|
|
(21), (22) Заявка: 2004138774/04, 30.12.2004
(24) Дата начала отсчета срока действия патента:
30.12.2004
(45) Опубликовано: 10.04.2006
(56) Список документов, цитированных в отчете о поиске:
К.ВЕНКАТАРАМАН. Химия синтетических красителей. – Л., X., 1977, т.5, с.315-317, 323-326, 416. SU 280726 A1, 03.09.1970. SU 910701 A1, 07.03.1982. GB 1366598 А, 11.09.1974.
Адрес для переписки:
119991, Москва, ГСП-1, М. Калужская, 1, Московский государственный текстильный университет им. А.Н. Косыгина, проректору К.И.Кобракову
|
(72) Автор(ы):
Кобраков Константин Иванович (RU), Грукова Ольга Павловна (RU), Станкевич Галина Сергеевна (RU), Шевелев Святослав Аркадьевич (RU), Шахнес Александр Ханонович (RU), Дутов Михаил Дмитриевич (RU)
(73) Патентообладатель(и):
Московский государственный текстильный университет им. А.Н. Косыгина (RU)
|
(54) КРАСИТЕЛИ НА ОСНОВЕ 3,5-ДИНИТРОАНИЛИНА И 2-АМИНО-4,6-ДИНИТРОТОЛУОЛА
(57) Реферат:
Изобретение относится к анилинокрасочной промышленности, в частности к новым азокрасителям на основе 3,5-динитроанилина или 2-амино-4,6-динитротолуола, которые могут быть использованы для крашения синтетических волокон в массе. Описываются азокрасители на основе диазотированного 3,5-динитроанилина или 2-амино-4,6-динитротолуола и азосоставляющей – -нафтола или Азотола А. Предложенные красители обладают повышенной термостойкостью по сравнению с известными аналогичными красителями на основе моно- или динитроанилина в качестве диазосоставляющей, например пигментом Оранжевым 3 и пигментом Красным 1, что обусловливает их использование для крашения синтетических волокон в массе. 4 з.п. ф-лы, 4 табл.
Изобретение относится к органической химии, в частности к химии красителей, которые могут быть использованы для окраски синтетических волокон. Более конкретно, изобретение предназначено для получения новых азокрасителей (АК), которые являются наиболее многочисленным классом среди органических красителей. Они имеют в своем составе одну или более азогрупп -N=N- в качестве хромофора, посредством которой соединены диазо-и азосотавляющая, представляющие собой, как правило, различные молекулы ароматического ряда. Этой особенностью строения молекул азокрасителей и объясняется их многочисленность. Наиболее распространенными среди них являются соединения, содержащие в качестве азоставляющей нафтолы или азотолы, а в качестве диазоставляющей – диазотированные первичные ароматические амины. К общим достоинствам азокрасителей следует отнести то, что они обладают чистым и ярким цветом, высокой укрывистостью, интенсивностью и стойкостью к действию ряда реагентов. Высокая светосойкость азокрасителей проявляется в насыщенных накрасках, причем красители на основе азотолов являются более светостойкими, чем красители на основе нафтолов. Азокрасители на основе нафтолов неустойчивы в некоторых растворителях, в частности в льняном масле и уайт-спирите, но имеют более разнообразную цветовую гамму.
Известны азокрасители Pigment Orange 3 (C.I. 12105), Pigment (C.I. 12065), Pigment Red 1 (C.I. 12070) и Pigment Orange 5 (C.I. 12075) (см. J. Society of Dyers and Colorists, Brathford, 1971, p.p.4030, 4035), содержащие -нафтол в качестве азосоставляющей.
Краситель Pigment Orange 3 содержит в качестве диазосоставляющей ароматический амин на основе нитротолуола, в котором относительно азогруппы метальный радикал находится в о-положении, а нитрогуппа – в м-положении.
Краситель Pigment содержит в качестве диазосоставляющей ароматический амин на основе нитробензола, в котором нитрогруппа находится в м-положении относительно азогруппы.
Краситель Pigment Red 1 содержит в качестве диазосоставляющей ароматический амин на основе нитробензола, в котором нитрогруппа находится в п-положении относительно азогруппы.
Краситель Pigment Orange 5 содержит в качестве диазосоставляющей ароматический амин на основе динитробензола, в котором относительно азогруппы одна нитрогруппа находится в о-положении, а вторая – в п-положении по разные стороны от азогуппы.
Известен также азокраситель Pigment Red 2 (C.I. 12310) (см. там же), содержащий в качестве азосоставляющей азотол, а в качестве диазосоставляющей – ароматический амин на основе дихлорбензола, в котором атомы хлора расположены по разные стороны от азогруппы, причем один в о-положении, а второй – в м-положении.
Общим недостатком вышеперечисленных красителей является их невысокая атмосферо- и термостойкость. Наиболее термостойкими из них являются Pigment Red 1 (Тпл.=256°С) и Pigment Red 2 (Тпл.=310-311°С). Однако этого недостаточно для использования таких красителей в современных технологиях для окраски синтетических волокон в массе и длительной эксплуатации тканей и изделий, полученных из этих волокон, т.к. они имеют значительную потерю массы (до 86%) при температурах 220-250°C.
Задачей настоящего изобретения является получение новых азосоединений, имеющих высокую атмосферо- и термостойкость, пригодных для окрашивания синтетических волокон в современных технологиях, без ухудшения их цветовых характеристик, не изменяющих цвет при длительном хранении, устойчивых к действию влаги, агрессивных сред и органических растворителей.
Поставленная задача достигается тем, что предложены азокрасители следующей общей формулы:

где R выбран из Н или СН3,
R1 и R2 являются одинаковыми и представляют собой NO2;

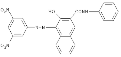
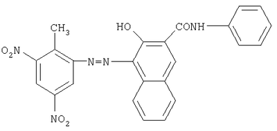
В частности, предлагаемые азокрасители имеют формулу (1) или (2):

Заявленные азокрасители отличаются от вышеуказанных известных азокрасителей тем, что в качестве диазосоставляющей они содержат 2-амино-4,6-динитротолуол или 3,5-динитроанилин. Следовательно, предложенные азокрасители удовлетворяют условию «новизна».
Как видно из формул (1) и (2), обе нитрогруппы в диазосоставляющей находятся в м-положении относительно азогруппы. Обнаружено, что такое положение нитрогрупп обеспечивает качественно новое сочетание свойств полученных красителей: значительное увеличение их атмосферо- и термостойкости по сравнению с известными аналогами при тех же цветовых характеристиках, что и у аналогов; неизменность цвета при длительном хранении; устойчивость к влаге, агрессивным средам и органическим растворителям.
В производстве азокрасителей используются ароматические амины, имеющие от 1 до 3 сильных электроноакцепторых групп, в частности нитрогупп, в положении 2, 4 или 6 (см. патент США №5162511, Кл. С 09 В 41/09, 1992), в результате чего расширяется цветовая гамма красителей, однако из этого документа не известно использование 2-амино-4,6-динитротолуол или 3,5-динитроанилина.
Известно использование в качестве азосоставляющей при получении азокрасителей диазотированных производных 4,6-динитроанилина (а.с. СССР №471799, Кл. С 09 В 39/00, 1977); 2,4-динитроанилина, 2-хлор-4,6-динитроанилина и 2-амино-5-нитробензола (а.с. СССР №445355, Кл. С 09 В 29/08, 1978); 2-галоген-4,6-динитроанилина (а.с. СССР №388594, Кл. С 09 В 39/00, 1977), что приводит к повышению светостойкости, однако эти азокрасители не содержат -нафтола или азотола. Известны азокрасители, содержащие в качестве азосоставляющей -нафтол, а в качестве диазосотавляющей -2,5-дихлоранилин или 3-нитро-4-аминотолуол (а.с. СССР №910701, Кл. С 09 В 41/00, 1982). Эти азокрасители более устойчивы к химическим реагентам – спиртам, ацетону, ксилолу, толуолу, но недостаточно атмосферостойки. Известно также использование производных нитротолуола в качестве диазосоставляющей и -нафтола в качестве азоставляющей при получении азокрасителей (заявка Великобритании №275220, Кл. С 09 В 29/00, 1928), однако эти красители имеют те же недостатки, что большинство известных азокрасителей. Известно также использование 2,4,6-триаминотолуола при получении азокрасителей (патент РФ №2102415, Кл. С 09 В 29/08, 1996). Однако, в отличие от предложенных соединений, эти азокрасители не содержат нитрогупп, -нафтола или азотола и содержат три аминогруппы.
Известно также, что введение заместителей в состав ароматических соединений значительно облегчает сдвиг электронов, за счет чего увеличивается их подвижность в молекуле и способность молекулы к ионизации, что, в свою очередь, влияет на цвет красителя. При введении в молекулу азокрасителя электроноакцепторного заместителя, каковым является нитрогруппа, повышается интенсивность и глубина его цвета (см. Беленький Е.Ф., Рискин И.В., Химия и технология пигментов, Ленинград, Химия, 1974, с.с.580-587). Однако в уровне техники не было обнаружено использование 3,5-динитроанилина и 2-амино-4,6-динтротолуола для получения азокрасителей, обладающих вышеперечисленным комплексом свойств. Из уровня техники также не следует явным образом, что наличие двух нитрогрупп в м-положении относительно азогруппы в молекуле азокрасителя обеспечивает вышеуказанный комплекс свойств.
При этом следует отметить, что 3,5-динитроанилин и 2-амино-4,6-динтротолуол хорошо известны, описаны в литературе, выпускаются промышленностью и являются доступными, а следовательно, и относительно недорогими. Отсюда следует еще одно преимущество предлагаемых красителей: они изготавливаются из доступного сырья и поэтому относительно недороги.
2-амино-4,6-динитротолуол имеет формулу (1′), а 3,5-динитроанилин имеет формулу (2′):

Они получены селективным восстановлением 2,4,6-тринитротолуола и 1,3,5-тринитробензола. В пат. РФ №2102415 в качестве исходного сырья также был использован 2,4,6-тринитротолуол, все три нитрогруппы которого восстанавливаются до аминогрупп. В отличие от этого, при получении заявленных соединений в результате селективного восстановления восстанавливается до аминогруппы только одна нитрогруппа в одном и том же положении, в то время как две другие нитрогруппы не восстанавливаются и остаются неизменными. Что же касается 3,5-динитроанилина, то он используется в производстве красителей, но из литературы не выявлена известность его использования для получения азокрасителей с достижением вышеуказанного технического результата.
Следовательно, заявленные красители удовлетворяют условию «изобретательский уровень».
Общая методика получения азокрасителей хорошо известна и описана в литературе. Она заключается в диазотировании первичного ароматического амина и последующем сочетании полученного диазосоединения с нафтолами или азотолами.
Заявленные АК получают в соответствии с этой методикой в две стадии: на первой стадии проводят диазотирование вышеуказанных ароматических аминов в серной или соляной кислоте в присутствии нитрита натрия, в результате чего образуется соль диазония, характеризующаяся высокой реакционной способностью; на второй стадии полученные диазосоединения вводят в реакцию азосочетания с -нафтолом или азотолом – ароматическими гидроксисоединениями, наиболее широко применяемыми в промышленности для получения азокрасителей.
Процесс описывается следующей схемой:

Однако, в отличие от известной методики, для каждого из заявленных соединений были подобраны и оптимизированы условия селективного восстановления при получении ароматических аминов, последующего диазотирования и азосочетания на конечной стадии процесса.
Строение и чистота полученных таким образом АК были подтверждены данными электронных спектров поглощения, а также ИК-спектрального и элементного анализов.
Экспериментальная часть.
Список элюентов: пластинка Silufol UV-254,
элюент №1 (ацетон: бензол – 1:10)
элюент №2 (этанол: бензол – 1:10)
элюент №3 (хлороформ: метанол – 4:1)
Пример 1
Получение соединения, имеющего формулу

В стакан емкостью 10 мл, снабженный мешалкой, термометром и воронкой, загружают 1,2 мл Н2SO4 96%. Кислоту охлаждают до 8°С. Хорошо размешивая, маленькими порциями прибавляют к ней 0,18 г (0,0025 моль) сухого нитрита натрия. При этом температура не должна подниматься выше 9-10°С. Затем смесь нагревают до 80-85°С и размешивают до полного растворения нитрита.
Полученную таким образом нитрозилсерную кислоту далее охлаждают до 10°С и используют для диазотирования 2-амино-4,6-динитротолуола.
В стакан емкостью 10 мл загружают 0,88 мл концентрированной серной кислоты и, размешивая, вносят в нее малыми порциями 0,49 г (0,0025 моль) 2-амино-4,6-динитротолуола. Смесь размешивают при комнатной температуре до получения прозрачного раствора желто-коричневого цвета.
Затем раствор охлаждают до 8°С и в течение 30 минут к нему прибавляют по каплям нитрозилсерную кислоту. Массу перемешивают в течение 2 часов. По окончании реакции диазотирования проба реакционной массы должна полностью растворяться в воде.
Полученный раствор диазосоединения в концентрированной серной кислоте за 30-40 мин до сочетания, хорошо размешивая, из капельной воронки выливают по каплям на 150 г тонко измельченного льда, при температуре 0-1°С. Полученный раствор фильтруют от смолы и фильтрат вновь охлаждают льдом до 0-1°С.
Приготовление суспензии -нафтола
В стакане емкостью 50 мл растворяют 0,38 г (0,0025 моля) -нафтола в 3 мл 5-процентного раствора едкого натра при 60°. Раствор переливают в толстостенный стакан для сочетания, охлаждают его льдом до 0°С и, хорошо размешивая, добавляют к нему охлажденный до 0°С 20% раствор серной кислоты до кислой реакции на индикаторной бумаге “конго”. Получают суспензию белого цвета.
Азосочетание. К полученной суспензии -нафтола 3 часа при 0°С приливают диазораствор, следя за тем, чтобы диазосоединение все время было в избытке (проба на вытек с Аш-кислотой). К концу реакции не должно быть большого избытка диазосоединения; если такой избыток будет, то добавляют свежеприготовленную суспензию -нафтола.
По окончании прибавления диазосоединения размешивание продолжают еще час. Выпавший осадок отфильтровывают, промывают водой до слабокислой реакции на лакмус и сушат при комнатной температуре.
Получено 0,77 г (87% от теоретического) соединения оранжево-коричневого цвета, Rf=0.75 (элюент №2). Т.пл.=243-245°С.
УФ-спектр (в абс.хлороформе); max, нм (lg ); 263.5 (4.19), 312.0 (3.68), 339.7 (3.44),345.3 (3.46), 384.2 (3.78), 475.3 (3.93), 509.3 (3.83).
ИК (KBr), , см-1: 1528,1344 (NO2); 1636 (-N=N-); 2944, 2980 (СН3); 3488 (-ОН).
Элементный анализ для брутто-формулы C17H12N4O5:
Вычислено, %:(Н) 3.05; (С) 57.9; (N)15.66
Найдено, %: (Н) 3.05; (С) 57.9; (N) 15.91
Полученное соединение имеет те же цветовые характеристики, что и его аналог – Pigment Orange 3, не изменяет цвет при длительном хранении, устойчиво к влаге, растворам кислот, щелочей и органическим растворителям.
Пример 2
Получение соединения, имеющего формулу

3,5-динитроанилин 0,98 г (0,005 моль) растворяют в 10 мл воды, приливают 1,9 мл (0,0162 моль) 27,5% раствора соляной кислоты (плотность 1,137) и охлаждают до 0°С. Затем при перемешивании добавляют 0,38 г нитрита натрия (0,0055 моль) в 2 мл воды в течение 5-10 минут. После добавления всего нитрита натрия реакционную смесь перемешивают еще 30 минут при 0-4°С. Получают диазосоединение в виде суспензии желто-коричневого цвета.
Азосочетание проводят по методике, описанной в примере 1, используя 0,76 г (0,00528 моль) 2-нафтола.
Получают 1,5 г (87% от теоретического) продукта желто-коричневого цвета.
Rf1=0.76,
Rf2=0.31(элюент №3).
Очистка
1,5 г полученного соединения размешивают в 15 мл горячего метанола, оставшийся осадок отфильтровывают и высушивают. Получают 0,6 г соединения с Rf=0.76 (Элюент №3). Т.пл=283-285°С.
УФ-спектр (в абс.хлороформе); max, нм (lg ); 294.1 (3.86), 339.7 (3.53), 469.9 (4.07), 414.6 (3.98)
ИК (KBr), , см-1: 1528,1344 (NO2); 1636 (-N=N-); 3488 (-OH)
Из фильтрата отгоняют метанол. Получают 0,8 г соединения с Rf=0,31, что соответствует исходному соединению 3,5-динитроанилину.
Элементный анализ для брутто-формулы C16H10N4O5:
Вычислено, %: (Н) 2.99; (С) 56.20; (N)16.57
Найдено, %: (Н) 3.01; (С) 56.25; (N) 16.57
Полученное соединение имеет те же цветовые характристики, что и его аналоги – Pigment и Pigment Red 1, не изменяет цвет при длительном хранении, устойчиво к влаге, растворам кислот, щелочей и органическим растворителям.
Пример 3
Получение соединения, имеющего формулу

Диазотирование 0,46 г (0,0025 моль) проводят по методике, описанной в примере 2.
Для приготовления суспензии Азотола А 0,66 г (0,0025 моль) Азотола А растворяют в 2,1 мл (0,0026 моль) NaOH 5% при нагревании до 60°С. Полученный раствор желтого цвета переливают в толстостенный стакан для сочетания, охлаждают его льдом до 0°С и, хорошо размешивая, добавляют к нему охлажденный до 0°С 20% раствор серной кислоты до кислой реакции на индикаторной бумаге “конго”. Образуется суспензия белого цвета.
К полученной суспензии Азотола А в течение 30 мин при 0°С приливают диазораствор, следя за тем, чтобы диазосоединение все время было в избытке (проба на вытек с R-солью). К концу реакции не должно быть большого избытка диазосоединения; если такой избыток будет, то добавляют свежеприготовленную суспензию Азотола А.
По окончании прибавления диазосоединения размешивание продолжают еще час. Выпавший осадок отфильтровывают, промывают водой до слабокислой реакции на лакмус и сушат при комнатной температуре.
Получено 0,81 г (71% от теоретического) соединения красно-бордового цвета.
Rf1=0.70, Rf2=0.60 (элюент №2)
Очистка
1,0 г полученного соединения размешивают в 15 мл раствора NaOH 1%, нагретого до 40°С, оставшийся осадок отфильтровывают и высушивают.
Получают 0,53 г (46% от теоретического) соединения с Rf=0.70 (элюент №2), Т.пл.=355-357°С.
УФ-спектр (в абс-хлороформе); max, нм (lg ); 286.6 (3.89), 358.9 (4.07), 401.7 (4.12), 419.2 (4.13), 482.3 (4.21), 511.9 (4.13).
ИК (KBr), , см-1: 1544,1344 (NO2); 1596 (-N=N-); 1668 (С=О в группе -CONH-).
Фильтрат упаривают на водяной бане. Получают 0,05 г соединения с Rf=0.59
Элементный анализ для брутто-формулы C23H15N5O6:
Вычислено, %:(Н) 3.28; (С) 60.39; (N)15.31
Найдено, %: (Н) 3.28; (С) 59.96; (N) 14.92
Полученное соединение имеет те же цветовые характеристики, что и его аналог – Pigment Red 2, не изменяет цвет при длительном хранении, устойчиво к влаге, растворам кислот, щелочей и органическим растворителям.
Пример 4
Получение соединения, имеющего формулу

Приготовление нитрозилсерной кислоты и диазотирование 0,49 г (0,0025 моль) 2-амино-4,6-динитротолуола проводят по методике, описанной в примере 1. Суспензию Азотола А готовят по методике, указанной в примере 3, но берут 0,68 г (0,00263 моль) Азотола А.
К полученной суспензии Азотола А в течение 30 мин при 0°С приливают диазораствор, следя за тем, чтобы диазосоединение все время было в избытке (проба на вытек с R-солью). К концу реакции не должно быть большого избытка диазосоединения; если такой избыток будет, то добавляют свежеприготовленную суспензию Азотола А.
По окончании прибавления диазосоединения размешивание продолжают еще час. Выпавший осадок отфильтровывают, промывают водой до слабокислой реакции на лакмус и сушат при комнатной температуре.
Получено 1,05 г (90% от теоретического) соединения ярко-красного цвета.
Rf1=0.56, Rf2=0,26 (элюент №2).
Очистку проводят, как в примере 3.
Получено 0,98 г (83% от теоретического) соединения с Rf=0.62 (элюент №2) Т.пл=318-322°С.
УФ-спектр (в абс.хлороформе); max, нм (lg ); 280,6 (3,88); 401,7 (4,12); 490,3 (4,30); 509,9 (4,10).
ИК (KBr), , см-1: 1560, 1360 (NO2); 1624 (-N=N-);1696 (C=O в группе -CONH-);
Фильтрат упаривают на водяной бане. Получают 0,02 г соединения с Rf=0.26, что соответствует Азотолу А.
Элементный анализ для брутто-формулы С24Н17N5O6:
Вычислено, %:(Н) 3.64; (С) 61.14; (N)14.86
Найдено, %: (Н) 3.60; (С) 61.11; (N) 14.43
Полученное соединение имеет те же цветовые характристики, что и его аналог – Pigment Red 2, не изменяет цвет при длительном хранении, устойчиво к влаге, растворам кислот, щелочей и органическим растворителям.
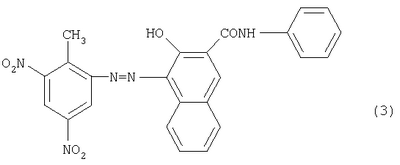
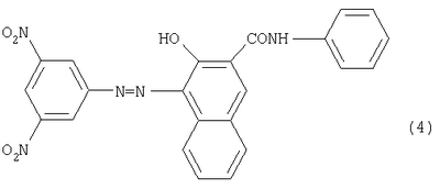
В таблицах представлены сравнительные характеристики структур и температур плавления заявленных и известных красителей.

Из данных, приведенных в таблице 1, видно, что структурное отличие синтезированных соединений от аналогов, заключающееся в м-положении 2-х заместителей (-NO2) относительно азогруппы (-N=N-), действительно приводит к увеличению температуры плавления (Тпл.), т.е. введение в молекулу заявляемого соединения второй нитрогруппы именно в м-положении увеличивает (Тпл.).
Аналогичная зависимость прослеживается, если в качестве азосотавляющей использованы азотолы (в частности, Азотол А). Соответствующие данные приведены в таблице 2.
| Таблица 2 |
| № |
Заявляемые соединения |
Аналоги соединений с использованием азосоставляющей Азотола А |
| 3 |
 |
Pigment Red 2 C.I. 12310 Тпл=310-311°С  |
| 4 |
 |
Основное требование, которое предъявляется к красителям для полимерных композиций, – это потеря массы не более 2% при температурах переработки термопластичных волокнообразующих полимеров – 220-250°С (Кулезнев В.Н., Гусев В.К., Основы технологии переработки пластмасс, М.: Химия, 2004., с.344, Калинчев Э.Л., Саковцева М.Б., Свойства и переработка термопластов, Л.: Химия, 1983, с.288).
В таблицах 3 и 4 представлены данные термогравиметрического анализа синтезированных и известных красителей соответственно.


Из данных, представленных в таблицах 3 и 4, видно, что синтезированные соединения имеют более высокую термостабильность по сравнению с аналогами и пригодны для крашения любых синтетических волокон в массе. Устойчивость окраски данными красителями превосходит устойчивость окраски известными аналогичными красителями при значительном уменьшении стоимости полученных красителей.
Формула изобретения
1. Азокрасители для синтетических волокон общей формулы:

где R выбран из Н или СН3,
R1 и R2 являются одинаковыми и представляют собой NO2;
где Ar -нафтол, имеющий формулу 
или Азотол А, имеющий формулу 
2. Азокрасители по п.1, отличающиеся тем, что они имеют формулу (1):

3. Азокрасители по п.1, отличающиеся тем, что они имеют формулу (2):

4. Азокрасители по п.1, отличающиеся тем, что они имеют формулу (3):

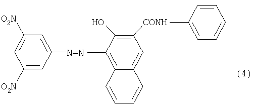
5. Азокрасители по п.1, отличающиеся тем, что они имеют формулу (4):

|
|