Патент на изобретение №2272826
|
||||||||||||||||||||||||||
(54) СПОСОБ ПЕРЕРАБОТКИ РЕЗИНОСОДЕРЖАЩИХ И ДРУГИХ ПРОМЫШЛЕННЫХ И БЫТОВЫХ ОРГАНИЧЕСКИХ ОТХОДОВ В ХИМИЧЕСКОЕ СЫРЬЕ И КОМПОНЕНТЫ МОТОРНОГО ТОПЛИВА
(57) Реферат:
Изобретение относится к химической переработке резиносодержащих, а также промышленных и бытовых органических отходов (полиэтилен, полистирол, полиизобутилен, капрон, лавсан, энант, найлон, поливинилхлорид, различные виды каучука, фенолформальдегидные наволачные смолы и т. д.) в компоненты моторного топлива и сырье для промышленности основного органического, нефтехимического и биохимического синтеза, производству анодной массы для электротермических и электрохимической предприятий, гидро-, тепло- и звукоизоляционных материалов, асфальтобетона для дорожного строительства. Способ заключается в том, что осуществляют термокаталитическое ожижение отходов при температуре 200-320°С и давлении 1-3 МПа. При этом процесс проводят в присутствии смеси водорододонорных углеводородов, в качестве одного из которых используют алкилбензолы, а в качестве второго – водорододонорный углеводород, имеющий меньшее время индукционного эффекта. Процесс проводят в присутствии катализатора, в качестве которого используют фталоцианины или диметилглиоксиматы, выбранные из группы, содержащей медь, никель, кобальт, молибден, титан, марганец, железо и их смеси а также в присутствии добавок – нейтрализаторов, взятых в количестве 0,10-0,50 мас.% от отходов. Предпочтительно осуществление способа проводить в смеси алкилбензолов и тетралина, взятых в массовом соотношении 10:0,5-10:2,0 или в смеси алкилбензолов и фракции с пределом выкипания 230-280°С парафиново-нафтеновой нефти, взятых в том же массовом соотношении. При использовании в качестве катализатора фталоцианинов или диметилглиоксиматов, целесообразно использовать массовое соотношение растворитель : катализатор, равном 1:0,01-1:0,05. Предпочтительно процесс проводить при массовом соотношении отходы : растворитель, равном 1:2-4. Технический результат от использования изобретения заключается в повышении водорододонорного потенциала растворителя за счет более эффективного использования водорода последнего, а также селективности процесса при ожижении сложных по химическому составу отходов, упрощении технологии, обеспечении независимости от химического состава сырья, снижении температуры и давления, увеличении производительности процесса при одновременном повышении взрыво- и пожаробезопасности, экологической чистоты, увеличении выхода фракций с температурой кипения до 200°С, характеризующихся низким содержанием кислород-, азот- и сероорганических, а также непредельных соединений, повышении качества технического углерода, наполнителя в резиносодержащих отходах, пирогаза. В предпочтительном варианте осуществления способа в качестве добавок-нейтрализаторов, снижающих ограничение по химическому составу перерабатываемого сырья, используют оксиды и гидроксиды элементов I-II групп периодической системы. В предпочтительном варианте осуществления способ проводят при массовом соотношении отходы : добавка-нейтрализатор, равном 1:0.1-1:0.5. 7 з.п.ф-лы, 1 табл.
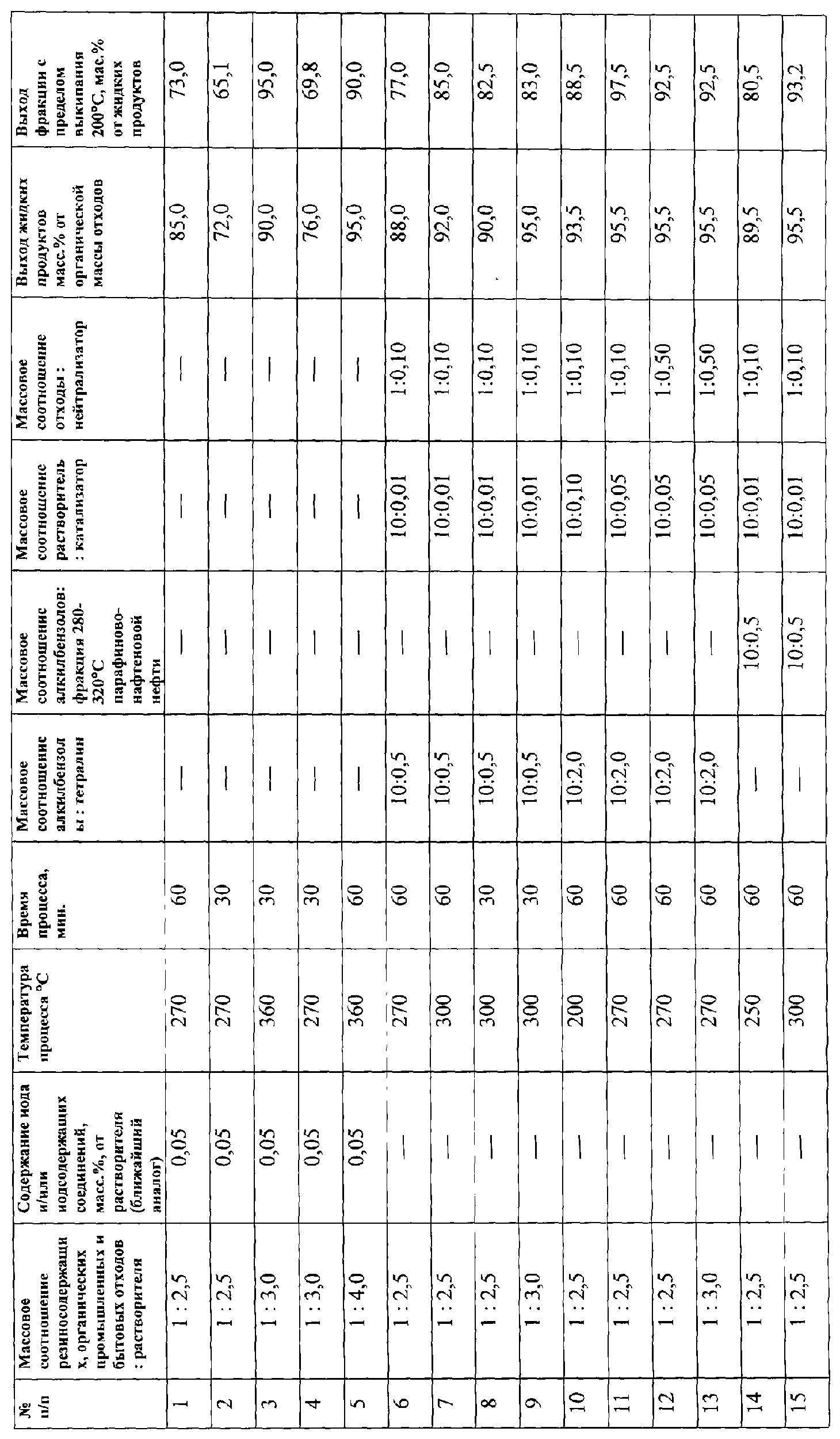
Изобретение относится к химической переработке резиносодержащих, а также промышленных и бытовых органических отходов (полиэтилен, полистирол, полиизобутилен, капрон, лавсан, энант, найлон, поливинилхлорид, различные виды каучука, фенол-формальдегидные наволачные смолы и т. д.) в компоненты моторного топлива и сырье для промышленности основного органического, нефтехимического и биохимического синтеза, производству анодной массы для электротермических и электрохимических предприятий, гидро-, тепло- и звукоизоляционных материалов, асфальтобетона для дорожного строительства. Проблема химической переработки утильных шин (автомобильный, авиационный и т.д. транспорт), различных промышленных и бытовых органических отходов является весьма актуальной, что обусловлено постоянным ростом количества этих отходов и, в то же время, отсутствием эффективных способов их переработки с учетом специфики их химического состава, с получением широкого набора ценных продуктов, сырья для промышленности основного органического и нефтехимического синтеза. С учетом сложного химического состава различных органических отходов и резиносодержащих материалов, наиболее перспективными являются методы их комплексной экологически чистой химической переработки с целью получения котельного топлива, компонентов высокооктановых моторных топлив, сырья для промышленности нефтехимического, органического и биохимического синтеза, производства гидро-, тепло- и звукоизоляционных материалов, асфальтобетона для дорожного строительства, углеграфитовых материалов, анодной массы для электротермических и электрохимических производств. Решение этой проблемы позволит существенно расширить сырьевую базу углеводородного сырья, в котором, в связи со значительным сокращением запасов природной нефти, темпов ее разведки, добычи и последующей глубокой переработки, в последние годы ощущается острый дефицит; решить экологическую проблему комплексной и безвредной утилизации резиносодержащих и широкого ассортимента промышленных и бытовых органических отходов; значительно сократить расход углеводородного сырья, производимого на основе нефти, бурых и каменных углей, горючих сланцев, природных битумов. Известен способ переработки резиносодержащих отходов – утильных автошин, включающий измельчение последних до 4-0.75 мм, смешение с нефтепродуктами, нагревание полученной массы в реакторе при 65-370°С в течение времени, достаточного для растворения материала, каталитический крекинг полученного раствора в реакторе при температуре не ниже 450°С и повышенном давлении, выгрузку продукта из реактора и последующую его дистилляцию с получением газообразных продуктов, бензиновой фракции, легких и тяжелых масел (US №4175211, 1976). Этот способ характеризуется многостадийностью, сложностью технологии, связанной с необходимостью: измельчения утильных шин, что весьма затруднительно, особенно, при наличии металлокорда; использования специфического катализатора и его периодичной регенерации; применения высоких температур и давления, вызывающих образование значительных количеств низкомолекулярных газообразных продуктов, а также высокомолекулярных асфальтеновых углеводородов за счет реакций конденсации. Известен способ получения жидких продуктов из резиносодержащих отходов, включающий их нагревание при температуре выше 200°С в углеводородной жидкости продолжительностью, обеспечивающей превращение резины в тягучий маслоподобный продукт, и контактирование последнего с катализатором алкилирования (Н2SO4, S2Cl2) после добавления к нему алифатического альдегида или кетона. Полученную смолу вводят в резиновые смеси при производстве шин (US №3895059, 1975). Указанный способ также характеризуются многостадийностью, необходимостью использования серной кислоты, полухлористой серы, способных вызвать протекание реакций глубокой конденсации, уплотнения, что осложняет образование низкомолекулярных жидких продуктов. Кроме того, ограничены и специфичны области использования полученного продукта. Известен способ переработки резиносодержащих отходов, включающий перемешивание при температуре 290-380°С раствора резиносодержащих отходов с концентрацией 10-80 мас.% в углеводородной среде и отгон низкокипящих фракций. В качестве углеводородной среды используют продукт деасфальтенизации пропаном нефтяного гудрона, содержащего 2,4-5,9 мас.% асфальтенов и температурой размягчения 34-45°С. Отгон низкокипящих фракций с температурой выкипания 230-310°С проводят постоянно в течение всего процесса перемешивания (SU №1613455, 1990). К недостаткам данного способа относятся, прежде всего, ограничения по содержанию в углеводородной среде асфальтенов. Это условие трудновыполнимо, так как добываемые в последние годы нефти и продукты их переработки характеризуются высоким содержанием асфальтенов, смолистых и сероорганических соединений, следовательно, требуется увеличение числа циклов извлечения перечисленных соединений. Кроме того, этот метод характеризуется недостаточно высоким выходом легких фракций. Суммарное количество легких фракций, выкипающих в температурном интервале до 230°С, составляет 12,4-37,8 мас.%. Известен способ переработки резиносодержащих отходов, заключающийся в их термоожижении при 270-420°С, давлении 1-6 МПа в среде углеводородного растворителя, в составе которого используют отходы производства синтетического каучука, и в присутствии редкоземельного металла (РЗМ), или в присутствии интерметаллидов на основе РЗМ, или в присутствии гидрида титана, взятых в количестве 0,5-10,0 мас.% от реакционной смеси. Способ предусматривает термоожижение при массовом соотношении углеводородного растворителя и отходов 2:1-4:1. Способ характеризуется невысоким коэффициентом использования водорододонорного потенциала компонентов растворителя, что требует многократного использования его в процессе, постоянного отделения от жидких продуктов термоожижения исходного сырья, а также поддержания повышенного давления в реакционном аппарате (RU №2109770, 1998). Существенным недостатком этого способа является также применение в качестве углеводородного растворителя отходов производства синтетического каучука, которые не всегда доступны в необходимом количестве. Кроме того, необходимы достаточно дефицитные РЗМ, интерметаллиды на их основе, гидриды кальция, титана. Известен способ переработки резиносодержащих, а также органических промышленных и бытовых отходов в химическое сырье и компоненты моторного топлива, проводимый аналогично вышеописанному, в котором в качестве водорододонорного растворителя используют один или смесь алкилбензолов (толуола, ксилолов, этилбензолов, диэтил”, триметил- и тетраметилбензолов), являющихся основой “сырого бензола” – продукта высокотемпературного коксования каменных углей. Перечисленные углеводороды являются эффективными донорами водорода, имеются в больших количествах, их применение в данной технологии позволяет решить как техническую, экологическую, так и экономическую задачу (патент РФ №2110535, 1998). Существенным недостатком этого способа является применение РЗМ, интерметаллидов на основе неодима, лантана, церия, алюминия, а также гидридов титана, кальция, относящиеся к достаточно дефицитным материалам, трудность их последующего извлечения из массы технического углерода и высокосмолистых тяжелых углеводородных остатков, высокое давление в реакционном аппарате вследствие низкой степени использования водорода из состава газовой фазы, образующейся в результате термолиза органических отходов, невозможность одновременной переработки различного по химическому составу сырья. Известен способ переработки органических полимерных отходов, включающий термоожижение отходов при температуре выше 270°С при повышенном давлении по меньшей мере в одном растворителе – алкилбензоле, отделение жидкой фракции и ее дистилляцию, при этом при термоожижении отходов используют повышенное давление не менее 6,1 МПа, а после дистилляции жидкую фракцию с температурой кипения не менее 210°С вводят при термоожижении вновь перерабатываемых отходов в качестве дополнительного компонента к растворителю в массовом соотношении дополнительного компонента и растворителя не менее 1:1 (патент РФ №2167168, 2001 г.). Существенным недостатком данного способа является его неэффективность при получении высокооктановой бензиновой фракции. Этот недостаток возникает вследствие удаления из реакционной смеси жидкой фракции с температурой кипения менее 200°С. Наиболее активными инициаторами продолжения цепи радикальных реакций являются низкомолекулярные алкилбензолы с температурой выкипания до 200°С. Вывод из реакционной смеси этой фракции и добавление высококипящей не будет ускорять процесс передачи водорода и в целом ускорять процесс. Высококипящую фракцию добавляют для последующего термокрекинга с получением керосиновой и соляровой фракций, но никак не высокооктановой бензиновой фракции. Наиболее близким по технической сущности к предлагаемому способу является способ, в котором отходы подвергают термокаталитическому сжижению при 220-360°С, давлении 1-3 МПа в углеводородном водорододонорном растворителе в присутствии инициатора-свободного иода и/или иодсодержащих соединений, взятых в количестве 0,01-0,50 мас.% от растворителя с получением целевых продуктов. Используются неорганические и органические йодсодержащие соединения, выбранные из группы, содержащей иодиды калия, титана, кобальта, никеля, этилиодид, третбутилиодид и другие, или их смеси. В качестве растворителя используют алкилбензол, смесь алкилбензолов, алкилбензолсодержащие углеводородные смеси. Предпочтительно способ проводят при массовом соотношении отходы : растворитель 1:2-4. Проведение способа позволяет упростить технологию процесса, повысить выход жидких продуктов лучшего качества, которые можно использовать в качестве компонентов моторного топлива и химического сырья (патент РФ №2156270, С1, 2000). Существенным недостатком этого способа является применение достаточно дефицитных инициаторов, особенно органических иодсодержащих соединений, невысокая степень использования водорододонорного потенциала компонентов растворителя, трудность отделения инициаторов и продуктов их превращений с поверхности технического углерода, а также из жидких продуктов, ограничения по химическому составу перерабатываемого сырья, например полихлорвинила, акрилонитрильного каучука, повышенная коррозионная активность реакционной смеси за счет присутствия иодсодержащих инициаторов, жесткие требования к хранению и работе с органическими иодсодержащими материалами. Задачей изобретения является разработка способа, позволяющего отказаться от дефицитных иодсодержащих инициаторов и обеспечивающего повышение водорододонорного потенциала растворителя, за счет более эффективного использования водорода последнего, а также селективности процесса при сжижении сложных по химическому составу отходов для обеспечения независимости от химического состава сырья, упростить технологию, обеспечить возможность в течение одного цикла обрабатывать смесь разнородного сырья, уменьшить энергоемкость процесса, снизить температуру и давление, увеличить производительность процесса при одновременном повышении взрыво- и пожаробезопасности, экологической чистоты, увеличить выход фракций с температурой кипения до 200°С, характеризующихся низким содержанием кислород-, азот- и сероорганических, а также непредельных соединений, повысить качество технического углерода, наполнителя в резиносодержащих отходах, пирогаза. Поставленная задача решается за счет того, что при осуществлении способа осуществляют термокаталитическое сжижение отходов при повышенных температуре и давлении в углеводородном водорододонорном растворителе с последующим отделением жидких продуктов и их ректификацией с получением целевых продуктов, при этом процесс проводят в присутствии смеси водорододонорных углеводородов, в качестве одного из которых используют алкилбензолы, а в качестве второго – водорододонорный углеводород, имеющий меньшее время индукционного эффекта, при этом процесс проводят в присутствии катализатора, в качестве которого используют фталоцианины или диметилглиоксиматы, выбранные из группы, содержащей медь, никель, кобальт, молибден, титан, марганец, железо и их смеси, а также в присутствии добавок – нейтрализаторов, взятых в количестве 0,10-0,50 мас.% от отходов. Предпочтительно процесс проводят при температуре от 200 до 320°С и давлении 1-3 МПа. В качестве второго водорододонорного углеводорода можно использовать, в частности, тетрагидрохинолин, тетрагидрофенантрен, тетрагидроантрацен, октагидропирен, тетралин, фракции парафиново-нафтеновой нефти с пределом выкипания 230-280°С и др. Однако тетрагидрохинолин, тетрагидрофенантрен, тетрагидроантрацен, октагидропирен в промышленном масштабе не производятся. Кроме того, часть из упомянутых соединений, такие как тетрагидрохинолин, тетрагидрофенантрен, тетрагидроантрацен, октагидропирен после отдачи водорода превращаются в полициклические ароматические углеводороды, которые, особенно производные пирена, проявляют канцерогенные свойства. Поэтому в предпочтительном варианте исполнения в качестве углеводородного растворителя, имеющего меньшее время индукционного эффекта, чем алкилбензолсодержащие углеводороды, используют тетралин. Тетралин промышленно производится путем каталитического гидрирования нафталина. В другом предпочтительном варианте исполнения используют фракции парафиново-нафтеновой нефти с пределом выкипания 230-280°С. Предпочтительно осуществление способа проводят в смеси алкилбензолов и тетралина, взятых в массовом соотношении 10:0,5-10: 2,0. Предпочтительно осуществление способа процесс проводят в смеси алкилбензолов и фракции с пределом выкипания 230-280°С парафиново-нафтеновой нефти, взятых в массовом соотношении, равном 10:0,5-10:2,0. Предпочтительно при использовании в качестве катализатора фталоцианинов, выбранных из группы, содержащей медь, никель, кобальт, молибден, титан, марганец, железо и их смеси использовать массовое соотношение растворитель : катализатор, равном 1:0,01-1:0,05. Предпочтительно при использовании в качестве катализатора диметилглиоксиматов, выбранных из группы, содержащей медь, никель, кобальт, молибден, титан, марганец, железо или их смеси, использовать массовое соотношение растворитель : катализатор, равное 1:0,01-1:0,05. Предпочтительно процесс проводить при массовом соотношении отходы : растворитель, равном 1:2-4. В предпочтительном варианте осуществления способа в качестве добавок-нейтрализаторов, снижающих ограничение по химическому составу перерабатываемого сырья, используют оксиды и гидроксиды элементов I-II групп периодической системы. В предпочтительном варианте осуществления способ проводят при массовом соотношении отходы : добавка-нейтрализатор, равном 1:0.1-1:0.5. В качестве источника алкилбензолов целесообразно использовать “сырой бензол” или отдельные его компоненты (толуол, ксилолы, сольвент фракция), получаемые при высокотемпературном коксовании каменных углей и являющиеся отходом производства металлургического кокса. Количества “сырого бензола” достаточно большие, но рационального применения он пока не находит. В качестве дополнительных доноров водорода, значительно уменьшающих индукционный период реакций термолиза органического материала отходов, целесообразно применение тетралина или фракций с пределом выкипания 230-280°С парафиново-нафтеновой нефти. Тетралин – продукт каталитического гидрирования коксохимического нафталина, его количества значительны, но рационального применения пока не находит. Технический результат от использования изобретения заключается в повышении водорододонорного потенциала растворителя за счет более эффективного использования водорода последнего, а также селективности процесса при ожижении сложных по химическому составу отходов, упрощении технологии, обеспечении независимости от химического состава сырья, снижении температуры и давления, увеличении производительности процесса при одновременном повышении взрыво- и пожаробезопасности, экологической чистоты, увеличении выхода фракций с температурой кипения до 200°С, характеризующихся низким содержанием кислород-, азот- и сероорганических, а также непредельных соединений, повышении качество технического углерода, наполнителя в резиносодержащих отходах, пирогаза. Применение смеси алкилбензолов, тетралина или фракции с пределом выкипания 230-280°С парафиново-нафтеновой нефти, обогащенной изоалканами, циклоалканами и гидроароматическими углеводородами, являющимися эффективными донорами водорода, позволят существенно уменьшить индукционный период процесса термолиза органического материала, отходов за счет более высокой водорододонорной активности тетралина и фракции с пределом выкипания 230-280°С парафиново-нафтеновой нефти; повысить коэффициент использования атомарного водорода или жидкой фазы для рекомбинации низкомолекулярных радикальных продуктов термолиза органического материала отходов, увеличить производительность реакционного аппарата, улучшить экономические показатели процесса в целом. В тетралине и фракции с пределом выкипания 230-280°С парафиново-нафтеновой нефти, выступающих в роли инициаторов реакции, энергия разрыва связи С-Н с образованием атомарного водорода имеет меньшее значение, чем энергия разрыва аналогичных связей в алкилбензолах. За счет этого возможно снижение температуры начала реакции и снижение давления, а также времени протекания реакции. Использование в качестве катализатора фталоцианинов или диметилглиоксиматов позволяет отказаться от достаточно дефицитных свободного иода или иодсодержащих соединений, большинство из которых термически не устойчивые, и работа с отдельными из них требует особых условий, например, этилиодид, третбутилиодид, иодиды титана, никеля; понизить температуру процесса, повысить выход фракции, выкипающей до 200°С, уменьшить в ней содержание непредельных, серо-, азот- и кислородсодержащих компонентов, понизить давление в реакционном аппарате за счет более эффективной передачи молекулярного водорода из газовой фракции, а также атомарного водорода от компонентов водорододонорного растворителя с радикальным продуктом термолиза органического материала отходов; существенно упростить технологию вследствие отказа от термодинамически неустойчивых органических соединений иода, понизить себестоимость получаемой продукции, улучшить экономические показатели процесса в целом. Применение тетралина в качестве инициатора, а фталоцианинов или диметилглиоксиматов в качестве катализаторов реакции термолиза органического материала отходов, повышения эффективности переноса водорода от водорододонорных компонентов растворителя и молекулярного водорода из газовой фазы делает процесс термокаталитического сжижения резиносодержащих, а также широкого спектра промышленных и бытовых органических отходов более селективным, работающим при низком давлении и более низкой температуре; отсутствует необходимость в отделении иода и его соединений из продуктов сжижения, так как их количества крайне незначительны, они весьма летучи и будут легко переходить в газообразные продукты. В то же время, марганец, железо, никель, ванадий, кобальт, молибден фталоцианинов или диметилглиоксиматов легко удаляется магнитной сепарацией. В качестве добавок-нейтрализаторов целесообразно использовать оксиды и гидроксиды элементов I, II групп Периодической системы. Применение добавок-нейтрализаторв сделает процесс сжижения резиносодержащих, а также широкого спектра промышленных и бытовых отходов более универсальным, не зависящим от химического состава последних, позволяя одновременную переработку в химическое сырье и компоненты моторного топлива смеси отходов различных по составу, особенно отходов полихлорвинила, полиакрилонитрила, капрона, энанта; позволит значительно снизить коррозионную агрессивность производимой продукции, понизить давление в реакционном аппарате за счет связывания выделяющихся при термолизе органического материала отходов хлороводорода, циановодорода, сероводорода, сероуглерода и других в твердые продукты, легко отделяющиеся от технического углерода, одного из основных продуктов процесса; решить серьезные экологические проблемы, обусловленные необходимостью утилизации резиносодержащих, а также различных промышленных и бытовых органических отходов, понизить себестоимость производимой продукции, улучшить экономические показатели процесса в целом. Способ осуществляется следующим образом: Во вращающийся автоклав (2 л) загружают резиносодержащие, другие промышленные и бытовые органические отходы (утильные шины, камеры, транспортерные ленты, прорезиненные вентиляционные шахтные рукава, полиэтилен, полистирол, полипропилен, полиизобутилен, синтетический каучук, полихлорвинил, капрон, найлон, энант, лавсан и другие). Затем добавляют водорододонорный углеводородный растворитель в массовом соотношении алкилбензолы : тетралин / или фракция с температурой выкипания 230-280°С парафиново-нафтеновой нефти, равном 10:0.5-10:2.0; катализатор фталоцианины / или диметилглиоксиматы в количестве 0.01-0.05 (мас.% от растворителя), добавку-нейтрализатор в массовом соотношении отходы : добавка-нейтрализатор, равном 1:0.1-0.5. Процесс термокаталитического ожижения отходов осуществляют при температуре 200-320°С и давлении 1-3 МПа; массовом соотношении отходы : растворитель 1:2-4. Фталоцианины или диметилглиоксиматы, содержащие металлы с переменной степенью окисления, легко отщепляют атомарный водород от компонентов водорододонорного углеводородного растворителя, особенно тетралина, а также циклогексанов и гидроароматических углеводородов фракции нефти, и переносит его к радикальным продуктам, образующимся при термолизе органического материала отходов. Перенос водорода также интенсифицируется нафталиновыми структурами, образующимися при дегидрировании тетралина. Этим объясняется высокая скорость процесса ожижения отходов, низкие значения температуры и давления, высокая степень использования водорода компонентов растворителя и газовой фазы, глубокий термолиз соединений отходов, низкое содержание кислород-, азот- и серосодержащих, а также непредельных соединений в образующихся жидких продуктах, высокий выход последних; повышение селективности реакций изомеризации, циклизации, гидрирования и дегидрирования, гидродеалкилирования, гидрирования полиамидных, дисульфидных, полиэфирных связей, гетероциклов с последующим их разрушением, ответственных за образование значительных количеств циклоалканов, изоалканов, гидроароматических и ароматических углеводородов, характеризующихся высокими октановыми числами; уменьшение содержания в жидких продуктах кислород-, азот- и сероорганических, а также непредельных соединений. Добавки-нейтрализаторы, в качестве которых используют гидроксиды щелочных или щелочно-земельных металлов, связывают хлороводород, сероводород, циановодород, сероуглерод и другие продукты термолиза отходов в виде твердых соединений, что позволяет значительно понизить давление, коррозионную активность реакционной массы, увеличить срок службы технологического оборудования, получать газообразные продукты, практически свободные от вышеперечисленных соединений, решить экологические проблемы, связанные с необходимостью очистки газообразных продуктов, понизить себестоимость производимой продукции, улучшить экономические показатели процесса в целом. Жидкие продукты отделяют от твердых веществ (металлокорд, технический углерод и другое), после чего подвергают ректификации с получением целевых продуктов – фракций с пределом выкипания до 200°С, 200-280°С и выше 280°С. Примеры осуществления предлагаемого способа приведены в таблице. Примеры с №1 по №5 включительно относятся к ближайшему аналогу изобретения и приведены для подтверждения преимуществ заявленного способа. Описание примера, иллюстрирующего заявленное изобретение (№9 в таблице). Во вращающийся автоклав (2 л) загружают 150 г отходов (утильная резина, автошина, полиэтилен, полистирол, полиизобутилен, синтетический каучук, полихлорвинил и другие), 450 г водорододонорного растворителя, содержащего 400 г толуола и 20 г тетралина / или фракции с пределом выкипания 230-280°С парафиново-нафтеновой нефти, 4,5 г фталоцианинов / или диметилглиоксиматов никеля, кобальта, марганца, железа (например, диметилглиоксимат кобальта); 15 г добавки нейтрализатора оксида / или гидроксида элементов I, II группы Периодической системы, например СаОН или КОН. Процесс проводят при температуре 300°С, давлении 2.5 МПа в течение 30 минут. Выход жидких продуктов составляет 95 мас.% от органического материала отходов, содержание фракции, выкипающей в температурном интервале до 200°С составляет 83,2 мас.% от жидких продуктов, до 320°С – 95,5 мас.%. Полученные фракции можно использовать в качестве высокооктановых компонентов моторного топлива и химического сырья для производств основного органического, биохимического и нефтехимического синтеза. Технический углерод может быть рекомендован в качестве наполнителя в резинотехнические изделия, производства анодной массы для электротермических и электрохимических производств. Из таблицы следует, что использование смеси углеводородов доноров водорода (алкилбензолов, тетралина или фракции с температурой выкипания 230-280°С парафиново-нафтеновой нефти), катализаторов – фталоцианинов / или диметилглиоксиматов, добавок-нейтрализаторов позволяет повысить выход жидких продуктов и содержание в их составе фракции с пределом выкипания до 200°С, обогащенной изоалканами, циклоалканами, гидроароматическими и ароматическими углеводородами, понизить температуру, давление, уменьшить время процесса.
Формула изобретения
1. Способ переработки резиносодержащих, а также промышленных и бытовых органических отходов в химическое сырье и компоненты моторного топлива, включающий термокаталитическое ожижение отходов при повышенной температуре и давлении 1-3 МПа в углеводородном водорододонорном растворителе с последующим отделением жидких продуктов и их ректификацией с получением целевых продуктов, отличающийся тем, что процесс проводят в присутствии смеси водорододонорных углеводородов, в качестве одного из которых используют алкилбензолы, а в качестве второго – водорододонорный углеводород, имеющий меньшее время индукционного эффекта, при этом процесс проводят при температуре 200-320°С в присутствии катализатора, в качестве которого используют фталоцианины или диметилглиоксиматы, выбранные из группы, содержащей медь, никель, кобальт, молибден, титан, марганец, железо и их смеси, а также в присутствии добавок-нейтрализаторов, взятых в количестве 0,10-0,50 мас.% от отходов. 2. Способ по п.1, отличающийся тем, что процесс проводят в смеси алкилбензолов и тетралина, взятых в массовом соотношении 10:0,5-10:2,0. 3. Способ по п.1, отличающийся тем, что процесс проводят в смеси алкилбензолов и фракции с пределом выкипания 230-280°С парафиново-нафтеновой нефти, взятых в массовом соотношении 10:0,5-10:2,0. 4. Способ по п.1, отличающийся тем, что при использовании в качестве катализатора фталоцианинов, выбранных из группы, содержащей медь, никель, кобальт, молибден, титан, марганец, железо и их смеси, используют массовое соотношение растворитель: катализатор 1:0,01-1:0,05. 5. Способ по п.1, отличающийся тем, что при использовании в качестве катализатора диметилглиоксиматов, выбранных из группы, содержащей медь, никель, кобальт, молибден, титан, марганец, железо или их смеси, используют массовое соотношение растворитель: катализатор 1:0,01-1:0,05. 6. Способ по любому из пп.1-5, отличающийся тем, что процесс проводят при массовом соотношении отходы: растворитель 1:2-4. 7. Способ по любому из пп.1-5, отличающийся тем, что в качестве добавок-нейтрализаторов, снижающих ограничение по химическому составу перерабатываемого сырья, используют оксиды и гидроксиды элементов I-II групп Периодической системы. 8. Способ по любому из пп.1-5, отличающийся тем, что процесс проводят при массовом соотношении отходы: растворитель 1:2-4 и отходы : добавка-нейтрализатор 1:0,1-1:0,5.
MM4A – Досрочное прекращение действия патента СССР или патента Российской Федерации на изобретение из-за неуплаты в установленный срок пошлины за поддержание патента в силе
Дата прекращения действия патента: 10.03.2008
Извещение опубликовано: 27.02.2010 БИ: 06/2010
|
||||||||||||||||||||||||||

