|
|
(21), (22) Заявка: 2004127277/15, 15.09.2004
(24) Дата начала отсчета срока действия патента:
15.09.2004
(45) Опубликовано: 20.04.2006
(56) Список документов, цитированных в отчете о поиске:
RU 2106148 C1, 10.03.1998. SU 795477 A3, 07.01.1981. SU 1528320 A3, 07.12.1989. SU 1072806 A3, 07.02.1984. GB 1257841 A1, 22.12.1972. CA 1294956 A, 28.01.1992.
Адрес для переписки:
117216, Москва, ул. Грина, 7, ВИЛАР
|
(72) Автор(ы):
Звонкова Елена Николаевна (RU), Сайбель Егор Сергеевич (RU), Ануфриева Валентина Владимировна (RU), Соколов Игорь Владимирович (RU), Быков Валерий Алексеевич (RU)
(73) Патентообладатель(и):
Всероссийский научно-исследовательский институт лекарственных и ароматических растений (“ВИЛАР”) (RU)
|
(54) СПОСОБ БРОМИРОВАНИЯ И -ЭРГОКРИПТИНОВ
(57) Реферат:
Изобретение относится к химико-фармацевтической промышленности и касается способа получения нейрогормонального средства – абергина ( и -2-бром-эргокриптины). Согласно способу бромирование смеси и – эргокриптинов осуществляется 50% избытком N-бромсукцинимида в среде хлороформа с добавлением диоксана (10:1). Способ предусматривает применение диоксана с содержанием перекиси в количестве 0,011-0,0145 мольных долей по отношению к количеству алкалоидов в реакционной среде, где исходная концентрация эрготоксиновых алкалоидов равна 0,125-0,150 моль/литр. Технический результат: повышение выхода целевого вещества на ключевой стадии бромирования. 1 ил., 1 табл. 
Изобретение относится к химико-фармацевтической промышленности, а именно к способам получения композиции, обладающей нейрогормональной активностью – абергина.
Известен способ получения абергина [1], по которому рожки спорыньи эргокриптинового штамма экстрагируют дихлорэтаном, осаждают сумму алкалоидов, проводят очистку суммы хроматографией через слой мелкого сорбента с отсасыванием, кристаллизуют алкалоиды из бензола и далее проводят бромирование очищенной суммы. В известном способе ведут бромирование N-бромсукцинимидом в смеси диоксан-хлороформ 1:10 без нагревания в течение 0,5 часа, затем реакционную массу пропускают через слой сорбента и продукт кристаллизуют из ацетона. Полученное основание алкалоидов переводят в соль метансульфокислоты стандартньм способом.
Недостатком известного способа является невысокий выход 2-бром- , -эргокриптинов на стадии бромирования (38%).
Задачей изобретения являлось повышение выхода целевого вещества при бромировании N-бромсукцинимидом.
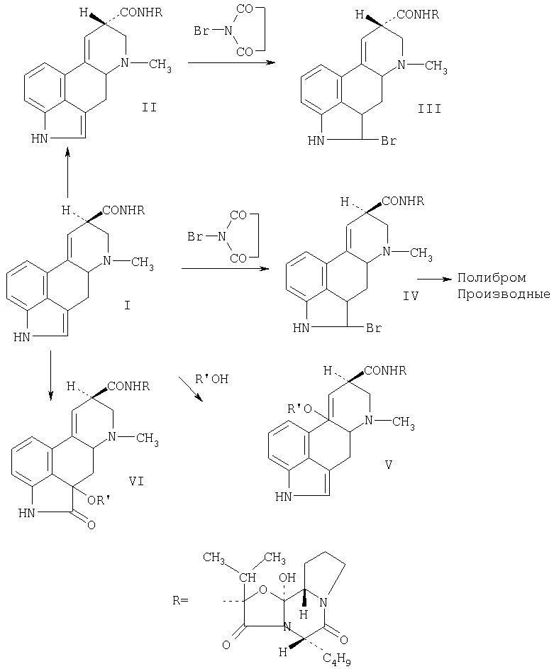
Реакция бромирования эргоалкалоидов протекает неоднозначно в связи с высокой химической лабильностью молекул этих природных соединений (I) и сопровождается рядом побочных превращений (см. схему).
Обычно в ходе растворения, в процессе проведения реакции и очистки ее целевого продукта происходит эпимеризация в положении 8 молекул ялкалоидов с образованием , -эргокриптининов (II) и 2-бром- , -эргокриптининов (III). Чтобы ускорить реакцию бромирования и избежать образования эпимеров (II, III), применяют избыток N-бромсукцинимида (1,5 моля на моль алкалоидов). В противном случае часть исходного основания (I) не прореагирует и затруднит очистку целевого вещества (IV). Большие избытки бромирующего агента нежелательны, т.к. вызывают образование полибромпроизводных. В реакционной массе не должно присутствовать воды и спиртов, т.к. это ведет к образованию интенсивно окрашенных примесей в результате фотоприсоединения по двойной связи С9-С10 (V) и фотоокисления по 2 положению индольного кольца (VI). В этих условиях главным условием успешной технологии должно быть быстрое и направленное проведение реакции бромирования при минимуме побочных превращений.
Бромирование является реакцией радикального типа и в связи с этим требует наличия в реакционной среде инициаторов, таких как гидроперикиси. Этим обусловлена необходимость присутствия в среде реакции диоксана, содержащего определенное количество гидроперекисей. Считается, что концентрация гидроперекисей порядка 0,01% достаточна для проведения этой реакции. Учитывая вышеописанное, нами предлагается способ проведения реакции бромирования и -эргокриптиновых алкалоидов в контролируемых по содержанию перекисей условиях. При осуществлении реакции бромирования в промышленных масштабах (на порядок большие промышленные загрузки, чем лабораторные), нами было установление, что выход реакции тем выше, чем ближе содержание перекисей в диоксане к оптимальному по отношению к количеству исходного вещества в реакционной среде (см. таблицу). Оптимум мольного отношения инициатора к бромируемому веществу был найден при проведении серии загрузок в условиях реального производства. Оказалось (см. чертеж), что зависимость выхода 2-бром- , -эргокриптинов от этого параметра имеет колоколообразную форму. При низких значениях до 0,010 в реакционной массе остается исходное соединение и выход целевого вещества невысок. Он также снижается при избытке перекисей, когда мольное соотношение превышает 0,015, за счет протекания побочных превращений, типа полибромпризводных и люмипродуктов. Было показано, что выгодно использовать более концентрированные растворы исходного вещества в пределах от 0,125 до 0,150 м/л , -эргокриптинов при сохранении соотношения хлороформ – диоксан в среде реакции 10:1 вместо описанных концентраций порядка 0,1 М/л. При этом снижаются расходные нормы по абсолютным высокоочищенным растворителям и увеличивается производительность за счет увеличения единичных загрузок в 16 раз по сравнению с прототипом. Верхний предел в 0,15 М/л ограничивается растворимостью всех компонентов в реакционной смеси и нормами механических потерь при последующей обработке высококонцентрированных растворов.
| Таблица. |
Итоги бромирования , -эргокриптинов 50% избытком N-бромсукцинимида в среде хлороформ-диоксан (10:1) (время реакции 30 минут) |
| № |
, -эк. моль |
Конц. , -эк. м/литр CHCl3 |
Гидроперикисей в диоксане моль |
Концентрация перекисей в диоксане % |
Соотношение 4:2 М/м |
Выход 2-Br- , -эк. |
Концентрация исходных веществ в продукте реакции, % |
| 1 |
2 |
3 |
4 |
5 |
6 |
7 |
8 |
| 1 |
0,95 |
0,095 |
0,018 |
0,220 |
0,0190 |
31,9 |
– |
| 2 |
0,95 |
0,095 |
0,014 |
0,180 |
0,0158 |
48,15 |
– |
| 3 |
0,95 |
0,095 |
0,015 |
0,170 |
0,0146 |
50,3 |
– |
| 4 |
0,475 |
0,095 |
0,005 |
0,120 |
0,0103 |
41,5 |
0,6 |
| 5 |
1,37 |
0,137 |
0,013 |
0,160 |
0,0095 |
41,3 |
4,3 |
| 6 |
1,37 |
0,137 |
0,015 |
0,185 |
0,0110 |
62,6 |
– |
| 7 |
1,37 |
0,137 |
0,015 |
0,185 |
0,0110 |
61,2 |
0,4 |
| 8 |
1,37 |
0,137 |
0,01475 |
0,180 |
0,0107 |
57,6 |
– |
| П |
0,085 |
0,085 |
0,0016 |
0,200 |
0,0188 |
38,0 |
|
| П = прототип |
Соответствие заявляемого способа критерию “новизна” заключается в том, что используют оптимальное мольное отношение перекисей в диоксане к исходному количеству смеси , -эргокриптипнов, взятых в реакцию, а также в повышении концентрации эргокриптинов в реакционной среде.
Соответствие заявляемого способа критерию “изобретательский уровень” заключается в том, что выявлен характер зависимости выхода реакции от соотношения реагирующее вещество – инициатор реакции радикального типа, что обеспечивает оптимизацию параметров процесса бромирования в определенном интервале условий и высокий препаративный выход процесса бромирования.
Сущность предлагаемого изобретения демонстрируется примером.
Пример: 1000 г очищенной суммы оснований , -эргокриптинов в виде сольватов с 2 молями бензола (1,37 м) растворяют в 10 л сухого хлороформа и добавляют 1,0 л диоксана (содержание перекисей 0,185%) (0,015 моль). Мольное отношение алкалоидов к инициатору 0,0113. В течение 30 минут прибавляют при перемешивании и температуре 20°С 370 г N-бромсукцинимида. Через 30 минут реакционную массу обрабатывают 6 л 1М раствора Na2SO4, 12 л (2×6 л) 1М раствора Na2CO3 и 2×4 л Н2O. Сушат над сульфатом натрия, фильтруют и пропускают с отсасыванием через слой силикагеля 4 кг (размер частиц от 10 до 60 мкм фирмы “Славич”, Россия), промывают хлороформом. Фракции, содержащие 2-бром- , -эргокриптины, упаривают досуха и растворяют в 600 мл ацетона. Через 12 часов при 0°С выпадает осадок, который отделяют и получают 560 г (62,6%) кристаллической суммы 2-бром- , -эргокриптинов. Из маточников дополнительно получают 51 г осадка, который подлежит дополнительной очистке.
Использование предложенного метода по сравнению с известным обеспечит следующие преимущества:
1. За счет выбора оптимальных параметров проведения реакции бромирования выход целевого вещества повышен с 38% до 62,6%.
2. Снижен расход сорбента в 4 раза за счет уменьшения количества примесей и достижения полноты прохождения реакции.
3. Повышена производительность труда и сокращены расходные нормы на высокоочищенные растворители за счет увеличения единичной загрузки в 16 раз. На основе заявленного способа увеличено производство препарата абергин на ЗАО “Фармцентр ВИЛАР” в 2-3 раза.
Источник информации
1. Патент №2106148 (РФ) от 10.03.1998 г, приоритет от 06.10.1995, БИ №7, 1998 г. «Способ получения нейрогормонального средства» Быков В.А., Звонкова Е.Н., Трегубов В.М., Монахова Т.Е., Бурма О.И., Ануфриева В.В., Пинеев С.А., Шаин С.С., Шевченко В.И.
Схема 1

Формула изобретения
Способ бромирования и -эргокриптиновых алкалоидов с помощью N-бромсукцинимида в смеси хлорформ-диоксан 10:1, отличающийся тем, что количество перекисей, вносимых с диоксаном, составляет 0,011-0,0145 мольных долей от количества алкалоидов, а исходная концентрация алкалоидов равна 0,125-0,150 моль/л.
РИСУНКИ
|
|