|
|
(21), (22) Заявка: 2003115430/04, 06.11.2001
(24) Дата начала отсчета срока действия патента:
06.11.2001
(30) Конвенционный приоритет:
13.11.2000 EP 00811066.0
(43) Дата публикации заявки: 10.12.2004
(45) Опубликовано: 10.04.2006
(56) Список документов, цитированных в отчете о поиске:
WO 9624620 А, 15.08.1996. SU 1235872 А, 07.06.1986.
(85) Дата перевода заявки PCT на национальную фазу:
16.06.2003
(86) Заявка PCT:
EP 01/12820 (06.11.2001)
(87) Публикация PCT:
WO 02/38632 (16.05.2002)
Адрес для переписки:
101000, Москва, М.Златоустинский пер., 10, кв.15, ЕВРОМАРКПАТ, пат.пов. И.А.Веселицкой, рег. № 11
|
(72) Автор(ы):
ПФЭНДНЕР Рудольф (DE), ВАННЕМАХЕР Томас (DE), БРАУН Дитрих (DE)
(73) Патентообладатель(и):
ЦИБА СПЕШИАЛТИ КЕМИКЭЛЗ ХОЛДИНГ ИНК. (CH)
|
(54) СПОСОБ (СО)ПОЛИМЕРИЗАЦИИ ВИНИЛХЛОРИДА В ПРИСУТСТВИИ СТАБИЛЬНО СВОБОДНОГО НИТРОКСИЛЬНОГО РАДИКАЛА
(57) Реферат:
Изобретение относится к способу регулируемой свободнорадикальной полимеризации или сополимеризации винилхлорида при температуре в пределах 40 и 95°С и под давлением в пределах 5 и 30 бар в присутствии стабильного свободного нитроксильного радикала, применению стабильных свободных нитроксильных радикалов в качестве регуляторов свободнорадикальной полимеризации винилхлорида и поливинилхлоридному макроинициатору, содержащему связанную посредством кислородного атома термически неустойчивую нитроксильную группу, причем при термическом воздействии этот макроинициатор способен расщепляться на поливинилхлоридный радикал и нитроксильный радикал. Присутствие нитроксильного радикала при относительно высоких температурах при полимеризации винилхлорида позволяет получать высокомолекулярные полимеры с низкой полидисперсностью. 3 н. и 16 з.п. ф-лы, 6 табл.
Настоящее изобретение относится к полимеризации или сополимеризации винилхлорида в присутствии стабильного свободного нитроксильного радикала. Более того, объектами по изобретению являются применение стабильных свободных нитроксильных радикалов в качестве регуляторов полимеризации для свободнорадикальной полимеризации винилхлорида и поливинилхлоридный макроинициатор, содержащий термически неустойчивую связанную нитроксильную группу, при термической обработке способную отщепляться с образованием нитроксильного радикала и полимерного/олигомерного радикала.
Среди всех выпускаемых полимеров поливинилхлорид (ПВХ) занимает уникальное положение. Он является довольно недорогим материалом, диапазон применения которого настолько широк, что его универсальность почти безгранична. В зависимости от его молекулярной массы, добавок и стабилизаторов диапазон его применения охватывает изготовление изделий от жестких труб и профилей до очень мягких прозрачных и гибких пленок.
ПВХ может быть получен из винилхлоридного мономера (ВХМ) по трем разным методам. Самым широко распространенным является полимеризация суспензионного типа, на долю которой, по оценкам, приходится приблизительно 75%. Капельки жидкого винилхлорида в реакторе с мешалкой с использованием защитного коллоида диспергируют в воде. Благодаря применению маслорастворимого инициатора внутри капелек происходит полимеризация. Продукт находится в форме пористых гранул диаметром от 100 до 150 мкм. Другим методом является эмульсионный путь, в котором мономер диспергируют в воде с помощью перемешивания и высокоэффективных поверхностно-активных веществ, причем полимеризацию проводят в водной фазе с использованием водорастворимого инициатора. Продукт полимеризации находится в форме водной латексной дисперсии частиц ПВХ диаметром от 0,1 до 2,0 мкм. Их сушат распылением с получением более крупных агломератов, которые измельчают с последующим диспергированием в растворителях и пластификаторах и получением пластизолей, используемых в самых разнообразных целях применения намазыванием и окунанием. Третьим путем является полимеризация в блоке или массе. Как следует из самого названия, полимеризацию проводят в винилхлориде (ВХМ) в отсутствии воды. Обзор, посвященный получению ПВХ, содержится, например, в Encyclopedia of Polymer Science and Engineering, издание второе, том 17, с.295-376.
Регулируемая радикальная полимеризация этиленово-ненасыщенных мономеров в присутствии нитроксильного радикала в принципе известна и, например, описана в патенте US 5322912, выданном на имя Georges и др. 21 июня 1994 г. В патенте US 5322912 описан способ полимеризации с использованием инициатора свободнорадикальной полимеризации, способного к полимеризации мономерного соединения, и стабильного свободнорадикального агента базового строения R’R”N-O для синтеза гомополимеров и блок-сополимеров, например стирола. В литературе, посвященной данной области техники, до сих пор не описан способ полимеризации или сополимеризации винилхлорида в присутствии нитроксильных радикалов.
Поскольку полимеризация ПВХ по существу основана на реакции передачи хлорных радикалов, следует, по-видимому, ожидать, что использование нитроксильных радикалов приведет к уменьшению молекулярной массы, поскольку они теоретически способны взаимодействовать с хлорными радикалами. Нитроксильные радикалы были предложены, в частности, в качестве ингибиторов для применения в полимеризации виниловых мономеров, таких как стирол.
Было установлено, что стабильные свободные нитроксильные радикалы на полимеризацию винилхлорида отрицательного влияния не оказывают. Напротив, в присутствии стабильного свободного нитроксильного радикала при относительно высоких полимеризационных температурах молекулярная масса остается высокой, позволяя тем самым получать высокомолекулярные полимеры при высоких полимеризационных температурах. Это находится в противоречии с классической теорией полимеризации ПВХ, согласно которой повышение температуры приводит к уменьшению молекулярной массы. С другой стороны, полидисперсность (ПД) ПВХ уменьшается, указывая на регулирование реакции полимеризации под влиянием нитроксильных радикалов. Уменьшенная полидисперсность необходима, поскольку полимер содержит меньше низкомолекулярных фракций, что может оказаться преимуществом, например, в том, что касается механических свойств полимера. Нитроксильные радикалы присоединяются к главной цепи ПВХ, создавая тем самым возможность для последующей дальнейшей радикальной полимеризации под воздействием тепла, начиная с главной цепи ПВХ, за счет расщепления на макрорадикал и нитроксильный радикал. Это явление называют также повторным инициированием. В главной цепи ПВХ можно видеть макроинициатор, на котором может полимеризоваться второй блок. Это открывает совершенно новые благоприятные возможности для получения блок-сополимеров с ПВХ в качестве одного блока.
Одним объектом изобретения является способ регулирования свободнорадикальной полимеризации или сополимеризации винилхлорида при температуре в пределах 40 и 95°С и под давлением в пределах 5 и 30 бар в присутствии стабильного свободного нитроксильного радикала.
В предпочтительном варианте полимеризацию или сополимеризацию проводят в суспензии.
Процесс суспензионной полимеризации представляет собой по существу процесс блок-сополимеризации, проводимый в миллионах небольших “реакторов” (капелек). Жидкий винилхлорид под самопроизвольно создающимся давлением паров диспергируют в воде интенсивным перемешиванием в реакторе (автоклаве). Это приводит к образованию капелек, например, среднего размера в пределах от 30 до 40 мкм, которые стабилизируют против коалесценции одним или несколькими защитными коллоидами (гранулирующие агенты). Другой существенный компонент представляет собой растворимый в мономере инициатор свободнорадикальной полимеризации. Как правило, такая базовая композиция, называемая также составом, может включать 100 част. винилхлорида, от 90 до 130 част. воды, от 0,05 до 0,15 част. защитного коллоида и от 0,03 до 0,08 част. инициатора свободнорадикальной полимеризации. Для достижения оптимальной морфологии необходимо использовать другие добавки, такие как кислород, буферы, вторичные или третичные гранулирующие агенты, регуляторы степени полимеризации или удлинители цепей, сомономеры и антиоксиданты.
Типичными защитными коллоидами являются производные простых эфиров целлюлозы, частично гидролизованные поливинилацетаты или поливиниловые спирты. Примерами простых эфиров целлюлозы служат гидроксипропилметилцеллюлоза, гидроксиэтилцеллюлоза, гидроксипропилцеллюлоза и метилцеллюлоза.
Типичные инициаторы свободнорадикальной полимеризации представляют собой диацилпероксиды, такие как дилауроилпероксид, пероксодикарбонаты, такие как дициклогексилпероксодикарбонат и дицетилпероксодикарбонат, сложные алкилпероксиэфиры, такие как трет-бутилпероксипивалат и -куменилпернеодеканоат, и азоинициаторы, такие как азобисизобутиронитрил. Целесообразно выбирать инициатор с периодом полураспада при температуре полимеризации от 1 до 10 ч, предпочтительно от 2 до 5 ч.
Хотя стабильные свободные азотсодержащие радикалы можно добавлять не только в начале реакции, но также и на более поздней стадии, когда уже достигнута определенная степень полимеризации, в предпочтительном варианте их добавляют до образования 10% полимера, а в более предпочтительном варианте добавляют непосредственно в состав в начале полимеризации.
Предпочтителен способ, в котором инициатор свободнорадикальной полимеризации содержится в количестве от 0,001 до 5 мольных %, более предпочтительно от 0,005 до 1 мольного % в пересчете на мономер.
Как правило, количество стабильных свободных нитроксильных радикалов составляет от 0,001 до 1 мольного % в пересчете на мономер.
В предпочтительном варианте молярное соотношение между инициатором свободнорадикальной полимеризации и стабильным свободным нитроксильным радикалом составляет от 100:1 до 1:10, более предпочтительно от 10:1 до 1:2.
В исходный состав можно также добавлять нитроксильный эфир R’R”N-O-X, где Х обозначает группу, включающую по меньшей мере один углеродный атом и являющуюся такой, из которой в создаваемых реакционных условиях образуется свободный радикал X , дериватизированный из X. Образование дополнительного свободного радикала X в случае винилхлорида может усилить радикальную полимеризацию, инициированную инициатором свободнорадикальной полимеризации, тогда как его дополняющий фрагмент, нитроксильный радикал, может выполнять функции регулирующего агента. Нитроксильные эфиры общей формулы R’R”N-O-X и их применение в качестве инициирующих и регулирующих полимеризацию агентов впервые описаны в патенте US 4581429, выданном на имя Solomon.
Таким образом, процесс, в котором стабильный свободный нитроксильный радикал образуется in situ во время реакции полимеризации из соответствующего нитроксильного эфира, является также предпочтительным вариантом выполнения настоящего изобретения.
Предпочтительная полидисперсность поливинилхлорида составляет от 1,1 до 2,5, более предпочтительно от 1,1 до 2,0.
В последние годы было предпринято множество попыток найти новые универсальные стабильные свободные нитроксильные радикалы или нитроксильные эфиры, которые повышают, например, скорость превращения, однако сохраняют преимущества регулируемой полимеризации, в частности низкую полидисперсность и способность образовывать блок-сополимеры. Модификацией химического строения нитроксильного радикала или нитроксильного эфира были достигнуты многие улучшения. Все полученные при этом в данной области техники соединения в принципе приемлемы для регулируемой полимеризации винилхлорида.
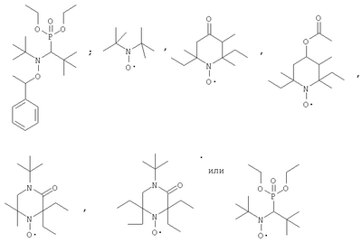
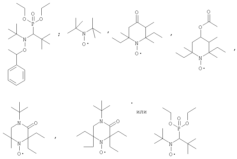
В WO 98/13392, например, описаны ациклические алкоксиаминовые соединения, которые характеризуются симметрической картиной замещения и которые дериватизируют из нитрозосоединений.
В WO 96/24620 описан способ полимеризации, в котором используют очень специфические стабильные свободнорадикальные агенты, такие как, например,

В WO 98/30601 описаны особые нитроксилы на основе имидазолидинонов.
В WO 98/44008 описаны специфические нитроксилы на основе морфолинонов, пиперазинонов и пиперазиндионов.
Другие приемлемые нитроксильные эфиры и нитроксильные радикалы в принципе известны из US 4581429 или ЕР-А 621878. Особенно эффективны ациклические соединения, которые описаны в WO 99/03894 и WO 00/07981, пиперидиновые производные, описанные в WO 99/67298 и GB 2335190, и гетероциклические соединения, описанные в GB 2342649 и WO 96/24620.
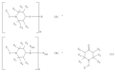
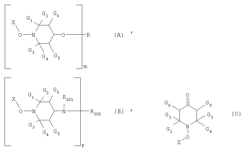
Особенно эффективны стабильные свободные нитроксильные радикалы формулы А’, В’ или О’

в которых
m обозначает 1,
R обозначает водородный атом, С1-С18алкил, который не прерывается или прерывается одним или несколькими атомами кислорода, цианоэтил, бензоил, глицидил, одновалентный радикал алифатической карбоновой кислоты, содержащей от 2 до 18 углеродных атомов, циклоалифатической карбоновой кислоты, содержащей от 7 до 15 углеродных атомов, или , -ненасыщенной карбоновой кислоты, содержащей от 3 до 5 углеродных атомов, или ароматической карбоновой кислоты, содержащей от 7 до 15 углеродных атомов; р обозначает 1;
R101 обозначает С1-С12алкил, С5-С7циклоалкил, С7-С8аралкил, С2-С18алканоил, С3-С5алкеноил или бензоил;
R102 обозначает С1-С18алкил, С5-С7циклоалкил, С3-С8алкенил, не замещенный или замещенный циано-, карбонильной или карбамидной группой, или обозначает глицидил, группу формулы -CH2CH(OH)-Z или формулы -CO-Z или -CONH-Z, в которых Z обозначает водородный атом, метил или фенил;
G6 обозначает водородный атом, G5 обозначает водородный атом или C1-С4алкил, а
G1 и G3 каждый обозначает метил, а каждый из G2 и G4 обозначает этил или пропил или каждый из G1 и G2 обозначает метил, а каждый из G3 и G4 обозначает этил или пропил.
В предпочтительном варианте в формулах А’, В’ и О’ R обозначает водородный атом, С1-С18алкил, цианоэтил, бензоил, глицидил или одновалентный радикал алифатической карбоновой кислоты;
R1 обозначает С1-С12алкил, С7-С8аралкил, С2-С18алканоил, С3-С5алкеноил или бензоил;
R2 обозначает С1-С18алкил, глицидил, группу формулы -CH2CH(OH)-Z или формулы -CO-Z, в которых Z обозначает водородный атом, метил или фенил.
Вышеприведенные соединения и их получение описаны в GB 2335190.
Другой предпочтительный ряд нитроксильных радикалов составляют те, которые отвечают формуле (Ic’), (Id’), (Ie’), (If), (Ig’) или (Ih’)

в которых каждый из R1, R2, R3 и R4 независимо друг от друга обозначает C1-С18алкил, С3-С18алкенил, С3-С18алкинил, С1-С18алкил, С3-С18алкенил, С3-С18алкинил, которые замещены ОН, атомом галогена или группой -О-С(О)-R5, С2-С18алкил, который прерывается по меньшей мере одним атомом О и/или группой NR5, С3-С12циклоалкил или С6-С10арил или R1 и R2 и/или R3 и R4 совместно с соединительным углеродным атомом образуют С3-С12циклоалкильный радикал;
R5, R6 и R7 каждый независимо обозначает водородный атом, С1-С18алкил или С6-С10арил;
R8 обозначает водородный атом, ОН, С1-С18алкил, С3-С18алкенил, С3-С18алкинил, С1-С18алкил, С3-С18алкенил, С3-С18алкинил, которые замещены одним или несколькими ОН, атомом галогена или группой -O-C(O)-R5, С2-С18алкил, который прерывается по меньшей мере одним атомом О и/или группой NR5, С3-С12циклоалкил или С6-С10арил, С7-С9фенилалкил, C5-С10гетероарил, -С(O)-С1-С18алкил, -O-С1-С18алкил или -СООС1-С18алкил; а
R9, R10, R11 и R12 каждый независимо обозначает водородный атом, фенил или С1-С18алкил.
В предпочтительном варианте в формулах (Ic’), (Id’), (Ie’), (If’), (Ig’) и (Ih’) по меньшей мере два из R1, R2, R3 и R4 обозначают этилы, пропилы или бутилы, а остальные обозначают метилы;
или R1 и R2 или R3 и R4 совместно с соединительным углеродным атомом образуют
С5-С6циклоалкильный радикал, а один из оставшихся заместителей представляет собой этил, пропил или бутил.
Вышеприведенные соединения и их получение описаны в GB 2342649.
Тем не менее, другой предпочтительный ряд соединений составляют те, у которых стабильный свободный нитроксильный радикал содержит водородный атом, связанный с углеродным атомом в -положении относительно атома азота. Примеры и их получение представлены в WO 00/53640.
Когда используют нитроксильные эфиры, предпочтительны те, из которых после отщепления образуются вышеупомянутые нитроксильные радикалы.
Особенно предпочтителен нитроксильный эфир формулы А, В или О

в которых
m обозначает 1,
R обозначает водородный атом, С1-С18алкил, который не прерывается или прерывается одним или несколькими атомами кислорода, цианоэтил, бензоил, глицидил, одновалентный радикал алифатической карбоновой кислоты, содержащей от 2 до 18 углеродных атомов, циклоалифатической карбоновой кислоты, содержащей от 7 до 15 углеродных атомов, , -ненасыщенной карбоновой кислоты, содержащей от 3 до 5 углеродных атомов, или ароматической карбоновой кислоты, содержащей от 7 до 15 углеродных атомов;
р обозначает 1;
R101 обозначает С1-С12алкил, С5-С7циклоалкил, С7-С8аралкил, С2-С18алканоил, С3-С5алкеноил или бензоил;
R102 обозначает C1-C18алкил, С5-С7циклоалкил, С2-С8алкенил, не замещенный или замещенный циано-, карбонильной или карбамидной группой, или обозначает глицидил, группу формулы -СН2СН(ОН)-Z или формулы -CO-Z или -CONH-Z, в которых Z обозначает водородный атом, метил или фенил;
G6 обозначает водородный атом, a G5 обозначает водородный атом или C1-С4алкил,
G1 и G3 каждый обозначает метил, а каждый из G2 и G4 обозначает этил или пропил или каждый из G1 и G2 обозначает метил, а каждый из G3 и G4 обозначает этил или пропил; а
Х имеет значения, выбранные из ряда, включающего -СН2-фенил, СН3СН-фенил,
(СН3)2С-фенил, (С5-С6циклоалкил)2CCN, (СН3)2ССН, -СН2СН=СН2, СН3СН-СН=СН2, (С1-С4алкил)CR20-С(O)фенил, (С1-С4)алкил-CR20-С(O)-(С1-С4)алкокси, (С1-С4)алкил-CR20-С(O)-(С1-С4)алкил, (С1-С4)алкил-CR20-С(O)-N-ди(С1-С4)алкил, (С1-С4)алкил-CR20-С(O)-NH(С1-С4)алкил, (C1-С4)алкил-CR20-С(O)-NH2, у которых
R20 обозначает водородный атом или (С1-С4)алкил.
Более предпочтительны соединения, у которых в формулах А, В и О R обозначает водородный атом, С1-С18алкил, цианоэтил, бензоил, глицидил, одновалентный радикал алифатической карбоновой кислоты;
R101 обозначает С1-С12алкил, С7-С8аралкил, С2-С18алканоил, С3-С5алкеноил или бензоил;
R102 обозначает С1-С18алкил, глицидил, группу формулы -CH2CH(OH)-Z или формулы -CO-Z, в которых Z обозначает водородный атом, метил или фенил; а
Х обозначает СН3СН-фенил.
Эти соединения и их получение описаны в GB 2335190.
Равным образом предпочтителен способ, при осуществлении которого нитроксильный эфир, из которого образуется стабильный свободный нитроксильный радикал, отвечает формуле (Ic), (Id), (Ie), (If), (Ig) или (Ih)

в которых
R1, R2, R3 и R4 каждый независимо друг от друга обозначает С1-С18алкил, С3-С18алкенил, С3-С18алкинил, C1-C18алкил, С3-С18алкенил, С3-С18алкинил, которые замещены ОН, атомом галогена или группой -O-C(O)-R5, С2-С18алкил, который прерывается по меньшей мере одним атомом О и/или группой NR5, С3-С12циклоалкил или С6-С10арил или R1 и R2 и/или R3 и R4 совместно с соединительным углеродным атомом образуют С3-С12циклоалкильный радикал;
R5, R6 и R7 каждый независимо обозначает водородный атом, С1-С18алкил или С6-С10арил;
R8 обозначает водородный атом, ОН, С1-С18алкил, С3-С18алкенил, С3-С18алкинил, С1-С18алкил, С3-С18алкенил, С3-С18алкинил, которые замещены одним или несколькими ОН, атомом галогена или группой -O-С(O)-R5, C2-С18алкил, который прерывается по меньшей мере одним атомом О и/или группой NR5, С3-С12циклоалкил или С6-С10арил, С7-С9фенилалкил, C5-С10гетероарил, -С(O)-С1-С18алкил, -O-С1-С18алкил или -СО-ОС1-С18алкил;
R9, R10, R11 и R12 каждый независимо обозначает водородный атом, фенил или С1-С18алкил; а
Х имеет значения, выбранные из группы, включающей -СН2-фенил, СН3СН-фенил, (СН3)2С-фенил, (С5-С6циклоалкил)2ССН, (CH3)2CCN, -CH2CH=CH2, СН3СН-СН=СН2, (С1-С4алкил)CR20-С(O)фенил, (С1-С4)алкил-CR20-С(O)-(C1-С4)алкокси, (C1-С4)алкил-CR20-С(O)-(С1-С4)алкил, (C1-С4)алкил-CR20-С(O)-N-ди(С1-С4)алкил, (С1-С4)алкил-CR20-С(O)-NH(С1-С4)алкил, (C1-С4)алкил-CR20-С(O)-NH2, у которых
R20 обозначает водородный атом или (С1-С4)алкил.
Наиболее предпочтительны соединения, у которых в формулах (Ic), (Id), (Ie), (If), (Ig) и (Ih) по меньшей мере два из R1, R2, R3 и R4 обозначают этилы, пропилы или бутилы, а остальные обозначают метилы; или
R1 и R2 или R3 и R4 совместно с соединительным углеродным атомом образуют С5-С6циклоалкильный радикал, а один из оставшихся заместителей представляет собой этил, пропил или бутил.
Алкильные радикалы в различных заместителях могут быть линейными или разветвленными. Примерами алкила, содержащего от 1 до 18 углеродных атомов, являются метил, этил, пропил, изопропил, бутил, 2-бутил, изобутил, трет-бутил, пентил, 2-пентил, гексил, гептил, октил, 2-этилгексил, трет-октил, нонил, децил, ундецил, додецил, тридецил, тетрадецил, гексадецил и октадецил.
Алкенил, содержащий от 3 до 18 углеродных атомов, представляет собой линейный или разветвленный радикал, как, например, пропенил, 2-бутенил, 3-бутенил, изобутенил, н-2,4-пентадиенил, 3-метил-2-бутенил, н-2-октенил, н-2-додеценил, изододеценил, олеил, н-2-октадеценил или н-4-октадеценил.
Предпочтителен алкенил, содержащий от 3 до 12, особенно предпочтительно от 3 до 6, углеродных атомов.
Алкинил, содержащий от 3 до 18 углеродных атомов, представляет собой линейный или разветвленный радикал, как, например, пропинил (-СН2-С СН), 2-бутинил, 3-бутинил, н-2-октинил или н-2-октадецинил. Предпочтителен алкинил, содержащий от 3 до 12, особенно предпочтительно от 3 до 6, углеродных атомов.
Примерами гидроксизамещенного алкила являются гидроксипропил, гидроксибутил и гидроксигексил.
Примерами галоидзамещенного алкила являются дихлорпропил, монобромбутил и трихлоргексил.
С2-С18алкил, прерываемый по меньшей мере одним атомом О, представляет собой, например, -СН2-СН2-O-СН2-СН3, -СН2-СН2-O-СН3 или -СН2-СН2-O-СН2-СН2-СН2-O-СН2-СН3. В предпочтительном варианте его дериватизируют из полиэтиленгликоля. Общая формула имеет следующий вид: -((СН2)а-O)b-Н/СН3, где а обозначает число от 1 до 6, a b обозначает число от 2 до 10.
С2-С18алкил, прерываемый по меньшей мере одной группой NR5, может быть представлен общей формулой -((CH2)a-NR5)b-H/CH3, в которой а, b и R5 имеют указанные выше значения.
С3-С12циклоалкил, как правило, представляет собой циклопропил, циклопентил, метилциклопентил, диметилциклопентил, циклогексил, метилциклогексил или триметилциклогексил.
С6-С10арил представляет собой, например, фенил или нафтил, но также может представлять собой С1-С4алкилзамещенный фенил, C1-С4алкоксизамещенный фенил, гидрокси-, гало- или нитрозамещенный фенил. Примерами алкилзамещенного фенила являются этилбензол, толуол, ксилол и его изомеры, мезитилен и изопропилбензол. Галоидзамещенный фенил представляет собой, например, дихлорбензол или бромтолуол.
Алкоксизаместителями, как правило, являются метокси, этокси, пропокси, бутокси и их соответствующие изомеры.
С7-С9фенилалкил представляет собой бензил, фенилэтил или фенилпропил.
С5-С10гетероарил представляет собой, например, пиррол, пиразол, имидазол, 2,4-диметилпиррол, 1-метилпиррол, тиофен, фуран, фурфураль, индол, кумарон, оксазол, тиазол, изоксазол, изотиазол, триазол, пиридин, -пиколин, пиридазин, пиразин или пиримидин.
Если R обозначает одновалентный радикал карбоновой кислоты, он представляет собой, например, ацетильный, пропионильный, бутирильный, валероильный, капроильный, стеароильный, лауроильный, акрилоильный, метакрилоильный, бензоильный, циннамоильный или -(3,5-дитрет-бутил-4-гидроксифенил)пропионильный радикал.
С1-С18алканоил представляет собой, например, формил, пропионил, бутирил, октаноил, додеканоил, но предпочтительно ацетил, а С3-С5алкеноил представляет собой, в частности, акрилоил.
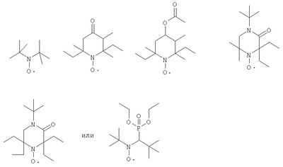
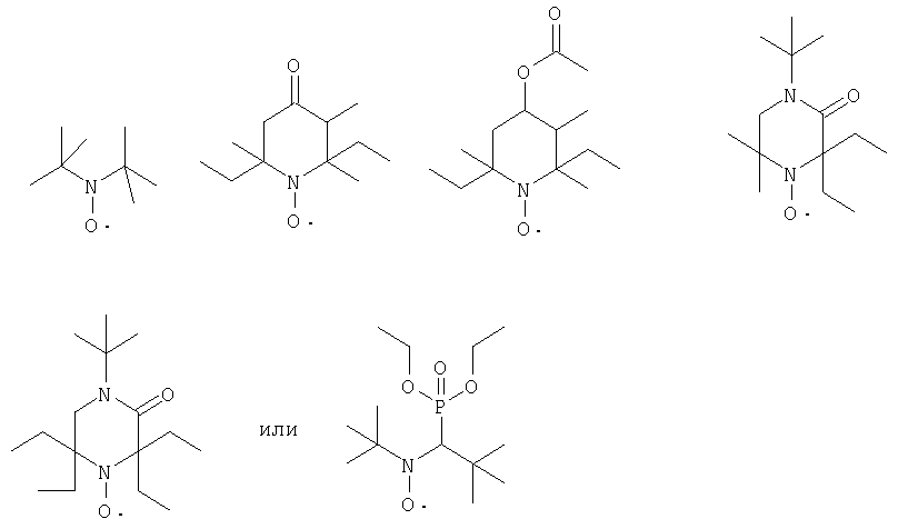
Особенно приемлемыми нитроксильными эфирами и нитроксильными радикалами являются радикалы формул


Предлагаемый способ особенно эффективен при получении блок-сополимеров, где на первой стадии полимеризуют винилхлорид, а на второй стадии к поливинилхлориду добавляют другой этиленово-ненасыщенный мономер и их блок сополимеризуют с получением блока А-В. Этот технический прием можно повторять два, три или более раз и получить мультиблочную структуру.
Когда получают сополимеры, они могут обладать статистической сополимерной структурой, конусообразной структурой или мультиблочной сополимерной структурой, такой как А-В-А, В-А-В или А-В-С. При этом С может обозначать любой мономер, приемлемый для радикальной полимеризации. Длину блоков можно варьировать в широком интервале. Этого может быть достаточно для влияния на свойства полимера, такие как совместимость и адгезия, если второй блок включает, например, от одного до незначительного количества мономерных звеньев. Для модификации других свойств, таких как температура стеклования и механические свойства, предпочтительна длина блока в более чем 5 звеньев.
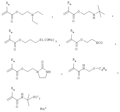
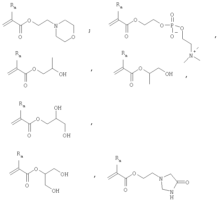
В предпочтительном варианте другой этиленово-ненасыщенный мономер выбирают из группы, включающей этилен, пропилен, н-бутилен, изобутилен, стирол, замещенный стирол, винилпиридин, сопряженные диены, акролеин, винилацетат, винилпирролидон, винилимидазол, малеиновый ангидрид, малеинимид, который может быть незамещенным при азотном атоме или замещенным алкилом или арилом, (алкил)акриловые ангидриды карбоновых кислот, соли (алкил)акриловых кислот, сложные эфиры (алкил)акриловых кислот, (алкил)акрилонитрилы и (алкил)акриламиды.
Например, этиленово-ненасыщенный мономер представляет собой соединение формулы CH2=C(Ra)-(C=Z)-Rb, в которой Ra обозначает водородный атом или С1-С4алкил, Rb обозначает NH2, О– (Me+), глицидил, незамещенный C1-С18алкокси, С2-С100алкокси, прерываемый по меньшей мере одним атомом N и/или O, или гидроксизамещенный С1-С18алкокси, незамещенная C1-С18алкиламино-, ди(С1-С18алкил)амино-, гидроксизамещенная C1-С18алкиламино- или гидроксизамещенная ди(С1-С18алкил)аминогруппа, -O-CH2-CH2-N(CH3)2 или -O-CH2-CH2-N+H(CH3)2An–;
An– представляет собой анион одновалентной органической или неорганической кислоты;
Me обозначает атом одновалентного металла или аммониевый ион;
Z обозначает атом кислорода или серы.
Примеры кислот, из которых дериватизируют анион An–, включают C1-С12карбоновые кислоты, органические сульфоновые кислоты, такие как CF3SO3Н или СН3SO3Н, минеральные кислоты, такие как HCl, HBr и HI, кислородсодержащие кислоты, такие как HClO4, и комплексные кислоты, такие как HPF6 и HBF4.
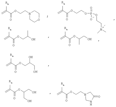
Примеры Rb как С2-С100алкоксирадикала, прерываемого по меньшей мере одним атомом O, соответствуют формуле , в которой Rc обозначает С1-С25алкил, фенил или фенил, замещенный С1-С18алкилом, Rd обозначает водородный атом или метил, a v обозначает число от 1 до 50. Эти мономеры дериватизируют, например, из неионогенных поверхностно-активных веществ акрилированием соответствующих оксиалкилированных спиртов или фенолов. Повторяющиеся звенья могут быть дериватизированы из этиленоксида, пропиленоксида или смесей их обоих.
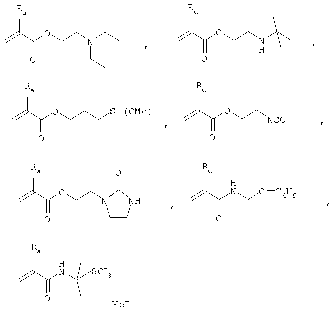
Ниже приведены дополнительные примеры приемлемых акрилатных или метакрилатных мономеров.

в которых An– и Ra имеют такие же значения, как указанные выше, a Re обозначает метил или бензил. Предпочтительным значением An– является Cl–, Br– или –O3S-СН3.
Дополнительными акрилатными мономерами являются


Примерами приемлемых мономеров, отличных от акрилатов, являются


где R обозначает Н, С1-С12алкил или фенил.
Предпочтительным значением Ra является водородный атом или метил, Rb обозначает NH2, глицидил, незамещенный или гидроксизамещенный C1-С4алкокси, незамещенная С1-С4алкиламино-, ди(С1-С4алкил)амино-, гидроксизамещенная С1-С4алкиламино- или гидроксизамещенная ди(С1-С4алкил)аминогруппа; а
Z обозначает атом кислорода.
Наиболее предпочтительный этиленово-ненасыщенный мономер представляет собой акриловый эфир, акриламид, акрилонитрил, метакриловый эфир, метакриламид, метакрилонитрил, бутадиен, изопрен или малеинимид.
Блок-сополимер может быть получен вначале выделением поливинилхлорида и последующей, если необходимо, очисткой. Затем в реакторе поливинилхлорид растворяют или диспергируют в приемлемом растворителе или в мономере. Если мономер еще не содержится, его добавляют и смесь перемешивают с нагреванием. В зависимости от используемых нитроксильного радикала и мономера для инициирования полимеризации второго блока может оказаться необходимой температура от 90 до 160°С. В предпочтительном варианте температура составляет от 90 до 150°С. Возможны также другие методы полимеризации, такие как эмульсионный, суспензионный или микроэмульсионный.
Для того чтобы избежать деструкции ПВХ, в особенности при повышенных реакционных температурах, эффективным может оказаться осуществление второй стадии полимеризации в присутствии стабилизатора для ПВХ. Такими стабилизаторами являются, например, Са, Zn, Ba или Cd соли карбоновых кислот. Предпочтительные стабилизаторы для ПВХ не препятствуют процессу радикальной полимеризации. Подходящие стабилизаторы представляют собой, например, смешанные металлсодержащие стабилизаторы, в частности, на основе Са и Zn. Приемлемые стабилизаторы описаны в “Plastic Additives Handbook, издание 5-е, 2000, c.427-465”.
Во многих случаях выделение и очистка поливинилхлорида не являются необходимыми и второй мономер можно добавлять непосредственно в реактор, в котором предварительно полимеризовали винилхлорид, после удаления избытка винилхлорида.
Возможность повторного инициирования полимеризации является уникальной особенностью так называемой “живой” полимеризации.
Следовательно, другим объектом изобретения является поливинилхлоридный макроинициатор, содержащий связанную посредством кислородного атома термически неустойчивую нитроксильную группу, причем при термическом воздействии этот макроинициатор способен расщепляться на поливинилхлоридный радикал и нитроксильный радикал.
Тем не менее, еще одним объектом изобретения является применение стабильного свободного нитроксильного радикала для регулирования свободнорадикальной полимеризации или сополимеризации винилхлорида при температуре в пределах 40 и 95°С под давлением в пределах 5 и 30 бар.
При необходимости в поливинилхлорид (ПВХ), полученный по предлагаемому способу, можно добавлять стабилизаторы против действия света и тепла и другие добавки. Их можно смешивать с ПВХ с помощью оборудования, которое известно, такого как каландры, смесители, установки для совмещения, экструдеры и т.п.
Поливинилхлорид, полученный в соответствии с настоящим изобретением, можно перерабатывать с приданием целевой формы известным путем. Методами этого типа являются, например, измельчение, каландрирование, экструзия, литье под давлением, спекание или прядение, а также экструзия с выдувным формованием или превращение по пластизольному методу. Его можно также превращать в пенопласты.
Поливинилхлорид, полученный в соответствии с изобретением, особенно приемлем для приготовления полужестких и гибких композиций, в частности в форме гибких композиций для оболочек проводов и изоляции кабелей, которые являются особенно предпочтительными. В форме полужестких композиций он особенно приемлем для изготовления декоративных пленок, пенопластов, листовых материалов сельскохозяйственного назначения, труб, уплотнительных профильных материалов и пленочных изделий для офисов.
В форме жестких композиций он особенно приемлем для изготовления полых изделий (бутылок), упаковочных пленок (пленок, полученных формованием листовых термопластов), пленок, полученных экструзией с раздувкой, пленок для подушек безопасности (автомобили), труб, пенопластов, массивных профилей (оконные рамы), тонкостенных профилей, строительных профилей, сайдингов, арматуры, пленочных изделий для офисов и корпусов для оборудования (компьютеры и бытовые электронные и электроприборы).
Примерами применения поливинилхлорида в форме пластизолей являются искусственная кожа, настилы для полов, тканевые покрытия, облицовка стен, покрытия обмоток и антикоррозийное покрытие днища автомобилей. Сущность изобретения иллюстрируют следующие примеры.
Описание общего эксперимента примеров с 1 по 9 и контрольных экспериментов от А до Г
Полимеризацию осуществляют в соответствии с суспензионным методом проведением периодического процесса. Автоклавный реактор с двойной рубашкой работает при температуре в пределах 70 и 85°С. Объем этого реактора составляет 500 мл, скорость вращения мешалки равна 1000 об/мин, давление оценивают в 12-18 бар в зависимости от температуры, используемой для полимеризации.
В реактор вводят следующий состав:
250 мл деминерализованной и дегазированной Н2О
62,5 г (1 моль) винилхлорида 3.7, 99,97%-ного стабилизированного (поставщик: фирма Messer Griesheim)
234 мг поливинилового спирта 7200, степень гидролиза: 98% (поставщик: фирма Merck Schuchard)
30 мг лимонной кислоты
0,1 мольного % в пересчете на винилхлорид 1,1-диметил-2-этилгексанпероксоата (продукт Luperox® фирмы Elf Atochem)
Молекулярные массы определяют гельпроникающей хроматографией (ГПХ) с использованием тетрагидрофурана в качестве элюента, основываясь на полистирольных стандартах (3 колонки, фирма Polymer Laboratories).
Стабильные свободные нитроксильные радикалы, добавленные в состав, представлены в таблицах с 1 по 4.
Таблица 1: Влияние температуры на полимеризацию в присутствии нитроксила 1 |
| № |
Т (°С) |
выход (%) |
Mn |
Mw |
ПД (Mw/Mn) |
| контрольный А |
75 |
89 |
31000 |
72000 |
2,3 |
| контрольный Б |
80 |
88 |
25000 |
58000 |
2,3 |
| контрольный В |
85 |
71 |
18000 |
47000 |
2,7 |
| пример 1 |
75 |
57 |
29000 |
64000 |
2,2 |
| пример 2 |
80 |
63 |
29000 |
56000 |
1,9 |
| № |
Т (°С) |
выход (%) |
Mn |
Mw |
ПД (Mw/Mn) |
| пример 3 |
85 |
57 |
24000 |
50000 |
2,1 |
Нитроксил 1 представляет собой дитретбутилнитроксид в количестве 0,05 мольных % в пересчете на винилхлорид, время реакции: 21 ч.
Контрольные эксперименты А, Б и В без дитретбутилнитроксида.
Таблица 2: Влияние концентрации нитроксила при использовании нитроксила 1 |
| № |
Концентрация нитроксила (мольных %) |
Т (°С) |
Выход (%) |
Mn |
Mw |
ПД (Mw/Mn) |
| контрольный Г |
– |
80 |
76 |
19000 |
51000 |
2,7 |
| пример 4 |
0,025 |
85 |
56 |
20000 |
45000 |
2,2 |
| пример 5 |
0,030 |
85 |
65 |
20000 |
44000 |
2,2 |
| пример 6 |
0,050 |
85 |
42 |
19000 |
42000 |
2,3 |
| пример 7 |
0.075 |
85 |
38 |
17000 |
40000 |
2,3 |
Нитроксил 1 представляет собой дитретбутилнитроксид, мольных % в пересчете на винилхлорид.
Время реакции: 21 ч.
Таблица 3: Влияние типа нитроксила |
| № |
Нитроксильный радикал, 0,05 мольных % в пересчете на винилхлорид |
Т (°С) |
Выход (%) |
Mn |
Mw |
ПД (Mw/Mn) |
| контрольный Б |
– |
80 |
88 |
25000 |
58000 |
2,3 |
| пример 8 |
нитроксил 2 |
80 |
64 |
22000 |
51000 |
2,3 |
| пример 9 |
нитроксил 3 |
80 |
74 |
20000 |
46000 |
2,2 |
Стабильные свободные нитроксильные радикалы: нитроксил 2 представляет собой

полученный в соответствии с WO 00/07981,
нитроксил 3 представляет собой

полученный в соответствии с GB 2335190.
время реакции: 21 ч.
Описание общего эксперимента примеров с 10 по 14 и контрольных экспериментов Д, Е
Полимеризацию осуществляют в соответствии с суспензионным методом проведением периодического процесса. Автоклавный реактор с двойной рубашкой объемом 1000 мл работает при температуре в пределах 70 и 90°С и при скорости вращения мешалки 1000 об/мин. Давление оценивают в 9-18 бар в зависимости от температуры, используемой для полимеризации.
В реактор вводят следующий состав:
200 мл деминерализованной и дегазированной Н2О,
75 г винилхлорида 3.7, 99,97%-ного стабилизированного (поставщик: фирма Messer Griesheim),
300 мг поливинилового спирта (продукт Mowiol 8-88, поставщик: фирма Clariant),
0,1 мольного % в пересчете на винилхлорид 1,1-диметил-2-этилгексанпероксоата (продукт Luperox 26, поставщик: фирма Atochem).
По прошествии 21 ч времени реакции полученный полимер выделяют фильтрованием или центрифугированием. Сырой полимер промывают водой, отфильтровывают, промывают этанолом и сушат под вакуумом при 40°С до постоянства массы.
Молекулярные массы и полидисперсность определяют ГПХ (3 колонки, фирма PL Polymer Laboratories), осуществляя калибровку с помощью полистирольных стандартов с узким распределением.
Результаты представлены в таблице 4.
Таблица 4: Влияние температуры на полимеризацию в присутствии стабильных свободных нитроксильных радикалов 1:0,05 мольных % в пересчете на винилхлорид |
| № |
Т (°С) |
Выход (%) |
Mn |
Mw |
ПД (Mw/Mn) |
| контрольный Д |
70 |
94 |
1,8 |
5,1 |
2,6 |
| контрольный Е |
80 |
93 |
1,0 |
2,6 |
2,5 |
| пример 10 |
70 |
35 |
2,0 |
4,1 |
2,0 |
| пример 11 |
75 |
62 |
НО |
НО |
НО |
| пример 12 |
80 |
56 |
1,25 |
2,86 |
2,3 |
| пример 13 |
85 |
43 |
НО |
НО |
НО |
| пример 14 |
90 |
43 |
1,6 |
3,5 |
2,2 |
НО означает не определяли.
Описание экспериментов с повторным инициированием в примерах с 15 по 22 и контрольного эксперимента Ж
Эксперименты с повторным инициированием проводят в 100-миллилитровом сосуде Шленка. Раствор, который содержит соответствующий ПВХ, мономер и растворитель (хлорбензол), дегазируют и выдерживают в течение 15 ч (таблица 5) или 21 ч (таблица 6) при соответствующей температуре, указанной в таблицах 5 и 6, и одновременном перемешивании. После охлаждения на ледяной бане полимер осаждают в 1500 мл метанола, отфильтровывают, промывают этанолом и сушат под вакуумом при 40°С. Молекулярные массы и полидисперсность определяют ГПХ (3 колонки, фирма PL Polymer Laboratories), осуществляя калибровку с помощью полистирольных стандартов с узким распределением.
Используют следующий состав:
1,25 г ПВХ из примера 7 и примера 10
20 мл хлорбензола
5 г сомономера, как указано в таблицах 5 и 6, дестабилизированного.
Таблица 5: Повторное инициирование и блок-сополимеризация |
| № |
Исходный материал |
Второй мономер |
Т(°С) |
Выход (%) |
Mn |
| пример 15 |
ПВХ из примера 7 |
стирол |
100 |
30 |
53000 |
| пример 16 |
ПВХ из примера 7 |
н-бутилкрилат |
130 |
25 |
28000 |
время реакции: 15 ч
Таблица 6: Повторное инициирование и блок-сополимеризация |
| № |
Второй мономер + необязательная добавка |
Т (°С) |
Выход *(%) |
Mn [×104] |
Mw [×104] |
ПД |
| контрольный Ж |
ПВХ из примера 10 |
130 |
91** |
2,0 |
3,6 |
1,8 |
| пример 17 |
бутилметакрилат |
130 |
41 |
2,4 |
6,0 |
2,5 |
| пример 18 |
стирол + акрилонитрил (1:3) |
110 |
15 |
2,4 |
7,2 |
3,0 |
| пример 19 |
стирол + АМК (1:1) + КСК (10 мг) |
130 |
100 |
Не определяли |
|
|
| пример 20 |
стирол + ИМК (1:1)+ КСК (10 мг) |
130 |
68 |
3,0 |
7,9 |
2,7 |
| пример 21 |
метилметакрилат + стаб. (10 мг) |
130 |
54 |
2,9 |
8,6 |
3,0 |
| пример 22 |
бутилакрилат + стаб. (10 мг) |
120 |
22 |
1,9 |
3,9 |
2,0 |
* выход: превращение 2-го мономера ** выделение ПВХ КСК: камфер-10-сульфоновая кислота АМК: ангидрид малеиновой кислоты ИМК: имид малеиновой кислоты стаб.:стеарилбензоилметан. |
Добавление КСК в примерах 19 и 20 повышает скорость полимеризации, как это известно, например, из US 5608023.
Добавление стеарилбензоилметана в реакционный раствор в примерах 21 и 22 приводит к уменьшенному изменению цвета образца вследствие повышенной стойкости ПВХ полимера против теплового старения.
Пример 23: повторное in situ инициирование бутадиеном. Суспензию 30 г винилхлорида, 200 мл деминерализованной Н2O, 300 мг поливинилового спирта (Mowiol 8-88) и 0,1 мольного % инициатора (1,1-диметил-2-этилгексанпероксоат) перемешивают в течение времени реакции (21 ч) при 90°С и скорости вращения мешалки 1000 об/мин. Реактор дегазируют током азота и выдержкой под вакуумом и заполняют 30 г бутадиена. Реакционную смесь перемешивают при 90°С в течение еще 21 ч. Продукт выделяют (7 г), очищают и анализируют по изложенному выше. Mn=19000, Mw=39000, ПД=2,0.
Формула изобретения
1. Способ регулируемой свободнорадикальной полимеризации или сополимеризации винилхлорида при температуре в пределах 40 и 95°С и под давлением в пределах 5 и 30 бар в присутствии стабильного свободного нитроксильного радикала.
2. Способ по п.1, в котором полимеризацию или сополимеризацию проводят в суспензии.
3. Способ по п.1, в котором молярное соотношение между инициатором свободно-радикальной полимеризации и стабильным свободным нитроксильным радикалом составляет от 100:1 до 1:10.
4. Способ по п.1, в котором стабильный свободный нитроксильный радикал содержится с начала полимеризации.
5. Способ по п.1, в котором стабильный свободный нитроксильный радикал образуется in situ во время реакции полимеризации из соответствующего нитроксильного эфира.
6. Способ по п.1, в котором стабильный свободный нитроксильный радикал представляет собой соединение формулы А’, В’ или О’

в которых
m обозначает 1,
R обозначает водородный атом, С1-С18алкил, который не прерывается или прерывается одним или несколькими атомами кислорода, цианоэтил, бензоил, глицидил, одновалентный радикал алифатической карбоновой кислоты, содержащей от 2 до 18 углеродных атомов, циклоалифатической карбоновой кислоты, содержащей от 7 до 15 углеродных атомов, или , -ненасыщенной карбоновой кислоты, содержащей от 3 до 5 углеродных атомов, или ароматической карбоновой кислоты, содержащей от 7 до 15 углеродных атомов;
р обозначает 1;
R101 обозначает С1-С12алкил, С5-С7циклоалкил, С7-С8аралкил, C2-C18алканоил, С3-С5алкеноил или бензоил;
R102 обозначает С1-С18алкил, С5-С7циклоалкил, С2-С8алкенил, не замещенный или замещенный циано-, карбонильной или карбамидной группой, или обозначает глицидил, группу формулы -CH2CH(OH)-Z или формулы -CO-Z или -CONH-Z, в которых Z обозначает водородный атом, метил или фенил;
G6 обозначает водородный атом, G5 обозначает водородный атом или С1-С4алкил, а
G1 и G3 каждый обозначает метил, а каждый из G2 и G4 обозначает этил или пропил или каждый из G1 и G2 обозначает метил, а каждый из G3 и G4 обозначают этил или пропил.
7. Способ по п.6, в котором в формулах А’, В’ и О’ R обозначает водородный атом, С1-С18алкил, цианоэтил, бензоил, глицидил или одновалентный радикал алифатической карбоновой кислоты; R1 обозначает С1-С12алкил, С7-С8аралкил, С2-С18алканоил, С3-С5алкеноил или бензоил;
R2 обозначает С1-С18алкил, глицидил, группу формулы -CH2CH(OH)-Z или формулы -CO-Z, в которых Z обозначает водородный атом, метил или фенил.
8. Способ по п.1, в котором стабильный свободный нитроксильный радикал отвечает формуле (Ic’), (Id’), (Ie’), (If), (Ig’) или (Ih’)

в которых каждый из R1, R2, R3 и R4 независимо друг от друга обозначает С1-С18алкил, С3-С18алкенил, С3-С18алкинил, С1-С18алкил, С3-С18алкенил, С3-С18алкинил, которые замещены ОН, атомом галогена или группой -O-С(O)-R5, С2-С18алкил, который прерывается по меньшей мере одним атомом О и/или группой NR5, С3-С12циклоалкил или С6-С10арил или R1 и R2 и/или R3 и R4 совместно с соединительным углеродным атомом образуют С3-С12циклоалкильный радикал;
R5, R6 и R7 каждый независимо обозначает водородный атом, С1-С18алкил или С6-С10арил;
R8 обозначает водородный атом, ОН, С1-С18алкил, С3-С18алкенил, С3-С18алкинил, С3-С18алкил, С3-С18алкенил, С3-С18алкинил, которые замещены одним или несколькими ОН, атомом галогена или группой -O-C(O)-R5, С2-С18алкил, который прерывается по меньшей мере одним атомом О и/или группой NR5, С3-С12циклоалкил или С6-С10арил, С7-С9фенилалкил, С5-С10гетероарил, -C(O)-С1-С18алкил, -О-С1-С18алкил или -СООС1-С18алкил;
R9, R10, R11 и R12 каждый независимо обозначает водородный атом, фенил или С1-С18алкил.
9. Способ по п.8, где в формулах (Ic’), (Id’), (Ie’), (If), (Ig’) и (Ih’) по меньшей мере два из R1, R2, R3 и R4 обозначают этилы, пропилы или бутилы, а остальные обозначают метилы; или R1 и R2 или R3 и R4 совместно с соединительным углеродным атомом образуют С5-С6циклоалкильный радикал, а один из оставшихся заместителей представляет собой этил, пропил или бутил.
10. Способ по п.1, где стабильный свободный нитроксильный радикал содержит водородный атом, связанный с углеродным атомом в -положении относительно атома азота.
11. Способ по п.10, где стабильный свободный нитроксильный радикал представляет собой соединение формулы

12. Способ по п.5, где нитроксильный эфир, из которого образуется стабильный свободный нитроксильный радикал, отвечает формуле А, В или O

в которых m обозначает 1,
R обозначает водородный атом, С1-С18алкил, который не прерывается или прерывается одним или несколькими атомами кислорода, цианоэтил, бензоил, глицидил, одновалентный радикал алифатической карбоновой кислоты, содержащей от 2 до 18 углеродных атомов, циклоалифатической карбоновой кислоты, содержащей от 7 до 15 углеродных атомов, , -ненасыщенной карбоновой кислоты, содержащей от 3 до 5 углеродных атомов, или ароматической карбоновой кислоты, содержащей от 7 до 15 углеродных атомов;
р обозначает 1;
R101 обозначает С1-С12алкил, С5-С7циклоалкил, С7-С8аралкил, C2-C18алканоил, С3-С5алкеноил или бензоил;
R102 обозначает С1-С18алкил, С5-С7циклоалкил, С2-С8алкенил, не замещенный или замещенный циано-, карбонильной или карбамидной группой, или обозначает глицидил, группу формулы -CH2CH(OH)-Z или формулы -CO-Z или -CONH-Z, в которых Z обозначает водородный атом, метил или фенил;
G6 обозначает водородный атом, a G5 обозначает водородный атом или С1-С4алкил,
G1 и G3, каждый обозначает метил, а каждый из G2 и G4 обозначает этил или пропил или каждый из G1 и G2 обозначает метил, а каждый из G3 и G4 обозначает этил или пропил; а Х имеет значения, выбранные из ряда, включающего -СН2-фенил, СН3СН-фенил, (СН3)2С-фенил, (С5-С6циклоалкил)2CCN, (CH3)2CCN, -СН2СН=СН2, СН3СН-СН=СН2, (С1-С4алкил)CR20-С(O)фенил, (С1-С4)алкил-CR20-С(O)-(С1-С4)алкокси, (С1-C4)алкил-CR20-С(O)-(С1-С4)алкил, (С1-С4)алкил-CR20-С(O)-N-ди(С1-С4)алкил, (С1-C4)алкил-CR20-C(O)-NH(C1-С4)алкил, (С1-С4)алкил-CR20-С(O)-NH2, у которых R20 обозначает водородный атом или (С1-С4)алкил.
13. Способ по п.12, где в формуле А, В и О R обозначает водородный атом, С1-С18алкил, цианоэтил, бензоил, глицидил, одновалентный радикал алифатической карбоновой кислоты; R101 обозначает С1-С12алкил, С7-С8аралкил, С2-С18алканоил, C3-C5алкеноил или бензоил; R102 обозначает С1-С18алкил, глицидил, группу формулы -СН2СН(ОН)-Z или формулы -CO-Z, в которых Z обозначает водородный атом, метил или фенил; а Х обозначает СН3СН-фенил.
14. Способ по п.5, где нитроксильный эфир, из которого образуется стабильный свободный нитроксильный радикал, отвечает формуле (Ic), (Id), (Ie), (If), (Ig) или (Ih)
в которых
R1, R2, R3 и R4 каждый независимо друг от друга обозначает С1-С18алкил, С3-С18алкенил, С3-С18алкинил, С1-С18алкил, С3-С18алкенил, С3-С18алкинил, которые замещены ОН, атомом галогена или группой -O-C(O)-R5, С2-С18алкил, который прерывается по меньшей мере одним атомом О и/или группой NR5, С3-С12циклоалкил или С6-С10арил или R1 и R2 и/или R3 и R4 совместно с соединительным углеродным атомом образуют С3-С12циклоалкильный радикал;
R5, R6 и R7 каждый независимо обозначает водородный атом, С1-С18алкил или С6-С10арил;
R8 обозначает водородный атом, ОН, С1-С18алкил, С3-С18алкенил, С3-С18алкинил, С1-С18алкил, С3-С18алкенил, С3-С18алкинил, которые замещены одним или несколькими ОН, атомом галогена или группой -O-C(O)-R5, С2-С18алкил, который прерывается по меньшей мере одним атомом О и/или группой NR5, С3-С12циклоалкил или С6-С10арил, С7-С9фенилалкил, С5-С10гетероарил, -C(O)-С1-С18алкил, -О-С1-С18алкил или -СО-ОС1-С18алкил;
R9, R10, R11 и R12 каждый независимо обозначает водородный атом, фенил или С1-С18алкил; а
Х имеет значения, выбранные из группы, включающей -СН2-фенил, СН3СН-фенил, (СН3)2С-фенил, (С5-С6циклоалкил)2CCN, (CH3)2CCN, -СН2СН=СН2, СН3СН-СН=СН2, (С1-С4алкил)CR20-С(O)фенил, (С1-С4)алкил-CR20-C(O)-(С1-С4)алкокси, (С1-С4)алкил-CR20-С(O)-(С1-С4)алкил, (С1-С4)алкил-CR20-С(O)-N-ди(С1-С4)алкил, (С1-С4)алкил-CR20-С(O)-NH(С1-С4)алкил, (С1-С4)алкил-CR20-C(O)-NH2, в которых
R20 обозначает водородный атом или (С1-С4)алкил.
15. Способ по п.14, где в формулах (Ic), (Id), (Ie), (If), (Ig) и (Ih) по меньшей мере два из R1, R2, R3 и R4 обозначают этилы, пропилы или бутилы, а остальные обозначают метилы; или R1 и R2 или R3 и R4 совместно с соединительным углеродным атомом образуют С5-С6циклоалкильный радикал, а один из оставшихся заместителей представляет собой этил, пропил или бутил.
16. Способ по п.1, в котором на первой стадии полимеризуют винилхлорид, а на второй стадии к поливинилхлориду добавляют другой этиленово-ненасыщенный мономер и их блок-сополимеризуют с получением соответствующего блока А-В.
17. Способ по п.16, где другой этиленово-ненасыщенный мономер выбирают из группы, включающей этилен, пропилен, н-бутилен, изобутилен, стирол, замещенный стирол, винилпиридин, сопряженные диены, акролеин, винилацетат, винилпирролидон, винилимидазол, малеиновый ангидрид, малеинимид, который может быть незамещенным при азотном атоме или замещенным алкилом или арилом, (алкил)акриловые ангидриды карбоновых кислот, соли (алкил)акриловых кислот, сложные эфиры (алкил)акриловых кислот, (алкил)акрилонитрилы и (алкил)акриламиды.
18. Поливинилхлоридный макроинициатор, содержащий связанную посредством кислородного атома термически неустойчивую нитроксильную группу, причем при термическом воздействии этот макроинициатор способен расщепляться на поливинилхлоридный радикал и нитроксильный радикал.
19. Поливинилхлоридный блок-сополимер, полученный по п.16.
|
|