|
(21), (22) Заявка: 2004123695/11, 02.08.2004
(24) Дата начала отсчета срока действия патента:
02.08.2004
(45) Опубликовано: 27.03.2006
(56) Список документов, цитированных в отчете о поиске:
SU 424982 A, 04.10.1974. SU 554191 A, 11.05.1977. GB 2055170 A, 25.02.1981.
Адрес для переписки:
393760, Тамбовская обл., г. Мичуринск, ул. Интернациональная, 101, Мичуринский государственный аграрный университет
|
(72) Автор(ы):
Гордеев Александр Сергеевич (RU), Акимов Андрей Александрович (RU)
(73) Патентообладатель(и):
Мичуринский государственный аграрный университет (RU)
|
(54) УСТРОЙСТВО ВИБРАЦИОННОГО ПЕРЕМЕЩЕНИЯ С УПРАВЛЯЕМЫМ НАПРАВЛЕНИЕМ ДВИЖЕНИЯ ПРОДУКТА
(57) Реферат:
Изобретение относится к транспортировке плодов и овощей и может быть использовано в сельском хозяйстве для их перемещения в процессе обработки. Устройство вибрационного перемещения с управляемым направлением движения продукта состоит из вибрационного стола, упругих элементов и рамы. С целью управления направлением движения плода с минимальными повреждениями в процессе транспортировки используется три вибратора с независимыми частотами и амплитудами колебаний, расположенные под углом 120° друг к другу, и блок управления, соединенный с вибраторами, который задает частоту колебаний каждого вибратора отдельно. Технический результат заключается в том, чтобы без повреждений направлять плоды и овощи в произвольную сторону. 3 ил. 
Изобретение относится к транспортировке плодов и овощей и может быть использовано в сельском хозяйстве для их перемещения в процессе обработки.
Известно устройство на основе ленточного транспортера для перемещения яблок. Перемещение плодов осуществляется за счет движения рабочего органа – ленты транспортера [1].
Недостатком данного способа является значительная травмируемость яблок из-за большого количества ударов во время падений и перевалок, а также возможность движения плода только в одном направлении.
Наиболее близким по технической сущности является устройство на основе вибрационного транспортера для перемещения сыпучих и мелкоштучных продуктов. Перемещение продукта в подобных устройствах осуществляется микробросками с отрывом частиц груза от поверхности желоба [1, 2].
Известное устройство, выбранное в качестве прототипа, является инерционным качающимся транспортером, по которому перемещаются мелкоштучные объекты транспортировки, содержит вибрационный стол, вибратор, упругие элементы и раму [1].
Недостатком данного устройства является невозможность перемещения продукта в заданном направлении, например, при отбраковке из потока некондиционной продукции.
В сортировочных устройствах имеется необходимость перемещать плоды в разных направлениях без силового воздействия на них.
Целью настоящего изобретения является устройство вибрационного перемещения плодов и овощей, позволяющее без повреждений направлять их в произвольную сторону.
Решение задачи достигается установкой на известную конструкцию инерционного качающегося транспортера вместо одного вибратора трех, с независимыми частотами и амплитудами колебаний, расположенными под углом 120° друг к другу, а блок управления, соединенный с вибраторами, задает частоту колебаний каждого вибратора отдельно.
На фиг.1 представлена схема устройства, на фиг.2 – схема движения плода по вибрационному столу, на фиг.3 – схема блока управления частотой и амплитудой колебаний вибраторов.
Устройство включает вибрационный стол 1, на котором установлены три вибратора 3, смещенные относительно друг друга на угол 120° по горизонтали. Вибрационный стол установлен на раме 4 на трех упругих элементах (пружинах 2). Частота колебания изменяется индивидуально для каждого вибратора с помощью блока управления, расположенного вне устройства.
Устройство работает следующим образом.
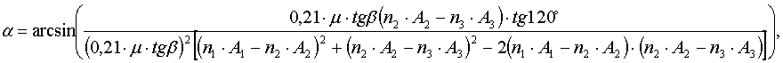
Вибрационный стол 1 совершает колебательные движения с частотой, определенной блоком управления. При значениях частоты колебаний вибраторов, отличных от нуля, плод 5 движется вперед под некоторым углом к продольной оси Х-Х вибрационного стола. Величина угла , а следовательно, и направление движения плода зависят главным образом от амплитуд и частот колебаний вибраторов.

где n1, 2, 3 – частоты колебаний вибраторов, Гц;
A1, 2, 3 – амплитуды колебаний вибраторов, м;
– коэффициент трения плода;
– угол, определяющий направление колебаний (фиг.1).
Изменение частот колебаний вибраторов осуществляется резисторами R1, R2, R3 блока управления (фиг.3).
Новизна решения усматривается в вибрационном перемещении плодов и овощей в направлении, которым можно управлять.
Источники информации
1. Зенков Р.Л. Конвейеры. – Справочник/ Р.Л.Зенков, А.Н.Гнутов, В.К.Дьячков, Ю.А.Пертен, Р.А.Волков. – Л.: Машиностроение, 1984. – 367 с.
2. Непрерывный транспорт. – Сборник статей. – М., 1970. – 111 с.
Формула изобретения
Устройство вибрационного перемещения с управляемым направлением движения продукта, состоящее из вибрационного стола, упругих элементов, рамы, отличающееся тем, что, с целью управления направлением движения плода с минимальными повреждениями, в процессе транспортировки используется три вибратора с независимыми частотами и амплитудами колебаний, расположенные под углом 120° друг к другу, и блок управления, соединенный с вибраторами, который задает частоту колебаний каждого вибратора отдельно.
РИСУНКИ
MM4A – Досрочное прекращение действия патента СССР или патента Российской Федерации на изобретение из-за неуплаты в установленный срок пошлины за поддержание патента в силе
Дата прекращения действия патента: 03.08.2006
Извещение опубликовано: 20.05.2008 БИ: 14/2008
|