Патент на изобретение №2273473
|
||||||||||||||||||||||||||||||||||||||||||||||||||||||||||||||||||||||||||||||||||||||||||||||||||||||||||||||||||||||||||||||||||||||||||||||||||||||||||||||||||||||||||||||||||||||||||||||||||||||||||||||||||||||||||||
(54) ФАРМАЦЕВТИЧЕСКАЯ ТАБЛЕТКА
(57) Реферат:
Изобретение относится к медицине и представляет собой фармацевтическую таблетку, содержащую сердцевину и связанную с ней оболочку, в которой (а) сердцевина содержит твердые частицы водорастворимого красителя, рассредоточенного в матриксе, и (б) оболочка содержит геллановую камедь. Из-за содержания водорастворимого красителя в сердцевине таблетки она обладает пятнистым внешним видом, который позволяет таблетке быть легко распознаваемой. Таблетка пригодна для перорального и интраорального введения. 29 з.п. ф-лы.
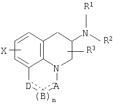
ОБЛАСТЬ ТЕХНИКИ, К КОТОРОЙ ОТНОСИТСЯ ИЗОБРЕТЕНИЕ Настоящее изобретение относится к перорально вводимым фармацевтическим формам, более конкретно к таблеткам. УРОВЕНЬ ТЕХНИКИ Таблетки являются наиболее распространенной и удобной фармацевтической формой для перорального введения лекарственных средств. Важным функциональным атрибутом таблетки является то, что ее легко распознать по внешнему виду, в том числе по размеру, форме, текстуре поверхности, маркировке и цвету. Такая легкая распознаваемость является важной для минимизации ошибок при раздаче и позволяет пациентам, проходящим множественную лекарственную терапию, различать препараты, принимаемые в разное время или с разной периодичностью. Огромное множество препаратов в настоящее время сформулированы в виде таблеток, многие из этих препаратов сформулированы по различной силе дозировок, и поэтому это становится все более важным, однако все сложнее гарантировать, что любая новая таблетка обладает уникальным внешним видом. В частности, диапазон легкоразличимых цветов, доступных для разработчика таблеток, достаточно ограничен. До некоторой степени эта проблема облегчена употреблением разноцветных, двухцветных или многоцветных таблеток. Однако остается необходимость в технологии для таблеток, обладающих уникальными цветовыми рисунками поверхности. В случае таблеток, покрытых оболочкой, цвет может быть атрибутом поверхности оболочки. Например, ряд непрозрачных пигментов доступен для добавления в составы для оболочек таблеток, такие как составы, основанные на этилцеллюлозе; эти пигменты придают чисто белый или окрашенный вид таблетке, покрытой оболочкой. Альтернативно, оболочка поверхности может быть светлой и прозрачной, и цвет покрытой оболочкой таблетки контролируется цветом сердцевины таблетки, лежащей под оболочкой. В Патенте США №6326028, Nivagiolli et al., включенном в настоящее описание в качестве ссылки, описана оболочка таблетки, содержащая геллановую камедь. Сказано, что такая оболочка удобна для таблеток, принимаемых перорально, и придает хорошие внешний вид, идентифицируемость, вкусовые ощущения, пониженную степень запыленности, стабильность, цвет и/или проглатываемость. В Международной публикации патента №WO 01/10406, включенной в настоящее описание в качестве ссылки, описаны составы, пригодные для широкого диапазона путей введения сильденафил цитрата, включая щечный и подъязычный пути. Описанные предпочтительные составы включают раствор, гель, полутвердую субстанцию, суспензию, метрированное дозировочное приспособление, трансдермальный пластырь или пленку. Указано, что такие составы могут включать гелеобразующую систему, например 0,5-10% геллановую камедь. В Международной публикации патента №WO 02/05820, включенной в настоящее описание в качестве ссылки, раскрыты пленочные формы дозировки, содержащие сильденафил цитрат. Эти формы дозировки приготовляют путем смешивания твердой дисперсии сильденафил цитрата и водорастворимого сахара с гидроколлоидом и необязательными другими ингредиентами; при помещении на слизистую поверхность они формируют оболочку, которая впоследствии разлагается и растворяется для освобождения сильденафила. Гелевая натриевая соль указана среди гидроколлоидов, которые могут быть использованы при таких пленочных формах дозировки. В Патенте США №6291506, Levin, включенном в настоящее описание в качестве ссылки, описано, что офтальмологический препарат карведилол может быть сформулирован для глазного введения за счет суспендирования его в агенте, таком как геллановая камедь, который увеличит время контакта роговицы с препаратом. В указанной публикации рассмотрены другие возможные дозировочные методы для препарата. Заявлен способ, по которому препарат дозируется посредством выбора путей поступления, включая сублингвальный. СУЩНОСТЬ ИЗОБРЕТЕНИЯ В настоящей заявке предложена фармацевтическая таблетка, состоящая из сердцевины и связанной с ней оболочки, в которой (а) сердцевина содержит частицы твердого водорастворимого красителя, рассредоточенного в матриксе, и (б) оболочка содержит геллановую камедь. Эта таблетка особо пригодна для перорального или интраперорального введения, например для доставки препарата, содержащегося в сердцевине таблетки, пациенту, например человеку. Термин «пероральный» здесь относится к введению через рот, влекущему к проглатыванию таблетки без предшествующего субстанционного разложения таблетки во рту, так что абсорбция препарата типично происходит в желудочно-кишечном тракте. Термин «интраоральный» здесь относится к введению путем помещения таблетки в рот пациента, где таблетка разлагается и/или растворяется, так что абсорбция препарата типично происходит по крайней мере частично через слизистую ротовой полости. Для интраперорального введения таблетку можно поместить в или на любую часть ротовой полости, но помещение таблетки в сублингвальное или щечное пространство предпочтительно. Таблетка альтернативно может быть растворена или диспергирована в жидкой основе, предпочтительно в воде, и проглочена в качестве одного приема. Таблетки согласно изобретению обладают необычным пятнистым внешним видом. Не углубляясь в теорию, считается, что во время процесса покрытия сердцевины водной композицией оболочки, содержащей геллановую камедь, частицы красителя при контакте с композицией оболочки частично разлагаются, побуждая цвет «просачиваться» в оболочку в области каждой такой частицы. Тогда цвет становится фиксированным при высыхании оболочки. Пятнистый рисунок выделяется и воспроизводится еще более привлекательно или изящно сильноглянцевой текстурой поверхности, которую придает геллановая камедь. Как более подробно описано ниже, множество вариантов характеристики пятнистого рисунка таблеток согласно изобретению являются возможными и практичными, открывая новые возможности для изготовителя, стремящегося приготовить легко опознаваемую таблетку. Как дополнительное достоинство, пятнистый рисунок таблеток согласно изобретению может скрыть небольшие неокрашенные области, которые могут быть результатом изменения условий обработки. Другие свойства, достоинства и преимущества настоящего изобретения будут очевидны из следующего описания. ПОДРОБНОЕ ОПИСАНИЕ ИЗОБРЕТЕНИЯ Таблетка согласно изобретению может быть таблеткой плацебо, т.е. не содержащей в своей сердцевине препарата или другого активного агента. Предпочтительно таблетка согласно изобретению содержит в сердцевине терапевтически и/или профилактически полезное количество препарата, более предпочтительно препарата, который преимущественно используется путем перорального или интраперорального введения. Например, препарат, присутствующий в сердцевине таблетки согласно изобретению, выбирают из следующих иллюстративных классов: ингибиторы ангиотензин-превращающего фермента; Понятно, что любая ссылка в настоящем описании на состав конкретного препарата включает таутомеры, стереоизомеры, соли и пролекарства этого состава и неспецифична для любой формы препарата в твердом состоянии. В одном варианте осуществления препарат, содержащийся в сердцевине таблетки, является препаратом, используемым для борьбы с курением, например никотин, метаболит никотина или не содержащее никотина средство, применяемое при борьбе с курением, такое как бупропион и ибогаин. Иллюстративно, препарат, применяемый для борьбы с курением выбирают из никотина и его метаболитов (например, котинин, норкотинин, норникотин, никотин-N-оксид, котинин-N-оксид, 3-гидроксикотинин и 5-гидроксикотинин), ибогаина, бупропиона и их метаболитов (например, эритро- и трео-аминоспирты бупропиона, эритро-аминодиол бупропиона и гидроксипропион), лобелин, селегилин, рисперидон и его 9-гидроксиметаболит, дезметилселегилин, производные замещенного пиридина (например, 1-[(6-хлоро-3-пиридинил)метил]-2-имидазолидин, 1-[(6-хлоро-3-пиридинил)метил]-2-имидазотиазол и его аналоги), меткамиламин, дезипрамин, флюоксетин, ропинирол, триметафан, триметафанкамзилат, доксепин, 2-(3-хлорофенил)-3,5,5-триметил-2-морфолинол, анксиолитики (например, изовалерамид), В другом варианте осуществления препарат, содержащийся в сердцевине таблетки, является антибактериальным препаратом. Иллюстративно такой препарат может быть антибиотиком, например аминогликозид, амфеникол, анзамицин, карбапенем, цефалоспорин, цефамицин, монобактам, оксацефем, пенициллин, линкозамид, макролид, полипептид или тетрациклин; или синтетическим антибактериальным средством, например 2,4-диаминопиримидин, нитрофуран, оксазолидинон, хинолон или его аналог, сульфонамид или сульфон. Предпочтительные в настоящее время антибактериальные средства включают следующие иллюстративные примеры: амикацин, азитромицин, цефиксим, цефоперазон, цефотаксим, цефтазидим, цефтизоксим, цефтриаксон, хлорамфеникол, ципрофлоксацин, клиндамицин, колистин, домеклоциклин, доксициклин, эритромицин, гентамицин, линкомицин, линезолид, мафенид, метациклин, миноциклин, неомицин, норфлоксацин, офлоксацин, окситетрациклин, пирлимицин, полимиксин В, пириметамин, серебряный сульфадиазин, сульфацетамид, сульфизоксазол, тетрациклин, тобрамицин, триметоприм и его соединения. В одном варианте осуществления антибактериальный препарат, содержащийся в сердцевине таблетки, является оксазолидиноном, например выбран из (S)-N-[[3-[3-фтор-4-[4-(гидроксиацетил)-1-пиперазинил]фенил]-2-оксо-5-оксазолидинил]метил]ацетамида (эперезолида), (S)-N-[[3-[3-фтор-4-[4-(морфолинил)]фенил]-2-оксо-5-оксазолидинил]метил]ацетамида (линезолида), N-[(5S)-3-[3-фтор-4-[4-(2-фтороэтил)-3-оксо-1-пиперазинил]фенил-2-оксо-5-оксазолидинил]метил]ацетамида, (S)-N-[[3-[5-(3-пиридил)тиофен-2-ил]-2-оксо-5-оксазолидинил]метил]ацетамида и (S)-N-[[3-[5-(4-пиридил)пирид-2-ил]-2-оксо-5-оксазолидинил]метил]ацетамидгидрохлорида. В другом варианте осуществления препарат, содержащийся в сердцевине таблетки, является агентом против мигрени. Иллюстративно такой агент является алкилксантином, например кофеин; агонист допамин D2 рецептора, например алпироприд или лизурид; модулятором ГАМКA рецептора, например ганаксолон; агонист рецептора 5-гидрокситриптамина (5-ГТ), например алмотриптан, элетриптан, фроватриптан, наратриптан, ризатриптан, суматриптан или золмитриптан; спорыньей или ее производным, например эрготамин или дигидроэрготамин; или вазомодулятором, например дотаризин, фоназин или ломеризин. В другом варианте осуществления препарат, содержащийся в сердцевине таблетки, используется для лечения или предотвращения офтальмологических расстройств. Иллюстративно такой офтальмологический препарат может быть антибактериальным средством, например выбранным из классов, перечисленных выше. Альтернативно или в дополнение, такой офтальмологический препарат может иллюстративно быть понижающим внутриглаукомальное или внутриглазное давление агентом, таким как (а) Альтернативно или в дополнение, такой офтальмологический препарат иллюстративно может быть миотиком, например карбахол, физостигмин или пилокарпин. Альтернативно или в дополнение, такой офтальмологический препарат иллюстративно может быть противовоспалительным агентом, например нестероидным противовоспалительным средством, предпочтительнее избирательным СОХ-2 ингибиторным препаратом, например, выбранным из препаратов, перечисленных ниже. В другом варианте осуществления препарат, содержащийся в сердцевине таблетки, является анальгетиком, антипиретиком или противовоспалительным агентом, например ацеклофенак, ацеметацин, е-ацетамидокапроновая кислота, ацетаминофен, ацетаминосалол, ацетанилид, ацетилсалициловая кислота (аспирин), S-аденозилметионин, алклофенак, алклометазон, алфентанил, алгестон, аллилпродин, алминопрофен, алоксиприн, альфапродин, бис(ацетилсалицилат) алюминия, амцинонид, амфенак, аминохлортеноксазин, 3-амино-4-гидроксимасляная кислота, 2-амино-4-пиколин, аминопропилон, аминопирин, амиксетрин, аммонийсалицилат, ампироксикам, амтолметингуацил, анилеридин, антипирин, антрафенин, апазон, беклометазон, бендазак, бенорилат, беноксапрофен, бензпиперилон, бензидамин, бензилморфин, бермопрофен, бетаметазон, безитрамид, В конкретном варианте осуществления такой препарат является избирательным СОХ-2 ингибиторным препаратом, например соединением формулы (I) или родственным ему пропрепаратом, или его фармацевтически приемлемой солью, где: A обозначает заместитель, выбранный из частично ненасыщенных или ненасыщенных гетероциклов или частично ненасыщенных или ненасыщенных карбоциклических колец, предпочтительно гетероциклическую группу, выбранную из пиразолиловой, фуранониловой, изоксазолиловой, пиридиниловой, циклопентенониловой или пиридазинониловой групп; Х обозначает О, S или СН2; n обозначает 0 или 1; R11 обозначает по крайней мере один заместитель, выбранный из гетероциклила, циклоалкила, циклоалкенила и арила, и возможно замещенный в пригодном для замещения положении одним или более радикалами, выбранными из алкила, галогеналкила, цианогруппы, карбоксила, алкоксикарбонила, гидроксила, гидроксиалкила, галогеналкоксигруппы, аминогруппы, алкиламиногруппы, ариламиногруппы, нитрогруппы, алкоксиалкила, алкилсульфинила, галоидной группы, алкоксигруппы и алкилтиогруппы; R12 обозначает метил, аминогруппу или аминокарбонилалкил; R13 обозначает один или более радикалов, выбранных из гидридогруппы, галоидной группы, алкила, алкенила, алкинила, оксогруппы, цианогруппы, карбоксила, цианоалкила, гетероциклилоксигруппы, алкоксигруппы, алкилтиогруппы, алкилкарбонила, циклоалкила, арила, галогеналкила, гетероциклила, циклоалкенила, аралкила, гетероциклилалкила, ацила, алкилтиоалкила, гидроксиалкила, алкоксикарбонила, арилкарбонила, аралкилкарбонила, аралкенила, алкоксиалкила, арилтиоалкила, арилоксиалкила, аралкилтиоалкила, аралкоксиалкила, алкоксиаралкоксиалкила, алкоксикарбонилалкила, аминокарбонила, аминокарбонилалкила, алкиламинокарбонила, N-ариламинокарбонила, N-алкил-N-ариламинокарбонила, алкиламинокарбонилалкила, карбоксиалкила, алкиламиногруппы, N-ариламиногруппы, N-аралкиламиногруппы, N-алкил-N-аралкиламиногруппы, N-алкил-N-ариламиногруппы, аминоалкила, алкиламиноалкила, N-ариламиноалкила, N-аралкиламиноалкила, N-алкил-N-аралкиламиноалкила, N-алкил-N-ариламиноалкила, арилоксигруппы, аралкоксигруппы, арилтиогруппы, аралкилтиогруппы, алкилсульфинила, алкилсульфонила, аминосульфонила, алкиламиносульфонила, N-ариламиносульфонила, арилсульфонила, N-алкил-N-ариламиносульфонила, причем R13 может быть замещен в пригодном для замещения положении одним или более радикалами, выбранными из алкила, галогеналкила, цианогруппы, карбоксила, алкоксикарбонила, гидроксила, гидроксиалкила, галогеналкоксигруппы, аминогруппы, алкиламиногруппы, ариламиногруппы, нитрогруппы, алкоксиалкила, алкилсульфинила, галоидной группы, алкоксигруппы и алкилтиогруппы; и R14 выбирают из гидридогруппы и галоидной группы. В предпочтительной композиции в соответствии с настоящим вариантом осуществления избирательный СОХ-2 ингибиторный препарат представляет собой соединение, описываемое формулой (II) где R15 обозначает метил, аминогруппу или имидогруппу, R16 обозначает водород или С1-4-алкил или -алкоксигруппа, Х=N или CR17, где R17 обозначает водород или галоген, Y и Z независимо обозначают атомы углерода или азота, определяющие соседние атомы пяти- и шестичленного циклы, который незамещен или замещен в одном или более положений оксо-, галоидной, метиловой или галогенметиловой группами. Предпочтительно такие пяти- и шестичленные циклы являются циклопентеноновым, фураноновым, метилпиразоловым, изоксазоловым и пиридиновым циклами, замещенными не более чем в одном положении. В другой предпочтительной композиции в соответствии с настоящим вариантом осуществления избирательный СОХ-2 ингибиторный препарат представляет собой соединение, описываемое формулой (III) или родственный ему пропрепарат, или его фармацевтически приемлемую соль, где X”=O, S или N-низший алкил; R18 обозначает низший галогеналкил; R19 обозначает водород или галоген; R20 обозначает водород, галоген, низший алкил, низшую алкокси- или галогеналкоксигруппу, низший алкилкарбонил, низший диалкиламиносульфонил, низший алкиламиносульфонил, низший аралкиламиносульфонил, низший гетероаралкиламиносульфонил, или 5- или 6-членный азотсодержащий гетероциклосульфонил; и R21 и R22 независимо обозначают водород, галоген, низший алкил, низшую алкоксигруппу или арил. Особенно пригодное соединение формулы (III) представляет собой (S)-6,8-дихлор-2-(трифторметил)-2Н-1-бензопиран-3-карбоновую кислоту. В еще одной предпочтительной композиции в соответствии с настоящим вариантом осуществления избирательный СОХ-2 ингибиторный препарат представляет собой 5-алкил-2-ариламинофенилуксусную кислоту или ее производные. Особенно полезными соединениями этого класса являются 5-метил-2-(2′-хлор-6′-фторанилино)фенилуксусная кислота и ее фармацевтически приемлемые соли. Иллюстративно, целекоксиб, деракоксиб, вальдекоксиб, парекоксиб, рофекоксиб, эторикоксиб, 2-(3,5-дифторфенил)-3-[4-(метилсульфонил)фенил]-2-циклопентен-1-он, (S)-6,8-дихлор-2-(трифторметил)-2Н-1-бензопиран-3-карбоновая кислота, 2-(3,4,-дифторфенил)-4-(3-гидрокси-3-метил-1-бутокси)-5-[4-(метилсульфонил)фенил]-3-(2Н)-пиридазинон и его соли применимы в композициях по изобретению. В другом варианте осуществления препарат, содержащийся в сердцевине таблетки, применяется для лечения и/или профилактики половых дисфункций у мужчин и/или женщин. Такой препарат может иллюстративно быть (а) ингибитором фосфодиэстеразы типа 5 (ФДЭ5), например силднафил, тадалафил или варденафил, (б) ингибитором циклоГМФ фосфодиэстеразы, (в) активатором циклоАМФ, (г) В иллюстративных композициях препарат, применяемый, например, для лечения болезни Паркинсона или половой дисфункции, содержащийся в сердцевине таблетки, является соединением формулы (V) или его фармацевтически приемлемой солью, где R1, R2 и R3, одинаковые или разные, обозначают Н, С1-6-алкил (возможно фенилзамещенный), С3-5-алкенил или алкинил или C3-10-циклоалкил, или где R3 такой, как указано выше, а R1 и R2 циклизованы со связанным с ними атомом N, в форме пирролидиниловой, пиперидиниловой, морфолиниловой, 4-метилпиперазинила или имидазолиловой групп; Х обозначает Н, F, Cl, Br, I, OH, C1-6-алкил или -алкоксигруппу, CN, карбоксамид, карбоксил или (С1-6алкил)карбонил; А обозначает CH, CH2, CHF, CHCl, CHBr, CHI, CHCH3, C=O, C=S, CSCH3, C=NH, CNH2, CNHCH3, CNHCOOCH3, CNHCN, SO2 или N; В обозначает CH, CH2, CHF, CHCl, CHBr, CHI, C=O, N, NH или NCH3, и n обозначает 0 или 1; и D обозначает CH, CH2, CHF, CHCl, CHBr, CHI, C=O, N, NH или NCH3. Предпочтительно соединение формулы (V) или его соли водорастворимы. Фармацевтически приемлемые соли соединения формулы (V) включают (но не ограничиваются ими) соли следующих кислот: хлороводородной, бромоводородной, серной, метансульфоновой, ортофосфорной, азотной, бензойной, лимонной, винной, фумаровой и малеиновой кислот, а также моно- и дикарбоновых кислот формулы СН3-(СН2)n-СООН и НООС-(СН2)n-СООН, где n составляет от 0 до 4, например малоновой кислоты. Особо предпочтительными солями являются гидрохлорид и малеат, т.е. (Z)-2-бутендиоат. Соединения формулы (V) и их соли могут быть приготовлены посредством известных per se способов, включая способ, описанный в патентной литературе, приведенной в настоящей заявке. Однако настоящее изобретение не ограничено способом, используемым для приготовления терапевтического агента. Предпочтительные соединения формулы (V) раскрыты в общем или, в частности, в патенте США №5273975, Moon et al. Особенно предпочтительными являются соединения формулы (VI) где Х обозначает O или S, и его фармацевтически приемлемые соли. Сердцевины таблеток, применимые в соответствии с изобретением, могут быть приготовлены посредством любого подходящего способа, известного из уровня техники. Сердцевина в соответствии с изобретением включает матрикс, в котором рассредоточены твердые частицы водорастворимого красителя. Любой подходящий наполнитель или наполнители могут сформировать матрикс. Для пероральных таблеток матрикс типично содержит разбавитель или носитель, например лактозу и/или крахмал, и может сверх того содержать дополнительные наполнители, такие как связывающие вещества, дизинтегранты, смачивающие вещества и т.д. Для интрапероральных таблеток матрикс типично содержит водорастворимый сахар, например маннит и/или мальтозу. Если препарат содержится в сердцевине, то препарат тоже рассредоточен в матриксе. Конечный внешний вид таблетки зависит частично от выбора водорастворимого красителя и числа и размеров твердых частиц красителя. Например, сравнительно большие частицы будут стремиться к образованию пятнистого рисунка с большими цветовыми блоками, чем было бы образовано меньшими частицами; и сравнительно большее число частиц будет стремиться образовать пятнистый рисунок, в котором цвет покрывает большую часть поверхности таблетки, чем было бы образовано меньшим количеством частиц. Более растворимый в воде краситель стремится образовать большие и/или менее обособленные цветовые блоки, чем было бы образовано менее растворимым в воде красителем. При желании твердые частицы более чем одного водорастворимого красителя могут содержаться в сердцевине, способствуя двухцветному или разноцветному внешнему виду таблетки. Сердцевина покрыта композицией оболочки, содержащей геллановую камедь, как более подробно описано ниже. Оболочка типично представлена в количестве, представляющем прирост веса от около 0,1% до около 5%, но при желании могут использоваться большие или меньшие количества. Предпочтительно геллановая камедь составляет от около 25% до около 100%, более предпочтительно от около 50% до около 100% от веса оболочки. Предпочтительно оболочка является наполнительной оболочкой. В настоящем описании под «наполнительной оболочкой» понимают оболочку, состоящую по крайней мере на момент нанесения оболочки на сердцевину только из наполнительных материалов, т.е. в основном не содержащую в себе препарата. Понятно, что в процессе изготовления и хранения потенциально могут происходить миграции вещества препарата из сердцевины в оболочку таблетки по изобретению, но они в основном минимальны. Таким образом, вещество препарата, если оно присутствует в таблетке, большей частью заключено в сердцевине, где оно не смешивается с геллановой камедью. Любая геллановая камедь может быть использована в композиции оболочки, но предпочтительно использовать деациллированную геллановую камедь, такую как выпускаемая под товарным знаком KelcogelTM. По желанию одна или более дополнительных камедей и/или биополимеров, например алгинатов, могут присутствовать в композиции оболочки. Композиция оболочки содержит распылимый носитель, предпочтительно воду, с растворенной или диспергированной в ней геллановой камедью и при желании один или более дополнительных наполнителей. Предпочтительно в композицию оболочки входят твердые материалы в суммарной концентрации от около 1% до около 10% по весу и геллановая камедь в концентрации от около 1% до около 5% по весу. Дополнительные наполнители, содержащиеся в оболочке, могут содержать один или более буферных агентов, типично в концентрации от около 0,03% до около 3% по весу; один или более пластификаторов, типично в концентрации от около 0,03% до около 3% по весу; и/или один или более диспергирующих и/или эмульгирующих агентов, типично в концентрации от около 0,03% до около 3% по весу. Примером подходящего буферного агента является цитрат натрия. Примером подходящего пластификатора является пропиленгликоль. Примером подходящего диспергирующего или эмульгирующего агента является лецитин. Ароматизирующие агенты также могут быть включены в композицию оболочки, при желании. Композиция оболочки может быть приготовлена посредством любого способа, включающего растворение геллановой камеди и других, необязательных, наполнителей в носителе, предпочтительно воде. Порядок добавления некритичен. Воду предпочтительно нагревают, например, до температуры от около 55°С до около 85°С. Геллановую камедь и другие наполнители, если они присутствуют, добавляют при перемешивании до тех пор, пока все ингредиенты гомогенно не диспергируются. Получаемую оболочечную жидкость предпочтительно поддерживают при повышенной температуре во время перемешивания и последующей процедуры напыления. Подлежащие покрытию оболочкой сердцевины таблеток помещают в подходящее устройство для покрытия, например в резервуар для покрытия, и предпочтительно предварительно нагревают до температуры подложки от около 50°С до около 70°С. Оболочечную жидкость напыляют на таблетки при условиях, которые будут легко оптимизированы специалистом в данной области. Напыление продолжают до тех пор, пока не будет нанесено количество оболочечного раствора, эквивалентное приросту веса от примерно 0,1% до примерно 5%. Полученные покрытые оболочкой таблетки предпочтительно охлаждают до температуры окружающей среды или от около 20°С до около 35°С до выгрузки из резервуара для покрытия. Условия покрытия и охлаждения могут также влиять на отчетливость цвета рисунка готовой таблетки. Например, если покрытие осуществляют при пониженных температурах и/или если охлаждение происходит медленно, так чтобы твердые частицы красителя в сердцевине подвергались воздействию воды в течение более длительного периода времени, типично получается пятнистый рисунок с большими цветовыми блоками. Сердцевина иллюстративной сублингвальной таблетки по изобретению, содержащей в качестве активного агента соль, например малеат, суманирол или (R)-5,6-дигидро-5-(метиламино)-4Н-имидазо[4,5-ij]-хинолин-2(1Н)-тион, имеет следующий состав:
Все процентные отношения приведены по массе. Сердцевина другой иллюстративной таблетки по изобретению, содержащей в качестве активного агента соль, например малеат, суманирол или (R)-5,6-дигидро-5-(метиламино)-4Н-имидазо[4,5-ij]-хинолин-2(1Н)-тион, имеет следующий состав:
Все процентные отношения приведены по массе. Сердцевина еще одной иллюстративной сублингвальной таблетки по изобретению, содержащей в качестве активного агента соль, например малеат, суманирол или (R)-5,6-дигидро-5-(метиламино)-4Н-имидазо[4,5-ij]-хинолин-2(1Н)-тион, имеет следующий состав:
Все процентные отношения приведены по массе. ПРИМЕРЫ Следующие примеры иллюстрируют аспекты настоящего изобретения, но их не следует истолковывать, как ограничения. В этих примерах «соединение Z» относится к(R)-5,6-дигидро-5-(метиламино)-4Н-имидазо[4,5-ij]-хинолин-2(1Н)-тиону, малеатной соли. Все процентные отношения приведены по массе, если не указано иное. Пример 1 Была подготовлена композиция сублингвальной таблетки со следующим составом:
Предварительно желатинизированный крахмал и краситель смешивали в длиннолопастной мешалке в течение 2 минут или до гомогенного размешивания. Затем следующие ингредиенты по отдельности наслаивали на полученную смесь: соединение Z; микрокристаллическая целлюлоза; коллоидный силикондиоксид; кроскармеллоза натрия. Перемешивание в длиннолопастной мешалке возобновляли на дополнительные 2 минуты. Если краситель не был адекватно диспергирован в результирующей смеси, перемешивание продолжали с 1-минутным инкрементом, пока не наблюдали хорошего диспергирования красителя. Отбирали небольшую порцию смеси и вручную смешивали со стеаратом магния для формирования премикса стеарата магния. Премикс, вместе с ароматизаторами, добавили в длиннолопастную мешалку и перемешивали в течение 1 минуты для формирования промасленной заготовки таблетки. Промасленную заготовку таблетки выгрузили из длиннолопастной мешалки и хранили в обезвоженных герметично закупоренных контейнерах, пока не были готовы к таблетированию. Таблетки изготовили путем прессирования с использованием 12/32 дюймовых (приблизительно 9 мм) Plain/Plain насадок малой кривизны до следующих спецификаций:
Пример 2 Сублингвальные таблетки, приготовленные так же, как в Примере 1, покрыли оболочкой, содержащей геллановую камедь в соответствии со следующей процедурой. Приготовили оболочечную жидкость следующего состава:
Деионизированную воду нагревали до 70°С. Другие ингредиенты добавляли при перемешивании до тех пор, пока ингредиенты не были гомогенно диспергированы. Полученную оболочечную жидкость с содержанием твердого вещества 2,73% поддерживали при температуре 70°С во время перемешивания и последующей процедуры напыления. Таблетки Примера 1 в количестве 700 г поместили в 12-дюймовый (приблизительно 300 мм) резервуар для покрытия и предварительно нагрели до температуры подложки 60°С. Оболочечную жидкость напыляли на таблетки в следующих условиях:
Распыление продолжали до тех пор, пока не нанесли количество оболочечного раствора, эквивалентное 1,2% приросту веса. Полученные покрытые оболочкой таблетки охладили до 30°С перед выгрузкой из резервуара для покрытия. Таблетки обладали привлекательным сильноглянцевым внешним видом с вишнево-красными крапинами. Пример 3 Приготовили композицию сублингвальной таблетки со следующим составом:
Маннит и краситель смешивали в длиннолопастной мешалке в течение 2 минут или до гомогенного смешения. Следующие ингредиенты по отдельности наслаивали на полученную смесь в высоколопастной мешалке: соединение Z; сорбит; гидроксипропилцеллюлоза; ксантановая камедь; коллоидный силикондиоксид. Смешивание в высоколопастной мешалке возобновляли на дополнительные 2 минуты. Если краситель не был адекватно диспергирован в полученной смеси, перемешивание продолжали с 1-минутным инкрементом, пока не наблюдали хорошего диспергирования красителя. Отбирали небольшую порцию смеси и вручную смешивали со стеаратом магния для формирования премикса стеарата магния. Премикс вместе с ароматизаторами добавили в длиннолопастную мешалку и перемешивали в течение 1 минуты для формирования промасленной заготовки таблетки. Промасленную заготовку таблетки выгрузили из длиннолопастной мешалки и хранили в обезвоженных герметично закупоренных контейнерах, пока не были готовы к таблетированию. Таблетки изготовили путем прессирования с использованием 12/32 дюймовых (приблизительно 9 мм) Plain/Plain насадок малой кривизны до следующих спецификаций:
Пример 4 Сублингвальные таблетки, приготовленные так же, как в Примере 3, покрыли оболочкой, содержащей геллановую камедь в соответствии со следующей процедурой. Приготовили оболочечную жидкость со следующим составом:
Деионизированную воду нагрели до 70°С. Другие ингредиенты добавляли при перемешивании до тех пор, пока ингредиенты не были гомогенно диспергированы. Полученную оболочечную жидкость с содержанием твердого вещества 3,03% поддерживали при температуре 70°С во время перемешивания и последующей процедуры напыления. Таблетки Примера 1 в количестве 700 г поместили в 12-дюймовый (приблизительно 300 мм) резервуар для покрытия и предварительно нагрели до температуры подложки 60°С. Оболочечную жидкость напыляли на таблетки в следующих условиях:
Распыление продолжали до тех пор, пока не нанесли количество оболочечного раствора, эквивалентное 1,36% приросту веса. Полученные покрытые оболочкой таблетки охладили до 30°С перед выгрузкой из резервуара для покрытия. Таблетки обладали привлекательным сильноглянцевым внешним видом с вишнево-красными крапинами. Пример 5 Была подготовлена композиция сублингвальной таблетки со следующим составом:
Предварительно желатинизированный крахмал и краситель смешивали в длиннолопастной мешалке в течение 2 минут или до гомогенного размешивания. Затем следующие ингредиенты по отдельности наслаивали на полученную смесь: соединение Z; микрокристаллическая целлюлоза; коллоидный силикондиоксид; кроскармеллоза натрия. Перемешивание в длиннолопастной мешалке возобновляли на дополнительные 2 минуты. Если краситель не был адекватно диспергирован в полученной смеси, перемешивание продолжали с 1-минутным инкрементом, пока не наблюдали хорошего диспергирования красителя. Отбирали небольшую порцию смеси и вручную смешивали со стеаратом магния для формирования премикса стеарата магния. Этот премикс вместе с ароматизаторами вручную просеяли через фармацевтическое сито #20 меш, затем добавили в длиннолопастную мешалку и мешали в течение 1 минуты для формирования промасленной заготовки таблетки. Промасленную заготовку таблетки выгрузили из длиннолопастной мешалки и хранили в обезвоженных герметично закупоренных контейнерах, пока не были готовы к таблетированию. Таблетки изготовили путем прессирования с использованием 12/32 дюймовых (приблизительно 9 мм) Plain/Plain насадок малой кривизны до следующих спецификаций:
Пример 6 Сублингвальные таблетки, приготовленные так же, как в Примере 5, покрыли оболочкой, содержащей геллановую камедь в соответствии со следующей процедурой. Приготовили оболочечную жидкость со следующим составом:
Деионизированную воду нагрели до 70°С. Другие ингредиенты добавляли при перемешивании до тех пор, пока ингредиенты не были гомогенно диспергированы. Полученную оболочечную жидкость с содержанием твердого вещества 3,03% поддерживали при температуре 70°С во время перемешивания и последующей процедуры напыления. Таблетки Примера 5 в количестве 7000 г поместили в 34-дюймовый (приблизительно 600 мм) резервуар для покрытия и предварительно нагрели до температуры подложки 60°С. Оболочечную жидкость напыляли на таблетки в следующих условиях:
Распыление продолжали до тех пор, пока не нанесли количество оболочечного раствора, эквивалентное 2,04% приросту веса. Полученные покрытые оболочкой таблетки охладили до 30°С перед выгрузкой из резервуара для покрытия. Таблетки обладали привлекательным сильноглянцевым внешним видом с вишнево-красными крапинами.
Формула изобретения
1. Фармацевтическая таблетка, включающая сердцевину и связанную с ней оболочку, в которой (а) сердцевина содержит твердые частицы водорастворимого красителя, рассредоточенного в матриксе, и (б) оболочка содержит геллановую камедь. 2. Таблетка по п.1, имеющая пятнистую поверхность. 3. Таблетка по п.1, в которой сердцевина содержит препарат в терапевтически и/или профилактически эффективном количестве. 4. Таблетка по п.3, в которой препарат выбирают из группы, состоящей из ингибиторов ангиотензин-превращающего фермента; 5. Таблетка по п.3, в которой препарат является препаратом, используемым для борьбы с курением. 6. Таблетка по п.5, в которой препарат, используемый для борьбы с курением, выбирают из бупропиона, ибогаина, никотина и их метаболитов. 7. Таблетка по п.3, в которой препарат является антибактериальным препаратом. 8. Таблетка по п.7, в которой антибактериальный препарат является оксазолидиноном. 9. Таблетка по п.8, в которой оксазолидинон выбирают из эперезолида, линезолида, N-[(5S)-3-[3-фтор-4-[4-(2-фторэтил)-3-оксо-1-пиперазинил]фенил-2-оксо-5-оксазолидинил]метил]ацетамида, (S)-N-[[3-[5-(3-пиридил)тиофен-2-ил]-2-оксо-5-оксазолидинил]метил]ацетамида и (S)-N-[[3-[5-(4-пиридил)пирид-2-ил]-2-оксо-5-оксазолидинил]метил]ацетамидгидрохлорида. 10. Таблетка по п.3, в которой препарат является агентом против мигрени. 11. Таблетка по п.10, в которой агент против мигрени является агонистом 5-НТ-рецептора. 12. Таблетка по п.11, в которой агонист 5-НТ-рецептора выбирают из группы, состоящей из алмотриптана, элетриптана, фроватриптана, наратриптана, ризатриптана, суматриптана или золмитриптана. 13. Таблетка по п.3, в которой препарат используется для лечения или профилактики офтальмологических расстройств. 14. Таблетка по п.13, в которой препарат является понижающим внутриглаукомальное или внутриглазное давление агентом. 15. Таблетка по п.14, в которой понижающий внутриглаукомальное или внутриглазное давление агент выбирают из группы, состоящей из адренолона, апраклонидина, бримонидина, дипивефрина, ацебутолола, адапролола, алпренолола, атенолола, бетаксолола, буфетолола, буфуралола, бунитролола, бунолола, бупранолола, картеолола, карведилола, цетамолола, декспропанолола, лабеталола, левобунолола, метипранолола, метопролола, надолола, нифеналола, оксипренолола, пенбутолола, пиндолола, практолола, пронеталола, пропранолола, соталола, тимолола, толамолола, толипролола, ванинолола, ацетазоламида, дорзоламида, биматопроста, латанопроста, травопроста, унопростонизопропила и их сочетаний. 16. Таблетка по п.3, в которой препарат является анальгетиком, антипиретиком или противовоспалительным агентом. 17. Таблетка по п.16, в которой анальгетик, антипиретик или противовоспалительный агент выбирают из группы, состоящей из ацеклофенака, ацеметацина, е-ацетамидокапроновой кислоты, ацетаминофена, ацетаминосалола, ацетанилида, ацетилсалициловой кислоты, S-аденозилметионина, алклофенака, алклометазона, алфентанила, алгестона, аллилпродина, алминопрофена, алоксиприна, альфапродина, бис(ацетилсалицилата) алюминия, амцинонида, амфенака, аминохлортеноксазина, 3-амино-4-гидроксимасляной кислоты, 2-амино-4-пиколина, аминопропилона, аминопирина, амиксетрина, аммонийсалицилата, ампироксикама, амтолметингуацила, анилеридина, антипирина, антрафенина, апазона, беклометазона, бендазака, бенорилата, беноксапрофена, бензпиперилона, бензидамина, бензилморфина, бермопрофена, бетаметазона, безитрамида, 18. Таблетка по п.16, в которой анальгетик, антипиретик или противовоспалительный агент являются избирательным СОХ-2 ингибиторным препаратом. 19. Таблетка по п.18, в которой избирательный СОХ-2 ингибиторный препарат является соединением, имеющим формулу где R15 обозначает метил, аминогруппу или имидогруппу; R16 обозначает водород или C1-4-алкил или -алкоксигруппу; Х обозначает N или CR17, где R17 обозначает водород или галоген; Y и Z независимо обозначают атомы углерода или азота, определяющие соседние атомы пяти- и шестичленного цикла, который незамещен или замещен в одном или более положений оксо-, галоидной, метиловой или галогенметиловой группами. 20. Таблетка по п.18, в которой избирательный СОХ-2 ингибитор выбирают из группы, состоящей из целекоксиба, деракоксиба, вальдекоксиба, парекоксиба, рофекоксиба, эторикоксиба, 2-(3,5-дифторфенил)-3-[4-(метилсульфонил)фенил]-2-циклопентен-1-она, (S)-6,8-дихлор-2-(трифторметил)-2Н-1-бензопиран-3-карбоновой кислоты, 2-(3,4,-дифторфенил)-4-(3-гидрокси-3-метил-1-бутокси)-5-[4-(метилсульфонил)фенил]-3-(2Н)-пиридазинона и их солей. 21. Таблетка по п.3, в которой препарат является агентом, используемым для лечения и/или профилактики половых дисфункций. 22. Таблетка по п.21, в которой агент выбирают из группы, состоящей из ингибиторов ФДЭ5, активаторов циклоАМФ, 23. Таблетка по п.21, в которой агент является соединением формулы или его фармацевтически приемлемой солью, где R1, R2 и R3, одинаковые или разные, обозначают Н, C1-6-алкил (возможно фенилзамещенный), С3-5-алкенил или -алкинил или С3-10-циклоалкил, или где R3 такой, как указано выше, а R1 и R2 циклизованы со связанным с ним атомом N, в форме пирролидиниловой, пиперидиниловой, морфолиниловой, 4-метилпиперазинила или имидазолиловой групп; Х обозначает Н, F, Cl, Br, I, ОН, C1-6-алкил или -алкоксигруппа, CN, карбоксамид, карбоксил или (С1-6алкил)карбонил; А обозначает СН, СН2, CHF, CHCl, CHBr, CHI, СНСН3, С=O, C=S, CSCH3, C=NH, CNH2, CNHCH3, CNHCOOCH3, CNHCN, SO2 или N; В обозначает СН, СН3, CHF, CHCl, CHBr, CHI, С=O, N, NH или NCH3, n равно 0 или 1; D обозначает СН, СН3, CHF, CHCl, CHBr, CHI, С=O, О, N, NH или NCH3. 24. Таблетка по п.21, в которой агент является соединением формулы где Хобозначает О или S, или его фармацевтически приемлемой солью. 25. Таблетка по п.1, которая пригодна для перорального введения. 26. Таблетка по п.1, которая пригодна для интраорального введения. 27. Таблетка по п.1, в которой оболочка присутствует в количестве, представляющем прирост веса от около 0,1 до около 5%. 28. Таблетка по п.1, в которой геллановая камедь составляет приблизительно от 25 до 100% веса оболочки. 29. Таблетка по п.1, в которой геллановая камедь составляет приблизительно от 50 до 100% веса оболочки. 30. Таблетка по п.1, в которой оболочка дополнительно содержит по меньшей мере один дополнительный наполнитель, выбранный из группы, состоящей из буферных агентов, пластификаторов, диспергирующих и эмульгирующих агентов.
MM4A – Досрочное прекращение действия патента СССР или патента Российской Федерации на изобретение из-за неуплаты в установленный срок пошлины за поддержание патента в силе
Дата прекращения действия патента: 07.02.2009
Извещение опубликовано: 20.07.2010 БИ: 20/2010
|
||||||||||||||||||||||||||||||||||||||||||||||||||||||||||||||||||||||||||||||||||||||||||||||||||||||||||||||||||||||||||||||||||||||||||||||||||||||||||||||||||||||||||||||||||||||||||||||||||||||||||||||||||||||||||||

-адренергические агонисты;
-адренергические агонисты;
-винил ГАМК (ГВГ), эпибатидин и его производные, соединения 7-азабицикло-[2,2,1]-гептана и -гептена, налтрексон, налмефен, кетамин, гексаметоний, пентолиний, дигидро-






