Патент на изобретение №2273483
|
||||||||||||||||||||||||||||||||||||||||||||||||||||||||||||||||||||||||||||||||||||||||||||||||||||||||||||||||||||||||||||||||||||||||||||||||||||||||||||||||||||||||||||||||||||||||||||||||||||||||||||||||||||||||||||||||||||||||||||||||||||||||||||||||||||||||||||||||||||||||||||||||||||||||||||
(54) ВОДОРАСТВОРИМЫЙ ПОЛИМЕРНЫЙ АНТИОКСИДАНТ, ПЛАЗМОЗАМЕНИТЕЛЬ С АНТИОКИСЛИТЕЛЬНОЙ И АНТИРАДИКАЛЬНОЙ АКТИВНОСТЬЮ (ВАРИАНТЫ) И СПОСОБ ПОДДЕРЖАНИЯ УРОВНЯ АРТЕРИАЛЬНОГО ДАВЛЕНИЯ И ПРОЦЕССОВ АНТИОКСИДАНТНОЙ ЗАЩИТЫ В ОРГАНИЗМЕ ПРИ ОСТРОЙ КРОВОПОТЕРЕ
(57) Реферат:
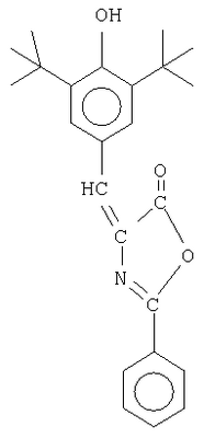
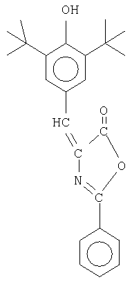
Изобретение относится к области медицины, а именно трансфузиологии и инфузионной терапии. Антиоксидант представляет собой химически модифицированный пространственно-затруднённым фенолом гидроксиэтилированный крахмал или пуллулан. Фрагментом пространственно-затрудненного фенола является
Заявляемая группа изобретений относится к области медицины, точнее к трансфузиологии (переливанию крови) и инфузионной терапии, а именно, к полимерному антиоксиданту, плазмозаменителю на его основе и способу поддержания уровня артериального давления и процессов антиоксидантной защиты при острой кровопотере с помощью этого плазмозаменителя. Заявляемая группа изобретений может быть использована для выпуска медицинских и ветеринарных препаратов-антиоксидантов пролонгированного действия и плазмозаменителей нового поколения, которые, в свою очередь, могут найти применение в медицине и ветеринарии для замещения крови и поддерживающей терапии, особенно при острых кровопотерях, на передовых этапах медицинской помощи и эвакуации. Острая массивная кровопотеря остается важнейшей проблемой современной медицины, так как является главной причиной смертности при техногенных и природных катастрофах, во время военных конфликтов, а также хирургических операций при обширных кровопотерях. Неблагоприятные эффекты острой кровопотери связаны в первую очередь со снижением внутрисосудистого объема жидкости и уменьшением количества носителя кислорода – гемоглобина. Вследствие этого развивается ишемия органов и стресс-реакция, которые являются пусковыми механизмами активации перекисного окисления липидов (ПОЛ). Высокая концентрация образующихся при этом свободных радикалов вызывает повреждение клеток, одновременно происходит ослабление системы антиоксидантной защиты, что приводит к некробиотическим изменениям. Ослабить отрицательное влияние гипоксии (недостатка кислорода) возможно путем увеличения минутного объема кровообращения посредством переливания крови или плазмозаменителей и дополнительной фармакологической защиты (антиоксиданты и антигипоксанты). Однако переливание компонентов крови является одним из видов трансплантации, поэтому при гемотрансфузии возникают проблемы совместимости крови донора и реципиента, переноса инфекции, иммунных реакций и, наконец, хранения и транспортировки крови. Известные синтетические плазмозаменители [1] снимают часть из этих проблем: в них отсутствуют возбудители инфекций, каждый из них соответствует расширенному кругу групп крови, их можно хранить длительное время. Безусловно, они являются незаменимыми, когда при острой кровопотере нет возможности определить группу крови пациента или найти донора. Однако все известные синтетические плазмозаменители не защищают органы и ткани от повреждающего действия свободных радикалов в условиях гипоксии. Применение известных плазмо- и кровезаменителей, их сочетание с известными низкомолекулярными фармацевтическими препаратами-антиоксидантами [10, 11] не дает полного эффекта донорской крови и не позволяет блокировать ПОЛ на самых ранних стадиях гипоксии, что всегда приводит к нежелательным последствиям для пациента (постреанимационное развитие энцефалопатии). Поэтому особое значение приобретает разработка таких систем (плазмозамещающих сред), которые уже на ранних стадиях гипоксии способны восстанавливать антирадикальную и антиоксидантную защиту тканей и органов, поддерживать приемлемый уровень артериального давления и длительно циркулировать в кровеносном русле. Известны низкомолекулярные биологически активные антиоксиданты класса пространственно-затрудненных фенолов (ПЗФ) (ионол, пробукол и др.) [12], которые наилучшим образом тормозят ПОЛ. Практическое использование ПЗФ в качестве биоантиоксидантов ограничивается тем, что они, как правило, являются жирорастворимыми препаратами, а также характеризуются небольшой терапевтической широтой действия. Из литературных источников и медицинской практики неизвестно использование низкомолекулярных ПЗФ в трансфузиологии и инфузионной терапии. Авторами заявляемого изобретения ранее были предприняты попытки получения полимерных антиоксидантов модификацией полимеров медицинского назначения (сополимеры винилпирролидона, поливиниловый спирт, декстран, хитозан) различными производными ПЗФ [13-16]. Выбор медицинских полимеров для этих экспериментов был обоснован их доступностью. Показана принципиальная возможность создания полимерных форм ПЗФ и изучены их физико-химические свойства. Известные полимеры водорастворимы и обладают антирадикальной и антиоксидантной активностью на уровне низкомолекулярных ПЗФ или несколько выше. Какие-либо другие водорастворимые полимерные антиоксиданты на основе ПЗФ и гидроксилсодержащих био- или синтетических полимеров не известны. Известные плазмозаменители условно можно подразделить на два класса. К первому классу можно отнести собственно плазму донорской крови и препараты плазмы – растворы человеческого сывороточного альбумина или протеин. Ко второму классу можно отнести плазмозаменители на основе кристаллоидных и коллоидных растворов биополимеров и синтетических полимеров. В настоящее время в связи с прогрессированием инфекционных заболеваний (СПИД, гепатит С и др.) плазмозаменители этого класса являются наиболее распространенными в медицинской практике как имеющие большие преимущества перед препаратами плазмы. Исследования по получению био- и синтетических полимеров для плазмозаменителей развиваются параллельно. Первые из известных плазмозаменителей на основе синтетических полимеров, таких как поливинилпирролидон («Гемодез»), поливиниловый спирт («Полидез»), в основном используются как дезинтоксикационные средства [2]. Также используются плазмозаменители «Полиоксидин» и «Полиоксифумарин» на основе синтетического полимера полиэтиленгликоля, которые сравнительно дешевы и не накапливаются в тканях [3]. По антигипоксическому действию они приближены к плазмозаменителям на основе биополимеров, однако менее стабильны при хранении, чем последние. Среди указанных неизвестны плазмозаменители с антиокислительной и антирадикальной активностью, достаточной для блокирования ПОЛ. В настоящее время в медицинской практике используются плазмозаменители на основе следующих биополимеров: желатин, декстран, гидроксиэтилированный крахмал, пуллулан. Все перечисленные плазмозаменители не обладают антиоксидантной и антирадикальной активностью, чтобы препятствовать развитию ПОЛ при гипоксии, особенно на ранних стадиях [4]. Известен плазмозаменитель «Микродез» на основе радиационно-химически модифицированного низкомолекулярного декстрана [5]. Помимо основного эффекта дезинтоксикации для этого плазмозаменителя показана некоторая стабилизация ПОЛ. Известен биодеградируемый плазмозаменитель «Пуллулан» на основе радиационно-химически модифицированного полисахарида, синтезируемого дрожжеподобным штаммом Auerobasidium (Pullularia) pullulans [6]. Показано, что замещение пуллуланом кровопотери при геморрагическом шоке в первые сутки способствует стабилизации системного артериального давления на близких к физиологическим значениям. Однако и этот плазмозаменитель не обеспечивает достаточную защиту тканей от повреждающего действия свободных кислородсодержащих радикалов при острой массивной кровопотере, так как «Пуллулан» не обладает антиоксидантными свойствами. Наиболее эффективным плазмозаменителем второго класса является плазмозаменитель на основе биополимера гидрооксиэтилированного крахмала (ГЭК). Этот известный плазмозаменитель [7] является наиболее близким к предлагаемому плазмозаменителю (прототип) и представляет собой 6- или 10%-ный раствор ГЭК в физиологическом растворе. Недостатком указанного плазмозаменителя является отсутствие антиоксидантных и антирадикальных свойств. Специально проведенные авторами заявляемой группы изобретений исследования способности ГЭК поддерживать уровень артериального давления и процессов антиоксидантной защиты при острой кровопотере показали следующие результаты. Работа была выполнена на крысах-самцах Sprague Dawley массой 480-530 г. Кровопускание осуществлялось из бедренной артерии со скоростью 0,8-1,0 мл/кг·мин в объеме 21 мл/кг при снижении артериального давления до 45-50 мм рт.ст. Оксидативный статус оценивали, определяя уровень малонового диальдегида (МДА) в эритроцитах [8]. О состоянии антиоксидантной системы судили по уровню общей антиоксидантной активности (ОАА) в эритроцитах [9]. Кровезамещение производили равноэквивалентным объемом 6%-ного раствора ГЭК. Артериальное давление восстанавливалось до исходного уровня в течение 10-12 мин и удерживалось в течение 3 ч. При этом наблюдалось увеличение уровня малонового диальдегида эритроцитов на 39% и уменьшение общей антиоксидантной активности эритроцитов на 25%. Эти результаты свидетельствуют о том, что в организме животного происходит активация процессов ПОЛ и угнетение антиоксидантной защиты. Таким образом, в настоящее время неизвестны плазмозаменители с выраженной антиоксидантной и антирадикальной активностью, достаточной для оперативного поддержания уровня артериального давления и процессов антиоксидантной защиты в организме при острой кровопотере. Задачей заявляемого изобретения является направленное создание плазмозаменителя, имеющего по сравнению с аналогами антиокислительную и антирадикальную активность, достаточную для оперативного поднятия артериального давления и его стабилизации на уровне физиологической нормы, а также снижения количества свободных радикалов и повышение антиоксидантной защиты организма при острой массивной кровопотере. Эта задача решается группой изобретений: водорастворимым полимерным антиоксидантом, плазмозаменителем с антиокислительной и антирадикальной активностью и способом поддержания уровня артериального давления и процессов антиоксидантной защиты организма при острой кровопотере, объединенных единым изобретательским замыслом. Водорастворимый полимерный антиоксидант характеризуется следующей совокупностью существенных признаков: 1. Водорастворимый полимерный антиоксидант представляет собой химически модифицированный пространственно-затрудненным фенолом гидроксилсодержащий биополимер, используемый в качестве основы плазмозаменителя, например гидроксиэтилированный крахмал, пуллулан. 2. В качестве фрагмента пространственно-затрудненного фенола в модифицированном полимере присутствует 3. Содержание фрагмента пространственно-затрудненного фенола в модифицированном полимере составляет от 2 мас.% до предела растворимости полимера в воде и не превышает, например, для модифицированных гидроксиэтилированного крахмала – 10 мас.%, пуллулана – 12 мас.%. Плазмозаменитель с антиокислительной и антирадикальной активностью (варианты) обладает следующей совокупностью существенных признаков: Вариант 1. 1 (4). Плазмозаменитель с антиокислительной и антирадикальной активностью состоит из раствора водорастворимого полимерного антиоксиданта, представляющего собой химически модифицированный пространственно-затрудненным фенолом гидроксилсодержащий биополимер, используемый в качестве основы плазмозаменителя, например гидроксиэтилированный крахмал, пуллулан в физиологическом растворе или растворе Рингера-Локка или в плазмозаменителе на основе соответствующего немодифицированного полимера при следующем соотношении компонентов, мас.%: водорастворимый полимерный антиоксидант – 0,0001-2, физиологический раствор или раствор Рингера-Локка или плазмозаменитель на основе соответствующего немодифицированного полимера – до 100. 2(5). В химически модифицированном полимере в качестве фрагмента пространственно- затрудненного фенола присутствует 3(6). Содержание фрагмента пространственно-затрудненного фенола в модифицированном полимере составляет от 2 мас.% до предела растворимости полимера в воде и не превышает, например, для модифицированных гидроксиэтилированного крахмала – 10 мас.%, пуллулана – 12 мас.%. Вариант 2. 4(7) Плазмозаменитель с антиокислительной и антирадикальной активностью состоит из раствора водорастворимого полимерного антиоксиданта, представляющего собой химически модифицированный пространственно-затрудненным фенолом гидроксилсодержащий биополимер декстран, используемый в качестве основы плазмозаменителя, в физиологическом растворе или растворе Рингера-Локка или в плазмозаменителе на основе немодифицированного декстрана при следующем соотношении компонентов, мас.%: водорастворимый полимерный антиоксидант – 0,0001-2, физиологический раствор или раствор Рингера-Локка или плазмозаменитель на основе немодифицированного декстрана – до 100. 5(8) В химически модифицированном декстране в качестве фрагмента пространственно- затрудненного фенола присутствует 6(9) Содержание фрагмента пространственно-затрудненного фенола в модифицированном декстране составляет от 2 мас.% до предела растворимости полимера в воде и не превышает 12 мас.%. В качестве уточнения следует указать, что известный плазмозамещающий раствор Рингера-Локка (кристаллоид) представляет собой солевой раствор следующего состава: хлористый натрий – 9 г, сода – 0,2 г, хлористый кальций – 0,2 г, хлористый калий – 0,2 г, глюкоза – 1 г, вода – до 1 л [17]. Известные плазмозаменители на основе биополимеров представляют собой 6, 10%-ные растворы соответствующих полимеров в физиологическом растворе [1, 17]. Способ поддержания уровня артериального давления и антиоксидантной защиты организма при острой кровопотере представляет собой следующую совокупность существенных признаков: 1(10). Способ поддержания уровня артериального давления и процессов антиоксидантной защиты организма при острой кровопотере, заключающийся в замещении крови плазмозаменителем с антиокислительной и антирадикальной активностью, состоящим из раствора водорастворимого полимерного антиоксиданта, представляющего собой химически модифицированный пространственно-затрудненным фенолом гидроксилсодержащий биополимер, используемый в качестве основы плазмозаменителя, в физиологическом растворе или растворе Рингера-Локка или в плазмозаменителе на основе немодифицированного биополимера при следующем соотношении компонентов, мас.%: водорастворимый полимерный антиоксидант 0,0001-2, физиологический раствор или раствор Рингера-Локка или плазмозаменитель на основе немодифицированного биополимера до 100, в дозах, применяемых при переливании соответствующего плазмозаменителя. 2(11). При замещении крови в качестве основы плазмозаменителя с антиокислительной и антирадикальной активностью применяют раствор водорастворимого полимерного антиоксиданта, в котором в качестве фрагмента пространственно- затрудненного фенола присутствует 3(12). При замещении крови в качестве основы плазмозаменителя с антиокислительной и антирадикальной активностью применяют раствор водорастворимого полимерного антиоксиданта, в котором содержание фрагмента пространственно-затрудненного фенола составляет от 2 мас.% до предела растворимости в воде и не превышает для модифицированного гидроксиэтилированного крахмала – 10 мас.%, модифицированного пуллулана – 12 мас.%, модифицированного декстрана – 12 мас.%. Совокупность существенных признаков заявляемого водорастворимого полимерного антиоксиданта обеспечивает получение технического результата – значительного увеличения антиокислительной и антирадикальной активности полимеров, являющихся основой современных плазмозаменителей. При этом сохраняются их молекулярные характеристики, водорастворимость. Заявляемая основа нового плазмозаменителя обнаруживает за счет своего нового качества высокую устойчивость к ПОЛ, превышающую таковую у полимеров-аналогов. Заявляемые водорастворимые полимерные антиоксиданты не известны. Только совокупность существенных признаков заявляемого водорастворимого полимерного антиоксиданта позволяет достичь указанного технического результата. То, что большинство гидроксилсодержащих полимеров разной химической структуры могут быть модифицированы, причем в строго определенной пропорции, ПЗФ и при этом сохранят свои качества, необходимые для получения плазмозаменителя, не будут токсичны, смогут участвовать в блокировке ПОЛ в организме – сложнейшей биосистеме – было совершенно неочевидно. Следует подчеркнуть, что известные попытки модификации современных плазмозаменителей без внесения антиоксидантной доминанты, например декстрана и пуллулана, как показала практика, оказались полумерой, так как в их структурах потенциально отсутствует возможность увеличить антирадикальную активность. Поэтому основным направлением исследований по борьбе с ПОЛ при острой кровопотере в настоящее время является поиск низкомолекулярных антиоксидантных препаратов, которые необходимо вводить пациенту дополнительно при переливании плазмозаменителя. Это позволяет утверждать о соответствии первого изобретения из заявляемой группы условию охраноспособности “изобретательский уровень” (“неочевидность”). Совокупность существенных признаков второго из группы заявляемых изобретений – плазмозаменителя (варианты) – обеспечивает получение технического результата – появления у известных плазмозаменителей нового ярко выраженного качества антиокислительной и антирадикальной активности за счет их оригинальной модификации. По способности блокировки ПОЛ заявляемые плазмозаменители не имеют аналогов. Так, исследования в условиях, приведенных выше при характеристике плазмозаменителя-прототипа инфукола (6% р-р ГЭК), показали, что оценка степени гемолиза эритроцитов по методике [19] при концентрации модифицированного полимера 0,016 мас.% в физиологическом растворе (содержание фрагментов ПЗФ в модифицированном полимере 1 мол.% или 2.3 мас.%) уменьшалась в два раза, что свидетельствует об увеличении резистентности эритроцитарной мембраны. Экспериментальные исследования показали, что заявляемые плазмозаменители отвечают всем требованиям, предъявляемым к современным плазмозаменителям по вязкости, совместимости с кровью, нетоксичны, кроме того, они улучшают микроциркуляцию крови. Отличительными существенными признаками заявляемого плазмозаменителя (варианты) от плазмозаменителя-прототипа являются признаки, характеризующие основу плазмозаменителя – модифицированный полимер-антиоксидант, и концентрация антиоксиданта в растворе. Анализ известного уровня техники не позволил обнаружить решение, полностью совпадающее по совокупности существенных признаков с заявляемым изобретением, что подтверждает новизну предложения. Только совокупность существенных признаков заявляемых плазмозаменителей позволяет достичь указанного выше технического результата. Из известности отдельных признаков способа (физиологический раствор) не вытекает с очевидностью возможность получения плазмозаменителя указанного выше качества. Только результаты специальных тестирований показали преимущества заявляемого плазмозаменителя и его соответствия требованиям к медицинским препаратам такого уровня. Предугадать поведение и результат испытаний новых веществ в живом организме в настоящее время, когда до конца не изучены сложнейшие процессы, которые развиваются при острой кровопотере, невозможно. Это позволяет утверждать о соответствии предлагаемого изобретения условию охраноспособности “изобретательский уровень” (“неочевидность”). Совокупность существенных признаков третьего из группы заявляемых изобретений – способа поддержания уровня артериального давления и антиоксидантной защиты организма при острой кровопотере – обеспечивает получение технического результата – возможности блокировки ПОЛ при замещении крови уже на начальном этапе гипоксии за счет применения оригинального плазмозаменителя. В экспериментальных исследованиях было показано, что после кровопотери и снижения артериального давления до уровня 45-50 мм рт.ст. концентрация малонового диальдегида (МДА) увеличивается на 39% по сравнению с исходным, в то время как антиоксидантная защита снижается на 25%. Применение в качестве замещающего средства раствора модифицированного полимера в диапазоне концентраций от 2·10-5 г/кг до 5·10-2 г/кг вызывало стабилизацию процессов ПОЛ и значительно улучшало антиоксидантную защиту организма. Дополнительный технический результат – заявляемая дозировка плазмозаменителя совпадает с известной, что не потребует при внедрении нового плазмозаменителя дополнительных клинических испытаний и переобучения персонала больниц. При переливании заявляемого плазмозаменителя отсутствует необходимость дополнительной антиоксидантной терапии, поскольку в экспериментальных условиях при острой массированной кровопотере наблюдалось увеличение на 52% выживаемости животных в случае предварительного внутривенного введения модифицированного полимера в заявленных дозах. Способ прост, поскольку предполагается, что заявляемый плазмозаменитель представляет собой раствор, готовый к использованию. Отличительными существенными признаками заявляемого способа от способа-прототипа являются признаки, характеризующие используемый в способе плазмозаменитель, и дозировка как количественный признак, неотъемлемый от нового качественного (дозировка нового плазмозаменителя могла не совпадать с известной). Анализ известного уровня техники не позволил обнаружить решение, полностью совпадающее по совокупности существенных признаков с заявляемым изобретением, что подтверждает новизну предложения. Только совокупность существенных признаков заявляемого способа позволяет достичь указанного выше технического результата. Из известности отдельных признаков способа (замещение крови) не вытекает с очевидностью возможность нормализации давления и, главное, поддержки антиоксидантной защиты организма, позволяющей успешно блокировать ПОЛ и проводить более полноценную замену или восполнение потери крови, чем у известных аналогов. Совершенно неочевидным явился факт, что при реализации заявляемого способа не потребуется дополнительное медикаментозное лечение. Это позволяет утверждать о соответствии третьего изобретения из заявляемой группы изобретений условию охраноспособности “изобретательский уровень” (“неочевидность”). Таким образом, группа заявляемых изобретений в целом обладает новизной и неочевидностью. Для подтверждения соответствия заявляемой группы изобретений требованию «промышленная применимость», а также для лучшего понимания сущности изобретения приводим примеры его конкретной реализации. I. Для модификации использовались следующие гидроксилсодержащие биополимеры, входящие в состав плазмозамещающих растворов, выпускаемых промышленностью. Гидроксиэтилированный крахмал (ГЭК) Аптечный препарат «Инфукол» фирмы Fresenius представляет собой раствор 6 или 10 мас.% гидроксиэтилированного крахмала с молекулярной массой (ММ) 200000 в физиологическом растворе. ГЭК извлекали лиофильной сушкой предварительно диализованного (против воды) аптечного препарата. Пуллулан Пуллулан с ММ 800000-1000000 представляет собой препарат, выпускаемый научно-фармацевтическим центром ОАО «Белмедпрепараты», Минск, Беларусь II. В качестве модификаторов гидроксилсодержащих полимеров использовали следующие функциональные производные ПЗФ: 1. 2. 5-кето-2-фенил-4-(4-гидрокси-3,5-дитрет.бутилбензилиден) 4,5-дигидрооксазол [21] III. Получение полимерных антиоксидантов осуществляли путем химической модификации гидроксилсодержащих полимеров различными ПЗФ. а) Модификацию полимера КФ проводили по реакции этерификации с конденсирующим агентом дициклогексилкарбодиимидом (ДЦГК) и катализатором диметиламинопиридином (ДМАП) [22]. Например, при использовании пуллулана. При перемешивании при 20°С в 2 мл диметилсульфоксида (ДМСО) последовательно растворяли КФ 0,17 г (0,6 ммоль), катализатор ДМАП 0,007 г (0,06 ммоль) и ДЦГК 0,12 г (0,6 ммоль). Через 30 мин в реакционную смесь вводили 0,2 г пуллулана (ММ 800000-1000000). Через 1 ч отфильтровывали дициклогексилмочевину, выделившуюся в результате реакции. Далее реакционную смесь осаждали этанолом, затем переосаждали из водного этанола (1:1) в этанол. Продукт сушился в вакууме. Содержание химически присоединенного КФ составило 3,5 мас.%. Продукт растворим в воде, смеси вода-этанол (1:1). Варьированием количества КФ в синтезе получены модифицированные пуллуланы, содержащие 2-12 мас.% химически присоединенного КФ. В случае гидроксиэтилированного крахмала (модификация до 10 мас.%) использовалась аналогичная методика. б) 5-кето-2-фенил-4-(-4-гидрокси-3,5-дитрет.бутилбензилиден)-4,5-дигидрооксазол (АзФ) Модификацию полимеров Азф проводили по реакции ацилирования в присутствии катализатора диметиламинопиридина ( ДМАП) [25]. Например, при использовании гидроксиэтилированного крахмала (ГЭК): При 50°С в 3 мл ДМСО последовательно растворяли 0,3 г гидроксиэтилированного крахмала с ММ 200000, 0,02 г ДМАП и 0,15 г АзФ и проводили реакцию в течение 6 ч. Продукт выделяли в изопропиловый спирт, сушили в вакууме. Содержание химически присоединенного АзФ составило 7,4 мас.%. Продукт растворим в воде, в смеси вода-этанол (1:1). Варьированием количества АзФ в синтезе получены модифицированные крахмалы, содержание химически присоединенного АзФ в которых составляет 2-12 мас.%. В случае пуллулана (модификация до 12 мас.%) использовалась аналогичная методика. Предел растворимости в воде (максимальное содержание ПЗФ в полимере, при котором сохраняется водорастворимость) заявляемых полимерных антиоксидантов, обусловленный природой исходного полимера и содержанием химически присоединенного ПЗФ, составляет для гидроксиэтилированного крахмала – 10 мас.%, пуллулана – 12 мас.%. IV. Для модифицированных полимеров определены следующие параметры. 1. Содержание химически присоединенного ПЗФ в модифицированных полимерах (А, мас.%). Для расчета этого параметра использовали спектрофотометрический метод [26]. Величина А для полимеров изменялась в пределах 2,0-12 мас.%. 2. Антиокислительная активность модифицированных полимеров (АОА). Метод определения АОА основан на проведении модельной реакции окисления восстановленной формы окислительно-восстановительного индикатора – 2,6-дихлорфенолиндофенола и определении константы ингибирования КАОА этой реакции в присутствии антиоксиданта [27]. Для модифицированных полимеров показатель КАОА в зависимости от природы полимера и ПЗФ варьируется от 1.1 до 17.5 л/моль·мин. 3. Антирадикальная активность модифицированных полимеров (АРА). Антирадикальная активность модифицированных полимеров была оценена путем расчета константы скорости (КАРА) их взаимодействия со свободным радикалом натриевой соли 2,2-дифенил -1-пикрилгидразила сульфокислоты (ДФПГ-SO3Na) в воде при 20°С [23,28]. Для модифицированных полимеров в зависимости от природы полимера и ПЗФ значение КАРА находится в пределах 420-11300 л/моль·с. Результаты изучения антирадикальной и антиокислительной активностей заявленных и известных водорастворимых полимерных антиоксидантов в условиях in vitro представлены в таблице 1. Из таблицы 1 видно, что константы КАРА и КАОА для немодифицированных полимеров (№1, 6) равны нулю, что указывает на отсутствие у них антирадикальной и антиокислительной активностей. Все заявляемые водорастворимые модифицированные полимеры, в которых содержание химически присоединенных ПЗФ находится в диапазоне 2-12 мас.%, обладают антиокислительной и антирадикальной активностью, особенно высокой при использовании АзФ. При содержании ПЗФ в модифицированном полимере ниже 2 мас.% эффект антирадикальной и антиоксидантной активности проявлялся незначительно. Низкомолекулярным аналогом заявляемых водорастворимых полимерных антиоксидантов является водорастворимый антиоксидант из класса ПЗФ «феноксан» (калиевая соль 4-гидрокси-3,5-дитрет.бутилфенилпропионовой кислоты) [29], который обладает меньшей АРА (КAPA=35±2 л/моль·с), но достаточно высокой АОА (КAOA=6,0±0,3 л/моль·мин). На модели гипотонического гемолиза эритроцитов крови крыс [19] была показана возможность использования водорастворимых полимерных антиоксидантов в биологических системах и оценена их способность повышать резистентность эритроцитарных мембран, которая оказалась не ниже, а во многих случаях превышала эффективность низкомолекулярного аналога «феноксана» (его эффективность составляет 1,3 при концентрации 1·10-6 моль/л ) (таблица 2).
Плазмозаменители приготавливали растворением заявляемого водорастворимого полимерного антиоксиданта, полученного, например, с использованием гидроксиэтилированного крахмала или пуллулана, а также растворением известного водорастворимого полимерного антиоксиданта [15,23], полученного с использованием декстрана с ММ 40000 (например, см. табл.1 продукты АО 5 и АО 6). Концентрация водорастворимого полимерного антиоксиданта в зависимости от природы исходного полимера и содержания химически присоединенного ПЗФ варьируется от 0,0001 мас.% до 2,0 мас.% в физиологическом растворе или растворе Рингера-Локка или в растворе плазмозаменителя на основе соответствующего немодифицированного полимера. Способ хранения заявляемых плазмозаменителей – растворов модифицированных полимеров – не отличается от такового для их немодифицированного аналога. Для подтверждения эффекта было осуществлено 4 серии экспериментов, в которых использовались по 2 группы животных (крысы-самцы линии Sprague Dawley (SD), n=10). Во всех сериях проводилось острое кровопускание под нембуталовым наркозом из левой бедренной артерии со скоростью 0.8-1.0 мл/кг·мин. Кровопотеря у всех групп животных вызывала падение артериального давления (АД) до уровня 50±5 мм рт.ст. Артериальное давление измерялось в правой бедренной артерии прямым способом при помощи датчика Bachter с последующей обработкой экспериментальных данных при помощи специально разработанной программы LittleMed (N2002610459). Замещение кровопотери у крыс-самцов SD заявляемыми плазмозаменителями осуществляется эквивалентно объему потерянной крови и в соответствии с состоянием антиоксидантного статуса. При уровне АД ниже 80 мм рт.ст. первоначально замещение производится струйным способом (до подъема АД до 100-110 мм рт.ст.) с дальнейшим капельным введением и контролем состояния антиоксидантной системы организма. Оценка свободнорадикального окисления производилась по концентрации малонового диальдегида в эритроцитах (МДА), а антиоксидантный статус организма оценивали по уровню общей антиоксидантной активности эритроцитов (ОАА). При оценке состояния организма по показателям МДА и ОАА за 100% принимается значение параметра, полученное в исходном состоянии, т.е. до кровопотери. Острая массивная кровопотеря является сильнейшим стрессорным фактором, который затрагивает все интегративные системы организма, в первую очередь центральную нервную систему (ЦНС). В первые минуты кровопотери вследствие активации липопероксидации происходит снижение антиокислительной активности липидов и ингибирование антиоксидантных ферментов в тканях мозга. Окончательный результат реанимационных мероприятий по восстановлению всех функций центральной нервной системы закладывается в первые часы оказания помощи. Именно эти обстоятельства обосновывают целесообразность стабилизации процессов ПОЛ в течение первого часа реанимационных мероприятий. В таблицах 3-6 приведен сравнительный анализ уровня АД и антиоксидантного статуса у крыс при замещении кровопотери заявляемыми и немодифицированными плазмозаменителями. Для иллюстрации реализации заявляемого способа и в качестве комментария к таблицам приводим следующие примеры проведения экспериментов in vivo, применительно к заявляемым плазмозаменителям на основе серий водорастворимых полимерных антиоксидантов AO 1, AO 2, AO 5. Пример 1. Водорастворимый полимерный антиоксидант (АО 1) – гидроксиэтилированный крахмал, содержащий 7,4 мас.% химически присоединенного АзФ, ММ 200000 (таблица 1, №2). Заявляемый плазмозаменитель (ЗП1) – плазмозаменитель «инфукол», содержащий 0,002 мас.% AO 1. Проводили равноэквивалентное замещение потери крови у крыс-самцов SD (по 5 мл) плазмозаменителем «инфуколом» (6 мас.% раствор гидроксиэтилированного крахмала) и ЗП1. Результаты приведены в таблице 3.
В I серии экспериментов in vivo равноэквивалентное замещение кровопотери у первой группы животных «инфуколом» через 30 мин от начала замещения вызывало подъем АД до уровня даже несколько выше исходного (144±3 мм рт.ст.), однако в последующие 30 мин уровень АД составил 105±4 мм рт.ст. Кровезамещение плазмозаменителем ЗП1 во второй группе животных вызывало подъем АД до 128±5 мм рт.ст. через 30 мин от начала введения, и через 60 мин проведения опыта – 130±6 мм рт.ст., что фактически составляло исходный уровень (132±5 мм рт.ст.). Таким образом, видно, что замещение кровопотери плазмозаменителем «инфуколом» способно поддерживать достаточно высокий уровень АД в течение одного часа, однако при этом не происходит стабилизации антиоксидантного статуса организма. Замещение кровопотери плазмозаменителем ЗП1 способно удерживать практически исходный уровень АД в течение 60 мин после введения и при этом стабилизировать процессы пероксидации. Пример 2. Водорастворимый полимерный антиоксидант (АО 2) – ГЭК, содержащий 6,0 мас.% химически присоединенного КФ, (таблица 1, №3). Заявляемый плазмозаменитель (ЗП2) – раствор Рингера-Локка, содержащий 2,0 мас.% АО 2. Для сравнения – известный плазмозаменитель раствор Рингера-Локка. Проводили равноэквивалентное замещение потери крови у крыс-самцов SD (по 5 мл) плазмозаменителем раствором Рингера-Локка и ЗП2. Результаты приведены в таблице 4.
В II серии экспериментов in vivo равноэквивалентное замещение кровопотери у первой группы животных раствором Рингера-Локка (Р-Л) через 30 мин от начала замещения обеспечивало уровень АД 84±4 мм рт.ст., в последующие 30 мин уровень АД снизился до 55±4 мм рт.ст. Кровезамещение плазмозаменителем ЗП2 во второй группе животных вызывало подъем АД до 126±6 мм рт.ст. через 30 мин от начала замещения, через 60 мин уровень АД практически сохранялся (128±5 мм рт.ст.). Таким образом, видно, что замещение кровопотери раствором Рингера-Локка не способно поддерживать приемлемый уровень АД и антиоксидантного статуса в течение одного часа, в то время как плазмозаменитель ЗП2 обеспечивал поддержание АД на исходном уровне и предупреждал развитие перекисных процессов и повышал антиоксидантную защиту организма в условиях геморрагического шока. Пример 3. Водорастворимый полимерный антиоксидант (АО 5) – декстран, содержащий 12 мас.% химически присоединенного АзФ, ММ 40000. Заявляемый плазмозаменитель (ЗПЗ) – физиологический раствор, содержащий 0,0001% АО 5. Результаты приведены в таблице 5.
В III серии экспериментов in vivo у первой группы животных равноэквивалентное замещение проводилось внутривенным введением физиологического раствора (2,0 мл струйно и 3,0 мл капельно), во второй группе животных аналогичная кровопотеря замещалась плазмозаменителем ЗПЗ. Кровопотеря у обеих групп животных вызывала падение артериального давления (АД) до уровня 50±5 мм рт.ст. Через 30 мин от начала замещения кровопотери физиологическим раствором уровень АД составлял 75±4 мм рт.ст., и через 60 мин – 45±4 мм рт.ст. Аналогичное замещение плазмозаменителем ЗПЗ через 30 мин от начала введения обеспечивало уровень АД 126±6 мм рт.ст. и через 60 мин – 130±5 мм рт.ст. При этом в первой группе животных через 30 мин после кровопотери уровень МДА в эритроцитах увеличился на 41% по сравнению с исходным, что свидетельствует о развитии процессов свободнорадикального окисления. Одновременно наблюдалось угнетение антиоксидантной защиты организма, так как ОАА в эритроцитах снизилась на 29% от исходного уровня. Во второй группе животных после кровопотери и замещения ЗПЗ уровень МДА эритроцитов не увеличивался (92% от исходного), в то же время ОАА увеличивалась на 126%, что свидетельствует об активации актиоксидантной системы организма. Таким образом, гемодинамические показатели второй группы животных, кровезамещение которым осуществлялось плазмозаменителем ЗПЗ, соответствуют исходным параметрам. Кроме того, замещение кровопотери ЗПЗ предотвращает развитие процессов ПОЛ и активирует антиоксидантную систему организма. Пример 4. Водорастворимый полимерный антиоксидант (AO 5) – декстран, содержащий 12,0 мас.% химически присоединенного АзФ, ММ 40000. Заявляемый плазмозаменитель (ЗП5) – плазмозаменитель «реополиглюкин», содержащий 0,0001 мас.% AO 5. Проводили равноэквивалентное замещение потери крови у крыс-самцов SD (по 5 мл) реополиглюкином (6 мас.% раствор декстрана, ММ=40000) и ЗП4. Результаты приведены в таблице 6.
Во IV серии экспериментов in vivo у первой группы животных замещение кровопотери осуществлялось равноэквивалентным объемом реополиглюкина и через 30 мин от начала замещения уровень АД составлял 67±5 мм рт.ст., через 60 мин – 55±4 мм рт.ст. Замещение плазмозаменителем ЗП4 при прочих равных условиях через 30 мин от начала введения обеспечивало уровень АД 82±7 мм рт.ст., и через 60 мин – 103±6 мм рт.ст. В течение времени наблюдения во второй группе купировался процесс липопероксидации (уровень МДА не менялся) и активировалась антиоксидантная защита организма. Таким образом, плазмозаменитель ЗП4 обеспечивает более высокий уровень АД по сравнению с реополиглюкином, предотвращает развитие процессов оксидативного стресса и повышает антиоксидантный статус организма. В экспериментальных условиях было показано, что заявляемые плазмозаменители в заявляемых интервальных параметрах концентраций (в пересчете на водорастворимые полимерные антиоксиданты – в диапазоне концентраций от 2·10-5 до 5·10-2 г/кг) удерживали физиологический уровень артериального давления (АД) после замещения острой кровопотери в течение одного часа (время наблюдения), при этом был отмечен значительный рост (в 1,2-2,3 раза) антиоксидантной защиты и блокада ПОЛ. При использовании концентрации антиоксиданта ниже указанного диапазона заявляемого эффекта не наблюдалось, тогда как увеличение концентрации антиоксиданта выше указанного диапазона вызывало значительное урежение частоты сокращения сердца и снижение АД. Возможность реализации изобретения не ограничивается приведенными выше примерами. Анализ результатов, полученных при реализации заявляемой группы изобретений, показал, что предлагаемое при острой массивной кровопотере введение плазмозаменителя на основе водорастворимого полимерного антиоксиданта позволяет поддерживать уровень артериального давления и стабилизировать процессы антиоксидантной защиты организма и блокировать ПОЛ в условиях геморрагического шока. По сравнению с аналогами заявляемый плазмозаменитель обладает ярко выраженной антиокислительной и антирадикальной активностью. Выход за рамки заявляемых интервальных параметров приводит к невозможности реализации изобретения. ЛИТЕРАТУРА 2. Машковский М. Д. Лекарственные средства. М.: Медицина, 1986, ч.2, с.130-134. 3. А.С. СССР 1686728, от 15.08.84. 4. Хлябич Г.Н. Основные направления исследований по созданию перспективных технологий производства кровезаменителей / В кн.: Актуальные проблемы улучшения качества кровезаменителей, консервантов крови, гормональных и органотерапевтических препаратов. М., 1991. С.3-9. 7. Справочник ВИДАЛЬ. Лекарственные препараты в России. 2002. с.Б-247. 11. Болдырев А.А. Карнозин., М.: МГУ, 1998. 12. Ершов В.В., Никифоров Г.А., Володькин А.А. Пространственно-затрудненные фенолы. М.: Химия, 1972. 264 с. 17. Машковский М.Д. Лекарственные средства. М.: Медицина, 1986, ч.2, с.106-107. 18. Справочник ВИДАЛЬ. Лекарственные препараты в России. 2003. 20. Никифоров Г.А., Ершов В.В. Изв. АН СССР, сер. хим., 1962, №2, с.342-345. 22. Органикум, пер. с нем. М.: Мир, 1979, Т 2. С.71-83. 23. Арефьев Д.В., Домнина Н.С., Комарова Е.А., Рахматуллина Е.Н., Билибин А.Ю. Синтез и антирадикальная активность конъюгатов декстрана и 24. Органикум, пер. с нем. М.: Мир, 1979. Т1. С.240-291. 25. Органические реакции, сб. 3, М.: Иностр. лит., 1949, с.190-216. 28. Розанцев Э.Г., Шолле В.Д. Органическая химия свободных радикалов. М.: Химия, 1979, 344 с. Формула изобретения
1. Водорастворимый полимерный антиоксидант, используемый в качестве основы плазмозаменителя, отличающийся тем, что он представляет собой химически модифицированный пространственно-затруднённым фенолом гидроксилсодержащий биополимер, являющийся гидроксиэтилированным крахмалом или пуллуланом, при этом в качестве фрагмента пространственно-затруднённого фенола указанный модифицированный биополимер содержит 2. Плазмозаменитель с антиокислительной и антирадикальной активностью, состоящий из раствора водорастворимого полимерного антиоксиданта, охарактеризованного в п.1, в физиологическом растворе или растворе Рингера-Локка, при следующем соотношении компонентов, мас.%:
3. Плазмозаменитель с антиокислительной и антирадикальной активностью, состоящий из раствора водорастворимого полимерного антиоксиданта, охарактеризованного в п.1, в плазмозаменителе на основе соответствующего немодифицированного полимера, при следующем соотношении компонентов, мас.%:
4. Способ поддержания уровня артериального давления и процессов антиоксидантной защиты организма при острой кровопотере, отличающийся тем, что при замещении крови в качестве плазмозамещающего раствора используют плазмозаменитель с антиокислительной и антирадикальной активностью, охарактеризованный в п.2 или 3, в дозах, применяемых при замещении крови соответствующим плазмозаменителем.
MM4A – Досрочное прекращение действия патента СССР или патента Российской Федерации на изобретение из-за неуплаты в установленный срок пошлины за поддержание патента в силе
Дата прекращения действия патента: 07.05.2006
Извещение опубликовано: 27.04.2007 БИ: 12/2007
NF4A Восстановление действия патента СССР или патента Российской Федерации на изобретение
Дата, с которой действие патента восстановлено: 27.04.2007
Извещение опубликовано: 27.04.2007 БИ: 12/2007
|
||||||||||||||||||||||||||||||||||||||||||||||||||||||||||||||||||||||||||||||||||||||||||||||||||||||||||||||||||||||||||||||||||||||||||||||||||||||||||||||||||||||||||||||||||||||||||||||||||||||||||||||||||||||||||||||||||||||||||||||||||||||||||||||||||||||||||||||||||||||||||||||||||||||||||||

-(4-гидркоси-3,5-дитрет.бутилфенил)-пропионил или
-(N-бензоиламино)-акрилоил и его содержание составляет от 2 мас.% до предела растворимости полимера в воде и не превышает для модифицированного гидроксиэтилированного крахмала 10 мас.%, а для модифицированного пуллулана 12 мас.%. Плазмозаменитель с антиокислительной и антирадикальной активностью представляет собой указанный полимерный антиоксидант в физиологическом растворе или растворе Рингера-Локка в плазмозаменителе на основе соответствующего немодифицированного полимера. Также описан способ поддержания уровня артериального давления и процессов антиоксидантной защиты организма при острой кровопотере путем использования указанного плазмозаменителя. Новый плазмозаменитель по сравнению с аналогами характеризуется двумя видами активности: антиокислительной и антирадикальной, которые достаточны для оперативного поднятия артериального давления и его стабилизации на уровне физиологической нормы, а также снижения количества свободных радикалов и повышения антиоксидантной защиты организма при острой массивной кровопотере. 4 н.п. ф-лы, 6 табл.

