|
|
(21), (22) Заявка: 2004127000/11, 10.09.2004
(24) Дата начала отсчета срока действия патента:
10.09.2004
(45) Опубликовано: 10.04.2006
(56) Список документов, цитированных в отчете о поиске:
RU 2223426 С2, 10.02.2004. RU 2010123 C1, 30.03.1994. US 5000300 A, 19.03.1991. DE 2811020 A1, 21.09.1978.
Адрес для переписки:
123557, Москва, Б. Тишинский пер., 41, кв.5, М.Г. Середе
|
(72) Автор(ы):
Михеев Сергей Викторович (RU), Середа Михаил Глебович (RU)
(73) Патентообладатель(и):
Михеев Сергей Викторович (RU), Середа Михаил Глебович (RU)
|
(54) ТОРМОЗ КОЛЕСНОГО ТРАНСПОРТНОГО СРЕДСТВА
(57) Реферат:
Изобретение относится к области машиностроения, а именно к тормозным устройствам транспортных средств. Тормоз колесного транспортного средства содержит цилиндр с поршнем и устройство дросселирования. Тормоз снабжен кольцевым трубопроводом, насосом, дополнительным резервуаром с рабочей жидкостью, обратным клапаном, перепускным каналом и клапаном предельного давления. Насос выполнен из активной шестерни, находящейся в зацеплении с сателлитной шестерней, установлен в кольцевом канале и кинематически соединен с осью колеса транспортного средства. Цилиндр с поршнем и устройство дросселирования сообщаются с кольцевым трубопроводом. Устройство дросселирования выполнено в виде подпружиненного золотника с регулируемым приводом от тормозной педали транспортного средства. Байпасно дросселю подключен перепускной канал с клапаном предельного давления, а дополнительный резервуар с рабочей жидкостью сообщается с кольцевым трубопроводом через обратный клапан. Техническим результатом является предотвращение блокировки колес и исключение юза при торможении транспортного средства. 4 ил. 
Предлагаемое изобретение относится к устройствам для торможения движущихся объектов, например колесных транспортных средств.
Известен гидравлический тормоз патент RU 2223426, МКИ F 16 D 57/06, который содержит цилиндр, в котором расположен поршень со штоком. В поршневой полости установлена перегородка с дросселирующим отверстием. В штоковой полости расположен узел задания параметров торможения. Узел задания параметров торможения выполнен в виде ограничителя перемещения цилиндра и ограничителя перемещения поршня, установленных в штоковой полости цилиндра, при этом шток поршня и цилиндр с ограничителем подпружинены относительно ограничителя перемещения цилиндра соответственно пружинами. Жесткость одной из пружин выбрана из условия обеспечения усилия подпружинивания штока поршня в сжатом положении пружины, превышающего усилие трения между поршнем и поверхностью цилиндра.
В известном устройстве торможение осуществляется за счет перераспределения объемов рабочей жидкости в замкнутом объеме цилиндра, поршневая полость которого разделена перегородкой на две части, сообщающиеся между собой через дроссельное отверстие.
Недостатком известного устройства является периодичность действия и невозможность применения для торможения вращающихся колес транспортных средств.
Технической задачей заявляемого изобретения является обеспечение возможности торможения вращающихся колес транспортных средств с одновременным повышением безопасности за счет предотвращения блокирования колеса и исключения юза.
Технический результат достигается тем, что кинетическая энергия вращающегося колеса преобразуется в кинетическую энергию движения жидкости по кольцевому трубопроводу, на пути которой установлен регулируемый дроссель, преобразующий часть кинетической энергии движения жидкости в тепловую, которая впоследствии диссипирует в окружающей среде.
Для этого в тормозе, состоящем из цилиндра с поршнем и устройством дросселирования, выполнен кольцевой трубопровод, который снабжен насосом, дополнительным резервуаром с рабочей жидкостью, обратным клапаном, перепускным каналом, клапаном предельного давления, при этом насос выполнен из активной шестерни, находящейся в зацеплении с сателлитной шестерней, установлен в кольцевом трубопроводе и кинематически соединен с осью колеса транспортного средства, цилиндр с поршнем и устройство дросселирования сообщаются с кольцевым трубопроводом, при этом устройство дросселирования выполнено в виде подпружиненного золотника с регулируемым приводом от тормозной педали транспортного средства, а байпасно дросселю подключен перепускной канал с клапаном предельного давления, а дополнительный резервуар с рабочей жидкостью сообщается с кольцевым трубопроводом через обратный клапан.
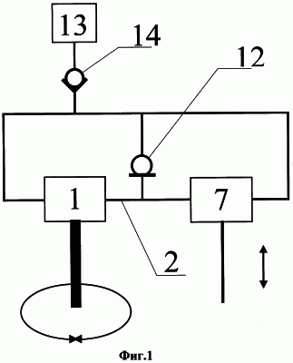
Изобретение поясняется чертежами, где на фиг.1 изображена блок-схема тормоза колесного транспортного средства, на фиг.2 изображено заявляемое устройство в двух проекциях, на фиг.3 изображено сечение по А-А фиг.2, на фиг.4 – сечение по Б-Б фиг.2.
Тормоз колесного транспортного средства состоит из насоса 1, установленного в кольцевом трубопроводе 2. Насос 1 образован активной шестерней 3, находящейся в зацеплении с сателлитной шестерней 4. Активная шестерня 3 кинематически соединена с осью 5 колеса транспортного средства. Устройство дросселирования выполнено в виде золотника 6, регулирующего величину проходного отверстия дросселя 7. Золотник 6 управляется поршнем 8, перемещающимся в цилиндре 9 под давлением Р, создаваемым тормозной педалью (не показано) транспортного средства. Золотник 6 подпружинен пружиной 10. Байпасно дросселю 7 подключен перепускной канал 11 с клапаном предельного давления 12. Дополнительный резервуар рабочей жидкости 13 сообщается с кольцевым трубопроводом через обратный клапан 14.
Заявляемое устройство работает следующим образом: пока тормозная педаль не нажата, давление Р в кольцевом трубопроводе 2 равно нулю, поршень 8 в цилиндре 9 и золотник 6 под воздействием пружины 10 в цилиндре 9 находятся в крайнем левом положении (по чертежу), тем самым открывая максимальное проходное сечение для перетекания рабочей жидкости через отверстия дросселя 7. Насос 1, образованный активной и сателлитной шестернями 3 и 4, прокачивает при вращении оси 5 колеса транспортного средства рабочую жидкость через дроссель 7 без сопротивления. Ось 5 колеса транспортного средства не тормозится. При необходимости затормозить вращение оси 5 колеса транспортного средства нажимают на тормозную педаль, давление Р под поршнем цилиндра 9 возрастает, что заставляет поршень 8 и связанный с ним золотник 6 перемещаться вправо (по чертежу), тем самым уменьшая проходное сечение дросселя 7, что вызывает возрастание сопротивления перетеканию рабочей жидкости через дроссель 7 и тормозит вращение оси 5 колеса транспортного средства. Когда дроссель 7 будет полностью перекрыт золотником 6 и давление, создаваемое насосом 1, больше чем то, при котором срабатывает клапан предельного давления 12, рабочая жидкость будет перетекать по тонкому перепускному каналу 11, позволяя оси 5 колеса транспортного средства медленно проворачиваться для того, чтобы колесо, кинематически связанное с осью 5 колеса транспортного средства, не было заблокировано и предотвращен его юз. Возможные утечки рабочей жидкости из системы компенсируются из дополнительного резервуара рабочей жидкости 13, подключенного к кольцевому трубопроводу 2 через обратный клапан 14.
Формула изобретения
Тормоз колесного транспортного средства, содержащий цилиндр с поршнем, устройство дросселирования, отличающийся тем, что он снабжен кольцевым трубопроводом, насосом, дополнительным резервуаром с рабочей жидкостью, обратным клапаном, перепускным каналом и клапаном предельного давления, при этом насос выполнен из активной шестерни, находящейся в зацеплении с сателлитной шестерней, установлен в кольцевом канале и кинематически соединен с осью колеса транспортного средства, цилиндр с поршнем и устройство дросселирования сообщаются с кольцевым трубопроводом, при этом устройство дросселирования выполнено в виде подпружиненного золотника с регулируемым приводом от тормозной педали транспортного средства, байпасно дросселю подключен перепускной канал с клапаном предельного давления, а дополнительный резервуар с рабочей жидкостью сообщается с кольцевым трубопроводом через обратный клапан.
РИСУНКИ
MM4A – Досрочное прекращение действия патента СССР или патента Российской Федерации на изобретение из-за неуплаты в установленный срок пошлины за поддержание патента в силе
Дата прекращения действия патента: 11.09.2008
Извещение опубликовано: 20.08.2010 БИ: 23/2010
|
|