|
(21), (22) Заявка: 2004108889/12, 25.03.2004
(24) Дата начала отсчета срока действия патента:
25.03.2004
(43) Дата публикации заявки: 10.10.2005
(45) Опубликовано: 27.03.2006
(56) Список документов, цитированных в отчете о поиске:
АТКИН А.С. и др. Структура и динамика органической массы в лесных сообществах. – Екатеринбург: изд. УГЛТА, 1999, с.13-17. RU 2073420 C1, 20.02.1997. АЛЕКСЕЕВ И.А. Болезни газонных трав. – Йошкар-Ола: изд. МарГТУ, 2000, с.101.
Адрес для переписки:
424024, г.Йошкар-Ола, пл. Ленина, 3, МарГТУ, отдел интеллектуальной собственности
|
(72) Автор(ы):
Алексеев Иван Алексеевич (RU), Курненкова Ирина Павловна (RU), Чешуин Александр Николаевич (RU), Бердинских Сергей Юрьевич (RU), Степанова Татьяна Владимировна (RU), Вахрушев Константин Владимирович (RU), Коток Оксана Николаевна (RU)
(73) Патентообладатель(и):
Марийский государственный технический университет (RU)
|
(54) СПОСОБ ОПРЕДЕЛЕНИЯ НАДЗЕМНОЙ ФИТОМАССЫ ЛЕСНЫХ НАСАЖДЕНИЙ
(57) Реферат:
Изобретение относится к лесному хозяйству, а именно к определению эффективной сухой фитомассы лесных насаждений. В способе дополнительно определяют запас наличного отпада и нормативную условную фаутность каждого запаса с учетом возраста. Запасы определяют без учета коры, осуществляют поправку запасов на соответствующую им нормативную условную фаутность и средний прирост, а коэффициент емкости фитомассы определяют с поправкой на базисную плотность древостоя. Это позволит повысить точность определения надземной фитомассы лесных насаждений.
Изобретение относится к лесному хозяйству, а именно к определению эффективной сухой фитомассы лесных насаждений.
Под эффективной фитомассой понимается наиболее ценная часть надземной фитомассы древостоя, находящая хозяйственное применение. Она определяется при исключении из общей фитомассы надземной части запаса, приходящегося на фауты (гнили, дупло и др.) и не находящие сбыт кору и запас кроны.
Известен способ определения запасов надземной фитомассы сосновых насаждений [1].
Известен также экспресс-метод надземной фитомассы древостоя [2], по которому абсолютно сухой запас надземной фитомассы определяется по формуле
Рн.ф.=Кф·М,
где Рн.ф – надземная фитомасса, т/га;
Кф – коэффициент емкости фитомассы, который определяется количеством надземной фитомассы, приходящимся на растущий запас древостоя на единице площади, для всех спелых древостоев сосны предлагается принимать равным 0,5126, а для других возрастных групп предлагается внести поправочные коэффициенты;
М – растущий запас древостоя, берется из данных таксации лесосек, принятых способами лесоустройства или непосредственно из таксационных описаний.
Недостатком известного способа является то, что с целью определения фитомассы надземной части берется запас древостоя в сырорастущем состоянии. При этом, находя между этими показателями высокую коррелятивную связь (г=0,974±0,018), не учитывают, что:
а) даже в одном возрасте каждый древостой отличается по плотности абсолютно сухой древесины и базисной плотности;
б) в каждом древостое доля гнили дупла и других пороков, снижающих надземную фитомассу разные;
в) биомасса зависит от полноты древостоя, по мере ее уменьшения биомасса ствола уменьшается, а биомасса кроны увеличивается;
г) древостой сосны в Европейской части России редко представлен в чистом виде и при этом другие породы показывают другие фитомассы;
д) по прототипу не учитываются такие важные параметры детрита в лежащем состоянии (свежий валеж должен быть включен в надземную фитомассу, старый – нет). Этот параметр лесоустройством не фиксируется;
е) в прототипе не учитываются наличный отпад, который составляет значительную часть фитомассы, но не входит в растущий запас древостоя;
ж) обоснование коэффициента 0,5126 некорректно, так как содержит четыре значащие цифры, когда как запасы растущего леса определяется на десятилетие с погрешностью 10%, при котором значительными являются лишь две цифры;
з) в древостоях даже нормального состояния ежегодно с приростом запаса происходит отпад деревьев;
и) коэффициент Кф авторами найден и обоснован по одному модельному дереву с каждой ступени толщины без характеристик его категории состояния, присутствующих фаутов;
к) из найденной фитомассы не выделена эффективная часть – масса чистой древесины ствола, имеющая хозяйственное значение, она определялась в коре и без исключения массы присутствующих фаутов;
л) умножать плотность абсолютно сухой древесины при влажности выше предела насыщения клеточных стенок древесины древостоя некорректно.
Изобретение позволяет устранить все эти недостатки.
Это достигается тем, что в способе определения надземной фитомассы лесных насаждений, включающем определение запаса растущего древостоя и коэффициента емкости фитомассы с последующей оценкой надземной фитомассы по запасу растущего древостоя с поправкой на указанный коэффициент дополнительно определяют запас наличного отпада и нормативную условную фаутность каждого запаса с учетом возраста, при этом запасы определяют без учета коры, осуществляют поправку запасов на соответствующую им нормативную условную фаутность и средний прирост, а коэффициент емкости фитомассы определяют с поправкой на базисную плотность.
Для нормально развивающегося естественного происхождения чистых насаждений сосны фитомассу надземной части древостоев определяют по формуле

где Рн.ф. – надземная фитомасса, скорректированная на нормативную фаутность, т/га;
Дк – доля коры, %;
Кф – коэффициент емкости фитомассы, скорректированный на базисную плотность с учетом принятой погрешности определения запаса, то есть Кф.б.п.=0,443.
– запас растущего древостоя, скорректированный по среднему приросту с учетом потерь, снижающих объем чистой древесины), м3/га;
– нормативная условная фаутность для растущей части принимается в 20 лет – 6,5%; 40 дет – 6,0%; 60 лет – 5,5%; 80 лет – 5,0%; 100 лет – 5,0%; 120 лет – 6,0% [7].
– запас древостоя с учетом наличного отпада, м3/га.
При отсутствии данных по наличному отпаду определяется делением запаса на нормативный коэффициент отпада по запасу сосны, который равен для I класса бонитета: 6-10 лет – 69,4; 20 лет – 52, 3; 30 лет – 51,8; 40 лет – 57,8; 50 лет – 71,4; 60 лет – 87,0; 70 лет – 101; 80 лет – 116; 90 лет – 132; 100 лет – 140; 110 лет – 169; 120 лет – 196 (вычислены по общесоюзному нормативу для таксации) [5, 6].
– нормативная условная фаутность стволов детритной части (наличного отпада), м3/га.
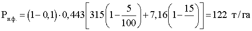
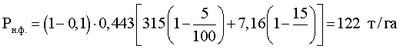
Пример 1. Вычисление эффективной надземной фитомассы для нормально развивающегося чистого соснового насаждения 1 класса бонитета. Лесоустройством определен запас растущей части древостоя 100 лет – 300 м3/га, требуется определить надземную фитомассу через 5 лет после проведения лесоустройства.
Прирост запаса древостоя за 5 лет по формуле (М/А)n составляет (300/100)*5=315 м3/га. Запас годичного отпада за 5 лет составляет

Отсюда нормативный запас наличного отпада составляет 7,16 м3/га. Нормативная фаутность наличного отпада принимается в три раза больше фаутности растущей части насаждения 15,0%.
.
В коре составляет 135 т/га.
Доля надземной фитомассы составляет по принятому уравнению Аткина [1] деревьев:

При наличии в составе древостоя других пород также корректируется коэффициентом фитомассы, вычисленным умножением коэффициента фитомассы сосны (0,443) на частное базисной плотности породы на базисную плотность сосны 0,415 т/м3.
Пример 2. Определение фитомассы стволов для смешанного древостоя. В природе смешанные древостои встречаются больше. Древостой ухоженный. 1 класса бонитета. Состав 5С5Б, то есть каждой породы по 50%. Запас стволов на 1 га на корню по лесоустройству данного года растущий 300 м3 на 1 га, в т.ч. сосны 150 м3 и березы 150 м3. Нормативные показатели стволов наличного отпада в чистом сосняке 10 м3/га и березняке – 12 м3/га.
Нормативная условная фаутность стволов растущих деревьев сосны – 50 дм3 (5%) на 1 м3 запаса, березы – 70 дм3 (7%). Нормативная условная фаутность стволов наличного отпада (детрита на корню): сосны и березы в три раза больше, т.е. соответственно: 150 (15%) и 210 дм3 (21%) на 1 м3 запаса наличного отпада этих пород.
Базисная плотность по РТМ «Древесина»: сосны 0,415 т/м, березы – 0,500 т/м3. Средняя базисная плотность стволового запаса смешанного древостоя будет (0,5×0,415+0,5×0,500)=0,4575 т/м3. Доля коры в стволе сосны составляет 7,5% и березы 7% запаса, в среднем – 7,25%. Средняя нормативная условная фаутность стволов растущих деревьев определяется (0,5×50+0,5×70)=60 дм3 на 1 м3 (6%) запаса.
Общий запас стволов наличного отпада в смешанном древостое будет равным (0,5×10+0,5×12)=11 м3/га. Нормативная условная фаутность стволов наличного отпада определяется (0,5×10×50×3+0,5×12×70×3):11=182,7 дм3 (18,27%) на 1 м3 запаса стволов наличного отпада. Средняя базисная плотность древесины стволов наличного отпада составляет (0,5×10×0,415+0,5×12×0,500):11=0,461 т/м3. Отсюда, надземная фитомасса стволов растущей части древостоя при включении в запас коры составит в год лесоустройства 300×0,4575×(1-6/100)=129,015 или при округлении 129 т/га. А фитомасса стволов наличного отпада 11×0,4575×(1-18,27:100)=4,113 или при округлении 4 т/га. Всего 133 т/га. Если исключить долю фитомассы, приходящейся на кору в стволах, то для чистой древесины на 1 га фитомасса составит 133×(1-7,25:100)=123,35 или при округлении 123 т/га.
Для определения фитомассы деревьев и кроны для среднеполнотных, ухоженных, здоровых и чистых насаждений сосны мы предлагаем использовать формулы, приведенные в табл.6 книги А.С. и Л.И.Аткиных (1999):
ствола: Pст.=-6,526+0,912Рдер. или, отсюда, Рдер=(Рст.+6,526):0,912;
кроны: Ркр.=6,702+0,087Рдер.,
где Рств. – фитомасса ствола, т/га;
Рдср. – фитомасса дерева, т/га;
Ркр. – фитомасса кроны, т/га.
В приведенном примере для сосновой части смешанного (5С5Б) древостоя фитомасса деревьев (Рдср.) сосны составит [150×0,415×(1-5:100)+6,526]:0,912=72 т/га, а кроны: (Ркр.) 6,702+0,087×72=12,97, или 13 т. Для березы фитомасса дерева составит 150×0,500×(1-7: 100)+5,1=74,85 или 75 т/га, а кроны 73,85×0,067=5,0 т. Итого суммарная фитомасса деревьев составит 147т/га, в том числе кроны 18 т/га.
Определенная таким образом фитомасса для запаса смешанных сосняков (тем более чистых сосняков) 300 м3/га будет ниже данных прототипа (см. монографию Аткиных, 1999, табл.1) по стволовой фитомассе даже при включении наличного отпада на 22 т/га или на 17%. В обычных (модальных) насаждениях фактическое значение фитомассы из-за большого количества отпада и большей фаутности эта разница в определении фитомассы по материалам лесоустройства доходит до 40-50% в сторону завышения, что указывает на пользу применения предлагаемого метода.
Такой способ определения фитомассы ствола общей и эффективной, дерева и кроны с учетом корректировки на базисную плотность и условную фаутность, можно применять как при оценке качества лесов, так и при сертификации лесного хозяйства.
Литература
1. Патент 2073420 от 21.05.92, /Бюлл. №5, 1997. Авт. Аткин А.С. и Аткина Л.И.
2. Аткин А.С., Аткина Л.И. Структура и динамика органической массы в лесных сообществах: Учебное пособие. – Екатеринбург, УГЛТА, 1999, см. стр.14.
3. Алексеев И.А. Защита растений: Болезни газонных трав: Учебно-справочное пособие. – Йошкар-Ола, МарГТУ, 2000, см. стр.101.
4. Алексеев И.А., Муравьева Н.Б. Новый способ оценки качества выращиваемого леса по условной фаутности: Информац. лист. /Марийский ЦНТИ, №90-85. – 4 с.
5. Алексеев И.А. Способ определения нормального годичного отпада в модальных насаждениях: Информац. лист. /Марийский ЦНТИ, №268-82. – 6 с.
6. Общесоюзные нормативы для таксации лесов: Справочник. / В.В.Загреев, Н.Н.Гусев, А.Г.Мошкалев и др. – М.: Лесн. пром-сть, 1991. – 500 с.
7. Полубояринов О.И., Алексеев И.А. Лесное товароведение с основами древесиноведения: Учебное пособие, 2004, см. стр.75.
Формула изобретения
Способ определения надземной фитомассы лесных насаждений, включающий определение запаса растущего древостоя и коэффициента емкости фитомассы с последующей оценкой надземной фитомассы по запасу растущего древостоя с поправкой на указанный коэффициент, отличающийся тем, что дополнительно определяют запас наличного отпада и нормативную условную фаутность каждого запаса с учетом возраста, при этом запасы определяют без учета коры, осуществляют поправку запасов на соответствующую им нормативную условную фаутность и средний прирост, а коэффициент емкости фитомассы определяют с поправкой на базисную плотность древостоя.
MM4A – Досрочное прекращение действия патента СССР или патента Российской Федерации на изобретение из-за неуплаты в установленный срок пошлины за поддержание патента в силе
Дата прекращения действия патента: 26.03.2006
Извещение опубликовано: 20.11.2007 БИ: 32/2007
|