, 200 мМ NaCl, 10 мМ CaCl2). Активность по разжижению желатина визуализировали окрашиванием гелей 0,5% Кумасси синим (Coomassie blue).
Пример 5. Анализ опухолевого роста.
Первичные опухоли выращивали в ткани CAM 9-дневных эмбрионов после имплантации 5×106 CS-1 клеток и инкубировании в течение 7 дней. После этого 50 мг срезы этих опухолей субклонировали в 9-дневные ткани CAM и оставляли для имплантирования в течение 24 часов перед единичной внутривенной (IV) инъекцией 100 мкл 100 мкМ тестируемого соединения в сбалансированном солевом растворе Хенка (HBSS). В качестве контроля вводили только буфер. Опухоли инкубировали в итоге 10 дней, собирали и удаляли избыток ткани стромы, затем определяли сырой вес и проводили гистологию.
Пример 6. Иммунофлуоресцентный анализ
Мгновенно замороженные срезы опухоли CS-1 фиксировали 4% параформальдегидом и обрабатывали 0,1% Triton X-100. Срезы блокировали 5% альбумином бычьей сыворотки (BSA) в фосфатном солевом растворе (PBS), окрашивали анти-vWF pAb и визуализировали Alexa 568, конъюгированным с антикроличьими вторичными антителами. Образцы анализировали на конфокальном микроскопе MRC1024 (BioRad, Hercules, CA). Плотность кровяных сосудов количественно определяли при 20X увеличении по четыре поля на срез и по четыре опухоли на условие.
Пример 7. (S)-Метил 6-(((трет-бутилокси)карбонил)амино)-2-((4-трифторметил)-бензилоксикарбонил)гексаноат (2).
Раствор карбонат N,N’-дисукцинимидила (5,38 г, 21 ммоль) в ацетонитриле (150 мл) обрабатывали 4-(трифторметил)бензиловым спиртом (2,87 мл, 21 ммоль) и Et3N (5,8 мл, 42 ммоль) и перемешивали при 25°C. Через 3 ч реакционную смесь добавляли в колбу, содержащую метиловый эфир N- -BOC-лизина (4,2 г, 14 ммоль) в ацетонитриле и перемешивали в течение еще 3 ч. Растворитель упаривали, и остаток растворяли в CH2Cl2 (250 мл) и промывали 10% водным HCl (2×200 мл) и насыщенным водным NaHCO3 (200 мл).
Флэш-хроматография (SiO2, 3:1 CH2Cl2/EtOAc) дала 6,4 г (99%) соединения 2 в виде бледно-желтого масла: [ ]D 25-8,9 (c 5,6, CH3OH).
1Н ЯМР (CDCl3, 400 МГц) 7,57 (д, J=8,1 Гц, 2H), 7,39 (д, J=8,1 Гц, 2H), 5,70 (д, J=7,9 Гц, 1H), 5,13 (м, 2H), 4,71 (м, 1H), 4,28 (м, 1H), 3,67 (с, 3H), 3,03 (м, 2H), 1,78 (м, 1H), 1,64, (м, 1H), 1,46-1,32 (м, 4H), 1,35 (с, 9H). 13C ЯМР (CDCl3, 100 МГц) 172,9, 156,2, 155,8, 140,4, 130,1 (кв., J=32,0 Гц), 127,8, 125,3, 122,9 (кв., J=270,0 Гц), 79,05, 65,8, 53,7, 52,3, 39,8, 31,7, 29,5, 28,4, 22,2.
ИК (пленка) Vмах 3357, 2952, 1790, 1745, 1524 см-1; FABHRMS (NBA-NaI) m/z 463,2044 (M++H, C21H29F3N2O6, требовалось 463,2056).
Пример 8. (S)-метил 6-[2-(((трет-бутилокси)карбонил)-амино)ацетамидо]-2-[(4-трифторметил)бензилоксикарбонил]-гексаноат (3).
Раствор соединения 2 (2,7 г, 5,8 ммоль) в CH2Cl2 (3 мл) обрабатывали 4 н. HCl-диоксаном (10 мл) и перемешивали в течение 20 мин при 25°C. Растворитель и избыток кислоты удаляли при пониженном давлении, и неочищенную соль гидрохлорида растворяли в ДМФ (50 мл), обрабатывали N-((трет-бутилокси)карбонил)глицином (1,0 г, 5,8 ммоль), гидрохлоридом 1-(3-(диметиламино)пропил)-3-этилкарбодиимида (EDCI) (1,2 г, 6,4 ммоль) и i-Pr2NEt (2,0 мл, 11,6 ммоль) и перемешивали в течение 12 ч при 25°C. Реакционную смесь разбавляли EtOAc (400 мл) и промывали 10% водным HCl (3 x 250 мл) и насыщенным водным NaHCO3 (250 мл), сушили (Na2SO4) и упаривали с получением 2,89 г (96%) соединения 3 в виде белого пенистого твердого вещества: [ ]D 25-10,4 (c 2,5, CH3OH).
1Н ЯМР (CDCl3, 400 МГц) 7,59 (м, 2H), 7,45 (м, 2H), 6,19 (м, 1H), 5,51 (м, 1H), 5,13 (м, 2H), 4,32 (м, 2H), 3,74 (с, 3H), 3,73 (м, 2H), 3,26 (м, 2H), 1,81-1,39 (м, 6Н) 1,44 (с, 9H). 13C ЯМР (CDCl3, 100 МГц) 174,5, 172, 158,2, 158,1, 142,7, 130,8 (кв., J=31,8 Гц), 128,8, 126,3, 125,5 (кв., J=269,7 Гц), 80,5, 66,5, 55,3, 52,7, 44,6, 39,8, 32,1, 29,8, 24,0.
ИК (пленка) Vмах 3320, 2932, 1721, 1692, 1326 см-1; FABHRMS (NBA-CsI) m/z 652,1234 (M++Cs+, C23H32F3N3O7, требовалось 652,1247).
Пример 9. Гидрохлорид 6-[2-(амино)ацетамидо]-2-[(4-трифторметил)бензилоксикарбонил]гексаноата (4).
Раствор соединения 3 (350 мг) в CH2Cl2 (2 мл) обрабатывали 4 н. HCl-диоксаном (5,0 мл) и перемешивали при 25°C. Через 0,5 ч растворитель и избыток кислоты удаляли при пониженном давлении с получением 300 мг (99%) соединения 4 в виде бледно-желтого масла: [ ]D 25-10,4 (c 3,0, CH3OH).
1Н ЯМР (CD3OD, 400 МГц) 7,65 (д, J=8,2 Гц, 2H), 5,18 (д, J=13,3 Гц, 1H), 5,16 (д, J=13,3 Гц, 1H), 4,16 (м, 1H), 3,70 (с, 3H), 3,65 (с, 2H), 3,21 (т, J=7,1 Гц, 2H), 1,84 (м, 1H), 1,68 (м, 1Н), 1,54 (м, 2H), 1,42 (м, 2H). 13C ЯМР (CD3OD, 100 МГц) 174,5, 167,1, 158,2, 142,8, 130,8 (кв., J=31,8 Гц), 128,8, 126,3, 125,5 (кв., J=270,1 Гц), 66,5, 55,4, 52,7, 41,5, 40,2, 32,1, 29,6, 24,1.
ИК (пленка) Vмах 3317, 2954, 1718, 1684, 1530, 1327 см-1; MALDIFTMS (DHB) m/z 442,1586 (M++Na+, C18H24F3N3O5, требовалось 442,1566).
Пример 10. N,N1-бис[(5-(S)-(метоксикарбонил)-5[((4-трифторметил)бензилоксикарбонил)амино]пентил)-карбоксамидометил]-бензол-1,3-дикарбоксамид (5)
Раствор соединения 4 (2,05 г, 4,0 ммоль) в CH2Cl2 (3,0 мл) обрабатывали 4 н. HCl-диоксаном (10,0 мл) и перемешивали в течение 20 мин при 25°C. Растворитель и избыток кислоты удаляли при пониженном давлении, и сырую гидрохлоридную соль суспендировали в ДМФ (40 мл), обрабатывали дихлоридом изофталоила (400 мг, 2,0 ммоль) и i-Pr2NEt (1,4 мл, 8,0 ммоль) и перемешивали в течение 1 ч при 25°C. Реакционную смесь разбавляли EtOAc (400 мл) и промывали 10% водным HCl (3×200 мл) и 5% водным Na2CO2 (200 мл), сушили (Na2SO4) и упаривали. Флэш-хроматография (SiO2, 1:4,5:4,5 МеОН/СН2Cl2/EtOAc) дала 1,30 г (68%) соединения 5 в виде желтого порошка: [ ]D 25-6,4 (c 2,1, CH3OH).
1Н ЯМР (CDCl3, 400 МГц) 8,29 (м, 2H), 8,11 (м, 2H), 7,87 (м, 4H), 7,53 (м, 2H), 7,39 (м, 2H), 6,88 (м, 2H), 5,94 (м, 2H), 5,08 (м, 4H), 4,30 (м, 2H), 4,01 (м, 4H), 3,70 (с, 6H), 3,23 (м, 4H), 1,77 (м, 2H), 1,67 (м, 2H), 1,51 (м, 4H), 1,37 (м, 4H). 13C ЯМР (CDCl3, 100 МГц) 174,6, 171,5, 169,3, 158,3, 142,7, 135,3, 131,6, 30,8 (кв., J=32,2), 129,8, 128,8, 127,6, 126,3, 125,5 (кв., J=269,2), 66,5, 55,4, 52,7, 44,1, 40,0, 32,1, 29,8, 24,1.
ИК (пленка) Vмах 3305, 2951, 1716, 1651, 1538 см-1; FABHRMS (NBA-CsI) m/z 1101,2398 (M++Cs+, C44H50F6N6O12, требовалось 1101,2445).
Пример 11. N,N1-бис-[(5-(S)-карбокси-5-[((4-трифторметил)бензилоксикарбонил)амино]пентил)-карбоксамидометил]бензол-1,3-дикарбоксамид (1)
Раствор соединения 5 (0,95 г, 0,98 ммоль) в ТГФ-MeOH (8,0 мл, 3:1) обрабатывали LiOH·H2O (165 мг, 3,9 ммоль) в H2O (2,0 мл) и перемешивали при 0°C. Через 2 ч реакцию гасили добавлением 10% водного HCl (20 мл) и смесь экстрагировали EtOAc (3×50 мл). Органические слои собирали и промывали насыщенным водным NaCl (50 мл), сушили (Na2SO4) и упаривали с получением 0,86 г (93%) соединения 1 в виде белого порошка: [ ]D 25-0,6 (c 3,2, CH3OH).
1Н ЯМР (CD3OD, 400 МГц) 8,40 (м, 1H), 8,03 (дд, J=1,8, 7,8 Гц, 2H), 7,62 (д, J=8,1 Гц, 4H), 7,53 (т, J=6,1 Гц, 1H), 7,51 (д, J=8,1 Гц, 4H), 5,16 (д, J=13,3 Гц, 2H), 5,13 (д, J=13,3 Гц, 2H), 4,12 (м, 2H), 4,00 (с, 4H), 3,22 (т, J=6,6 Гц, 4H), 1,85 (м, 2H), 1,70 (м, 2H), 1,55 (м, 4H), 1,37 (м, 4H). 13C ЯМР (CD3OD, 100 МГц) 175,9, 171,6, 169,4, 158,4, 135,4, 131,6, 30,5 (кв., J=31,8), 129,8, 128,8, 127,7, 126,3, 125,6 (кв., J=268,7); 66,5, 53,3, 44,2, 40,1, 32,2, 29,8, 24,2.
ИК (пленка) Vмах 3334, 2933, 1718, 1646, 1631, 1528 см-1; MALDIFTMS (DHB) m/z 963,2953 (M++Na+, C42H46F6N6O12, требовалось 963,2976).
Пример 12. [14C]-соединение (1)
Раствор [1-14C]-глицина (American Radiolabeled Chemicals, 1,0 мКи, 55 мКи/ммоль, 0,018 ммоль) в 0,1 н. HCl помещали в 4-мл пробирку и растворитель удаляли под струей N2. Полученный остаток обрабатывали раствором NaHCO3 (4,6 мг, 0,054 ммоль) в H2O (0,25 мл) и раствором дикарбоната ди-трет-бутила (10,5 мл, 0,045 ммоль) в ТГФ (0,25 мл) и перемешивали при 25°C. Через 12 ч раствор становился однородным, его разбавляли H2O (1,0 мл) и промывали диэтиловым эфиром (2×1,0 мл). Затем водный раствор подкисляли, добавляя 10% водную HCl (0,5 мл) и экстрагировали этилацетатом (4×1,0 мл). Объединенные экстракты сушили (Na2SO4) и упаривали под струей N2 с получением 2,9 мг (92%) [1-14C]-N-BOC-глицина в виде белой пленки.
Раствор соединения 2 (50 мг, 0,11 ммоль) в CH2Cl2 (1 мл) обрабатывали 4 н. HCl-диоксаном (1 мл) и перемешивали в течение 1 ч при 25°C. Реакционную смесь разбавляли этилацетатом (25 мл) и промывали 10% водным Na2CO3 (25 мл) и насыщенным водным NaCl (25 мл), сушили (Na2SO4) и упаривали с получением лизина с удаленной защитной группой в виде бесцветной пленки. Часть этого свободного амина (4,5 мг, 0,013 ммоль) в ДМФ (0,2 мл) добавляли в 4-мл пробирку, содержащую [1-14C]-N-BOC-глицин (1,5 мг, 0,0085 ммоль), обрабатывали i-Pr2NEt (2 мл) и раствором EDCI (5,0 мг, 0,026 ммоль) в метиленхлориде (0,1 мл) и перемешивали в течение 3 ч при 25°C. Реакционную смесь разбавляли EtOAc (2,0 мл), промывали 10% соляной кислотой (3 x1,0 мл), насыщенным водным Na2CO3 (1,0 мл) и насыщенным водным NaCl (1,0 мл), и упаривали. Препаративная тонкослойная хроматография (PTLC) (SiO2, EtOAc/CHCl3 1:1) дала 1,8 мг (41%) [14C]-соединения 3 в виде белой пленки.
[14C]-соединение 3 (1,8 мг, 3,5 ммоль), содержащееся в 4-мл пробирке, обрабатывали 4 н. HCl-диоксаном (0.25 мл) и реакционную смесь перемешивали в течение 0,5 ч при 25°C. Растворитель и избыток кислоты упаривали под струей N2 и полученную неочищенную соль гидрохлорида обрабатывали дихлоридом изофталоила (355 мг, 0,0018 ммоль) в CH2Cl2 (0,1 мл), и i-Pr2NEt (2,4 мл, 0,014 ммоль) в CH2Cl2 (0,05 мл). Через 3 ч при 25°C реакционную смесь непосредственно очищали с помощью PTLC (SiO2, МеОН/CHCl3/EtOAc 1:9:9) с получением 1,2 мг (71%) [14C]-соединения 5.
Раствор [14C]-соединения 5 (1,2 мг) в ТГФ-MeOH (0,2 мл, 1:1) обрабатывали раствором LiOH·H2О (0,4 мг) в H2O (0,05 мл) при 0°C и перемешивали в течение 1 ч. Реакционную смесь разбавляли метанолом (1,0 мл), обрабатывали катионообменной смолой Dowex 50WX-8 (200 мг) и перемешивали в течение 1 мин. Затем смесь фильтровали через вату и фильтрат упаривали с получением 1,1 мг (94%) [14C]-соединения 1 с относительной активностью приблизительно 110 мКи/ммоль. Это соединение и все его синтетические промежуточные соединения были идентичны при сравнении с помощью тонкослойной хроматографии (TLC) относительно соответствующего немеченого материала.
Пример 13. (S)-метил 6-[2-(бензоиламино)ацетамидо]-2-[(4-трифторметил)-бензилоксикарбонил)гексаноат (6).
Раствор соединения 3 (44 мг, 0,085 ммоль) в CH2Cl2 (1,0 мл) обрабатывали 4 н. HCl-диоксаном (1,0 мл) и перемешивали в течение 1 ч при 25°C. Растворитель и избыток кислоты удаляли под струей N2, и сырую соль гидрохлорида суспендировали в CH2Cl2 (0,8 мл), обрабатывали i-Pr2NEt (30 мкл, 017 ммоль) и бензоилхлоридом (11 мкл, 0,094 ммоль) и перемешивали в течение 25°C. Через 2 ч реакционную смесь непосредственно очищали с помощью флэш-хроматографии (SiO2, 1:9:9 MeOH/CH2Cl2/EtOAc) с получением 40 мг (90%) соединения 6 в виде белого порошка: [ ]D 25-2,7 (c 0,70, CHCl3).
1Н ЯМР (CD3OD, 400 МГц) 7,86 (м, 2H), 7,64 (м, 2H), 7,53 (м, 3Н), 7,45 (м, 2H), 5,16 (м, 2H), 5,16 (дд, J=7,3, 3,8 Гц, 1H), 3,69 (с, 3Н), 3,21 (т, J=5,6 Гц, 2H), 1,81 (м, 1H), 1,69 (м, 1H), 1,53 (м, 2H), 1,42 (м, 2H). 13C ЯМР (CDCl3, 100 МГц) 172,8, 169,5, 168,4, 156,3, 142,3, 132,9, 131,4, 129,4 (кв., J=32,2 Гц), 128,0, 127,1, 126,7, 126,3 (кв., J=269,0 Гц), 124,8, 65,1, 53,6, 51,6, 42,6, 38,4, 30,6, 28,1, 22,2.
ИК (пленка) Vмах 3303, 2923, 1713, 1651, 1533 см-1; FABHRMS (NBA-CsI) m/z 656,0961 (M+Cs, C25H25F3N3O6, требовалось 656,0985).
Пример 14. (S)-6-[2-(бензоиламино)ацетамидо]-2-(4-трифторметил)бензилоксикарбонил]гексановая кислота (7)
Раствор соединения 6 (17 мг, 0,032 ммоль) в ТГФ-MeOH (0,4 мл, 3:1) обрабатывали LiOH·H2O (2,0 мг, 0,49 ммоль), растворяли в H2O (0,1 мл) и перемешивали в течение 2 ч при 0°C. Реакционную смесь гасили добавлением концентрированной водной HCl (5 мкл), разбавляли EtOAc (30 мл) и промывали водой (2×15 мл). Сушка (Na2SO4) и упаривание дали 14,5 мг (88%) соединения 7 в виде белого порошка: [ ]D 25 + 2,2 (c 0,6, CH3OH).
1Н ЯМР (CD3OD, 400 МГц) 7,86 (д, J=7,2 Гц, 2H), 7,62 (д, J=8,2 Гц, 2H), 7,54 (д, J=8,2 Гц, 2H), 7,53 (м, 1H), 7,43 (м, 2H), 5,17 (д, J=13,2 Гц, 1H), 5,14 (д, J=13,2 Гц, 1H), 4,14 (м, 1H), 4,04 (с, 2H), 3,25 (м, 2H), 1,88 (м, 1H), 1,71 (м, 1H), 1,52 (м, 2H), 1,44 (м, 2H). 13C ЯМР (CD3OD, 125 МГц) 175,9, 171,7, 170,5, 158,4, 142,9, 135,1, 132,9, 130,9 (кв., J=32,4 Гц), 129,5, 128,9, 128,5, 126,3, 125,7 (кв., J269,0 Гц), 66,5, 55,4, 44,1, 40,1, 32,3, 29,9, 24,2.
ИК (пленка) Vмах 3318, 2935, 1713, 1644, 1538, 1326 см-1; MALDIFTMS m/z 532,1672 (M++Na+, C24H26F3N3O6, требовалось 532,1671).
Пример 15. (S)-Метил 6-[2-[(2-((карбоксиметил)метокси)-ацетамидо]-2-[(4-трифторметил)бензилоксикарбонил]гексаноат (8).
Раствор соединения 3 (57 мг, 0,11 ммоль) в CH2Cl2 (1 мл) обрабатывали 4 н. HCl-диоксаном (2 мл) и перемешивали в течение 1 ч при 25°C. Растворитель и избыток кислоты удаляли под струей N2, остаток растворяли в ДМФ (1 мл) и обрабатывали дигликолевой кислотой (16 мг, 0,12 ммоль), EDCI (23 мг, 0,12 ммоль) и i-Pr2NEt (42 мкл, 0,24 ммоль) и перемешивали при 25°C. Через 4 ч реакционную смесь выливали в разделительную воронку, содержащую EtOAc (50 мл), промывали 10% водным HCl (3 x 30 мл) и насыщенным водным NaCl (30 мл), сушили (Na2SO4) и упаривали с получением 45 мг (77%) монокислоты соединения 8 в виде белого твердого вещества: [ ]D 25 – 7,5 (c 1,8, CH3OH).
1Н ЯМР (CD3OD, 400 МГц) 7,65 (д, J=5,2 Гц, 2H), 7,54 (д, J=5,3 Гц, 2H), 5,18 (д, J=9,0 Гц, 1H), 5,15 (д, J=9,0 Гц, 1H), 4,42 (с, 2H), 4,16 (м, 1H), 4,11 (с, 2H), 3,87 (с, 2H), 3,70 (с, 3Н), 3,20 (т, J=4,5 Гц, 2H), 1,81 (м, 1H), 1,68 (м, 1H), 1,53 (м, 2H), 1,39 (м, 2H). 13C ЯМР (CD3OD, 100 МГц) 174,5, 173,7, 172,5, 171,2, 158,2, 142,6, 130,9 (кв., J=33,2 Гц), 128,2, 126,2, 125,4 (кв., J=270,1 Гц), 71,3, 69,0, 66,5, 55,3, 52,7, 42,9, 39,9, 32,0, 29,7, 23,9.
ИК (пленка) Vмах 3315, 2931, 1725, 1661, 1538, 1326 см-1; MALDIFTMS m/z 558,1686 (M++Na+, C22H23F3N3O9, требовалось 558,1673).
Пример 16: (S)-метил 2-(бензоиламино)-6-(((трет-бутилокси)карбонил)амино)гексаноат (9).
Раствор гидрохлорида N- -BOC-лизинметилового эфира (5,05 г, 17 ммоль) в CH2Cl2 (100 мл) обрабатывали бензоилхлоридом (2,0 мл, 17 ммоль) и i-Pr2NEt (5,9 мл, 34 ммоль) и перемешивали при 25°C. Через 1 ч реакционную смесь промывали 10% водным HCl (100 мл), сушили (Na2SO4) и упаривали до белого порошка, который кристаллизовали из CH2Cl2-гексана с получением 4,8 г (78%) соединения 9 в виде белого кристаллического твердого вещества с точкой плавления, равной 108-109°C; [ ]D 25-13,2 (c 5,8, CH3OH).
1Н ЯМР (DMSO-d6, 400 МГц) 8,72 (д, J=7,4 Гц, 1H), 7,89 (м, 2H), 7,55 (м, 1H), 7,48 (м, 2H), 6,88 (т, J=5,2 Гц, 1H), 4,42 (м, 1H), 3,64 (с, 3H), 2,93 (м, 2H), 1,81 (м, 2H), 1,41 (м, 4H), 1,37 (с, 9H). 13C ЯМР (DMSO-d6, 100 МГц) 172,9, 166,7, 155,6, 133,8, 131,5, 128,3, 127,6, 77,4, 52,8, 51,9, 40,8, 30,2, 29,2, 28,3, 23,2.
ИК (пленка) Vмах 3335, 2933, 1740, 1690, 1647, 1534 см-1; MALDIFTMS (DHB) m/z 387,1895 (M++Na+, C19H25N2O5, требовалось 387,1890).
Пример 17. (S)-метил 2-(бензоиламино)-6-[2-(((трет-бутилокси)карбонил)амино]ацетамидо)гексаноат (10).
Раствор соединения 9 (4,4 г, 12,1 ммоль) в CH2Cl (5,0 мл) обрабатывали 4 н. HCl-диоксаном (10,0 мл) и перемешивали в течение 3 ч при 25°C. Растворитель и избыток кислоты удаляли при пониженном давлении, остаток растворяли в ДМФ (150 мл), обрабатывали N-((трет-бутилокси)карбонил)глицином (2,2 г, 12,1 ммоль), PyBrOP (7,0 г, 15 ммоль) и i-Pr2NEt (8,4 мл, 48,4 ммоль) и перемешивали при 25°C. Через 12 ч реакционную смесь разбавляли EtOAc (500 мл), промывали 10% водной HCl (3 x 250 мл), 5% водным Na2СО3 (250 мл) и насыщенным водным NaCl (250 мл), сушили (Na2SO4) и упаривали. Флэш-хроматография (SiO2, EtOAc) дала 4,6 (90%) соединения 10 в виде бесцветного масла: [ ]D 25-10,3 (с 0,30, CH3OH).
1Н ЯМР (CDCl3, 400 МГц) 7,84 (м, 2H), 7,51 (м, 1H), 7,44 (м, 2H), 6,91 (д, J=7,6 Гц, 1H), 6,35 (уш.т, J=5,3 Гц, 1H), 5,22 (м, 1H), 4,76 (м, 1H), 3,76 (с, 3H), 3,70 (уш.т, J=6,3 Гц, 4H), 3,26 (м, 2H), 1,95 (м, 1H), 1,84 (м, 1H), 1,57-1,30 (м, 4H), 1,41 (с, 9H). 13C ЯМР (CDCl3, 100 МГц) 173,0, 169,7, 167,3, 156,5, 133,7, 131,8, 128,6, 127,2, 81,8, 52,5, 52,3, 44,3, 38,7, 32,0, 28,9, 28,3, 22,4.
ИК (пленка) Vмах 3318, 2954, 1718, 1647, 1535, 1491 см-1; MALDIFTMS m/z 444,2108 (М + Na+, С21H31N3O6, требовалось 444,2110).
Пример 18. N,N’-бис[N-(-5-(S)-((бензоил)амино)-5-(метоксикарбонил)пентил)карбоксамидометил]бензол-1,3-дикарбоксамид (11).
Раствор соединения 10 (4,4 г, 10,4 ммоль) в CH2Cl2 (3 мл) обрабатывали 4,0 н. HCl-диоксаном (20 мл) и перемешивали в течение 1 ч при 25°C. Растворитель и избыток кислоты удаляли при пониженном давлении, остаток растворяли в CH2Cl2 (50 мл), обрабатывали Et2N (5,8 мл, 42 ммоль) и изофталоилдихлоридом (1,06 г, 5,2 ммоль) и перемешивали при 25°C. Через 16 ч реакционную смесь промывали 10% водным HCl (50 мл) и упаривали до получения желтого масла. Флэш-хроматография (SiO2, 5:5:2 EtOAc/CH2Cl2/MeOH) дала 2,5 г (62%) соединения 11 в виде белого пенистого твердого вещества: [ ]D 25M-8,0 (c 4,8, CH3OH).
1Н ЯМР (CD3OD, 500 МГц) 8,37 (с, 1H), 8,00 (м, 2Н) 7,84 (м, 4H), 7,52 (м, 3Н), 7,44 (м, 4H), 4,58 (м, 2Н), 3,99 (два с, 4H); 3,72 (с, 6Н), 3,22 (м, 4H), 1,99-1,83 (м, 4H), 1,59-1,40 (м, 8H). 13C ЯМР (CD3OD, 100 МГц) 174,2, 171,5, 170,2, 169,0, 135,0, 134,8, 132,8, 131,5, 129,4, 128,4, 127,6, 54,3, 52,7, 44,2, 40,1, 31,7, 29,8, 24,3.
ИК (пленка) Vмах 3304, 2950, 1738, 1650, 1644, 1538 см-1; MALDIFTMS m/z 795,3332 (M+Na+, C40H45N6O10 требуется 795,3330).
Пример 19. N,N’-бис-[N-(-5-(S)-((бензоил)амино)-5-(карбокси)пентил)карбоксамидометил]бензол-1,3-дикарбоксамид (12).
Раствор соединения 11 (1,1 г, 1,4 ммоль) в MeOH-ТГФ (20 мл, 1:1) обрабатывали LiOH·H2O (240 мг, 5,7 ммоль), растворяли в H2О (10 мл) и перемешивали в течение 1 ч при 0°C. Через 1 ч реакционный растворитель упаривали, остаток повторно растворяли в H2O (20 мл) и охлаждали до 0°C. Добавляли концентрированную водную HCl (0,47 мл, 5,7 ммоль HCl) и твердый продукт, выпавший в осадок, фильтровали и промывали водой (50 мл) с получением 0,78 г (73%) соединения 12 в виде белого порошка: [ ]D 25-2,6 (c 0,35, CH3OH).
1Н ЯМР (CD3OD, 400 МГц) 8,38 (м, 1H), 8,02 (м, 2Н), 7,84 (м, 4H), 7,55-7,48 (м, 3Н), 7,42 (м, 4H), 4,56 (м, 2Н), 4,00 и 3,99 (два с, 4H), 3,26 (м, 4H), 1,99-1,83 (м, 4H), 1,63-1,45 (м, 8H). 13C ЯМР (CD3OD, 100 МГц) 175,5, 171,9, 170,4, 169,2, 135,0, 134,9, 132,8, 131,7, 129,8, 129,5, 128,5, 127,7, 54,4, 44,0, 40,2, 31,7, 29,6, 24,3.
ИК (пленка) Vмах 3280, 2923, 1718, 1641, 1536 см-1; MALDIFTMS (DHB) m/z 767,3005 (M+Na+, С38Н44N6O10, требуется 767,3017).
Результаты и обсуждение
Соединение 1 нарушает RGD-зависимое взаимодействие между интегрином v 3 и MMP2. Наблюдения, сделанные в последнее время, что карбоксиконцевой гемопексиноподобный домен MMP2 может влиять на связывание MMP2 и интегрина v 3 и, таким образом, блокировать ангиогенез, подтолкнули авторов к поиску органических ингибиторов этого взаимодействия, которые могли бы применяться при лечении. Для определения специфического ингибитора взаимодействия MMP2 и интегрина v 3 проводились исследования твердофазного рецепторного связывания с иммобилизированием интегринов и биотинилированного MMP2. Было обнаружено, что связывание очищенного MMP2 полностью зависит от RGD в этой системе, что подтверждается недостаточным эффектом cRGDfV на связывание MMP2 и интегрина v 3, даже если этот пептид ингибировал взаимодействие v 3 с его лигандом экстрацеллюлярного матрикса, витронектином (VN; фиг.2A). Важно, что взаимодействие MMP2, а не VN, полностью ингибировалось соединением 1, что показало специфичность соединения 1 по отношению к взаимодействию MMP2 и v 3. Кроме того, соединение 1 не ингибировало связывание MMP2 и ингибитора тканевой металлопротеиназы 2 (TIMP2), подтверждая тот факт, что эффект данного соединения 1 ограниченно действует на взаимодействие MMP2 и интегрина v 3, и что указывает на различие между сайтами связывания MMP2 PEX домена TIMP2 и интегрина v 3. Важно отметить, что ни контрольное соединение, ни контрольный пептид cRADfV не влияли на связывание MMP2 и интегрина v 3 (фиг.2A).
Соединение 1 непосредственно связывается с интегрином v 3, а не MMP2. Для дальнейшего рассмотрения механизма действия соединения 1 проводился дополнительный твердофазный анализ связывания рецептора с иммобилизированием v 3 и [14C]-меченного соединения 1, или биотинилированным VN в качестве контроля. Как показано на фиг.2B, в твердофазном анализе связывания соединение 1 непосредственно связывается с интегрином v 3. Это взаимодействие зависело от дозы, имело насыщаемость и было специфично, демонстрируя минимальное взаимодействие соединения 1 и несвязанного с v 3 контроля интегрина 5 1 (фиг.2B). Несомненно, при высоких концентрациях соединения (данные не показаны) наблюдалось незначительное связывание с интегрином 5 1. Кроме того, если микротитровальные плашки покрывали MMP2, то связывания с соединением 1 не наблюдалось (данные не показаны), что говорит о том, что наблюдаемые эффекты в анализе связывания MMP2/интегрина v 3 обусловлены связыванием соединения 1 и интегрина v 3. Важно, что это взаимодействие ингибируется в присутствии 25-кратного молярного избытка неродственного соединению 1 соединения 12 (фиг.2C). Кроме того, взаимодействие соединения 1 и интегрина v 3 связано с RGD, что было показано неспособностью cRGDfV пептида ингибировать взаимодействие радиомеченного соединения 1 и интегрина v 3, даже если cRGDfV полностью ингибировал связывание bVN и перенесенного на ту же систему интегрина (фиг.2D). Контрольный пепдид cRADfV показан как контроль для специфичности ингибирования связывания. Таким образом, соединение 1, связанное с v 3, показывает сравнимую специфичность, селективность и слабую чувствительность на ингибирование RGD связывания с MMP2.
Интересно, что в твердофазном анализе соединение 6, соединение формулы (II), где A является водородом, n равно 0, X1 представляет собой п-трифторметил и R1 представляет собой метил, обладало незначительно меньшей активностью по сравнению с соединением 1, тогда как соединение 8, не содержащее фенильных групп, присоединенных к глициновым звеньям, было неактивно. Этот результат показывает, что фенильное кольцо играет существенную роль в активности ингибирования ингибиторных соединений формулы (II) и, кроме того, показывает, что, по крайней мере, одна замещенная единица глицинлизина необходима для антиангиогенной активности ингибиторов такого класса.
Клеточно-опосредованная деградация коллагена IV посредством MMP2 блокируется соединением 1. До ингибирования клеточно-опосредованной деградации коллагена IV в v 3-зависимом методе было показано предотвращение связывания MMP2 и интегрина v 3 на меланомных клетках. Таким образом, оценивалось, могут ли экспрессирующие или неэкспрессирующие v 3 меланомные клетки использовать активированную MMP2 для деградации иммобилизированного [3H]коллагена IV. Важно, что никакие клетки эндогенно не продуцировали заметное количество MMP2. Тогда как клетки обоих типов были способны к некоторому уровню деградации основного коллагена, только B3-трасфицированные CS-1 клетки было способны утилиризировать экзогенный MMP2, показывая значительно большее выделение радиоактивности субстрата в культуральную среду после преинкубирования с очищенным MMP2 (фиг.3А). Такое увеличение деградации субстрата в ответ на влияние MMP2 значительно снижалось при добавлении соединения 1, тогда как при добавлении соединения 12 значительного эффекта не наблюдалось (фиг.3А). Важно, что эффект соединения 1 на клеточно-опосредованную деградацию коллагена не был обусловлен непосредственным ингибированием активности MMP2, так как очищенный активный MMP2 в отсутствие клеток мог разрушать иммобилизированный [3H]коллаген IV независимо от присутствия или отсутствия соединения 1 или соединения 12. Для того чтобы показать, что снижение клеточно-опосредованной деградации коллагена, показанной на фиг.3А, было результатом ингибирования соединением 1 взаимодействия MMP2 и интегрина v 3 на клеточной поверхности, CS-1 клетки и их v 3-несущий эквивалент оценивали в анализе связывания биотинилированного MMP2. Как ожидалось, 3-отрицательные CS-1 клетки были способны связывать некоторый уровень MMP2, однако их способность к связыванию не снижалась в присутствии любого из соединений (фиг.3B). Напротив, 3CS-1 клетки связывали значительно большее количество MMP2, и это увеличение MMP2 связывания специфично супрессировалось соединением 1. Фактически, при уточнении по количеству в дорожках, как показано при окрашивании антиактином mAb, соединение 1 эффективно снижало связывание MMP2 и 3CS-1 клеток до уровня, наблюдаемого в отсутствие v 3 (то есть, парентеральные CS-1 клетки)(фиг.3B, дорожка 2).
Соединение 1 нарушает ангиогенез in vivo без супрессии активности MMP2. Супрессия взаимодействия v 3/MMP2 при экзогенном введении рекомбинантного MMP2 PEX домена была показана до экспериментов с уменьшением ангиогенеза в животных моделях. Таким образом, были оценены эффекты соединения 1 на интенсивность фактор-индуцируемого ангиогенеза в 10-дневном CAM цыпленка. Введение соединения 1 в CAM, стимулированную основным фактором роста фибробластов (bFGF), почти полностью прекращало развитие новых кровеносных сосудов в ответ на такой стимул (фиг.4A и 4B), при этом контрольные соединения 12 в этом отношении были не эффективны. Важно, что прекращение ангиогенной инфильтрации в ответ на соединение 1 было не связано с подавлением активности MMP2, так как в обработанной и необработанной ткани САМ эмбрионов определялись эквивалентные уровни активной MMP2 (62 kDa) (фиг.4C). Это полностью противоречило эффекту экзогенного MMP2 PEX домена, который подавлял активность MMP2 в этой системе. Эти данные согласуются с мнением о том, что соединение 1 специфически влияет на связывание MMP2 и интегрина v 3, не влияя на активность MMP2 непосредственно. Несомненно, наблюдаемые общие уровни MMP2 в CAM лизатах также не затрагивались при обработке соединением 1, исключая сильный эффект на экспрессируемый уровень MMP2 в ангиогенных тканях (фиг.4C). Эти результаты предполагают, что антиангиогенные эффекты соединения 1 вероятно вызывают супрессию связывания MMP2 и интегрина v 3 на поверхностях клетки, как показано на фиг.3B. Эти данные также показывают, что полностью активированный MMP2 не используется для ангиогенеза в такой системе, кроме как для связывания с интегрином v 3 на клеточной поверхности.
Соединение 1 препятствует опухолевому росту in vivo. Было показано, что нарушение ангиогенеза ингибирует опухолевый рост в большом количестве систем. Как результат, блокирование свойств инвазивности эндотелиальных клеток путем ингибирования супрессии MMP ангиогенеза и также опухолевого роста на животных моделях. Фактически, было показано, что число ингибиторов MMP могут действовать как антиангиогенные агенты человека. Таким образом, в этом исследовании оценивали, достаточно ли подавляется рост v 3-негативной опухоли при ингибировании ангиогенеза, связанного с блокированием взаимодействия MMP2/ v 3. Использование v 3-отрицательной опухоли позволило оценить эффект соединения 1 на селективную v 3 васкуляризацию. Как показано на фиг.5A, при единичном внутривенном введении (IV) соединения 1 рост трансплантированных v 3-негативных CS-1 меланомных опухолей CAM цыпленка значительно замедлялся, а также снижался вес опухоли (фиг.5B). Вероятно, что этот эффект был вызван не непосредственным действием соединения 1 на опухолевые клетки, такие как v 3-отрицательные меланомные клетки, использованные при данном исследовании. В действительности, соединение, культурированное вместе с клетками in vitro, не влияло на их рост (данные не показаны). В опухолях, обработанных соединением 1, отчетливо наблюдалось снижение поверхности сосудообразования (фиг.5A), а также снижение общей плотности кровеносных сосудов (фиг.5C). Важно, что такое снижение васкуляризации опухоли было связано со значительной клеточной смертью в пределах опухолевой массы, даже когда контрольные опухоли показывали 6-кратное увеличение массы за 10-дневный период до исследования.
Представленное выше подробное описание и примеры приведены только в качестве пояснения и не ограничены. Другие варианты в рамках настоящего изобретения также возможны и будут легко обнаружены специалистами в данной области.
Данные по активности соединений 1, 5, 6 и 7
Ингибирование ММР2 (% ингибирования связывания ММР2 с интегрином v 3 в сравнении с контролем (нет ингибирования)):
| Соединение |
Ингибирование ММР2 при концентрации 1 мкМ |
| 1 |
50% |
| 5 |
59% |
| 6 |
58% |
| 7 |
46% |
Связывание ММР2 с интегрином необходимо для ангиогенеза (образование сосудов крови), поэтому соединение, которое ингибирует связывание ММР2, ингибирует также и ангиогенез. Ингибиторы ангиогенеза используются для лечения опухолевых заболеваний, поскольку они предотвращают образование новых сосудов крови, необходимых для роста опухоли.
Кроме того, для соединения 1 имеются данные по цитотоксичности на двух линиях клеток: линия клеток лейкемии человека (L1210) и линия клеток лейкемии мышей (CCRF-CEM). В случае лейкемии человека IC50 (концентрация, при которой погибают 50% клеток) для соединения 1 составляла 100 мкМ. В случае лейкемии мышей IC50 также составляла 100 мкМ. Значение 100 мкМ рассматривается как хороший уровень токсичности для клеточных линий.
Формула изобретения
1. Соединение структуры:

где R2 и R3 каждый независимо представляет собой Н, С1-С4 алкил; Х2 и Х3 каждый независимо представляет собой С1-С4 перфторалкил; А представляет собой Н или ковалентную связь; t представляет собой целое число, имеющее значение 0 или 1; при условии, что когда А представляет собой Н, тогда t равно 0, и, когда А представляет собой ковалентную связь, тогда t равно 1.
2. Соединение по п. 1, где, по крайней мере, один из X2 и X3 представляет собой пара-трифторметил и A представляет собой ковалентную связь.
3. Соединение по п.1, где, по крайней мере, один из R2 и R3 представляет собой H и A представляет собой ковалентную связь.
4. Соединение по п.1, где, по крайней мере, один из R2 и R3 представляет собой метил и A представляет собой ковалентную связь.
5. Соединение по п.1, где X2 и X3 каждый представляет собой пара-трифторметил, R2 и R3 каждый является метилом и A представляет собой ковалентную связь.
6. Соединение по п.1, где R2 представляет собой H и A представляет собой H.
7. Соединение по п.1, где R2 представляет собой метил и A представляет собой H.
8. Соединение по п.1, где X2 представляет собой пара-трифторметил, R2 представляет собой H и A представляет собой H.
9. Соединение по п.1 структуры:

10. Фармацевтическая композиция, обладающая свойствами ингибировать ангиогенез и рост опухоли, содержащая соединение структуры:

где R2 и R3 каждый независимо представляет собой Н, С1-С4 алкил; Х2 и Х3 каждый независимо представляет собой С1-С4 перфторалкил; А представляет собой Н или ковалентную связь; t представляет собой целое число, имеющее значение 0 или 1; при условии, что когда А представляет собой Н, тогда t равно 0, и, когда А представляет собой ковалентную связь, тогда t равно 1;
с фармацевтически приемлемым носителем.
11. Фармацевтическая композиция по п.10, где A представляет собой ковалентную связь.
12. Фармацевтическая композиция по п.11, где X2 и X3 каждый представляет собой трифторметил.
13. Фармацевтическая композиция по п.11, где R2 и R3 каждый представляет Н.
14. Фармацевтическая композиция по п.11, где X2 и X3 представляют собой пара-трифторметил, R2 представляет собой H и A представляет собой H.
15. Фармацевтическая композиция по п. 10, содержащая соединение структуры:

с фармацевтически приемлемым носителем.
16. Способ ингибирования опухолевого роста в организме, который включает введение, при необходимости такого ингибирования, терапевтически эффективного количества соединения, представленного формулой:

где R2 и R3 каждый независимо представляет собой Н, С1-С4 алкил; Х2 и Х3 каждый независимо представляет собой С1-С4 перфторалкил; А представляет собой Н или ковалентную связь; t представляет собой целое число, имеющее значение 0 или 1; при условии, что когда А представляет собой Н, тогда t равно 0, и, когда А представляет собой ковалентную связь, тогда t равно 1.
17. Способ ингибирования опухолевого роста по п.16, где A представляет собой ковалентную связь.
18. Способ ингибирования опухолевого роста по п.17, где Х2 и Х3 каждый представляет собой трифторметил.
19. Способ ингибирования опухолевого роста по п.17, где R2 и R3 каждый представляет собой Н.
20. Способ ингибирования опухолевого роста по п.16, где вводят терапевтически эффективное количество соединения, представленного формулой:

21. Способ ингибирования ангиогенеза в опухолевой ткани, который включает введение в опухолевую ткань эффективного для ингибирования ангиогенеза количества соединения, представленного формулой:

где R2 и R3 каждый независимо представляет собой Н, С1-С4алкил; Х2 и Х3 каждый независимо представляет собой С1-С4перфторалкил; А представляет собой Н или ковалентную связь; t представляет собой целое число, имеющее значение 0 или 1; при условии, что когда А представляет собой Н, тогда t равно 0, и, когда А представляет собой ковалентную связь, тогда t равно 1.
22. Способ по п.21, где A представляет собой ковалентную связь.
23. Способ по п.22, где Х2 и Х3, каждый представляет собой трифторметил.
24. Способ по п.22, где R2 и R3, каждый представляет собой Н.
25. Способ индукции апоптоза в опухолевых клетках, который включает введение в опухолевые клетки терапевтически эффективного количества соединения, представленного формулой:

где R2 и R3 каждый независимо представляет собой Н, С1-С4 алкил; Х2 и Х3 каждый независимо представляет собой С1-С4 перфторалкил; А представляет собой Н или ковалентную связь; t представляет собой целое число, имеющее значение 0 или 1; при условии, что когда А представляет собой Н, тогда t равно 0, и, когда А представляет собой ковалентную связь, тогда t равно 1.
26. Способ по п.25, где A представляет собой ковалентную связь.
27. Способ по п.26, где Х2 и Х3, каждый представляет собой трифторметил.
28. Способ по п.26, где R2 и R3, каждый представляет собой Н.
29. Способ ингибирования взаимодействия ММР2 и интегрина v 3 в клетках организма, который включает контактирование интегрина с ингибирующим взаимодействие количеством соединения, представленного формулой:

где R2 и R3 каждый независимо представляет собой Н, С1-С4 алкил; Х2 и Х3 каждый независимо представляет собой С1-С4 перфторалкил; А представляет собой Н или ковалентную связь; t представляет собой целое число, имеющее значение 0 или 1; при условии, что когда А представляет собой Н, тогда t равно 0, и, когда А представляет собой ковалентную связь, тогда t равно 1.
30. Способ по п.29, где A представляет собой ковалентную связь.
31. Способ по п.30, где Х2 и Х3 каждый представляет собой трифторметил.
32. Способ по п.30, где R2 и R3 каждый представляет собой Н.
РИСУНКИ
|
|