Патент на изобретение №2155760
|
||||||||||||||||||||||||||
(54) СПОСОБ ПОЛУЧЕНИЯ СУЛЬФОНАМИДНЫХ СОЕДИНЕНИЙ ФУРАНА, ИСПОЛЬЗУЕМЫХ В СИНТЕЗЕ НОВЫХ ИНГИБИТОРОВ IL-1
(57) Реферат: Описывается новый эффективный способ получения сульфонамидных соединений фурана формулы I, включающий взаимодействие соединения формулы II с метилированным реактивoм Гриньяра в реакционном инертном растворителе, где R’ представляет (C1-C6)алкил. Соединения формулы I используют как промежуточные продукты с изоцианатными соединениями с образованием сульфонильных производных мочевины, которые являются полезными ингибиторами интерлейкина -1 и -1 (1L-1), используемыми для лечения центральной нервной системы. Технический результат – упрощение процесса. 3 с. и 12 з.п. ф-лы.
![]()
Предпосылки изобретения Данное изобретение относится к получению сульфонамидных соединений фурана, полезных в синтезе ингибиторов IL-1. В настоящее время, к удивлению, обнаружено, что путем применения электрофильного сульфирования (C1-C6)алкил-3 фуроата и последующего манипулирования функциональными группами, упрощают способ получения сульфонамидных соединений фурана. Арильные и гетерозамещенные производные мочевины полезны при лечении воспаления суставов, центральной нервной системы, желудочно-кишечного тракта, эндокарда, перикарда, легких, глаз, ушей, кожи и мочеполовой системы. Статус IL-1 как важного посредника воспаления основан на многих исследованиях, демонстрирующих эту провоспалительную (способствующую воспалению) активность цитокина. Эти эффекты проявляются как стимуляция резорбции хрящей, вызывание восстановления лейкоцитов, острая фазовая реакция и продуцирование жара и шокоподобного состояния. Изменения, опосредованные связыванием IL-1 со своим рецептором, включают регуляцию адгезии молекул и хемокинов, стимуляцию синтеза металлопротеазы, усиление синтеза циклооксигеназы-2 и фосфолипазы А2, повышая таким образом получение простагландина, индукцию синтазы оксида азота, повышая, таким образом, получение оксида азота и стимуляцию синтеза IL-6, в результате чего происходят изменения в синтезе белков острой фазы. Моноциты и макрофаги в ответ на воспалительные раздражители производят две отличные формы IL-1 (IL-1 и IL- ). Это описано в патентной заявке США с серийным N 60/036979.
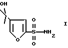
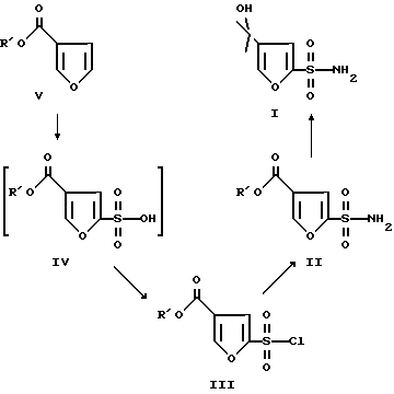
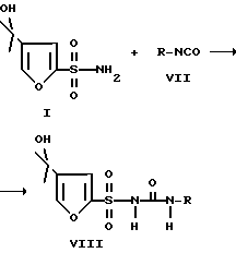
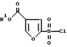
Краткое описание изобретенияНастоящее изобретение относится к способу получения соединения формулы ![]() который включает взаимодействие метилированного реактива Гриньяра в инертном растворителе с соединением формулы II ![]() где R’ представляет (C1-C6)алкил. Согласно данному изобретению соединение II можно получить взаимодействием соединения формулы ![]() с агентом аминирования в реакционном инертном растворителе. В одном варианте данного изобретения соединение формулы III можно получить путем взаимодействия соединения формулы IV ![]() с агентом хлорирования и акцептором кислоты в инертном растворителе. В другом варианте данного изобретения соединение III ![]() получают взаимодействием соединения формулы ![]() с электрофильным сульфирующим агентом с последующим добавлением агента хлорирования и акцептора кислоты. В способе получения соединения I используют избыток реактива Гриньяра. Примерами подходящих реактивов Гриньяра являются метилмагнийхлорид, метилмагнийбромид и метилмагнийиодид. Предпочтительным реактивом Гриньяра является метилмагнийхлорид. Растворитель является инертным в условиях реакции и предпочтительно представляет тетрагидрофуран. Агент аминирования представляет соль аммония, предпочтительно бикарбонат аммония. Агент хлорирования выбирают из реагентов, таких как пентахлорид фосфора, оксихлорид фосфора и тионилхлорид, предпочтительно пентахлорид фосфора. Акцептором кислоты является органическое основание, предпочтительно пиридин. Данное изобретение включает также новое соединение формулы ![]() где R’ представляет (C1-C6)алкил, и Q представляет галоген, гидрокси или аминогруппу. Предпочтительными являются соединения, в которых R’ представляет этил, когда Q представляет хлор; R’ представляет этил, когда Q представляет гидрокси; и R’ представляет этил, когда Q представляет аминогруппу. В конкретных воплощениях R’ представляет бутил, когда Q представляет хлор, гидрокси или аминогруппу; R’ представляет пропил, когда Q представляет хлор, гидрокси или аминогруппу; и R’ представляет гексил, когда Q представляет хлор, гидрокси или аминогруппу. Эти новые соединения полезны при получении фурансульфонамидных соединений, полезных в синтезе ингибиторов IL-1. На Реакционной схеме 1 показан новый способ синтеза. R’ на схеме такой, как определено выше со ссылкой на формулу II. Реакционная схема I ![]() Сложный эфир V обрабатывают электрофильным агентом сульфирования с образованием сульфоновой кислоты – соединения IV. Используя хлорсульфоновую кислоту и метиленхлорид, часть этой сульфоновой кислоты кристаллизуют из реакционной смеси. Сульфоновую кислоту – соединение IV можно выделить в виде соли высокой чистоты. Выделенную сульфоновую кислоту IV можно превратить в сульфонилхлорид – соединение III, используя агент хлорирования и акцептор кислоты. В процедуре, проходящей в одном реакционном сосуде, сложный эфир V в метиленхлориде обрабатывают хлорсульфоновой кислотой при температуре бани со льдом и затем перемешивают, например, 48 ч до завершения образования сульфоновой кислоты – соединения IV. Реакцию повторно охлаждают до температуры менее чем примерно 0oC, добавляют пиридин, а затем пентахлорид фосфора. После перемешивания, например, в течение ночи при комнатной температуре можно выделить сульфонилхлорид – соединение III в виде масла. Одним аспектом данного изобретения является получение соединения III без выделения соединения IV. Первичный сульфонамид – соединение II можно получить в условиях Шоттен-Баумана (Schotten-Baumann) с агентом аминирования в водном ацетоне. Соединение II можно затем обработать избытком реактива Гриньяра в инертном растворителе с образованием соединения I. Соединение I можно использовать как промежуточный продукт с изоцианатным соединением, как показано на Реакционной схеме II, с образованием сульфонильных производных мочевины, которые являются полезными ингибиторами интерлейкина -1 и 1 . R описан в патентной заявке США с серийным N 60/036979, которая включена в описание как ссылка, и может быть следующим:4-хлор-2,6-диизопропилфенил, 1,2,3,5,6,7-гексагидро-s-индацен-4-ил, 1,2,3,5,6,7-гексагидро-4-аза-s-индацен-8-ил, 8-хлор-1,2,3,5,6,7-гексагидро-s-индацен-4-ил, 8-фтор-1,2,3,5,6,7-гексагидро-s-индацен-4-ил, 4-фтор-2,6-диизопропилфенил и 2,6-диизопропилфенил. Реакционная схема II ![]() Сочетание изоцианата VII с сульфонамидом I требует присутствия основания для депротонирования сульфонамида. Можно использовать метилат натрия и триэтиламин в органическом растворителе, таком как тетрагидрофуран или изопропиловый спирт, предпочтительно тетрагидрофуран. Способ, альтернативный изоцианатному, основан на способе, где для получения in situ стерически затрудненных фенил-изоцианатов используют ди-трет-бутилдикарборат и каталитический диметиламинопиридин. Это показано в примере VII. Эти полезные ингибиторы VIII интерлейкина -1 и интерлейкина -1 можно вводить в виде разнообразных лекарственных форм. В основном, терапевтически эффективные соединения данного изобретения присутствуют в таких лекарственных формах при концентрации от примерно 5,0 до примерно 70 весовых %.
Для орального приема можно применять таблетки, содержащие различные эксципиенты, такие как микрокристаллическая целлюлоза, цитрат натрия, карбонат кальция, дикальцийфосфат и глицин, наряду с различными разрыхлителями, такими как крахмал (и предпочтительно крахмал кукурузный, картофельный или из тапиоки), альгиновая кислота и определенные комплексные силикаты, вместе с гранулирующими связующими, подобно поливинилпирролидину, сахарозе, желатину и аравийской камеди. Кроме того, для таблетирования часто очень полезны смазки, такие как стеарат магния, лаурилсульфат натрия и тальк. Твердые композиции аналогичного типа также можно применять в качестве наполнителей в желатиновых капсулах. Предпочтительные в этой связи материалы включают также лактозу или молочный сахар, а также высокомолекулярные полиэтиленгликоли. Если для орального приема требуются водные суспензии и/или эликсиры, активный ингредиент можно объединить с различными подслащивающими или ароматизирующими агентами, окрашивающими веществами или красителями, и, если необходимо, эмульгаторами и/или суспендирующими агентами, вместе с такими разбавителями, как вода, этанол, пропиленгликоль, глицерин и различные их комбинации.
Для парентерального применения (внутримышечного, внутрибрюшинного, подкожного и внутривенного) обычно готовят стерильный инъецируемый раствор активного ингредиента. Растворы терапевтического соединения настоящего изобретения можно использовать либо в кунжутном масле, либо арахисовом масле, либо в водном пропиленгликоле. Водные растворы следует подходяще отрегулировать и добавить к ним буфер, предпочтительно при pH более чем 8, если необходимо, и жидкий разбавитель, предпочтительно приготовленный изотоническим. Эти водные растворы подходят для внутривенных инъекций. Масляные растворы подходят для внутрисуставных, внутримышечных и подкожных инъекций. Получение всех этих растворов в стерильных условиях легко осуществить посредством стандартных фармацевтических методов, хорошо известных специалистам в данной области.
Настоящее изобретение проиллюстрировано следующими далее примерами, но не ограничено их деталями.
Пример IЭтил-2-(хлорсульфонил)-4-фуроат В четырехгорлую колбу на один литр с механической мешалкой и атмосферой азота помещают этил 3-фуроат (50 г, 0,357 моля) и метиленхлорид (500 мл). Колбу охлаждают до -10oC и по каплям за 5 мин добавляют хлорсульфоновую кислоту (24,92 мл, 0,375 моля). Температуру повышают до -6oC. Удаляют охлаждающую баню и реакционную смесь оставляют медленно нагреваться до комнатной температуры. Реакционную смесь перемешивают в течение 72 ч, при этом она состоит из зеленого раствора и белой твердой суспензии. Охлаждают до -10oC и добавляют по каплям пиридин (31,7 мл, 0,393 моля). Это вызывает экзотермическую реакцию, которую регулируют скоростью добавления, поддерживая температуру ниже 0oC. После добавления реакционная смесь представляет густую суспензию. После охлаждения до -8oC добавляют пентахлорид фосфора (PCl5) (81,74 г, 0,393 моля) порциями по 15 г в течение 10 мин. После перемешивания в течение 30 мин холодной смеси баню удаляют и реакцию оставляют нагреваться до комнатной температуры. Смесь перемешивают в течение ночи. Реакционную смесь переносят в капельную воронку и добавляют по каплям воду (1 л) с перемешиванием при комнатной температуре. Во время добавления температура увеличивается до 38oC вследствие гидролиза (POCl3). Добавление занимает 1,5 ч, и смесь перемешивают в течение 45 мин для гарантии завершения гидролиза. Разделяют слои и экстрагируют водный слой метиленхлоридом (75 мл). Объединенные органические слои промывают водой и сушат над сульфатом натрия. Раствор фильтруют и выпаривают в вакууме, получая сульфонилхлорид в виде масла 67,8 г, 80% выход. Это подходит для использования, как есть, в следующей реакции. 1H ЯМР этил 2-(хлорсульфонил)-4-фуроата (CDCl3, 400 МГц) : 8,21 (с, 1), 7,59 (с, 1), 4,35 (кв, 2), 1,36 (т, 3); 13C ЯМР (CDCl3 400 МГц) : 160,5, 151,4, 150,7, 121,6, 118,1, 61,7, 14,2.
Пример IIЭтил 4-фуроат-2-сульфоновая кислота. Этил 3-фуроат (13,5 мл, 0,1 моля) растворяют в метиленхлориде (150 мл) и перемешивают под азотом при охлаждении до -10oC. Добавляют по каплям за 15 мин хлорсульфоновую кислоту (8,3 мл, 0,125 моля) в метиленхлориде (25 мл). Реакцию нагревают до комнатной температуры и перемешивают в течение ночи. Осажденное белое твердое вещество собирают под азотом и промывают свежим метиленхлоридом. Быстро переносят его в круглодонную колбу (вещество гигроскопично) и сушат в высоком вакууме. Выход гигроскопичного белого твердого вещества составляет 14,1 г, 64%. Когда это вещество растворяют в этилацетате и сушат над сульфатом натрия, выделяется соль натрия в виде белого твердого вещества, т.пл. 220oC (спекается), 245-248oC (разл.). ИК (смещения) 3507, 3459, 3155, 3127, 1731, 1712, 1262, 1231, 1205 см-1. 1H ЯМР (D2O, 300 МГц) : 8,19 (с, 1), 7,10 (с, 1), 4,27 (кв, 2), 1,30 (т, 3). 13C ЯМР (D2O, 300 МГц) : 164,4, 152,9, 149,8, 119,6, 110,5, 62,2, 13,4.
Элементный анализ для C7H7O6SNa 0,5H2OРассчитано: С 33,46; H 3,21; S 12,76; Na 9,15; Найдено: C 33,77; H 3,00; S 12,49; Na 8,97. Пример III Этил 4-фуроат-2-сульфоновую кислоту (0,5 г, 2,77 моля) добавляют к 4 мл пиридина под азотом. Сульфоновая кислота растворяется и затем образует осадок. Эту суспензию разбавляют эфиром (18 мл) и перемешивают. Твердую соль собирают, промывают эфиром и сушат. Выход соли пиридиния составляет 0,6 г, 91%, т.пл. 145-146oC. ИК (смещения) 1726, 1289, 1259, 1198, 1170, 1134, 1028 см-1. 1H ЯМР (D2O, 300 МГц) : 8,70 (д, 2), 8,54 (т, 1), 8,11 (с, 1), 7,99 (т, 2), 6,99 (с, 1), 4,20 (кв, 2), 1,23 (т, 3). 13C ЯМР (D2O, 400 МГц) : 167,0, 156,0, 152,4, 150,0, 143,9, 130,3, 122,3, 113,1, 64,9, 16,2.
Элементный анализ для C12H13NO6SРассчитано: C 48,15; H 4,38; N 4,68; S 10,71 Найдено: C 48,07; H 4,33; N 4,70; S 10,71. Пример IV Этил 2-(сульфонамид)-4-фуроат Бикарбонат аммония (89,93 г, 1,137 моля) растворяют в воде (1,5 л). Это дает понижение температуры до 17,5oC. Реакционную смесь перемешивают, добавляя при этом по каплям за 16 мин раствор сульфонилхлорида (67,8 г, 0,284 моля) в ацетоне (500 мл). Во время добавления температура увеличивается до 25oC. Через 65 мин тонкослойная хроматография (ТСХ) показывает, что реакция завершена (силикагель, гексан:этилацетат = 4:1). Добавляют этилацетат (500 мл) и снижают pH до 2,0 концентрированной соляной кислотой (HCl), которую добавляют по каплям (примерно 53 мл). Разделяют слои и водный слой насыщают хлоридом натрия (NaCl) и экстрагируют этилацетатом. Объединенные органические слои промывают соляным раствором и сушат над сульфатом натрия. Экстракт концентрируют до примерно 175 мл и пропускают через слой силикагеля, который тщательно промывают этилацетатом (конечный объем 650 мл). Этилацетат удаляют в вакууме и остаток переносят в горячий этилацетат (150 мл) и фильтруют для удаления мутности. Это концентрируют до примерно 100 мл и добавляют по каплям гексан (250 мл). Полученную суспензию перемешивают в течение 30 мин, затем собирают и промывают смесью гексан:этилацетат = 4:1. Сульфонамид сушат на воздухе. Выход составляет 39,9 г, 64%, т.пл. 131-132,5oC. ИК (смещения) 3340, 3261, 3150, 1697, 1579, 1561, 1364, 1219, 1195 см-1. 1H ЯМР (ДМСО-d6, 300 МГц) : 8,62 (с, 1), 7,94 (с, 2, NH2), 4,25 (кв, 2), 1,27 (т, 3). 13C ЯМР (ДМСО-d6, 300 МГц) : 161,7, 153,9, 150,8, 120,0, 112,0, 61,2, 14,5.
Элементный анализ для C7H9NO5SРассчитано: C 38,35; H 4,14; N 6,39; S 14,62 Найдено: C 38,42; H 4,08; N 6,31; S 14,70. Пример V 4-(1-гидрокси-1-метил-этил)-фуран-2-сульфонамид Сложный эфир сульфонамида примера IV (25 г, 0,114 молей) растворяют в сухом тетрагидрофуране (1 л) под азотом. Раствор охлаждают до -10oC и перемешивают, пока по каплям в течение 5 мин добавляют метилмагнийхлорид (171 мл, 3М в тетрагидрофуране), получая прозрачный раствор. Убирают охлаждающую баню и оставляют реакционную смесь нагреваться до комнатной температуры. Во время нагревания реакционная смесь загустевает, а потом становится более жидкой. Через 6 ч ТСХ показывает, что реакция завершена. Реакционную смесь охлаждают до -5oC и обрабатывают раствором хлорида аммония (137,4 г в 700 мл воды). Первоначальное гашение вызывает некоторую экзотермичность и выделение газа при первых 50 мл. Оставшийся раствор быстро добавляют. По окончании гашения получают прозрачный раствор. Добавляют этилацетат (500 мл) и разделяют слои. Водный слой второй раз экстрагируют этилацетатом (500 мл). Объединенные органические слои промывают соляным раствором и сушат над сульфатом натрия. Раствор фильтруют и концентрируют до меньшего объема. Добавляют изопропиловый эфир (ИПЭ) и раствор снова концентрируют. Во время процесса продукт представляет собой масло, а затем затвердевает. Добавляют еще ИПЭ и перемешивают суспензию 3 ч. Твердое вещество собирают, а фильтрат выпаривают до твердого вещества. Твердое вещество из фильтрата растирают с метиленхлоридом, получая еще требуемый продукт, который объединяют с твердым веществом из ИПЭ и растирают с метиленхлоридом, получая сульфонамидный спирт 4-(1-гидрокси-1-метил-этил)фуран-2-сульфонамид в виде твердого вещества, 19,98 г выход 85%. Т.пл. 92oC (спекшийся), 99,5-101,5oC. 1H ЯМР (ДМСО-d6, 300 МГц) : 151,7, 140,3, 136,6, 112,1, 66,6, 31,0.
Элементный анализ для C7H11NO4SРассчитано: C 40,96; H 5,40; N 6,82; S 15,62 Найдено: C 40,73; H 5,14; N 6,82; S 15,53. 4-ацетил-фуран-2-сульфонамид Из фильтрата данной реакции выделяют небольшое количество 4-ацетил-фуран-2-сульфонамида в виде побочного продукта. Т.пл. 135-136oC. ИК (смещения) 3333, 3228, 3144, 1671, 1572, 1355, 1177, 1129 см-1. 1H ЯМР ДМСО-d6, 300 МГц) : 8,77 (с, 1), 7,93 (с, 2), 7,13 (с, 1), 2,44 (с, 3). 13C (ДМСО-d6, 400 МГц) : 192,3, 151,5, 128,2, 110,8, 28,3.
Элементный анализ для C6H7NO4SРассчитано: C 38,09; H 3,73; N 7,40; S 16,95; Найдено: C 38,30; H 3,63; N 7,36; S 16,94. Пример VI Натриевая соль 1-(1,2,3,5,6,7-гексагидро-s-индацен-4-ил)-3- [4-(1-гидрокси-1-метил-этил)фуран-2-сульфонил]мочевины Сульфонамид (5 г, 0,0244 моля) растворяют в тетрагидрофуране (ТГФ) (50 мл) в атмосфере азота. Добавляют одной порцией твердый метилат натрия (1,32 г, 0,0244 моля). Это вызывает образование суспензии и изменение цвета к светло-коричневому (в этот момент так выглядит небольшое количество маслянистого твердого вещества). Эту смесь перемешивают в течение нескольких часов. Добавляют изоцианат (4,77 г, 0,0244 моля) в виде чистого масла. При добавлении изоцианата суспензия натриевой соли в основном переходит в раствор, и образуется новый осадок. Через 30 мин реакционная смесь еще содержит немного смолистых твердых веществ от добавления метилата натрия. Реакционную смесь нагревают до температуры образования флегмы в течение 4 ч, охлаждают до комнатной температуры и сырую натриевую соль замещенных производных сульфонилмочевины патентной заявки США 60/036979 собирают и промывают свежим ТГФ. Твердые вещества сушат под азотом и затем в высоком вакууме. Сырой вес составляет 10,66 г > 100%. ЯМР показывает, что это сольват ТГФ. Сырую натриевую соль (5 г, 0,0106 моля) растворяют в горячем изопропаноле (100 мл). Раствор фильтруют через целит и целитный слой промывают горячим изопропанолом (2×40 мл). Фильтрат концентрируют до 30-35 мл и осажденные твердые вещества гранулируют в течение 30 мин при комнатной температуре, затем охлаждают на бане с ледяной водой. Твердые вещества собирают и промывают холодным изопропанолом. После сушки в вакууме твердые вещества весят 4,9 г. ЯМР в D2O дает прозрачный раствор и показывает присутствие изопропанольного сольвата. Пример VII Альтернативное получение натриевой соли 1-(1,2,3,5,6,7-гексагидро- s-индацен-4-ил)-3-[4-(1-гидрокси-1-метил-этил)-фуран-2-сульфонил] мочевины Трехгорлую колбу на 500 мл снабжают магнитной мешалкой, термометром и двумя капельными воронками. В атмосфере азота добавляют в колбу сухой ацетонитрил (100 мл) и ди-трет-бутилдикарбонат (30,52 г, 0,14 моля). Добавляют в течение 3,5 мин раствор диметиламинопиридина (1,83 г, 0,015 моля) в ацетонитриле (25 мл). Наблюдают небольшую экзотермичность (2 градуса). После перемешивания в течение 2 мин добавляют раствор 4-амино-s-гидриндацена (17,1 г, 0,0988 моля) в ацетонитриле (100 мл) в течение 6 мин. По завершении добавления реакционную смесь перемешивают при комнатной температуре (КТ) в течение 25 мин. Эту смесь добавляют к суспензии предварительно полученной натриевой соли 4-(1-гидрокси-1-метил-этил)фуран-2-сульфонамида (23,3 г, 0,098 моля; получена путем добавления одного эквивалента метилата натрия к сульфонамиду в метанольном растворе с последующим выпариванием) в ацетонитриле (50 мл). Первую реакционную колбу промывают 2 x 40 мл ацетонитрила для полноты переноса. Объединенную реакционную смесь перемешивают при комнатной температуре в течение ночи. Реакционную смесь нагревают до спокойной температуры образования флегмы в течение 1,5 ч для обеспечения завершения реакции. Реакционную суспензию охлаждают до комнатной температуры (КТ) и твердые вещества собирают, промывают ацетонитрилом и сушат в вакууме, получая 30,4 г сырой натриевой соли. Натриевую соль растирают с этилацетатом и выделяют фильтрованием. Натриевую соль (10,25 г, 0,02213 моля, скорректировано на содержание этилацетата) растворяют в воде (150 мл) и обрабатывают небольшим количеством Darco. Раствор фильтруют через миллипористый фильтр. Водный фильтрат подкисляют 2N HCl для осаждения свободной сульфонилмочевины. Продукт собирают фильтрованием, промывают водой и сушат в вакууме. Выход составляет 8,33 г, 81%. Формула изобретения
![]() включающий взаимодействие соединения формулы II ![]() где R’ представляет (C1 – C6)алкил, с метилированным реактивом Гриньяра в реакционном инертном растворителе. 2. Способ по п.1, в котором используют более чем примерно 3 эквивалента реактива Гриньяра. 3. Способ по п. 1, в котором реактив Гриньяра представляет метилмагнийхлорид. 4. Способ по п.1, в котором растворитель является тетрагидрофураном. 5. Способ по п. 1, в котором указанное соединение формулы II получают взаимодействием соединения формулы III ![]() где R’ представляет (C1 – C6)алкил, с агентом аминирования в реакционном инертном растворителе. 6. Способ по п. 5, в котором агент аминирования является бикарбонатом аммония. 7. Способ по п.5, в котором указанное соединение формулы III получают взаимодействием соединения формулы IV ![]() где R’ представляет (C1 – C6)алкил, с агентом хлорирования и акцептором кислоты в инертном растворителе. 8. Способ по п.7, в котором указанный агент хлорирования является пентахлоридом фосфора. 9. Способ по п.7, в котором указанный акцептор кислоты является пиридином. 10. Способ получения соединения формулы III ![]() включающий взаимодействие соединения формулы V ![]() с электрофильным сульфирующим агентом и затем с агентом хлорирования и акцептором кислоты. 11. Способ по п.10, в котором электрофильный сульфирующий агент является хлорсульфоновой кислотой в метиленхлориде, агент хлорирования является пентахлоридом фосфора и акцептор кислоты является пиридином. 12. Соединение формулы VI ![]() где R’ представляет (C1 – C6)алкил; Q представляет галоген, гидрокси или аминогруппу. 13. Соединение по п.12, где R’ представляет этил и Q представляет хлор. 14. Соединение по п.12, где R’ представляет этил и Q представляет OH. 15. Соединение по п.12, где R’ представляет этил и Q представляет NH2. MM4A – Досрочное прекращение действия патента СССР или патента Российской Федерации на изобретение из-за неуплаты в установленный срок пошлины за поддержание патента в силе
Дата прекращения действия патента: 27.07.2004
Извещение опубликовано: 20.09.2007 БИ: 26/2007
|
||||||||||||||||||||||||||

и -1
(1L-1), используемыми для лечения центральной нервной системы. Технический результат – упрощение процесса. 3 с. и 12 з.п. ф-лы.










: 8,21 (с, 1), 7,59 (с, 1), 4,35 (кв, 2), 1,36 (т, 3); 13C ЯМР (CDCl3 400 МГц)
0,5H2O





