|
|
(21), (22) Заявка: 2004121254/28, 12.07.2004
(24) Дата начала отсчета срока действия патента:
12.07.2004
(45) Опубликовано: 20.03.2006
(56) Список документов, цитированных в отчете о поиске:
RU 2098807 C1, 10.12.1997. SU 1182379 A1, 30.09.1985. JP 8-062313 A, 08.03.1996. SU 941914 A1, 07.07.1982. SU 918910 A1, 07.04.1982. US 2003078493 A, 24.04.2003. US 5207105 A, 04.05.1993. JP 62-250860 A, 31.10.1987. JP 62-065402 A, 24.03.1987. JP 59-215703 A, 05.12.1984. JP 56-107789 A, 26.08.1981. JP 56-054017 A, 13.05.1981.
Адрес для переписки:
197082, Санкт-Петербург, ул. Красного Курсанта, 16, ВКА им.А.Ф.Можайского
|
(72) Автор(ы):
Калинин Владимир Николаевич (RU), Ковнацкий Валерий Константинович (RU)
(73) Патентообладатель(и):
ГОУ ВПО Военно-космическая академия им. А.Ф. Можайского (RU)
|
(54) УСТАНОВКА ДЛЯ ИССЛЕДОВАНИЯ ЖИДКОГО МАГНЕТИКА
(57) Реферат:
Изобретение относится к учебным приборам и может быть использовано в лабораторном практикуме по курсу физики. Установка содержит последовательно соединенные: две плоские катушки индуктивности, источник постоянного тока, амперметр и реостат. На подставке закреплены две оси вращения катушек индуктивности, на которых первыми концами подвешены шарнирно два жестких подвеса, ко вторым концам которых жестко присоединены катушки индуктивности, которые размещены в сосуде с жидким магнетиком, установленным на подставке, снабженной шкалой с делениями в градусах. Установка позволяет снять зависимость силы Ампера, возникающей при взаимодействии катушек с током в жидком магнетике от величины этого тока, и определить величину магнитной проницаемости жидкого магнетика, благодаря чему обеспечивается расширение области исследования. 4 ил. 
Изобретение относится к учебным приборам и может быть использовано в лабораторном практикуме в высших и средних специальных учебных заведениях по курсу физики для изучения и углубления знаний физических законов и явлений.
Известен прибор Кольбе для демонстрации взаимодействия двух катушек с током, подвешенных на гибком шнуре на штативе. (Д.Д.Галанин и др. Физический эксперимент в школе, том 4. Учпедгиз, 1954, стр.125, рис.238). Он позволяет демонстрировать только взаимодействие двух катушек с током, без измерения силы Ампера и учета влияния магнитной проницаемости среды на силу взаимодействия.
Известен также учебный прибор для исследования электромагнитного поля (RU патент №2210815, 20.08.2003, Бюл. №23. Автор: Ковнацкий В.К.), содержащий два тороида с железным сердечником (твердым магнетиком). Этот прибор позволяет измерять характеристики электромагнитного поля, но на нем нельзя измерить магнитную проницаемость сердечников тороида.
Наиболее близкой к предлагаемой установке является установка (фиг.4) для демонстрации взаимодействия двух катушек с током, подвешенных на двух тонких проводах, (О.Ф.Кабардин. Физика. Справочные материалы. М.: Просвещение 1991, с.184, рис.190.) Установка содержит две плоские катушки индуктивности и источник постоянного тока. При подключении катушек к источнику постоянного тока наблюдается отклонение одной катушки от другой. При внесении в одну из катушек железного стержня, другая катушка отклоняется на больший угол. Однако эта установка не позволяет измерить силу Ампера при взаимодействии катушек индуктивности, а также определить величину магнитной проницаемости жидкой среды, в которой эти катушки могут взаимодействовать.
Целью изобретения является расширение функциональных возможностей этой установки. Эта цель достигается тем, что в нее введены: подставка; две оси вращения плоских катушек индуктивности, закрепленные на подставке; два жестких подвеса, первые концы которых подвешены шарнирно на осях вращения плоских катушек индуктивности, а вторые концы жестко соединены с этими катушками и являются первыми вводами плоских катушек индуктивности, а вторыми вводами их являются тонкие изолированные проводники, навитые на оба жестких подвеса; амперметр и реостат, которые образуют последовательно замкнутую цепь с двумя последовательно соединенными плоскими катушками индуктивности и источником постоянного тока; сосуд с жидким магнетиком, установленный на подставке, в котором расположены две плоские катушки индуктивности в одной плоскости, перпендикулярной осям самих катушек индуктивности и осям вращения этих катушек; шкала с делениями в градусах, установленная на подставке.
На фиг.1 и фиг.2 представлены чертежи, поясняющие принцип работы предлагаемой установки. На фиг.3 изображен общий вид этой установки, на фиг.4 – ее прототип.
В предлагаемую установку входит: 1 – плоская катушка индуктивности; 2 – жесткий подвес; 3 – ось вращения плоской катушки индуктивности; 4 – подставка; 5 – сосуд с жидким магнетиком; 6 – амперметр; 7 – реостат; 8 – источник постоянного тока; 9 – шкала с делениями в градусах.
При проведении исследований с искусственно создаваемым жидким магнетиком (например, раствором хлористого железа в воде) необходимо каждый раз измерять магнитную проницаемость среды. Важно также определить силу Ампера при взаимодействии катушек с током в такой среде. Существующие устройства для измерения магнитной проницаемости (Руководство к лабораторным занятиям по физике под редакцией Л.Л.Гольдина. М.: Наука. 1973. стр.293-334; Ф.В.Кушнир. Измерение в технике связи. М.: Связь.1970. стр.480-495) не позволяют это сделать. Рассмотрим, каким образом это достигается в предлагаемой установке.
Пусть два круговых витка с током I1 и I2 и радиусом R0 (фиг.1) подвешены на двух жестких одинаковых подвесах длиной 1 на осях O1 и O2. Катушки находятся в исходном положении на расстоянии r0 в жидком магнетике с магнитной проницательностью и плотностью . Круговые витки расположены в одной плоскости, перпендикулярной осям вращения катушек O1 и O2, а также осям самих катушек О3 и O4. Под действием силы Ампера эти витки разойдутся на угол от исходного положения. В жидком магнетике на круговой виток с током I1 (фиг.1) действуют четыре силы: сила Ампера , сила натяжения нити , сила тяжести и выталкивающая сила Архимеда , где VB – объем кругового витка, – плоскость жидкого магнетика, mB – масса витка и g – ускорение свободного падения.
Условие равновесия для каждого витка имеет вид:

или в проекциях на ось х: 
на ось у: 
Из выражений (1) и (2) находим:

Определим силу ампера , с которой круговой виток с током I2 действует на виток с током I1. Сначала найдем силу, с которой магнитное поле с индукцией , создаваемое током I2, действует на элемент , принадлежащий контуру l1 с током I1 (фиг 2):

Магнитная индукция в соответствии с законом Био-Савара-Лапласа

причем точкой наблюдения А является элемент (фиг.2) первого витка, и следовательно, R означает расстояние между элементами и обоих векторов, а вектор направлен от к .
Объединяя (4) и (5) найдем силу:

Сила, с которой круговой виток с током I2 действует на виток с током I1.

С той же силой круговой виток с током I1 действует на виток с током I2.
Аналитическое вычисление двукратного интеграла в формуле (6) невозможно, поэтому значение его найдено авторами методом численного интегрирования:

где R0 – радиус витков, r – расстояние между центрами круговых витков, которое находим из фиг.1:

Приравнивая выражения (3) и (7) и учитывая равенство токов в круговых витках I1=I2, а также выражение (8) находим формулу для определения магнитной проницаемости жидкого магнетика.

Для уменьшения величины потребляемого тока круговыми витками заменяем их плоскими катушками индуктивности массой m, каждая из которых содержит по N витков. Тогда ток I1 в выражении (9) заменим на I1=NI, где I – ток, протекающий через один виток катушки. В этом случае выталкивающая сила Архимеда FA= gV, где V – объем катушки индуктивности.
С учетом введенных обозначений получим окончательное выражение для определения магнитной проницаемости жидкого магнетика:

Схема экспериментальной установки для исследования жидкого магнетика представлена на фиг.3. Она содержит две плоские катушки индуктивности 1. Обе катушки 1 подвешены на жестких подвесах 2. Первые концы жестких подвесов 2 неподвижно соединены с катушками индуктивности 1, а вторые концы их подвешены шарнирно на осях вращения 3 катушек индуктивности, которые закреплены на подставке 4. Плоские катушки индуктивности 1 соединены последовательно между собой, расположены в сосуде с жидким магнетиком 5 в одной плоскости, перпендикулярной осям самих катушек индуктивности 1 и осям вращения 3 этих катушек. Первым вводом каждой катушки индуктивности 1 является жесткий подвес 2, а вторым вводом – тонкий изолированный проводник, навитый на жесткий подвес 2. Последовательно соединенные плоские катушки индуктивности 1 соединены также последовательно с амперметром 6, реостатом 7 и источником постоянного тока 8.
Сосуд с жидким магнетиком 5 установлен на подставке 4, на которой установлена шкала с делениями в градусах 9. Указателем положения на шкале 9 является жесткий подвес 2.
Изменяя величину тока в цепи с помощью реостата 7, катушки индуктивности расходятся на разные углы , значения которых измеряем по шкале с делениями в градусах 9. Величину тока измеряем с помощью амперметра 6. Измеренные значения угла и тока I подставляем в формулу (10) для определения магнитной проницаемости жидкого магнетика. Остальные величины, входящие в формулу (10), указаны на лабораторной установке.
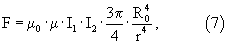
Зависимость силы Ампера F при взаимодействии катушек с током от величины этого тока можно рассчитать по формуле (7).
Технико-экономическая эффективность предлагаемой установки для исследования жидкого магнетика заключается в том, что она обеспечивает повышение качества усвоения основных законов и явлений физики студентами.
Предлагаемая установка реализована на кафедре физики и используется в учебном процессе на лабораторных занятиях по электромагнетизму.
Формула изобретения
Установка для исследования жидкого магнетика, содержащая две плоские катушки индуктивности и источник постоянного тока, отличающаяся тем, что в нее введены подставка, две оси вращения катушек индуктивности, закрепленные на подставке, два жестких подвеса, первые концы которых подвешены шарнирно на осях вращения катушек индуктивности, а вторые концы жестко соединены с плоскими катушками индуктивности и являются первыми вводами плоских катушек индуктивности, а вторыми вводами их являются тонкие изолированные проводники, навитые на оба жестких подвеса, амперметр и реостат, которые образуют последовательную замкнутую цепь с двумя последовательно соединенными плоскими катушками индуктивности и источником постоянного тока, сосуд с жидким магнетиком, установленный на подставке, в котором размещены две плоские катушки индуктивности в одной плоскости, перпендикулярной осям самих катушек индуктивности и осям вращения этих катушек, шкала с делениями в градусах, установленная на подставке.
РИСУНКИ
MM4A – Досрочное прекращение действия патента СССР или патента Российской Федерации на изобретение из-за неуплаты в установленный срок пошлины за поддержание патента в силе
Дата прекращения действия патента: 13.07.2006
Извещение опубликовано: 27.02.2008 БИ: 06/2008
|
|