|
|
(21), (22) Заявка: 2004105174/09, 20.02.2004
(24) Дата начала отсчета срока действия патента:
20.02.2004
(43) Дата публикации заявки: 20.07.2005
(45) Опубликовано: 27.03.2006
(56) Список документов, цитированных в отчете о поиске:
RU 2205498 C1, 27.05.2003. RU 20593 U1, 10.11.2001. US 4904948, 27.02.1990. US 5321734 A, 14.06.1994. US 5936430 А, 10.08.1999. ЕР 0246351 A1, 25.11.1987.
Адрес для переписки:
432027, г.Ульяновск, ул. Северный Венец, 32, ГОУ ВПО “Ульяновский государственный технический университет”, проректору по научной работе
|
(72) Автор(ы):
Андреев Дмитрий Васильевич (RU)
(73) Патентообладатель(и):
Государственное образовательное учреждение высшего профессионального образования “Ульяновский государственный технический университет” (RU)
|
(54) ИМПУЛЬСНЫЙ СЕЛЕКТОР
(57) Реферат:
Изобретение относится к импульсной технике и может быть использовано для построения средств автоматики, функциональных узлов систем управления. Достигаемый технический результат – уменьшение аппаратурных затрат при сохранении функциональных возможностей. Импульсный селектор содержит n логических элементов “Исключающее ИЛИ”, n замыкающих ключей и резистор и выполняет выбор минимального или максимального из временных интервалов, определяемых длительностями синхронизированных по переднему фронту положительных импульсов, поступающих на один из входов соответствующего логического элемента “Исключающее ИЛИ”. 2 ил. 
Изобретение относится к импульсной технике и может быть использовано для построения средств автоматики, функциональных узлов систем управления и др.
Известны импульсные селекторы (см., например, свидетельство РФ 20593, кл. G 06 G 7/25, 2001 г.), которые могут быть использованы для воспроизведения операций Z=min( 1, …, n), Z=max( 1,…, n), где 1,…, n есть длительности положительных импульсных сигналов x1,…, xn {0,1}, синхронизированных по переднему фронту.
К причине, препятствующей достижению указанного ниже технического результата при использовании известных импульсных селекторов, относится большие аппаратурные затраты.
Наиболее близким устройством того же назначения к заявленному изобретению по совокупности признаков является принятый за прототип импульсный селектор (патент РФ 2205498, кл. Н 03 К 5/26, 2003 г.), который содержит резистор, n логических элементов “Исключающее ИЛИ”, n замыкающих ключей и воспроизводит операции Z=min( 1,…, n), Z=max( 1,…, n), где 1,…, n есть длительности положительных импульсных сигналов x1,…, xn {0,1}, синхронизированных по переднему фронту.
К причине, препятствующей достижению указанного ниже технического результата при использовании прототипа, относится большие аппаратурные затраты.
Техническим результатом изобретения является уменьшение аппаратурных затрат.
Указанный технический результат при осуществлении изобретения достигается тем, что в импульсном селекторе, содержащем n логических элементов “Исключающее ИЛИ”, n замыкающих ключей и резистор, который подсоединен между выходом n-го замыкающего ключа и первым настроечным входом импульсного селектора, объединенным с вторым входом i-го логического элемента “Исключающее ИЛИ”, подсоединенного первым входом и выходом соответственно к i-му информационному входу импульсного селектора и управляющему входу i-го замыкающего ключа, выход каждого предыдущего замыкающего ключа соединен с входом последующего замыкающего ключа, а вход первого замыкающего ключа – с вторым настроечным входом импульсного селектора, особенность заключается в том, что выход n-го замыкающего ключа является выходом импульсного селектора.
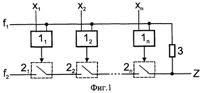
На фиг.1 представлена схема предлагаемого импульсного селектора. На фиг.2 приведены временные диаграммы, поясняющие принцип его работы (например при n=4).
Импульсный селектор содержит логические элементы “Исключающее ИЛИ” 11,…, 1n, замыкающие ключи 21,…, 2n, резистор 3, причем этот резистор подсоединен между выходом ключа 2n и первым настроечным входом импульсного селектора, объединенным с вторым входом элемента 1i , подсоединенного первым входом и выходом соответственно к i-му информационному входу импульсного селектора и управляющему входу ключа 2i, выход каждого предыдущего ключа соединен с входом последующего ключа, а вход ключа 21 – с вторым настроечным входом импульсного селектора, подсоединенного выходом к выходу ключа 2n.
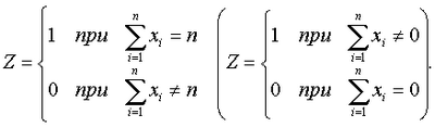
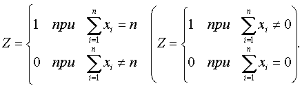
Работа предлагаемого импульсного селектора осуществляется следующим образом. На его первый,…, n-й информационные входы подаются соответственно синхронизированные по переднему фронту положительные импульсные сигналы х1,…, хn {0,1}, имеющие длительности 1,…, n соответственно; на его первом, втором настроечных входах фиксируются соответственно необходимые управляющие сигналы f1, f2 {0,1}. Если на управляющем входе ключа 2i действует логическая “1” либо логический “0”, то этот ключ соответственно замкнут либо разомкнут. Таким образом, при f1=0, f2=1 (f1=1, f2=0) импульсный сигнал на выходе предлагаемого селектора определяется выражением

Следовательно, селектор (фиг.1) будет воспроизводить операцию

(см. фиг.2).
Вышеизложенные сведения позволяют сделать вывод, что предлагаемый импульсный селектор выполняет выбор минимального (максимального) из временных интервалов 1,…, n, определяемых длительностями синхронизированных по переднему фронту положительных импульсов х1,…, хn, и обладает меньшими по сравнению с прототипом аппаратурными затратами, так как не содержит имеющиеся в прототипе компаратор и n резисторов.
Формула изобретения
Импульсный селектор, содержащий n логических элементов “Исключающее ИЛИ”, n замыкающих ключей и резистор, который подсоединен между выходом n-го замыкающего ключа и первым настроечным входом импульсного селектора, объединенным с вторым входом i-го логического элемента “Исключающее ИЛИ”, подсоединенного первым входом и выходом соответственно к i-му информационному входу импульсного селектора и управляющему входу i-го замыкающего ключа, выход каждого предыдущего замыкающего ключа соединен с входом последующего замыкающего ключа, а вход первого замыкающего ключа – с вторым настроечным входом импульсного селектора, отличающийся тем, что выход n-го замыкающего ключа является выходом импульсного селектора.
РИСУНКИ
MM4A – Досрочное прекращение действия патента СССР или патента Российской Федерации на изобретение из-за неуплаты в установленный срок пошлины за поддержание патента в силе
Дата прекращения действия патента: 21.02.2006
Извещение опубликовано: 20.09.2007 БИ: 26/2007
|
|