|
|
(21), (22) Заявка: 2004112289/28, 23.04.2004
(24) Дата начала отсчета срока действия патента:
23.04.2004
(43) Дата публикации заявки: 20.10.2005
(45) Опубликовано: 27.03.2006
(56) Список документов, цитированных в отчете о поиске:
Proceedings SPIE, 2001, vol.4184, pp.254-257. RU 2111591 C1, 20.05.1998. US 5373528 A, 13.12.1994. US 3748594 A, 24.07.1973. RU 216119 C1, 10.04.2001.
Адрес для переписки:
193036, Санкт-Петербург, а/я 24, “НЕВИНПАТ”, пат.пов. А.В.Поликарпову, рег.№ 0009
|
(72) Автор(ы):
Дутов Александр Иванович (RU), Малик Дмитрий Александрович (RU), Орлов Константин Евгеньевич (RU), Смирнов Александр Сергеевич (RU), Старовойтов Антон Владимирович (RU)
(73) Патентообладатель(и):
Дутов Александр Иванович (RU), Малик Дмитрий Александрович (RU), Орлов Константин Евгеньевич (RU), Смирнов Александр Сергеевич (RU), Старовойтов Антон Владимирович (RU)
|
(54) ГАЗОВЫЙ ЛАЗЕР ЩЕЛЕВОГО ТИПА
(57) Реферат:
Изобретение относится к области квантовой электроники и может быть использовано при создании технологических газовых лазеров щелевого типа. Газовый лазер щелевого типа содержит герметичную камеру, пару металлических электродов, источник переменного напряжения, пару диэлектрических барьеров и оптический резонатор. Камера заполнена активной газовой средой. Металлические электроды установлены в указанной камере, каждый из них имеет поверхность, обращенную к поверхности другого электрода. Источник переменного напряжения соединен с указанными электродами для подачи на них напряжения возбуждения. Диэлектрические барьеры размещены между металлическими электродами так, что обращенные друг к другу поверхности этих барьеров образуют щелевой разрядный промежуток для формирования в газовой среде барьерного разряда. Технический результат – создание газового лазера щелевого типа, возбуждаемого барьерным разрядом. Диэлектрические барьеры выполнены таким образом, чтобы улучшить теплоотвод от активной среды лазера, уменьшить падение напряжения на этих диэлектрических барьерах, обеспечить возможность увеличения площади электродов, повысить эффективность генерации лазерного излучения, увеличить выходную мощность лазера, улучшить модовый состав его выходного сигнала. 7 з.п. ф-лы, 4 ил. 
Изобретение относится к области квантовой электроники и может быть использовано при создании технологических газовых лазеров щелевого типа.
Обычно газовые лазеры щелевого типа включают герметичную камеру, заполненную активной газовой средой, например СО2, и пару металлических электродов, установленных в указанной камере для формирования в газовой среде поперечного разряда при подаче на эти электроды напряжения возбуждения от источника переменного напряжения. Лазер также включает оптический резонатор, установленный так, что его оптическая ось проходит через разрядный промежуток для формирования лазерного излучения при возбуждении газовой среды в разрядном промежутке.
Расстояние между разрядными электродами как правило не превышает нескольких миллиметров (обычно оно составляет от 2 до 6 мм), что позволяет обеспечить эффективный отвод тепла от активной среды путем принудительного охлаждения металлических электродов. Благодаря эффективному охлаждению активной среды обеспечивается высокая эффективность преобразования мощности накачки в лазерное излучение (до 10-13% в щелевых СО2-лазерах) при компактной конструкции лазера.
Для возбуждения активной среды газового лазера щелевого типа, в котором разрядный щелевой промежуток образован поверхностями металлических электродов, обычно используется высокочастотный электрический разряд с частотой 40-125 МГц. Недостатком использования таких относительно высоких частот возбуждения является то, что в электронных схемах возбуждения мощных газовых лазеров на таких частотах необходимо использовать ламповые преобразователи, которые имеют низкую эффективность преобразования (обычно не более 50-60%), высокую стоимость и малый срок службы (5-10 тысяч часов).
Для повышения эффективности преобразования, уменьшения стоимости и увеличения срока службы электронных схем возбуждения целесообразно использовать менее высокие частоты, предпочтительно не выше 1 МГц, на которых в схемах возбуждения могут быть использованы транзисторные преобразователи. Однако известно, что с уменьшением частоты возбуждения в высокочастотном электрическом разряде, формируемом в газовой среде между металлическими электродами, увеличивается толщина приэлектродного слоя газовой среды, в котором отсутствуют условия для обеспечения лазерной генерации. При уменьшении частоты возбуждения ниже 10 МГц толщина этого приэлектродного слоя увеличивается настолько, что он перекрывает практически весь щелевой разрядный промежуток, что делает лазерную генерацию невозможной.
Для обеспечения возможности эффективной генерации лазерного излучения при пониженной частоте возбуждения газовой среды было предложено вместо разряда, создаваемого между поверхностями металлических электродов, использовать в газовом лазере щелевого типа барьерный разряд (S.Wieneke, S.Born, W.Viol “Slab CO2 lasers excited by an all-solid-state 0,6 MHz generator”, Proceedings SPIE vol.4184, pp.254-257 (2001).
Известно, что барьерный разряд переменного тока может быть создан между двумя электродами, поверхности которых покрыты диэлектрическими пластинами (барьерами). Разрядный промежуток образуется обращенными друг к другу поверхностями этих диэлектрических пластин. При подаче на электроды переменного напряжения разрядный промежуток пробивается, когда напряжение на нем достигает пробойного значения. При пробое формируется газовый разряд, сходный с тлеющим разрядом постоянного тока. Разрядный ток проводимости, переносимый заряженными частицами в газовой среде, заряжает емкости диэлектрических барьеров. Вследствие этого напряжение на разрядном промежутке уменьшается и при его уменьшении до величины, меньшей, чем необходимо для поддержания разряда, разряд гаснет. Параметры разрядного промежутка и диэлектрических барьеров выбирают так, чтобы емкости успевали зарядится за время, значительно меньшее половины периода приложенного к электродам напряжения. В этом случае при подаче на электроды синусоидального напряжения разрядный ток будет протекать в виде коротких импульсов (см., например, U.Kogelschatz. «Dielectric-barrier Discharges: Their History, Discharge Physics, and Industrial Applications», Plasma Chemistry and Plasma Processing, Vol.23, No.1, March 2003).
Установлено, что барьерный разряд может быть использован для эффективного возбуждения щелевых газовых лазеров при частоте возбуждения менее 1 МГц, по-видимому, вследствие того, что при протекании разрядного тока в виде коротких импульсов приэлектродный слой, снижающий эффективность лазерной генерации, не успевает полностью сформироваться.
Известен газовый лазер щелевого типа, содержащий герметичную камеру, заполненную активной газовой средой, пару металлических электродов, установленных в указанной камере так, что каждый из них имеет поверхность, обращенную к поверхности другого электрода, и источник переменного напряжения, соединенный с указанными электродами для подачи на них напряжения возбуждения. Между металлическими электродами размещена пара диэлектрических барьеров так, что обращенные друг к другу поверхности этих барьеров образуют щелевой разрядный промежуток для формирования в газовой среде барьерного разряда при подаче на электроды напряжения возбуждения от источника переменного напряжения. Лазер содержит также оптический резонатор для формирования лазерного излучения при возбуждении газовой среды в разрядном промежутке барьерным разрядом. (S.Wieneke, S.Born, W.Viol “Slab CO2 lasers excited by an all-solid-state 0,6 MHz generator”, Proceedings SPIE vol.4184, pp.254-257 (2001)).
Активная среда этого лазера (CO2) возбуждается с помощью барьерного разряда переменного тока с частотой 0,4-0,6 МГц. Диэлектрические барьеры в этом лазере образованы двумя пластинами из керамики на основе окиси алюминия, механически прижатыми к поверхностям плоских металлических электродов. Генерируемое лазерное излучение распространяется вдоль этих диэлектрических пластин, как в волноводе. Полученные удельные лазерные мощности, отнесенные к единице площади разряда (как принято для щелевых лазеров), составляют 0,75 Вт/см2 и 1,50 Вт/см2 соответственно для зазоров 6 мм и 2 мм, что сопоставимо с параметрами типичных щелевых СО2-лазеров с накачкой на частотах 40-125 МГц.
Относительно низкая частота напряжения возбуждения позволяет использовать в подобном лазере транзисторные схемы возбуждения, имеющие эффективность до 90%, срок службы 30-40 тысяч часов и более, а также значительно более низкую стоимость по сравнению с ламповыми схемами возбуждения мощных лазеров на частотах 40-125 МГц.
Однако в таком лазере толщина керамических пластин, прижатых к электродам для образования диэлектрических барьеров, должна составлять не менее 1-2 мм для обеспечения необходимой механической прочности этих пластин. Поскольку электроды используются в качестве теплообменников, такая значительная толщина диэлектрических пластин, расположенных на электродах, приводит к заметному ухудшению теплового режима лазера, т.е. к повышению температуры газа в центральной зоне разрядного промежутка, что снижает эффективность генерации. При ухудшении теплоотвода также возможно появление мод высокого порядка вследствие искажения формы профиля коэффициента усиления по высоте разрядного промежутка (см. A.I.Dutov et al. “High power optical quality RF-excited slab CO2-lasers”, Proceedings SPIE vol.4351, pp.104-109 (2001)).
Следует также отметить, что падение напряжения на толстых керамических пластинах приводит к уменьшению мощности, вкладываемой в газовый разряд, и тем самым к уменьшению выходной мощности лазера.
Кроме того, изготовление керамических пластин большой площади является технологически сложным и дорогостоящим процессом. В описанном выше лазере были использованы электроды относительно небольшой площади, шириной 12 мм и длиной 540 мм. В типичных же СО2-лазерах с выходной мощностью до 300 Вт электроды должны иметь ширину 40-60 мм при длине 600-800 мм, а в мощных технологических лазерах (с выходной мощностью 1-4 кВт) длина электродов обычно превышает 1 метр, а ширина составляет 200-300 мм. Очевидно, что изготовить керамические пластины с такой площадью практически невозможно, особенно, если учесть, что одна из поверхностей каждой пластины должна иметь качество, близкое к оптическому.
Задачей настоящего изобретения является создание газового лазера щелевого типа, возбуждаемого барьерным разрядом, в котором диэлектрические барьеры между электродами выполнены таким образом, чтобы улучшить теплоотвод от активной среды этого лазера, уменьшить падение напряжения на этих диэлектрических барьерах, а также обеспечить возможность увеличения площади электродов и тем самым повысить эффективность генерации лазерного излучения, увеличить выходную мощность лазера и улучшить модовый состав его выходного сигнала.
Эта задача решается тем, что в газовом лазере щелевого типа, содержащем герметичную камеру, заполненную активной газовой средой, пару металлических электродов, установленных в указанной камере так, что каждый из них имеет поверхность, обращенную к поверхности другого электрода, источник переменного напряжения, соединенный с указанными электродами для подачи на них напряжения возбуждения, пару диэлектрических барьеров, размещенных между металлическими электродами так, что обращенные друг к другу поверхности этих барьеров образуют щелевой разрядный промежуток для формирования в газовой среде барьерного разряда при подаче на электроды напряжения возбуждения от источника переменного напряжения, и оптический резонатор для формирования лазерного излучения при возбуждении газовой среды в разрядном промежутке барьерным разрядом, согласно изобретению, каждый из указанных диэлектрических барьеров образован слоем диэлектрика толщиной не более 500 мкм, выращенным непосредственно на поверхности соответствующего электрода, обращенной к поверхности другого электрода. Предпочтительно, толщина такого слоя диэлектрика составляет от 50 до 150 мкм.
Выращивание диэлектрического барьера непосредственно на поверхности соответствующего электрода позволяет достичь высокой механической и электрической прочности конструкции благодаря плотному прилеганию барьера к поверхности электрода, без каких-либо промежутков между ними, так что барьер и электрод фактически образуют одно целое. Это позволяет формировать на электродах очень тонкие барьеры, имеющие толщину 500 мкм и менее, а также изготавливать электроды большой площади.
Уменьшение толщины диэлектрических барьеров позволяет улучшить теплоотвод и тем самым понизить температуру активной среды в разрядном промежутке лазера. Благодаря этому повышается эффективность генерации и предотвращается появление мод высокого порядка, которые могут возникать в результате искажения формы профиля коэффициента усиления по высоте разрядного промежутка. Кроме того, уменьшение толщины диэлектрических барьеров приводит к уменьшению падающего на них напряжения возбуждения. В результате увеличивается напряжение, падающее на разрядном промежутке, и тем самым мощность разряда.
Слой диэлектрика может быть выращен путем окисления поверхностного слоя металла, из которого изготовлен электрод, например, с использованием электрохимического окисления или окисления в газовой фазе. Если электрод изготовлен из алюминия, слой диэлектрика может быть образован двуокисью алюминия Al2О3.
Альтернативно, слой диэлектрика может быть выращен путем напыления диэлектрического материала на поверхность электрода, например путем плазмохимического напыления.
Источник переменного напряжения может быть выполнен в виде источника синусоидального напряжения с частотой, например, от 10 до 1000 кГц или в виде источника импульсов напряжения с частотой следования, например, от 10 до 1000 кГц.
Источник переменного напряжения может быть также выполнен с возможностью одновременного формирования синусоидального напряжения с частотой от 10 до 1000 кГц и импульсов напряжения чередующейся полярности, которые совпадают по времени и полярности с максимумами синусоидального напряжения.
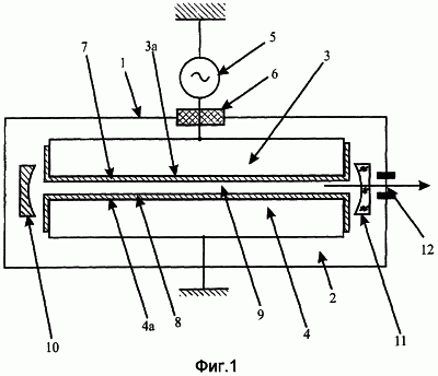
На фиг.1 схематично изображен газовый лазер щелевого типа, выполненный согласно изобретению.
На фиг.2 показаны осциллограммы напряжения на электродах и разрядного тока в предложенном газовом лазере при синусоидальном напряжении возбуждения.
На фиг.3 показаны осциллограммы напряжения на электродах и разрядного тока в предложенном газовом лазере при импульсном напряжении возбуждения.
На фиг.4 показаны осциллограммы напряжения на электродах и разрядного тока в предложенном газовом лазере при одновременной подаче синусоидального и импульсного напряжений возбуждения.
Показанный на фиг.1 газовый лазер щелевого типа содержит герметичную камеру 1, заполненную активной газовой средой 2, например газовой смесью на основе СО2. Внутри камеры 1 установлена пара протяженных металлических электродов 3 и 4, например из алюминия, соединенных с источником переменного напряжения 5, расположенным вне камеры 1. В примере выполнения лазера, показанном на фиг.1, электрод 3 соединен с источником 5 через герметичный изолирующий ввод 6, в то время как электрод 4 заземлен. Электроды 3 и 4 имеют соответствующие поверхности 3а и 4а, обращенные друг к другу. Электроды 3 и 4 предпочтительно снабжены системой принудительного охлаждения (не показана).
На каждом из электродов 3 и 4 имеется диэлектрический барьер 7 и 8 соответственно, каждый из которых сформирован путем выращивания слоя диэлектрика непосредственно на поверхности соответствующего электрода при его изготовлении. Электроды 3 и 4 установлены в камере 1 так, что обращенные друг к другу поверхности диэлектрических барьеров 7 и 8 образуют щелевой разрядный промежуток 9 заданной высоты.
Выращивание слоя диэлектрика непосредственно на поверхности электрода может быть осуществлено путем постепенного или послойного нанесения на поверхность электрода атомов или молекул различных материалов из газовой или жидкой фазы до тех пор, пока на поверхности электрода не будет сформирован слой диэлектрика заданной толщины. Например, слой диэлектрика может быть выращен путем плазмохимического напыления диэлектрических материалов на поверхность металла, из которого изготовлен электрод.
Выращивание слоя диэлектрика непосредственно на поверхности электрода возможно также путем окисления или иной модификации поверхностного слоя металла электрода заданной толщины так, чтобы он приобрел диэлектрические свойства. Например, слой диэлектрика может быть выращен путем электрохимического окисления или окисления в газовой фазе поверхностного слоя металла, из которого изготовлен электрод. Если электроды 3 и 4 изготовлены из алюминия, то такой слой диэлектрика может быть образован двуокисью алюминия (Al2О3).
В результате выращивания слоя диэлектрика указанными способами, которые хорошо известны специалистам и описаны в технической литературе, поверхность электрода оказывается покрытой диэлектрическим барьером заданной толщины, образующим с металлом электрода единое целое, без промежутков между диэлектриком и металлом электрода.
Очевидно, что барьер может быть также сформирован в виде двух или более наложенных друг на друга слоев из различных диэлектрических материалов. Для выращивания слоя из одного диэлектрического материала на поверхности другого может быть использовано напыление, например плазмохимическое. Так, на поверхность основного диэлектрического слоя, выращенного любым из вышеупомянутых способов непосредственно на поверхности металлического электрода, может быть напылен тонкий дополнительный слой из диэлектрика, обладающего повышенной эмиссионной способностью, например из оксида магния (MgO), толщина которого может составлять около 1 мкм.
Поверхности 3а и 4а электродов перед выращиванием на них диэлектрических слоев предпочтительно шлифуются. При относительно малой толщине выращиваемого диэлектрического слоя, например менее 100 мкм, внешняя поверхность этого слоя также будет достаточно гладкой и не потребует дополнительной шлифовки. Однако, если окажется необходимым, поверхности диэлектрических барьеров 7 и 8, обращенные друг к другу, после выращивания этих барьеров могут быть подвергнуты дополнительной шлифовке или иной обработке.
Таким образом, выращивание диэлектрических слоев непосредственно на электродах позволяет формировать тонкие диэлектрические барьеры значительной площади относительно простым и недорогим способом.
Как показано на фиг.1, сплошной слой диэлектрика, образующий диэлектрический барьер 7 или 8, покрывает не только обращенные друг к другу поверхности металлических электродов 3 и 4, но также по меньшей мере части торцевых и боковых поверхностей каждого из этих электродов.
Толщина слоя диэлектрика предпочтительно составляет не менее 50 мкм. Минимальная толщина этого слоя для конкретной конструкции лазера выбирается исходя из условия обеспечения режима барьерного разряда, как будет описано ниже. Максимальная толщина слоя диэлектрика, согласно изобретению, составляет 500 мкм, а предпочтительно – не превышает 150 мкм. Диэлектрические покрытия такой толщины могут быть выращены непосредственно на электродах путем плазменного напыления, электрохимического окисления или каким-либо другим методом выращивания пленок.
Показанный на фиг.1 газовый лазер включает также оптический резонатор, установленный так, что оптическая ось этого резонатора проходит через разрядный промежуток 9. В примере выполнения лазера, показанном на фиг.1, резонатор образован вогнутыми зеркалами 10 и 11, установленными по краям разрядного промежутка 9. В показанном примере зеркало 10 является полностью отражающим, а полупрозрачное зеркало 11 используется для вывода лазерного излучения из резонатора. Напротив полупрозрачного зеркала 11 в камере 2 имеется выходное окно 12.
При работе газового лазера, показанного на фиг.1, от источника 5 переменного напряжения на электроды 3 и 4 подают напряжение возбуждения, например в виде синусоидального напряжения с частотой от 10 до 1000 кГц, как показано на фиг.2 (пунктирная линия). Когда напряжение на разрядном промежутке 9 достигает пробойного значения, он пробивается и формируется газовый разряд, сходный с тлеющим разрядом постоянного тока. Разрядный ток заряжает емкости диэлектрических барьеров 7 и 8 на электродах 3 и 4. По мере зарядки емкостей напряжение на разрядном промежутке 9 уменьшается и при его падении до величины меньшей, чем необходимо для поддержания разряда, разряд гаснет, и плазма начинает распадаться. Поскольку параметры барьеров 7, 8 и разрядного промежутка 9 выбраны так, чтобы емкости барьеров заряжались до требуемого уровня за время, меньшее четверти периода приложенного к электродам переменного напряжения, разрядный ток будет протекать в виде коротких импульсов, как показано на фиг.2 (сплошная линия).
Протекание разрядного тока обеспечивает создание инверсии населенности энергетических уровней в газовой активной среде 2, находящейся в разрядном промежутке 9. Вынужденное испускание света частицами газовой среды 2, находящейся в пределах оптического резонатора, при их переходе из возбужденного состояния в основное состояние приводит к генерации лазерного излучения на соответствующей длине волны. В зависимости от частоты подаваемого напряжения возбуждения и параметров разрядного промежутка в лазере может быть обеспечена импульсная генерация излучения, когда условия генерации выполняются только во время протекания разрядных импульсов, или же непрерывная генерация излучения с пульсирующей или практически постоянной мощностью.
Поверхности диэлектрических барьеров 7 и 8, обращенные друг к другу, могут быть использованы в качестве световода, в котором распространяется генерируемое излучение. Например, в таком световоде излучение может распространяться как в волноводе вдоль электродов (в направлении от зеркала 10 к зеркалу 11 и обратно) и свободно распространяться в поперечном направлении. Подобные лазеры щелевого типа, в которых разрядный промежуток одновременно выполняет функции световода, в котором излучение распространяется как в волноводе вдоль электродов и свободно распространяется в поперечном направлении, более подробно описаны, например, в патентах США №4719639 (J.Tulip, 1988) и №4939738 (Н.Opower, 1990)). Комбинация волноводного и неволноводного распространения излучения позволяет реализовать в таких газовых лазерах щелевого типа высокие плотности мощности накачки активной среды и соответственно получить высокие уровни мощности генерируемого излучения.
Генерируемое лазерное излучение (показано стрелкой на фиг.1) выводится из оптического резонатора, например, через полупрозрачное зеркало 11 и далее выходит из камеры 1 через выходное окно 12.
Как показано на фиг.3, напряжение возбуждения от источника переменного напряжения может также подаваться в виде импульсов напряжения с частотой следования от 10 до 1000 кГц (показаны пунктирной линией). В этом случае возрастает скорость нарастания напряжения на электродах и разрядном промежутке, по сравнению с синусоидальным возбуждением, в результате чего пробой может происходить при повышенном напряжении, что позволяет увеличить вкладываемую в разряд мощность. Кроме того, значительное перенапряжение при пробое приводит к улучшению однородности барьерного разряда, что обеспечивает более эффективное использование всего объема активной среды.
Кроме того, как показано на фиг.4, напряжение возбуждения может подаваться в виде синусоидального напряжения с частотой от 10 до 1000 кГц и, одновременно с этим, импульсов напряжения чередующейся полярности, которые совпадают по времени и полярности с максимумами синусоидального напряжения. Это позволяет уменьшить мощность импульсного источника напряжения при сохранении мощности, вкладываемой в разряд, и соответственно упростить и удешевить источник питания лазера.
Выбор минимальной толщины слоя диэлектрика для конкретной конструкции лазера осуществляется исходя из условия обеспечения режима барьерного разряда. Такой выбор может быть осуществлен, например, на основе данных, приведенных в “Энциклопедии низкотемпературной плазмы” под ред. В.Е.Фортова, Вводный том II, с.70, М.: Наука, 2000, как описано ниже.
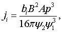
Поскольку разрядный ток проводимости, заряжающий емкости диэлектрических барьеров 7 и 8, переносится электронами в плазме и ионами в приэлектродном слое, а большая часть напряжения падает в приэлектродном слое, где проводимость определяется ионами, скорость зарядки определяется величиной ионного тока. Величина ионного тока ji в высокочастотном разряде может быть оценена как:

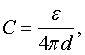
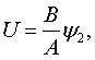
где bi – подвижность ионов, В, А – коэффициенты Таунсенда, р – давление газовой смеси, 1, 2 – функции, слабо зависящие от коэффициента вторичной ион-электронной эмиссии диэлектрических слоев. Этот ток должен заряжать емкость С единицы площади до напряжения порядка напряжения U на приэлектродном слое за время меньше четверти периода приложенного напряжения 1/4f, где f- частота приложенного напряжения. Поскольку

где – относительная диэлектрическая проницаемость диэлектрического слоя, d – суммарная толщина диэлектрических слоев на двух противоположных электродах, а

получаем следующее неравенство:

где р – давление газовой смеси, К – величина, зависящая от свойств газовой среды и коэффициента ион-электронной эмиссии диэлектрических слоев, k1=10-20 – коэффициент, который выбирается исходя из необходимого запаса для обеспечения стабильности разряда. Это неравенство определяет минимальную суммарную толщину диэлектрических слоев на двух электродах, требуемую для поддержания барьерного разряда. Например, для типичных лазерных смесей и алюминиевых электродов 1=0,55, 2=15, 
поэтому K 5·10-6 см·торр2·сек. Следовательно, для =7(Al2О3), f=100 кГц, р=60 Top, k1=10 получаем d 0,1 мм.
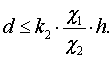
Максимальная толщина слоя диэлектрика предпочтительно должна быть такой, чтобы перепад температуры на слое диэлектрика был по меньшей мере на порядок меньше, чем перепад температуры на разрядном промежутке. При выполнении этого условия тепловое сопротивление диэлектрика практически не будет оказывать отрицательного влияния на параметры лазера. Поэтому предпочтительно, чтобы суммарная толщина d диэлектрического покрытия на двух противоположных электродах подчинялась следующему неравенству:

где 1 и 2 – теплопроводности диэлектрика и газа соответственно; h – величина межэлектродного зазора и k2=0,005-0,01 – коэффициент запаса.
Уменьшение толщины диэлектрических барьеров 7 и 8 по сравнению с известным лазером позволяет понизить температуру активной среды 2 в разрядном промежутке 9 вследствие улучшения теплоотвода от активной среды к электродам. Уменьшение температуры активной среды обеспечивает повышение эффективности генерации лазерного излучения. Улучшенный теплоотвод от активной среды также обеспечивает высокую однородность распределения мощности по сечению щелевого разрядного промежутка 9, что предотвращает искажения формы профиля коэффициента усиления активной среды по высоте этого промежутка и вызываемое этими искажениями появление мод высокого порядка. Кроме того, уменьшение толщины диэлектрических барьеров 7 и 8 приводит к уменьшению падения на них напряжения возбуждения, в результате чего напряжение на разрядном промежутке 9 увеличивается, возрастает мощность разряда, и таким образом увеличивается выходная мощность лазера.
Возможность использования электродов 3 и 4 значительной площади при высокой механической и электрической прочности конструкции, что обеспечивается формированием диэлектрических барьеров 7 и 8 согласно изобретению, позволяет создавать технологические лазеры большой мощности, возбуждаемые барьерным разрядом. При этом частота напряжения возбуждения, используемая для создания барьерного разряда, не превышает 1000 кГц, что позволяет использовать транзисторные схемы возбуждения, имеющие высокую эффективность, большой срок службы и низкую стоимость по сравнению с ламповыми схемами возбуждения, используемыми в мощных газовых лазерах с высокой частотой возбуждения, порядка 40-125 МГц.
Формула изобретения
1. Газовый лазер щелевого типа, содержащий герметичную камеру, заполненную активной газовой средой, пару металлических электродов, установленных в указанной камере так, что каждый из них имеет поверхность, обращенную к поверхности другого электрода, источник переменного напряжения, соединенный с указанными электродами для подачи на них напряжения возбуждения, пару диэлектрических барьеров, размещенных между металлическими электродами, так что обращенные друг к другу поверхности этих барьеров образуют щелевой разрядный промежуток для формирования в газовой среде барьерного разряда при подаче на электроды напряжения возбуждения от источника переменного напряжения, и оптический резонатор для формирования лазерного излучения при возбуждении газовой среды в разрядном промежутке барьерным разрядом, отличающийся тем, что каждый из указанных диэлектрических барьеров образован слоем диэлектрика толщиной не более 500 мкм, выращенным непосредственно на поверхности соответствующего электрода, обращенной к поверхности другого электрода.
2. Газовый лазер по п.1, отличающийся тем, что толщина указанного слоя диэлектрика составляет от 50 до 150 мкм.
3. Газовый лазер по п.1 или 2, отличающийся тем, что указанный слой диэлектрика выращен путем окисления поверхностного слоя металла, из которого изготовлен электрод.
4. Газовый лазер по п.3, отличающийся тем, что электрод изготовлен из алюминия, а слой диэлектрика образован двуокисью алюминия Al2О3.
5. Газовый лазер по п.1 или 2, отличающийся тем, что указанный слой диэлектрика выращен путем плазмохимического напыления диэлектрического материала на поверхность электрода.
6. Газовый лазер по п.1 или 2, отличающийся тем, что источник переменного напряжения выполнен в виде источника синусоидального напряжения с частотой от 10 до 1000 кГц.
7. Газовый лазер по п.1 или 2, отличающийся тем, что источник переменного напряжения выполнен в виде источника импульсов напряжения с частотой следования от 10 до 1000 кГц.
8. Газовый лазер по п.1 или 2, отличающийся тем, что источник переменного напряжения выполнен с возможностью одновременного формирования синусоидального напряжения с частотой от 10 до 1000 кГц и импульсов напряжения чередующейся полярности, которые совпадают по времени и полярности с максимумами синусоидального напряжения.
РИСУНКИ
|
|