|
|
(21), (22) Заявка: 2003124187/15, 05.01.2001
(24) Дата начала отсчета срока действия патента:
05.01.2001
(43) Дата публикации заявки: 10.01.2005
(45) Опубликовано: 10.04.2006
(56) Список документов, цитированных в отчете о поиске:
US 4049769 А, 20.09.1977. RU 97101081 А, 20.02.1999. GB 2048553 А, 10.12.1980. US 3953568 А, 27.04.1976. US 4567025 А, 28.01.1986. US 4600566 А, 15.07.1986. US 4925566 A, 15.05.1990.
(85) Дата перевода заявки PCT на национальную фазу:
05.08.2003
(86) Заявка PCT:
FR 01/00037 (05.01.2001)
(87) Публикация PCT:
WO 02/053269 (11.07.2002)
Адрес для переписки:
103735, Москва, ул. Ильинка, 5/2, ООО “Союзпатент”, пат.пов. А.П.Агурееву
|
(72) Автор(ы):
ЛЕМЭР Марк (FR), ФООС Жак (FR), ГИ Ален (FR), ШИТРИ Фредерик (FR), ПЕЛЛЕ-РОСТЕН Стефан (FR), ВИНЬО Оливье (FR)
(73) Патентообладатель(и):
ФРАМАТОМ АНП (FR)
|
(54) СПОСОБ РАЗДЕЛЕНИЯ ИЗОТОПОВ
(57) Реферат:
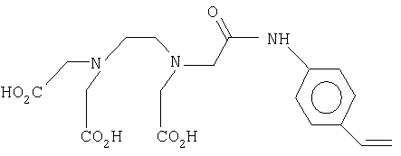
Изобретение предназначено для ядерной техники и может быть использовано при изготовлении ингибиторов или поглотителей нейтронов в ядерных реакторах. Водную среду, содержащую изотопы щелочно-земельного металла, переходного элемента или тяжелого металла с атомной массой ниже 209, обрабатывают органическим лигандом, связывающим один или несколько изотопов разделяемого элемента. Лиганд содержится в смоле или носителе ионообменника или образует комплекс с изотопом и удерживается нанофильтрационной мембраной. Остаток, содержащий комплекс изотопов с лигандом, отделяют от фильтрата, содержащего изотопы, не образовавшие комплекс. Например, лиганд представляет собой трехуксуснокислый N-ацетамидостиролэтилендиамин формулы:

Изобретение позволяет повысить эффективность разделения, легко регулировать степень разделения. Способ прост, экономичен, не требует объемных установок. 34 з.п. ф-лы.
Настоящее изобретение относится к способу разделения изотопов щелочноземельных металлов, переходных элементов и тяжелых металлов, имеющих атомную массу ниже 209. В частности, оно имеет отношение к разделению изотопов редкоземельных металлов или лантаноидов. Следовательно, изобретение имеет сходство со способами, позволяющими разделять между собой изотопы этих элементов.
Некоторые изотопы лантаноидов используют в качестве ингибиторов или поглотителей нейтронов в ядерных реакторах. Это, в частности, относится к гадолинию (Gd) и эрбию (Er). Все изотопы гадолиния (152, 154, 155, 156, 157, 158, 160) и эрбия (162, 164, 166, 167, 168, 170) вызывают различный интерес и в промышленности стремятся выделить наиболее предпочтительные изотопы. Изотопы 155 и 157 гадолиния и изотоп 167 эрбия представляют собой изотопы, имеющие наилучшую способность поглощения нейтронов и являются самыми лучшими изотопами в качестве поглотителей нейтронов в топливных элементах для ядерных электростанций.
Для более полной информации об изотопах лантаноидов см. “Handbook of Chemistry and Physics, 73eme edition, 1992-1993.
Разделение изотопов одного и того же элемента представляет собой одну из наиболее сложных для решения технических проблем независимо от выбранной степени разделения. Она становится еще более сложной, когда относительная масса между изотопами мала, например, отличается на 1 и 2 % для лантаноидов.
Разделение изотопов таких элементов как Са или Na в жидкой фазе (органическая или водная фазы) при помощи комплексообразователей в первый раз было осуществлено Jepsona и DeWitt (J. Inorg. Nucl. Chem. 38, 1175, 1976), а также Heumann и Schiefer (Z. Naturforsch., 36b, 566, 1981). В основе работы используемого оборудования лежал метод экстракции в системе жидкость – жидкость и метод разделения при помощи ионообменных смол с использованием специальных комплексообразователей, таких как краунэфиры (дициклогексано[18]краун-6) или криптанды (криптанд[2.2.2]).
Также известно разделение изотопов редкоземельных металлов при помощи ионообменных смол (хроматография) в жидкой фазе, заключающееся в использовании ионообменных смол и элюирующего раствора, содержащего лиганд изотопов. Так, в ЕР-А-173484 предложен такой способ для разделения изотопов гадолиния, с использованием от 5 до 30, преимущественно, от 10 до 20 колонн, содержащих в качестве стационарных фаз либо анионообменные смолы, либо катионообменные смолы. В первом случае элюент содержит нитрат аммония в водном растворе метанола, а во втором случае – ЭДТК. Аналогичный подход обсуждается в J. Chen и др.. Journal of Nuclear Science and Technology, 1992, 29(11):1086-1092, и I.M. Ismail. и др, J.Chromato. A, 1998, 808:185-191.
В основном по причине, связанной с трудностями контроля элюирования максимумов изотопов, в публикации WO-A-9600124 отражена попытка усовершенствовать разделение изотопов Gd на ионообменных смолах. В описанном способе прибегают к использованию подвижной фазы, образованной, преимущественно, водным раствором кислоты, предпочтительно азотной кислоты. Аналогичный способ описан в публикации WO-A-9600123 для разделения изотопов эрбия.
Среди других была предложена восстановительно-окислительная система посредством химического обмена в системе экстракции жидкость – жидкость с лигандами типа HDEHP или ТВР для разделения изотопов европия и церия (W. Dembinski и Т. Mioduski, Journal of Radioanalitycal and Nuclear Chemistry, Lettres, 1995, 199(2):159 – 171; W. Dembinski и др., Journal of Radioanalitycal and Nuclear Chemistry, Articles, 1991, 149(1):169-176).
В указанном выше источнике предложено разделять изотопы кальция 44 и 40 при помощи экстракции в системе жидкость – жидкость, при использовании краунэфиров и растворителей типа вода – спирт или хлорсодержащих растворителей.
Следовательно, разделение изотопов представляет собой большую проблему. Во всяком случае, различные способы обладают неудобствами, например сложность средств применения; стоимость и размеры установок; энергетические затраты; целевой продукт и полупродукты жидкие или твердые в той или иной степени токсичны; использование растворителей ставит проблему их отделения и обработки с целью их повторного использования, а также защиты окружающей среды.
Целью изобретения является разработка способа, позволяющего эффективно разделять между собой изотопы одного и того же элемента, принадлежащего к категории щелочноземельных металлов, переходных элементов и тяжелых металлов, имеющих атомную массу ниже 209, в частности лантаноидов.
Другой целью изобретения является разработка способа, позволяющего обогащать элемент одним или несколькими интересующими изотопами.
Еще одна цель изобретения – разработка способа, позволяющего легко регулировать степень разделения или обогащения.
Следующая цель изобретения разработка способа, который является простым при эксплуатации, не требует слишком объемных установок и является экономичным как при использовании, так и при сооружении.
Еще одна цель изобретения – разработка способа, позволяющего сократить объемы жидких и твердых отходов и не создавать токсичных отходов.
Еще одна цель изобретения – разработка способа, который легко применять и который позволяет сократить энергетические затраты.
Еще одна цель изобретения – разработка способа, который мог бы работать как в периодическом, так и в непрерывном режиме.
Еще одна цель изобретения – разработка способа, который допускает более высокие степени пропускания, в частности, превышающие степени пропускания, получаемые на установках известных из уровня техники.
Эти и другие цели достигают благодаря способу, согласно которому изотопы одного и того же элемента, принадлежащего к категории щелочноземельных металлов, переходных элементов и тяжелых металлов, имеющих атомную массу ниже 209, в частности, лантаноидов разделяют, обрабатывая водную среду, содержащую изотопы, при помощи, по меньшей мере, одного органического лиганда, находящегося в водной среде в ионном состоянии, и предназначенного в качестве комплексообразующего предпочтительным образом с одним или несколькими из изотопов, присутствующих в водной среде. Использование соответствующих средств разделения позволяет, с одной стороны, удержать фильтрат, содержащий изотопы, образовавшие комплекс с лигандом, что приводит к обогащению фильтрата по сравнению с первоначальным раствором изотопом (изотопами), образующим комплекс предпочтительным образом, и, с другой стороны пропустить или элюировать фильтрат, содержащий изотопы, не образовавшие комплекс, что приводит к обогащению фильтрата или элюата изотопами, не образовавшими комплекс предпочтительным образом, а именно изотопами, не образующими комплекс, и/или изотопами, образующими комплекс в меньшей степени.
Металл, подлежащий обработке, находится, преимущественно, в водном растворе в форме соли изотопа, в частности нитрата, сульфата, карбоната, хлорида.
Выбор лиганда приходится на органический лиганд, что позволяет подобрать и синтезировать требуемый лиганд в зависимости от условий, в частности, размер лиганда может быть выбран таким образом, чтобы оптимизировать стадию разделения между комплексом лиганд – изотоп и изотопами в зависимости от используемых средств разделения. Другой параметр – это ионный заряд лиганда. Предпочтительно, органический лиганд выбирают таким образом, чтобы его отрицательный заряд был равен положительному заряду изотопа в ионном виде.
Авторами настоящего изобретения неожиданного было обнаружено, что имеется возможность воспроизводимым способом образовывать комплексы соответствующего лиганда с одним или несколькими изотопами элемента, игнорируя один или несколько других, а затем отделять изотопы, образовавшие комплекс, от изотопов, не образовавших комплекс.
Лиганд выбирают таким образом, чтобы иметь возможность обогащать либо фильтрат, либо остаток представляющими интерес изотопами, либо и то и другое, когда речь идет о разделении двух представляющих интерес изотопах.
Предпочтительно, лиганд представляет собой линейную или циклическую

многоосновную аминокислоту, в частности линейную, предпочтительно формулы (I):
в которой:
– а=0 или 1 и b=2 или 3,
– с=2 или 3 и d=0 или 1,
– е=0 или 1,
– h=1, 2 или 3, предпочтительно, 1 или 2,
– i=1, 2 или 3, предпочтительно, 1 или 2,
– р= от 0 до 3, предпочтительно, 2,
– q= от 1 до 4, предпочтительно, 2 или 3,
– f=2 или 3,
– g=0 или 1,
А1, А2, А3 – одинаковые или различные и представляют собой функциональную группу моновалентной кислоты, предпочтительно, выбранную из COOR, -РО3R’2, -SO3R”, где R, R’, R”=Н или катион, в частности щелочной катион, предпочтительно, натрий; предпочтительно, выбирают катион, который не образует комплекс с лигандом;
– R1 – идентичны между собой или отличны друг от друга и представляют собой:
Н, C1-С10алкил или
, в том случае, когда а=0, b=1 и R9, R10 одинаковые или различные и каждый означает водород или гидрофильный моновалентный радикал, выбранный, предпочтительно, из аминированных и/или (поли)гидроксилированных и/или алкоксилированных и/или (поли)этерифицированных, углеводородных радикалов, причем эти радикалы являются, предпочтительно, радикалами типа (цикло)алкил, аралкил, алкиларил, (цикло)алкенил, аралкенил, алкениларил, арил;
более предпочтительно, R9, R10 каждый представляет собой C1-C10-гидроксиалкил, C1-С10-алкокси, многоатомный спирт, предпочтительно гидрированный сахарид;
R2 – идентичны между собой или отличны друг от друга,
R3 – идентичны между собой или отличны друг от друга,
R6 – идентичны между собой или отличны друг от друга,
R7 – идентичны между собой или отличны друг от друга,
R2, R3, R6, R7 – одинаковые или различные и представляют собой Н или C1-C10-алкил;.
– R4 идентичны между собой или отличны друг от друга и представляют собой гидрофильную двухвалентную функциональную группу, выбранную, предпочтительно, из аминированных и/или гидроксилированных ароматических групп, аминированных и/или гидроксилированных ароматических и алкильных групп, аминированных и/или гидроксилированных ароматических и (цикло)алкиленовых групп, или аминированных и/или гидроксилированных (цикло)алкиленовых групп; эти группы могут включать алкоксилы и/или (поли)эфиры;
– двухвалентная функциональная группа R5 представляет собой алкилен, предпочтительно СН2, или функциональную группу, имеющую те же значения, которые указаны для R4; и/или
– для функциональной группы R8, которая представляет собой гидроксил, А4, имеющий те же значения, которые указаны для А1, А2, А3, водород или -NR9R10, где R9, R10 являются одинаковыми или различньми и представляют собой одновалентный гидрофильный радикал, выбранный, предпочтительно, из аминированных и/или (поли)гидроксилированных и/или алкоксилированных и/или (поли)этерифицированных углеводородных радикалов, причем эти радикалы являются, предпочтительно, радикалами типа (цикло)алкил, аралкил, алкиларил, (цикло)алкенил, аралкенил, алкениларил, арил; наиболее предпочтительно R8 является C1-C10-гидроксиалкилом, C1-C10-алкоксилом, многоатомным спиртом, предпочтительно гидрированным сахаридом.
Все одновалентные или двухвалентные группы или радикалы, на которые даны ссылки в формуле (I) представляют собой линейный или разветвленный алкил или алкенил, который может содержать в своей цепи один или несколько атомов кислорода вместо атомов углерода (например, алкоксил или(поли)эфир).
В формуле (I) под группой «арил» понимают группу ароматического углеводорода, содержащую одно или несколько ароматических ядер, которые могут быть необязательно замещены функциональными группами, выбранными из ОН, алкила или гидроксиала, путем удаления одного атома водорода у одного из углеродных колец или путем удаления одного атома водорода у одного из атомов углеродов алкильного или гидроксиалкильного заместителя. В качестве примера можно назвать группы бензиловых спиртов или гидроксиалкилфенолов.
В формуле (I) под группой «циклоалкилен» понимают также двухвалентную группу, производную от циклического углеводорода, необязательно замещенного алкилом или гидроксиалкилом путем удаления одного атома водорода одного углеродного кольца. В качестве примера можно назвать группу циклогексилена.
Под «углеводородными» понимают все функциональные группы, содержащие, в частности, атомы углерода и атомы водорода.
Когда делают ссылку на C1-C10-алкилы, C1-C10-алкоксилы или C1-C10-алкенилы, предпочтительными являются радикалы с С2, С3 и/или с С4.
Предпочтительно, гидрофильные функциональные группы, которые могут представлять R9 и R10 – это полигидроксиалкилы, предпочтительно углеводородные сахариды, наиболее предпочтительно – радикалы сорбитола или полиэфирные цепи, предпочтительно, полиэтиленгликоль или полипропиленгликоль.
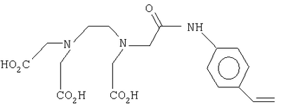
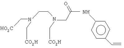
Предпочтительно, формула (I) охватывает аминированные линнейные поликислоты, известные как ЭДТК и DTPA (р=0, q=2 или 3, b=2, f=2, A1=A3=СООН1, R1=R6=R7=H, R5=CH2, R8=OH, g=1, e=0, a=1, h=1 или 2).
Согласно одному из воплощений изобретения лиганд/комплексообразователь может представлять собой циклические аминированные поликислоты, например, DOTA, которые являются циклическими полиаминокарбоксилатами.
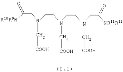
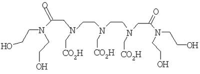
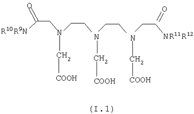
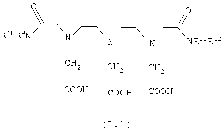
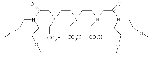
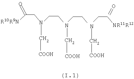
В предпочтительной форме лиганд/комплексообразователь представляет собой соединение формулы (I.1):

в которой R9, R10 R11, R12 идентичны между собой или отличны друг от друга и соответствуют каждый гидрофильному одновалентному радикалу, имеющему значения, приведенные для R9, R10, причем радикалы ацетил, метоксиэтил, сорбитоил являются предпочтительными.
Специалист может определить значения переменных и выбрать заместитель для получения лиганда, подходящего для изотопов, подлежащих обработке.
На основании информации, известной из уровня техники, специалист в состоянии определить лиганды, применяемые для разделения того или иного изотопа, прибегая к простым экспериментам, приведение которых не выходят за рамки его компетенции, и которые могут состоять, например, в проведении способа согласно изобретению с данным лигандом, в проведении разделения и анализа фильтрата и остатка так, как это, в частности, описано в примерах.
На первом этапе процесса в водный раствор, подлежащий обработке, добавляют растворимый в воде лиганд согласно изобретению. Количество добавляемого лиганда предпочтительно таково, что оно меньше эквивалента лиганда в пересчете на атомы, подлежащего разделению изотопа. Эти лиганды образуют комплексы типа 1:1.
Согласно первому воплощению изобретения средство разделения представляет собой мембрану для фильтрации, предпочтительно мембрану для нанофильтрации. Лиганд и мембрану выбирают таким образом, чтобы молекулярная масса комплекса лиганд – изотоп превышала порог проницаемости мембраны для того, чтобы обеспечить настолько полное насколько возможно удержание ионов, образовавших комплекс.
Для осуществления разделения изотопов осуществляют принудительную циркуляцию водного раствора, подлежащего обработке, через мембрану для нанофильтрации и создают разность давления между двумя противоположными сторонами мембраны таким образом, чтобы предпочтительным способом собирать остаток, обогащенный изотопом, образовавшим комплекс, и фильтрат с уменьшенным содержанием этого изотопа. Перепад давления между двумя противоположными сторонами мембраны может варьироваться в широком диапазоне, но хорошие результаты получают при перепаде давления от 0,2 МПа до 0,8 МПа.
Мембраны для нанофильтрации, пригодные для использования в способе согласно изобретению, должны обладать таким порогом проницаемости, чтобы они пропускали ионы, не образовавшие комплекс, и удерживали ионы, образовавшие комплекс, благодаря лигандам согласно изобретению. Порог разделения мембраны по отношению к нейтральному растворенному веществу может быть определен как минимальная молярная масса соединения, необходимая для получения степени удержания этого соединения, равной 90%.
Согласно изобретению порог проницаемости, подходящий для выбранной мембраны, может составлять (в г/моль) 100-5000, предпочтительно 200-2000, наиболее предпочтительно 500-1500. На практике порог проницаемости, например, может быть заключен между 200 и 2000 г/моль.
Эти мембраны могут быть органическими, минеральными и органоминеральными. Предпочтительно, они содержат или образованы из полимеров, таких как, полиарамиды, полисульфированные сульфоны, полибензимидазолоны, необязательно привитой полифтористый винилиден, полиамиды, сложные эфиры целлюлозы, простые эфиры целлюлозы или фтористые иономеры, комбинации, по меньшей мере, двух из этих полимеров и сополимеров, полученные из мономеров. Более полная информация раскрыта в международной публикации WO-A-9206675, которая описывает органоминеральные мембраны для нанофильтрации, содержащие активный слой из полимера типа полисульфон, полибензимидазолон, привитой полифтористый винилиден и фтористый иономер (nafion®) – с порогом проницаемости от 300 до 1000 г/моль; или к документу FR -А-2600264, который описывает органоминеральные мембраны, содержащие пористую органическую основу и микропористую мембрану из органического полимера, такого как полисульфон, полиамид, сложный эфир целлюлозы и простой эфир целлюлозы.
В качестве примера мембран можно назвать, в частности, мембраны, выпускаемые в продажу фирмой OSMONICS под названиями SEPA MG-17, SEPA MW-15 и SEPA BQ-01, которые имеют проницаемость бидистиллированной воды между 2 и 10 л/(ч.м2. бар) при 25°С.
Предпочтительно используют технику тангенциальной фильтрации, преимущество которой заключается в возможности ограничивать явление накопления удерживаемых частиц на поверхности мембраны и, следовательно, обеспечивать непрерывную работу.
Еще одно преимущество состоит в том, что модули фильтрации используют в форме труб или цилиндров, или параллельных пластин, или также в виде мембран, намотанных вокруг перфорированных трубы или цилиндра, предназначенных для сбора фильтрата. Эти модули могут быть расположены последовательно и/или параллельно, в случае необходимости, с различными мембранами в некоторых модулях.
В качестве примера мембран может быть названа мембрана, выпускаемая в продажу фирмой Millipore под названием NANOMAX 50®, которая представляет собой плоскоспиральный модуль, мембрана которого образована основой из полиэфира, промежуточным слоем из полисульфона и слоем для нанофильтрации из полиамида. Они характеризуются способностью обеспечивать значительное задержание многовалентных ионов и незаряженных соединений молярной массой М>350 г/моль и высокой пропускной способностью одновалентных ионов и незаряженных соединений молярной массой М<100 г/моль.
Показатель рН водной среды, создаваемый перепад давления, скорость циркуляции остатка и температура являются регулируемыми параметрами.
Значение показателя рН предпочтительно находится в кислой области и заключено между 0 и 7 для того, чтобы избежать выпадения в осадок гидроксидов лантаноидов при повышенных значениях рН.
Можно работать в интервале 0-50°С, преимущественно, при температуре окружающей среды (25°С) или близко к ней, например, между 20 и 35°С.
Перепад давления и скорость циркуляции остатка подбирают в первую очередь в зависимости от пропускной способности и характеристик мембраны, например, ее сопротивления давлению. Простые опыты позволяют установить оптимальные условия.
Однако можно уточнить, что перепад давления предпочтительно может варьироваться между 0,2 и 1,5 МПа.
После разделения не образовавшие комплексы изотопы, комплексы лиганд/изотоп могут быть обработаны соответствующими веществами декомплексантами для того, чтобы собрать, с одной стороны, лиганды и, с другой стороны, изотоп или изотопы.
Таким образом, ионы, вошедшие в комплексы, могут после фильтрации быть освобождены или раскомплексованы, например, путем выпадения в осадок их гидроксидов в щелочной среде или с помощью специальных ионообменных смол. На этом этапе предпочтительно предусмотреть удаление растворителя, а именно – воды, например, путем выпаривания для того, чтобы иметь возможность рекуперировать разделенные ионы.
Оборудование, требуемое для применения способа согласно изобретению, сравнительно невелико, так как достаточно реактора для комплексообразования, водяного насоса и, по меньшей мере, одной мембраны для нанофильтрации. В качестве примера, базовая установка может включать реактор для комплексообразования, один насос и одну мембрану для нанофильтрации, например, тангенциальной, спроектированной таким образом, чтобы остаток, после его прохода вдоль мембраны, был бы возвращен к началу модуля фильтрации, предпочтительно, в реактор для комплексообразования. Согласно одному из воплощений изобретения, реактор для комплексообразования может непрерывно или периодически получать подпитку лигандом и металлом.
Нанофильтрация, преимущественно, состоит из нескольких последовательных и/или параллельных ступеней для того, чтобы повысить степень разделения или обогащения, причем фильтрат или остаток подвергают такому числу этапов обработки и нанофильтрации, который необходим для достижения цели.
К тому же последовательные операции комплексообразование – нанофильтрация с одинаковыми или различными лигандами могут быть осуществлены таким образом, чтобы сделать возможным разделение различных изотопов в несколько этапов. Как и образовавшие комплекс изотопы, декомплексированные изотопы могут быть вновь, согласно изобретению, по меньшей мере, один раз, обработаны и подвергнуты нанофильтрации.
Нанофильтрация до настоящего времени никогда не использовалась для разделения изотопов, в частности, изотопов лантаноидов.
Настоящее изобретение имеет также целью использование нанофильтрации для разделения изотопов элемента, принадлежащего к щелочноземельным металлам, переходным металлам и тяжелым металлам, имеющих атомную массу ниже 209, в частности к лантаноидам, причем эти изотопы растворены в водной среде. Разделение может быть проведено без лиганда, но согласно предпочтительному варианту воплощения изобретения изотопы обрабатывают лигандом, разработанным для комплексообразования предпочтительным образом с одним или несколькими изотопами элемента, после чего осуществляют нанофильтрацию. Другие характеристики и особенности лигандов согласно изобретению, упомянутые выше, применимы для этой второй цели изобретения.
Использование нанофильтрации дает многочисленные преимущества по сравнению с состоянием техники, в частности, малое потребление энергии, т.к. возможно работать при температуре окружающей среды, хорошую селективность, хорошую степень извлечения адсорбированного вещества, большую гибкость применения, возможность работать в непрерывном или периодическом режиме и в большом масштабе, низкий уровень инвестиций, повышенную компактность стадий разделения, отсутствие фазового перехода, отсутствие органических растворителей и вторичных твердых отходов, подлежащих переработке.
В другом варианте воплощения изобретения нанофильтрация может быть заменена другим средством разделения (или использована в комбинации с ними): ионообменной смолой или ионитным носителем специального типа, содержащим описанные выше лиганды.
Как и в первом варианте воплощения изотопы будут связаны предпочтительным образом с лигандами, находящимися в смоле или носителе, тогда как изотопы, не образовавшие комплекс, пройдут сквозь смолу или носитель и перейдут в фильтрат. Этапы извлечения адсорбированного вещества позволяют затем извлечь изотопы, которые образовали комплексы.
По определению перед этапом извлечения адсорбированного вещества остаток образован изотопами, связанными с лигандами, и, следовательно, зафиксирован на смоле или носителе. Фильтрат содержит изотопы, не образовавшие комплекс с лигандами.
После извлечения адсорбированного вещества фильтрат по определению соответствует элюату.
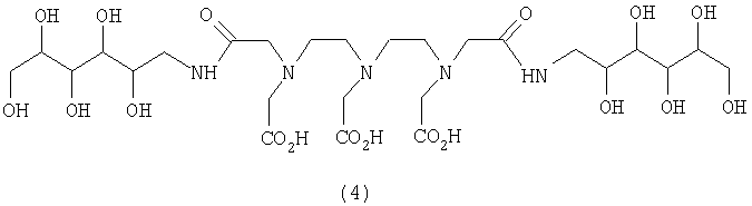
Для получения указанных смол или носителей предпочтительно использовать полимерные смолы, в частности, стирольного типа, сложного полиэфира, полиамида, полиалкена, простого полиэфира, полиимида или полиуретана, или привитые неорганические носители, такие как диоксид кремния, оксид алюминия и алюмосиликаты. Предпочитают смолы на основе полистирола и особенно сополимеры на основе стирола и дивинилбензола. В качестве примера можно сослаться на пример 8, приведенный ниже, или на работу R. Garcia и др. 1998, Tethraedron Letters 39:8651-8654, в котором описана смола на основе стирольного производного DTPA (бис(диэтаноламин)амид, или диэтилен триамин пентауксусная кислота).
Для приготовления смол согласно изобретению можно, в частности, осуществить полимеризацию комплексообразующего мономера в присутствии одного или нескольких агентов полимеризации и/или образования поперечных связей (т.е. мономеры смолообразователи), предпочтительно стирола и дивинилбензола, что ведет к образованию ковалентных связей между носителем и комплексообразующей частью лиганда. Этот тип полимера также может быть получен путем привитой сополимеризации на этот тип смолы путем образования амидной или эфирной связи между лигандом и полимерной матрицей. С неорганическим носителем синтез смолы предпочтительно основан на методе привитой сополимеризации.
Как и в случае нанофильтрации можно использовать несколько ступеней, т.е. множество хроматографических колонн, содержащих смолу или носитель согласно изобретению, причем эти колонны могут быть расположены последовательно и/или параллельно для того, чтобы обработать остаток после извлечения адсорбированного вещества и/или фильтрат с целью разделения искомых изотопов и их обогащения в зависимости от условий. Кроме того, во время процесса можно использовать различные пары смола (или носитель) – лиганд для того, чтобы оптимизировать разделение изотопов, в частности, при поисках нескольких изотопов среди изотопов первоначальной смеси.
Предпочтительно комбинировать нанофильтрацию и пропускание через смолу или носитель. В этом случае предпочтительно, чтобы этап или этапы нанофильтрации предшествовали этапу или этапам, проводимым с использованием смолы или носителя.
Извлечение изотопов, образовавших комплекс, может быть осуществлено при помощи различных водных растворов, в частности, кислых растворов, катионных растворов или растворов, содержащих лиганд, способный отделять изотопы, иммобилизованные на смоле, такой как ЭДТК, DTPA или их производных, в частности, определенных формулой (I).
Изобретение имеет также целью использование полимерных смол или неорганических носителей, несущих лиганд согласно изобретению для разделения изотопов элемента, принадлежащего к щелочноземельным металлам, переходным элементам и тяжелым металлам, имеющих атомную массу ниже 209, в частности, к лантаноидам. Другие характеристики и особенности, упомянутые выше по отношению к методу разделения, применимы и для этой цели изобретения.
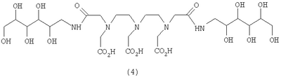
Настоящее изобретение также относится к новому соединению: N-ацетамидостирол этилен диамин триуксусной кислоты, формула которой и способ получения приведены в примере 7.
Изобретение также относится к использованию этого соединения в качестве лиганда в способе разделения изотопов согласно изобретению. Оно также относится к использованию этого соединения в качестве лиганда, закрепленного на смоле или неорганическом носителе согласно изобретению, для создания ионообменной смолы или носителя ионита согласно изобретению. Оно также относится к такому объекту как смолы и носители, на основе лиганда. В частности, изобретение относится к полимеру – стирол-дивинилбензол-N-ацетамидостирол этилен диамин триусксусной кислоте, который описан, например, в примере 8. Изобретение также относится к использованию такой смолы для разделения изотопов согласно изобретению.
Изобретение далее описано более подробно в примерах, иллюстрирующих, но не ограничивающих изобретение.
ПРИМЕР 1: Синтез DTPA бис(диэтаноламин)амид (1)

В трехгорлой колбе объемом 500 мл растворяют 10 грамм ангидрида DTPA (27,98 ммоль) в 150 мл безводного DMF (Диметилформамид) при 80°С в инертной атмосфере (аргон). Добавляют по каплям 17 грамм диэтаноламина (167,9 ммоль) в 50 мл DMF и реакционную среду перемешивают в течение 48 часов. Полученный маслянистый осадок отделяют от растворителя декантацией. После растворения этого осадка в минимальном количестве воды добавляют 800 мл ацетона и вязкий осадок растирают в порошок, растворитель деканируют и осадок очищают с использованием ионообменной смолы Amberlite IR-120 (Fliuka) извлекая адсорбированное вещество бидистиллированной водой. После выпаривания и вакуумной сушки получают 7,98 г продукта (1) в форме белого порошка (выход 50%).
ЯМР 1H (D2O): 3,1 (t, J=6,25, 4H); 3.48-3,52 (t+s, 10Н); 3,59 (t, J=6,2, 4H); 3,76 (t, J=5,2, 8H); 3,91 (s, 4H), 4,49 (s,4H).
ЯМР 13С (D2O): 50,59, 55,88, 56,62, 58,84, 59,95 (CH2CO2Н и NCH2CH2N); 51,75, 52,14, 60,85,61,2 (N(CH2CH2OH)2); 169,02,172.6,176,8 (CO2H и СО).
ES-MS: ES–: 566,3 ([M-H]–); 282,7 ([M-2H]2-/2).
ПРИМЕР 2: Разделение изотопов Gd путем нанофильтрации-комплексообразования с DTPA бис(диэтаноламин)амидом (1)
Установка включает реактор комплексообразования, насос, затем один модуль плоской фильтрации, оборудованный мембраной SEPA MG-17 (с фильтрующей поверхностью А=0,015 м2). Плоская мембрана SEPA MG-17 имеет проницаемость бидистиллированной воды 2,5 л/(ч.м2.бар) при 25°С. Выход остатка соединен с реактором комплексообразования. Эта установка используется во всех примерах нанофильтрации. В этом примере обрабатывают водный раствор, объем которого равен 1 л, содержащий 10 ммоль/л гадолиния (Gd) в форме гексагидрата нитрата гадолиния. Добавляют к водному раствору, подлежащему обработке, комплексообразующий агент, образованный комплексообразователем (1) примера 1.
Разделение изотопов Gd осуществляют в следующих условиях:
– перепад давления Р=0,6 МПа,
– температура = 20°С,
– пропускная способность = 80 л/ч,
– рН=3,8.
Добавляют комплексообразователь (1) в количестве 9 ммоль/л (т.е. 90% лиганда по отношению к гадолинию). Фильтруют 700 мл раствора. В конце опыта получают образец фильтрата и образец остатка. Конечный остаток содержит 1260 мг/л Gd, конечный фильтрат содержит его 136 мг/л (т.е. доля задержания составляет в среднем 89% во время фильтрации). Анализ двух образцов посредством ICP-MS (Inductively Coupled Plasma-Mass Spectroscopy) дает следующие результаты.
Среднее значение отношения 160Gd/155Gd в остатке: 1,5086±0,0016,
Среднее значение отношения 160Gd/155Gd в фильтрате: 1,5128±0,0011.
Т.е. между фильтратом и остатком коэффициент обогащения между изотопами 160Gd и 155Gd составляет 1,0028±0,0018. Фильтрат обогащен изотопом 160Gd.
ПРИМЕР 3: Разделение изотопов Nd посредством нанофильтрации-комплексообразования с DTPA бис(диэтаноламин)амидом (1)
В соответствии с данным примером обрабатывают водный раствор, объем которого равен 500 мл, содержащий 5 ммоль/л неодима (Nd) в форме гексагидрата нитрата неодима. Используют установку, аналогичную приведенной в примере 2. Добавляют к водному раствору, подлежащему обработке, комплексообразующий агент (1) примера 1.
Разделение изотопов Nd осуществляют в следующих условиях:
– перепад давления Р=0,6 МПа,
– температура = 20°С,
– пропускная способность = 80 л/ч,
– рН=3,8.
Добавляют комплексообразующий агент (1) в количестве 4,5 ммоль/л (т.е. 90% лиганда по отношению к неодиму). Фильтруют раствор, возвращая на рецикл как остаток, так и фильтрат. При химическом равновесии отбирают образец фильтрата и образец остатка. Остаток содержит 613 мг/л Nd, фильтрат содержит его 84 мг/л (т.е. степень задержания составляет в среднем 87%). Анализ двух образцов посредством ICP-MS дает следующие результаты.
Среднее значение отношения 150Nd/142Nd в остатке: 0,22233±0,00034,
Среднее значение отношения 150Nd/142Nd в фильтрате: 0,22187±0,00040.
Т.е. между фильтратом и остатком коэффициент обогащения между изотопами 150Nd и 142Nd составляет 1,0021±0,0006. Фильтрат обогащен изотопом 150Nd.
ПРИМЕР 4: Синтез сополимера DTPA-4,4′-метилендианилина (2)

В трехгорлой колбе объемом 250 мл растворяют 1,1790 грамм диангидрида DTPA (3,3 ммоль) в 120 мл безводного DMF при 50°С в инертной атмосфере (аргон). Добавляют по каплям 595 мг 4,4′- метилендианилина (3 ммоль) в 45 мл безводного DMF и реакционную среду перемешивают в течение 4 часов при 50°С и выливают в 500 мл диэтилового эфира. Осадок фильтруют и трижды промывают 100 мл диэтилового эфира. После вакуумной сушки получают 1,28 г продукта (2) в форме белого порошка (выход 72%).
ЯМР 1H (D2O): 7,17 (уш.с, 2Н); 6,76 (м, 2Н); 3,3-2,1 (м, 14Н).
Расчет степени полимеризации по данным ЯМР 1H:
R = площадь ароматического СН/площадь алифатического СН2=0,296.
n=-18R/(20R-8)=2,57
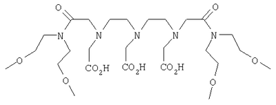
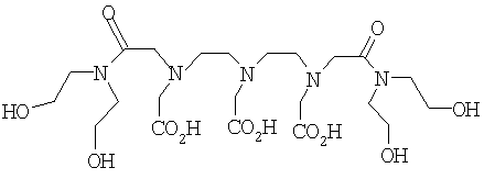
ПРИМЕР 5: Синтез DTPA бис-(ди(2-метоксиэтил)амида (3)

К 5 граммам ангидрида DTPA (0,014 моль), растворенного в 80 мл безводного DMF в атмосфере аргона при 80°С, добавляют по каплям 12,4 мл бис-(ди(2-метоксиэтил)амида (0,084 моль), растворенного в 40 мл безводного DMF. Реакционную среду перемешивают в течение 24 часов. После упаривания и добавления диэтилового эфира маслянистый осадок отделяют от растворителя декантацией. Полученный осадок растворяют в минимальном количестве CHCl3 и повторный осадок – в ЕТ2O. После вакуумной сушки получают мелкодисперсный гигроскопический продукт (6,43 г, выход 74%), используемый без дополнительной очистки.
ЯМР 1Н (D2O+NaOD): 2,50 (т, 4Н); 2,52 (т, 4Н); 2,98 (с, 2Н); 3,11 (с, 2Н); 3,31 (с, 6Н); 3,32 (с, 6Н), 3,51 (s, 4Н); 3,53-3,56 (м, 16Н).
ЯМР 13С (D2O): 45,94, 47,03, 47,81, 49,75, 53,69, 57,78, 67,16, 69,56, 69,69 (СН2); 58,63, 59,07 (ОСН3); 166,9, 170,5, 175,7 (CO2Н и СО).
ES-MS: ES-: 622,1 ([M-H]–); ES+: 624,3 ([M+H]+); 646,2 ([M+Na]+).
ПРИМЕР 6: Синтез DTPA бис(1-диокси-1-амидосорбитола):

В трехгорлой колбе объемом 500 мл растворяют 5 грамм ангидрида DTPA (0,014 моль) в 100 мл безводного DMF в атмосфере аргона при 70°С. Добавляют по каплям 5,32 грамма 1-деокси-1-амино-сорбитола (0,029 моль), растворенного в 40 мл ДМСО и реакционную массу перемешивают в течение 24 часов. Вязкий осадок, полученный после реакции, отделяют от растворителей декантацией. Полученный осадок растворяют в минимальном количестве воды и получают повторный осадок, добавляя ацетон. Операцию повторяют дважды и остаточное масло отделяют декантацией. После вакуумной сушки получают мелкодисперсный белый, слегка окрашенный продукт (6,66 г, выход 66%).
ЯМР 13С (D2O): 42,17, 47,14, 49,61, 53,41, 56,73, 57,48, 63,16 (CH2); 69,44, 71,08, 71,18, 71,38 (СН); 171,0, 178,86 (CO2Н и СО).
ES-MS: ES+: 741.2 ([M+Na]+).
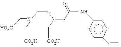
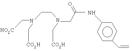
ПРИМЕР 7: Синтез N-ацетамидостирол этилен диамин триуксусной кислоты (5)

В трехгорлой колбе объемом 250 мл растворяют 5 грамм диангидрида ЭДТК (19,5 ммоль) в 120 мл безводного DMF при 70°С в инертной атмосфере (аргон). Добавляют по каплям 2,09 грамма 4-виниланилина (17,57 ммоль) в 20 мл безводного DMF и реакционную массу перемешивают в течение 24 часов. Раствор концентрируют и полученный маслянистый осадок растирают в порошок в этиловом эфире. После фильтрации получают розовое твердое вещество, которое переводят в суспензию в ацетоне и затем фильтруют. Твердое вещество растирают в порошок в деионизированной воде, с последующим фильтрованием. После вакуумной сушки получают 4,2 г продукта (5) в форме бледно-розового порошка.
ЯМР 1Н (ДМСО d6) (ppm): 2,8 (с, 4Н); 3,48 (м, 8Н); 5,17 (д, 1Н); 6,67 (дд 1Н); 7,42 (д, 2Н), 7,62 (д. 2Н).
ЯМР 13С (ДМСО d6) (ppm): 51,3, 51,4, 52,0, 54,55, 55,1, 55,3, 58,0; 112,7; 119; 126,5; 132,2; 136,1; 138,5; 169,7; 172,2; 172,9.
ПРИМЕР 8: Синтез полимера стирол-дивинилбензола-N-ацетамидостирол этилен диамин триуксусной кислоты (6)

В стеклянном реакторе растворяют 6 грамм N-ацетамидостирол этилен диамин триусксусной кислоты (15,2 ммоль) в 40 мл МеОН в инертной атмосфере. Добавляют 3,89 грамма измельченного нитрата натрия (45,7 ммоль). Этот раствор помещают в водяную баню и подвергают ультразвуковой обработке в течение 15 мин. Добавляют 16,5 мл стирола, 1,49 мл дивинилбензола 50 мг AIBN (азоизобутилонитрил). Раствор перемешивают в течение 72 часов при 65°С. Полученное твердое вещество промывают в МеОН, затем переводят в суспензию в 250 мл МеОН и перемешивают в течение 24 часов. Твердое вещество отфильтровывают, затем промывают пять раз водным раствором соляной кислоты (IN), затем пять раз водным раствором NaOH (0, 1N) и, наконец, деионизированной водой до рН=5-6. Полученную смолу сушат в сушильном шкафу, содержащем P2O5. Получают 15,96 грамм полимера (выход 72%).
Элементный анализ: найдено С: 71,61%; Н: 6,84%; N: 3,65%.
ПРИМЕР 9: Разделение изотопов гадолиния экстракцией в системе твердое вещество – жидкость
В хроматографическую колонку для ВЭЖХ из нержавеющей стали, нижняя часть которой соединена с насосом, вводят суспензию из 5,5 г просеянного полимера стирол-дивинилбензол-N-ацетамидостирол этилен диамин триусксусной кислоты (6) (размер частиц от 108 до 300 мкм) в водном растворе нитрата натрия (С=0,01 моль/л). Колонку подвергают вибрации для того, чтобы уплотнить полимер и избежать образования пузырьков воздуха. Наполнив, колонку герметично закрывают и соединяют последовательно с насосом, используемым для ВЭЖХ. Промывают раствором нитрата натрия (С=0,01 моль/л) для того, чтобы проверить, что давление остается постоянным, и чтобы регулировать расход (расход = 0,2 мл/мин, давление 12 бар). Наконец, элюируют 1л водного раствора нитрата гадолиния (С=0,01 моль/л). На выходе из колонки раствор фракционируют на образцы по 11 мл. Эти разные фракции дозируют в ICP-AES для того, чтобы определить содержание в каждом образце натрия и гадолиния. Анализ трех образцов (исходный раствор и два раствора, соответствующих добавленным объемам в 220 мл (S20) и 275 мл (S25) Gd(NO3)3·6H2O) с помощью ICP-MS показывает следующие результаты.
Среднее значение отношения 160Gd/155Gd в исходном растворе: 1,52505±0,00107,
Среднее значение отношения 160Gd/155Gd в образце S20: 1,51297±0,00417,
Среднее значение отношения 160Gd/155Gd в образце S25: 1,51883±0,00222.
Т.е коэффициент обогащения для Sисходный/S20=1,0080±0,0035 между изотопами 160Gd и 155Gd и для Sисходный/S25=1,0041±0,0022 между изотопами 160Gd и 155Gd. Легкие изотопы первыми выходят из колонки (селективное удерживание тяжелых изотопов в колонке).
Должно быть ясно, что изобретение, определенное прилагаемой формулой изобретения, не ограничено частными способами реализации, вышеприведенными в описании, но охватывает варианты, которые не выходят ни за рамки, ни за замысел настоящего изобретения.
ПРИМЕР 10. Разделение изотопов меди методом твердожидкостной экстракции. Эксперимент проводился в хроматографической колонке для жидкостной хроматографии высокого давления (HPLC). Колонка изготовлена из нержавеющей стали и ее нижняя часть соединена с насосом. В колонку ввели суспензию 5 граммов промышленно производимой смолы Chelex 20 (она представляет собой полимер стирол/дивинилбензолиминоуксусной кислоты товарное название FLUKA) с размером частиц от 20 до 50 меш в водном растворе нитрата натрия (С=10-2 мол. л-1). Колонку подвергают условиям вибрации с целью уплотнения полимера и чтобы избежать образования пузырьков воздуха. Тотчас же после заполнения колонку закрывают герметично и подсоединяют к насосу, используемому для жидкостной хроматографии высокого давления. Раствор нитрата натрия (С=10-2 мол. л-1 элюируют для того, чтобы проверить, что давление остается постоянным и чтобы регулировать его (дебит = 1 мл.мин-1, давление = 30 бар). Водный раствор нитрата меди в азотной кислоте при рН=2,5 в количестве 0,5 ммол/мл, 10 мL) осаждают на полимере. После прополаскивания колонки раствором азотной кислоты в концентрации 0,002 N (при рН=2,5) нитрат меди элюируют раствором азотной кислоты в концентрации 0,1 N (pH=1). По выходе из колонки раствор разделяют на образцы весом по 10 мL. Различные функции (образцы) дозируют с помощью прибора ICP-AES с целью определения содержания меди в каждом образце. Анализ двух растворов (т.е. исходного раствора и раствора соответствующего объема, добавленным до получения 160 мL (S16) нитрата меди 2,5 Н2О в приборе ICP-MS дает следующие результаты:
– средняя величина отношения 63Cu/65Cu в исходном растворе равна 2,1833±0,01836
– средняя величина отношения 63Cu/65Cu в растворе S16 равна 2,1566±0,00402.
Итак, коэффициент обогащения изотопов 65 и 63 Sисход/S16 равен 1,0124±0,0104.
Легкие изотопы первыми выходят из колонки (т.е. тяжелые изотопы задерживаются в колонке).
Формула изобретения
1. Способ разделения в водной среде изотопов одного и того же элемента, принадлежащего к категории щелочноземельных металлов, переходных элементов и тяжелых металлов, имеющих атомную массу ниже 209, включающий обработку водной среды, содержащей изотопы элемента, при помощи органического лиганда, предназначенного для связывания предпочтительно с одним или несколькими изотопами элемента, при этом либо (i) лиганд содержится в смоле или носителе ионообменника, либо (ii) образованный комплекс лиганд-изотоп удерживается нанофильтрационной мембраной, и разделение остатка, содержащего изотопы, образовавшие комплекс с лигандом, и фильтрата, содержащего изотопы, не образовавшие комплекс.
2. Способ по п.1, отличающийся тем, что лиганд представляет собой линейную или циклическую многоосновную кислоту, предпочтительно линейную, отвечающую следующей формуле (I):

в которой
а=0 или 1 и b=2 или 3,
с=2 или 3 и d=0 или 1,
р=0-3,
е=0 или 1,
h=1, 2 или З,
i=1,2 или 3,
q = от 1 до 4,
f=2 или 3,
g=0 или 1,
A1, A2, A3 – одинаковые или различные и представляют собой функциональную группу моновалентной кислоты;
R1 – одинаковые или различные и означают Н, С1-С10-алкил или , в том случае, когда а=0, b=1 и R9, R10 одинаковые или различные и каждый означает водород или гидрофильный моновалентный радикал;
R2 – идентичны между собой или отличны друг от друга,
R3 – идентичны между собой или отличны друг от друга,
R6 – идентичны между собой или отличны друг от друга,
R7 – идентичны между собой или отличны друг от друга,
R2, R3, R6, R7 – одинаковые или различные и представляют собой Н или C1-С10-алкил;
R4 одинаковые или различные и представляют собой гидрофильную двухвалентную функциональную группу;
двухвалентная функциональная группа R5 представляет собой алкилен или функциональную группу, соответствующую тому же определению, что и R4; и/или
функциональная группа R8, которая представляет собой гидроксил А4, имеющий те же значения, которые указаны для А1, А2, А3, водород или -NR9R10, где R9, R10 являются одинаковыми или различными и представляют собой одновалентный гидрофильный радикал.
3. Способ по п.2, отличающийся тем, что р равно 2.
4. Способ по п.2, отличающийся тем. что h равно 1 или 2.
5. Способ по п.2, отличающийся тем, что i равно 1 или 2.
6. Способ по п.2, отличающийся тем, что q равно 2 или 3.
7. Способ по п.2, отличающийся тем, что А1, А2 и А3 выбирают из группы, в которую входят -COOR, -РО3R’2, -SO3R”, где R, R’, R”=Н или катион.
8. Способ по п.7, отличающийся тем, что R, R’, R”=Н или щелочной катион.
9. Способ по п.2, отличающийся тем, что R9 и R10 выбирают из аминированных, и/или (поли)гидроксилированных, и/или алкоксилированных, и/или (поли)этерифицированных углеводородных радикалов.
10. Способ по п.9, отличающийся тем, что эти радикалы являются радикалами типа (цикло)алкил, аралкил, алкиларил, (цикло)алкенил, алкениларил, арил.
11. Способ по п.2, отличающийся тем, что каждый из R9, R10 представляет собой С1-С10-гидроксиалкил, C1-С10-алкоксил, многоатомный спирт.
12. Способ по п.2, отличающийся тем, что R4 выбирают из аминированных и/или гидроксилированных ароматических групп, аминированных и/или гидроксилированных ароматических и (цикло)алкиленовых групп, или аминированных и/или гидроксилированных (цикло)алкиленовых групп.
13. Способ по п.2 или 12, отличающийся тем, что R4 содержит алкоксилы и/или полиэфиры.
14. Способ по п.2, отличающийся тем, что R5 представляет собой СН2.
15. Способ по п.2, отличающийся тем, что R8 представляет собой С1-C10-гидроксиалкил, C1-С10-алкоксил или многоатомный спирт.
16. Способ по п.2, отличающийся тем, что R8 представляет собой гидрированный сахарид.
17. Способ по п.2, отличающийся тем, что гидрофильные функциональные группы R9 и/или R10 представляют собой полигидроксиалкилы.
18. Способ по п.17, отличающийся тем, что группы R9 и/или R10 представляют собой гидрированные сахариды.
19. Способ по п.18, отличающийся тем, что группы R9 и/или R10 представляют собой сорбитол.
20. Способ по п.17, отличающийся тем, что группы R9 и/или R10 представляют собой полиэфирные цепи.
21. Способ по п.2, отличающийся тем, что группы R9 и/или R10 представляют собой полиэтиленгликольные или полипропиленгликольные цепи.
22. Способ по любому из пп.2-21, отличающийся тем, что алкильные, алкоксильные или алкенильные группы содержат С2, С3 и/или С4.
23. Способ по п.2, отличающийся тем, что лиганд имеет формулу (I.1):

в которой R9, R10, R11, R12 одинаковые или различные и каждый представляет собой гидрофильный одновалентный радикал, имеющий те же значения, которые указаны для R9, R10 в любом из предыдущих пунктов.
24. Способ по п.23, отличающийся тем, что R9, R10, R11 и/или R12 выбирают из радикалов этаноила, метоксиэтила и сорбитола.
25. Способ по п.1, отличающийся тем, что лиганд представляет собой трехуксусно-кислый N-ацетамидостиролэтилендиамин формулы

26. Способ по п.25, отличающийся тем, что лиганд связан с полимерной смолой или неорганическим носителем.
27. Способ по п.26, отличающийся тем, что в качестве смолы используют полимер трехуксусно-кислого стирол-дивинилбензол-N-ацетамидостиролэтилендиамина.
28. Способ по любому из пп.1-27, отличающийся тем, что количество используемого лиганда меньше 1 эквивалента в пересчете на атом изотопа или изотопов, подлежащих комплексообразованию.
29. Способ по любому из пп.1-28, отличающийся тем, что лиганд выбирают таким образом, чтобы он имел количество отрицательных зарядов, равное количеству положительных зарядов изотопа в ионной форме.
30. Способ по любому из пп.1-29, отличающийся тем, что водную среду, обработанную лигандом, подвергают нанофильтрации.
31. Способ по п.30, отличающийся тем, что нанофильтрация является тангенциальной нанофильтрацией.
32. Способ по любому из пп.1-29, отличающийся тем, что водную среду, содержащую изотопы, пропускают через смолу или носитель ионообменника, содержащий лиганд.
33. Способ по одному из п.31 или 32, отличающийся тем, что водную среду обрабатывают фильтрацией или пропускают через смолу или носитель ионообменника, содержащий лиганд.
34. Способ по любому из пп.1-33, применяемый для разделения изотопов лантаноидов.
35. Способ по п.34, применяемый для разделения изотопов элемента, выбранного из гадолиния, эрбия и неодима.
|
|