|
|
(21), (22) Заявка: 2004130933/09, 22.10.2004
(24) Дата начала отсчета срока действия патента:
22.10.2004
(45) Опубликовано: 27.03.2006
(56) Список документов, цитированных в отчете о поиске:
RU 2207707 С2, 27.06.2003. RU 2220497 C1, 27.12.2003. US 5568818 A, 15.10.1996. US 6127899 A, 03.10.2000. EP 0556819 A3, 25.08.1993. DE 3109464 A1, 23.09.1982.
Адрес для переписки:
347900, Ростовская обл., г. Таганрог, пер. Антона Глушко, 2А, кв.4, В.Г. Прокопенко
|
(72) Автор(ы):
Прокопенко Вадим Георгиевич (RU)
(73) Патентообладатель(и):
Прокопенко Вадим Георгиевич (RU)
|
(54) ГЕНЕРАТОР ХАОТИЧЕСКИХ КОЛЕБАНИЙ
(57) Реферат:
Изобретение относится к радиотехнике и может быть использовано в качестве источника хаотических колебаний. Достигаемый технический результат – расширение пределов регулирования параметров хаотического сигнала путем обеспечения независимости нелинейного преобразования сигнала в генераторе хаотических колебаний от физических значений номиналов элементов его схемы. Генератор хаотических колебаний содержит индуктивный элемент, два конденсатора, резистор и нелинейный преобразователь импеданса, передаточная характеристика которого определена заданным уравнением. 1 з.п. ф-лы, 5 ил. 
Изобретение относится к радиотехнике и может быть использовано в качестве источника хаотических электромагнитных колебаний.
Также известен генератор хаотических колебаний (Т.Мацумото. Хаос в электронных схемах. ТИИЭР, 1987, Т.75, № 8, С.76-79, рис.19, 20), содержащий конденсатор, первый вывод которого соединен с первым выводом устройства с отрицательной проводимостью, второй вывод которого соединен с первым выводом параллельного колебательного контура, второй вывод которого соединен со вторым выводом конденсатора.
Недостатком этих генераторов является то, что необходимую для их работы нелинейность обеспечивают такие элементы схемы, которые должны иметь еще и определенный физический номинал. Это ограничивает возможность независимого изменения параметров нелинейности, уменьшая тем самым интервал перестройки характеристик генерируемого хаотического сигнала.
Наиболее близким по технической сущности к заявляемому устройству является генератор хаотических колебаний (Т.Мацумото. Хаос в электрических схемах. ТИИЭР, 1987, Т.75, № 8, С.67-68, рис.1 и рис.6), содержащий индуктивный элемент, первый вывод которого соединен с первыми выводами резистора и первого конденсатора, второй вывод которого соединен с первым выводом второго конденсатора.
Недостатком этого генератора хаотических колебаний является то, что в нем используется нелинейный резистор с отрицательным сопротивлением, совмещающий разнородные функции резистивного элемента с заданным номиналом сопротивления и нелинейного преобразователя сигнала с заданной нелинейностью, что ограничивает возможность независимого изменения параметров нелинейности, сужая тем самым пределы регулирования характеристик генерируемых колебаний.
Целью изобретения является расширение пределов регулирования параметров хаотического сигнала путем обеспечения независимости нелинейного преобразования сигнала в генераторе хаотических колебаний от физических значений номиналов элементов его схемы.
Цель изобретения достигается тем, что в генератор хаотических колебаний, содержащий индуктивный элемент, первый вывод которого соединен с первыми выводами резистора и первого конденсатора, второй вывод которого соединен с первым выводом второго конденсатора, введен нелинейный преобразователь импеданса, первый и второй входные выводы которого соединены со вторыми выводами соответственно индуктивного элемента и резистора, первый и второй выходные выводы нелинейного преобразователя импеданса соединены соответственно с первым и вторым выводами второго конденсатора, передаточная характеристика нелинейного преобразователя импеданса определена уравнением , где i(iL) – ток, протекающий через выходные выводы нелинейного преобразователя импеданса под действием тока iL, протекающего через входные выводы нелинейного преобразователя импеданса, I0 – граничный ток между средним, проходящим через начало координат, и боковыми участками передаточной характеристики, а и b – вещественные коэффициенты, имеющие противоположные знаки, напряжение на первом входном выводе нелинейного преобразователя импеданса равно напряжению на первом выходном выводе нелинейного преобразователя импеданса, напряжение на втором входном выводе нелинейного преобразователя импеданса равно напряжению на втором выходном выводе нелинейного преобразователя импеданса.
С целью получения повышенной температурной стабильности нелинейный преобразователь импеданса содержит первый и второй нелинейные двухполюсники и усилительный элемент, инвертирующий вход которого, являющийся первым входным выводом нелинейного преобразователя импеданса, соединен с первым выводом первого нелинейного двухполюсника, второй вывод которого соединен с выходом усилительного элемента и первым выводом второго нелинейного двухполюсника, второй вывод которого соединен с неинвертирующим входом усилительного элемента, являющимся первым выходным выводом нелинейного преобразователя импеданса, первый нелинейный двухполюсник содержит первый и второй транзисторы, эмиттеры которых являются соответствующими первым и вторым выводами первого нелинейного двухполюсника, коллектор первого транзистора соединен с базой второго транзистора и эмиттером третьего транзистора, база и коллектор которого соединены с первым выводом первого резистора, второй вывод которого соединен с выходом первого генератора тока и первым выводом второго резистора, второй вывод которого соединен с базой и коллектором четвертого транзистора, эмиттер которого соединен с коллектором второго транзистора и базой первого транзистора, эмиттер которого соединен с выходом второго генератора тока, и первым выводом третьего резистора, второй вывод которого соединен с эмиттером второго транзистора, первым выводом второго нелинейного двухполюсника являются соединенные база и коллектор пятого транзистора, эмиттер которого соединен с базой шестого транзистора и коллектором седьмого транзистора, эмиттер которого соединен с первым выводом четвертого резистора, второй вывод которого соединен с выходом третьего генератора тока и первым выводом пятого резистора, второй вывод которого соединен с эмиттером шестого транзистора, коллектор которого соединен с базой седьмого транзистора и эмиттером восьмого транзистора, соединенные база и коллектор которого являются вторым выводом второго нелинейного двухполюсника, коллектор восьмого транзистора соединен с выходом четвертого генератора тока и первым выводом шестого резистора, второй вывод которого соединен с коллектором пятого транзистора, усилительный элемент содержит девятый и десятый транзисторы, базы которых являются соответствующими инвертирующим и неинвертирующим входами усилительного элемента, эмиттер десятого транзистора соединен с выходом пятого генератора тока и эмиттером девятого транзистора, коллектор которого соединен с выходом шестого генератора тока и базой одиннадцатого транзистора, эмиттер которого, являющийся выходом усилительного элемента, соединен с выходом седьмого генератора тока, общие шины первого, четвертого и шестого генераторов тока соединены с шиной питания и коллекторами десятого и одиннадцатого транзисторов, общие шины второго, третьего, пятого и седьмого генераторов тока соединены с общей шиной, которая является вторым входным и вторым выходным выводами нелинейного преобразователя импеданса.
Заявляемый генератор хаотических колебаний поясняется фиг.1, на которой изображена его схема электрическая принципиальная, фиг.2, на которой показано распределение токов и напряжений в схеме генератора при его работе, фиг.3, на которой приведена электрическая схема практической реализации генератора хаотических колебаний, фиг.4, на которой приведен пример проекции безразмерного странного аттрактора на плоскость (x, y), и фиг.5, на которой показан пример зависимости безразмерной переменной у от времени.
Генератор хаотических колебаний содержит нелинейный преобразователь импеданса 1, первый 2 и второй 3 конденсаторы, индуктивный элемент 4 и резистор 5, нелинейный преобразователь импеданса содержит усилительный элемент 6, первый 7 и второй 8 нелинейные двухполюсники, первый нелинейный двухполюсник содержит первый 9, второй 10, третий 11 и четвертый 12 транзисторы, первый 13, второй 14 и третий 15 резисторы, первый 16 и второй 17 генераторы тока, второй нелинейный двухполюсник содержит пятый 18, шестой 19, седьмой 20 и восьмой 21 транзисторы, четвертый 22, пятый 23 и шестой 24 резисторы, третий 25 и четвертый 26 генераторы тока, усилительный элемент содержит девятый 27, десятый 28 и одиннадцатый 29 транзисторы, пятый 30, шестой 31 и седьмой 32 генераторы тока.
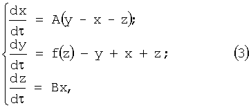
Запишем уравнения, описывающие динамику данного генератора (см.фиг.2):

где С1 и С2 – емкости конденсаторов 2 и 3; L – индуктивность индуктивного элемента 4; R – сопротивление резистора 5; uC1 и uC2 – переменные напряжения на конденсаторах 2 и 3, соответственно; iC1 и iC2 – переменные токи, протекающие в конденсаторах 2 и 3, соответственно; uL и iL – переменное напряжение на индуктивном элементе 4 и протекающий через него переменный ток, соответственно.
Разрешив уравнения (1) относительно и получим следующую систему дифференциальных уравнений:

Вводя безразмерные переменные и безразмерное время , представим полученные уравнения в безразмерном виде:

где – безразмерная передаточная характеристика нелинейного преобразователя импеданса; 
Нелинейный преобразователь импеданса в схеме на фиг.3 имеет приведенную в формуле изобретения передаточную характеристику, параметры которой равны где R1 – значение сопротивлений первого 13 и второго 14 резисторов, R2 – сопротивление третьего 15 резистора, R3 – значение сопротивлений четвертого 22 и пятого 23 резисторов, R4 – сопротивление шестого 24 резистора, I1 – значение выходного тока первого 16 генератора тока. При этом значения выходных токов I2, I3, I4, I5, I6, I7 соответственно второго 17, третьего 25, четвертого 26, пятого 30, шестого 31 и седьмого 32 генераторов тока должны удовлетворять следующим соотношениям I3>I1, I5 2I6, I7 I6.
В системе (3) существуют нерегулярные автоколебания, характеризующиеся положительными значениями старшего характеристического показателя Ляпунова. Например, при а=4, b=-4, А=0.5, В 7…12 этот показатель равен 0.2…0.5, в частности, при а=4, b=-4, А=0.5, В=10 он близок к 0.45; при а=-2, b=10, А=0.5, В=9…11 старший характеристический показатель Ляпунова лежит в пределах от 0.25 до 0.4.
Следовательно, при данных значениях коэффициентов a, b, A, B в генераторе на фиг.1 наблюдаются хаотические колебания.
Пусть R=1 кОм, С1=20 нФ. Тогда в случае А=0.5, В=10, а=4, b=-4 хаотические колебания в схеме на фиг.3 наблюдаются при С2 10 нФ, L1 1 мГн. Положив I0=100 мкА, I6=1 мА, I1=300 Ом, получим: I1 400 мкА, I2 200 мкА, I3 4 мА, I4 2 мА, I5 2 мА, I7 1 мА, R2 1.2 кОм, R3 100 Ом, R4 600 Ом.
Соответствующие этим значениям параметров генератора примеры безразмерного странного аттрактора и зависимость безразмерной переменной у от времени приведены на фиг.4 и 5.
Передаточная характеристика нелинейного преобразователя импеданса не зависит от значений входного и выходного токов. Поэтому изменение нелинейности этой характеристики может быть осуществлено безотносительно к величинам этих токов. При прочих равных условиях это позволяет расширить интервал перестройки параметров хаотического сигнала по сравнению с аналогами и прототипом.
Повышенная температурная стабильность нелинейного преобразователя импеданса обусловлена тем, что его передаточная характеристика практически не зависит от параметров транзисторов вследствие взаимной компенсации эмиттерных сопротивлений транзисторов 9 и 11, 10 и 12, 18 и 20, 19 и 21.
Формула изобретения
1. Генератор хаотических колебаний, содержащий индуктивный элемент, первый вывод которого соединен с первыми выводами резистора и первого конденсатора, второй вывод которого соединен с первым выводом второго конденсатора, отличающийся тем, что в него введен нелинейный преобразователь импеданса, первый и второй входные выводы которого соединены со вторыми выводами соответственно индуктивного элемента и резистора, первый и второй выходные выводы нелинейного преобразователя импеданса соединены соответственно с первым и вторым выводами второго конденсатора, передаточная характеристика нелинейного преобразователя импеданса определена уравнением

где i (iL) – ток, протекающий через выходные выводы нелинейного преобразователя импеданса под действием тока il, протекающего через входные выводы нелинейного преобразователя импеданса,
I0 – граничный ток между средним, проходящим через начало координат, и боковыми участками передаточной характеристики,
а и b – вещественные коэффициенты, имеющие противоположные знаки,
напряжение на первом входном выводе нелинейного преобразователя импеданса равно напряжению на первом выходном выводе нелинейного преобразователя импеданса, напряжение на втором входном выводе нелинейного преобразователя импеданса равно напряжению на втором выходном выводе нелинейного преобразователя импеданса.
2. Генератор хаотических колебаний по п.1, отличающийся тем, что нелинейный преобразователь импеданса содержит первый и второй нелинейные двухполюсники и усилительный элемент, инвертирующий вход которого, являющийся первым входным выводом нелинейного преобразователя импеданса, соединен с первым выводом первого нелинейного двухполюсника, второй вывод которого соединен с выходом усилительного элемента и первым выводом второго нелинейного двухполюсника, второй вывод которого соединен с неинвертирующим входом усилительного элемента, являющимся первым выходным выводом нелинейного преобразователя импеданса, первый нелинейный двухполюсник содержит первый и второй транзисторы, эмиттеры которых являются соответствующими первым и вторым выводами первого нелинейного двухполюсника, коллектор первого транзистора соединен с базой второго транзистора и эмиттером третьего транзистора, база и коллектор которого соединены с первым выводом первого резистора, второй вывод которого соединен с выходом первого генератора тока и первым выводом второго резистора, второй вывод которого соединен с базой и коллектором четвертого транзистора, эмиттер которого соединен с коллектором второго транзистора и базой первого транзистора, эмиттер которого соединен с выходом второго генератора тока и первым выводом третьего резистора, второй вывод которого соединен с эмиттером второго транзистора, первым выводом второго нелинейного двухполюсника являются соединенные база и коллектор пятого транзистора, эмиттер которого соединен с базой шестого транзистора и коллектором седьмого транзистора, эмиттер которого соединен с первым выводом четвертого резистора, второй вывод которого соединен с выходом третьего генератора тока и первым выводом пятого резистора, второй вывод которого соединен с эмиттером шестого трнзистора, коллектор которого соединен с базой седьмого транзистора и эмиттером восьмого транзистора, соединенные база и коллектор которого являются вторым выводом второго нелинейного двухполюсника, коллектор восьмого транзистора соединен с выходом четвертого генератора тока и первым выводом шестого резистора, второй вывод которого соединен с коллектором пятого транзистора, усилительный элемент содержит девятый и десятый транзисторы, базы которых являются соответствующими инвертирующим и неинвертирующим входами усилительного элемента, эмиттер десятого транзистора соединен с выходом пятого генератора тока и эмиттером девятого транзистора, коллектор которого соединен с выходом шестого генератора тока и базой одиннадцатого транзистора, эмиттер которого, являющийся выходом усилительного элемента, соединен с выходом седьмого генератора тока, общие шины первого, четвертого и шестого генераторов тока соединены с шиной питания и коллекторами десятого и одиннадцатого транзисторов, общие шины второго, третьего, пятого и седьмого генераторов тока соединены с общей шиной, которая является вторым входным и вторым выходным выводами нелинейного преобразователя импеданса.
РИСУНКИ
|
|