Патент на изобретение №2273628
|
||||||||||||||||||||||||||
(54) СПОСОБ ПОЛУЧЕНИЯ ПРОИЗВОДНЫХ ФЕНИЛУКСУСНОЙ КИСЛОТЫ
(57) Реферат:
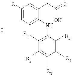
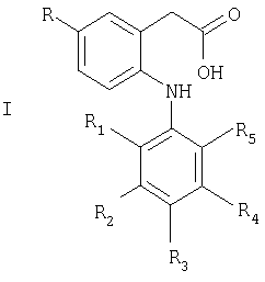
Настоящее изобретение относится к способам получения 2-фениламино-5-алкилфенилуксусных кислот общей формулы I (представленной ниже) промежуточных продуктов для их получения, к их фармацевтически приемлемых солям и к их фармацевтически приемлемым пролекарственным сложным эфирам где R, R1, R2, R3, R4 и R5 имеют соответствующие значения. Получение соединения общей формулы I происходит путем расщепления лактама формулы II где символы имеют указанные значения основанием, его предшественники и способы получения этих предшественников. Вышеупомянутые способы могут включать, если необходимо, временную защиту всех оказывающих влияние реакционноспособных групп, а затем выделение полученного соединения по изобретению. Технический результат заключается в получении соединений общей формулы I, являющейся фармацевтически активными соединениями, которые представляют собой селективные ингибиторы циклооксигеназы II. 7 н. и 3 з.п. ф-лы.
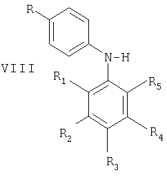
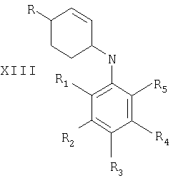
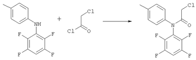
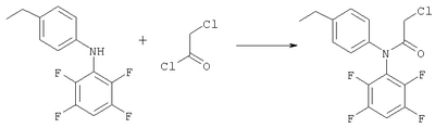
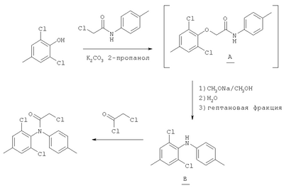
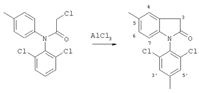
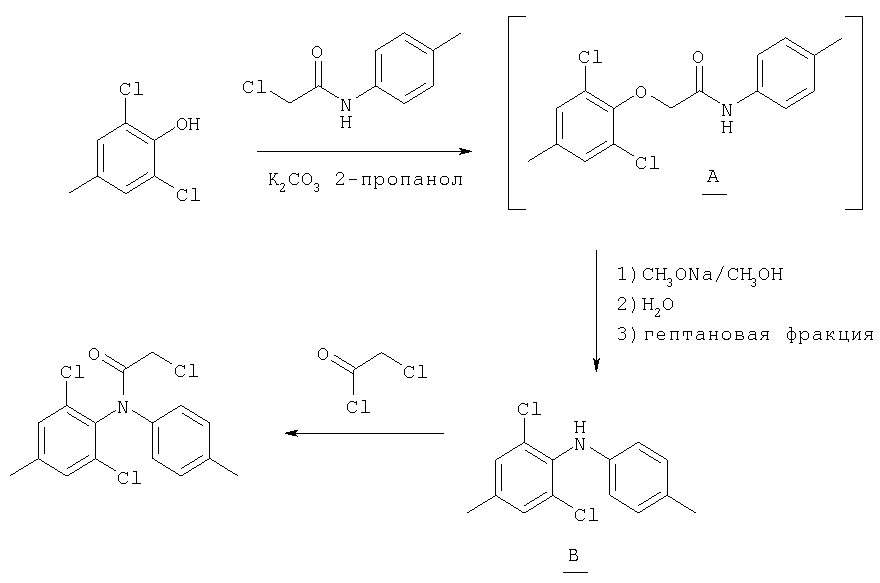
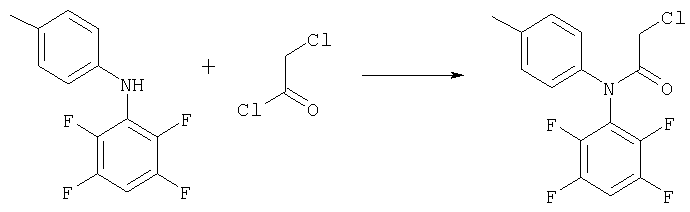
Настоящее изобретение относится к способам получения 2-фениламино-5-алкилфенилуксусных кислот (соединений приведенной ниже формулы I), промежуточных продуктов для их получения, к их фармацевтически приемлемым солям и к их фармацевтически приемлемым пролекарственным сложным эфирам в которой R обозначает метил или этил; R1 обозначает атом хлора или фтора; R2 обозначает атом водорода или фтора; R3 обозначает атом водорода, фтора, хлора, метил, этил, метокси, этокси или гидроксил; R4 обозначает атом водорода или атом фтора; R5 обозначает атом хлора, фтора, трифторметил или метил, при условии, что когда R обозначает этил, a R3 обозначает Н, не все R1, R2, R4 и R5 обозначают атомы фтора. Таким образом, по первому объекту изобретения предлагается способ получения соединения формулы I, его фармацевтически приемлемой соли, его фармацевтически приемлемого и физиологически расщепляемого пролекарственного сложного эфира, включающий расщепление лактама формулы II в которой символы имеют такие же значения, как указанные выше, основанием. Вышеупомянутые способы могут включать, если необходимо, временную защиту всех оказывающих влияние реакционноспособных групп, а затем выделение полученного соединения по изобретению и, если необходимо, превращение свободной карбоновой кислоты соединения формулы I в его фармацевтически приемлемое сложноэфирное производное, и/или, если необходимо, превращение свободной кислоты формулы I в соль или полученной соли в свободную кислоту или в другую соль. Вышеупомянутые способы можно осуществлять в условиях, которые известны в данной области техники в отношении гидролитического расщепления лактамов, предпочтительно сильным основанием, таким как водный гидроксид натрия (например, 30%-ный водный раствор NaOH), необязательно в среде смешивающегося с водой органического растворителя, такого как этанол и метанол, предпочтительно при повышенной температуре, например при температуре в интервале от примерно 50° до 100°С (например, так как в общем изложено в US 3558690). Полученную реакционную смесь обычно нейтрализуют кислотой, например минеральной кислотой, такой как соляная кислота, с получением в качестве продукта свободной кислоты формулы I, которая может быть выделена кристаллизацией, например, при охлаждении реакционной смеси до комнатной температуры и фильтрованием. Фармацевтически приемлемые пролекарственные сложные эфиры представляют собой сложноэфирные производные, которые способны превращаться посредством сольволиза или физиологических условий в свободные карбоновые кислоты формулы I. Такими сложными эфирами являются, например, низшие, соответственно (низш.), алифатические сложные эфиры (такие как метиловый и этиловый сложные эфиры), карбокси(низшие)алифатические сложные эфиры, такие как карбоксиметиловый сложный эфир, нитроокси(низшие)алифатические сложные эфиры (такие как 4-нитрооксибутиловый сложный эфир) и т.п. Фармацевтически приемлемые соли представляют собой соли металлов, такие как соли щелочных и щелочно-земельных металлов, например соли натрия, калия, магния или кальция, а также соли аммония, которые получают, например, с использованием аммиака и моно- и диалкиламинов, такие как соли диэтиламмония, и с использованием аминокислот, такие как соли аргинина и гистидина. Предпочтительные соединения формулы I, которые могут быть получены в соответствии с настоящим изобретением, включают 5-метил-2-(2′,4′-дихлор-6′-метиланилино)фенилуксусную кислоту; 5-метил-2-(2′,3′,5′,6′-тетрафторанилино)фенилуксусную кислоту; 5-метил-2-(2′,3′,4′,6′-тетрафторанилино)фенилуксусную кислоту; 5-метил-2-(2′,6′-дихлоранилино)фенилуксусную кислоту; калиевую соль 5-метил-2-(2′,6′-дихлоранилино)фенилуксусной кислоты, натриевую соль 5-метил-2-(2′,6′-дихлоранилино)фенилуксусной кислоты; 5-метил-2-(2′-хлор-6′-фторанилино)фенилуксусную кислоту; 5-метил-2-(2′,6′-дихлор-4′-метиланилино)фенилуксусную кислоту; 5-метил-2-(2′-хлор-6′-метиланилино)фенилуксусную кислоту; 5-метил-2-(2′,4′-дифтор-6′-хлоранилино)фенилуксусную кислоту; 5-метил-2-(2′-фтор-4′,6′-дихлоранилино)фенилуксусную кислоту; 5-метил-2-(2′-хлор-4′-фтор-6′-метиланилино)фенилуксусную кислоту; 5-этил-2-(2′-фтор-6′-хлоранилино)фенилуксусную кислоту; 5-этил-2-(2′,-хлор-6′-метиланилино)фенилуксусную кислоту; 5-этил-2-(2′,3′,6′-трифторанилино)фенилуксусную кислоту; 5-этил-2-(2′,3′,5′,6′-тетрафтор-4′-этоксианилино)фенилуксусную кислоту; 5-этил-2-(2′-хлор-4′,6′-дифторанилино)фенилуксусную кислоту; 5-этил-2-(2′,4′-дихлор-6′-фторанилино)фенилуксусную кислоту; 5-этил-2-(2′,4′-дихлор-6′-метиланилино)фенилуксусную кислоту; 5-этил-2-(2′-фтор-4′-хлор-6′-метиланилино)фенилуксусную кислоту; 5-этил-2-(2′,4′-дифтор-6′-метиланилино)фенилуксусную кислоту; 5-этил-2-(2′-хлор-4′-фтор-6′-метиланилино)фенилуксусную кислоту; 5-метил-2-(2′-хлор-4′-гидрокси-6′-фторанилино)фенилуксусную кислоту; 5-метил-2-(2′-фтор-6’трифторметиланилино)фенилуксусную кислоту, 5-метил-2-(2′,4′-дихлор-6′-трифторметиланилино)фенилуксусную кислоту, их фармацевтически приемлемые соли и их фармацевтически приемлемые пролекарственные сложные эфиры. Особенно предпочтительные соединения формулы I, которые могут быть получены в соответствии с настоящим изобретением, включают 5-метил-2-(2′,3′,4′,6′-тетрафторанилино)фенилуксусную кислоту; 5-метил-2-(2′,6′-дихлоранилино)фенилуксусную кислоту; 5-метил-2-(2′-хлор-6′-фторанилино)фенилуксусную кислоту; 5-метил-2-(2′,6′-дихлор-4′-метиланилино)фенилуксусную кислоту; 5-метил-2-(2′-хлор-6′-метиланилино)фенилуксусную кислоту; 5-метил-2-(2′-хлор-4′-фтор-6′-метиланилино)фенилуксусную кислоту; 5-этил-2-(2′-фтор-6′-хлоранилино)фенилуксусную кислоту; 5-этил-2-(2′-хлор-6′-метиланилино)фенилуксусную кислоту; 5-этил-2-(2′,3′,6′-трифторанилино)фенилуксусную кислоту, 5-этил-2-(2′,4′-дихлор-6′-метиланилино)фенилуксусную кислоту, их фармацевтически приемлемые соли и их фармацевтически приемлемые пролекарственные сложные эфиры. Таким образом, в предпочтительном варианте способы по изобретению могут быть также использованы для получения соединений формулы I, в которой R обозначает метил или этил; R1 обозначает атом хлора или фтора; R2 обозначает водородный атом; R3 обозначает атом водорода, фтора или хлора, метил или гидроксил; R4 обозначает водородный атом; R5 обозначает атом хлора или фтора или метил; или их фармацевтически приемлемых солей, или фармацевтически приемлемых пролекарственных сложных эфиров. Лактам формулы II может быть получен окислением лактама формулы III в которой символы имеют такие же значения, как указанные выше. Могут быть использованы стандартные мягкие условия окисления, такие как выдержка при повышенной температуре с каталитически эффективными количествами палладия на угле в подходящем растворителе, например в ксилоле. Лактам формулы III может быть получен реакцией сочетания производного анилина формулы IV в которой символы имеют такие же значения, как указанные выше, с циклогексаноновым производным формулы Va или аминзамещенным циклогексеновым производным формулы Vb в которых R обозначает этил или метил, a R’ обозначает низший алкил или т.п. Реакция сочетания соединения IV с соединением Va и Vb как правило включает удаление воды или вторичного амина, HNR’2, например, в кислых условиях. Соединение Vb может быть получено реакцией аминзамещенных циклогексеновых производных формулы Vb’ в которой R и R’ имеют такие же значения, как указанные выше, с метил- или этилглиоксилатом. Соединение Vb может быть превращено в соединение Va гидролизом, например, так, как изложено ниже в примерах. В другом варианте пактам формулы II получают циклизацией соединения формулы VII в которой символы имеют такие же значения, как указанные выше. Процесс циклизации обычно проводят в условиях алкилирования по Фриделю-Крафтсу, например в присутствии катализатора Фриделя-Крафтса, такого как алюминий хлорид или этилалюминийдихлорид, предпочтительно при повышенной температуре, например при температуре в интервале от примерно 100 до примерно 180°С. Реакцию циклизации можно проводить в среде инертного растворителя, такого как дихлорбензол, или в предпочтительном варианте расплав соединения формулы VII выдерживают при повышенной температуре с катализатором Фриделя-Крафтса. Соединение формулы VII получают N-ацилированием дифениламина формулы VIII в которой символы имеют такие же значения, как указанные выше, галоацетилхлоридом. Так, например, соединение формулы VIII нагревают, например, до примерно 80°С с хлорацетилхлоридом. Продукт может быть выделен разбавлением реакционной смеси растворителем, например 2-пропанолом, и кристаллизацией. Соединение формулы VIII может быть получено реакцией перегруппировки и гидролизом соединения формулы IX в которой символы имеют такие же значения, как указанные выше. Обычно соединение формулы IX обрабатывают органическим основанием, например алкоксидом щелочного металла, таким как метоксид натрия, предпочтительно с нагреванием, например, до температуры по меньшей мере примерно 75°С. Во время этой операции в результате начальной реакции перегруппировки образуется промежуточный продукт формулы X в которой символы имеют такие же значения, как указанные выше, но в превалирующих реакционных условиях он подвергается прямому расщеплению с образованием дифениламинового соединения формулы VIII. В другом варианте дифениламиновое соединение формулы VIII может быть получено реакцией сочетания соответствующего галобензольного производного формулы XI где Х обозначает атом галогена, например I или Br, а другие символы имеют такие же значения, как указанные выше, с п-толуидином или 4-этиланилином. Такую реакцию сочетания можно проводить с использованием химии Бухвальда. Так, например, соединение формулы XI и п-толуидин или 4-этиланилин смешивают с органическим основанием, например с третичным бутилатом натрия, и соответствующим лигандом, например с BINAP, в органическом растворителе, таком как толуол; добавляют соединение палладия или предшественник катализатора, такой как Pd(dba)2, и реакционную смесь выдерживают при повышенной температуре. После охлаждения и обработки кислотой, например HCl, из органической фазы реакционной смеси может быть выделен дифениламиновый продукт формулы VIII. По еще одному варианту дифениламиновое соединение формулы VIII может быть получено реакцией сочетания соответствующего анилинового производного формулы IV как оно представлено выше, с 4-бромтолуолом или 1 -этил-4-бромбензолом. Такую реакцию сочетания можно проводить аналогично изложенному с использованием химии Бухвальда. Так, например, соединение формулы IV и 4-бромтолуол или 1-этил-4-бромбензол смешивают с органическим основанием, например с третичным бутилатом натрия, в органическом растворителе, таком как толуол; в эту реакционную смесь добавляют соединение палладия или предшественник катализатора, например Pd(dba)2, и лиганд, например P(tBu)3 или BINAP, после чего смесь перемешивают при повышенной температуре, например 110°С, до завершения реакции, например в течение ночи. Аналогично вышеизложенному из органической фазы реакционной смеси можно выделить дифениламиновый продукт формулы VIII, например, после охлаждения и обработки кислотой, например HCl. Соединение формулы IX может быть получено алкилированием соответствующего фенольного производного формулы XII в которой символы имеют такие же значения, как указанные выше, 2-хлор-N-(4-метилфенил)ацетамидом или 2-хлор-N-(4-этилфенил)ацетамидом. Так, например, соединение формулы XII и 2-хлор-N-(4-метилфенил)ацетамид или 2-хлор-N-(4-этилфенил)ацетамид смешивают в органическом растворителе, таком как 2-пропанол, в присутствии основания, например К2СО3, и реакционную смесь кипятят до завершения реакции, в частности в течение примерно 4 ч. 2-хлор-N-(4-метилфенил)ацетамид и 2-хлор-N-(4-этилфенил)ацетамид могут быть получены, например, in situ реакцией 4-метил- или 4-этиланилина с хлорацетилхлоридом. Соединение формулы IX может быть, если необходимо, выделено из реакционной смеси. В предпочтительном варианте, однако, соединение формулы IX не выделяют, а превращают в соединение формулы VIII реакцией перегруппировки, и в полученной реакционной смеси, образующейся в результате алкилирования соединения формулы XII, проводят, как это изложено выше, гидролиз. В другом варианте дифениламин формулы VIII может быть получен окислением соответствующего соединения формулы XIII (или его таутомера) в которой символы имеют такие же значения, как указанные выше. Реакцию дегидрогенизации можно проводить по классическим методам, например обработкой иодом, например I2 в ТГФ/АсОН. Соединение формулы XIII может быть получено реакцией сочетания 1-метокси-4-метилциклогекса-1,4-диена или 1-метокси-4-этилциклогекса-1,4-диена с анилиновым производным формулы IV, как оно представлено выше. Эту реакцию сочетания можно проводить в присутствии катализатора, такого как TiCl4, в органических растворителях, например в ТГФ и хлорбензоле, предпочтительно с охлаждением, в частности с выдержкой при примерно -40°С. 1-метокси-4-метилциклогекса-1,4-диен или-1-метокси-4-этилциклогекса-1,4-диен может быть получен частичным восстановлением 4-метиланизола или 4-этиланизола по Берчу, например обработкой Na в жидком аммиаке, например так, как изложено Subba Rao и др. в Australian Journal of Chemistry 1992, 45, cc.187-203. Обычно соединение формулы XIII не выделяют, а после реакции сочетания между соединением формулы IV и 1-метокси-4-метилциклогекса-1,4-диеном или 1-метокси-4-этилциклогекса-1,4-диеном проводят окисление с получением дифениламинового производного формулы VIII. В исходных соединениях и промежуточных продуктах, которые превращают в соединения формул с I по XIII вышеописанным путем, содержащиеся функциональные группы, такие как амино-, гидрокси- и карбоксильная группы, необязательно защищают осуществлением традиционной защиты групп, которая для препаративной органический химии обычна. Защищенные гидрокси-, амино- и карбоксильная группы являются такими, которые в мягких условиях могут быть превращены в свободные амино-, гидрокси- и карбоксильная группы без протекания других нежелательных побочных реакций, которые возможны. Так, например, предпочтительными гидроксизащитными группами являются бензильная или замещенная бензильная группа. Способы получения производных 2-фениламино-5-алкилфенилуксусной кислоты по изложенному выше схематически проиллюстрированы далее. Получение 2-ариламиноарилуксусных кислот (ингибиторы СОХ-2) Общее представление о методах синтеза Способы получения соединений формул II, III, VII, VIII, IX, Х и XIII, как они представлены выше, включены в объем настоящего изобретения. Таким образом, дополнительные объекты изобретения включают способ, выбранный из способа получения лактама формулы II который включает окисление лактама формулы III б) способа получения лактама формулы II, как он представлен выше, который включает циклизацию соединения формулы VII в) способа получения соединения формулы III, как оно представлено выше, включающего реакцию сочетания анилинового производного формулы IV с циклогексаноновым производным формулы Va или аминзамещенным циклогексеновым производным формулы Vb в которых R обозначает этил или метил, a R’ обозначает низший алкил или т.п.; г) способа получения соединения формулы VII, который включает N-ацилирование дифениламина формулы VIII галоацетилхлоридом; д) способа получения соединения формулы VIII, который включает реакцию перегруппировки и гидролиз соединения формулы IX е) способа получения соединения формулы VIII, который включает реакцию сочетания галобензольного производного формулы XI в которой Х обозначает атом галогена, с п-толуидином или 4-этиланилином; ж) способа получения соединения формулы VIII, который включает реакцию сочетания анилинового производного формулы IV с 4-бромтолуолом или 1-этил-4-бромбензолом; з) способа получения соединения формулы VIII, который включает расщепление соединения формулы Х и) способа получения соединения формулы X, который включает реакцию перегруппировки соединения формулы IX; к) способа получения соединения формулы IX, который включает алкилирование соединения формулы XII 2-хлор-N-(4-метилфенил)ацетамидом или 2-хлор-N-(4-этилфенил)ацетамидом; л) способа получения соединения формулы VIII, который включает алкилирование соединения формулы XII 2-хлор-N-(4-метилфенил)ацетамидом или 2-хлор-N-(4-этилфенил)ацетамидом с последующими реакцией перегруппировки и расщеплением промежуточного соединение формулы IX; м) способа получения соединения формулы VIII, включающего окисление соответствующего соединения формулы XIII (или его таутомера) н) способа получения соединения формулы XIII, который включает реакцию сочетания 1-метокси-4-метилциклогекса-1,4-диена или 1-метокси-4-этилциклогекса-1,4-диена с анилиновым производным формулы IV, как оно представлено выше; о) способа получения соединения формулы VIII, включающего реакцию сочетания 1-метокси-4-метилциклогекса-1,4-диена или 1-метокси-4-этилциклогекса-1,4-диена с анилиновым производным формулы IV с последующей дегидрогенизацией, где все использованные символы имеют такие же значения, как указанные выше. При получении соединения формулы I можно применять один или несколько способов от а) до о) с соблюдением соответствующей последовательности (см. приведенную выше схему реакций). Таким образом, по изобретению далее предлагается способ получения соединения формулы I в которой символы имеют такие же значения, как указанные выше, который включает осуществление одного или нескольких способов, выбранных из способов от а) до о), как они представлены выше, необязательно в сочетании со способом в соответствии с первым объектом изобретения. Тем не менее далее по изобретению предлагается соединение формулы I или его фармацевтически приемлемая соль, или его фармацевтически приемлемый пролекарственный сложный эфир, когда он получен по способу, который включает осуществление одного или нескольких способов от а) до о), как они представлены выше, предпочтительно в сочетании со способом в соответствии с первым объектом по изобретению. Сами соединения формул II, III, VII, VIII, IX, Х и XIII включены в объем настоящего изобретения. Таким образом, по другим объектам изобретения предлагается соединение, выбранное из а) соединения формулы II б) соединения формулы III в) соединения формулы VII г) соединения формулы VIII д) соединения формулы IX е) соединения формулы Х и ж) соединения формулы XIII или его таутомера в которых символы имеют такие же значения, как указанные выше. Соединения формулы XII, в которой один из R1 и R6 обозначает атом хлора, а другой обозначает атом фтора, могут быть получены по методам, известным в области техники хлорирования фенолов, предпочтительно в присутствии каталитически эффективных количеств вторичного амина, например диизопропиламина. В предпочтительном варианте в соответствии с настоящим изобретением реакция хлорирования включает одновременное введение в реакционную смесь хлора и фенола, предпочтительно с использованием гексановой фракции в качестве растворителя. Было установлено, что одновременное введение по меньшей мере части, предпочтительно большей части, хлора и фенола в реакционную смесь обуславливает высокую производительность и селективность получения целевого продукта в сравнении с нежелательными, побочными продуктами. Более того, использование гексановых фракций позволяет выделять целевой фенольный продукт с высокой степенью чистоты (например, 99%) кристаллизацией. В дальнейшем изобретение описано только иллюстративным путем в следующих примерах. ПРИМЕРЫ Дифениламиновые соединения формулы VIII получают по химии Бухвальда так, как изложено ниже в примерах 1 и 2, либо реакцией сочетания анилинового производного формулы IV с 4-бромтолуолом или 1-этил-4-бромбензолом, как это изложено в примере 1, либо реакцией сочетания галобензольного производного формулы XI с п-толуидином или 4-этиланилином по изложенному в примере 2. Полученные таким образом соединения формулы VIII могут быть превращены в соответствующие соединения формулы I осуществлением методов по изложенному ниже. Пример 1а N-(2′,3′,4′,6′-тетрафторфенил)-метиланилин Смесь 0,72 г 2,3,4,6-тетрафторанилина (4,4 ммоля), 0,8 г 4-бромтолуола (4,7 ммоля), 55 мл толуола, 0,8 г трет-бутоксида натрия (8,3 ммоля), 130 мг тритрет-бутилфосфина (0,64 ммоля) и 125 мг бисдибензилиденацетонпалладия(0) (0,2 ммоля) выдерживают в азотной атмосфере при 85°С в течение 3 ч. После охлаждения добавляют 50 мл воды, 10 мл концентрированного водного HCl и 1 г продукта hyflo (вспомогательное вещество для фильтрования) и перемешивание продолжают в течение примерно одного часа с последующим фильтрованием. Органическую фазу дважды промывают водой, выпаривают и остаток подвергают экспресс-хроматографии на диоксиде кремния (45 г) с использованием в качестве элюента гептана/толуола (в соотношении 2:1), получая в виде масла, которое кристаллизуется, 0,92 г N-(2′,3′,4′,6′-тетрафторфенил)-4-метиланилина (3,6 ммоля) (tпл 64-65°С). 1Н-ЯМР (400 MHz, ДМСО-d6): 2,20 (s, 3Н, СН3); 6,63 [d, 8,2Гц, 2Н, НС (2), НС (6)]; 6,99 [d, 8,2Гц, 2Н, НС (3), НС (5)]; 7,56 [симметричный m, 1H, НС (5′)]; 7,84 (s, 1H, NH). В качестве побочного продукта выделяют N,N-бис-п-толил-2,3,4,6-тетрафторанилин, tпл 94,96°C. Пример 16 N-(2′,3′,5′,6′-тетрафторфенил)-этиланилин Смесь 4,5 г 2,3,5,6-тетрафторанилина (27,3 ммоля), 5,0 г 4-этилбромбензола (27 ммолей), 50 мл толуола, 4,67 г трет-бутоксида натрия (48 ммолей), 217 мг тритрет-бутилфосфина (1,07 ммоля) и 260 мг бисдибензилиденацетонпалладия(0) (0,45 ммоля) выдерживают в азотной атмосфере при 85°С в течение 15,5 ч. Смесь охлаждают до комнатной температуры и добавляют 30 мл воды, 20 мл концентрированной соляной кислоты и продукта hyflo. После перемешивания в течение 45 мин смесь фильтруют и органическую фазу три раза промывают водой. Растворитель выпаривают под вакуумом и остаток хроматографируют на диоксиде кремния, используя гексан/толуол (в соотношении от 9:1 до 3:1), с получением в виде жидкости N-(2′,3′,5′,6′-тетрафторфенил)-этиланилина. 1Н-ЯМР (400 МГц, CDCl3): 1,26 (t, 3Н, СН3); 2,65 (q, 2H, СН2); 5,65 (s, 1H, NH); 6,73 [tt, 1H, H-C(4′)]; 6,88 [d, 2H, Н-С (2,6)]; 7,15 [d, 2H, H-C(3,5)]. MS, m/z: 268 (М-Н), 248 (M-HF). Пример 1в N-(2′-хлор-4′-фтор-6′-метилфенил)-4-метиланилин 3,08 г (19,3 ммоля) 2-хлор-4-фтор-6-метиланилина (получен из N-ацетил-4-фтор-2-метиланилина хлорированием с последующим гидролизом) и 3,48 г (20,3 ммоля) 4-бромтолуола растворяют в 55 мл толуола и после добавления 3,43 г (36 ммоля) трет-бутоксида натрия, 166 мг (0,82 ммоля) тритрет-бутилфосфина и 460 мг (0,8 ммоля) бисдибензилиденацетонпалладия(0) смесь выдерживают с перемешиванием в азотной атмосфере при 90°С в течение 40 мин. В результате обычной водной кислотной обработки (50 мл воды, 10 мл концентрированной HCl, 1 г продукта hyflo, фильтрование, промывка органической фазы водой, сушка, выпаривание) в виде маслянистого вещества получают 5,5 г сырого продукта, который может быть очищен экспресс-хроматографией с использованием диоксида кремния и гептана в качестве элюента с получением 3,52 г N-(2′-хлор-4′-фтор-6′-метилфенил)-4-метиланилина. 1Н-ЯМР (400 МГц, ДМСО-d6): 2,18 (s, 3H, СН3); 6,37 (d, 2H, Н-С (2,6)]; 6,92 [d, 2H, Н-С (3,5)]; 7,19 (dd, 1Н, Н-С (5′)]; 7,32 (s, 1H, NH); 7,35 (dd, 1H, HC (3′)]. Пример 1г N-(2′-хлор-6′-метилфенил)-4-метиланилин В 50 мг толуола в азотной атмосфере при 90°С в течение 20 мин и при 60°С в течение ночи проводят реакцию 1,02 г (7,2 ммоля) 2-хлор-6-метиланилина, 1,23 г (7,2 ммоля) 4-бромтолуола, 1,15 г (12 ммоля) натрий трет-бутоксида, 160 мг (0,7 ммоля) тритрет-бутилфосфина и 130 мг (0,23 ммоля) бисдибензилиденацетонпалладия(0). В результате водной обработки (3н. HCl, продукт hyflo, промывка органической фазы водой) и экспресс-хроматографии на диоксиде кремния с использованием гептана/толуола (в соотношении 4:1) в качестве элюента получают 1,49 г N-(2′-хлор-6′-метилфенил)-4-метиланилина. 1Н-ЯМР (400 МГц, CDCl3): 2,21 (s, 3Н, С-6′-СН3); 2,29 (s, 3Н, С-4-СН3); 5,61 (s, широкий, 1Н, NH); 6,57 [d, 2H, НС (2,6)]; 7,04 [d, 2H, НС (3,5)]; 7,07 [t при сигнале при 7,04, 1Н, НС (4′)]; 7,16 [d, 2H, H(C5′)]; 7,33 [d, 1H, H(C3′)]. В качестве побочного продукта выделяют N,N-бис-п-толил-2-хлор-6-метиланилин (9 мг). Пример 1д N-(2′-хлор-6′-метилфенил)-4-этиланилин В раствор 5,2 г (37 ммоля) 2-хлор-6-метиланилина и 6,95 г (37,6 ммоля) 4-этилбромбензола в 50 мл толуола добавляют 6,5 г (68 ммоля) трет-бутоксида натрия, 180 мг (0,89 ммоля) тритрет-бутилфосфина (растворенного в 2 мл толуола) и 300 мг (0,52 ммоля) бисдибензилиденацетонпалладия(0). В азотной атмосфере смесь выдерживают при 90°С в течение 3 ч, а затем охлаждают до комнатной температуры. Добавляют 1 г продукта hyflo, 30 мл воды и 10 мл концентрированной соляной кислоты и после перемешивания в течение 30 мин смесь фильтруют. Органическую фазу дважды промывают 30 мл воды и выпаривают. Остаток подвергают экспресс-хроматографии на 75 г диоксида кремния, элюируя гептаном, с получением 5,3 г (21,6 ммоля, 58%) N-(2′-хлор-6′-метилфенил)-4-этиланилина в виде почти бесцветной жидкости. 1H-ЯМР (300 МГц, CDCl3): 1,10 (t, 3Н, СН3-СН2-); 2,10 [s, 3Н, СН3-С(6′)]; 2,50 (q, 2H, СН3–СН2-); 5,54 (s, широкий, 1H, NH); 6,48 [d, 2H, НС (2,6)]; 6,93 [t, 1H, H(C4′)]; 6,95 [d, 2H, НС (3,5)]; 7,05 [d, 1H, HC (5′)]; 7,22 [d. 1H,HC (3′)]. Пример 1е N-(2′,4′-дихлор-6′-метилфенил)-4-этиланилин Смесь 3,313 г 2,4-дихлор-6-метиланилина (18,8 ммоля), 3,64 г 4-этилбромбензола (20 ммоля), 3,41 г трет-бутоксида натрия (35 ммоля), 0,274 г рацемического BINAP (0,44 ммоля), 250 мг бисдибензилиденацетонпалладия(0) (0,43 ммоля) и 50 мл толуола кипятят с обратным холодильником в азотной атмосфере в течение 22 ч. Смесь охлаждают, обрабатывают 40 мл воды, 10 мл концентрированной HCl, 1,7 г продукта hyflo, перемешивают в течение дополнительных 30 мин и фильтруют. Органическую фазу дважды промывают водой и выпаривают. Сырой продукт (6,88 г) очищают экспресс-хроматографией (диоксид кремния, толуол) с получением 2,93 г N-(2′,4′-дихлор-6’метилфенил)-этиланилина. 1H-ЯМР (300 МГц, CDC3): 1,15 (t, 3Н, СН3-СН2-Ar); 2,08 (s, 3Н, С-6′-СН3); 2,50 (q, 2Н, СН3–СН2-Ar); 5,42 (s, широкий, 1Н, NH); 6,50 [d, 2H, НС (2,6,)]; 6,96 [d, 2H, НС (3,5)]; 7,10 [s, 1H, НС (5′)]; 7,25 [s, 1H, НС (3′)]. Реакция протекает намного быстрее даже при 85°С, когда BINAP заменяют тритрет-бутилфосфином, однако, когда используют избыток 4-этилбромбензола, в качестве побочного продукта в значительных количествах образуется N,N-ди-(4-этилфенил)-2′,4′-дихлор-6′-метиланилин. Этот побочный продукт может быть выделен в виде твердого вещества, tпл 74-75°С; 1Н-ЯМР (400 МГц, CDCl3): 1,24 (t, 6H, СН2-СН3); 2,09 (s, 3Н, С-6′-СН3); 2,61 (q, 4H, CH2-СН3); 6,89 [d, 4H, НС (2,6)]; 7,06 [d, 4H, НС (3,5)]; 7,20 [s, 1H, НС (5′)]; 7,36 [s, 1H, НС (3′)]; MS: 383 (М+), 368 (М-СН3), 354 (М-СН2СН3). Пример 2 N-(2′,3′,6′-трифторфенил)-4-этиланилин В раствор 1,21 г 4-этиланилина, 1,10 г 2,3,6-трифторбромбензола в 10 г толуола последовательно добавляют 350 мг BINAP, 300 мг бисдибензилиденацетонпалладия(0) [Pd(dba)2] в 3 мл толуола и 0,9 г трет-бутоксида натрия в 3 мл толуола. Смесь продувают азотом и выдерживают в течение 6 ч при температуре кипения с обратным холодильником. После охлаждения до комнатной температуры добавляют 30 мл воды, 10 мл концентрированной соляной кислоты и 1 г продукта hyflo и перемешивание продолжают в течение 1 ч. Смесь фильтруют и фильтрат разделяют на фазы. Органическую фазу промывают три раза водой, сушат с использованием сульфата магния и выпаривают досуха. Остаток может быть использован без обработки на следующей стадии или очищен экспресс-хроматографией на диоксиде кремния с использованием толуола в качестве элюента с получением 1,13 г N-(2′,3′,6′-трифторфенил)-этиланилина. 1H-ЯМР (300 МГц, CDCl3): 1,14 (t, 7,7 Гц, 3Н, СН3-СН2-Ar); 2,53 (q, 7,7 Гц, 2Н, СН3–СН2-Ar); 5,29 (широкий s, 1Н, NH); 6,7-6,81 [m, 2H, С-4′-Н, НС (5′)]; 6,75 [d, 2H, НС (2,6)]; 7,02 [d, 8,5 Гц, 2H, НС (3,5)]. Дифениламиновые соединения формулы VIII, например, полученные по вышеизложенному в примерах 1 и 2, превращают в соответствующие соединения формулы VII как описано в примере 3 Пример 3а N-(2′,3′,4′,6′-тетрафторфенил)-N-хлорацетил-4-метиланилин Смесь 0,82 г N-(2′,3′,4′,6′-тетрафторфенил)-4-метиланилина (3,2 ммоля) и 1,6 г хлорацетилхлорида выдерживают с перемешиванием при 90°С в азотной атмосфере в течение 1,3 ч. Для разложения избытка хлорангидрида кислоты добавляют 2-пропанола и воды (по 2 мл каждого) и перемешивание продолжают в течение ночи при комнатной температуре. После добавления 20 мл толуола смесь экстрагируют бикарбонатом натрия и органическую фазу сушат сульфатом магния и выпаривают досуха. Остаток очищают экспресс-хроматографией (диоксид кремния, толуол) с получением в виде масла 0,98 г N-(2′,3′,4′,6′-тетрафторфенил)-N-хлорацетил-4-метиланилина (2,95 ммоля). Пример 3б N-(2’3’5’6′-тетрафторфенил)-N-хлорацетил-4-этиланилин 2,05 г N-(2′,3′,5′,6′-тетрафторфенил)-этиланилина и 1,99 г хлорацетилхлорида смешивают без растворителя и выдерживают с перемешиванием при 90°С в азотной атмосфере в течение 20 ч. После охлаждения добавляют 10 мл тетрагидрофурана и водного бикарбоната натрия и перемешивание продолжают в течение примерно 1 ч. Органическую фазу разбавляют толуолом, три раза промывают водой и сушат над сульфатом магния. Выпариванием и хроматографией остатка (диоксид кремния, толуол) получают 1,84 г N-(2′,3′,5′,6′-тетрафторфенил)-N-хлорацетил-4-этиланилина в виде твердого вещества, которое перекристаллизовывают из гептана, tпл 72°С. 1Н-ЯМР (400 МГц, ДМФ-d7, 140°С): 1,25 (t, 3H, СН3); 2,70 (q, 2H, СН2); 4,28 (s, 2H, СН2-СО); 7,35 [d, 2H, HC (3,5)]; 7,43 [d, 2H, НС (2,6)]; 7,65 [tt, 1H, HC (4′)]. Пример 3в N-(2′-хлор-4′-фтор-6′-метилфенил)-N-хлорацетил-4-метиланилин При 90°С в течение 30 мин проводят реакцию 1,32 г N-(2′-хлор-4′-фтор-6′-метилфенил)-4-метиланилина с 1,76 г хлорацетилхлорида. Охлаженную смесь перемешивают в течение 30 мин с 20 мл толуола и водным карбонатом натрия и органическую фазу выпаривают. Остаток очищают экспресс-хроматографией на диоксиде кремния, используя толуол, с получением 1,04 г N-(2′-хлор-4′-фтор-6′-метилфенил)-N-хлорацетил-4-метиланилина в виде твердого вещества, которое перекристаллизовывают из гептана/2-пропанола (в соотношении 9:1), tпл 96-97°C. 1Н-ЯМР (400 МГц, ДМФ-d7, 120°С, все пики кажутся уширенными или расщепленными): 2,43 (s, 3H, СН3); 4,31 (s, 2H, Cl-СН2-СО); 7,31 [d, 1H, НС (5′)]; 7,32 и 7,40 [АВ, 4Н, С-НС (2,6) и НС (3,5)]; 7,45 [s, 1H, НС (3′)]. Пример 3г N-(2′-хлор-6′-метилфенил)-N-хлорацетил-4-метиланилин Раствор 1,4 г N-(2′-хлор-6′-метилфенил)-4-метиланилина в 2,21 г хлорацетилхлорида выдерживают при 90°С в течение 4 ч. Смесь разбавляют толуолом (25 мл), охлаждают до комнатной температуры и промывают водным карбонатом натрия. Органическую фазу сушат, выпаривают и остаток подвергают экспресс-хроматографии [57 г диоксида кремния, толуол и толуол/этилацетат (в соотношении 98:2)] с получением 1,45 г N-(2′-хлор-6′-метилфенил)-N-хлорацетил-4-метиланилина, который кристаллизуют из гептана, tпл 113-114°С. Пример 3д N-(2′-хлор-6′-метилфенил)-N-хлорацетил-4-этиланилин 4,95 г N-(2′-хлор-6′-метилфенил)-N-4-этиланилина (20 ммоля) обрабатывают 3,23 г хлорацетилхлорида (28,5 ммоля) и смесь выдерживают с перемешиванием в азотной атмосфере при 95°С в течение 40 мин. После добавления 5 мл 2-пропанола и охлаждения до комнатной температуры смесь разбавляют толуолом и экстрагируют водным бикарбонатом натрия. Органическую фазу промывают водой и выпаривают досуха. Экспресс-хроматографией на диоксиде кремния (55 г) с использованием толуола в качестве элюента в виде вязкой жидкости получают 5,66 г (17,6 ммоля, выход: 88%) N-(2′-хлор-6′-метилфенил)-N-хлорацетил-4-этиланилина. 1Н-ЯМР (400 МГц, ДМФ-d7, 140°С): 1,22 (t, 3Н, СН3-СН2-), 2,32 (s, 3Н, СН3-С6′); 2,65 (q, 2Н, СН3–СН2-); 4,12, 4,18 (АВ, 2Н, CH2-Cl); 7,22 и 7,31 [каждый d, каждые 2Н, НС (2,6) и НС (3,5)]; 7,3-7,5 [m, 3Н, НС (3′,4′,5′)]. Пример 3е N-(2′,4′-дихлор-6′-метилфенил)-N-хлорацетил-4-этиланилин 4,83 г N-(2′,4′-дихлор-6′-метилфенил)-4-этиланилина [в виде смеси с N,N-ди-(4-этилфенил)-2′,4′-дихлор-6′-метиланилином как побочным продуктом] растворяют в 4,18 г хлорацетилхлорида и выдерживают при 100°С в течение 1,5 ч. Смесь охлаждают, разбавляют 50 мл толуола и экстрагируют водным бикарбонатом натрия. Органическую фазу выпаривают досуха и хроматографируют на диоксиде кремния (75 г), элюируя толуолом, с получением непрореагировавшего N,N-ди-(4-этилфенил)-2′,4′-дихлор-6′-метиланилина и 2,95 г N-(2′,4′-дихлор-6′-метилфенил)-N-хлорацетил-4-этиланилина. Кристаллизованный образец плавится при 83-84°С. 1Н-ЯМР (400 МГц, ДМФ-d7, 140°С): 1,22 (t, 3Н, CH3-CH2); 2,31 (s, 3H, С-6′-СН3); 2,56 (q, 2Н, СН3–СН2); 4,20 (s, расщепленный, 2Н, Cl-CH2-CO); 7,35, 7,42 [АВ, 4Н, НС (2,6) и НС (3,5) соответственно]; 7,40 [s, широкий, 1Н, НС (5′)]; 7,53 [s, широкий, 1Н, НС (3′)]. В другом варианте соединения формулы VIII могут быть получены по методу, включающему реакцию сочетания 1-метокси-4-метилциклогекса-1,4-диена или 1-метокси-4-этилциклогекса-1,4-диена с анилиновым производным формулы IV, как оно представлено выше, с получением промежуточного соединения формулы XIII (или его таутомера) которое окисляют без выделения с получением соединения формулы VIII по изложенному ниже в примере 4. Пример 4а N-(2′,6′-дихлорфенил)-4-метиланилин Раствор 4,35 г 2,6-дихлоранилина в 4 мл тетрагидрофурана и 35 мл хлорбензола охлаждают до температуры от -40 до -45°С. При этой температуре в раствор добавляют 5,09 г тетрахлорида титана с последующим введением 5,0 г 1-метокси-4-метилциклогекса-1,4-диена. Реакционной смеси дают нагреться до приблизительно -35°С и перемешивают при этой температуре в течение 2 ч. Затем в реакционную смесь по каплям добавляют раствор 10,18 г иода в 20 мл тетрагидрофурана и 2,3 мл уксусной кислоты и реакционной смеси дают нагреться до 0°С. Смесь перемешивают в течение 1 ч при 0°С и 16 ч при 25°С. Затем в реакционную смесь добавляют 3,4 г иода и перемешивание продолжают в течение дополнительных 24 ч при 25°С. Наконец реакцию гасят выливанием реакционной смеси в смесь 250 мл водного бисульфита натрия (38-40%-ный) и 400 мл насыщенного водного карбоната натрия. Водные фазы экстрагируют 1 порцией в 200 мл и 2 порциями по 100 мл этилацетата, этилацетатные фазы объединяют и промывают 100 мл воды. Органическую фазу сушат над безводным сульфатом натрия и выпаривают под вакуумом с получением 11,44 г темного шлама. Этот шлам растворяют в гексане/трет-бутилметиловом эфире и раствор фильтруют через силикагель с получением после выпаривания растворителя 5,75 г сырого продукта. Продукт может быть использован непосредственно на следующей стадии. По другому варианту его можно очищать, например, хроматографией в колонке на силикагеле с использованием гексана/трет-бутилметилового эфира (в соотношении 9:1) в качестве элюента, с получением чистого N-(2′,6′-дихлорфенил)-4-метиланилина. 1Н-ЯМР (CDCl3, 400 МГц, 300 К) MS (EI): m/z 251(М+), 216 (M-Cl)+, 181 (M-2Cl)+ Пример 4б N-(2′-хлор-6′-фторфенил)-4-метиланилин Раствор 3,91 г 2-хлор-6-фторанилина в 4 мл тетрагидрофурана и 35 мл хлорбензола охлаждают до температуры от -40 до -45°С. При этой температуре в раствор добавляют 5,09 г тетрахлорида титана с последующим введением 5,0 г 1-метокси-4-метилциклогекса-1,4-диена. Реакционной смеси дают нагреться до приблизительно -35°С и перемешивают при этой температуре в течение 2 ч. Затем в реакционную смесь по каплям добавляют раствор 10,18 г иода в 20 мл тетрагидрофурана и 2,3 мл уксусной кислоты и реакционной смеси дают нагреться до 0°С. Смесь перемешивают в течение 1 ч при 0°С и 16 ч при 25°С. Затем в реакционную смесь добавляют 3,4 г иода и перемешивание продолжают в течение дополнительных 24 ч при 25°С. Наконец реакцию гасят выливанием реакционной смеси в смесь 250 мл водного бисульфита натрия (38-40%-ный) и 400 мл насыщенного водного карбоната натрия. Водные фазы экстрагируют 1 порцией в 200 мл и 2 порциями по 100 мл этилацетата, этилацетатные фазы объединяют и промывают 100 мл воды. Органическую фазу сушат над безводным сульфатом натрия и выпаривают под вакуумом с получением желтой вязкой жидкости. Эту жидкость растворяют в гексане/трет-бутилметиловом эфире и раствор фильтруют через силикагель с получением после выпаривания растворителя 4,33 г сырого продукта. Продукт может быть использован непосредственно на следующей стадии. По другому варианту его можно очищать, например, хроматографией в колонке на силикагеле с использованием гексана/трет-бутилметилового эфира (в соотношении 9:1) в качестве элюента с получением чистого N-(2′-хлор-6′-фторфенил)-4-метиланилина. 1Н-ЯМР (ДМСО-d6, 500 МГц, 300 К) MS (EI) m/z 235 (100, M+), 200 (35, (M-Cl)+), 185 (55) Пример 4в N-(2′-хлор-6′-метилфенил)-4-этиланилин Раствор 3,0 г 2-хлор-6-метиланилина в 3,5 мл тетрагидрофурана и 31 мл хлорбензола охлаждают до температуры от -40 до -45°С. При этой температуре в раствор добавляют 4,01 г тетрахлорида титана с последующим введением 6,18 г 1-метокси-4-этилциклогекса-1,4-диена. Реакционной смеси дают нагреться до приблизительно -35°С и при этой температуре перемешивают в течение 3 ч. В реакционную смесь добавляют раствор 8,06 г иода в 16,4 мл тетрагидрофурана и 1,8 мл уксусной кислоты и реакционной смеси дают нагреться до 0°С. Смесь перемешивают в течение 30 мин при 0°С и 2 ч при 25°С. Затем в реакционную смесь добавляют 2,68 г иода и перемешивание продолжают в течение дополнительных 24 ч при 25°С. Вновь добавляют 2,68 г иода и перемешивание продолжают в течение еще 72 ч при 25°С. Наконец реакцию гасят выливанием реакционной смеси в смесь 250 мл водного бисульфита натрия (38-40%-ный) и 450 мл насыщенного водного карбоната натрия. Водные фазы экстрагируют этилацетатом (1 порцией в 200 мл и 2 порциями по 100 мл), этилацетатные фазы объединяют и промывают 100 мл рассола. Органическую фазу сушат над безводным сульфатом натрия и выпаривают под вакуумом с получением темной вязкой жидкости. Эту жидкость растворяют в гептане/толуоле и раствор фильтруют через силикагель с получением после выпаривания растворителя 2,0 г сырого продукта. Продукт может быть использован непосредственно на следующей стадии. В другом варианте его можно очищать, например, хроматографией в колонке на силикагеле, используя гептан/толуол (в соотношении 7:3) в качестве элюента с получением чистого N-(2′-хлор-6′-метилфенил)-4-этиланилина. 1Н-ЯМР (CDCl3, 400МГц, 300 К) MS: m/z 245(М+), 230, 214, 194, 180. 1-метокси-4-метилциклогекса-1,4-диеновый и 1-метокси-4-этилциклогекса-1,4-диеновый исходные материалы для примера 4 получают в соответствии с известным в литературе методом. 1-метокси-4-метилциклогекса-1,4-диен получение в соответствии с известным в литературе методом: G.S.R. Subba Rao, D.K. Banerjee, L. Uma Devi и Uma Sheriff, Australian Journal of Chemistry 1992, 45, cc.187-203, 1-метокси-4-этилциклогекса-1,4-диен Соединение 4 получают в соответствии с тем же описанным в литературе методом, приведенным выше для 1-метокси-4-метилциклогекса-1,4-диена. Продукты примеров 4 превращают в соответствующие соединения формулы VII, в частности, так, как изложено в примере 3, приведенном выше, и 5, приведенном ниже. Пример 5 N-(2′,6′-дихлорфенил)-N-хлорацетил-4-метиланилин При 90°С в течение 2 ч проводят реакцию 4,86 г N-(2′,6′-дихлорфенил)-4-метиланилина с 3,92 г хлорацетилхлорида. После разбавления толуолом смесь дважды промывают водным карбонатом натрия, 40%-ным водным бисульфитом натрия и водой. Органическую фазу сушат (MgSO4) и выпаривают. Остаток перекристаллизовывают из 12 г этанола с получением 2,83 г N-(2′,6′-дихлорфенил)-N-хлорацетил-4-метиланилина, tпл 129,5-130°C. Тем не менее, по методу, включающему реакцию перегруппировки соединения формулы IX типа реакции Смайлса, могут быть дополнительно получены другие соединения формулы VII с получением промежуточного продукта формулы VIII, как это указано выше, который превращают без выделения в соединение формулы VII по изложенному в приведенном ниже примере. Пример 6а N-(2′,6′-дихлор-4′-метилфенил)-N-хлорацетил-4-метиланилин 12 г (67 ммолей) 2,6-дихлор-4-метилфенола растворяют в 25 мл 2-пропанола с последующим введением 10,5 г (76 ммолей) карбоната калия и 12,8 г (70 ммолей) 2-хлор-N-(4-метилфенил)ацетамида. Смесь кипятят с обратным холодильником в течение 4 ч. За это время завершается образование продукта А-2-(2′,6′-дихлор-4′-метилфенокси)-N-(4-метилфенил)ацетамида. Медленно добавляют 13,6 мл 30%-ного раствора метилата натрия в метаноле и отгонкой 25 мл растворителя температуру повышают до примерно 85°С. Смесь перемешивают в течение еще 2 ч для завершения образования продукта B. При 70°С добавляют 25 мл воды с получением 2-фазного раствора. Нижний слой выбрасывают в отход. Верхний слой разбавляют 20 мл гептановой фракции и промывают 2 порциями по 20 мл воды. Органическую фазу разделяют и концентрируют под вакуумом с получением в виде сырого масла N-(2′,6′-дихлор-4′-метилфенил)-4-метиланилина. GC/MS: 265 (100, М+), 195 (130). Этот продукт в виде масла нагревают до 90°С и обрабатывают 6,5 мл хлорацетилхлорида. После 2 ч смесь разбавляют 60 мл 2-пропанола, охлаждают до примерно 20°С и вносят затравку. Выпадающую в осадок суспензию охлаждают до 0°С. Кристаллы выделяют фильтрованием, промывают холодным 2-пропанолом и сушат с получением N-(2′,6′-дихлор-4′-метилфенил)-N-хлорацетил-4-метиланилина, tпл 140-141°С. 1Н-ЯМР (ДМФ-d7, 413 К, 400 МГц) 2,33 (s, 3Н, СН3); 2,40 (s, 3H, СН3); 4,18 (s, 2H, СН2); 7,22 [d, 2H, НС (5) и НС (3)]; 7,38 [d, 2H, НС (2) и НС (6)]; 7,42 [s, 2H, НС (3′) и НС (5′)]. Пример 6б N-(2′-хлор-6′-фторфенил)-N-хлорацетил-4-метиланилин Процесс проводят аналогично примеру 6а, используя в качестве исходного материала 2-хлор-6-фторфенол, tпл 80-82°С. 1Н-ЯМР (ДМФ-d7, 393К, 400 МГц) 2,4 (s, 3Н, СН3); 4,3 (s, 2H, СН2); 7,35 [d, 2H, НС (3) и НС (5)]; 7,43 [ddd, 1Н, НС (5′)]; 7,48 [d, 2H, HC (2) и НС (6)]; 7,55 [d, 1H, НС (3′)]; 7,6 [ddd, 1H, НС (4′)]. Пример 6в N-(2′,3′,6′-трифторфенил)-N-хлорацетил-4-этиланилин Осуществляют такой же метод, как в примере 6а, используя в качестве исходных материалов 2,3,6-трифторфенол и 2-хлор-N-(4-этилфенил)ацетамид. Сырой промежуточный N-(2′,3′,6′-трифторфенил)-4-этиланилин грубо очищают фильтрованием через диоксид кремния с использованием толуола в качестве элюента. tпл 49-50°С. 1H-ЯМР(ДМФ-d7, 413 К, 400 МГц) 1,24 (t, 3Н, СН3); 2,70 (q, 2H, СН2-СН3); 4,25 (s, 2H, CH2-Cl); 7,20 [m, 1H, HC (5′)]; 7,34 [d, 2H, НС (3) и НС (5)]; 7,42 [d, 2H, НС (2) и НС (6)]; 7,46 [m, 1H, НС (4′)]. Пример 6г N-(2′-хлор-6′-фторфенил)-N-хлорацетил-4-этиланилин Осуществляют такой же метод, как в примере 6а, используя в качестве исходных материалов 2-хлор-6-фторфенол и 2-хлор-N-(4-этилфенил)ацетамид. tпл 67-68°C. 1Н-ЯМР (ДМФ-d7, 413 К, 500 МГц) 1,23 (t, 3H, СН3); 2,68 (q, 2Н, СН2-CH3); 4,20 (s, 2Н, СН2-Cl); 7,29 [d, 2H, НС (3) и НС (5)]; 7,34 [m, 1H, НС (5′)]; 7,43 [d, 2H, НС (2) и НС (6)]; 7,48 [m, 2H, НС (3′) и НС (4′)]. Пример 6д N-(2′,6′-дихлорфенил)-N-хлорацетил-4-метиланилин Осуществляют такой же метод, как в примере 6а, используя в качестве исходных материалов 2,6-дихлорфенол и 2-хлор-N-(4-метилфенил)ацетамид. В конце реакции ацетилирования с целью предотвратить затвердевание смесь разбавляют небольшим количеством (0,2 части) толуола. tпл 129-130°С. 1H-ЯМР(ДМФ-d7, 393 К, 500 МГц) 2,40 (s, 3H, СН3); 4,28 (s, 2H, СН2-Cl); 7,30 [d, 2H, НС (3) и НС (5)]; 7,46 [d, 2H, НС (2) и НС (6)]; 7,54 [m, 1H, НС (4′)]; 7,67 [d, 2H, НС (3′) и НС (5′)]. Соединения формулы VII циклизуют с получением лактамов формулы II по изложенному в примере 7. Пример 7а N-(2′,6′-дихлор-4′-метилфенил)-5-метилоксиндол Смесь 6,85 г (20 ммолей) N-(2′,6′-дихлор-4′-метилфенил)-N-хлорацетил-4-метиланилина и 3,36 г (26 ммолей) алюминийхлорида медленно нагревают до 160-170°С и выдерживают при этой температуре в течение от 3 до 4 ч. В течение этого времени через расплав непрерывно барботируют азот. Смесь разбавляют 20 мл толуола и добавляют еще 20 мл теплой воды. Органический слой отделяют, промывают водой и выпаривают. Остаток кристаллизуют из 20 мл 2-пропанола, получая N-(2′,6′-дихлор-4′-метилфенил)-5-метилоксиндол, tпл 153-154°С. 1Н-ЯМР (ДМСО-d6, 500 МГц, 300 К) 2,29 [s, 3Н, СН3-С(5)]; 2,41 [s, 3Н, СН3-С(4′)]; 3,81 (s. 2Н, СН2); 6,27 [d, 1Н, НС (7)]; 7,00 [d, 1H, HC (6)]; 7,19 [s, 1H, HC (4)]; 7,58 [s, 2H, HC (3′) и НС (5′)]. Пример 7б N-(2′-хлор-6′-фторфенил)-5-метилоксиндол Осуществляют такой же метод, как в примере 7а. tпл 137-138°С, 1Н-ЯМР (ДМСО-d6, 500 МГц, 300 К) 2,27 (s, 3Н, СН3); 3,83 (s, 2H, СН2); 6,35 [d, 1H, НС (7)]; 7,01 [d, 1H, НС (6)]; 7,19 [s, 1H, НС (4)]; 7,52 [d, 1H, НС (5′)]; 7,60 [d, 1H, НС (3 Пример 7в N-(2′,3′,6′-трифторфенил)-5-этилоксиндол Осуществляют такой же метод, как в примере 7а. После 4 ч реакции добавляют дополнительно 10% алюминийхлорида. Общая продолжительность реакции 6 ч. tпл 171-172°С, 1Н-ЯМР (ДМСО-d6, 500 МГц, 300 К) 1,18 (t, 3Н, СН3); 2,60 [q, 2H, СН2-СН3]; 3,89 [s, 2H, СН2-СО]; 6,62 [d, 1H, НС (7)]; 7,09 [d, 1H, HC (6)]; 7,25 [s, 1H, НС (4)]; 7,46 [m, 1H, HC (5′)]; 7,76 [m, 1H, НС (4′)]. Пример 7г N-(2′-хлор-6′-фторфенил)-5-этилоксиндол Осуществляют такой же метод, как в примере 7в. tпл 129-130°С. 1Н-ЯМР (ДМСО-d6, 300 К, 500 МГц) 1,18 (t, 3Н, СН3); 2,59 [q, 2H, СН2-СН3]; 3,86 (s, 2H, СН2-СО); 6,39 [d, 1H, НС (7)]; 7,05 [d, 1H, HC (6)]; 7,24 [s, 1H, НС (4)]; 7,59 [m, 1H, HC (5′)]; 7,64 [m, 2H, НС (3′) и НС (4′)]. Пример 7д N-(2′,6′-дихлорфенил)-5-метилоксиндол Осуществляют такой же метод, как в примере 7а. 1Н-ЯМР (ДМСО-d6, 500 МГц, 300 К) 2,30 (s, 3Н, СН3); 3,85 (s, 2H, СН2); 6,29 [d, 1H, HC (7)]; 7,02 [d, 1H, HC (6)]; 7,22 [s, 1H, HC (4)], 7,62 [t, 1H, HC (4′)]; 7,76 [d, 2H, НС (3 Пример 7е N-(2′,3′,4′,6′-тетрафторфенил)-5-метилоксиндол Раствор 0,97 г N-(2′,3′,4′,6′-тетрафторфенил)-N-хлорацетил-4-метиланилина (2,97 ммоля) в 2,5 г хлорбензола обрабатывают 1,05 г трихлорида алюминия (7,8 ммоля) и смесь выдерживают при повышенной температуре (155°С) с перемешиванием на масляной бане в течение 5 ч, одновременно продувая колбу азотом. Добавляют 30 мл толуола и 20 мл воды и перемешивание продолжают в течение 30 мин при комнатной температуре. Фазы разделяют и органическую фазу промывают 2н. соляной кислотой и водой. Выпариванием под пониженным давлением получают 0,84 г твердого вещества (2,85 ммоля), которое перекристаллизовывают из 2-пропанола с получением чистого N-(2′,3′,4′,6′-тетрафторфенил)-5-метилоксиндола, tпл 172-173°С. 1Н-ЯМР (300 МГц, 300 К, CDCl3): 2,28 (s, 3Н, СН3); 3,65 [s, 2H, Н2С(3)]; 6,39 [d, 7,5 Гц, 1H, НС (7)]; 6,85-7,0 [m, 1H, НС (5′)]; 6,98 (d, 7,5 Гц, 1H, НС (6)]; 7,09 [s, 1H, HC (4)]. Пример 7ж N-(2′-хлор-6′-метилфенил)-5-этилоксиндол В колбе 2,08 г N-(2′-хлор-6′-метилфенил)-N-хлорацетил-4-этиланилина смешивают с 1,16 г трихлорида алюминия и смесь продувают азотом. Колбу помещают на масляную баню (155-160°С) и смесь перемешивают в токе азота в течение 4,5 ч. Смесь слегка охлаждают до примерно 100°С, обрабатывают 30 мл толуола и 20 мл 1н. HCl и перемешивают в течение 30 мин при одновременном постепенном понижении температуры. После разделения фаз органическую фазу промывают 1н. HCl и водой, сушат (сульфат магния) и выпаривают. Остаток хроматографируют на диоксиде кремния (86 г), используя толуол, содержащий от 5 до 20% изопропилацетата в качестве элюента, с получением указанного в заглавии продукта, tпл 125-126°С В дальнейшем окислением ненасыщенного лактама формулы III получают другие лактамы формулы II которые могут быть получены, в частности, по изложенному в примере 8. Пример 8 Этиловый эфир (5-этил-2-морфолин-4-илциклогекс-2-енилиден)уксусной кислоты 91,6 г 4-этилциклогексанона, 73,6 г морфолина и 2 г моногидрата п-толуолсульфоновой кислоты растворяют в 400 мл толуола. Смесь выдерживают при температуре кипения с обратным холодильником и образующуюся воду удаляют с помощью сепаратора воды. После реакции в течение примерно 24 ч реакционную смесь охлаждают до 100°С и добавляют 2 г п-толуолсульфоновой кислоты с последующим введением в течение 30 мин 157,22 г этилового эфира глиоксиловой кислоты. Смесь вновь выдерживают при температуре кипения с обратным холодильником в течение 5 ч и дают остыть до 22°С. Под вакуумом выпаривают растворитель и сырой продукт перегоняют под вакуумом при 140-150°С/9,5-2 мбара. 1H-ЯМР (CDCl3, 500 МГц, 277 К) IR (пленка): интенсивные полосы поглощений при 2960, 1710, 1624, 1609, 1191, 1156 и 1120 cm-1. MS (EI): m/z 279 (M+), 250 (M-C2H5)+, 234, 206 (M-CO2C2H5)+, 176, 164, 135, 84. б) Синтез этилового эфира (5-этил-2-оксоциклогексилиден)уксусной кислоты 10 г этилового эфира [5-этил-2-морфолин-4-илциклогекс-2-енилиден]уксусной кислоты растворяют в 20 мл толуола. При интенсивном перемешивании по каплям добавляют 12 мл 6 М HCl и реакционную смесь перемешивают в течение еще 60 мин при 22°С. Органический слой разделяют и дважды промывают 25 мл воды. Объединенные водные слои экстрагируют 25 мл толуола. Объединенные толуольные слои сушат над безводным сульфатом натрия и под вакуумом выпаривают растворитель с получением в виде масла 6,72 г этилового эфира [5-этил-2-оксоциклогексилиден]уксусной кислоты. 1H-ЯМР (CDCl3, 500 МГц, 277 К) IR (пленка): интенсивные полосы поглощений при 1719, 1698 и 1200 cm-1. MS (EI): m/z 210 (M+), 164 (М-C2Н5ОН)+, 135. в) Синтез 1-(2-хлор-6-метилфенил)-5-этил-1,4,5,6-тетрагидроиндол-2-она 3,45 г 2-хлор-6-метиланилина растворяют в 26 мл толуола. Добавляют 0,227 г п-толуолсульфоновой кислоты (моногидрат) и смесь выдерживают при температуре кипения с обратным холодильником. По каплям в течение 75 мин добавляют раствор 5,0 г этилового эфира (5-этил-2-оксоциклогексилиден)уксусной кислоты в 13 мл толуола и образующуюся воду собирают с помощью сепаратора воды. Реакционную смесь выдерживают при температуре кипения с обратным холодильником в течение 15 ч, причем в течение этого времени конденсирующийся растворитель часто удаляют и заменяют свежим толуолом. Для обработки смесь охлаждают до 22°С и при интенсивном перемешивании обрабатывают 70 мл насыщенного водного раствора бикарбоната натрия. Слои разделяют и толуольную фазу промывают 5%-ным водным раствором лимонной кислоты и наконец 10%-ным раствором хлорида натрия в воде. Водные фазы экстрагируют 70 мл толуола и толуольные фазы объединяют. Растворитель выпаривают под вакуумом с получением 7,1 г сырого продукта в виде высоковязкого масла. Аналитический образец сырого продукта может быть очищен хроматографией на силикагеле с использованием толуола/этилацетата (в соотношении 9:1) в качестве элюента с получением чистого 1-(2-хлор-6-метилфенил)-5-этил-1,4,5,6-тетрагидроиндол-2-она. 1Н-ЯМР (d6-ДМСО, 400 МГц, 300 К) IR (пленка): интенсивные полосы поглощений при 1703, 1660 и 1476 cm-1. MS (EI): m/z 287 (M+), 272 (M-СН3)+, 2,58 (M-C2H5)+, 252 (M-Cl)+. г) Синтез N-(2-хлор-6-метилфенил)-5-этилоксиндола 1-(2-хлор-6-метилфенил)-5-этил-1,4,5,6-тетрагидроиндол-2-он можно окислять по классическим методам, например 10% Pd-C в кипящем (с применением обратного холодильника) ксилоле, с получением N-(2-хлор-6-метилфенил)-5-этилоксиндола 1Н-ЯМР- и MS-спектроскопические данные приведены в примере 7ж. Лактамы формулы II, как они представлены выше, превращают в соединения формулы I, как они представлены выше, например, по изложенному в приведенном ниже примере 9. Пример 9а 5-метил-2-(2′,6′-дихлор-4′-метиланилино)фенилуксусная кислота Смесь 1,5 г N-(2′,6′-дихлор-4′-метилфенил)-5-метилоксиндола, 18 мл этанола и 1 мл воды выдерживают при температуре кипения с обратным холодильником. Медленно добавляют 1,9 г 30%-ного раствора гидроксида натрия и кипячение с обратным холодильником продолжают в течение 4-5 ч. Раствор охлаждают до примерно 40°С и обрабатывают медленным добавлением раствора 1,5 г концентрированной соляной кислоты в 12 мл воды до рН 3-4. Полученную суспензию охлаждают до 20°С. Кристаллы собирают фильтрованием, промывают водой и сушат, получая 5-метил-2-(2′,6′-дихлор-4′-метиланилино)фенилуксусную кислоту. tпл 179-182°С. 1Н-ЯМР (ДМСО-d6, 300 К, 500 МГц) 2,22 [s, 3H, СН3-С(5)]; 2,32 [s, 3H, СН3-С(4′)]; 3,67 (s, 2Н, CH2); 6,18 [d, 1Н, НС (3)], 6,87 [s, d, 1H, HC (4)]; 6,97 (s, 1H, NH); 7,02 [s, 1H, HC (6)]; 7,36 [s, 2H, НС (3′) и НС (5′)]; 12,68 (широкий s, 1H, COOH). Пример 9б 5-метил-2-(2′-хлор-6′-фторанилино)фенилуксусная кислота Осуществляют такой же метод, как в примере 9а. tпл 152-154°С 1H-ЯМР (ДМСО-d6, 500 МГц, 300 К) Пример 9в 5-метил-2-(2′,3′,4′,6′-тетрафторанилино)фенилуксусная кислота Суспензию 350 мг N-(2′,3′,4′,6′-тетрафторфенил)-5-мегипоксиндола в 20 мл этанола и 5 мл воды дегазируют пропусканием через нее в течение 1,5 ч азота. Затем добавляют 260 мг 30%-ного водного гидроксида натрия и смесь выдерживают при температуре кипения с обратным холодильником в течение 6,5 ч. Далее большую часть этанола удаляют дистилляцией, смесь охлаждают до комнатной температуры с последующим медленным введением 1н. соляной кислоты (1,05 г) до достижения рН примерно 3. Затем осадок отфильтровывают, промывают этанолом/водой (в соотношении 1:1) и сушат под вакуумом при комнатной температуре с получением указанного в заглавии продукта. tпл 145-146°C. 1Н-ЯМР (300 МГц, ДМСО-d6): 2,23 (s, 3Н, СН3); 3,65 (s, 2H, CH2-COO); 6,55 [s, 1H, HC (3)]; 6,92 [d, 1H, HC (4)]; 7,00 [s, 1H, HC (6)]; 7,20 (s, 1H, NH); 7,50 [m, 1H, HC (5′)]. Идентичным путем по существу аналогично вышеизложенному в соединения формулы I превращают другие лактамы формулы II.
Формула изобретения
1. Способ получения соединения формулы I, или его фармацевтически приемлемой соли, или его фармацевтически приемлемого пролекарственного сложного эфира в которой R обозначает метил или этил; R1 обозначает атом хлора или фтора; R2 обозначает атом водорода или фтора; R3 обозначает атом водорода, фтора, хлора, метил, этил, метокси, этокси или гидроксил; R4 обозначает атом водорода или атом фтора; R5 обозначает атом хлора, фтора, трифторметил или метил, при условии, что когда R обозначает этил, а R3 обозначает Н, не все R1, R2, R4 и R5 обозначают атомы фтора; включающий реакцию перегруппировки и гидролиз соединения формулы IX с образованием соединения формулы VIII с последующим превращением соединения формулы VIII в соединение формулы I и при желании с временной защитой любой мешающей реакционноспособной группы с последующим выделением полученного соединения по изобретению, и, если желательно, с превращением свободной карбоновой кислоты соединения формулы I в его фармацевтически приемлемое сложноэфирное производное и/или, если желательно, с превращением свободной кислоты формулы I в соль или соли в свободную кислоту или в другую соль. 2. Способ получения соединения формулы I, или его фармацевтически приемлемой соли, или его фармацевтически приемлемого пролекарственного сложного эфира в которой R обозначает метил или этил; R1 обозначает атом хлора или фтора; R2 обозначает атом водорода или фтора; R3 обозначает атом водорода, фтора, хлора, метил, этил, метокси, этокси или гидроксил; R4 обозначает атом водорода или атом фтора; R5 обозначает атом хлора, фтора, трифторметил или метил, при условии, что когда R обозначает этил, а R3 обозначает Н, не все R1, R2, R4 и R5 обозначают атомы фтора; включающий стадии: (а) перегруппировка и гидролиз соединения формулы IX с образованием соединения формулы VIII (б) N-ацилирование соединения формулы VIII галоацетилхлоридом с получением соединения формулы VII (в) циклизация соединения формулы VII с получением лактама формулы II и (г) расщепление лактама основанием, и при желании, используя временную защиту любой мешающей реакционноспособной группы, с последующим выделением полученного соединения по изобретению, и, если желательно, с превращением свободной карбоновой кислоты соединения формулы I в его фармацевтически приемлемое сложноэфирное производное и/или, если желательно, с превращением свободной кислоты формулы I в соль или соли в свободную кислоту или в другую соль. 3. Способ получения по п.2, в котором соединение формулы IX получают алкилированием соединения формулы XII 2-хлор-N-(4-метилфенил)ацетамидом или 2-хлор-N-(4-этилфенил)ацетамидом; 4. Способ получения соединения формулы VIII, включающий перегруппировку и гидролиз соединения формулы IX 5. Способ получения соединения формулы VIII, включающий расщепление соединения формулы Х 6. Способ получения соединения формулы Х включающий перегруппировку соединения формулы IX 7. Способ получения соединения формулы IX включающий алкилирование соединения формулы XII 2-хлор-N-(4-метилфенил)ацетамидом или 2-хлор-N-(4-этилфенил)ацетамидом. 8. Способ получения соединения формулы VIII, включающий алкилирование соединения формулы XII 2-хлор-N-(4-метилфенил)ацетамидом или 2-хлор-N-(4-этилфенил)ацетамидом с последующей перегруппировкой и расщеплением. 9. Способ получения соединений по любому из пп.1-3, выбранных из: 5-метил-2-(2′,4′-дихлор-6′-метиланилино)фенилуксусной кислоты; 5-метил-2-(2′,3′,5′,6′-тетрафторанилино)фенилуксусной кислоты; 5-метил-2-(2′,3′,4′,6′-тетрафторанилино)фенилуксусной кислоты; 5-метил-2-(2′,6′-дихлоранилино)фенилуксусной кислоты; калиевой соли 5-метил-2-(2′,6′-дихлоранилино)фенилуксусной кислоты; натриевой соли 5-метил-2-(2′,6′-дихлоранилино)фенилуксусной кислоты; 5-метил-2-(2′-хлор-6′-фторанилино)фенилуксусной кислоты; 5-метил-2-(2′,6′-дихлор-4′-метиланилино)фенилуксусной кислоты; 5-метил-2-(2′-хлор-6′-метиланилино)фенилуксусной кислоты; 5-метил-2-(2′,4′-дифтор-6′-хлоранилино)фенилуксусной кислоты; 5-метил-2-(2′-фтор-4′,6′-дихлоранилино)фенилуксусной кислоты; 5-метил-2-(2′-хлор-4′-фтор-6′-метиланилино)фенилуксусной кислоты; 5-этил-2-(2′-фтор-6′-хлоранилино)фенилуксусной кислоты; 5-этил-2-(2′-хлор-6′-метиланилино)фенилуксусной кислоты; 5-этил-2-(2′,3′,6′-трифторанилино)фенилуксусной кислоты; 5-этил-2-(2′,3′,5′,6′-тетрафтор-4′-этоксианилино)фенилуксусной кислоты; 5-этил-2-(2′-хлор-4′,6′-дифторанилино)фенилуксусной кислоты; 5-этил-2-(2′,4′-дихлор-6′-фторанилино)фенилуксусной кислоты; 5-этил-2-(2′,4′-дихлор-6′-метиланилино)фенилуксусной кислоты; 5-этил-2-(2′-фтор-4′-хлор-6′-метиланилино)фенилуксусной кислоты; 5-этил-2-(2′,4′-дифтор-6′-метиланилино)фенилуксусной кислоты; 5-этил-2-(2′-хлор-4′-фтор-6′-метиланилино)фенилуксусной кислоты; 5-метил-2-(2′-хлор-4′-гидрокси-6′-фторанилино)фенилуксусной кислоты; 5-метил-2-(2′-фтор-6′-трифторметиланилино)фенилуксусной кислоты, 5-метил-2-(2′,4′-дихлор-6′-трифторметиланилино)фенилуксусной кислоты, 5-метил-2-(2′,3′,4′,6′-тетрафторанилино)фенилуксусной кислоты; 5-метил-2-(2′,6′-дихлоранилино)фенилуксусной кислоты; 5-метил-2-(2′-хлор-6′-фторанилино)фенилуксусной кислоты; 5-метил-2-(2′,6′-дихлор-4′-метиланилино)фенилуксусной кислоты; 5-метил-2-(2′-хлор-6′-метиланилино)фенилуксусной кислоты; 5-метил-2-(2′-хлор-4′-фтор-6′-метиланилино)фенилуксусной кислоты; 5-этил-2-(2′-фтор-6′-хлоранилино)фенилуксусной кислоты; 5-этил-2-(2′-хлор-6′-метиланилино)фенилуксусной кислоты; 5-этил-2-(2′,3′,6′-трифторанилино)фенилуксусной кислоты, 5-этил-2-(2′,4′-дихлор-6′-метиланилино)фенилуксусной кислоты, и их фармацевтически приемлемых солей и их фармацевтически приемлемых пролекарственных сложных эфиров. 10. Способ по одному из предыдущих пунктов, в которых R обозначает метил; R1 обозначает хлор; R2, R3 и R4 обозначают водород и R5 обозначает фтор.
|
||||||||||||||||||||||||||


































: 2,31 (s, 3H, СН3); 3,6-4,8 (широкий сигнал, 1Н, NH); 6,68 (d, J=8 Hz, 2Н; Н-С (2) и Н-С (6)); 7,02-7,12 (m, 3H, Н-С (3); Н-С (5) и Н-С (4′)); 7,38 (d, J=8 Hz, 2Н, Н-С (3′) и Н-С (5′)).
)]; 7,34 [ddd, J=8,0, 1,5 Гц, JH-F=1,5, 1Н, НС (3



















